Главная // Актуальные документы // МетодикаСПРАВКА
Источник публикации
М.: Стандартинформ, 2006
Примечание к документу
Текст данного документа приведен с учетом
поправки, опубликованной в "ИУС", N 12, 2007.
Документ
введен в действие с 1 января 2005 года.
Название документа
"РМГ 69-2003. Рекомендации по межгосударственной стандартизации. Государственная система обеспечения единства измерений. Характеристики оптического излучения соляриев. Методика выполнения измерений"
(введены в действие Приказом Ростехрегулирования от 27.10.2004 N 45-ст)
"РМГ 69-2003. Рекомендации по межгосударственной стандартизации. Государственная система обеспечения единства измерений. Характеристики оптического излучения соляриев. Методика выполнения измерений"
(введены в действие Приказом Ростехрегулирования от 27.10.2004 N 45-ст)
агентства по техническому
регулированию и метрологии
от 27 октября 2004 г. N 45-ст
РЕКОМЕНДАЦИИ ПО МЕЖГОСУДАРСТВЕННОЙ СТАНДАРТИЗАЦИИ
ГОСУДАРСТВЕННАЯ СИСТЕМА ОБЕСПЕЧЕНИЯ ЕДИНСТВА ИЗМЕРЕНИЙ
ХАРАКТЕРИСТИКИ ОПТИЧЕСКОГО ИЗЛУЧЕНИЯ СОЛЯРИЕВ
МЕТОДИКА ВЫПОЛНЕНИЯ ИЗМЕРЕНИЙ
РМГ 69-2003
Группа Т84.10
Дата введения
1 января 2005 года
Цели, основные принципы и основной порядок проведения работ по межгосударственной стандартизации установлены
ГОСТ 1.0-92 "Межгосударственная система стандартизации. Основные положения" и
ГОСТ 1.2-97 "Межгосударственная система стандартизации. Стандарты межгосударственные, правила и рекомендации по межгосударственной стандартизации. Порядок разработки, принятия, применения, обновления и отмены".
1. Разработаны Государственным унитарным предприятием "Всероссийский научно-исследовательский институт оптико-физических измерений" (ГУП ВНИИОФИ) Госстандарта России.
Внесены Госстандартом России.
2. Приняты Межгосударственным советом по стандартизации, метрологии и сертификации (Протокол N 24 от 5 декабря 2003 г.).
За принятие проголосовали:
Краткое наименование страны по МК (ИСО 3166) 004-97 | Код страны по МК (ИСО 3166) 004-97 | Сокращенное наименование национального органа по стандартизации |
Армения | AM | Армстандарт |
Беларусь | BY | Госстандарт Республики Беларусь |
Казахстан | KZ | Госстандарт Республики Казахстан |
Кыргызстан | KG | Кыргызстандарт |
Молдова | MD | Молдова-Стандарт |
Российская Федерация | RU | Госстандарт России |
Таджикистан | TJ | Таджикстандарт |
Туркменистан | TM | Главгосслужба "Туркменстандартлары" |
Узбекистан | UZ | Узстандарт |
Украина | UA | Госпотребстандарт Украины |
3.
Приказом Федерального агентства по техническому регулированию и метрологии от 27 октября 2004 г. N 45-ст рекомендации по межгосударственной стандартизации РМГ 69-2003 введены в действие в качестве рекомендаций по метрологии Российской Федерации с 1 января 2005 г.
4. Введены впервые.
5. Переиздание. Март 2006 г.
Информация об изменениях к настоящим рекомендациям публикуется в указателе "Национальные стандарты", а текст изменений - в информационных указателях "Национальные стандарты". В случае пересмотра или отмены настоящих рекомендаций соответствующая информация будет опубликована в информационном указателе "Национальные стандарты".
Настоящие рекомендации содержат методику выполнения измерений (далее - МВИ) характеристик оптического излучения соляриев с помощью радиометров (спектрорадиометров) непрерывного оптического излучения. Солярии представляют собой искусственные источники ультрафиолетового (далее - УФ) излучения, применяемые для компенсации недостатка УФ излучения, а также для получения быстрого и безопасного загара. В качестве источников УФ излучения (далее - УФ облучатели) используют люминесцентные лампы низкого давления, спектр излучения которых лежит в диапазоне длин волн 0,28 - 0,40 мкм. Излучение соляриев характеризуется энергетической освещенностью (далее - ЭО) в диапазонах УФ-A1 (0,315 - 0,340 мкм), УФ-A2 (0,34 - 0,40 мкм), УФ-A (0,315 - 0,400 мкм), УФ-B (0,28 - 0,315 мкм), УФ-C (0,2 - 0,28 мкм). Для образования загара в спектре излучения соляриев должно присутствовать излучение диапазонов УФ-A1, УФ-A2 и УФ-B. Присутствие в спектре излучения диапазона УФ-B должно быть строго ограничено, чтобы исключить опасное воздействие на организм человека жесткого УФ излучения. Присутствие в спектре излучения диапазона УФ-C в соляриях не допускается. При разработке и использовании соляриев необходимо контролировать характеристики УФ излучения в соответствии с нормами и рекомендациями. Средства измерений характеристик оптического излучения соляриев обеспечивают измерение ЭО в следующих диапазонах, Вт/м2, в диапазонах длин волн:
УФ-A1 - 0,1 - 50,0;
УФ-A2 - 0,1 - 200,0;
УФ-A - 0,1 - 250,0;
УФ-B - 0,01 - 5,0;
УФ-C - 0,001 - 1,0.
В настоящих рекомендациях использованы ссылки на следующие нормативные документы:
| | ИС МЕГАНОРМ: примечание. ГОСТ 8.195-89 утратил силу с 1 января 2015 года в связи с введением в действие ГОСТ 8.195-2013 (Приказ Росстандарта от 10.10.2013 N 1154-ст). | |
ГОСТ 8.195-89. Государственная система обеспечения единства измерений. Государственная поверочная схема для средств измерений спектральной плотности энергетической яркости, спектральной плотности силы излучения и спектральной плотности энергетической освещенности в диапазоне длин волн 0,25

25,00 мкм; силы излучения и энергетической освещенности в диапазоне длин волн 0,2

25,0 мкм
| | ИС МЕГАНОРМ: примечание. ГОСТ 8.197-2005 утратил силу с 1 мая 2015 года в связи с введением в действие ГОСТ 8.197-2013 (Приказ Росстандарта от 22.11.2013 N 1741-ст). Приказом Росстандарта от 29.12.2018 N 2817 с 30 апреля 2019 года введена в действие новая Государственная поверочная схема. | |
ГОСТ 8.197-2005. Государственная система обеспечения единства измерений. Государственная поверочная схема для средств измерений спектральной плотности энергетической яркости в диапазоне длин волн от 0,04 до 0,25 мкм
ГОСТ 8.207-76. Государственная система обеспечения единства измерений. Прямые измерения с многократными наблюдениями. Методы обработки результатов наблюдений. Основные положения
| | ИС МЕГАНОРМ: примечание. Взамен ГОСТ 8.552-2001 Приказом Росстандарта от 22.11.2013 N 1742-ст с 1 мая 2015 года введен в действие ГОСТ 8.552-2013. | |
ГОСТ 8.552-2001. Государственная система обеспечения единства измерений. Государственная поверочная схема для средств измерений потока излучения и энергетической освещенности в диапазоне длин волн от 0,03 до 0,40 мкм
Санитарные нормы и правила, действующие в государствах - участниках Содружества.
Примечание. При пользовании настоящими рекомендациями целесообразно проверить действие ссылочных документов по соответствующему указателю стандартов, составленному по состоянию на 1 января текущего года, и по соответствующим информационным указателям, опубликованным в текущем году. Если ссылочный документ заменен (изменен), то при пользовании настоящими рекомендациями следует руководствоваться замененным (измененным) документом. Если ссылочный документ отменен без замены, то положение, в котором дана ссылка на него, применяется в части, не затрагивающей эту ссылку.
3. Требования к погрешности измерений
Границы относительной погрешности измерений ЭО соляриев по данной МВИ для непрерывного излучения составляют 12%.
4. Средства измерений и вспомогательные устройства
При выполнении измерений применяют следующие средства измерений и вспомогательные устройства:
а) многоканальный радиометр "Аргус", включающий в себя радиометры УФ излучения УФ-A (УФ-A1 и УФ-A2) "Аргус-04", УФ-B "Аргус-0,5", УФ-C "Аргус-06" или другой УФ радиометр (спектрорадиометр), со следующими характеристиками:
- диапазон длин волн, мкм .............................. 0,2 - 0,4,
- диапазон измерений энергетической
освещенности, Вт/м2 ........................................ 0,001 - 250,0,
- основная относительная погрешность, % ................ 10,0;
б) комплект светофильтров типов ЖС-11, ЖС-12, ЖС-16, БС-8, БС-7 и БС-4;
в) кварцевый нейтральный ослабитель;
г) измерительную линейку, основная относительная
погрешность, % ............................................. 1,0.
Применяемые средства измерений должны быть поверены органом Государственной метрологической службы.
| | ИС МЕГАНОРМ: примечание. ГОСТ 8.195-89 утратил силу с 1 января 2015 года в связи с введением в действие ГОСТ 8.195-2013 (Приказ Росстандарта от 10.10.2013 N 1154-ст). | |
| | ИС МЕГАНОРМ: примечание. ГОСТ 8.197-2005 утратил силу с 1 мая 2015 года в связи с введением в действие ГОСТ 8.197-2013 (Приказ Росстандарта от 22.11.2013 N 1741-ст). Приказом Росстандарта от 29.12.2018 N 2817 с 30 апреля 2019 года введена в действие новая Государственная поверочная схема. | |
| | ИС МЕГАНОРМ: примечание. Взамен ГОСТ 8.552-2001 Приказом Росстандарта от 22.11.2013 N 1742-ст с 1 мая 2015 года введен в действие ГОСТ 8.552-2013. | |
Метод измерений характеристик оптического излучения соляриев основан на прямых измерениях при преобразовании потока УФ излучения в электрический сигнал радиометра (спектрорадиометра) при выполнении условий спектральной и угловой коррекции чувствительности фотопреобразователя. Радиометр (спектрорадиометр) оптического излучения соляриев должен быть поверен в качестве средства измерений энергетической и эффективной освещенности непрерывного УФ излучения в соответствии с ГОСТ 8.552, ГОСТ 8.197 и ГОСТ 8.195.
6. Требования безопасности
Измерения характеристик оптического излучения соляриев могут проводить операторы, прошедшие инструктаж по безопасности труда при работе с источниками УФ излучения в соответствии с требованиями Санитарных норм и правил и правилами использования средств защиты персонала от УФ излучения - защитных очков.
7. Требования к квалификации операторов
К выполнению измерений допускают лиц, изучивших инструкции по эксплуатации основных средств измерений и вспомогательных устройств, требования настоящей МВИ, а также прошедших инструктаж по безопасности труда при эксплуатации УФ облучателей.
При выполнении измерений соблюдают следующие условия:
- температура окружающего воздуха, °C ...................... 10 - 35;
- относительная влажность воздуха
при температуре 20 °C, %, не более ............................. 80;
- атмосферное давление, кПа ................................ 84 - 104;
- напряжение питающей сети, В .............................. 220 +/- 4;
- частота питающей сети, Гц ................................ 50 +/- 1.
9. Подготовка к проведению измерений
При подготовке к проведению измерений выполняют следующие работы:
9.1. Включают и подготавливают к работе радиометр (спектрорадиометр) и солярий в соответствии с их инструкциями по эксплуатации.
9.2. Проверяют состояние оптики радиометра (спектрорадиометра). На поверхности оптических деталей не допускается царапин, помутнений, жирных и других пятен.
10. Порядок проведения измерений
10.1. Для измерения ЭО оптического излучения соляриев выполняют следующие операции:
10.1.1. Устанавливают измерительный блок радиометра (спектрорадиометра) в рабочую точку облучаемой поверхности в центре солярия. Измерительный блок радиометра (спектрорадиометра) ориентируют параллельно облучаемой поверхности.
10.1.2. Определяют угловые размеры солярия - горизонтальный угол

и вертикальный угол

[в градусах (...°)]:

; (1)

, (2)
где L - длина солярия, мм;
H - ширина солярия, мм;
R - расстояние от измерительного блока радиометра (спектрорадиометра) до центра медицинского облучателя, мм.
10.1.3. Включают и прогревают в течение 10 мин солярий.
10.1.4. Юстируют измерительный блок радиометра (спектрорадиометра) по углу в горизонтальной и вертикальной плоскостях для достижения максимального отсчета.
10.1.5. Регистрируют показания каналов радиометра (спектрорадиометра)

,

,

,

,

и определяют интегральную ЭО

,

,

,

,

[в ваттах на квадратный метр (Вт/м2)] УФ излучения в диапазонах соответственно УФ-A1, УФ-A2, УФ-A, УФ-B, УФ-C. Если сигналы превышают верхнее значение диапазона измерений радиометра (спектрорадиометра), необходимо установить на измерительный блок нейтральный кварцевый ослабитель.
10.1.6. Для оценки погрешности измерений ЭО, обусловленной влиянием потока инфракрасного излучения, устанавливают на измерительный блок радиометра (спектрорадиометра) светофильтр типа ЖС-16. Показания радиометра (спектрорадиометра) не должны превышать 5% значений ЭО, полученных по
10.1.5.
10.1.7. Устанавливают поочередно на измерительный блок радиометра (спектрорадиометра) светофильтры типов БС-8 для диапазонов УФ-A1 и УФ-A2, ЖС-11 - для диапазона УФ-B, ЖС-12 - для диапазона УФ-C, регистрируют показания

,

,

,

,

и определяют интегральную ЭО

,

,

,

,

[в ваттах на квадратный метр (Вт/м2)] излучения солярия в диапазонах соответственно УФ-A1, УФ-A2, УФ-A, УФ-B и УФ-C.
10.1.8. По результатам измерений угловых размеров солярия выбирают относительный коэффициент угловой коррекции

, приведенный в паспорте радиометра (спектрорадиометра).
10.1.9. Значения ЭО соляриев в диапазонах УФ-A1, УФ-A2, УФ-A, УФ-B и УФ-C рассчитывают по формулам:

(3)
где

,

,

- интегральные коэффициенты пропускания кварцевого нейтрального ослабителя в диапазонах соответственно УФ-A1, УФ-A2, УФ-A, указанные в паспорте на ослабитель.
10.1.10. Для оценки среднего квадратического отклонения (СКО) результатов измерений повторяют операции по
10.1.4 -
10.1.9 пять раз.
10.2. Для определения опасной и эритемной эффективной освещенности

выполняют следующие операции:
10.2.1. Регистрируют показания каналов спектрорадиометра

и

[в ваттах на кубический метр (Вт/м3)] аналогично
10.1.5 и
10.1.7 и определяют спектральную плотность энергетической освещенности (СПЭО)

[в ваттах на кубический метр (Вт/м3)] по формуле

, (4)
где

- длина волны, мкм.
10.2.2. Значения опасной и эритемной эффективной освещенности

и

автоматически рассчитывают интегрированием СПЭО с учетом табулированных спектральных коэффициентов относительной опасной и эритемной эффективности УФ излучения

и

с использованием компьютерных программ по формулам:

; (5)

. (6)
11. Контроль погрешности результатов измерений
Контроль погрешности результатов измерений проводят по
ГОСТ 8.207 в следующем порядке:
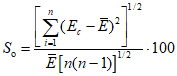
11.1. Оценивают в соответствии с
10.1.10 СКО результата измерений ЭО -

, %, по формуле

, (7)
где E - результат независимого измерения;

- среднее арифметическое результатов пяти измерений (n = 5).
11.2. Границы относительной неисключенной систематической погрешности

определяют при доверительной вероятности P = 0,95 по формуле

, (8)
где

- относительная погрешность средства измерений (из свидетельства о поверке);

не превышает 10% и является систематической при измерениях

и

;

- относительная погрешность регистрации показаний прибора (дискретность и др.)

,

,

, Вт/м2, пропорционального ЭО ультрафиолетового излучения в диапазоне соответственно УФ-A, УФ-B и УФ-C;

не превышает 3%;

- погрешность определения относительного коэффициента угловой коррекции;

не превышает 1%;

- погрешность определения пропускания кварцевого ослабителя;

не превышает 2%.
11.3. Границы относительной погрешности

результатов измерений рассчитывают по формуле

, (9)
где K - коэффициент, определяемый соотношением случайной и неисключенной систематической погрешностей.
Границы относительной погрешности результата измерений ЭО соляриев не должны превышать 12%.
12. Оформление результатов измерений
12.1. Результаты измерений представляют по форме, принятой на предприятии, проводящем измерения.
12.2. Запись о результатах измерений должна содержать:
- дату проведения измерений;
- тип и номер средства измерений (радиометра или спектрорадиометра);
- цель проведения измерений;
- геометрические размеры соляриев;
- расстояние от центра солярия до радиометра (спектрорадиометра);
- угловые размеры солярия;
- значения ЭО, опасной и эритемной эффективной освещенности;
- границы неисключенной систематической погрешности и относительной погрешности результата измерений;
- фамилию и подпись оператора.
(обязательное)
ЗНАЧЕНИЯ СПЕКТРАЛЬНОГО КОЭФФИЦИЕНТА ОТНОСИТЕЛЬНОЙ
ОПАСНОЙ И ЭРИТЕМНОЙ ЭФФЕКТИВНОСТИ УФ ИЗЛУЧЕНИЯ
Длина волны, нм | Коэффициент  , учитывающий опасное воздействие УФ излучения по критерию TLV <*> | Коэффициент  , учитывающий эритемное воздействие УФ излучения |
200 | 0,030 | 1,000 |
205 | 0,051 | 1,000 |
210 | 0,075 | 1,000 |
215 | 0,095 | 1,000 |
220 | 0,120 | 1,000 |
225 | 0,150 | 1,000 |
230 | 0,190 | 1,000 |
235 | 0,240 | 1,000 |
240 | 0,300 | 1,000 |
245 | 0,360 | 1,000 |
250 | 0,430 | 1,000 |
255 | 0,520 | 1,000 |
260 | 0,650 | 1,000 |
265 | 0,810 | 1,000 |
270 | 1,000 | 1,000 |
275 | 0,960 | 1,000 |
280 | 0,880 | 1,000 |
285 | 0,770 | 1,000 |
290 | 0,640 | 1,000 |
295 | 0,540 | 1,000 |
300 | 0,300 | 0,830 |
305 | 0,060 | 0,330 |
310 | 0,015 | 0,110 |
315 | 0,003 | 0,018 |
320 | 0,001 | 0,010 |
325 | 0,000 | 0,007 |
330 | 0,000 | 0,005 |
335 | 0,000 | 0,004 |
340 | 0,000 | 0,003 |
345 | 0,000 | 0,0025 |
350 | 0,000 | 0,002 |
355 | 0,000 | 0,0017 |
360 - 400 | 0,000 | 0,0014 |
<*> TLV (Threshold Limit Value) - пороговое опасное излучение. |