Главная // Актуальные документы // МетодикаСПРАВКА
Источник публикации
М.: Стандартинформ, 2017
Примечание к документу
Документ утратил силу с 01.01.2021 в связи с истечением срока действия, установленного
Приказом Росстандарта от 25.04.2017 N 2-пнст. Взамен введен в действие
ГОСТ Р 113.38.03-2021, утв.
Приказом Росстандарта от 25.11.2021 N 1589-ст.
Документ
введен в действие с 01.01.2018 на период по 01.01.2021 (
Приказ Росстандарта от 25.04.2017 N 2-пнст).
Название документа
"ПНСТ 187-2017. Предварительный национальный стандарт Российской Федерации. Наилучшие доступные технологии. Автоматические системы непрерывного контроля и учета выбросов вредных (загрязняющих) веществ тепловых электростанций в атмосферный воздух. Основные требования"
(утв. и введен в действие Приказом Росстандарта от 25.04.2017 N 2-пнст)
"ПНСТ 187-2017. Предварительный национальный стандарт Российской Федерации. Наилучшие доступные технологии. Автоматические системы непрерывного контроля и учета выбросов вредных (загрязняющих) веществ тепловых электростанций в атмосферный воздух. Основные требования"
(утв. и введен в действие Приказом Росстандарта от 25.04.2017 N 2-пнст)
Утвержден и введен в действие
агентства по техническому
регулированию и метрологии
от 25 апреля 2017 г. N 2-пнст
ПРЕДВАРИТЕЛЬНЫЙ НАЦИОНАЛЬНЫЙ СТАНДАРТ
РОССИЙСКОЙ ФЕДЕРАЦИИ
НАИЛУЧШИЕ ДОСТУПНЫЕ ТЕХНОЛОГИИ
АВТОМАТИЧЕСКИЕ СИСТЕМЫ НЕПРЕРЫВНОГО КОНТРОЛЯ
И УЧЕТА ВЫБРОСОВ ВРЕДНЫХ (ЗАГРЯЗНЯЮЩИХ) ВЕЩЕСТВ
ТЕПЛОВЫХ ЭЛЕКТРОСТАНЦИЙ В АТМОСФЕРНЫЙ ВОЗДУХ
ОСНОВНЫЕ ТРЕБОВАНИЯ
Best available techniques. Automatic systems
for continuous control and metering of contaminants
emissions from thermal electric power stations into air.
General requirements
ПНСТ 187-2017
Срок действия
с 1 января 2018 года
до 1 января 2021 года
1 РАЗРАБОТАН Федеральным государственным бюджетным образовательным учреждением высшего образования "Национальный исследовательский университет "МЭИ" (ФГБОУ ВО "НИУ "МЭИ"), Ассоциацией "Совет производителей электроэнергии и стратегических инвесторов электроэнергетики", Федеральным государственным унитарным предприятием "Всероссийский научно-исследовательский институт стандартизации материалов и технологий" (ФГУП "ВНИИ СМТ")
2 ВНЕСЕН Техническим комитетом по стандартизации ТК 113 "Наилучшие доступные технологии"
3 УТВЕРЖДЕН И ВВЕДЕН В ДЕЙСТВИЕ
Приказом Федерального агентства по техническому регулированию и метрологии от 25 апреля 2017 г. N 2-пнст
Правила применения настоящего стандарта и проведения его мониторинга установлены в ГОСТ Р 1.16-2011 (разделы 5 и 6).
Федеральное агентство по техническому регулированию и метрологии собирает сведения о практическом применении настоящего стандарта. Данные сведения, а также замечания и предложения по содержанию стандарта можно направить не позднее чем за 4 мес до истечения срока его действия разработчику настоящего стандарта ФГУП "ВНИИ СМТ" по адресу: 117418 Москва, Нахимовский просп., д. 31, корп. 2; m.volosatova@vniismt.ru и в Федеральное агентство по техническому регулированию и метрологии по адресу: 109074 Москва, Китайгородский проезд, д. 7, стр. 1.
В случае отмены настоящего стандарта соответствующая информация будет опубликована в ежемесячном информационном указателе "Национальные стандарты" и также будет размещена на официальном сайте Федерального агентства по техническому регулированию и метрологии в сети Интернет (www.gost.ru)
Настоящий стандарт устанавливает основные требования к проектированию и эксплуатации автоматических систем непрерывного контроля и учета объема и/или массы и концентрации выбросов (АСНКиУВ) вредных (загрязняющих) веществ в дымовых газах энергетических установок тепловых электростанций (ТЭС) и котельных.
Данные системы предназначены для непрерывного инструментального контроля выбросов вредных (загрязняющих) веществ энергетических установок на органическом топливе (котлы и газотурбинные установки) и стационарных источников загрязнения атмосферного воздуха (дымовые трубы) тепловых электростанций и котельных.
Требования настоящего стандарта предназначены для применения на ТЭС, отнесенных к предприятиям I категории
[1], и на других ТЭС и в котельных, планирующих внедрение АСНКиУВ.
В настоящем стандарте использованы нормативные ссылки на следующие стандарты:
ГОСТ 2.114 Единая система конструкторской документации. Технические условия
ГОСТ 19.201 Единая система программной документации. Техническое задание. Требования к содержанию и оформлению
ГОСТ 19.301 Единая система программной документации. Программа и методика испытаний. Требования к содержанию и оформлению
ГОСТ 34.602 Информационная технология. Комплекс стандартов на автоматизированные системы. Техническое задание на создание автоматизированной системы
ГОСТ 3619 Котлы паровые стационарные. Типы и основные параметры
ГОСТ Р 8.563 Государственная система обеспечения единства измерений. Методики (методы) измерений
ГОСТ Р 8.596 Государственная система обеспечения единства измерений. Метрологическое обеспечение измерительных систем. Основные положения
ГОСТ Р 8.674 Государственная система обеспечения единства измерений. Общие требования к средствам измерений и техническим системам и устройствам с измерительными функциями
ГОСТ Р 50831 Установки котельные. Тепломеханическое оборудование. Общие технические требования
Примечание - При пользовании настоящим стандартом целесообразно проверить действие ссылочных стандартов в информационной системе общего пользования - на официальном сайте Федерального агентства по техническому регулированию и метрологии в сети Интернет или по ежегодному информационному указателю "Национальные стандарты", который опубликован по состоянию на 1 января текущего года, и по выпускам ежемесячного информационного указателя "Национальные стандарты" за текущий год. Если заменен ссылочный стандарт, на который дана недатированная ссылка, то рекомендуется использовать действующую версию этого стандарта с учетом всех внесенных в данную версию изменений. Если заменен ссылочный стандарт, на который дана датированная ссылка, то рекомендуется использовать версию этого стандарта с указанным выше годом утверждения (принятия). Если после утверждения настоящего стандарта в ссылочный стандарт, на который дана датированная ссылка, внесено изменение, затрагивающее положение, на которое дана ссылка, то это положение рекомендуется применять без учета данного изменения. Если ссылочный стандарт отменен без замены, то положение, в котором дана ссылка на него, рекомендуется применять в части, не затрагивающей эту ссылку.
3 Термины, определения и сокращения
В настоящем предстандарте применены следующие термины с соответствующими определениями:
3.1 автоматическая система непрерывного контроля и учета выбросов; АСНКиУВ: Информационно-измерительная система, предназначенная для непрерывных измерений и учета объема и/или массы выбросов загрязняющих веществ и концентрации вредных веществ с установленной погрешностью в дымовых газах и передачи этой информации в государственный фонд данных экологического мониторинга (государственного мониторинга окружающей среды).
3.2 аналитическое оборудование: Применяемые в составе АСНКиУВ газоанализаторы, средства измерения расходов отходящих газов или топлива, средства измерения физических параметров (температура, давление, влажность) отходящих газов.
3.3 беспробоотборный анализатор: Средство измерения, проводящее газовый анализ непосредственно в потоке дымовых газов без отбора газовой пробы за пределы газохода.
3.4 валовый выброс: Масса выбрасываемого в атмосферу загрязняющего вещества в течение определенного отчетного периода времени (т/год) от источника или совокупности источников загрязнения.
3.5
вредное (загрязняющее) вещество: Химическое или биологическое вещество либо смесь таких веществ, которые содержатся в атмосферном воздухе и которые в определенных концентрациях оказывают вредное воздействие на здоровье человека и окружающую среду. |
3.6
временно разрешенные выбросы: Объем или масса химических веществ либо смеси химических веществ, микроорганизмов, иных веществ, разрешенные для выброса в атмосферный воздух и устанавливаемые для действующих стационарных источников в целях достижения нормативов допустимых выбросов на период выполнения плана мероприятий по охране окружающей среды или достижения технологических нормативов на период реализации программы повышения экологической эффективности. |
3.7
выброс: Поступление веществ (газов, пыли, аэрозолей) в окружающую среду, преимущественно в атмосферный воздух. |
3.8 газоанализатор: Средство измерения для определения качественного и/или количественного состава газовой смеси, основанное на каком-либо физико-химическом процессе.
3.9
газоаналитическая система: Измерительная система, включающая газоанализатор, вспомогательное оборудование и средства первичной обработки и хранения результатов. |
3.10 газовый тракт котельной установки: Часть газовоздушного тракта от среза горелки до ввода в дымовую трубу, по которому перемещаются продукты сгорания, в котором установлены аппараты газо-, пылеочистки продуктов сгорания и дымососы.
3.11 газотурбинная установка; ГТУ: Совокупность воздушного компрессора, камеры сгорания и газовой турбины, а также вспомогательных систем, обеспечивающих ее работу.
3.12 газоход: Короб или труба, внутри которой перемещаются отходящие от энергетической установки продукты сгорания.
3.13
измерение: Совокупность действий, выполняемых при помощи средств измерений с целью нахождения числового для определения количественного значения измеряемой величины в принятых единицах измерения. |
3.14 измерительное сечение: Сечение газохода, в котором проводится отбор газовой пробы для пробоотборных систем или непосредственное определение газового состава при использовании беспробоотборных систем.
3.15
измерительная система; ИС: Совокупность измерительных, связующих, вычислительных компонентов, образующих измерительные каналы, и вспомогательных устройств (компонентов измерительной системы), функционирующих как единое целое, предназначенная для: - получения информации о состоянии объекта с помощью измерительных преобразований в общем случае множества изменяющихся во времени и распределенных в пространстве величин, характеризующих это состояние; - машинной обработки результатов измерений; - регистрации и индикации результатов измерений и результатов их машинной обработки; - преобразования этих данных в выходные сигналы системы в разных целях. Примечание - ИС обладают основными признаками средств измерений и являются их разновидностью. |
3.16
источник выброса: Сооружение, техническое устройство, оборудование, которые выделяют в атмосферный воздух вредные (загрязняющие) вещества. |
3.17
калибровка средств измерений: Совокупность операций, выполняемых для определения действительных значений метрологических характеристик средств измерений. |
3.18 контрольное сечение: Сечение газового тракта за котлом и далее по газоходу, включая дымовую трубу, в котором проводят измерения концентраций загрязняющих веществ для контроля и учета массовых выбросов вредных веществ в атмосферу.
3.19 котел-утилизатор: Паровой или водогрейный котел, не имеющий собственной топки и использующий тепло отходящих газов какой-либо промышленной или энергетической установки.
3.20
котельная установка: Котел (котлоагрегат) совместно с горелочными, топочными тягодутьевыми устройствами, механизмами для удаления продуктов горения и использования тепловой энергии уходящих газов (экономайзерами, воздухоподогревателями и т.д.), оснащенный средствами автоматического регулирования, контроля и сигнализации процесса выработки теплоносителя заданных параметров. |
3.21 локальный (одноточечный) зонд: Пробоотборный зонд, обеспечивающий отбор пробы газа из одной точки потока или объема газовой смеси.
3.22 массовый выброс: Масса загрязняющего вещества, поступающего в атмосферу от источника загрязнения атмосферы в единицу времени (г/с).
3.23
методика (метод) измерений: Совокупность конкретно описанных операций, выполнение которых обеспечивает получение результатов измерений с установленными показателями точности. |
3.24 метрологическое требование: Требование к влияющим на результат и показатели точности измерений характеристикам (параметрам) измерений, средствам измерений, а также к условиям, при которых эти характеристики (параметры) должны быть обеспечены.
3.25 метрологическое обеспечение измерений при контроле вредных выбросов: Установление и применение научных и организационных основ, технических средств, метрологических правил и норм, необходимых для получения достоверной измерительной информации о концентрации и массе выброса вредного (загрязняющего) вещества в дымовых газах энергетической установки.
3.26
наилучшая доступная технология: Технология производства продукции (товаров), выполнения работ, оказания услуг, определяемая на основе современных достижений науки и техники и наилучшего сочетания критериев достижения целей охраны окружающей среды при условии наличия технической возможности ее применения. |
3.27 непрерывные измерения: Круглосуточные измерения, допускающие перерывы для проведения ремонтных, наладочных, поверочных (калибровочных) работ.
3.28 нормальные условия: Температура 273,15 К и давление 101,3 кПа.
3.29
организованный промышленный выброс: Промышленный выброс, поступающий в атмосферу через специально сооруженные газоходы, воздуховоды и трубы. |
3.30 побудитель расхода: Устройство (эжектор, насосы мембранные, ротационные и др.), обеспечивающее транспортирование газовой пробы от места ее отбора к газоанализатору с помощью пробоотборной линии.
3.31 поверка (средств измерений): Определение погрешностей средств измерений (газоанализатор, измерительный канал и др.) и установление их пригодности к применению и соответствия классу точности.
3.32 поверочные газовые смеси: Газовые смеси определенного состава, подготовленные в соответствии с установленными техническими требованиями и используемые для поверки и калибровки средств измерений.
3.33
нормативы допустимых выбросов: Нормативы выбросов загрязняющих веществ в атмосферный воздух, которые определяются как объем или масса химических веществ либо смеси химических веществ, микроорганизмов, иных веществ, как показатели активности радиоактивных веществ, допустимые для выброса в атмосферный воздух стационарными источниками. |
3.34 приемочные испытания АСНКиУВ: Контрольные испытания, проводимые после пусконаладочных испытаний с целью выявления возможности функционирования АСНКиУВ с надлежащим качеством в соответствии с техническим заданием.
3.35 пусконаладочные испытания АСНКиУВ: Испытания, направленные на выявление и устранение ошибок, допущенных на стадиях проектирования и монтажа АСНКиУВ.
3.36 проба газов: Объем газовой смеси, отбираемый из потока или объема исследуемых газов для анализа.
3.37 пробоотборная (газоимпульсная) линия: Элемент газоаналитической системы, служащий для транспортирования пробы газов от места забора пробы до газоанализатора без изменения ее химического и количественного состава. Может содержать или не содержать побудитель расхода.
3.38 пробоотборные газоанализаторы: Средства измерений, проводящие анализ газовой пробы, отобранной из потока дымовых газов за пределы газохода.
3.39 пробоотборный зонд (пробоотборник): Устройство для отбора газовой пробы из потока или объема исследуемой газовой смеси без изменения ее химического и количественного состава.
3.40 продукты сгорания: Газы, образующиеся в процессе сгорания топлива.
3.41 средства измерений: Технические средства, применяемые для проведения измерений и имеющие нормированные метрологические свойства.
3.42 стандартные условия: Сухие дымовые газы при содержании кислорода (O2), равном 6% для котельных установок и 15% - для газотурбинных установок, и нормальных условиях.
3.43
сухие газы (продукты сгорания): Дымовые газы, в которых произошла конденсация водяных паров (образовавшихся в процессе горения топлива) из-за их остывания до температур ниже температуры насыщения (при

).
3.44
стационарный источник загрязнения окружающей среды (стационарный источник): Источник загрязнения окружающей среды, местоположение которого определено с применением единой государственной системы координат или который может быть перемещен посредством передвижного источника загрязнения окружающей среды. |
3.45 стационарная энергетическая установка: Энергетическая (котельная или газотурбинная) установка, местоположение которой не меняется и выбросы которой осуществляются через стационарный источник выбросов.
3.46 техническое задание на проектирование АСНКиУВ: Комплекс требований, условий и показателей, которым должна соответствовать АСНКиУВ для конкретной ТЭС.
3.47
технологические нормативы: Нормативы выбросов, сбросов загрязняющих веществ, нормативы допустимых физических воздействий, которые устанавливаются с применением технологических показателей. |
3.48
технологические показатели: Показатели концентрации загрязняющих веществ, объема и/или массы выбросов, сбросов загрязняющих веществ, образования отходов производства и потребления, потребления воды и использования энергетических ресурсов в расчете на единицу времени или единицу производимой продукции (товара), выполняемой работы, оказываемой услуги. |
3.49 удельный выброс: Выброс загрязняющих веществ, приходящихся на единицу массы сжигаемого топлива или тонну условного топлива (т у.т.) (кг/т или кг/т у.т.) или на единицу вводимого в топку тепла (г/МДж).
3.50 условное топливо: Принятое для расчетов условное топливо (у.т.) с теплотой сгорания, равной 29,33 МДж/кг (7000 ккал/кг); выражается в тоннах условного топлива (т у.т.).
3.51 усредняющий (многоточечный) зонд: Пробоотборный зонд, обеспечивающий усреднение состава газовой пробы за счет одновременного отбора пробы из нескольких точек потока или объема газовой смеси.
3.52 устройства подготовки пробы: Совокупность устройств, обеспечивающая подготовку отобранной пробы газов в соответствии с техническими условиями используемого газоанализатора. Может включать фильтры грубой и тонкой очистки, устройства для удаления влаги и т.д.
3.53 штатные средства измерений: Измерительные приборы и датчики, входящие в штатную комплектацию котельной установки и используемые для контроля рабочих процессов.
В настоящем стандарте применены следующие сокращения:
АС - автоматическая система;
ГТУ - газотурбинная установка;
ИЗА - источник загрязнения атмосферы;
ИС - измерительная система;
КИПиА - контрольно-измерительные приборы и автоматика;
НДТ - наилучшая доступная технология;
ПГУ - парогазовая установка;
ПТО - производственно-технический отдел;
ТЗ - техническое задание.
4 Назначение и задачи АСНКиУВ
4.1 Автоматическая система непрерывного контроля и учета вредных выбросов (АСНКиУВ) предназначена для непрерывных (круглосуточных) инструментальных измерений и учета объема и/или массы и концентрации выбросов в атмосферный воздух загрязняющих веществ в дымовых газах стационарных энергетических установок ТЭС и котельных с установленной погрешностью и передачи информации об объеме и/или о массе выбросов загрязняющих веществ и о концентрации загрязняющих веществ в Государственный фонд данных государственного экологического мониторинга (государственного мониторинга окружающей среды).
4.2 Основной целью создания и эксплуатации АСНКиУВ является контроль и учет выбросов загрязняющих веществ в атмосферный воздух для снижения негативного воздействия ТЭС на окружающую среду.
4.3 Основными задачами АСНКиУВ являются:
- обеспечение достоверного непрерывного инструментального контроля и учета массовых выбросов загрязняющих веществ в атмосферный воздух в реальных условиях эксплуатации энергетического оборудования;
- передача данных о выбросах энергетических объектов в фонд данных государственного мониторинга окружающей среды;
- контроль за соблюдением нормативов допустимых выбросов вредных веществ.
4.4 При отсутствии в газовом тракте энергетической установки золоуловителей и устройств сероочистки дымовых газов контроль массовых выбросов (г/с) твердых частиц и диоксида серы SO2 может быть реализован расчетным путем по балансовым уравнениям с учетом состава (соответственно зольности Ar и сернистости Sr) сжигаемого топлива.
5 Стадии внедрения АСНКиУВ
5.1 Работы по внедрению АСНКиУВ включают следующие обязательные стадии и этапы:
- предпроектные работы:
предварительное обследование энергетических объектов;
разработка технического задания на проектирование АСНКиУВ;
- проектирование (разработка проектной документации) АСНКиУВ;
- закупка оборудования и программного обеспечения для проведения непрерывных измерений;
- монтаж и подключение измерительного оборудования АСНКиУВ;
- пусконаладочные работы и приемочные испытания по вводу АСНКиУВ в эксплуатацию;
- разработка и утверждение инструкции по эксплуатации АСНКиУВ;
- поверка измерительного оборудования и сертификация измерительной системы;
- обучение обслуживающего персонала правилам работы АСНКиУВ;
- ввод в эксплуатацию.
6.1 Предварительное обследование энергетических объектов
6.1.1 Предварительное обследование ТЭС проводят с целью определения основных исходных режимных и конструктивных параметров отдельных энергетических установок, в которых происходит образование вредных (загрязняющих) веществ (при сжигании природного газа: оксиды азота NO и NO2, монооксид углерода CO; при сжигании твердых и жидких топлив: оксиды азота NO и NO2, монооксид углерода CO, диоксид серы SO2, твердые частицы), и ТЭС или котельной в целом, включая источники загрязнения атмосферы (дымовые трубы).
6.1.2 В рамках предварительного обследования проводят полный осмотр энергетической (котельной или газотурбинной) установки для оценки состояния газоходов и уточнения их размеров.
6.1.3 Предварительное обследование ТЭС включает определение:
- перечня источников загрязнения атмосферного воздуха и эксплуатируемого энергетического оборудования;
- вида используемого основного и резервного топлива;
- перечня установленного за котлами пыле-, газоочистного оборудования и его рабочих характеристик;
- диапазона изменения концентраций вредных (загрязняющих) веществ, температур и расхода дымовых газов в рабочем диапазоне нагрузок энергетического оборудования по длине газового тракта;
- значений других физических параметров, характеризующих рабочий процесс;
- основных размеров газового тракта энергетических установок и дымовых труб.
6.1.4 Предварительное обследование проводит персонал ТЭС либо специализированная организация, выполняющая проектирование АСНКиУВ.
Пример опросного листа для проведения предварительного обследования приведен в
приложении А.
6.2 Основные требования к разработке технического задания на проектирование АСНКиУВ
6.2.1 Проект технического задания (ТЗ) на автоматизированные системы (АС) разрабатывается в соответствии с
ГОСТ 34.602 на основании технических требований (заявки, тактико-технического задания и т.п.). При конкурсной организации работ заказчик рассматривает варианты проекта ТЗ на АС и выбирает предпочтительный вариант или с участием будущего разработчика АС на основании сопоставительного анализа готовит окончательный вариант ТЗ на АСНКиУВ.
6.2.2 Техническое задание на АСНКиУВ разрабатывают на систему в целом. Дополнительно могут быть разработаны ТЗ на отдельные элементы АСНКиУВ (на комплектующие средства технического обеспечения и программно-технические комплексы по
ГОСТ 2.114, на программные средства в соответствии с
ГОСТ 19.201).
6.2.3 Техническое задание на АСНКиУВ должно содержать следующие разделы:
- общие сведения;
- назначение и цели создания системы;
- исходные данные для разработки и характеристики объектов (описание конструктивных и рабочих параметров объектов, на которых устанавливается измерительное оборудование);
- общие технические требования к АСНКиУВ, включая перечень контролируемых вредных (загрязняющих) веществ, обоснование диапазонов их измерений и допустимую погрешность, требования к процессу непрерывных измерений с учетом перерывов на ремонтные, наладочные и поверочные работы, требования к программному обеспечению АСНКиУВ;
- стадии разработки, состав, содержание и сроки работ по созданию системы, включая обоснование выбора мест установки и типа измерительного и вспомогательного оборудования, структуру АСНКиУВ и описание ее элементов;
- требования к составу и содержанию работ по подготовке и вводу системы в действие;
- порядок контроля и приемки системы;
- требования к документированию.
7.1 Требования к проектированию
7.1.1 Основанием для проектирования АСНКиУВ является согласованное с исполнителем и утвержденное заказчиком техническое задание на проектирование АСНКиУВ.
7.1.3 При проектировании АСНКиУВ рекомендуется разработать технико-экономическое обоснование принимаемых решений с учетом особенностей оборудования, условий производства, требований безопасности и удобства обслуживания.
7.2 Состав АСНКиУВ
7.2.1 АСНКиУВ включает:
- пробоотборные и беспробоотборные газоанализаторы;
- средства измерения скорости и расхода дымовых газов;
- вспомогательное оборудование (пробоотборные зонды, пробоотборные линии, побудители расхода газов, фильтры очистки, каплеуловители и т.д.);
- средства измерения физических параметров дымовых газов и окружающей среды (температуры, давления, влажности);
- средства сбора, обработки, хранения и передачи данных;
- средства регистрации и отображения результатов измерений.
7.2.2 В организационной структуре АСНКиУВ должны быть предусмотрены два уровня (см.
рисунок 1):
- нижний уровень, на котором данные с измерительных систем (ИС) передаются на компьютер оперативного персонала на тепловом щите управления для предоставления текущей информации о выбросах загрязняющих веществ, текущей диагностики технологических процессов и оптимизации рабочих процессов в режиме реального времени;
- верхний уровень, который включает в себя сервер информационно-управляющей системы, компьютеры администрации и производственно-технического отдела ТЭС и компьютер на главном щите управления. На этом уровне осуществляется обработка информации о работе оборудования ТЭС и объемах выбросов загрязняющих веществ.
ИС - измерительная система (совокупность средств измерения)
Рисунок 1 - Схема технического обеспечения СНКиУВ ТЭС
7.2.3 Газоанализаторы могут устанавливаться на газоходах, шунтовых трубах и дымовых трубах в соответствии с
7.3.
7.2.4 При установке пробоотборных газоанализаторов должны использоваться обогреваемые стационарные пробоотборные линии для предотвращения конденсации водяных паров.
7.2.5 Пробоотборные зонды, используемые для непрерывных измерений, выполняют только из материалов, не допускающих протекания окислительных, каталитических и других химических реакций, изменяющих состав газовой пробы при ее транспортировании.
7.2.6 Установку пробоотборных зондов, пробоотборных линий и вспомогательного оборудования проводят в соответствии со
стандартом организации
[5].
7.2.7 Измерители расхода дымовых газов устанавливают на газоходах котельной установки или на дымовых трубах.
7.2.8 Рекомендуется использовать в АСНКиУВ средства измерения, соответствующие принципам наилучших доступных технологий.
7.3 Рекомендации по выбору мест (сечений газового тракта) для установки измерительного оборудования
7.3.1 Контрольное сечение газового тракта для измерения состава и объемного расхода газов выбирают в соответствии с задачей обеспечения достоверного контроля и учета выбросов вредных (загрязняющих) веществ и длительной надежной работы измерительного оборудования на основании данных предварительного обследования энергетических объектов.
7.3.2 Измерения можно проводить как непосредственно в сечениях газовых трактов энергетических установок, так и газоходах дымовых труб.
7.3.3 Если выбросы в атмосферный воздух от нескольких стационарных энергетических установок (котельных и/или газотурбинных) осуществляются через один стационарный источник организованных выбросов (дымовую трубу), средствами автоматического контроля можно оснащать каждую стационарную энергетическую установку и/или стационарный источник организованных выбросов в зависимости от производственной и экономической целесообразности.
7.3.4 В энергетических установках, оборудованных специальными устройствами очистки дымовых газов от вредных (загрязняющих) веществ (установки азото- и сероочистки, золоуловители), контроль дымовых газов проводят в сечении газового тракта за данными установками.
7.3.5 Контрольные сечения в газоходах котельных и газотурбинных установок выбираются с учетом обеспечения минимально возможной в реальных условиях неравномерности концентрационных и скоростных полей.
7.3.6 Обеспечить достоверность результатов непрерывного контроля и учета выбросов вредных (загрязняющих) веществ на дымовой трубе, к которой подключено несколько энергетических установок, можно только при условии, что все они работают на одном виде топлива.
7.3.7 Контрольное сечение дымовой трубы для установки газоаналитических систем или датчиков беспробоотборного типа выбирают на расстоянии не менее 14 эквивалентных диаметров Dэкв (Dэкв - диаметр выходного устья дымовой трубы, м) от последнего возмущения потока дымовых газов (поворот, разделительная перегородка и т.п.). При использовании пробоотборных газоаналитических систем с усредняющими пробоотборными зондами контрольное сечение выбирают на расстоянии не менее 8 Dэкв от последнего возмущения потока дымовых газов. Может быть принято меньшее расстояние до контрольного сечения, если расчетным или экспериментальным путем доказано, что в данном контрольном сечении обеспечивается требуемая суммарная относительная погрешность измерений.
7.3.8 Место установки газоаналитического оборудования выбирают с учетом требований пожарной безопасности и техники безопасности.
7.3.9 Условия работы средств измерений в местах их установки (температура, влажность и запыленность окружающей среды, вибрации, уровень шума и электромагнитного излучения и др.) должны соответствовать требованиям инструкции по их эксплуатации.
7.3.10 При отличии фактических условий работы газоаналитического оборудования от требований, приведенных в паспорте, оборудование следует устанавливать в специальные защитные кожухи (кабины), в специальные помещения или использовать другие защитные устройства и средства, обеспечивающие паспортные условия его эксплуатации.
7.4 Требования к средствам измерений
7.4.1 Измерения, проводимые АСНКиУВ, должны соответствовать требованиям, установленным Федеральным
законом [6].
7.4.2 Все средства измерений, входящие в состав АСНКиУВ, должны:
- иметь сертификат/свидетельство (или копию) об утверждении типа средств измерений, выданный федеральным органом исполнительной власти, осуществляющим функции по оказанию государственных услуг и управлению государственным имуществом в области обеспечения единства измерений;
- быть поверены до ввода в эксплуатацию и после ремонта, а также периодически поверяться в процессе эксплуатации;
- соответствовать обязательным метрологическим требованиям к средствам измерений, установленным Федеральным
законом [6].
7.4.3 Реализуемые в средствах измерений методы измерений должны быть включены в перечень утвержденных типов средств измерений.
7.4.4 Показатели точности измерений и другие метрологические характеристики инструментальных измерений должны соответствовать нормативным требованиям, установленным федеральным органом исполнительной власти, осуществляющим нормативно-правовое регулирование в области охраны окружающей среды в соответствии с Федеральным законом
[6],
статья 5, пункт 5. При использовании наилучших доступных технологий измерений значения их достижимой относительной погрешности составляют:
- для концентраций O2, CO, NOx, SO2 - +/- 10%;
- для концентрации твердых частиц - +/- 25%;
- для скорости дымовых газов - +/- 10%;
- суммарная относительная погрешность инструментальных измерений массового выброса газообразных компонентов - +/- 25%.
7.4.5 Калибровку и обслуживание газоанализаторов осуществляют в соответствии с инструкцией по их эксплуатации.
7.4.6 Аналитическое оборудование, входящее в состав АСНКиУВ, должно быть ремонтопригодным (восстанавливаемым).
7.4.7 Средства измерения (первичные измерительные преобразователи) и контроллеры для сбора, хранения и передачи информации должны быть промышленного исполнения. Средства измерения должны обеспечивать непрерывное автоматическое измерение в газовых средах со следующими параметрами:
- температура - до 200 °C;
- давление (разрежение) - от минус 25 до 15 кПа;
- объемный расход - диапазон расходов выбирают в зависимости от мощности котла в рабочем диапазоне нагрузок;
- влажность - от 0,5% об. до 20% об.
7.4.8 Средства измерений выбирают на основании технико-экономического обоснования с учетом производственных условий, конструктивных особенностей оборудования и его компоновки, требований безопасности и удобства обслуживания (методика выбора газоаналитического оборудования для АСНКиУВ приведена в
приложении Б).
7.5 Обеспечение непрерывных измерений на действующем оборудовании
7.5.1 Непрерывные измерения должны быть обеспечены в течение всего срока эксплуатации АСНКиУВ в соответствии с методическими указаниями, приведенными в
приложении В, за исключением случаев поверки, калибровки, ремонта и аварийных ситуаций.
7.5.2 Для проверки достоверности результатов измерений АСНКиУВ концентрации вредных (загрязняющих) веществ в организованных выбросах должна быть обеспечена техническая возможность проведения инспекторского контроля измерений АСНКиУВ или отбора проб на источнике выбросов без ее отключения.
7.5.3 На время проведения ремонтных работ или при возникновении аварийных ситуаций в АСНКиУВ допускается проводить учет выбросов на основании статистических данных из архива АСНКиУВ или по расчетным методикам определения валовых выбросов.
7.6 Оценка фактической погрешности инструментальных измерений на действующем оборудовании
7.6.1 Точность и другие метрологические характеристики инструментальных измерений должны соответствовать требованиям, приведенным в
7.4.4.
7.6.2 Суммарную относительную погрешность определения массового выброса вредных (загрязняющих) веществ

вычисляют по формуле

(1)
где

- значение относительной погрешности определения концентрации вредных (загрязняющих) веществ в дымовых газах;

- значение относительной погрешности определения скорости газового потока.
7.6.3 При контроле газового состава продуктов сгорания с помощью пробоотборных газоанализаторов суммарную относительную погрешность измерения содержания (концентрации) любого компонента газовой смеси

вычисляют по формуле

(2)
где

- относительная погрешность газоанализатора по эксплуатационной документации средства измерения (в настоящее время для большинства используемых газоанализаторов находится в диапазоне от 5% до 10%);

- относительная погрешность недостаточной представительности пробы газов, обусловленная неточным определением полей концентраций компонентов газовой смеси и температурных полей в газоходе котла (на основании результатов экспериментальных исследований было установлено, что можно использовать значение

);

- относительная погрешность, связанная с изменением состава газовых компонентов в линии транспортирования пробы (при использовании обогреваемых пробоотборных линий относительная погрешность незначительна из-за отсутствия конденсации влаги и конверсии примесей в пробе и составляет 0,1% - 0,3%. Для необогреваемых пробоотборных линий значение

составляет 10% - 15%);

- относительная погрешность, связанная с недостаточной представительностью определения состава топлив, диапазоном от 0,2% до 0,5%.
7.6.4 При контроле газового состава продуктов сгорания с помощью беспробоотборных газоанализаторов суммарную относительную погрешность измерения содержания (концентрации) любого компонента газовой смеси

вычисляют по формуле

(3)
где

- относительная погрешность газоанализатора (составляет от 5% до 10%);

- относительная погрешность недостаточной представительности пробы газов, связанная с неточным определением полей концентраций компонентов газовой смеси в газоходе котла (в контрольном сечении должна быть не более +/- 10%);

- относительная погрешность, связанная с недостаточной представительностью определения состава топлива (составляет от 0,2% до 0,5%).
7.7 Оценка соответствия нормативам выбросов по результатам измерения и учета
7.7.1 Оценку соблюдения нормативов при контроле выбросов ТЭС проводят сравнением фактических выбросов стационарных источников загрязнения, полученных с помощью прямых инструментальных измерений или расчетных методов, с утвержденными нормативами текущих (г/с) или валовых (т/год) предельно допустимых выбросов.
7.7.2 Фиксируют нарушение значений нормативных массовых выбросов (с учетом погрешности метода их определения), если

(4)
где Mопр - осредненное за 20 мин текущее (г/с) или валовое (т/год) значение массового выброса, определенное с помощью непосредственных измерений или расчетных методов;
Mн - нормативное значение текущего или валового выброса (г/с или т/год соответственно);

- значение суммарной относительной погрешности определения массового выброса вредного загрязняющего вещества, %.
7.7.3 Для ГТУ фиксируется превышение значений текущих нормативных вредных выбросов только при их работе в диапазоне максимальных нагрузок, установленном в режимных картах работы ГТУ, в котором реализуются методы малоэмиссионного сжигания топлива в камерах сгорания. При этом учет суммарных валовых выбросов ГТУ (т/сутки, т/год) проводится на всех режимах ее работы, включая пуск, работу на холостом ходу и при пониженных нагрузках.
8 Пусконаладочные работы и приемочные испытания по вводу АСНКиУВ в эксплуатацию
8.2 Рабочая программа приемочных испытаний разрабатывается исполнителем работ в соответствии с
ГОСТ 19.301, согласовывается со станционными службами и утверждается руководством ТЭС.
8.3 Ввод в промышленную эксплуатацию в соответствии с
ГОСТ Р 8.596 проводят после успешных пусконаладочных испытаний при наличии свидетельства об утверждении типа средств измерения Росстандарта и утвержденной инструкции по эксплуатации АСНКиУВ.
8.4 Ввод в эксплуатацию должен быть оформлен специальным совместным актом пользователя АСНКиУВ и организации, проводившей пусконаладочные испытания.
9.1 Основные требования к эксплуатации АСНКиУВ
9.1.1 Средства измерений, входящие в состав АСНКиУВ, должны поверяться с периодичностью, установленной в документах на эксплуатацию измерительных систем.
9.1.2 Первичную поверку АСНКиУВ до ввода в эксплуатацию, а также после ремонта и периодическую поверку в процессе эксплуатации пользователь осуществляет с привлечением организаций (лабораторий), аккредитованных в соответствии с Федеральным
законом [7].
9.1.3 Средства измерений, входящие в состав АСНКиУВ, подлежат регулярному техническому обслуживанию с проведением работ согласно инструкции по эксплуатации.
9.1.4 При эксплуатации АСНКиУВ пробоотборные линии должны периодически (не реже 1 раза в месяц) проверяться на наличие утечек и для устранения возможного засорения.
9.1.5 При эксплуатации АСНКиУВ газоанализаторы поверяют с периодичностью, установленной в руководстве по эксплуатации, с использованием методов измерений, отличающихся от методов, используемых в АСНКиУВ, и поверочных газовых смесей.
9.1.6 Результаты поверки средств измерений удостоверяются знаком поверки и/или свидетельством о поверке, и/или записью в паспорте (формуляре) средства измерений, заверяемой подписью поверителя и знаком поверки.
9.1.7 Если погрешность измерений концентраций вредных (загрязняющих) веществ превышает установленный предел допустимой погрешности, пользователь обязан принять меры для выявления причин отклонений и организовать проведение внеочередной поверки, а при необходимости - обеспечить проведение сервисных, наладочных или ремонтных работ.
9.2 Требования к составу, сбору, обработке, архивации и хранению информации
9.2.1 АСНКиУВ должна обеспечивать передачу данных об объемах и/или массе выбросов, о концентрации вредных (загрязняющих) веществ в таких выбросах в государственный фонд данных государственного экологического мониторинга (государственного мониторинга окружающей среды). Состав передаваемой информации, форму ее представления, порядок передачи, обработки, хранения и использования этой информации определяет Минприроды РФ.
9.2.2 Для обеспечения функционирования АСНКиУВ ТЭС должна быть сформирована информационная база, содержащая:
- установленные для энергетического объекта предельно допустимые и технологические нормативы выбросов;
- техническую и технологическую документацию на оборудование;
- результаты измерений концентраций загрязняющих веществ в массовых выбросах в атмосферный воздух, полученных в процессе эксплуатации АСНКиУВ ТЭС.
9.2.3 Информация, полученная от АСНКиУВ, должна отображаться на мониторах компьютеров, подключенных к локальной сети, и включать:
- значения текущих и усредненных (за 20 мин) концентраций контролируемых загрязняющих веществ в контрольном сечении газового тракта, пересчитанные на стандартные условия (при содержании O2, равном 6% для котельных установок и 15% - для ГТУ), мг/м3;
- усредненные (за 20 мин) массовые выбросы вредных веществ, г/с;
- текущие значения концентрации кислорода в объемных процентах и коэффициента избытка воздуха в контрольном сечении;
- усредненный (за 20 мин) объемный расход уходящих газов, пересчитанный на нормальные условия и содержание O2, равное 6% для котельных установок и 15% - для ГТУ, м3/с;
- значение текущей температуры продуктов сгорания в контрольном сечении;
- текущие дату (год, месяц, число) и время (часы, минуты, секунды).
9.2.4 Информация о массовых (валовых) выбросах вредных веществ за отчетные периоды времени должна отображаться на мониторах компьютеров по мере ее накопления.
9.2.5 Результаты непрерывных измерений должны отображаться на мониторе компьютера в виде таблиц со значениями текущих и накопленных выбросов (см.
приложение Г), а также в виде графической зависимости от времени.
9.2.6 Данные о превышении допустимых значений выбросов должны выдаваться в режиме реального времени. Для этого в АСНКиУВ должно проводиться сравнение усредненных за 20 мин массовых выбросов из контролируемого источника с допустимым выбросом в граммах в секунду и усредненных за 20 мин измеренных концентраций загрязняющих веществ с допустимым нормативом в миллиграммах на кубический метр.
9.2.7 Для вычисления объема или массы выбросов на основании результатов прямых измерений в АСНКиУВ в соответствии с
ГОСТ Р 8.596 следует использовать программы, прошедшие метрологическую аттестацию в соответствии с Федеральным
законом [6], если они влияют на результаты и погрешности измерений, но при этом не были использованы в процессе экспериментальной проверки измерительных каналов при испытаниях измерительной системы (ИС) или комплексного компонента, или должна быть предусмотрена возможность модификации этих программ в процессе эксплуатации ИС. Программы должны быть защищены от несанкционированного доступа.
9.2.8 Обязательной архивации на срок не менее 5 лет подлежит следующая информация:
- усредненные за 20 мин значения концентраций загрязняющих веществ в контрольных сечениях газового тракта, пересчитанные на стандартные условия (при содержании O2, равном 6% для котельных установок и 15% - для ГТУ), мг/м3;
- усредненные (за 20 мин) значения массовых выбросов вредных веществ, г/с;
- количество случаев превышения норматива выбросов усредненных за 20 мин массовых выбросов (г/с) и градация по превышениям норматива выбросов на 5%, 10%, 15%,... 50% и более;
- значения валовых выбросов вредных веществ за отчетные (контрольные) периоды времени (сутки, месяц, квартал, год).
9.2.9 Архивированные данные должны быть доступны пользователю в любое время суток.
9.2.10 АСНКиУВ должна быть защищена от несанкционированных доступов в базу данных и вмешательства в работу ее элементов и системы в целом. Пользователь несет ответственность за обслуживание и защиту системы архивации и хранения информации от повреждений и внесения изменений.
9.2.11 Для обеспечения сохранности информации пользователь должен ежемесячно проводить копирование архива.
9.3 Формат представления текущих, валовых и удельных массовых выбросов вредных (загрязняющих) веществ
9.3.1 Значения массовых и удельных выбросов контролируемых веществ вычисляются автоматически по результатам прямых инструментальных измерений их массовых Cm (г/м3 или мг/м3) или объемных Cv (ppm, % об.) концентраций, расхода дымовых газов и физических параметров отходящих газов в контрольном сечении газового тракта и окружающей среды (температура, влажность, давление).
9.3.2 Измеренные значения текущих массовых или объемных концентраций представляют в виде массовых концентраций веществ, пересчитанных на нормальные условия. Соотношение между массовыми

, г/м
3, при нормальных условиях и объемными

, ppm, концентрациями газообразных веществ вычисляют по формуле

(5)
где ki - безразмерный коэффициент для i-го вещества для пересчета на нормальные условия, значения которого приведены в таблице 1.
Таблица 1
Значения коэффициента пересчета для реальных газов
при нормальных условиях
Газ | Коэффициент пересчета ki |
O2 | 1,43·10-3 |
CO | 1,25·10-3 |
CO2 | 1,98·10-3 |
SO2 | 2,93·10-3 |
NO | 1,34·10-3 |
NO2 | 2,05·10-3 |
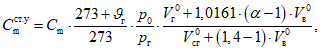
9.3.3 Для корректного сопоставления результатов измеренные (опытные) значения массовых концентраций Cm (г/м3 или мг/м3) пересчитывают на стандартные условия Cст.у по следующим формулам:
- при пересчете опытных данных, полученных для сухих газов, на стандартные условия

(6)
- при пересчете опытных данных, полученных для мокрых газов, на стандартные условия

(7)
где

- значение температуры газовой пробы перед газоанализатором или температура газов в газоходе при использовании беспробоотборных газоанализаторных систем, °C;
p0 = 101,3 кПа - нормальное атмосферное давление;
pг - давление газовой пробы (принимается равным фактическому атмосферному давлению), кПа;

- коэффициент избытка воздуха в сечении отбора газовой пробы;

- теоретический объем сухих газов, м
3/кг (м
3/м
3).
В большинстве современных серийно выпускаемых газоанализаторов уже предусмотрено приведение показаний к нормальным (или стандартным) условиям, и пересчет по
формулам (6) или
(7) для них не требуется.
9.3.3.1 Объем сухих продуктов сгорания вычисляют по формуле

(8)
где

- теоретический объем мокрых газов, м
3/кг (м
3/м
3);

- теоретический объем водяных паров, м
3/кг (м
3/м
3);

- коэффициент избытка воздуха;

- теоретический объем воздуха, м
3/кг (м
3/м
3).
9.3.3.2 При сжигании разных видов топлива на одной установке в отчетный период объем сухих продуктов сгорания вычисляют по формуле

(9)
где Vс.г1 и Vс.г2 - объемы сухих дымовых газов, образующихся при сжигании топлив первого и второго видов соответственно, м3/(кг условного топлива);

- доля топлива (по теплоте) первого вида за отчетный период.
9.3.3.3 При отсутствии данных по составу топлива и соответственно по теоретическим объемам воздуха и газов пересчет полученных результатов на стандартные условия может быть вычислен приближенно по следующим упрощенным формулам:

(10)

(11)
где O2 - полученное значение концентрации кислорода в продуктах сгорания в точке (сечении) измерения.
9.3.4 Текущие массовые выбросы в атмосферный воздух i-го вещества Mi, г/с, вычисляют по формуле

(12)
где

- массовая концентрация
i-го вещества, г/м
3;
Qг - расход дымовых газов, м
3/с (см.
9.3.7).
Здесь и далее используют значения

и
Qг для одних и тех же значений температуры, давления и коэффициента избытка воздуха (содержания O
2 в отходящих газах).
9.3.5 Для учета превращения оксида азота NO в диоксид азота NO
2 в атмосферном воздухе измеренная объемная концентрация NO пересчитывается в соответствии с
ГОСТ Р 8.563 и
ГОСТ Р 50831 в массовую концентрацию NO
2 и обозначается как NO
x. Затем по
формуле (6) вычисляют массовый выброс

и далее вычисляют массовые выбросы оксида и диоксида азота по формулам:

(13)

(14)
Коэффициенты пересчета оксидов азота в NO и NO
2 могут быть определены экспериментальным путем в соответствии с документом
[8].
9.3.6 Текущие удельные (по теплоте) выбросы Ki, г/МДж, i-го вещества вычисляют по формуле

(15)
где Ci - концентрация i-го вещества, г/м3;

или

- низшая теплота сгорания твердого и жидкого (газообразного) топлива, МДж/кг (МДж/м
3);
Vг - объем дымовых газов на 1 кг (1 м3) топлива, м3/кг (м3/м3), вычисляемый в зависимости от конкретных условий по следующим формулам:
- если концентрация Ci определена в мокрых газах, то

(16)
- если концентрация Ci определена в сухих продуктах сгорания, то

(17)

(18)
где

- содержание O
2 в отходящих газах.
Здесь и далее используют значения Ci и Vг для одних и тех же значений температуры, давления и коэффициента избытка воздуха.
9.3.7 Текущие удельные массовые выбросы (по условному топливу)
, г/т у.т.,
i-го вещества вычисляют по формуле

(19)
где Qу.т - теплота сгорания условного топлива, равная 29,33 МДж/кг (7000 ккал/кг).
9.3.8 Текущий объемный расход дымовых газов Qг, м3/с, вычисляют по формуле
где Wг - усредненная скорость газов по сечению газохода, м/с;
F - площадь поперечного сечения газохода, м2.
Объем дымовых газов приводят к нормальным условиям Qrн.у, м3/с, по формуле

(21)
где
Qг - расход дымовых газов, вычисленный по
формуле (20) для текущих условий в измерительном сечении, м
3/с;
tг - температура газов в контрольном сечении, °C;
pг - давление газов в контрольном сечении (принимают равным фактическому атмосферному давлению), кПа.
9.3.9 При известном расходе топлива на котел объемный расход дымовых газов в измерительном сечении, м3/с, может быть вычислен по формуле

(22)
где Bт - полный расход топлива на котельный агрегат, кг/с (м3/с);
q4 - потери тепла от механического недожога, %;

- теоретический объем мокрых газов на 1 кг (1 м
3) топлива, м
3/кг (м
3/м
3);

- теоретический объем воздуха на 1 кг (1 м
3) топлива, м
3/кг (м
3/м
3);

- коэффициент избытка воздуха в сечении отбора газов на анализ.
9.3.10 Полный расход газообразного или жидкого топлива на котел может быть определен по щитовым расходомерам с учетом поправок на давление и температуру в топливной магистрали. Данный способ можно использовать при наличии поверенных расходомеров топлива.
9.3.11 В других случаях расход топлива определяют по обратному балансу с использованием результатов измерений основных параметров котла.
9.3.12 Усредненные за 20 мин концентрации, массовые и удельные выбросы определяют как среднеарифметическое значение за период усреднения.
9.3.13 Массовые (валовые) выбросы за длительный (отчетный) период времени (час, смена, сутки, месяц, квартал, год) определяют суммированием текущих значений.
9.3.14 При плановом или аварийном отключении АСНКиУВ должен быть обеспечен автоматический расчет массовых выбросов по усредненным показателям в течение времени отключения АСНКиУВ. В качестве усредненных показателей используют удельные выбросы, отнесенные к выработанной продукции (энергии) или потребленному топливу.
Массовые выбросы
, кг, за период отключения вычисляют по формуле

(23)
где

- удельный выброс
i-го вещества на одну тонну потребляемого условного топлива, кг/т у.т.;
B - расход условного топлива за время отключения АСНКиУВ, т у.т.
9.3.15 При работе энергетических установок на резервном топливе не более двух суток подряд вместо инструментальных измерений допускается проводить учет выбросов по расчетным методикам.
(справочное)
ОПРОСНЫЙ ЛИСТ ПО ПРЕДВАРИТЕЛЬНОМУ ОБСЛЕДОВАНИЮ ТЭС
А.1 Сведения об источниках загрязнения атмосферы (ИЗА)
А.1.1 Перечень ИЗА (дымовых труб).
А.1.2 Тип и параметры дымовой трубы (для каждой дымовой трубы):
- железобетонная/кирпичная/стальная;
- одноствольная/многоствольная;
- отдельно стоящая/на котле;
- высота и диаметр устья дымовой трубы;
- год ввода в эксплуатацию;
- фактический максимальный объемный расход газов через трубу.
А.1.3 Количество и станционная нумерация энергетических установок (котлов/ГТУ/ПГУ), присоединенных к каждой дымовой трубе.
А.2 Сведения о котельных установках, присоединенных к дымовой трубе (для каждой установки, включая котлы в составе сбросных ПГУ)
А.2.1 Тип котла (паровой/водогрейный) и маркировка (по
ГОСТ 3619/заводская), год ввода в эксплуатацию (паспорт котла).
А.2.2 Вид основного/резервного топлива (твердое топливо/природный газ/мазут).
А.2.3 Наименование основного/резервного топлива и его основные характеристики (состав: содержание общей влаги, азота, общей серы и золы на рабочую массу, низшая теплота сгорания - для твердых и жидких топлив; низшая теплота сгорания, плотность при нормальных условиях - для газообразных топлив) (акт отбора проб и результаты анализа топлива).
А.2.4 Рабочий диапазон нагрузок котла для основного/резервного топлива (режимная карта).
А.2.5 Расход основного/резервного топлива и уходящих газов на номинальной нагрузке (по данным производственно-технического отдела ТЭС).
А.2.6 Коэффициенты избытка воздуха в режимном сечении и за котлом для основного/резервного топлива в рабочем диапазоне нагрузок (режимная карта).
А.2.7 Описание газового тракта котельной установки (от топки котла до ввода в дымовую трубу) с указанием основных размеров газоходов, установленных тягодутьевых машин, их рабочих характеристик и установок пыле-, газоочистки, установленных на котле (СНКВ, СКВ) или за котлом (ЗУ, СКВ, установки сероочистки) (рабочие чертежи газоходов, паспорта оборудования), информацию об имеющихся площадках обслуживания (отметки их расположения, габаритные размеры).
А.2.8 Значения температур продуктов сгорания вдоль газового тракта котельной установки (за поверхностями нагрева в конвективной шахте; за котлом; перед и за установками пыле-, газоочистки; перед или за дымососом; перед вводом в дымовую трубу) в рабочем диапазоне нагрузок для основного/резервного топлива (режимная карта).
А.3 Сведения об имеющихся газотурбинных/парогазовых установках, присоединенных к дымовой трубе (для каждой установки)
А.3.1 Тип парогазовой установки (ПГУ) (утилизационная/сбросная) и ее основные рабочие характеристики (паспорт энергетической установки).
А.3.2 Тип газотурбинной установки (ГТУ) и ее маркировка (заводская), год ввода в эксплуатацию.
А.3.3 Вид основного/резервного топлива ГТУ (природный газ/жидкое газотурбинное топливо) и его основные характеристики (содержание общей влаги, азота, общей серы и золы на рабочую массу, низшая теплота сгорания - для жидких топлив; низшая теплота сгорания, плотность при нормальных условиях - для газообразных топлив) по данным, приведенным в паспорте продукта при его сертификации.
А.3.4 Тип котла-утилизатора в составе утилизационной ПГУ (паровой/водогрейный; с дожиганием/без дожигания) и маркировка (по
ГОСТ Р 50831/заводская) котла, год ввода в эксплуатацию (паспорт котла-утилизатора).
А.3.5 Вид основного/резервного топлива для котла-утилизатора с дожиганием.
А.3.6 Рабочий диапазон нагрузок ГТУ/ПГУ для основного/резервного топлива (режимная карта).
А.3.7 Расход основного/резервного топлива в ГТУ и котле-утилизаторе с дожиганием и отходящих газов на номинальной нагрузке (по данным производственно-технического отдела ТЭС).
А.3.8 Коэффициенты избытка воздуха и значения температуры газов за ГТУ и за котлом-утилизатором для основного/резервного топлива в рабочем диапазоне нагрузок (режимная карта).
А.3.9 Описание газового тракта ГТУ/ПГУ и основных размеров газоходов (рабочие чертежи оборудования).
А.4 Сведения о вредных (загрязняющих) веществах, выбрасываемых в атмосферный воздух (для каждой котельной установки, ГТУ, ЛГУ)
А.4.1 Перечень вредных (загрязняющих) веществ, характерных для технологии сжигания основного/резервного топлива (при сжигании природного газа: оксиды азота NO и NO2, монооксид углерода CO; при сжигании твердых и жидких топлив: оксиды азота NO и NO2, монооксид углерода CO, диоксид серы SO2, твердые частицы).
А.4.2 Диапазон изменения концентраций вредных (загрязняющих) веществ (приведенных к стандартным условиям) в продуктах сгорания за энергетической установкой после установок пыле-, газоочистки продуктов сгорания (указывают измерительное сечение газового тракта установки) в рабочем диапазоне нагрузок для основного/резервного топлива (по данным производственно-технического отдела ТЭС).
(справочное)
ВЫБОРА ГАЗОАНАЛИТИЧЕСКОГО ОБОРУДОВАНИЯ ДЛЯ АСНКИУВ ТЭС
Б.1 В настоящей методике приведена последовательность процедур при выборе газоаналитического оборудования для АСНКиУВ ТЭС, которая распространяется на газоаналитические системы, включенные в Реестр средств измерений Федерального информационного фонда по обеспечению единства измерений.
Б.2 Методика разработана в соответствии с Федеральными законами
[2] и
[6], документами
[5],
[9] и
[10].
Б.3 Выбор газоаналитического оборудования для АСНКиУВ проводят в соответствии с целями и задачами АСНКиУВ (см.
раздел 4 настоящего стандарта) и общими требованиями к средствам измерений (см.
7.4 настоящего стандарта).
Б.4 При проведении сравнительного анализа для выбора оптимальной газоаналитической системы выполняют следующие процедуры:
- устанавливают вид основного топлива ТЭС [природный газ, жидкое или твердое топливо (каменные и бурые угли)];
- выбирают требуемые технические параметры для соответствующего вида топлива из таблицы Б.1;
Таблица Б.1
Требуемые технические параметры газоаналитических систем
для контроля выбросов вредных (загрязняющих) веществ
Параметр | Вид топлива |
Природный газ | Твердое топливо | Жидкое топливо |
Диапазон концентраций измеряемых веществ, мг/м3: | | | |
CO | 0 - 300 | 0 - 400 | 0 - 300 |
NO и NOx | 40 - 400 | | 100 - 500 |
NO2 | 0 - 50 | 0 - 50 | 0 - 50 |
SO2 | - | 0 - 5800 | 0 - 1500 |
твердые частицы | - | 50 - 5000 | - |
O2 (в продуктах сгорания, %) | 0 - 21 | 0 - 21 | 0 - 21 |
Погрешность измерения | CO, NO, NO2, SO2: +/- 10%; твердые частицы +/- 25% |
Температура газов, °C, не более | 200 |
Соответствие НДТ | Пробоотборные и беспробоотборные системы; оптические методы, термомагнитные методы |
|
- формируют исходную таблицу Б.2, содержащую технические характеристики сравниваемых газоанализаторов, используя паспортные данные газоанализаторов.
Таблица Б.2
Рекомендуемая форма таблицы для исходных данных
Газоанализатор | Перечень измеряемых веществ | Диапазон измерений |
CO | NO | NO2 | SO2 | O2 | Твердые частицы | CO | NO | NO2 | SO2 | O2 | Твердые частицы |
| | | | | | | | | | | | |
Окончание таблицы Б.2
Газоанализатор | Погрешность | Допустимая температура, не более | Соответствие НДТ | Стоимость | Гарантийный срок | Срок эксплуатации | Сложность обслуживания | Наличие сервисных центров |
CO, NO, NO2, SO2 | Твердые частицы |
| | | | | | | | | |
При этом исходные данные рекомендуется представить в виде следующих параметров:
- перечень измеряемых веществ (при наличии данного вещества в перечне веществ, измеряемых газоанализатором, в соответствующей строке записывают число 1, при его отсутствии - число 0);
- диапазоны концентраций измеряемых веществ (для всех веществ, кроме O2, указывают значение верхнего предела измерений в ppm, для O2 - в процентах);
- погрешность измерений (для всех измеряемых веществ, кроме O2, указывают относительную погрешность измерений; для O2 - абсолютную погрешность);
- максимально допустимая температура газов (указывают значение в градусах Цельсия);
- соответствие наилучшим доступным технологиям (НДТ) (при полном соответствии метода газового анализа и отбора пробы с рекомендуемыми методами по
таблице Б.1 - число 1, при частичном соответствии - число 0,5, при полном несоответствии - число 0. Газоанализаторы, принцип работы которых основан на электрохимических методах, следует считать частичным соответствием);
- стоимость (приводят полную стоимость газоаналитической системы с учетом вспомогательного оборудования в тысячах рублей).
Б.5 Проводят анализ сравниваемых газоаналитических систем на соответствие техническим параметрам, приведенным в
таблице Б.1. В случае несовпадения хотя бы одного параметра газоаналитическую систему исключают из дальнейшего сравнительного анализа.
Б.6 На основании анализа исходных данных, представленных в
таблице Б.2, экспертным путем выставляют значение
(EV) по каждому параметру и вносят данные значения в
таблицу Б.3 для каждой газоаналитической системы отдельно.
Количественную оценку значений (EV) всех рассматриваемых параметров проводят в диапазоне от 0 до 1 (1 - полностью соответствует сформулированным требованиям; 0,5 - частично соответствует; 0 - полностью не соответствует).
Б.7 Количественную оценку оборудования проводят суммированием произведений значений
(EV) на значение соответствующего фактора приоритета
(PF) для каждой группы. Наилучшей газоаналитической системой в каждой группе считается система, набравшая наибольшую сумму

. Вес первой группы показателей и характеристик измерительных систем определен суммой баллов
Si = 600, второй группы показателей - 400.
К первой группе критериев отнесены параметры:
- соответствие принципам НДТ;
- полный перечень веществ, подлежащих контролю;
- требуемые диапазоны измерений всех веществ;
- относительная погрешность измерения;
- максимально допустимая температура газов в точке отбора пробы или установки датчиков.
Ко второй группе критериев отнесены параметры:
- гарантийный срок эксплуатации;
- расчетный срок эксплуатации;
- сложность обслуживания;
- наличие и расположение сервисных центров;
- стоимость полного комплекта оборудования.
Значения факторов приоритета (PF) критериев первой и второй группы приведены в таблице Б.3.
Таблица Б.3
Таблица для сравнительного анализа технико-экономических
показателей газоаналитических систем
Параметр | Фактор приоритета PF | Газоаналитические системы |
Значение EV | Произведение EV·PF |
Критерии первой группы |
1.1 Измеряемые компоненты (NO, NO2, SO2, CO, O2): 1 - полный комплект 0,5 - неполный комплект 0 - отсутствие в перечне измеряемых компонентов | 100 | | |
1.2 Соответствие требуемым диапазонам измерений | 100 | | |
1.3 Относительная погрешность измерений: 1 - менее 5% 0,5 - от 5% до 10% 0 - более 10% | 100 | | |
1.4 Максимально допустимая температура газов в точке отбора пробы или установки датчиков | 100 | | |
1.5 Соответствие принципам НДТ: 1 - полное соответствие 0,5 - неполное соответствие 0 - полное несоответствие | 200 | | |
Итого: | 600 | | 400 |
Критерии второй группы (технико-экономические и эксплуатационные показатели) |
2.1 Гарантийный срок эксплуатации: 1 - 2 года и более 0,5 - 1 - 2 года 0 - менее 1 года | 70 | | |
2.2 Расчетный срок эксплуатации: 1 - 10 лет и более 0,5 - 5 - 9 лет 0 - менее 5 лет | 70 | | |
2.3 Сложность обслуживания: 1 - низкая 0,5 - средняя 0 - высокая | 80 | | |
2.4 Наличие (и местоположение) сервисных центров в России: 0,5 - 1 - да (в зависимости от местоположения) 0 - отсутствие | 40 | | |
2.5 Стоимость полного комплекта (с учетом инженерного обеспечения): 1 - низкая (менее 500 тыс. рублей) 0,5 - средняя (от 500 тыс. до 1,5 млн. рублей) 0 - высокая (более 1,5 млн. рублей) | 140 | | |
Итого: | 400 | | |
Всего: | 1000 | | |
Б.8 Оптимальным оборудованием для данной АСНКиУВ является газоаналитическая система, набравшая максимальную сумму Si - по группам критериев. Пример расчета приведен в таблице Б.4.
Таблица Б.4
Пример заполнения таблицы для сравнительного анализа
технико-экономических показателей газоаналитических систем
Параметр | Фактор приоритета PF | Наименование |
Значение EV | Произведение EV·PF |
Критерии первой группы |
1.1 Измеряемые компоненты (NO, NO2, SO2, CO, O2): | 100 | | |
1 - полный комплект | | | |
0,5 - неполный комплект | | 0,5 (CO и O2) | 50 |
0 - отсутствие в перечне измеряемых компонентов | | | |
1.2 Соответствие требуемым диапазонам измерений: | 100 | | |
NO - 40 - 400 ppm | | | |
NO2 - 40 - 400 ppm | | | |
CO - 0 - 300 ppm | | 0 - 1000 | 100 |
O2 - 0% - 21%: | | 0,1 - 21,0 | |
1 - полное соответствие | | 1 | |
0,5 - неполное соответствие | | | |
0 - полное несоответствие | | | |
1.3 Относительная погрешность измерения: | 100 | | |
1 - менее 5% | | | |
0,5 - 5% - 10% | | 0,5 | 50 |
0 - более 10% | | | |
1.4 Максимально допустимая температура газов в точке отбора пробы или установки датчиков: | 100 | | |
беспробоотборные - 200 °C; пробоотборные неохлаждаемые - 600 °C | | | |
пробоотборные охлаждаемые - 800 °C: | | | |
1 - полное соответствие | | 1 | 100 |
0,5 - неполное соответствие | | | |
0 - полное несоответствие | | | |
1.5 Соответствие принципам НДТ: | 200 | | |
1 - полное соответствие | | | |
0,5 - неполное соответствие | | 0,5 | 100 |
0 - полное несоответствие | | | |
Итого: | 600 | | 400 |
Критерии второй группы (технико-экономические и эксплуатационные показатели) |
2.1 Гарантийный срок эксплуатации: | 70 | | |
1 - 2 года и более | | | |
0,5 - от 1 года до 2 лет | | 0,5 | 35 |
0 - менее 1 года | | | |
2.2 Расчетный срок эксплуатации: | 70 | | |
1 - 10 лет и более | | 1 | 70 |
0,5 - от 5 до 9 лет | | | |
0 - менее 5 лет | | | |
2.3 Сложность обслуживания: | 80 | | |
1 - низкая | | | |
0,5 - средняя | | 0,5 | 40 |
0 - высокая | | | |
2.4 Наличие (и местоположение) сервисных центров в России: | 40 | | |
0,5 - 1 - да (в зависимости от местоположения) | | | 20 |
0 - отсутствие | | | |
2.5 Стоимость полного комплекта (с учетом инженерного обеспечения): | 140 | | |
1 - низкая (менее 500 тыс. рублей) | | | |
0,5 - средняя (от 500 тыс. до 1,5 млн. рублей) | | 1 | 140 |
0 - высокая (более 1,5 млн. рублей) | | | |
Итого: | 400 | | 305 |
Всего: | 1000 | | 705 |
<1> Сервисный центр расположен в Санкт-Петербурге. |
(обязательное)
ПРОВЕДЕНИЯ ПРЯМЫХ НЕПРЕРЫВНЫХ ИЗМЕРЕНИЙ СОДЕРЖАНИЯ
ВРЕДНЫХ (ЗАГРЯЗНЯЮЩИХ) ВЕЩЕСТВ В ДЫМОВЫХ ГАЗАХ
СТАЦИОНАРНЫХ ЭНЕРГЕТИЧЕСКИХ УСТАНОВОК
В.1 Требования к пробоотборникам и их установке в газовом тракте
В.1.1 Для непрерывных измерений газообразных вредных (загрязняющих) веществ используют пробоотборные зонды (пробоотборники), выполненные только из материалов, не допускающих при транспортировании газовой пробы протекания окислительных, каталитических и других химических реакций, изменяющих состав газовой пробы.
В.1.2 При выполнении непрерывных измерений рекомендуется использовать многоточечные пробоотборные зонды с отверстиями (не менее 5), расположенными по всей длине (усредняющие зонды), устанавливаемые в контрольном сечении газового тракта, как правило, по обеим сторонам котла. Для предотвращения забивания отверстий пылью и отложениями усредняющие зонды устанавливают таким образом, чтобы угол между направлением газового потока и осями отверстий составлял 90° (см.
рисунок В.1).
1 - отвод пробы; 2 - дымовые газы; aг - ширина газохода;
bг - глубина газохода; sо - шаг между отверстиями
Рисунок В.1 - Схема установки усредняющего пробоотборника
В.1.3 При использовании одноточечных (торцевых) зондов для отбора проб газов в контрольном сечении газохода они должны устанавливаться в специальные контрольные точки, определяемые по результатам тарировки сечений.
В.1.4 При большой длине пробоотборника во избежание его провисания под действием собственного веса допускается его опирание на трубные поверхности нагрева.
В.1.5 При отборе газов в сечении за дымососом используются неохлаждаемые пробоотборные зонды, устанавливаемые, как правило, посередине меньшей стороны газохода на всю глубину большей стороны проходного сечения газохода. При больших сечениях газохода допускается установка торцевых пробоотборных зондов на глубину не менее 25% наибольшего размера газохода.
В.1.6 При разделении газового тракта котельной установки на две части (по сторонам котла) отбор проб дымовых газов следует проводить с обеих сторон газохода.
В.1.7 Стационарные пробоотборные зонды должны быть прямыми, доступными для очистки и продувки сжатым воздухом и легко извлекаться из газохода.
В.1.8 Конструкция узла установки пробоотборника в газовый тракт котельной установки должна исключать присосы холодного воздуха как в пробоотборник, так и непосредственно в газовый тракт.
В.2 Линии транспортирования пробы газов
В.2.1 Доставка пробы газов от пробоотборника к газоанализатору осуществляется с помощью линий транспортирования пробы (пробоотборных линий) и побудителей расхода.
В.2.2 В качестве побудителей расхода газов могут быть использованы мембранные и ротационные насосы и эжекторы. Производительность побудителей расхода должна быть, как правило, на 10% - 15% больше расхода газовой пробы, необходимой для работы газоанализатора. Для доставки пробы могут использоваться штатные побудители расходов, установленные непосредственно в газоанализаторах, при условии обеспечения требуемого расхода газов.
В.2.3 При выполнении непрерывных измерений пробоотборные линии должны быть стационарными и обогреваемыми.
В.2.4 Температура обогреваемых линий транспортирования газовой пробы должна быть на 15 °C - 20 °C выше температуры точки росы.
В.2.5 При сжигании серосодержащих топлив для транспортирования пробы должны применяться линии, обогреваемые по всей длине до температуры, превышающей на 10 °C - 15 °C температуру точки росы дымовых газов.
В.2.6 Стационарные пробоотборные линии должны быть изготовлены из бесшовных труб из нержавеющей стали (марок Х18Н10Т, Х10Н10Т) синтетических материалов (тефлон, фторопласт, политетрафторэтилен) или других материалов, не допускающих при транспортировании газовой пробы протекания окислительных, каталитических и иных химических реакций, изменяющих состав газовой пробы.
В.2.7 Для предотвращения забивания внутренний диаметр труб, используемых для изготовления линий транспортирования пробы, должен быть не менее 4 мм при работе на природном газе и не менее 6 - 8 мм - при сжигании других видов топлива.
В.2.8 Для снижения возможности физико-химических превращений в газовой пробе расход газа в линии транспортирования может превышать расход, требуемый для работы газоанализатора. В этих случаях избыточный поток газа сбрасывается в окружающую среду (см.
12 на
рисунке В.2). При этом должна быть исключена возможность присоса воздуха из окружающей среды в линию транспортирования пробы при возникновении нештатных режимов работы (например, при забивании фильтра и др.).
1 - газоход; 2 - фильтр грубой очистки; 3 - защитный
металлический щиток; 4 - обогреваемая пробоотборная линия;
5 - обогреваемый фильтр тонкой очистки; 6 - холодильник;
7 - слив конденсата; 8 - побудитель расхода;
9 - необогреваемая пробоотборная линия;
10 - гребенка; 11 - отвод пробы к газоанализаторам;
12 - сброс избыточной газовой пробы
Рисунок В.2 - Схема пробоотборной системы
В.2.9 Конструкция узла сочленения пробоотборной линии с пробоотборником должна предусматривать возможность его периодической продувки сжатым воздухом, а также извлечения из газохода для осмотра, ремонта или замены.
В.2.10 Линии транспортирования периодически (не реже 1 раза в месяц) должны проверяться для выявления негерметичности и устранения возможных забиваний.
В.3 Вспомогательное оборудование для подготовки пробы
В.3.1 Параметры и состав газовой пробы на входе в газоанализатор должны соответствовать техническим требованиям, указанным в инструкции по его эксплуатации (температура, влажность, запыленность, расход и пр.).
В.3.2 При несоответствии характеристик газовой пробы техническим требованиям используемого газоанализатора для подготовки газовой пробы применяется вспомогательное оборудование. Вспомогательное оборудование должно включать устройства для очистки газов от твердых и сажистых частиц и удаления влаги (см.
рисунок В.2).
В.3.3 Состав вспомогательного оборудования и конструкционные материалы должны исключать возможность превращения или абсорбции измеряемых газовых компонентов в процессе подготовки пробы.
В.3.4 Очистка газовой пробы от твердых и сажистых частиц проводится в фильтрах грубой и тонкой очистки.
В.3.4.1 Фильтр грубой очистки предназначен для удаления из газовой пробы твердых частиц размером более 10 мкм и может быть установлен непосредственно на пробоотборном зонде в потоке дымовых газов (см.
рисунок В.2) или сразу за пробоотборником. При установке фильтра в потоке продуктов сгорания рекомендуется защищать его с помощью металлического щитка от механического истирания (см.
3 на
рисунке В.2). При установке фильтра за пробоотборником вне потока дымовых газов он должен быть обогреваемым для предотвращения конденсации кислых и водяных паров.
В.3.4.2 Фильтр тонкой очистки предназначен для удаления из газовой пробы оставшихся твердых частиц размером более 1 мкм для защиты побудителя расхода и газоанализатора. Фильтр тонкой очистки может устанавливаться как перед блоком удаления влаги (в этом случае он должен быть обогреваемым), так и после него.
В.3.4.3 Подогрев фильтров грубой и тонкой очистки должен осуществляться таким образом, чтобы температура пробы в них была от 15 °C до 20 °C выше температуры точки росы (при сжигании газообразного топлива) или температуры точки росы дымовых газов (при сжигании сернистых топлив).
В.3.5 Для предотвращения абсорбции легкорастворимых компонентов NO2, SO2 и SO3 конденсатом водяных паров из газовой пробы должна быть удалена влага. Для удаления влаги используют холодильник и конденсатоуловитель.
В.3.6 Для подготовки пробы рекомендуется использовать серийно выпускаемые блоки пробоподготовки, предназначенные для работы с используемыми газоанализаторами.
(справочное)
РЕКОМЕНДУЕМЫЕ ФОРМАТЫ ПРЕДСТАВЛЕНИЯ ДАННЫХ ИЗМЕРЕНИЙ
Таблица Г.1
Концентрации вредных (загрязняющих) веществ, усредненные
за 20 мин (в пересчете на стандартные условия)
Дата в формате (чч.мм.гггг), время в формате (чч.мм) | Концентрация, мг/м3 |
CO | NO | NO2 | SO2 | Твердые частицы | O2 |
| | | | | | |
| | | | | | |
Таблица Г.2
Массовые выбросы вредных (загрязняющих) веществ, усредненные
за 20 мин (в пересчете на нормальные условия)
Дата в формате (чч.мм.гггг), время в формате (чч.мм) | Массовые выбросы, г/с |
CO | NO | NO2 | SO2 | Твердые частицы |
| | | | | |
| | | | | |
Таблица Г.3
Суточные массовые выбросы вредных (загрязняющих) веществ
Дата в формате (чч.мм.гггг) | Суточные массовые выбросы, кг/сут |
CO | NO | NO2 | SO2 | Твердые частицы |
| | | | | |
| | | | | |
Таблица Г.4
Месячные и годовые массовые выбросы вредных (загрязняющих)
веществ
Год в формате (гггг) | Суточные массовые выбросы, т/мес |
CO | NO | NO2 | SO2 | Твердые частицы |
Январь | | | | | |
Февраль | | | | | |
... | | | | | |
Декабрь | | | | | |
Итого за год | | | | | |
| Постановление Правительства Российской Федерации от 28 сентября 2015 г. N 1029 "Об утверждении критериев отнесения объектов, оказывающих негативное воздействие на окружающую среду, к объектам I, II, III и IV категорий" |
| Федеральный закон от 4 мая 1999 г. N 96-ФЗ (редакция от 13 июля 2015 г.) "Об охране атмосферного воздуха" |
| Федеральный закон от 21 июля 2014 г. N 219-ФЗ (редакция от 29 декабря 2015 г.) "О внесении изменений в Федеральный закон "Об охране окружающей среды" и отдельные законодательные акты Российской Федерации" (с изменениями и дополнениями, вступившими в силу 1 января 2016 г.) |
| Информационно-технический справочник по наилучшим доступным технологиям ИТС 22.1-2016 | Общие принципы производственного экологического контроля и его метрологического обеспечения |
| Стандарт организации | Методические указания "Организация контроля состава продуктов сгорания стационарных паровых и водогрейных котлов". - М.: СПО "ОРГРЭС", 2003 |
| Федеральный закон от 26 июня 2008 г. N 102-ФЗ "Об обеспечении единства измерений" (с изменениями и дополнениями) |
| Федеральный закон от 28 декабря 2013 г. N 412-ФЗ "Об аккредитации в национальной системе аккредитации" (в редакции, актуальной с 1 января 2017 г., с изменениями и дополнениями, внесенными в текст, согласно Федеральным законам: от 23 июня 2014 г. N 160-ФЗ, от 2 марта 2016 г. N 49-ФЗ) |
| Общесоюзный нормативный документ ОНД 86 | Методика расчета концентраций в атмосферном воздухе вредных веществ, содержащихся в выбросах предприятий |
| Стандарт организации СТО 70238424.27.100.078-2009 | Системы КИП и тепловой автоматики ТЭС. Условия создания. Нормы и требования |
| | ИС МЕГАНОРМ: примечание. В официальном тексте документа, видимо, допущена опечатка: руководящий документ "Правила организации контроля выбросов в атмосферу загрязняющих веществ тепловых электростанций и котельных" имеет номер РД 153-34.0-02.306-98, а не РД 34.02.306-98. | |
|
| Руководящий документ | Правила организации контроля выбросов в атмосферу загрязняющих веществ тепловых электростанций и котельных |
УДК 621.18:65.011.56.012:006.354 | |
Ключевые слова: наилучшие доступные технологии, автоматические системы непрерывного контроля и учета выбросов вредных (загрязняющих) веществ, тепловые электростанции, атмосферный воздух, основные требования |