Главная // Актуальные документы // МетодикаСПРАВКА
Источник публикации
М.: Издательство стандартов, 1980
Примечание к документу
Название документа
"МИ 201-80. Методика поверки анализаторов жидкости титрометрических лабораторных общего назначения"
(утв. протоколом НТС СФ ВНИИМ от 10.10.1979 N 25)
"МИ 201-80. Методика поверки анализаторов жидкости титрометрических лабораторных общего назначения"
(утв. протоколом НТС СФ ВНИИМ от 10.10.1979 N 25)
Научно-техническим
советом СФ ВНИИМ
10 октября 1979 г.
(протокол N 25)
МЕТОДИКА
ПОВЕРКИ АНАЛИЗАТОРОВ ЖИДКОСТИ ТИТРОМЕТРИЧЕСКИХ ЛАБОРАТОРНЫХ
ОБЩЕГО НАЗНАЧЕНИЯ
МИ 201-80
РАЗРАБОТАНА Свердловским филиалом Всесоюзного ордена Трудового Красного Знамени научно-исследовательского института метрологии им. Д.И. Менделеева (СФ ВНИИМ)
Директор Н.Г. Семенко
Руководитель темы А.А. Проскурников
Исполнители С.Н. Мяконьких, Т.Г. Наумова
СОИСПОЛНИТЕЛЬ Всесоюзный научно-исследовательский институт аналитической техники НПО "Аналитприбор"
Директор З.Е. Круашвили
Исполнитель Л.Б. Шагинян
ПОДГОТОВЛЕНА К УТВЕРЖДЕНИЮ Лабораторией государственной метрологической службы и стандартизации СФ ВНИИМ
Заведующий лабораторией Е.Ю. Гусарский
Исполнитель З.В. Максимова
УТВЕРЖДЕНА Научно-техническим советом СФ ВНИИМ 10 октября 1979 г. (протокол N 25)
Настоящая методика распространяется на лабораторные титрометрические анализаторы жидкости общего назначения (титраторы) со следующими нормированными метрологическими характеристиками:
предел допускаемого значения относительной погрешности не менее +/- 1,0%;
предел допускаемого значения среднего квадратического отклонения случайной составляющей погрешности не менее 0,3% и устанавливает методы и средства первичной и периодической поверок вновь изготовленных, выходящих из ремонта и находящихся в эксплуатации титраторов.
Титрометрические анализаторы жидкости общего назначения предназначены для определения концентрации различных химических веществ методами объемного титрования, основанными на выполнении химических реакций: нейтрализации, окисления - восстановления, комплексообразования и осаждения.
При проведении поверки нормированные метрологические характеристики титраторов оцениваются на реакции нейтрализации с использованием в качестве образцовых средств измерения стандарт-титров соляной кислоты и натрия тетраборнокислого (ТУ 6-09-2540-72).
Периодичность поверки приборов не реже одного раза в год.
При проведении поверки должны выполняться операции, указанные в таблице.
Наименование операций | Номера пунктов методики поверки | Обязательность проведения операций при: |
выпуске из производства и ремонте | эксплуатации и хранении |
Проверка комплектности и внешний осмотр титратора | | Да | Да |
Проверка герметичности жидкостных линий | | Да | Да |
Определение величины сопротивления электрической изоляции | | Да | Нет |
Проверка прочности электрической изоляции | | Да | Нет |
Определение приведенной (относительной) погрешности дозатора | | Да | Да |
Определение случайной составляющей погрешности дозатора | | Да | Да |
Определение относительной погрешности титратора | | Да | Да |
Определение случайной составляющей погрешности титратора | | Да | Да |
2.1. При проведении поверки применяются следующие средства:
| | ИС МЕГАНОРМ: примечание. ГОСТ 9933-75 утратил силу с 1 июля 1992 года (ИУС "Государственные стандарты", N 3, 1992). | |
мановакуумметр МВ 250 по ГОСТ 9933-75;
весы лабораторные рычажные по ГОСТ 19491-74 (предел взвешивания 200 г, погрешность +/- 0,2 мг);
термометр ртутный стеклянный по ГОСТ 2045-71 (диапазон измерения от 10 до 35 °C);
мегомметр типа М 1101 (М 1101М) по ГОСТ 8038-60;
пробойная установка УПУ-1М (ТУ АЗ 2.771.001);
стандарт-титры соляной кислоты и натрия тетраборнокислого (ТУ 6-09-2540-72);
| | ИС МЕГАНОРМ: примечание. Взамен ГОСТ 10394-72 Постановлением Госстандарта СССР от 15.07.1982 N 2670 с 1 января 1984 года введен в действие ГОСТ 25336-82. | |
стакан химический вместимостью 50 мл, 250 мл по ГОСТ 10394-72;
воронки стеклянные по ГОСТ 8613-75;
стаканчики для взвешивания (бюксы) вместимостью не менее 25 мл по ГОСТ 7148-70;
стеклянный тройник (ТУ 25-11-800-72);
трубка резиновая диаметром 5 мм, длиной 100 см по
ГОСТ 5496-78;
индикаторы по
ГОСТ 4919.1-77: смешанный с pT = 5,1 pH (0,1%-ный раствор бромкрезолового зеленого в спирте - 3 части, 0,2%-ный раствор метилового красного в спирте - 1 часть), метиловый красный.
Примечание. В случае отсутствия вышеуказанных средств допускается применение других, пригодных для поверки титраторов в соответствии с требованиями настоящей методики и при необходимости аттестованных органами государственной или ведомственной метрологических служб.
3.1. Проведение поверки производится в условиях эксплуатации, регламентированных эксплуатационной документацией на титратор (паспорт и др.).
3.2. Поверку приборов, имеющих дополнительную погрешность, обусловленную зависимостью метрологических характеристик от температуры окружающей среды, напряжения питания и др., производят при нормальных условиях:
температуре окружающего воздуха, °C . . . . . . . . . . . | 20 +/- 5 |
атмосферном давлении, МПа . . . . . . . . . . . . . . . . . . . | от 0,096 до 0,104 |
напряжении питания, В . . . . . . . . . . . . . . . . . . . . . . . . | 220 +/- 4,4 |
частоте переменного тока, Гц . . . . . . . . . . . . . . . . . . . | 50 +/- 1 |
относительной влажности воздуха, % . . . . . . . . . . . . | не более 80 |
4.1. При проведении внешнего осмотра и проверке комплектности титратора должно быть установлено наличие всех поставляемых в комплекте титратора изделий, частей, ЗИП и нормативно-технических документов, указанных в эксплуатационной документации. При внешнем осмотре устанавливают отсутствие повреждений, дефектов, которые ухудшают внешний вид и могут препятствовать применению прибора.
4.2. Проверку герметичности узла дозирования титранта производят путем определения величины падения избыточного давления газа в жидкостной магистрали прибора за определенный промежуток времени.
Для проверки герметичности прибора к входному штуцеру дозирующего узла подсоединяют тройник, один отвод которого соединяют с источником сжатого воздуха (или инертного газа), другой - с манометром, заполненным подкрашенной водой. Избыточное давление в проверяемой системе должно быть не менее 2000 Па (200 мм вод. ст.).
Герметичность жидкостных линий считается удовлетворительной, если за 10 мин спад давления не превышает 10% от первоначального давления.
4.3. Проверку величины сопротивления электрической изоляции осуществляют с помощью мегомметра, подключенного между токоведущими цепями и корпусом титратора.
Измеренное сопротивление изоляции должно быть не менее величины, указанной в паспорте на прибор, или 40 МОм.
4.4. Проверку прочности электрической изоляции цепей прибора проводят с помощью пробойно-испытательной установки типа УПУ-1М, которая позволяет плавно повышать испытательное напряжение от нуля до заданного значения. Испытательное напряжение прикладывается между клеммой "Земля" и закороченными между собой штырями вилки сетевого питания прибора.
Электрическая изоляция должна выдерживать без пробоя в течение 1 мин действие испытательного напряжения, указанного в паспорте на прибор, или 1,5 кВ.
4.5. Определение погрешности дозатора производят путем сравнения показаний счетчика или шкалы бюретки (в миллилитрах) с объемом дистиллированной воды, отдозированной в сухой, предварительно взвешенный бюкс. Объем дистиллированной воды определяют весовым методом с учетом температурной поправки на удельный объем воды.
Определение производят в трех точках, соответствующих примерно 20, 50, 80% номинального объема штока дозатора. В каждом случае производят не менее пяти взвешиваний. По полученным данным вычисляют значения приведенной или относительной погрешности дозатора и ее случайной составляющей.
Примечание. Определение погрешности дозатора производят в том случае, если его метрологические характеристики нормированы в эксплуатационной документации.
4.5.1. Приведенную погрешность дозатора

определяют как отношение абсолютной погрешности

к номинальному значению объема штока V
ном

,
где

- абсолютная погрешность дозатора, мл;
Vном - номинальное значение объема штока, мл.
Абсолютную погрешность дозатора рассчитывают по формуле

,
где Vсчет - значение объема дозы по показанию счетчика, мл;
Vфакт - значение фактического объема дозы, рассчитанное по значению массы объема отдозированной жидкости с учетом поправки на температуру воды, используемой для поверки, мл.
На каждом выбранном объеме штока производят не менее пяти измерений. Результаты определения приведенной погрешности заносят в
табл. 1 прил. 1.
Если погрешность одного измерения объема превысит предел допускаемого значения погрешности, нормированной паспортом на прибор, определение погрешности проводят повторно. Результаты повторных определений являются окончательными.
Примечание. При определении относительной погрешности дозатора величину абсолютной погрешности

относят к измеряемому значению объема дозы V.
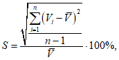
4.6. Случайную составляющую погрешности определяют по результатам измерений, полученным при определении погрешности, как относительное среднее квадратическое отклонение (СКО) единичного измерения объема от среднего значения.
СКО для каждого проверенного объема поверяемого штока рассчитывают по формуле
где Vi - результат единичного измерения объема, мл;

- среднее арифметическое значение из результатов измерений, мл;
n - число измерений, равное 5;
Vном - номинальное значение объема штока, мл.
При вычислении случайной составляющей погрешности в виде относительной величины СКО знаменателем уравнения является V (измеряемое значение объема дозы).
Результаты определения случайной составляющей погрешности заносят в
табл. 2 прил. 1.
СКО случайной составляющей погрешности дозатора на всех проверяемых значениях штока не должно превышать величину, нормируемую паспортом на прибор.
4.7. Определение относительной погрешности титратора производят на реакции нейтрализации с использованием в качестве образцовых средств измерений стандарт-титров соляной кислоты и натрия тетраборнокислого, из которых в соответствии с инструкцией по их применению готовят поверочные растворы.
4.7.1. Поверочные растворы подвергают контрольному титрованию. Для этого в измерительную ячейку дозируют 10,00 мл 0,1 н. поверочного раствора соляной кислоты, 20 мл дистиллированной воды, 2 - 3 капли смешанного индикатора (pT = 5,1 pH) или метилового красного. Дозирование пробы и титранта (натрия тетраборнокислого) производят аттестованной пипеткой или автоматической бюреткой аттестованными с погрешностью, не превышающей 0,02 мл. Точку конца титрования устанавливают визуально. Значение фактического объема титранта определяют как среднее из результатов пяти титрований и используют при расчете погрешности титратора как аттестованное значение поверочных растворов Vат.
4.7.2. Определение относительной погрешности титраторов, работающих по принципу "титрование до заданной точки" (приборы типов Т-105, ТПЛ, ТСЛ и др.).
При определении погрешности титратора предварительно определяют величину pH или светопропускания, соответствующую точке конца титрования (эквивалентности) поверочных растворов, приготовленных из стандарт-титров.
Для установления сигнала отключения в измерительную ячейку прибора дозируют 10,00 мл 0,1 н. поверочного раствора соляной кислоты и раствор натрия тетраборнокислого в объеме, равном установленному значению Vат, а также 20 - 50 мл дистиллированной воды. Смесь тщательно перемешивают. Полученный при этом на индикаторном устройстве прибора электрический сигнал принимают за сигнал отключения, соответствующий эквивалентной точке данной реакции.
При определении погрешности титратора и установлении сигнала отключения дозирование пробы в ячейку производят с помощью тех средств измерений, которые заложены в технической документации на прибор, а в случае отсутствия таких указаний - пипеткой класса точности 2.
4.7.3. Определение относительной погрешности титраторов, имеющих устройство для поиска точки конца титрования (приборы типов Т-106, Т-108, ТЛ-101 и др.).
Для данного типа титраторов точка конца титрования определяется автоматически в соответствии с инструкцией по эксплуатации.
4.7.4. При определении относительной погрешности поверяемого титратора в ячейку прибора дозируют 10,00 мл 0,1 н. поверочного раствора соляной кислоты, 20 - 50 мл дистиллированной воды и 2 - 3 капли смешанного индикатора или метилового красного. Индикатор вводят в пробу только при поверке титраторов с фотометрической индикацией точки конца титрования.
В соответствии с инструкцией по эксплуатации проводят десять титрований, по результатам которых определяют относительную погрешность прибора и ее случайную составляющую.
4.7.5. Относительную погрешность титратора рассчитывают по формуле

,
где

- абсолютная погрешность титратора, мл;
Vат - аттестованное значение поверочных растворов, приготовленных из стандарт-титров, мл.
Абсолютную погрешность титратора рассчитывают по формуле

,
где Vфакт - объем титранта, израсходованный на достижение точки конца титрования реакции по показаниям прибора, мл.
Если погрешность хотя бы одного измерения в ряду погрешностей единичных измерений, полученных при проведении десяти титрований поверочных растворов, превысит величину предела допускаемого значения относительной погрешности, нормированную паспортом на прибор, то испытание проводят повторно. Результаты повторных испытаний считают окончательными.
4.8. Случайную составляющую погрешности титратора определяют по результатам наблюдений как относительное среднее квадратическое отклонение результатов единичного измерения от среднего значения и рассчитывают по формуле
где Vi - результат единичного наблюдения, мл;

- среднее арифметическое значение из результатов наблюдений, мл;
n - число измерений.
Случайная составляющая погрешности титратора не должна превышать величину предела допускаемого значения среднего квадратического отклонения случайной составляющей погрешности, нормируемой паспортом на поверяемый прибор.
4.8.1. Результаты определения метрологических характеристик титратора заносят в
табл. 3 и
4 прил. 1.
5. ОФОРМЛЕНИЕ РЕЗУЛЬТАТОВ ПОВЕРКИ
5.1. Результаты поверки считают положительными и прибор признают годным к применению, если он отвечает требованиям настоящей методики.
5.2. Все результаты поверки заносят в протокол
(прил. 2).
5.3. При положительных результатах поверки выдают свидетельство о поверке по форме, установленной Госстандартом.
5.4. Свидетельство о поверке должно быть подписано поверителем и руководителем лаборатории, в которой была выполнена поверка, и заверено печатью.
5.5. Приборы, не удовлетворяющие требованиям настоящей методики, к применению не допускаются. На них выдают извещение о непригодности с указанием причин.
Обязательное
Таблица 1
Результаты определения приведенной погрешности дозатора
Показания счетчика Vсчет, мл | Масса дозы, P, г | Фактический объем дозы Vфакт, мл | Абсолютная погрешность дозатора  , мл | Приведенная (относительная) погрешность дозатора  , % |
| | | | |
Таблица 2
Результаты определения случайной составляющей
погрешности дозатора
Единичный результат измерения дозы Vi, мл | Отклонение единичного результата измерения от среднего значения  , мл | Квадрат отклонения единичного результата измерения от среднего значения  | СКО случайной составляющей погрешности S, % |
| | | |
Таблица 3
Результаты определения относительной погрешности титратора
Расход титрующего раствора, мл | Аттестованное значение поверочных растворов, мл | Погрешность |
абсолютная  , мл | относительная  , % |
| | | |
Таблица 4
Результаты определения случайной составляющей
погрешности титратора
Единичный результат измерения Vi, мл | Отклонение единичного результата измерений от среднего значения  , мл | Квадрат отклонения единичного результата измерения от среднего значения  | СКО случайной составляющей погрешности титратора S, % |
| | | |
Обязательное
поверки титрометрического анализатора жидкости
типа _____________________________________________________________________,
изготовленного ___________________________________________________________,
представленного ___________________________________________________________
Предел допускаемого значения относительной погрешности титратора по
паспорту, % _______________________________________________________________
Предел допускаемого значения среднего квадратического отклонения случайной
составляющей погрешности титратора по паспорту, % _________________________
Дата поверки ______________________________________________________________
Условия поверки ___________________________________________________________
Результаты поверки:
(соответствует, не соответствует требованиям паспорта)
1. Комплектность титратора ________________________________________________
2. Внешний осмотр титратора _______________________________________________
3. Жидкостные линии прибора _______________________________________________
4. Величина сопротивления электрической изоляции прибора
___________________________________________________________________________
5. Прочность электрических цепей прибора __________________________________
6. Максимальное значение относительной погрешности прибора
___________________________________________________________________________
7. Максимальное значение среднего квадратического отклонения случайной
составляющей погрешности __________________________________________________
Заключение по результатам поверки: ________________________________________
Поверку производил ________________ _______________________
(подпись) (фамилия)
"__" ____________ 19 г.