Главная // Актуальные документы // МетодикаСПРАВКА
Источник публикации
Документ опубликован не был
Примечание к документу
Название документа
"МИ 2351-95. Рекомендация. Государственная система обеспечения единства измерений. Теплосчетчики для закрытых и открытых систем теплоснабжения типа UTC. Методика поверки"
(ред. от 14.05.1997)
"МИ 2351-95. Рекомендация. Государственная система обеспечения единства измерений. Теплосчетчики для закрытых и открытых систем теплоснабжения типа UTC. Методика поверки"
(ред. от 14.05.1997)
Директор ВНИИМС
А.И.АСТАШЕНКОВ
1995 года
РЕКОМЕНДАЦИЯ
ГОСУДАРСТВЕННАЯ СИСТЕМА ОБЕСПЕЧЕНИЯ ЕДИНСТВА ИЗМЕРЕНИЙ
ТЕПЛОСЧЕТЧИКИ ДЛЯ ЗАКРЫТЫХ И ОТКРЫТЫХ СИСТЕМ
ТЕПЛОСНАБЖЕНИЯ ТИПА UTC
МЕТОДИКА ПОВЕРКИ
МИ 2351-95
| | Список изменяющих документов (в ред. Изм. N 1, 2, 3, 4, 5, 6, утв. 05.06.1996, Изм. N 7, утв. 14.05.1997) | |
Внесены Изменения N 1, 2, 3, 4, 5, 6, утвержденные Директором ВНИИМС А.И. Асташенковым 5 июня 1996 г., и Изменение N 7, утвержденное Директором ВНИИМС А.И. Асташенковым 14 мая 1997 г.
Настоящая инструкция распространяется на теплосчетчики UTC-1 (в дальнейшем - теплосчетчики) и разработана на основании МИ 2164-91 ГСИ. "Теплосчетчики. Требования к испытаниям, метрологической аттестации, поверке. Общие положения".
Теплосчетчики состоят из:
двух первичных преобразователей ПП7;
вторичного прибора (вычислителя) ИПВ-5 (или ИПВ-5р) в зависимости от заказа;
двух термодатчиков не ниже класса точности В;
источника питания 4В2.887.048;
принтера модели 1 ДРЗ110 с кабелем АК 125-2;
соединительного кабеля между ПП7 и вычислителем.
Инструкция определяет методику первичной и периодических поверок, а также поверку после ремонта.
Межповерочный интервал - один раз в 2 года.
(Измененная редакция, Изм. N 1, 7)
2.1. При проведении поверки должны выполняться операции, указанные в таблице 1.
Таблица 1
Наименование операций | Номера пунктов док-та по поверке | Проведение операций при: |
первичной поверке и после ремонта | периодической поверке |
1. Внешний осмотр | | Да | Да |
2. Опробование | | Да | Да |
3. Измерение электрического сопротивления изоляции цепей | | Да | Да |
4. Проверка герметичности соединений первичных преобразователей | | Да | Нет |
5. Определение геометрических параметров преобразователей ПП7 | | Да | Нет |
6. Определение метрологических характеристик термопреобразователей | | Да | Да |
7. Определение метрологических характеристик теплосчетчика | | | |
а. Проливным методом | | Да | Нет |
б. Беспроливным методом | | Да | Да |
(Измененная редакция, Изм. N 1)
3.1. При проведении поверки теплосчетчиков должны применяться средства поверки, указанные в таблице 2.
Таблица 2
Наименование образцового средства измерений или вспомогательного средства, номер документа, регламентирующего технические требования к средству; разряд по государственной поверочной схеме и (или) метрологические и основные характеристики |
Осциллограф С1-65А ТУ 2.044.042.06 |
Вольтметр цифровой В7-28 ТУ Тг 2.710.003 |
| | ИС МЕГАНОРМ: примечание. ГОСТ 215-73 утратил силу с 1 апреля 1989 года ("ИУС", N 4, 1989). Постановлением Госстандарта СССР от 30.03.1990 N 691 с 1 января 1991 года введен в действие ГОСТ 28498-90. | |
|
Термометр лабораторный ТЛ ГОСТ 215 |
Секундомер электронный с таймерным выходом СТЦ-1 |
Поверочная установка расходомерная по ГОСТ 8.145 |
Частотомер 43-49 ТУ Е 272.165 |
|
Блок питания Б5-44; розетка 2РМ22КП10ГШ1В1 ГСО.346.126ТУ |
Мегаомметр М4100/1, М4100/3 |
Омметр М371 ТУ 25-04-1041-75 |
Гидравлический стенд с испытательным давлением 2,5 МПа |
3.2. Допускается применение других средств измерений с аналогичными метрологическими характеристиками.
3.3. При первичной поверке допускается применять установки прямого сличения с использованием образцовых средств измерения объема, обеспечивающих метрологический запас не менее 1:3.
3.4. Средства измерений, используемые при поверке термосопротивлений, указаны в ГОСТ Р 50353.
3.5. Все средства измерений должны быть поверены (аттестованы) в установленном порядке и иметь действующие свидетельства о поверке (аттестации) или поверочные клейма.
(Измененная редакция, Изм. N 1)
4. ТРЕБОВАНИЯ БЕЗОПАСНОСТИ
4.1. При проведении поверки должны быть соблюдены требования безопасности по
ГОСТ 22261 и требования техники безопасности, оговоренные в эксплуатационной документации.
4.2. Общие правила выполнения работ при поверке - в соответствии с технической документацией по требованиям безопасности, действующей на данном предприятии.
При проведении поверки должны быть соблюдены следующие условия.
5.1.1. Первичная поверка производится при нормальных условиях по
ГОСТ 12997 с соблюдением следующих условий:
атмосферное давление, кПа, - от 86 до 106,7;
относительная влажность, %, - от 30 до 80;
температура измеряемой среды, C - 45 +/- 5;
отклонение напряжения питания от номинального значения, %, - +/- 2;
отклонение частоты переменного тока от номинального значения, %, - +/- 1;
сопротивление нагрузки аналогового выхода, кОм, - 2 +/- 0,1.
Газовые и воздушные пузыри в измеряемой среде недопустимы.
(Измененная редакция, Изм. N 7)
5.1.2. Первичная поверка проводится на поверочной установке, рекомендуемой в
Приложении 1, на воде по
ГОСТ 2874.
Допускается использование воды из системы водо- и теплоснабжения по
СНиП 2.04.07-86 и конденсата.
5.2. Периодическая поверка.
5.2.1. Периодическая поверка осуществляется на месте эксплуатации без демонтажа теплосчетчиков при полностью заполненной водой проточной полости преобразователя ПП7. Наличие воздушных пузырей в воде не допускается.
При внешнем осмотре должно быть установлено наличие эксплуатационной документации и свидетельств о предыдущей поверке (требуется при периодической поверке), соответствие теплосчетчика комплектности и маркировки, указанных в ТО теплосчетчика.
Операцию внешнего осмотра производят путем наружного осмотра и сличения с ТО на теплосчетчик. Составные части теплосчетчика не должны содержать обрывов соединительного кабеля, вмятин; качество защитных покрытий должно удовлетворять требованиям ТО; отсутствие коррозии, нарушение целостности пломб и клейм; должно быть обеспечено надежное заземление и т.д.
6.2.1. После монтажа теплосчетчика по схеме согласно
Приложениям 1 или
1а произвести в течение 10 минут пропуск воды через первичные преобразователи на расходе 80% G
max с целью удаления воздуха.
Проверить наличие выходных сигналов - информация объема и расхода теплоносителя, количества теплоты, теплового потока, температуры, строго соблюдая порядок нажатия клавиш вычислителя, согласно ТО, Приложение 13.
6.2.2. В процессе опробования необходимо проверить смещение нуля. Для чего при полностью заполненном трубопроводе и преобразователе ПП7 при расходе воды, равном нулю (0), перевести вычислитель ИПВ-5 в режим "Контроль", действуя согласно ТО, исключить подпрограмму "Гистерезис" и вернуть вычислитель в режим "Эксплуатация".
Перевести вычислитель согласно ТО в режим индикации осредненных (для ИПВ-5р) или скорректированных (для ИПВ-5И) значений разности кодов

. Нажатием клавиш, соответствующих номеру канала, и клавиши "м
3/h" и "R" для ИПВ-5р или "м
3/h" и "D" для ИПВ-5И произвести считывание не менее 10 значений с промежутками между считываниями не менее 10 с.
(Измененная редакция, Изм. N 7)
Описанную процедуру производят для каждого канала теплосчетчиков.
Результаты опробования считают удовлетворительными, если среднее значение разности кодов

во всех каналах измерения находится в пределах от минус 3 до плюс 3 единиц кода.
6.2.3. В процессе опробования проверяется хранение паспортных данных - коэффициентов настройки и слова состояния.
Проверку хранения коэффициентов настройки произвести в режиме "Контроль". Соблюдая последовательность нажатия клавиш в соответствии с ТО, производить поочередный вызов на индикацию коэффициентов настройки и сличить их с паспортизированными значениями.
Результаты опробования считаются положительными, если индицируемые и паспортизированные значения коэффициентов настройки соответственно совпадают.
Для исполнений теплосчетчиков с регистраторами (с вычислителями ИПВ-5р) проверяется хранение слова состояния.
Последовательность нажатия клавиш для вызова на индикацию младшего и старшего байтов слова состояния приведена в
Приложении 2.
Результаты контроля считаются положительными, если индицируемые и паспортизированные значения младшего и старшего байтов слова состояния при опробовании соответственно совпадают.
6.2.4. При опробовании принтера необходимо подключить его к разъему "Выход" вычислителя ИПВ-5Р и проверить возможность архивирования среднечасовых значений расхода, температуры в подающем и обратном трубопроводах, а также их документирование.
(Измененная редакция, Изм. N 2, 7)
Для включения принтера в работу ИПВ-5р перевести в режим "Контроль", а также установить необходимые признаки в слове состояния: измененный масштаб для среднечасовых параметров, измененный масштаб времени для интегральных параметров, имитационный режим для каждого канала, архивирование данных согласно
Приложению 2.
Обнулив ИПВ-5, перевести его в режим "Эксплуатация". В указанном режиме вычисление среднечасовых параметров производится за время не менее, чем 100 с. Управление работой вычислителя производится согласно разделу 12 ТО.
Результаты опробования принтера считают положительными, если полученный документ имеет контрастную печать, не содержит искажений символов, формирует все надписи согласно ТО, а значения среднечасовых параметров на документе не отличаются от наблюдаемых на +/- 2%.
6.2.5. Опробование завершают проверкой наличия выходного сигнала 0 - 10 В по ГОСТ 26.011 в теплосчетчиках с аналоговыми выходными сигналами.
6.2.6. После проведения опробования ИПВ-5р переводят в режим "Контроль" для восстановления паспортных данных состояния с последующим возвратом в режим "Эксплуатация".
6.3. Проверка электрического сопротивления изоляции цепей.
Проверку электрического сопротивления изоляции цепей в нормальных условиях по
п. 5.1 проводят с помощью мегаомметра типа М4100/1, который поочередно подключают к контролируемым цепям и прикладывают измерительное напряжение постоянного тока согласно
Приложению 10.
Отсчет показаний, определяющих сопротивление изоляции, производят по истечении 1 мин после первой подачи напряжения, минимально допустимое электрическое сопротивление изоляции цепей, измеренное в нормальных климатических условиях, должно быть не менее 20 МОм.
6.4. Проверка герметичности соединений первичного преобразователя.
Проверку герметичности первичного преобразователя проводят с помощью гидравлического водяного пресса. Давление в заполненной водой проточной полости первичного преобразователя медленно повышают от 0 до 1,5 Pmax, выдерживают в течение 15 минут. Давление контролируют по показаниям манометра. Испытание проводят при температуре воды (25 + 10) °C.
Первичный преобразователь считают выдержавшим испытание, если не обнаружено просачивания, течи и отсутствует падение давления по манометру в течение времени испытания. Допускается проверку первичного преобразователя проводить в процессе приемосдаточных испытаний.
6.5. Определение геометрических параметров преобразователя ПП7.
6.5.1. Определение диаметра (Д) проточной полости преобразователя ПП7 производится измерением диаметра в трех плоскостях, перпендикулярных оси преобразователя, с помощью нутромера в двух взаимно перпендикулярных направлениях в местах, свободных от преобразователей и отражателей.
Диаметр Д определяется как среднее арифметическое всех измерений.
6.5.2. Определение первого геометрического коэффициента СГ1.
Для определения геометрического коэффициента СГ1 заглушить первичный преобразователь ПП7, заполнить измеряемой средой согласно требованиям ТО, обеспечить удаление воздушных пузырей, измерить температуру среды. Подключить ПП7 к входу первого канала вычислителя ИПВ-5, размыканием электромеханической пломбы перевести ИПВ-5 в режим "Контроль", при этом второй и третий каналы отключить согласно ТО. Нажатием клавиши "W" перевести ИПВ-5 в режим "Эксплуатация". С помощью частотомера типа ЧЗ-54, подключенного к контактам 8 и 10 разъема "Т" (в исполнении вычислителя ИПВ-5р) или к разъемам XS1 и XS2 платы БВПС (в остальных исполнениях вычислителя ИПВ-5), определяют значение t (разность времени распространения ультразвука). Аналогично определяется коэффициент СГ1 для второго канала).
При измерениях контакт 8 и разъем XS1 считать общими, а контакт 10 и разъем XS2 - сигнальными.
При измерениях на разъемах XS1 и XS2 тумблеры перепадов на измерителе интервалов времени частотомера устанавливаются в нижнее положение.
(Измененная редакция, Изм. N 7)
Значение коэффициента СГ1 определяется по формуле:

, м (1)
где

- длительность импульса между опорным и информационным приемными сигналами в неподвижной среде, с
w
0 - скорость звука в измеряемой среде. Определяется по
таблице Приложения 3, м/с.
Абсолютная погрешность измерения

не должна превышать 10
-8 с.
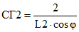
6.5.3. Определение второго геометрического коэффициента СГ2 (при первичной поверке).
Геометрический коэффициент СГ2 определяется по формуле:

, 1/м (2)
где

- проекция информационной траектории на ось преобразователя ПП7, м.
Коэффициент СГ2 определяется измерением расстояния между осями пьезопреобразователя с помощью мерительного инструмента с погрешностью не более +/- 0,05 мм.
Измерения геометрических размеров преобразователей ПП7 проводятся при настройке ОТК завода-изготовителя и заносятся в паспорт теплосчетчика.
(Измененная редакция, Изм. N 3)
6.6. Определение метрологических характеристик термопреобразователей
Входящие в состав теплосчетчика термопреобразователи должны быть поверены по
ГОСТ 8.461 ГСИ "Термопреобразователи сопротивления. Методы и средства поверки" и должны соответствовать требованиям ГОСТ Р 50353-92. Термопреобразователи сопротивления. Общие технические условия.
(Измененная редакция, Изм. N 7)
6.7. Определение метрологических характеристик теплосчетчика.
Проливной метод.
6.7.1. Перед началом каждого измерения необходимо произвести сброс показаний объема, количества теплоты, времени по всем поверяемым каналам последовательным нажатием клавиш "Z", "7", "7" и подготовку к измерению нажатием клавиши "W". Промежуток времени между подготовкой к измерению и началом измерения не менее 20 с. При проведении поверки вычислитель ИПВ-5р (ИПВ-5) должен находиться в режиме "Контроль" согласно ТО. Перевод вычислителя в другие режимы работ производить согласно соответствующим разделам ТО.
6.7.2. Определение основной приведенной погрешности теплосчетчика по функции измерения расхода.
6.7.2.1. Определение погрешности измерения расхода (G) теплосчетчиком производят на расходах 4%, 50% и 100% от верхнего предела G
max поверяемого типоразмера для каждого канала измерения.
Расходы устанавливают в пределах +2,5% для 4% Gmax; +/- 2,5% для 50% Gmax и -2,5% для 100% Gmax.
(Измененная редакция, Изм. N 4, 7)
Допускается при первичной поверке погрешность теплосчетчика по функции измерения расхода определять на двух расходах 4% и 50% Gmax.
Приведенную погрешность следует определять по результатам трех измерений на каждом канале одного и того же расхода, пропущенного через теплосчетчик и образцовое средство по
Приложению 1, по формуле:

,% (3)
где Gi - среднее значение измеряемого расхода по результатам трех наблюдений, м3/ч;
Gmax - верхний предел измерения поверяемого теплосчетчика, м3/ч;
Goi - значение расхода по образцовому средству, м3/ч.
При наличии аналогового выхода погрешность определяется по формуле:

;

(4)
где Ui - среднее значение выходного сигнала теплосчетчика по результатам не менее 5 наблюдений, В;
Umax = 10 В - верхний предел напряжения аналогового выхода, соответствующий максимальному расходу;
Tmax - температура теплоносителя, соответствующая верхнему пределу измерения теплосчетчиков;
Toi - температура, измеренная образцовым средством на поверочной установке.
Теплосчетчики считают выдержавшими испытание, если значения основных и приведенных погрешностей не превышают:
группа А группа Б
Для исполнений теплосчетчиков с измерением температуры термодатчиками первичную поверку производить при температуре измеряемой среды от 15 до 30 °C с установкой термодатчика 1-го канала в термостате при температуре, обеспечивающей разность температур между 1-м и 2-м каналами 10 °C, 20 °C и 70 °C
(Приложение 1а).
6.7.3. Определение основной относительной погрешности теплосчетчика по функции измерения объема.
Определение основной относительной погрешности измерения объема теплосчетчиком следует определять по каждому каналу в отдельности на расходах по
п. 6.7.2.1 по результатам измерения одного и того же объема воды, пропущенного через теплосчетчик и образцовое средство (
Приложения 1,
1а), по формуле:

(5)
Vi - объем воды, измеренный теплосчетчиком, м3
Voi - объем воды, измеренный образцовым средством, м3.
Продолжительность пролива измеряемой среды не менее 150 с.
Теплосчетчик считается выдержавшим испытание, если значение погрешности, рассчитанное по
формуле (5), не превышает:
для группы А - +/- 1,0%,
для группы Б - +/- 1,5%.
6.7.4. Определение абсолютной погрешности по функции измерения температуры при первичной поверке следует проводить на поверочной установке по
Приложению 1 (1а) при выполнении пунктов
6.7.2,
6.7.3 при температуре измеряемой среды.
Погрешность определяется по формуле

, °C (6)
где T1,2 - температура среды, измеренная теплосчетчиком, °C
To1,2 - температура среды, измеренная образцовым средством на поверочной установке, °C.
Теплосчетчик считают выдержавшим испытание, если значение абсолютной погрешности по
формуле (6) не превышает

, °C
6.7.5. Определение основной относительной погрешности теплосчетчика по функции измерения количества теплоты (при первичной поверке).
Основную относительную погрешность определяют по поверочной установке по
Приложениям 1,
1а одновременно при выполнении
п. 6.7.2 на расходах
п. 6.7.2.1 в следующей последовательности:
определяют значение теплосодержания на поверочной установке на каждом расходе по формуле:
где Moi - масса, рассчитанная по результатам пролитого объема через установку, г;
hoi - значение энтальпии воды поверочной установки при давлении и температуре, ГДж/т;

, т (8)
где V
oi - объем, измеренный поверочной установкой при выполнении
п. 6.7.3, м
3
VloiPoi - удельный объем воды поверочной установки при измеренных значениях давления P и температуры T, берется из системы государственных справочных данных (ГССД), м3/т.
Определяют основную относительную погрешность теплосчетчика по функции измерения теплосодержания по каждому каналу в отдельности по формуле:

, % (9)
где Hi1, Hi2 - теплосодержание, измеренное теплосчетчиком на каждом канале, ГДж.
H
oi - теплосодержание, рассчитанное по
формуле (7), ГДж.
Определяют погрешность вычисления теплосчетчиком разности теплосодержаний между каналами по формуле:

, % (10)
где

- разность теплосодержаний H1 и H2 между каналами, ГДж.
Основную относительную погрешность теплосчетчика по функции измерения количества теплоты определяют по формуле:

, % (11)
Основную относительную погрешность теплосчетчика исполнения "а" по функции измерения количества теплоты определяют по формуле:

(11.1)
где Hi - суммарное количество теплоты, измеренное теплосчетчиком;
Hp - расчетное количество теплоты определяется по формуле:

, ГДж (11.2)
где V1 - объем, измеренный поверочной установкой, пропущенный через первичный преобразователь первого канала, м3,
vTolk - удельный объем воды при температуре установки термопреобразователя 1-го канала в термостате из Государственной системы стандартных данных, м3/т,
h1, h2 - значение энтальпии воды при давлении P установки и температуры установки термопреобразователей 1-го и 2-го каналов, ГДж/т.
Теплосчетчик считается выдержавшим испытание, если погрешность, рассчитанная по
формулам (11) и
(11.1), не превышает значений +/- 2,5% при разности температур свыше 20 °C и +/- 4% при разности температур от 10 до 20 °C.
(Измененная редакция, Изм. N 7)
6.7.6. Определение основной приведенной погрешности теплосчетчика по функции измерения теплового потока.
Приведенную погрешность определяют при проведении испытаний по
п. 6.7.5 по формуле:

,% (12)
где Qi - среднее значение теплового потока поверяемого канала по результатам трех измерений, МВт;
Qmax - значение наибольшего теплового потока для поверяемого типоразмера, МВт.
(Измененная редакция, Изм. N 5)

, МВт (13)
где hmax - наибольшее значение энтальпии, соответствующей температуре 160 °C и давлению 1,5 МПа, выбирается из ГССД, ГДж/т;
Gmax - верхний предел измерения расхода, поверяемого теплосчетчиком, м3/ч;
vmax - значение удельного объема при температуре 160 °C и давлении 1,5 МПа, м3/т;
Q
oi - значение теплового потока, рассчитанного для параметров поверочной установки по
формуле (13), при выполнении
пункта 6.7.5, МВт.
Теплосчетчик считают выдержавшим испытание, если основная приведенная погрешность теплосчетчика по функции измерения теплового потока, определенная по
формуле (12), не превышает +/- 2,5%.
6.7.6.1. Определение основной относительной погрешности теплосчетчика по функции измерения времени.
Относительную погрешность измерения времени определяют по формуле:

, % (14)
где

- время, измеренное теплосчетчиком, с

- время, измеренное образцовым средством, с.
Продолжительность испытаний не менее 17 мин.
Теплосчетчик считают выдержавшим испытание, если основная относительная погрешность теплосчетчика по функции измерения времени, определенная по
формуле (14), не превышает +/- 0,1%.
6.7.6.1. (Введен дополнительно, Изм. N 7)
6.7.7. Беспроливный метод
Беспроливный метод применяется при периодической поверке.
При беспроливном методе определение метрологических характеристик теплосчетчика производят имитационным способом без демонтажа первичного преобразователя ПП7 с обязательной поверкой термопреобразователей.
Имитационный метод обеспечивается для теплосчетчиков UTC-1 с применением аналогового процессора, а для теплосчетчика UTC-1-a с измерением температуры термодатчиками с помощью программно-управляемого генератора эталонных интервалов времени, размещенных в вычислителе ИПВ-5 и ИПВ-5р соответственно.
Порядок работы аналогового процессора и имитатора расходов UTC-test изложен в Техническом описании (ТО) на теплосчетчик.
6.7.7.1. С помощью имитаторов имитируются расходы теплоносителя. При заполненной рабочей полости преобразователей ПП7 (первый, второй, третий каналы) перевести вычислитель ИПВ-5р в режим "Контроль" согласно ТО и, пользуясь
Приложением 2 (биты слова состояния), нажатием клавиши "W" установить признаки:
имитационный режим канала 1;
имитационный режим канала 2;
имитационный режим канала 3;
расширение функций клавиатуры.
При этом первый канал измерения настраивается на первый имитационный режим, а второй канал - на второй имитационный режим. Перевести ИПВ-5 в выбранный режим работы двукратным нажатием клавиши "W" и вернуть вычислитель ИПВ-5р в режим "Эксплуатация".
6.7.7.2. Поверка заключается в сличении временных, кодовых эталонных сигналов и рабочих кодов с паспортизованными (рассчитанными при первичной поверке) согласно ТО.
Поверка имитатора расхода первого канала обеспечивается нажатием клавиши "I" по истечении 30 с после временного пломбирования. Установить первый имитационный режим, поочередно нажимая на клавиши "D" и "Z", вызвать индикацию значений кодов Киэ1 и Киэ2, соответственно.
(Измененная редакция, Изм. N 7)
Поверка имитатора первого канала считается положительной, если между настроенным коэффициентом разность (C38 = Кo1) и имитационным эталонным кодом Киэ1 - (Кэ1 - Киэ1) и разность между настроечным коэффициентом (C39 = Кo2) и имитационным эталонным кодом Киэ2 - (Кэ2 - Киэ2) не превышают +/- 2 ед. кода.
(Измененная редакция, Изм. N 6)
6.7.7.3. Для поверки имитатора расхода во втором канале необходимо нажать на клавишу "2" поочередным нажатием клавиши "Д" и "Z" вызвать индикацию значений имитационных рабочих кодов К
ир1, К
ир2, а также их сумма

и разность

являются контрольными во втором имитационном режиме.
Нажатием клавиши "S" вызвать индикацию суммы

, нажатием клавиши "R" вызвать индикацию разности

, зафиксировать их и занести в протокол.
Средние значения кодов К
ир1, К
ир2 и их суммы

рассчитываются по формулам, приведенным в ТО, а затем паспортизируются.
(Измененная редакция, Изм. N 6)
При периодической поверке сличают значения полученных кодов К
ир1, К
ир2,

,

с паспортизованными.
Результаты поверки считаются положительными, если разность между сличаемыми кодами не превышает +/- 3 ед. кода, а разность между суммами кодов К не превышает +/- 5 ед. кода.
6.7.7.4. По значениям температуры в каналах определяют соответствующие скорости звука согласно
Приложению 3.
(Измененная редакция, Изм. N 6)
6.7.7.5. Определение первого геометрического коэффициента СГ1.
Для определения геометрического коэффициента СГ1 выполнить операции по
пункту 6.5.2 настоящей Инструкции и по
формуле 1 определить значение СГ1.
Теплосчетчик считается выдержавшим испытания, если значение первого геометрического коэффициента СГ1, определенное при периодической поверке, не отличается от СГ1 при первичной поверке на +/- 2%.
По завершении поверки в режиме имитации расходов восстановить паспортные данные вычислителя ИПВ-5р, перевести его в режим "Эксплуатация" согласно Техническому описанию.
(Измененная редакция, Изм. N 7)
Основные расчетные соотношения, используемые в имитаторе расхода, приведены в справочном
Приложении 4 и Техническом описании.
6.7.7.6. Проверку имитационных режимов теплосчетчиков с имитационным поверочным выходом и аналоговыми выходными сигналами проводить согласно ТО, Приложение 20.
(Измененная редакция, Изм. N 7)
7. ОФОРМЛЕНИЕ РЕЗУЛЬТАТОВ ПОВЕРКИ
Положительные результаты поверки оформляются свидетельством, протоколами
Приложений 5,
6,
7,
8 с указанием результатов и клеймением теплосчетчика.
При отрицательных результатах поверки теплосчетчик не допускается к применению.
Соблюдая требования МИ 2164 в части нормирования погрешности теплосчетчиков и при согласии заказчика допускаются следующие пределы допускаемых погрешностей измерения по параметрам:
по расходу - +/- 2%
по количеству теплоты - +/- 8%
по объему - +/- 2,5%
по температуре - +/- 2,5%.
(Измененная редакция, Изм. N 6)
СХЕМА ПОВЕРОЧНОЙ УСТАНОВКИ
(рекомендуемая)
1. Источник электропитания U = 220 В, f = 50 Гц;
2. Вторичный преобразователь ИПВ-5, ИПВ-5р;
3. Трубопровод подачи измерительной среды;
4, 5, 12, 14. Запорные вентили;
8, 9. Образцовые термометры;
6, 7. Манометры;
11, 10. Первичные преобразователи ПП7;
13. Образцовое средство измерения объема
(мерник 1 класса или весы с погрешностью измерения
массы 0,1% с тарой);
15. Сливной коллектор;
16. Вольтметр, подключенный к аналоговому выходу
(Измененная редакция, Изм. N 6, 7)
СХЕМА ПОВЕРОЧНОЙ УСТАНОВКИ С ТЕРМОСТАТОМ
(рекомендуемая)
1. Источник электропитания U = 220 В, F = 50 Гц;
2. Вычислитель ИПВ-5 (ИПВ-5р);
3. Трубопровод подачи измерительной среды;
4. Запорный вентиль на байпасной ветке трубопровода;
5, 13. Запорный клапан с приводом;
6, 7, 8. Манометры;
9, 10. Образцовые термометры;
11, 12. Преобразователи ПП7;
14. Образцовое средство измерения объема (мерник 1 кл.
или весы с погрешностью измерения массы 0,1% с тарой);
15. Запорный вентиль слива;
16. Сливной коллектор;
17. Вольтметр, подключенный к аналоговому выходу;
18, 19. Измерители температуры;
20. Термостат
Примечание. Для получения разности температур между подающим и обратным трубопроводами 10 °C, 20 °C, 70 °C термопреобразователь 1 канала установить в термостат с температурой воды, превышающей температуру воды в поверочной установке на 10 °C, 20 °C, 70 °C.
Приложение 1а (введено дополнительно, Изм. N 7)
ФОРМАТ СЛОВА СОСТОЯНИЯ ВТОРИЧНОГО ПРЕОБРАЗОВАТЕЛЯ ИПВ-5Р
Примечания 1. Изменение состояния каждого байта слова достигается нажатием соответствующей клавиши.
2. Введение нового слова состояния осуществляется последовательным нажатием клавиш "Z", "7", "7".
ТАБЛИЦА СООТВЕТСТВИЯ "ТЕМПЕРАТУРА - КОД - СКОРОСТЬ ЗВУКА"
NN п.п. | Температура, °C | Сумма кодов,  | Скорость звука, W, м/с |
1 | 0,8 | 40 | 1406,38 |
2 | 1,1 | 104 | 1407,84 |
3 | 1,3 | 188 | 1408,86 |
4 | 1,6 | 232 | 1410,33 |
5 | 1,9 | 296 | 1411,78 |
6 | 2,2 | 360 | 1413,23 |
7 | 2,4 | 424 | 1414,18 |
8 | 2,7 | 488 | 1415,61 |
9 | 3,0 | 552 | 1417,02 |
10 | 3,3 | 616 | 1418,42 |
11 | 3,5 | 680 | 1419,35 |
12 | 3,8 | 744 | 1420,73 |
13 | 4,1 | 808 | 1422,11 |
14 | 4,4 | 872 | 1424,47 |
15 | 4,7 | 936 | 1424,82 |
16 | 5,0 | 1000 | 1426,17 |
17 | 5,3 | 1064 | 1427,50 |
18 | 5,6 | 1128 | 1428,82 |
19 | 5,9 | 1192 | 1430,14 |
20 | 6,2 | 1256 | 1431,45 |
21 | 6,5 | 1320 | 1432,74 |
22 | 6,8 | 1384 | 1434,03 |
23 | 7,1 | 1448 | 1435,31 |
24 | 7,4 | 1512 | 1436,58 |
25 | 7,7 | 1576 | 1437,84 |
26 | 8,1 | 1840 | 1439,51 |
27 | 8,4 | 1704 | 1440,75 |
28 | 8,7 | 1768 | 1441,99 |
29 | 9,0 | 1832 | 1443,21 |
30 | 9,3 | 1896 | 1444,43 |
31 | 9,7 | 1960 | 1446,03 |
32 | 10,0 | 2024 | 1447,23 |
33 | 10,3 | 2088 | 1448,42 |
34 | 10,7 | 2152 | 1449,99 |
35 | 11,0 | 2216 | 1451,16 |
36 | 11,4 | 2280 | 1452,71 |
37 | 11,7 | 2344 | 1453,85 |
38 | 12,1 | 2408 | 1455,37 |
39 | 12,4 | 2472 | 1456,51 |
40 | 12,8 | 2536 | 1458,00 |
41 | 13,1 | 2600 | 1459,11 |
42 | 13,5 | 2664 | 1460,58 |
43 | 13,8 | 2728 | 1460,67 |
44 | 14,2 | 2792 | 1463,12 |
45 | 14,5 | 2856 | 1464,19 |
46 | 14,9 | 2920 | 1465,61 |
47 | 15,3 | 2948 | 1467,01 |
48 | 15,7 | 3048 | 1468,40 |
49 | 16,1 | 3112 | 1469,78 |
50 | 16,5 | 3176 | 1471,14 |
51 | 16,9 | 3240 | 1472,49 |
52 | 17,3 | 3304 | 1473,82 |
53 | 17,7 | 3368 | 1475,14 |
54 | 18,1 | 3432 | 1476,44 |
55 | 18,5 | 3496 | 1477,73 |
56 | 18,9 | 3560 | 1479,01 |
57 | 19,3 | 3624 | 1480,27 |
58 | 19,7 | 3668 | 1481,52 |
59 | 20,2 | 3752 | 1483,07 |
60 | 20,6 | 3816 | 1484,28 |
61 | 21,0 | 3880 | 1485,49 |
62 | 21,5 | 3944 | 1486,97 |
63 | 21,9 | 4008 | 1488,15 |
64 | 22,4 | 4072 | 1489,60 |
65 | 22,8 | 4136 | 1490,74 |
66 | 23,4 | 4200 | 1492,43 |
67 | 23,8 | 4264 | 1493,54 |
68 | 24,3 | 4328 | 1494,92 |
69 | 24,8 | 4392 | 1496,27 |
70 | 25,3 | 4436 | 1497,60 |
71 | 25,8 | 4520 | 1498,91 |
| | ИС МЕГАНОРМ: примечание. Нумерация пунктов дана в соответствии с официальным текстом документа. | |
|
73 | 26,3 | 4584 | 1500,20 |
74 | 26,8 | 4648 | 1501,48 |
75 | 27,3 | 4712 | 1502,78 |
76 | 27,9 | 4776 | 1504,21 |
77 | 28,4 | 4840 | 1505,42 |
78 | 29,0 | 4904 | 1506,85 |
79 | 29,5 | 4968 | 1508,03 |
80 | 30,1 | 5032 | 1509,41 |
81 | 30,7 | 5096 | 1510,77 |
82 | 31,3 | 5160 | 1512,10 |
83 | 31,9 | 5224 | 1513,41 |
84 | 32,5 | 5288 | 1514,69 |
85 | 33,2 | 5352 | 1516,16 |
86 | 33,8 | 5416 | 1517,39 |
87 | 34,5 | 5480 | 1518,79 |
88 | 35,1 | 5544 | 1519,97 |
89 | 35,8 | 5608 | 1521,32 |
90 | 36,5 | 5672 | 1522,64 |
91 | 37,3 | 5736 | 1524,11 |
92 | 38,0 | 5800 | 1525,36 |
93 | 38,8 | 5864 | 1526,75 |
94 | 39,7 | 5928 | 1528,28 |
95 | 40,4 | 5992 | 1529,43 |
96 | 41,2 | 6056 | 1530,71 |
97 | 42,0 | 6120 | 1531,96 |
98 | 42,9 | 6184 | 1533,31 |
99 | 43,8 | 6248 | 1584,63 |
100 | 44,8 | 6312 | 1536,03 |
101 | 45,8 | 6376 | 1537,38 |
102 | 46,8 | 6440 | 1538,68 |
103 | 47,9 | 6504 | 1540,05 |
104 | 49,0 | 6568 | 1541,35 |
105 | 50,2 | 6632 | 1542,70 |
106 | 51,5 | 6696 | 1544,08 |
107 | 52,9 | 6760 | 1545,47 |
108 | 54,3 | 6824 | 1546,76 |
109 | 55,9 | 6888 | 1548,11 |
110 | 57,7 | 6952 | 1549,49 |
111 | 59,8 | 7016 | 1550,89 |
112 | 62,2 | 7080 | 1552,25 |
113 | 65,4 | 7144 | 1553,64 |
114 | 65,5 | 7145 | 1553,67 |
115 | 65,6 | 7146 | 1553,71 |
116 | 65,7 | 7148 | 1553,75 |
117 | 65,8 | 7150 | 1553,78 |
118 | 65,9 | 7151 | 1553,81 |
119 | 66,0 | 7153 | 1553,85 |
120 | 66,1 | 7155 | 1553,88 |
121 | 66,2 | 7156 | 1553,91 |
122 | 66,3 | 7158 | 1553,95 |
123 | 66,4 | 7159 | 1553,98 |
124 | 66,5 | 7160 | 1554,01 |
125 | 66,6 | 7162 | 1554,04 |
126 | 66,7 | 7163 | 1554,07 |
127 | 66,8 | 7164 | 1554,10 |
128 | 66,9 | 7166 | 1554,13 |
129 | 67,0 | 7167 | 1554,16 |
130 | 67,1 | 7168 | 1554,19 |
131 | 67,2 | 7170 | 1554,22 |
132 | 67,3 | 7171 | 1554,25 |
133 | 67,4 | 7172 | 1554,28 |
134 | 67,5 | 7173 | 1554,30 |
135 | 67,6 | 7175 | 1554,33 |
136 | 67,7 | 7176 | 1554,36 |
137 | 67,8 | 7177 | 1554,38 |
138 | 67,9 | 7178 | 1554,41 |
140 | 68,0 | 7179 | 1554,43 |
141 | 68,1 | 7180 | 1554,46 |
142 | 68,2 | 7181 | 1554,48 |
143 | 68,3 | 7182 | 1554,50 |
144 | 68,4 | 7183 | 1554,53 |
145 | 68,5 | 7184 | 1554,55 |
146 | 68,6 | 7185 | 1554,57 |
147 | 68,7 | 7186 | 1554,60 |
148 | 68,8 | 7187 | 1554,62 |
149 | 68,9 | 7188 | 1554,64 |
150 | 69,0 | 7189 | 1554,66 |
151 | 69,1 | 7190 | 1554,68 |
152 | 69,2 | 7191 | 1554,70 |
153 | 69,4 | 7192 | 1554,74 |
154 | 69,5 | 7193 | 1554,76 |
155 | 69,6 | 7194 | 1554,77 |
156 | 69,8 | 7195 | 1554,81 |
157 | 69,9 | 7196 | 1554,83 |
158 | 70,0 | 7197 | 1554,84 |
| | ИС МЕГАНОРМ: примечание. Нумерация пунктов дана в соответствии с официальным текстом документа. | |
|
158 | 70,2 | 7198 | 1554,87 |
159 | 70,4 | 7199 | 1554,90 |
160 | 70,6 | 7200 | 1554,93 |
161 | 70,8 | 7201 | 1554,96 |
162 | 71,0 | 7202 | 1554,98 |
163 | 71,2 | 7203 | 1555,01 |
164 | 71,4 | 7204 | 1555,03 |
165 | 71,7 | 7205 | 1555,06 |
166 | 72,0 | 7206 | 1555,09 |
167 | 72,7 | 7207 | 1555,13 |
168 | 73,4 | 7208 | 1555,16 |
169 | 74,0 | 7207 | 1555,16 |
170 | 74,5 | 7206 | 1555,16 |
171 | 75,0 | 7205 | 1555,14 |
172 | 75,3 | 7204 | 1555,13 |
173 | 75,5 | 7203 | 1555,12 |
174 | 75,7 | 7202 | 1555,10 |
175 | 76,0 | 7201 | 1555,08 |
176 | 76,1 | 7200 | 1555,07 |
177 | 76,2 | 7199 | 1555,06 |
178 | 76,5 | 7198 | 1555,04 |
179 | 76,7 | 7197 | 1555,02 |
180 | 76,8 | 7196 | 1555,00 |
181 | 76,9 | 7195 | 1554,99 |
182 | 77,1 | 7194 | 1554,97 |
183 | 77,2 | 7193 | 1554,96 |
184 | 77,3 | 7192 | 1554,94 |
185 | 77,5 | 7191 | 1554,92 |
186 | 77,6 | 7190 | 1554,90 |
187 | 77,7 | 7189 | 1554,89 |
188 | 77,8 | 7188 | 1554,87 |
189 | 77,9 | 7187 | 1554,86 |
190 | 78,0 | 7186 | 1554,84 |
191 | 78,2 | 7185 | 1554,81 |
192 | 78,3 | 7184 | 1554,79 |
193 | 78,4 | 7183 | 1554,78 |
194 | 78,5 | 7182 | 1554,76 |
195 | 78,6 | 7181 | 1554,74 |
196 | 78,7 | 7180 | 1554,72 |
197 | 78,8 | 7179 | 1554,71 |
198 | 78,9 | 7178 | 1554,69 |
199 | 79,0 | 7177 | 1554,67 |
200 | 79,1 | 7176 | 1554,65 |
201 | 79,2 | 7175 | 1554,63 |
202 | 79,3 | 7174 | 1554,61 |
203 | 79,4 | 7173 | 1554,59 |
204 | 79,5 | 7171 | 1554,57 |
205 | 79,6 | 7170 | 1554,54 |
206 | 79,7 | 7169 | 1554,52 |
207 | 79,8 | 7167 | 1554,50 |
208 | 79,9 | 7166 | 1554,48 |
209 | 80,0 | 7165 | 1554,46 |
210 | 80,1 | 7164 | 554,43 |
211 | 80,2 | 7162 | 1554,41 |
212 | 80,3 | 7161 | 1554,38 |
213 | 80,4 | 7160 | 1554,36 |
214 | 80,5 | 7159 | 1554,34 |
215 | 80,6 | 7158 | 1554,31 |
216 | 80,7 | 7156 | 1554,28 |
217 | 80,8 | 7154 | 1554,26 |
218 | 80,9 | 7153 | 1554,23 |
219 | 81,0 | 7152 | 1554,21 |
220 | 81,1 | 7150 | 1554,18 |
221 | 81,2 | 7148 | 1554,15 |
222 | 81,3 | 7147 | 1554,12 |
223 | 81,4 | 7145 | 1554,10 |
224 | 81,5 | 7144 | 1554,07 |
225 | 85,0 | 7080 | 1552,85 |
226 | 87,8 | 7016 | 1551,58 |
227 | 90,1 | 6952 | 1550,34 |
228 | 92,1 | 6888 | 1549,13 |
229 | 94,0 | 6824 | 1547,86 |
230 | 95,8 | 6760 | 1546,35 |
231 | 97,4 | 6696 | 1545,31 |
232 | 99,0 | 6632 | 1543,99 |
233 | 100,4 | 6568 | 1543,78 |
234 | 101,8 | 6504 | |
235 | 103,2 | 6440 | 1540,20 |
236 | 104,5 | 6376 | 1538,93 |
237 | 105,8 | 6312 | 1537,60 |
238 | 107,0 | 6248 | 1536,35 |
239 | 108,2 | 6184 | 1535,03 |
240 | 109,3 | 6120 | 1533,81 |
241 | 110,4 | 6056 | 1532,53 |
242 | 111,5 | 5992 | 1531,24 |
243 | 112,6 | 5928 | 1529,90 |
244 | 113,6 | 5864 | 1528,66 |
245 | 114,6 | 5800 | 1527,33 |
246 | 115,6 | 5736 | 1526,09 |
247 | 116,6 | 5672 | 1524,77 |
248 | 117,5 | 5608 | 1523,54 |
249 | 118,5 | 5544 | 1522,17 |
250 | 119,4 | 5480 | 1520,89 |
251 | 120,3 | 5416 | 1519,61 |
252 | 121,2 | 5352 | 1518,30 |
253 | 122,0 | 5288 | 1517,10 |
254 | 122,9 | 5224 | 1515,73 |
255 | 123,7 | 5160 | 1514,52 |
256 | 124,6 | 5096 | 1513,12 |
257 | 125,4 | 5032 | 1511,84 |
258 | 126,2 | 4968 | 1510,57 |
259 | 127,0 | 4904 | 1509,28 |
260 | 127,8 | 4840 | 1507,95 |
261 | 128,6 | 4776 | 1506,62 |
262 | 129,3 | 4712 | 1505,44 |
263 | 130,1 | 4648 | 1504,06 |
264 | 130,8 | 4584 | 1502,83 |
265 | 131,6 | 4520 | 1501,43 |
266 | 132,3 | 4456 | 1500,20 |
267 | 133,0 | 4392 | 1498,95 |
268 | 133,7 | 4328 | 1497,66 |
269 | 134,4 | 4264 | 1496,39 |
270 | 135,1 | 4200 | 1495,10 |
271 | 135,8 | 4136 | 1493,77 |
272 | 136,5 | 4072 | 1492,45 |
273 | 137,2 | 4008 | 1491,12 |
274 | 137,8 | 3944 | 1489,95 |
275 | 138,5 | 3880 | 1488,59 |
276 | 139,2 | 3816 | 1487,22 |
277 | 139,8 | 3752 | 1486,02 |
278 | 140,4 | 3668 | 1484,83 |
279 | 141,1 | 3624 | 1483,42 |
280 | 141,8 | 3580 | 1481,98 |
281 | 142,4 | 3496 | 1480,76 |
282 | 143,0 | 3432 | 1479,52 |
283 | 143,6 | 3368 | 1478,26 |
284 | 144,3 | 3304 | 1476,79 |
285 | 144,9 | 3240 | 1475,50 |
286 | 145,5 | 3176 | 1474,23 |
287 | 146,1 | 3112 | 1472,95 |
288 | 146,7 | 3048 | 1471,64 |
289 | 147,3 | 2984 | 1470,34 |
290 | 147,9 | 2920 | 1469,03 |
291 | 148,6 | 2856 | 1467,49 |
292 | 149,1 | 2792 | 1466,39 |
293 | 149,6 | 2728 | 1465,26 |
294 | 150,2 | 2664 | 1463,92 |
295 | 150,8 | 2600 | 1462,54 |
296 | 151,4 | 2536 | 1461,18 |
297 | 151,9 | 2472 | 1460,05 |
298 | 152,5 | 2408 | 1458,65 |
299 | 153,1 | 2344 | 1457,30 |
300 | 153,6 | 2280 | 1456,11 |
301 | 154,2 | 2216 | 1454,75 |
302 | 154,7 | 2152 | 1453,55 |
303 | 155,3 | 2088 | 1452,14 |
304 | 155,8 | 2024 | 1450,93 |
305 | 156,4 | 1960 | 1449,51 |
306 | 156,8 | 1896 | 1448,53 |
307 | 157,5 | 1832 | 1446,88 |
308 | 158,0 | 1768 | 1445,71 |
309 | 158,5 | 1704 | 1444,47 |
310 | 159,1 | 1640 | 1442,98 |
311 | 159,6 | 1576 | 1441,73 |
312 | 160,0 | 1512 | 1440,79 |
ОСНОВНЫЕ РАСЧЕТНЫЕ СООТНОШЕНИЯ
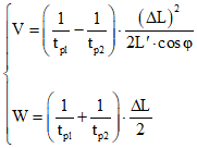
1. Упрощенные функции преобразования ПП7 по каналам измерения скорости V потока и скорости W звука описываются системой уравнений:

, (1)
где tpl и tp2 - интервалы времени между спорными и информационными импульсами соответственно по потоку и против в рабочих диапазонах температур и расходов.
С учетом введенных геометрических коэффициентов преобразователя ПП7 система имеет вид:

. (2)
2. При уравновешивании в такте по потоку при калибровочных опросах временных эталонов to1 и to2 имеют место известные для развертывающих преобразователей "код - время" соотношения:

:

(3, 4)
где

- коэффициент отражения тока;
iy - приведенный к выходу общий ток утечек, определяемый базовыми токами транзистора VT2 ... VT5, сопротивлением изоляции хронирующего конденсатора C17 и входными токами компаратора DA8.
3. При калибровочных опросах в тактах по потоку осуществляется стабилизация времени:

, (5)
где

- приведенный коэффициент утечки токов.
4. При калибровочных опросах в тактах против потока осуществляется стабилизация отношения:

. (6)
5. При втором поверочном опросе формируемые прибором ИПВ-5 коды Кир1 и Кир2, имитирующие расстановку опорного и информационного сигналов в тактах по потоку и против определяются следующим выражением:

. (7)
где

- второй коэффициент суммарных задержек

, определяемых ключами DA8 коммутационно-разрядной цепи и компаратором DA8.
Выражение разности

кодов при имитации имеет вид:

, (8)
где

- первый коэффициент суммарных задержек

.
Выражение суммы

ходов при имитации имеет вид:

. (9)
6. При выбранной в соответствии с черт. 34-1Лм-2.09.00 33 элементной базе величины, определяющие обобщенные утечку токов и задержку, имеют следующие среднестатистические значения:
К
v = 0,99953 и

. (10)
7. При рабочих опросах определение значений разности

и суммы

кодов производится аналогично
выражениям 8 и
9:

. (11)

. (12)

. (13)
9. С учетом известного соотношения

, (14)
где Vmax - осредненная скорость потока, соответствующая верхнему пределу расхода, м/с;
Qmax - верхний предел расхода, м3/ч;
D - реальный диаметр проточной полости преобразователя ПП7, мм.

. (15)
10. Наибольшее и наименьшее значение временных интервалов

и

между опорным и информационным импульсами имеет вид:

;

(16, 17)
где Wmin = 1426,16 м/с - скорость звука в воде при 5 °C;
Wmax = 1555,16 м/с - скорость звука в воде при 74,15 °C.
11. Приведенные расчетные соотношения могут быть использованы для определения параметров настройки любого типоразмера теплосчетчиков.
поверки теплосчетчика UTC-1 ______________
заводской N __________ дата выпуска
Определение геометрических параметров преобразователей ПП7
Дv, мм __________. Верхний предел расхода, м3/ч ___________
N п.п | Температура окруж. воздуха, °C | Подающий трубопровод: преобразов. ПП7, зав. N |
Температура, °C | Скорость звука, W, м/с | Длительность,  | Длина  | Диаметр, D, мм | Коэф. СГ1, м | Коэф. СГ2, 1/м |
Продолжение Приложения 5
Обратный трубопровод: преобразов. ПП7, зав. N | Примечание |
Температура, °C | Скорость звука, W, м/с | Длительность,  | Длина  | Диаметр, D, мм | Коэф. СГ1, м | Коэф. СГ2, 1/м |
Примечание. При периодической поверке значения D и СГ2 не определяются.
Подписи:
Дата:
первичной поверки теплосчетчика UTC-1 __________
Определение основных погрешностей по функциям измерения
расхода, объема, теплового потока и температуры
Дv, мм _______ Заводской N _________ Дата выпуска _________
Верхние пределы: расхода, м3/ч ________, теплового
потока, МВт _________
N п.п. | Измерения по поверочной установке | Канал измерения, i = ________________________ | Примечание |
Расход Ggi, м3/ч | Объем Wgi, м3 | Температура Tgi, С | Давление, Pgi, МПа | Тепловой поток, Qgi, МВт | Время измерения, tgi, с | Средние значения | Объем Wij, м3 | Температура Tij, С | Погрешность измерения |
Расход Ggi, м3/ч | Напряжение, Uij, В | Тепл. поток Qij, МВт | | | | | |
Подписи:
Дата:
первичной поверки теплосчетчика UTC-1 _________
Определение основной относительной погрешности по функции
измерения количества теплоты
Дv, мм Заводской N __________ Дата выпуска ______________
Диапазон расходов, м3/ч
N п.п. | Измерения по поверочной установке | Измерение по теплосчетчику | Расчет погрешностей измерения | Примечание |
Расход Ggi, м3/ч | Объем Wgi, м3 | Температура Tgi, С | Давление, Pgi, МПа | Удельный объем v, м3/т | Энтальпия, hgi, ГДж/т | Масса, Mgi, т | Теплосодержание по каналам Hij, ГДж | Разность Hj, ГДж | | | | |
I | II | I | II | III |
Подписи:
Дата:
поверки теплосчетчика UTC-1 ____________
Заводской N ___________ Дата выпуска _____________
Проверка хранения настроечных коэффициентов
Младший байт слова состояния ("9") | | | | | | | | |
| | | | | | | | |
Старший байт слова состояния (",") | | | | | | | | |
N п.п. | Значения коэффициентов первого канала измерения | Значения коэффициентов второго канала измерения | Значения коэффициентов калибровочного канала | Примечание |
C11 | C12 | C13 | C14 | C15 | C16 | C17 | C21 | C22 | C23 | C24 | C25 | C26 | C27 | C30 | C36 | C37 | C38 | C39 |
Подписи:
Дата:
ПРОТОКОЛ
поверки теплосчетчика UTC-1 ___________
Определение метрологических характеристик в режиме
имитации расхода
Дv, мм _______ Заводской N ______ Дата выпуска ___________
Диапазон расходов, м3/ч _________ Частота тактового
питания, F2T, Гц
Коэффициент утечки, Kv ___________ Обобщенная
задержка, мс ______
N п.п. | Входные эталонные сигналы | Выходные кодовые сигналы имитатора расходов | Расчетные значения | Примечание |
временные | кодовые | Коды вспом. ЦАП | I имитац. режим | II имитацион. режим | Кир1 | Кир2 | | |
tо1 = C16 = C35 | tо2 = C17 = C37 | tир1 = C26 | tир2 = C27 | Ко1 = C38 | Ко2 = C39 | КА | КВ | Киэ1 | Киэ2 | Кир1 | Кир2 | | |
Подписи:
Дата:
Исполнение вычислителя | Точки приложения испытательного напряжения | Испытательное напряжение, В |
ИПВ5 34-1Л-2.00.00 | Между соединенными вместе контактными зажимами 25 и 26 колодки клеммной X I и корпусом ИПВ5 Для исполнений: с измерением температуры по значениям скорости звука - между соединенными вместе контактными зажимами 29 и 30 колодки клеммной X I и корпусом ИПВ5; | - |
с измерением температуры термометром сопротивления - между соединенными вместе жилами кабеля 9 (см. продолжение Приложения 13) и корпусом ИПВ5 | 100 |
ИПВ5 4В2.833.008 | Между соединенными вместе контактами 2 и 3 соединителя X I и корпусом ИПВ5 | - |
Между соединенными вместе контактами 6 и 7 соединителя X I и корпусом ИПВ5 | 100 |
ИПВ-5р 34-1Лм-2.00.00 | Между соединенными вместе контактами разъема "Сеть" и корпусом ИПВ-5р | 100 |
Между соединенными вместе контактами 1 и 2 разъема "Т" и корпусом ИПВ-5р | - |
(Измененная редакция, Изм. N 7)