Главная // Актуальные документы // МетодикаСПРАВКА
Источник публикации
Ростов-на-Дону: Росгидромет, ГУ ГХИ, 2008
Примечание к документу
Документ утратил силу с 01.01.2022 в связи с изданием
Приказа Росгидромета от 19.05.2021 N 137. Взамен введен в действие
РД 52.24.377-2021.
Документ
введен в действие с 1 ноября 2008 года.
Название документа
"РД 52.24.377-2008. Руководящий документ. Массовая концентрация алюминия, бериллия, ванадия, железа, кадмия, кобальта, марганца, меди, молибдена, никеля, свинца, серебра, хрома и цинка в водах. Методика выполнения измерений методом атомной абсорбции с прямой электротермической атомизацией проб"
(утв. Росгидрометом 25.08.2008)
"РД 52.24.377-2008. Руководящий документ. Массовая концентрация алюминия, бериллия, ванадия, железа, кадмия, кобальта, марганца, меди, молибдена, никеля, свинца, серебра, хрома и цинка в водах. Методика выполнения измерений методом атомной абсорбции с прямой электротермической атомизацией проб"
(утв. Росгидрометом 25.08.2008)
Содержание
РД 52.24.377-2008. Руководящий документ. Массовая концентрация алюминия, бериллия, ванадия, железа, кадмия, кобальта, марганца, меди, молибдена, никеля, свинца, серебра, хрома и цинка в водах. Методика выполнения измерений методом атомной абсорбции с прямой электротермической атомизацией проб
Заместителем
Руководителя Росгидромета
25 августа 2008 года
РУКОВОДЯЩИЙ ДОКУМЕНТ
МАССОВАЯ КОНЦЕНТРАЦИЯ АЛЮМИНИЯ, БЕРИЛЛИЯ, ВАНАДИЯ,
ЖЕЛЕЗА, КАДМИЯ, КОБАЛЬТА, МАРГАНЦА, МЕДИ, МОЛИБДЕНА,
НИКЕЛЯ, СВИНЦА, СЕРЕБРА, ХРОМА И ЦИНКА В ВОДАХ.
МЕТОДИКА ВЫПОЛНЕНИЯ ИЗМЕРЕНИЙ МЕТОДОМ АТОМНОЙ
АБСОРБЦИИ С ПРЯМОЙ ЭЛЕКТРОТЕРМИЧЕСКОЙ
АТОМИЗАЦИЕЙ ПРОБ
РД 52.24.377-2008
Дата введения
1 ноября 2008 года
1. Разработан Государственным учреждением Гидрохимический институт (ГУ ГХИ).
2. Разработчики: Т.В. Князева, канд. хим. наук, А.М. Аниканов.
3. Согласован с УМЗА и ГУ НПО "Тайфун" Росгидромета.
4. Утвержден Заместителем Руководителя Росгидромета 25.08.2008.
5. Аттестован ГУ ГХИ,
свидетельство об аттестации от 15.04.2008 N 28.24-2008.
6. Зарегистрирован ЦМТР ГУ "НПО "Тайфун" за номером РД 52.24.377-2008 от 03.09.2008.
7. Взамен
РД 52.24.377-95 "Методические указания. Методика выполнения измерений массовой концентрации металлов (Al, Ag, Be, Cd, Co, Cr, Cu, Fe, Mn, Mo, Ni, Pb, V, Zn) в поверхностных водах методом атомной абсорбции с прямой электротермической атомизацией проб".
В ряду компонентов химического состава поверхностных вод металлы занимают весьма важное положение. Это обусловлено их свойствами в водной среде (поливалентность, высокая реакционная способность, биологическая активность), благодаря которым металлы принимают участие практически во всех физико-химических, химических и биологических процессах, протекающих в водных объектах. Вследствие этого металлы в водах представлены значительным разнообразием форм существования и миграции. Соотношение между упомянутыми формами, как правило, зависит от pH, окислительно-восстановительного потенциала, качественного и количественного состава других неорганических и органических компонентов вод, содержания и состава взвесей, температуры, гидробиологических и некоторых других факторов.
В поверхностных водах металлы присутствуют в виде трех миграционных форм: растворенной, взвешенной и коллоидной. В каждую из перечисленных форм металлы могут входить в виде различных химических соединений.
Значительный вклад в транспорт металлов в поверхностных водах вносят взвешенные формы. Миграционная способность взвешенных форм металлов определяется, главным образом, геохимическим и гранулометрическим составом взвешенного материала. Доминирующая часть соединений металлов находится в твердой фазе в виде включений в состав различных минералов, осажденных гидроксидов, карбонатов, сульфидов и силикатов, а также в составе зоопланктона, фитопланктона, бактерий и детрита.
Коллоидные формы металлов представлены, главным образом, полигидроксидами алюминия, железа и марганца с другими включенными в их состав или сорбированными металлами. Коллоидные формы малоустойчивы и при изменении условий среды переходят в состав растворенных или взвешенных форм. В высокоцветных водах, содержащих значительные количества гумусовых веществ, возможно образование устойчивых органоминеральных коллоидов.
Применительно к аналитическому определению металлов в водах принято считать их растворенными формами те, которые проходят через мембранный фильтр с диаметром пор 0,45 мкм, взвешенными - остающиеся на упомянутом фильтре. Валовое содержание металлов - это сумма растворенных и взвешенных форм.
Для получения достоверных результатов по содержанию в воде растворенных и взвешенных форм проба сразу после отбора должна быть профильтрована. Фильтрат подкисляют концентрированной азотной кислотой до pH < 2. Кислая среда снижает сорбцию растворенных форм металлов на стенках посуды, в которую помещается проба воды, и препятствует процессам гидролиза соединений металлов при хранении.
Металлы в повышенных концентрациях оказывают весьма негативное влияние как на водные экосистемы, так и на человека, поэтому их содержание в воде нормируется.
Таблица 1
ПДК металлов в поверхностных водах суши
Металл | ПДК для водных объектов, мкг/дм3 |
хозяйственно-питьевого и культурно-бытового назначения | рыбохозяйственного назначения |
Алюминий | 200 | 40 |
Бериллий | | 0,3 |
Ванадий | 100 | 1 |
Железо общее | | 100 |
Кадмий | | 5 |
Кобальт | 100 | 10 |
Марганец | 100 | 10 |
Медь | 1000 | 1 |
Молибден | | 1 |
Никель | 20 | 10 |
Свинец | 10 | 6 |
Серебро | 50 <*> | - |
Хром (III) | 500 | 70 |
Хром (VI) | 50 | 20 |
Цинк | 1000 | 10 |
|
1.1. Настоящий руководящий документ устанавливает методику выполнения измерений (далее - методика) массовой концентрации растворенных форм металлов: алюминия, бериллия, ванадия, железа, кадмия, кобальта, марганца, меди, молибдена, никеля, свинца, серебра, хрома и цинка - в пробах природных и очищенных сточных вод методом атомной абсорбции с прямой электротермической атомизацией проб. Диапазон измерений массовых концентраций металлов приведен в таблице 2.
Таблица 2
Диапазон измерений, значения характеристик погрешности
и ее составляющих при принятой вероятности P = 0,95
| | ИС МЕГАНОРМ: примечание. В официальном тексте документа, видимо, допущена опечатка: в графе "Показатель повторяемости (среднеквадратическое отклонение повторяемости)" таблицы имеются в виду единицы измерения мкг/дм3, а не кг/дм3. | |
Металл | Диапазон измерений массовой концентрации X, мкг/дм3 | Показатель повторяемости (среднеквадратическое отклонение повторяемости)  , кг/дм3 | Показатель воспроизводимости (среднеквадратическое отклонение воспроизводимости)  , мкг/дм3 | Показатель правильности (границы систематической погрешности)  , мкг/дм3 | Показатель точности (границы погрешности)  , мкг/дм3 |
Алюминий | От 6,0 до 60,0 включ. | 0,1 + 0,05 x X | 0,2 + 0,08 x X | 0,2 + 0,05 x X | 0,6 + 0,17 x X |
Бериллий | От 0,20 до 4,00 включ. | 0,03 + 0,03 x X | 0,05 + 0,07 x X | 0,04 + 0,05 x X | 0,10 + 0,14 x X |
Ванадий | От 2,0 до 100,0 включ. | 0,3 + 0,05 x X | 0,4 + 0,08 x X | 0,2 + 0,06 x X | 0,7 + 0,17 x X |
Железо | От 10 до 200 включ. | 1 + 0,07 x X | 1 + 0,10 x X | 1 + 0,07 x X | 2 + 0,19 x X |
Кадмий | От 0,10 до 2,00 включ. | 0,01 + 0,03 x X | 0,02 + 0,05 x X | 0,02 + 0,02 x X | 0,05 + 0,10 x X |
Кобальт | От 2,0 до 40,0 включ. | 0,3 + 0,05 x X | 0,5 + 0,07 x X | 0,4 + 0,06 x X | 1,0 + 0,14 x X |
Марганец | От 1,0 до 15,0 включ. | 0,1 + 0,04 x X | 0,1 + 0,06 x X | 0,1 + 0,04 x X | 0,2 + 0,12 x X |
Медь | От 1,0 до 30,0 включ. | 0,1 + 0,06 x X | 0,1 + 0,09 x X | 0,1 + 0,06 x X | 0,2 + 0,19 x X |
Молибден | От 1,0 до 50,0 включ. | 0,1 + 0,05 x X | 0,2 + 0,08 x X | 0,1 + 0,05 x X | 0,6 + 0,17 x X |
Никель | От 5,0 до 60,0 включ. | 0,7 + 0,04 x X | 1 + 0,06 x X | 0,6 + 0,04 x X | 2 + 0,12 x X |
Серебро | От 0,02 до 4,00 включ. | 0,05 x X | 0,07 x X | 0,01 + 0,05 x X | 0,01 + 0,14 x X |
Свинец | От 2,0 до 30,0 включ. | 0,3 + 0,04 x X | 0,5 + 0,06 x X | 0,2 + 0,05 x X | 1 + 0,12 x X |
Хром | От 1,0 до 30,0 включ. | 0,1 + 0,07 x X | 0,1 + 0,10 x X | 0,08 x X | 0,4 + 0,22 x X |
Цинк | От 2,0 до 20,0 включ. | 0,3 + 0,05 x X | 0,5 + 0,08 x X | 0,6 + 0,04 x X | 1 + 0,17 x X |
При выполнении измерений в пробах с массовой концентрацией металлов свыше верхней границы диапазона измеряемых концентраций, приведенных в
таблице 2, допускается выполнение измерений после соответствующего разбавления пробы очищенной водой.
1.2. Настоящий руководящий документ предназначен для использования в лабораториях, осуществляющих наблюдения за загрязнением природных и очищенных сточных вод.
В настоящем руководящем документе использованы ссылки на следующие нормативные документы:
ГОСТ 12.1.005-88. ССБТ. Общие санитарно-гигиенические требования к воздуху рабочей зоны
ГОСТ 12.1.007-76. ССБТ. Вредные вещества. Классификация и общие требования безопасности
ГОСТ 17.1.5.04-81. Охрана природы. Гидросфера. Приборы и устройства для отбора, первичной обработки и хранения проб природных вод. Общие технические условия
ГОСТ 17.1.5.05-85. Охрана природы. Гидросфера. Общие требования к отбору проб поверхностных и морских вод, льда и атмосферных осадков
ГОСТ Р ИСО 5725-6-2002. Точность (правильность и прецизионность) методов и результатов измерений. Часть 6. Использование значений точности на практике
МИ 2881-2004. Рекомендация. ГСИ. Методики количественного химического анализа. Процедуры проверки приемлемости результатов анализа.
Примечание. Ссылки на остальные нормативные документы приведены в
разделе 4.
3. Приписанные характеристики погрешности измерения
3.1. При соблюдении всех регламентируемых методикой условий проведения измерений характеристики погрешности результата измерения с вероятностью 0,95 не должны превышать значений, приведенных в
таблице 2.
При выполнении измерений в пробах с массовой концентрацией металлов свыше верхней границы диапазона измеряемых концентраций, приведенных в
таблице 2, после соответствующего разбавления погрешность измерений массовой концентрации металлов в исходной пробе

находят по формуле

, (1)
где

- показатель точности измерения массовой концентрации металла в разбавленной пробе, рассчитанный по зависимости, приведенной в
таблице 2;

- степень разбавления.
Пределы обнаружения металлов электротермическим атомно-абсорбционным методом приведены в таблице 3.
Таблица 3
Пределы обнаружения металлов в поверхностных водах суши
Металл | Пределы обнаружения, мкг/дм3 |
Алюминий | 4 |
Бериллий | 0,2 |
Ванадий | 1 |
Железо общее | 4 |
Кадмий | 0,1 |
Кобальт | 1 |
Марганец | 0,4 |
Медь | 0,5 |
Молибден | 1 |
Никель | 4 |
Свинец | 1 |
Серебро | 0,02 |
Хром (III) | 0,5 |
Хром (VI) | 0,5 |
Цинк | 1 |
3.2. Значения показателя точности методики используют при:
- оформлении результатов измерений, выдаваемых лабораторией;
- оценке деятельности лабораторий на качество проведения измерений;
- оценке возможности использования результатов измерений при реализации методики в конкретной лаборатории.
4. Средства измерений, вспомогательные устройства,
реактивы, материалы
4.1. Средства измерений, вспомогательные устройства
4.1.1. Атомно-абсорбционный спектрометр с электротермическим атомизатором (например: AAS 30, "Сатурн", КВАНТ-Z.ЭТА и др.), снабженный корректором неселективного поглощения фона и комплектом спектральных ламп с полым катодом типа ЛСП-1, ЛТ-6М или других типов с аналогичными характеристиками.
4.1.2. Графитовые трубки (кюветы) с пиролитическим покрытием к атомизатору атомно-абсорбционного спектрометра.
4.1.3. Графитовые трубки с коаксиальной графитовой платформой к атомизатору атомно-абсорбционного спектрометра (рисунки 1 и
2).
Рисунок 1. Графитовые трубки с коаксиальной платформой
Рисунок 2. Коаксиальная графитовая платформа
4.1.4. Весы лабораторные среднего (III) класса точности по
ГОСТ 24104-2001 с наибольшим пределом взвешивания 200 г.
4.1.5. Государственный стандартный образец (ГСО) состава водных растворов ионов алюминия ГСО 7757-2000.
4.1.6. Государственный стандартный образец (ГСО) состава водных растворов ионов бериллия ГСО 7759-2000.
4.1.7. Государственный стандартный образец (ГСО) состава водных растворов ионов ванадия ГСО 7774-2000.
4.1.8. Государственный стандартный образец (ГСО) состава водных растворов ионов железа ГСО 8212-2002.
4.1.9. Государственный стандартный образец (ГСО) состава водных растворов ионов кадмия ГСО 7773-2000.
4.1.10. Государственный стандартный образец (ГСО) состава водных растворов ионов кобальта ГСО 7784-2000.
4.1.11. Государственный стандартный образец (ГСО) состава водных растворов ионов марганца ГСО 7761-2000.
4.1.12. Государственный стандартный образец (ГСО) состава водных растворов ионов меди ГСО 8205-2002.
4.1.13. Государственный стандартный образец (ГСО) состава водных растворов ионов молибдена ГСО 7768-2000.
4.1.14. Государственный стандартный образец (ГСО) состава водных растворов ионов никеля ГСО 7785-2000.
4.1.15. Государственный стандартный образец (ГСО) состава водных растворов ионов свинца ГСО 7774-2000.
4.1.16. Государственный стандартный образец (ГСО) состава водных растворов ионов серебра ГСО 8430-2003.
4.1.17. Государственный стандартный образец (ГСО) состава водных растворов ионов хрома ГСО 7781-2000.
4.1.18. Государственный стандартный образец (ГСО) состава водных растворов ионов цинка ГСО 8211-2002.
4.1.19. Колбы мерные не ниже 2-го класса точности, исполнения 2, 2а по
ГОСТ 1770-74 вместимостью: 25 см3 - 8 шт., 50 см3 - 6 шт., 100 см3 - 6 шт., 200 см3 - 3 шт., 1000 см3 - 3 шт.
| | ИС МЕГАНОРМ: примечание. В официальном тексте документа, видимо, допущена опечатка: стандарт имеет номер ГОСТ 29227-91, а не ГОСТ 29227-9. | |
4.1.20. Пипетки градуированные не ниже 2-го класса точности, исполнения 1, 2 по
ГОСТ 29227-9 вместимостью: 1 см3 - 30 шт., 2 см3 - 8 шт., 5 см3 - 10 шт., 10 см3 - 2 шт.
4.1.21. Пипетки с одной отметкой не ниже 2-го класса точности, исполнения 2 по
ГОСТ 29169-91 вместимостью: 5 см3 - 2 шт., 10 см3 - 2 шт.
4.1.22. Дозаторы пипеточные одноканальные по ТУ 9452-002-33189998-2002 переменного объема (далее - дозаторы) вместимостью: 0,5 - 10 мм3 - 2 шт., 5 - 50 мм3 - 2 шт., 20 - 200 мм3 - 2 шт.
4.1.23. Пробирки градуированные с притертыми пробками исполнения 2 по
ГОСТ 1770-74 вместимостью 10 см3 - 14 шт.
4.1.24. Цилиндры мерные исполнения 1, 3 по
ГОСТ 1770-74 вместимостью: 250 см3 - 1 шт., 1000 см3 - 1 шт.
4.1.25. Стаканы тип В, исполнения 1, ТХС по
ГОСТ 25336-82 вместимостью: 600 см3 - 1 шт., 1000 см3 - 1 шт.
4.1.26. Стаканчики для взвешивания (бюксы) СВ-24/10 по
ГОСТ 25336-82 - 3 шт.
4.1.27. Воронки лабораторные, тип В по
ГОСТ 25336-82, диаметром 56 мм - 3 шт.
4.1.28. Пробирки Эппендорфа полипропиленовые вместимостью 1 - 1,5 см3, импортные.
4.1.29. Наконечники полипропиленовые для дозаторов.
4.1.30. Посуда полиэтиленовая (полипропиленовая) для хранения проб и растворов вместимостью 0,25; 0,5 и 1 дм3.
4.1.31. Склянки темного стекла с плотно закрывающимися пробками для хранения растворов вместимостью 0,1 и 0,5 дм3.
4.1.32. Устройство для фильтрования проб с использованием мембранных фильтров.
4.1.33. Плитка электрическая с закрытой спиралью и регулируемой мощностью нагрева по
ГОСТ 14919-83.
Примечание. Допускается использование других типов средств измерений, посуды и вспомогательного оборудования, в том числе импортных, с характеристиками не хуже, чем у приведенных в
4.1.
4.2. Реактивы и материалы
4.2.2. Палладиевый матричный модификатор для графитовой поверхности категории 107289 (производства фирмы Merck) или аналогичный, с концентрацией палладия 10 г/дм3.
4.2.3. Палладий азотнокислый (нитрат палладия), раствор, содержащий 500 г/дм3 палладия, по ТУ 6-09-395-75, ч.
4.2.4. Кальций азотнокислый (нитрат кальция), импортный, соответствующий квалификации ч.д.а.
4.2.5. Магний азотнокислый 6-водный (нитрат магния) по
ГОСТ 11088-75, ч.д.а.
4.2.6. Фильтры мембранные "Владипор МФАС-ОС-2", 0,45 мкм по ТУ 6-55-221-1-29-89 или другого типа, равноценные по характеристикам.
4.2.7. Универсальная индикаторная бумага по ТУ 6-09-1181-76.
4.2.9. Аргон сжатый в баллонах по ТУ-21-12-94, высокой чистоты.
Примечание. Допускается использование реактивов, изготовленных по другой нормативной и технической документации, в том числе импортных, с квалификацией не ниже указанной в
4.2.
Выполнение измерений массовой концентрации металлов основано на измерении атомной абсорбции (далее - абсорбционности) в нагревающейся электротоком графитовой трубке при испарении анализируемой пробы с ее внутренней поверхности или с поверхности помещенной в нее коаксиальной платформы - тонкостенной графитовой трубки меньшего размера.
Измерение массовой концентрации ионов алюминия, бериллия, железа, кадмия, кобальта, марганца, меди, никеля, свинца, серебра, хрома и цинка на спектрометре "AAS 30" проводят при дозировании пробы воды в полость коаксиальной платформы (
рисунки 1 и
2). Измерение массовой концентрации ионов ванадия и молибдена на "AAS 30", а также всех металлов на таком спектрометре, как "Квант-Z.ЭТА", предусматривает дозирование пробы на внутреннюю поверхность графитовой трубки. Далее атомизатор нагревается электротоком по специальной температурно-временной программе, включающей выпаривание пробы до сухого остатка, его озоление и атомизацию, сопровождающуюся измерением абсорбционности металла на его резонансной спектральной линии, излучаемой соответствующей лампой с полым катодом. Измеряемая абсорбционность атомного пара металла связана с концентрацией ионов этого металла в анализируемой пробе градуировочной зависимостью.
6. Требования безопасности, охраны окружающей среды
6.1. При выполнении измерений массовой концентрации металлов в пробах природных и очищенных сточных вод соблюдают требования безопасности, установленные в национальных стандартах и соответствующих нормативных документах.
6.2. По степени воздействия на организм вредные вещества, используемые при выполнении измерений, относятся к 3-му и 4-му классам опасности по
ГОСТ 12.1.007.
6.3. Содержание используемых вредных веществ в воздухе рабочей зоны не должно превышать установленных предельно допустимых концентраций в соответствии с
ГОСТ 12.1.005.
6.4. Оператор, выполняющий измерения, должен знать правила безопасности при работе с электрооборудованием и сжатыми газами.
6.5. Выполнение измерений следует проводить при наличии вытяжной вентиляции.
6.6. Особых требований по экологической безопасности не предъявляется.
7. Требования к квалификации операторов
К выполнению измерений допускаются лица с высшим профессиональным образованием, имеющие стаж работы в лаборатории не менее полугода, прошедшие соответствующую подготовку для работы с электрооборудованием и сжатыми газами, освоившие методику.
8. Условия выполнения измерений
При выполнении измерений в лаборатории должны быть соблюдены следующие условия:
- температура окружающего воздуха (22 +/- 10) °C;
- атмосферное давление от 84,0 до 106,7 кПа (от 630 до 800 мм рт. ст.);
- влажность воздуха не более 80% при 25 °C;
- напряжение в сети (220 +/- 10) В;
- частота переменного тока в сети питания (50 +/- 1) Гц.
Отбор проб для выполнения измерений массовых концентраций алюминия, бериллия, ванадия, железа, кадмия, кобальта, марганца, меди, молибдена, никеля, свинца, серебра, хрома и цинка производится в соответствии с
ГОСТ 17.1.5.05 и
ГОСТ Р 51592. Оборудование для отбора проб должно соответствовать
ГОСТ 17.1.5.04 и
ГОСТ Р 51592. Пробы как можно быстрее после отбора (не позже 4 ч) фильтруют через мембранный фильтр 0,45 мкм, очищенный кипячением в течение 10 мин в 1%-ном растворе азотной кислоты и двукратным кипячением в очищенной воде. Первые порции фильтрата отбрасывают (не менее 50 см3). Пробу консервируют добавлением азотной кислоты, разбавленной 1:1, из расчета 1 см3 на каждые 100 см3 воды и проверяют pH с помощью универсальной индикаторной бумаги. Если pH будет больше 2, добавляют по каплям необходимое количество кислоты до достижения указанного значения pH. Пробы помещают в плотно закрывающуюся полиэтиленовую (полипропиленовую) или фторопластовую посуду и хранят до анализа не более 1 мес. Перед заполнением посуду два-три раза ополаскивают отфильтрованной водой. Объем отбираемой пробы не менее 50 см3.
При отборе, предварительной обработке и хранении проб воды особое внимание должно быть обращено на исключение загрязнения пробы стенками посуды, используемыми фильтрами и консервантом. Посуду, предназначенную для транспортирования и хранения проб перед использованием тщательно отмывают раствором (1:1) азотной кислоты и ополаскивают очищенной водой. В ходе отбора и первичной обработки проб (подкисление, фильтрование, дозирование) следует исключить контакт пробы с металлическими и резиновыми поверхностями.
10. Подготовка к выполнению измерений
10.1. Приготовление растворов и реактивов
10.1.1. Очищенная вода
Очищенную воду получают повторной перегонкой дистиллированной воды в стеклянной или кварцевой установке или с помощью установки любого типа для получения особо чистой воды. Степень чистоты воды контролируют по величине холостого опыта. Содержание металлов в очищенной воде не должно превышать величину предела обнаружения металлов. Очищенную воду хранят в плотно закрытой полипропиленовой или полиэтиленовой посуде не более 10 дней.
10.1.2. Раствор азотной кислоты 1:1
Смешивают 250 см3 концентрированной азотной кислоты с 250 см3 очищенной воды.
10.1.3. Раствор азотной кислоты 1:200 (фоновый раствор)
Смешивают 5 см3 концентрированной азотной кислоты с 1000 см3 очищенной воды. Срок хранения - не более двух недель.
10.1.4. Раствор азотной кислоты, 1%-ный
Смешивают 7,7 см3 концентрированной азотной кислоты с 500 см3 очищенной воды. Раствор используют для очистки фильтров.
10.1.5. Раствор палладия, 10 г/дм3
Отбирают 1 см3 раствора нитрата палладия с концентрацией палладия 500 г/дм3 с помощью градуированной пипетки вместимостью 1 см3 и переносят его в мерную колбу вместимостью 50 см3, прибавляют 3,7 см3 концентрированной азотной кислоты с помощью градуированной пипетки вместимостью 5 см3. Доводят объем в колбе до метки очищенной водой и перемешивают.
10.1.6. Раствор кальция, 10 г/дм3
Навеску нитрата кальция массой 2,05 г количественно переносят в мерную колбу вместимостью 50 см3, растворяют в очищенной воде, прибавляют 3,7 см3 концентрированной азотной кислоты с помощью градуированной пипетки вместимостью 5 см3, доводят объем раствора до метки на колбе очищенной водой и перемешивают.
10.1.7. Раствор магния, 10 г/дм3
Навеску нитрата магния массой 5,28 г количественно переносят в мерную колбу вместимостью 50 см3, растворяют в очищенной воде, прибавляют 3,7 см3 концентрированной азотной кислоты с помощью градуированной пипетки вместимостью 5 см3, доводят объем раствора до метки на колбе очищенной водой и перемешивают.
10.2. Приготовление градуировочных растворов и градуировочных образцов металлов
10.2.1. Градуировочные растворы алюминия, ванадия, железа, кобальта, марганца, меди, молибдена, никеля, свинца, хрома и цинка с массовой концентрацией ионов металлов 1,00 мг/дм3
Градуировочные растворы готовят из стандартных образцов (ГСО) с массовой концентрацией ионов металлов (алюминия, ванадия, железа, кобальта, марганца, меди, молибдена, никеля, свинца, хрома и цинка) 1,00 мг/см3. Вскрывают ампулу и ее содержимое переносят в сухую чистую пробирку, отбирают 1,0 см3 образца с помощью чистой сухой пипетки вместимостью 1 см3 и переносят в мерную колбу вместимостью 1000 см3. Добавляют 10 см3 азотной кислоты 1:1, доводят объем в колбе до метки дистиллированной водой и перемешивают. Массовая концентрация ионов металлов в градуировочных растворах составит 1,00 мг/дм3 (если концентрация ионов металлов в ГСО не равна точно 1,00 мг/см3, рассчитывают массовую концентрацию металлов в градуировочных растворах в соответствии с концентрацией конкретного образца). Растворы хранят в плотно закрытой полиэтиленовой (полипропиленовой) посуде в холодильнике не более 3 мес.
10.2.2. Основные растворы бериллия, кадмия и серебра с массовой концентрацией ионов металлов 10,0 мг/дм3
Основные растворы бериллия, кадмия и серебра готовят из стандартных образцов (ГСО) с массовой концентрацией ионов металлов 1,00 мг/см3. Вскрывают ампулу и ее содержимое переносят в сухую чистую пробирку, отбирают 1,0 см3 образца с помощью чистой сухой пипетки вместимостью 1 см3, переносят в мерную колбу вместимостью 100 см3 и доводят объемы растворов до метки раствором азотной кислоты 1:200. Растворы бериллия и кадмия хранят в полиэтиленовой (полипропиленовой) посуде не более 3 мес, раствор серебра - в склянке темного стекла не более 2 недель.
10.2.3. Градуировочные растворы бериллия, кадмия и серебра с массовой концентрацией ионов металлов 0,100 мг/дм3
В мерные колбы вместимостью 100 см3 вносят по 1,0 см3 основных растворов бериллия, кадмия и серебра с концентрацией 10,0 мг/дм3 и доводят объемы растворов до метки фоновым раствором азотной кислоты. Градуировочные растворы бериллия и кадмия хранят не более 1 мес, раствор серебра - не более 5 дней.
10.2.4. Градуировочные образцы
Массовые концентрации металлов в градуировочных образцах приведены в
таблице 3. При приготовлении градуировочных образцов руководствуются
таблицей 4. Указанные в
таблице 4 объемы градуировочных растворов алюминия, ванадия, железа, кобальта, марганца, меди, молибдена, никеля, свинца, хрома и цинка с массовой концентрацией 1,00 мг/дм3 и градуировочных растворов бериллия, кадмия и серебра с массовой концентрацией 0,1 мг/дм3 отбирают с помощью градуированных пипеток вместимостью 1, 2, 5 см3 и пипеток с одной отметкой вместимостью 5 и 10 см3 и вносят в мерные колбы указанных вместимостей, доводят до метки фоновым раствором и перемешивают.
Таблица 3
Массовые концентрации металлов в градуировочных образцах,
мкг/дм3
Металл | Номер градуировочного образца |
1 | 2 | 3 | 4 | 5 |
Алюминий | 6,0 | 10,0 | 20,0 | 40,0 | 60,0 |
Бериллий | 0,20 | 0,50 | 1,00 | 2,00 | 4,00 |
Ванадий | 2,0 | 10,0 | 25,0 | 50,0 | 100 |
Железо | 10 | 25 | 75 | 150 | 200 |
Кадмий | 0,10 | 0,25 | 0,50 | 1,00 | 2,00 |
Кобальт | 2,0 | 5,0 | 10,0 | 25,0 | 40,0 |
Марганец | 1,0 | 2,5 | 5,0 | 10,0 | 15,0 |
Медь | 1,0 | 5,0 | 10,0 | 20,0 | 30,0 |
Молибден | 1,0 | 5,0 | 10,0 | 25,0 | 50,0 |
Никель | 5,0 | 10,0 | 25,0 | 50,0 | 60,0 |
Свинец | 2,0 | 5,0 | 10,0 | 20,0 | 30,0 |
Серебро | 0,10 | 0,50 | 1,00 | 2,00 | 4,00 |
Хром | 1,0 | 5,0 | 10,0 | 20,0 | 30,0 |
Цинк | 2,0 | 5,0 | 10,0 | 15,0 | 20,0 |
Таблица 4
Объемы, см3, градуировочных растворов (в числителе)
и вместимости мерных колб (в знаменателе), используемых
при приготовлении градуировочных образцов металлов
Металл | Номер градуировочного образца |
1 | 2 | 3 | 4 | 5 |
Алюминий | | | | | |
Бериллий | | | | | |
Ванадий | | | | | |
Железо | | | | | |
Кадмий | | | | | |
Кобальт | | | | | |
Марганец | | | | | |
Медь | | | | | |
Молибден | | | | | |
Никель | | | | | |
Свинец | | | | | |
Серебро | | | | | |
Хром | | | | | |
Цинк | | | | | |
Градуировочные образцы серебра используют в день приготовления, градуировочные образцы остальных металлов хранят не более 5 дней.
10.2.5. Раствор для холостого измерения (бланк)
Для приготовления раствора для холостого измерения используют фоновый раствор с добавлением необходимого количества модификатора в соответствии с руководством по эксплуатации прибора. Срок хранения бланка - не более двух недель.
10.3. Подготовка измерительного прибора
10.3.1. Спектрометр "Квант-Z.ЭТА" или аналогичный прибор готовят к работе для измерения массовых концентраций элементов в соответствии с техническим описанием или руководством по эксплуатации прибора.
Спектрометр "ААС 30" готовят к работе в соответствии с 10.3.2 -
10.3.3.
10.3.2. Спектрометр "ААС 30" настраивают для измерений в режиме автоматической коррекции неселективного поглощения: используют дейтериевую лампу для измерений в УФ-области спектра (менее 400 нм) и галогеновую лампу - для измерений в видимой области спектра. При амплитудной регистрации аналитического сигнала предусматривают контроль правильности формы импульса абсорбционности.
Условия измерений выбирают в соответствии с таблицей 5.
Таблица 5
Условия измерения амплитуды
и площади импульса абсорбционности
| | ИС МЕГАНОРМ: примечание. Обозначения в таблице даны в соответствии с официальным текстом документа. | |
Металл | Длина волны  , нм | Максимальная ширина щели  , нм | Амплитуда импульса | Площадь импульса |
Постоянная усилителя RC | Скорость диаграммной ленты, мм/ч | Задержка начала измерения, с | Продолжительность измерения, с |
Алюминий | 309,3 | 0,7 | 0,5 - 1,0 | 2800 | 1,5 | 5,0 |
Бериллий | 234,9 | 0,3 | 0,5 - 1,0 | 2800 | 1,0 | 4,0 |
Ванадий | 319,0 | 0,7 | 0,5 | 2800 | 1,0 | 5,0 |
Железо | 248,3 | 0,3 | 0,5 - 1,0 | 2800 | 1,0 | 3,5 |
Кадмий | 228,8 | 0,8 | 0,5 - 1,0 | 7200 | 0,5 - 1,0 | 1,5 |
Кобальт | 240,0 | 0,15 | 0,5 - 1,0 | 2800 | 1,0 | 4,5 |
Марганец | 279,8 | 0,5 | 0,5 - 1,0 | 2800 | 1,0 | 3,5 |
Медь | 327,4 | 0,7 | 0,5 - 1,0 | 7200 | 1,0 | 3,0 |
Молибден | 313,3 | 0,7 | 0,5 | 2800 | 1,0 | 5,0 |
Никель | 232,0 | 0,3 | 0,5 - 1,0 | 2800 | 1,5 | 5,5 |
Свинец | 283,3 | 0,3 | 0,5 - 1,0 | 7200 | 1,0 | 1,5 |
Серебро | 328,1 | 0,6 | 0,5 - 1,0 | 7200 | 1,0 | 2,0 |
Хром | 357,9 | 0,3 | 0,5 - 1,0 | 2800 | 1,5 | 5,5 |
Цинк | 213,9 | 0,8 | 0,5 - 1,0 | 7200 | 1,0 | 1,5 |
10.3.3. Для подготовки атомизатора "ААС 30" при определении алюминия, бериллия, железа, кадмия, кобальта, марганца, меди, никеля, свинца, серебра, хрома и цинка коаксиальную платформу вставляют в графитовую трубку и совмещают имеющиеся в их стенках отверстия для ввода пробы. Трубку с платформой закрепляют в атомизаторе и отжигают в соответствии с
10.5.5. При определении ванадия и молибдена в атомизаторе закрепляют трубку без платформы.
10.4. Введение пробы в графитовую трубку атомизатора (дозирование)
Дозирование пробы в графитовую трубку как с платформой, так и без нее выполняют дозатором в соответствии с руководством по эксплуатации используемого спектрометра. Перед дозированием новой пробы наконечник дозатора промывают фоновым раствором или очищенной водой. Наконечник можно использовать, пока его поверхность остается гидрофобной.
При правильном выполнении дозирования проба в коаксиальной платформе принимает форму капиллярного столба жидкости и экранирует световой поток. При этом указатели интенсивности световых потоков в аналитических каналах устанавливаются в положение "100% поглощения". Объемы дозируемых проб для "ААС 30" приведены в таблице 6.
Таблица 6
Условия выпаривания пробы в атомизаторе
Металл | Объем пробы, мм3 | Температура, °C | Скорость нагрева, °C/с | Продолжительность нагрева, с | Расход инертного газа во внутреннем потоке, см3/мин |
Алюминий | 50 | 210 | 25 | 30 | 350 |
Бериллий | 100 | 210 | 25 | 60 | 350 |
Ванадий | 50 | 120 | 10 | 30 | 350 |
Железо | 10 | 210 | 25 | 10 | 350 |
Кадмий | 25 | 210 | 25 | 20 | 350 |
Кобальт | 100 | 210 | 25 | 30 | 350 |
Марганец | 100 | 210 | 25 | 60 | 350 |
Медь | 100 | 210 | 25 | 60 | 350 |
Молибден | 50 | 120 | 10 | 30 | 350 |
Никель | 100 | 210 | 25 | 60 | 350 |
Свинец | 50 | 210 | 25 | 30 | 350 |
Серебро | 100 | 210 | 25 | 60 | 350 |
Хром | 50 | 210 | 25 | 30 | 350 |
Цинк | 2,5 - 5,0 | 210 | 25 | 5 | 350 |
Для спектрометра "Квант-Z.ЭТА" объем пробы, дозируемой в графитовую трубку, составляет 5 мм3 при измерении массовой концентрации алюминия, бериллия, ванадия, железа, кадмия, кобальта, марганца, меди, молибдена, свинца, серебра, хрома, при измерении концентрации никеля и цинка - 10 мм3 и 20 мм3 соответственно.
10.5. Условия атомизации проб
10.5.1. Температурно-временная программа нагрева атомизатора спектрометра "Квант-Z.ЭТА" для измерения массовой концентрации металлов выбирается в соответствии с программой прибора.
Условия атомизации проб на спектрометре "ААС 30" выбираются и выполняются по 10.5.2 -
10.5.5.
10.5.2. Условия выпаривания проб в атомизаторе приведены в
таблице 6. Контроль за своевременным окончанием выпаривания осуществляют, наблюдая положение указателя интенсивности световых потоков: за 5 - 15 с до переключения нагрева атомизатора на режим "Озоление" указатели должны из положения "100% поглощения" переместиться в положение "0% поглощения". При выпаривании не следует допускать вскипания пробы, а также переключения атомизатора на режим "Озоление", если указатели интенсивности световых потоков не находятся в положении "0% поглощения".
10.5.3. Условия озоления сухого остатка раствора пробы приведены в
таблице 7. Продолжительность стадии озоления при анализе пресных вод - 15 с. При анализе вод с повышенным содержанием солей и органических веществ продолжительность озоления увеличивают до 30 с. При определении кадмия, свинца и цинка на приборах, не оснащенных сенсором температуры, следует следить, чтобы графитовая трубка не нагревалась до красного свечения.
Таблица 7
Условия озоления сухого остатка пробы в атомизаторе
Металл | Температура, °C | Скорость нагрева, °C/с | Продолжительность нагрева, с | Расход инертного газа во внутреннем потоке, см3/мин |
Алюминий | 600 | 100 | 25 | 350 |
Бериллий | 600 | 100 | 25 | 350 |
Ванадий | 600 | 100 | 25 | 350 |
Железо | 600 | 100 | 25 | 350 |
Кадмий | 400 | 100 | 25 | 350 |
Кобальт | 600 | 100 | 25 | 350 |
Марганец | 600 | 100 | 25 | 350 |
Медь | 500 | 100 | 25 | 350 |
Молибден | 600 | 100 | 25 | 350 |
Никель | 600 | 100 | 25 | 350 |
Свинец | 450 | 100 | 25 | 350 |
Серебро | 450 | 100 | 25 | 350 |
Хром | 600 | 100 | 25 | 350 |
Цинк | 450 | 100 | 25 | 350 |
10.5.4. Параметры атомизации задают, руководствуясь
таблицей 8. Регулятор мощности (скорости нагрева) настраивают на максимальную величину электротока. При атомизации заданная температура графитовой трубки должна достигаться раньше или в начале испарения соединений определяемого металла.
На стадии атомизации следует контролировать величину неселективного поглощения. В момент измерения аналитического сигнала она не должна превышать 50% - 70%. В противном случае пробу разбавляют очищенной водой.
Таблица 8
Условия атомизации озоленного остатка пробы
Металл | Температура, °C | Скорость нагрева, °C/с | Продолжительность нагрева, с | Расход инертного газа во внутреннем потоке, см3/мин |
Алюминий | 2600 | Макс. | 6,5 | 350 |
Бериллий | 2600 | Макс. | 5,0 | 250 |
Ванадий | 2660 | Макс. | 6,0 | 100 |
Железо | 2500 | 1500 - 2000 | 4,5 | 40 |
Кадмий | 1800 | 1500 - 2000 | 2,2 | 350 |
Кобальт | 2600 | Макс. | 5,5 | 200 |
Марганец | 2500 | 1500 - 2000 | 4,5 | 160 |
Медь | 2400 | 1500 - 2000 | 4,0 | 120 |
Молибден | 2660 | Макс. | 6,0 | 100 |
Никель | 2660 | Макс. | 7,0 | 350 |
Свинец | 2100 | 1500 - 2000 | 2,5 | 80 |
Серебро | 2200 | 1500 - 2000 | 3,0 | 80 |
Хром | 2600 | Макс. | 7,5 | 350 |
Цинк | 2000 | 1500 - 2000 | 2,5 | 100 |
10.5.5. Использование спектрометра "AAS 30" предусматривает очистку графитовой трубки (отжиг) после атомизации только при измерении массовых концентраций кадмия, марганца, меди, свинца, серебра и цинка. Отжиг проводят при 2500 °C в течение 3 с.
В большинстве случаев при этом устраняются эффекты "памяти" атомизатора на результаты последующих измерений. Отжиг следует повторять, если в момент его окончания неселективное поглощение превышает 15%.
Продолжают дозирование анализируемой пробы в атомизатор только после охлаждения графитовой трубки до 45 - 50 °C.
При использовании спектрометра "Квант-Z.ЭТА" или аналогичного прибора отжиг графитовой трубки выполняют, если величина измеренной абсорбционности пустой трубки превышает значение 0,01.
10.6. Установление градуировочных зависимостей
10.6.1. На приборах с аналоговой регистрацией аналитического сигнала измеряют величину абсорбционности, а на приборах с цифровой регистрацией - массовую концентрацию металла.
10.6.2. Выполняют три измерения при атомизации градуировочного образца с нулевой концентрацией иона металла (бланка) и не менее двух измерений при атомизации градуировочных образцов в порядке возрастания их концентраций в соответствии с
11.1 -
11.2.
По полученным средним значениям аналитического сигнала градуировочных образцов по программе обработки данных спектрометра рассчитываются градуировочные зависимости для каждого металла методом наименьших квадратов в координатах: концентрация металла в мкг/дм3 - величина аналитического сигнала в единицах абсорбционности. Графические зависимости устанавливаются таким образом, чтобы градуировочные прямые проходили через точку, соответствующую среднему значению аналитического сигнала в холостом опыте (бланке). Градуировочные зависимости устанавливают перед измерением массовых концентраций металлов в пробах воды, а также после замены графитовой трубки, коаксиальной платформы или спектральной лампы.
В случае нарушения линейности градуировочной зависимости в области высоких концентраций какого-либо металла, допускается устанавливать градуировочные зависимости для двух диапазонов, так чтобы в каждом диапазоне зависимость была практически линейной. При этом требование, касающееся холостого опыта, должно выполняться только для первого (более низкого) диапазона концентраций.
11.1. Для выполнения измерений на спектрометре "AAS 30" анализируемую пробу воды помещают в графитовую трубку атомизатора или полость коаксиальной платформы в соответствии с
10.3.3 и
10.5.2, измеряют (т.е. считывают непосредственно с дисплея) величину абсорбционности или массовой концентрации каждого металла при соответствующей длине волны (см.
таблицу 5). Повторяют измерение и значения массовой концентрации металла усредняют, если расхождение между ними не превышает величины предела повторяемости r (см.
13.2). В противном случае измерение повторяют.
11.2. Для выполнения измерений на спектрометре "Квант-Z.ЭТА" и аналогичном приборе в мерные колбы вместимостью 25 см3 вносят дозатором раствор соответствующего модификатора, который выбирают, руководствуясь
таблицей 9, доводят объемы растворов в колбах до метки водой анализируемых проб и перемешивают. Дозируют 5 мм3 полученного раствора (10 мм3 - при измерении массовой концентрации никеля) в графитовую печь и выполняют измерение массовой концентрации каждого металла по соответствующей программе прибора. Повторяют измерение и значения массовой концентрации металла усредняют, если расхождение между ними не превышает величины предела повторяемости r (см.
13.2).
Таблица 9
Рекомендуемые химические модификаторы,
их концентрации и объемы
Металл | Модификатор и его концентрация в анализируемой пробе | Объем раствора модификатора, см3, добавляемый к 25 см3 пробы |
Алюминий | 20 мкг/см3  и 100 мкг/см3  | 0,05 и 0,20 соответственно |
Бериллий | 50 мкг/см3  | 0,10 |
Кадмий | 20 мкг/см3  | 0,05 |
Кобальт | 100 мкг/см3  | 0,20 |
Марганец | 20 мкг/см3  | 0,05 |
| 20 мкг/см3  | 0,05 |
Молибден | 20 мкг/см3  и 100 мкг/см3  | 0,05 и 0,2 соответственно |
Свинец | 20 мкг/см3  | 0,05 |
Серебро | 20 мкг/см3  | 0,05 |
Хром | 100 мкг/см3  | 0,20 |
<*> Определение меди возможно без применения модификатора. |
11.3. Если величина массовой концентрации металла в пробе выше таковой для последней точки градуировочной зависимости, повторяют измерение после разбавления пробы таким образом, чтобы абсорбционность полученного раствора соответствовала верхней части диапазона градуировочной зависимости. Для этого в мерную колбу вместимостью 25 см3 вносят аликвоту анализируемой воды (1 - 10 см3) и доводят до метки фоновым раствором.
11.4. Для контроля чувствительности и постоянства условий атомизации проб периодически, через 9 - 10 циклов атомизации, измеряют абсорбционность градуировочного раствора с максимальной концентрацией определяемого металла. Если полученный результат оказывается заниженным на величину, превышающую предел воспроизводимости R (см.
15.1) относительно величины, полученной при градуировке, измерение повторяют. При получении заниженного результата повторного измерения градуировочного образца производят замену графитовой трубки атомизатора.
12. Устранение мешающих влияний
Выполнению измерений мешает высокая минерализация вод, а также присутствие взвешенных и коллоидных веществ.
Повышенная минерализация анализируемой воды в процессе атомизации пробы приводит к возникновению существенного фонового (неселективного) поглощения. Высокое (более 50% - 70%) неселективное поглощение вызывает искажение результатов измерений, если минерализация вод превышает: 10 г/дм3 - для бериллия, кобальта, марганца, меди, никеля и цинка; 5 г/дм3 - для ванадия, железа, кадмия, свинца и хрома; 2,5 г/дм3 - для серебра и по 1 г/дм3 - для алюминия и молибдена.
Автоматическая коррекция (учет) неселективного поглощения в спектрометре "AAS 30" производится с помощью дейтериевой лампы. В таких спектрометрах, как "Квант-Z.ЭТА" для этого используется обратный эффект Зеемана (наложение переменного магнитного поля на атомизатор) и введение в измеряемые растворы соответствующего модификатора матрицы пробы.
При достаточно высоком содержании металлов мешающее влияние избыточной минерализации можно устранить разбавлением пробы очищенной водой.
Мешающее влияние взвешенных и коллоидных веществ устраняют фильтрованием пробы.
13. Вычисление и оформление результатов измерений
13.1. Массовую концентрацию каждого металла X, мкг/дм3, в анализируемой пробе воды рассчитывают по формуле

, (2)
где

- массовая концентрация металла, рассчитанная по соответствующей градуировочной зависимости, мкг/дм3.
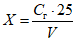
Если для анализа брали меньшую аликвоту пробы воды, массовую концентрацию металла в анализируемой пробе рассчитывают по формуле

, (3)
где V - объем аликвоты анализируемой пробы воды, см3.
13.2. Результат измерения массовой концентрации определяемых металлов в документах, предусматривающих его использование, представляют в виде

, мкг/дм3 (P = 0,95), (4)
где

- среднее арифметическое значение двух результатов, разность между которыми не превышает предела повторяемости r

. Значения

приведены в
таблице 2. При превышении предела повторяемости следует поступать в соответствии с
14.2;

- границы характеристики погрешности измерении данной массовой концентрации металлов, мкг/дм3
(таблица 2).
Численные значения результата измерения должны оканчиваться цифрой того же разряда, что и значения характеристики погрешности, которые не должны содержать более двух значащих цифр.
13.3. Допустимо представлять результат в виде

(P = 0,95) при условии

, (5)
где

- границы характеристик погрешности результатов анализа, установленные при реализации методики в лаборатории и обеспечиваемые контролем стабильности результатов измерений, мкг/дм3.
Примечание. Допустимо характеристику погрешности результатов измерений при внедрении методики в лаборатории устанавливать на основе выражения

с последующим уточнением по мере накопления информации в процессе контроля стабильности результатов измерений.
13.4. Результаты измерения оформляют протоколом или записью в журнале, по формам, приведенным в Руководстве по качеству лаборатории.
14. Контроль качества результатов измерений
при реализации методики в лаборатории
14.1.1. Контроль качества результатов измерений при реализации методики в лаборатории предусматривает:
- оперативный контроль исполнителем процедуры выполнения измерений (на основе оценки повторяемости, погрешности при реализации отдельно взятой контрольной процедуры);
- контроль стабильности результатов измерений (на основе контроля стабильности среднеквадратического отклонения повторяемости, погрешности).
14.1.2. Периодичность контроля исполнителем процедуры выполнения измерений, а также реализуемые процедуры контроля стабильности результатов выполняемых измерений регламентируются в Руководстве по качеству лаборатории.
14.2. Алгоритм оперативного контроля повторяемости
14.2.1. Контроль повторяемости осуществляют для каждого из результатов измерений, полученных в соответствии с методикой. Для этого отобранную пробу воды делят на две части и выполняют измерения в соответствии с
разделом 11.
14.2.2. Результат контрольной процедуры

, мкг/дм3, рассчитывают по формуле

, (6)
где

,

- результаты единичных измерений массовой концентрации каждого металла в пробе, мкг/дм3.
14.2.3. Предел повторяемости r, мкг/дм3, рассчитывают по формуле

, (7)
14.2.4. Результат контрольной процедуры должен удовлетворять условию

. (8)
14.2.5. При несоблюдении условия (8) выполняют еще два измерения и сравнивают разницу между максимальным и минимальным результатами с нормативом контроля, равным

. В случае повторного превышения предела повторяемости поступают в соответствии с ГОСТ Р ИСО 5725-6
(раздел 5).
14.3. Алгоритм оперативного контроля процедуры выполнения измерений с использованием метода добавок совместно с методом разбавления проб
14.3.1. Оперативный контроль процедуры выполнения измерений с использованием метода добавок совместно с методом разбавления пробы проводят, если массовая концентрация металла в рабочей пробе превышает величину концентрации, соответствующую нижнему пределу диапазона измерений массовой концентрации в 5 раз и более (см.
таблица 2). В противном случае оперативный контроль проводят с использованием метода добавок согласно
п. 14.4. Для введения добавок используют ГСО ионов металла.
14.3.2. Оперативный контроль исполнителем процедуры выполнения измерений проводят путем сравнения результатов отдельно взятой контрольной процедуры

с нормативом контроля K.
14.3.3. Результат контрольной процедуры

, мг/дм3, рассчитывают по формуле

, (9)
где

- среднее арифметическое результатов контрольных измерений массовой концентрации металла в пробе, разбавленной в

раз, с известной добавкой, мкг/дм3;

- среднее арифметическое результатов контрольных измерений массовой концентрации металла в пробе, разбавленной в

раз, мкг/дм3;

- среднее арифметическое результатов контрольных измерений
массовой концентрации металла в рабочей пробе, мкг/дм3;
C - концентрация добавки, мкг/дм3.
14.3.4. Норматив контроля

, мкг/дм3, рассчитывают по формуле

, (10)
где

,

и

- значения характеристик погрешности результатов измерений, установленные при реализации методики в лаборатории, соответствующие массовой концентрации металла в разбавленной пробе с добавкой, разбавленной пробе и в рабочей пробе соответственно, мкг/дм3.
Примечание. Допустимо для расчета норматива контроля использовать значения характеристик погрешности, полученные расчетным путем по формулам

,

и

с последующим уточнением по мере накопления информации в процессе контроля стабильности результатов измерений.
14.3.5. Если результат контрольной процедуры удовлетворяет условию:

, (11)
процедуру анализа признают удовлетворительной.
При невыполнении условия (11) контрольную процедуру повторяют. При повторном невыполнении условия (11) выясняют причины, приводящие к неудовлетворительным результатам, и принимают меры по их устранению.
14.4. Алгоритм оперативного контроля процедуры выполнения измерений с использованием метода добавок
14.4.1. Контроль исполнителем процедуры выполнения измерений проводят путем сравнения результатов отдельно взятой контрольной процедуры

с нормативом контроля K.
14.4.2. Результат контрольной процедуры

, мкг/дм3, рассчитывают по формуле

, (12)
где

- результат контрольного измерения массовой концентрации металла в пробе с известной добавкой, мкг/дм3.
14.4.3. Норматив контроля погрешности

, мкг/дм3, рассчитывают по формуле

. (13)
Примечание. Допустимо для расчета норматива контроля использовать значения характеристик погрешности, полученные расчетным путем по формулам

и

с последующим уточнением по мере накопления информации в процессе контроля стабильности результатов измерений.
14.4.4. Если результат контрольной процедуры удовлетворяет условию

, (14)
процедуру признают удовлетворительной.
При невыполнении условия (14) контрольную процедуру повторяют. При повторном невыполнении условия (14) выясняют причины, приводящие к неудовлетворительным результатам, и принимают меры по их устранению.
15. Проверка приемлемости результатов,
полученных в условиях воспроизводимости
15.1. Расхождение между результатами измерений, полученными в двух лабораториях, не должно превышать предела воспроизводимости R. При выполнении этого условия приемлемы оба результата измерений, и в качестве окончательного может быть использовано их общее среднее значение. Значение предела воспроизводимости рассчитывают по формуле

. (15)
15.2. При превышении предела воспроизводимости могут быть использованы методы оценки приемлемости результатов измерений согласно ГОСТ Р ИСО 5725-6
(раздел 5) или
МИ 2881.
15.3. Проверку приемлемости проводят при необходимости сравнения результатов измерений, полученных двумя лабораториями.
ФЕДЕРАЛЬНАЯ СЛУЖБА ПО ГИДРОМЕТЕОРОЛОГИИ
И МОНИТОРИНГУ ОКРУЖАЮЩЕЙ СРЕДЫ
ГОСУДАРСТВЕННОЕ УЧРЕЖДЕНИЕ
"ГИДРОХИМИЧЕСКИЙ ИНСТИТУТ"
ОБ АТТЕСТАЦИИ МЕТОДИКИ ВЫПОЛНЕНИЯ ИЗМЕРЕНИЙ N 28.24-2008
Методика выполнения измерений массовой концентрации алюминия, бериллия, ванадия, железа, кадмия, кобальта, марганца, меди, молибдена, никеля, свинца, серебра, хрома и цинка в водах методом атомной абсорбции с прямой электротермической атомизацией проб, разработанная Государственным учреждением Гидрохимический институт и регламентированная РД 52.24.377-2008. Массовая концентрация алюминия, бериллия, ванадия, железа, кадмия, кобальта, марганца, меди, молибдена, никеля, свинца, серебра, хрома и цинка в водах. Методика выполнения измерений методом атомной абсорбции с прямой электротермической атомизацией проб аттестована в соответствии с
ГОСТ Р 8.563-96 с изменениями 2002 г.
Аттестация осуществлена по результатам экспериментальных исследований.
В результате аттестации установлено, что методика выполнения измерений соответствует предъявляемым к ней метрологическим требованиям и обладает метрологическими характеристиками, приведенными в таблицах 1 и
2.
Таблица 1
Диапазон измерений, значения характеристик
погрешности измерений и ее составляющих
при принятой вероятности P = 0,95
| | ИС МЕГАНОРМ: примечание. В официальном тексте документа, видимо, допущена опечатка: в графе "Показатель повторяемости (среднеквадратическое отклонение повторяемости)" таблицы имеются в виду единицы измерения мкг/дм3, а не кг/дм3. | |
Металл | Диапазон измерений массовой концентрации X, мкг/дм3 | Показатель повторяемости (среднеквадратическое отклонение повторяемости)  , кг/дм3 | Показатель воспроизводимости (среднеквадратическое отклонение воспроизводимости)  , мкг/дм3 | Показатель правильности (границы систематической погрешности)  , мкг/дм3 | Показатель точности (границы погрешности)  , мкг/дм3 |
Алюминий | От 6,0 до 60,0 включ. | 0,1 + 0,05 x X | 0,2 + 0,08 x X | 0,2 + 0,05 x X | 0,6 + 0,17 x X |
Бериллий | От 0,20 до 4,00 включ. | 0,03 + 0,03 x X | 0,05 + 0,07 x X | 0,04 + 0,05 x X | 0,10 + 0,14 x X |
Ванадий | От 2,0 до 100,0 включ. | 0,3 + 0,05 x X | 0,4 + 0,08 x X | 0,2 + 0,06 x X | 0,7 + 0,17 x X |
Железо | От 10 до 200 включ. | 1 + 0,07 x X | 1 + 0,10 x X | 1 + 0,07 x X | 2 + 0,19 x X |
Кадмий | От 0,10 до 2,00 включ. | 0,01 + 0,03 x X | 0,02 + 0,05 x X | 0,02 + 0,02 x X | 0,05 + 0,10 x X |
Кобальт | От 2,0 до 40,0 включ. | 0,3 + 0,05 x X | 0,5 + 0,07 x X | 0,4 + 0,06 x X | 1,0 + 0,14 x X |
Марганец | От 1,0 до 15,0 включ. | 0,1 + 0,04 x X | 0,1 + 0,06 x X | 0,1 + 0,04 x X | 0,2 + 0,12 x X |
Медь | От 1,0 до 30,0 включ. | 0,1 + 0,06 x X | 0,1 + 0,09 x X | 0,1 + 0,06 x X | 0,2 + 0,19 x X |
Молибден | От 1,0 до 50,0 включ. | 0,1 + 0,05 x X | 0,2 + 0,08 x X | 0,1 + 0,05 x X | 0,6 + 0,17 x X |
Никель | От 5,0 до 60,0 включ. | 0,7 + 0,04 x X | 1 + 0,06 x X | 0,6 + 0,04 x X | 2 + 0,12 x X |
Серебро | От 0,02 до 4,00 включ. | 0,05 x X | 0,07 x X | 0,01 + 0,05 x X | 0,01 + 0,14 x X |
Свинец | От 2,0 до 30,0 включ. | 0,3 + 0,04 x X | 0,5 + 0,06 x X | 0,2 + 0,05 x X | 1 + 0,12 x X |
Хром | От 1,0 до 30,0 включ. | 0,1 + 0,07 x X | 0,1 + 0,10 x X | 0,08 x X | 0,4 + 0,22 x X |
Цинк | От 2,0 до 20,0 включ. | 0,3 + 0,05 x X | 0,5 + 0,08 x X | 0,6 + 0,04 x X | 1 + 0,17 x X |
Таблица 2
Диапазон измерений, значения пределов повторяемости
и воспроизводимости при принятой вероятности P = 0,95
Металл | Диапазон измерений массовой концентрации X, мкг/дм3 | Предел повторяемости (для двух результатов параллельных определений) r, мг/дм3 | Предел воспроизводимости (для двух результатов измерений) R, мг/дм3 |
Алюминий | От 6,0 до 60,0 включ. | 0,3 + 0,14 x X | 0,6 + 0,22 x X |
Бериллий | От 0,20 до 4,00 включ. | 0,08 + 0,08 x X | 0,14 + 0,19 x X |
Ванадий | От 2,0 до 100,0 включ. | 0,8 + 0,14 x X | 1,1 + 0,22 x X |
Железо | От 10 до 200 включ. | 3 + 0,19 x X | 3 + 0,28 x X |
Кадмий | От 0,10 до 2,00 включ. | 0,03 + 0,08 x X | 0,06 + 0,14 x X |
Кобальт | От 2,0 до 40,0 включ. | 0,8 + 0,14 x X | 1,4 + 0,19 x X |
Марганец | От 1,0 до 15,0 включ. | 0,3 + 0,11 x X | 0,3 + 0,17 x X |
Медь | От 1,0 до 30,0 включ. | 0,3 + 0,17 x X | 0,3 + 0,25 x X |
Молибден | От 1,0 до 50,0 включ. | 0,3 + 0,14 x X | 0,6 + 0,22 x X |
Никель | От 5,0 до 60,0 включ. | 1,9 + 0,11 x X | 3 + 0,17 x X |
Серебро | От 0,02 до 4,00 включ. | 0,014 x X | 0,19 x X |
Свинец | От 2,0 до 30,0 включ. | 0,8 + 0,11 x X | 1,4 + 0,17 x X |
Хром | От 1,0 до 30,0 включ. | 0,3 + 0,19 x X | 0,3 + 0,28 x X |
Цинк | От 2,0 до 20,0 включ. | 0,8 + 0,14 x X | 1,4 + 0,22 x X |
При реализации методики в лаборатории обеспечивают:
- оперативный контроль исполнителем процедуры выполнения измерений (на основе оценки повторяемости, погрешности при реализации отдельно взятой контрольной процедуры);
- контроль стабильности результатов измерений (на основе контроля среднеквадратического отклонения повторяемости, погрешности).
Алгоритм оперативного контроля исполнителем процедуры выполнения измерений приведен в РД 52.24.377-2008.
Периодичность оперативного контроля и процедуры контроля стабильности результатов выполнения измерений регламентируют в Руководстве по качеству лаборатории.
Дата выдачи свидетельства 15 апреля 2008 г.
Директор
А.М.НИКАНОРОВ
Главный метролог
А.А.НАЗАРОВА