Главная // Актуальные документы // МетодикаСПРАВКА
Источник публикации
Ростов-на-Дону, 2007
Примечание к документу
Действие данного документа продлено до 01.03.2029
Приказом Росгидромета от 02.12.2022 N 771.
Документ
введен в действие с 02.04.2007.
Взамен РД 52.24.481-95.
Название документа
"РД 52.24.481-2007. Руководящий документ. Массовая концентрация общего азота в водах. Методика выполнения измерений УФ-спектрофотометрическим методом после окисления персульфатом калия"
(утв. Росгидрометом 13.03.2007)
"РД 52.24.481-2007. Руководящий документ. Массовая концентрация общего азота в водах. Методика выполнения измерений УФ-спектрофотометрическим методом после окисления персульфатом калия"
(утв. Росгидрометом 13.03.2007)
Заместителем Руководителя
Росгидромета
13 марта 2007 года
РУКОВОДЯЩИЙ ДОКУМЕНТ
МАССОВАЯ КОНЦЕНТРАЦИЯ ОБЩЕГО АЗОТА В ВОДАХ. МЕТОДИКА
ВЫПОЛНЕНИЯ ИЗМЕРЕНИЙ УФ-СПЕКТРОФОТОМЕТРИЧЕСКИМ МЕТОДОМ
ПОСЛЕ ОКИСЛЕНИЯ ПЕРСУЛЬФАТОМ КАЛИЯ
РД 52.24.481-2007
Дата введения
2 апреля 2007 года
1 РАЗРАБОТАН ГУ "Гидрохимический институт"
2 РАЗРАБОТЧИКИ Л.В. Боева, канд. хим. наук, Ю.А. Андреев
3 СОГЛАСОВАН с УМЗА и ГУ "НПО "Тайфун" Росгидромета
4 УТВЕРЖДЕН Заместителем Руководителя Росгидромета 13.03.2007 г.
5 АТТЕСТОВАН ГУ "Гидрохимический институт", свидетельство об аттестации N 136.24-2006 от 15.06.2006 г.
6 ЗАРЕГИСТРИРОВАН ГУ "НПО "Тайфун" за номером РД 52.24.481-2007 от 30.03.2007 г.
7 ВЗАМЕН РД 52.24.481-95 "Методические указания. Методика выполнения измерений массовой концентрации общего азота в водах УФ-спектрофотометрическим методом после окисления персульфатом калия"
Азот - один из основных биогенных элементов, являющихся незаменимыми составными частями тканей любого живого организма.
В природных водах азот присутствует в виде двух основных групп - азота неорганических соединений и азота, входящего в состав органических веществ. В воде также имеется растворенный молекулярный азот, однако, количество его незначительно.
Неорганические соединения азота - нитриты, нитраты и ионы аммония - присутствуют в водах главным образом в растворенном виде. Органические азотсодержащие вещества в значительной степени могут находиться в виде взвешенных и коллоидных форм. Состав органических соединений азота, присутствующих в водах, весьма разнообразен (простые и сложные белки, аминокислоты, амины, амиды, мочевина и др.).
Содержание общего азота в незагрязненных природных водах зависит от степени трофии водоема. В олиготрофных водоемах концентрация азота составляет от 0,3 до 0,7 мг/дм3, мезотрофных от 0,7 до 1,3 мг/дм3, эвтрофных от 0,8 до 2,0 мг/дм3 и более.
Источниками поступления азота в природные воды являются: разложение клеток отмерших организмов, прижизненные выделения гидробионтов, атмосферные осадки, фиксация из воздуха в результате жизнедеятельности азотфиксирующих бактерий. Значительное количество азота может попадать в водоемы с бытовыми, сельскохозяйственными и промышленными сточными водами.
Понижение содержания соединений азота в водоемах связано, в основном, с потреблением их водными растениями. Некоторую роль в этом процессе играет денитрификация, т.е. перевод связанного азота в свободное состояние.
Содержание азота в природных водах является одним из показателей санитарного состояния водоема. Значительное повышение концентрации азота приводит к эвтрофикации водного объекта и ухудшению качества воды. Состав и соотношение минеральных и органических форм азота указывает на направление и интенсивность биологических и биохимических процессов, протекающих в водоеме, в том числе процессов самоочищения. Эта информация может быть использована не только для оценки качества воды, но при решении других вопросов, например, при установлении взаимосвязи между процессами жизнедеятельности водных организмов и химическим составом воды.
1.1 Настоящий руководящий документ устанавливает методику выполнения измерений (далее - методика) массовой концентрации общего азота в пробах природных и очищенных сточных вод УФ-спектрофотометрическим методом в диапазоне от 0,40 до 6,00 мг/дм3. При анализе проб воды с массовой концентрацией общего азота, превышающей 6,0 мг/дм3, допускается выполнение измерений после соответствующего разбавления пробы водой, не содержащей соединений азота.
1.2 Настоящий руководящий документ предназначен для использования в лабораториях, осуществляющих анализ природных и очищенных сточных вод.
В настоящем руководящем документе использованы ссылки на следующие нормативные документы:
ГОСТ 12.1.005-88 ССБТ. Общие санитарно-гигиенические требования к воздуху рабочей зоны
ГОСТ 12.1.007-76 ССБТ. Вредные вещества. Классификация и общие требования безопасности
ГОСТ 17.1.5.04-81 Охрана природы. Гидросфера. Приборы и устройства для отбора, первичной обработки и хранения проб природных вод. Общие технические условия
ГОСТ 17.1.5.05-85 Охрана природы. Гидросфера. Общие требования к отбору проб поверхностных и морских вод, льда и атмосферных осадков
ГОСТ Р ИСО 5725-6-2002 Точность (правильность и прецизионность) методов и результатов измерений. Часть 6. Использование значений точности на практике
МИ 2881-2004 Рекомендация. ГСИ. Методики количественного химического анализа. Процедуры проверки приемлемости результатов анализа
РД 52.24.380-2006 Массовая концентрация нитратов в водах. Методика выполнения измерений фотометрическим методом с реактивом Грисса после восстановления в кадмиевом редукторе
РД 52.24.381-2006 Массовая концентрация нитритов в водах. Методика выполнения измерений фотометрическим методом с реактивом Грисса
| | ИС МЕГАНОРМ: примечание. В официальном тексте документа, видимо, допущена опечатка: документ имеет номер РД 52.24.383-2005, а не РД 52.24.383-2006. | |
РД 52.24.383-2006 Массовая концентрация аммиака и ионов аммония в поверхностных водах суши. Методика выполнения измерений фотометрическим методом в виде индофенолового синего
| | ИС МЕГАНОРМ: примечание. В официальном тексте документа, видимо, допущена опечатка: разделы Г.3 и Г.4 отсутствуют. Возможно, имеются в виду разделы В.3 и В.4. | |
Примечание - Ссылки на остальные нормативные документы приведены в
разделах 4,
Г.3 и
Г.4.
3 Приписанные характеристики погрешности измерений
3.1 При соблюдении всех регламентируемых методикой условий проведения измерений характеристики погрешности результата измерения с вероятностью 0,95 не должны превышать значений, приведенных в
таблице 1.
Таблица 1
Диапазон измерений, значения характеристик погрешности
и ее составляющих
Диапазон измерений массовой концентрации общего азота X, мг/дм3 | Показатель повторяемости (среднеквадратическое отклонение повторяемости)  , мг/дм 3 | Показатель воспроизводимости (среднеквадратическое отклонение воспроизводимости)  , мг/дм 3 | Показатель правильности (границы систематической погрешности при вероятности P = 0,95)  , мг/дм 3 | Показатель точности (границы погрешности при вероятности P = 0,95)  , мг/дм 3 |
От 0,40 до 6,00 включ. | 0,02 + 0,020·X | 0,02 + 0,035·X | 0,039·X | 0,04 + 0,077·X |
При выполнении измерений общего азота в пробах с массовой концентрацией свыше 6,00 мг/дм
3 после соответствующего разбавления погрешность измерения не превышает величины

, где

- погрешность измерения концентрации общего азота в разбавленной пробе;

- степень разбавления.
Предел обнаружения общего азота УФ-спектрофотометрическим методом после окисления персульфатом калия равен 0,2 мг/дм3.
3.2 Значения показателя точности методики используют при:
- оформлении результатов измерений, выдаваемых лабораторией;
- оценке деятельности лабораторий на качество проведения измерений;
- оценке возможности использования результатов измерений при реализации методики в конкретной лаборатории.
4 Средства измерений, вспомогательные устройства, реактивы, материалы
4.1 Средства измерений, вспомогательные устройства
При выполнении измерений применяют следующие средства измерений и другие технические средства:
4.1.1 Спектрофотометр любого типа (СФ-46, СФ-56 и др.), позволяющий проводить измерения в УФ-области спектра, с кварцевыми кюветами.
4.1.4 pH-метр или иономер любого типа с комплектом электродов для измерения pH (pH-150, pH-155, Экотест-2000, Анион-410 и др.).
4.1.5 Термометр по
ГОСТ 29224-91 с диапазоном от 0 °C до 150 °C и ценой деления не более 1 °C.
4.1.6 Государственный стандартный образец состава водных растворов общего азота ГСО 7193-95/7194-95 (далее - ГСО).
4.1.7 Колбы мерные 2-го класса точности исполнения 2, 2а по
100 см3 - 4 шт.
4.1.8 Пипетки градуированные 2-го класса точности исполнения 1, 2 по
2 см3 - 3 шт.
5 см3 - 3 шт.
10 см3 - 1 шт.
4.1.9 Пипетки с одной отметкой 2-го класса точности исполнения 2 по
10 см3 - 3 шт.
20 см3 - 1 шт.
4.1.10 Цилиндры мерные исполнения 1, 3 по
ГОСТ 1770-74 вместимостью:
100 см3 - 3 шт.
250 см3 - 1 шт.
500 см3 - 1 шт.
1000 см3 - 1 шт.
| | ИС МЕГАНОРМ: примечание. Нумерация пунктов дана в соответствии с официальным текстом документа. | |
4.1.13 Колбы конические Кн исполнения 2 по
ГОСТ 25336-82 вместимостью:
25 - 50 см3 - 10 шт.
4.1.14 Пробирки диаметром 21 мм, высотой 200 мм типа П1-21-200 ТС или
Размеры даны в миллиметрах
Рисунок 1 - Пробка-холодильник
| | ИС МЕГАНОРМ: примечание. Нумерация пунктов дана в соответствии с официальным текстом документа. | |
4.1.15 Стаканы В-1, ТХС, по
ГОСТ 25336-82 вместимостью: 50 см3 - 3 шт.
100 см3 - 2 шт.
250 см3 - 1 шт.
600 см3 - 2 шт.
1000 см3 - 1 шт.
СВ-19/9 - 2 шт.
СВ-24/10 - 1 шт.
СВ-34/12 - 1 шт.
36 мм - 8 шт.
75 мм - 1 шт.
4.1.18 Колонка стеклянная с краном и пористой пластиной высотой 50 - 60
см, диаметром 2 - 4 см или бюретка с прямым краном вместимостью 50 см3 по
4.1.19 Склянка с тубусом исполнения 1, 2 или 3 вместимостью 2 - 3 дм
3 по
ГОСТ 25336-82.
4.1.20 Колба с тубусом (колба Бунзена) исполнения 1 или 2 вместимостью 500 см
3 по
ГОСТ 25336-82.
4.1.21 Воронка фильтрующая с пористой пластиной ВФ-1-40-ПОР 160 ТХС по
ГОСТ 25336-82.
4.1.22 Эксикатор исполнения 2, диаметром корпуса 190 мм по
ГОСТ 25336-82.
4.1.23 Баня водно-глицериновая.
4.1.25 Шкаф сушильный общелабораторного назначения.
4.1.27 Шпатели пластмассовые - 2 шт.
4.1.28 Палочка стеклянная.
4.1.29 Промывалка.
4.1.30 Трубки соединительные из силиконовой резины и стеклянные диаметром 5 - 6 мм.
4.1.31 Пробки резиновые.
4.1.32 Посуда стеклянная (в том числе темного стекла) для хранения проб и растворов вместимостью 0,1; 0,25; 0,5 и 1,0 дм3.
4.1.33 Посуда полиэтиленовая (полипропиленовая) для хранения проб и растворов вместимостью 0,25 дм3 и 1,0 дм3.
4.1.34 Устройство для фильтрования проб с использованием мембранных фильтров.
4.1.35 Холодильник бытовой.
4.1.36 Насос вакуумный любого типа.
Допускается использование других типов средств измерений, вспомогательных устройств, в том числе импортных, с характеристиками не хуже, чем у приведенных в
4.1.
4.2.1 Карбамид (мочевина) по
ГОСТ 6691-77, ч.д.а., и D,L-лейцин по ТУ 6-09-1170-77, ч. (при отсутствии ГСО).
4.2.2 Калий надсернокислый (персульфат калия) по
ГОСТ 4146-74, ч.д.а., перекристаллизованный.
4.2.3 Натрия гидроокись (гидроксид натрия) по
ГОСТ 4328-77, х.ч. (допустимо ч.д.а.).
4.2.4 Натрий хлористый (хлорид натрия) по
ГОСТ 4233-77, ч.д.а.
4.2.10 Фильтры мембранные "Владипор МФАС-ОС-2", 0,45 мкм, по ТУ 6-55-221-1-29-89 или другого типа, равноценные по характеристикам.
4.2.11 Фильтры бумажные обеззоленные "белая лента" по ТУ 6-09-1678-86.
4.2.12 Катионит сильнокислотный КУ-2-8-чС по
ГОСТ 20298-74 или другой, равноценный по характеристикам.
4.2.13 Анионит сильноосновной АВ-17-8-чС по ГОСТ 20301-74 или другой, равноценный по характеристикам.
4.2.14 Универсальная индикаторная бумага по ТУ 6-09-1181-76.
Допускается использование реактивов, изготовленных по другой нормативно-технической документации, в том числе импортных, с квалификацией не ниже указанной в
4.2.
Выполнение измерений массовой концентрации общего азота основано на окислении азотсодержащих соединений персульфатом калия при нагревании в щелочной среде. Азот, содержащийся в органических и неорганических соединениях, в результате реакции превращается в нитраты. Содержание нитратов в пробе после окисления измеряют по поглощению в УФ-области спектра

.
Органический азот определяется по разности между общим содержанием азота и содержанием неорганических форм (нитратов, нитритов, ионов аммония).
Определению мешают значительные количества тяжелых металлов (более 10 мг/дм3), а также 1 мг/дм3 хрома и 1 мг/дм3 железа. Мешающее влияние хрома (IV) и железа (III) до концентрации 10 мг/дм3 устраняется добавлением гидроксиламина. При высоком содержании азота устранить влияние металлов при концентрации более 10 мг/дм3 можно за счет разбавления.
6 Требования безопасности, охраны окружающей среды
6.1 При выполнении измерений массовой концентрации общего азота в пробах природных и очищенных сточных вод соблюдают требования безопасности, установленные в национальных стандартах и соответствующих нормативных документах.
6.2 По степени воздействия на организм вредные вещества, используемые при выполнении измерений, относятся ко 2, 3 классам опасности по
ГОСТ 12.1.007.
6.3 Содержание используемых вредных веществ в воздухе рабочей зоны не должно превышать установленных предельно допустимых концентраций в соответствии с
ГОСТ 12.1.005.
6.4 Дополнительных требований по экологической безопасности не предъявляется.
7 Требования к квалификации операторов
К выполнению измерений и обработке их результатов допускаются лица со средним профессиональным образованием, имеющие стаж работы в лаборатории не менее 6 месяцев и освоившие методику.
8 Условия выполнения измерений
8.1 При выполнении измерений в лаборатории должны быть соблюдены следующие условия:
- температура окружающего воздуха (22 +/- 5) °C;
- атмосферное давление от 84,0 до 106,7 кПа (от 630 до 800 мм рт. ст.);
- влажность воздуха не более 80% при 25 °C;
- напряжение в сети (220 +/- 10) В;
- частота переменного тока в сети питания (50 +/- 1) Гц.
8.2 В помещении, где выполняют измерения массовой концентрации общего азота, запрещается проводить работы, связанные с применением аммиака, щелочных растворов солей аммония и других летучих соединений азота.
9.1 Отбор проб для определения общего азота производят в соответствии с
ГОСТ 17.1.5.05 и
ГОСТ Р 51592. Оборудование для отбора проб должно соответствовать
ГОСТ 17.1.5.04 и
ГОСТ Р 51592. Пробы отбирают в склянки вместимостью 0,25 дм
3, предварительно ополоснув их 2 - 3 раза отбираемой водой. Если требуется определять общий азот растворенный, пробу сразу после отбора фильтруют через мембранный фильтр с размером пор 0,45 мкм. Первую порцию фильтрата отбрасывают. Мембранные фильтры перед употреблением очищают двух-трехкратным кипячением в течение 15 - 20 мин в 100 см
3 деионированной воды. Чистые фильтры хранят в плотно закрытом бюксе. При необходимости определения валового содержания общего азота отбирают нефильтрованную пробу.
9.2 В связи с тем, что соединения азота биохимически неустойчивы, пробу следует анализировать в течение суток. Длительное хранение возможно при замораживании пробы. Пробы, законсервированные серной кислотой из расчета 1 см3 раствора H2SO4 (1:1) на 0,25 дм3 воды, можно хранить до 5 дней в холодильнике.
10 Подготовка к выполнению измерений
10.1 Приготовление растворов и реактивов
10.1.1 Раствор персульфата калия
В 100 см3 теплой (t = 40 - 45 °C) деионированной воды растворяют 4 г перекристаллизованного персульфата калия. Раствор хранят не более 5 дней в темной склянке.
Очистка персульфата калия перекристаллизацией приведена в
приложении А.
10.1.2 Деионированная вода
10.1.3 Раствор гидроксида натрия, 1,5 моль/дм3
Растворяют 15 г гидроксида натрия в 250 см3 деионированной воды. Хранят в полиэтиленовой посуде.
10.1.4 Раствор гидроксида натрия, 1 моль/дм3
Растворяют 40 г гидроксида натрия в 1 дм3 дистиллированной воды. Хранят в полиэтиленовой посуде.
10.1.5 Раствор соляной кислоты, 2 моль/дм3
Растворяют 168 см3 концентрированной соляной кислоты в 832 см3 дистиллированной воды.
10.1.6 Раствор соляной кислоты, 1 моль/дм3
Растворяют 84 см3 концентрированной соляной кислоты в 916 см3 дистиллированной воды.
10.1.7 Раствор гидроксиламина, 0,2%-ный
Растворяют 0,2 г гидроксиламина гидрохлорида в 100 см3 раствора соляной кислоты 2 моль/дм3. Хранят в темной склянке в холодильнике.
10.1.8 Водно-глицериновая смесь
Смешивают 1 объемную часть глицерина с 2 объемными частями дистиллированной воды.
10.2 Подготовка водно-глицериновой бани
В качестве бани может использоваться любой металлический сосуд высотой около 20 см с плотно закрывающейся крышкой. В крышке вырезают отверстия для установки пробирок и термометра. Диаметр отверстий должен как можно более точно соответствовать диаметру пробирок для предотвращения значительного испарения воды из бани.
Пробирки, установленные в бане, должны выступать над крышкой не более чем на 2 см3.
Количество отверстий зависит от диаметра бани, но их должно быть не менее 8. На дно бани следует положить металлическую сетку или подставку с отверстиями произвольного размера. Если стенки сосуда тонкие, для уменьшения теплообмена снаружи его следует покрыть слоем асбеста. Баня заполняется водно-глицериновой смесью на высоту 14 - 16 см и устанавливается на электроплитку мощностью 0,8 - 1 кВт.
Температура бани после закипания должна быть 103 - 104 °C. Если температура ниже требуемой величины, в смесь следует добавить глицерин, в противном случае - разбавить водой. В процессе кипения за счет небольшого испарения воды температура бани может повышаться на 1 - 2 °C. Перед выполнением анализа следующей серии в баню следует добавить дистиллированную воду до первоначального уровня и проверить температуру кипения.
Примечание - Для нагревания пробирок вместо водно-глицериновой бани может использоваться термостат (термоблок), позволяющий установить необходимую температуру и обеспечить равномерное нагревание жидкости в пробирках.
10.3 Приготовление градуировочных растворов
10.3.1 Градуировочный раствор готовят из ГСО с концентрацией общего азота 0,500 г/дм3 (0,500 мг/см3).
Для приготовления градуировочного раствора вскрывают ампулу и переносят ее содержимое в сухую чистую коническую пробирку. Отбирают 2 см3 образца с помощью чистой сухой градуированной пипетки вместимостью 2 см3 и переносят в мерную колбу вместимостью 50 см3. Объем в колбе доводят до метки деионированной водой и перемешивают. Массовая концентрация общего азота в градуировочном растворе составляет 20,0 мг/дм3 (если концентрация общего азота в ГСО не равна точно 0,500 мг/см3, тогда рассчитывают массовую концентрацию общего азота в градуировочном растворе соответственно концентрации конкретного образца, либо пересчитывают объем стандартного образца, который необходимо отобрать, чтобы получить раствор с концентрацией общего азота 20,0 мг/дм3). Градуировочный раствор используется в день приготовления и хранению не подлежит.
10.3.2 При отсутствии ГСО допускается в качестве градуировочного раствора использовать аттестованную смесь, приготовленную из мочевины и D,L-лейцина. Методика приготовления аттестованной смеси приведена в
приложении В.
10.4 Установление градуировочной зависимости
| | ИС МЕГАНОРМ: примечание. Текст дан в соответствии с официальным текстом документа. | |
Для приготовления градуировочных образцов в пробирки, дважды промытые деионированной водой, помещают 0; 0; 0,5; 1,0; 1,5; 2,0; 2,5; 3,0 см3 градуировочного раствора и доводят объем пробы в каждой пробирке до 10 см3 деионированной водой.
Содержание общего азота в пробах составит соответственно 0; 0; 0,010; 0,020; 0,030; 0,040; 0,050 и 0,060 мг. Далее выполняют все операции, описанные в
разделе 11.
Градуировочную зависимость оптической плотности от содержания азота в пробе рассчитывают методом наименьших квадратов.
Градуировочную зависимость устанавливают не реже 1 раза в квартал и, в обязательном порядке, при использовании новой партии персульфата калия, либо замене измерительного прибора.
10.5 Контроль стабильности градуировочной характеристики
10.5.1 Контроль стабильности градуировочной характеристики проводят каждый раз перед анализом серии проб. Средствами контроля являются образцы, используемые для установления градуировочной зависимости по
10.4 (не менее 3).
Градуировочная характеристика считается стабильной при выполнении следующих условий
где X - результат контрольного измерения массовой концентрации общего азота в образце, мг/дм3;
C - приписанное значение массовой концентрации общего азота в образце, мг/дм3;
d - допустимое расхождение между измеренным и приписанным значением содержания общего азота в образце, мг
(таблица 2).
Таблица 2
Допустимые расхождения между измеренными и приписанными
значениями содержания общего азота в образце при контроле
стабильности градуировочной зависимости
Приписанное значение содержания общего азота в образце, мг | 0,010 | 0,020 | 0,030 | 0,040 | 0,050 | 0,060 |
Допустимое расхождение d, мг | 0,001 | 0,002 | 0,002 | 0,002 | 0,003 | 0,003 |
Если условие стабильности не выполняется для одного образца для градуировки, необходимо выполнить повторное измерение этого образца для исключения результата, содержащего грубую погрешность. При повторном невыполнении условия, выясняют причины нестабильности, устраняют их и повторяют измерение с использованием других образцов, предусмотренных методикой. Если градуировочная характеристика вновь не будет удовлетворять
условию (1), устанавливают новую градуировочную зависимость.
10.5.2 При выполнении
условия (1) учитывают знак разности между измеренными и приписанными значениями массовой концентрации общего азота в образцах. Эта разность должна иметь как положительное, так и отрицательное значение, если же все значения имеют один знак, это говорит о наличии систематического отклонения. В таком случае требуется установить новую градуировочную зависимость.
11.1 Пробирки и пробки-холодильники дважды промывают деионированной водой. Помещают в две пробирки с помощью пипетки аликвоты пробы воды (от 1 до 10 см3), содержащие не более 0,06 мг азота. Если объем аликвоты меньше 10 см3, то доводят его деионированной водой до 10 см3. Добавляют 3 см3 раствора персульфата калия и 1,5 см3 раствора гидроксида натрия с концентрацией 1,5 моль/дм3. Закрывают пробирки пробками-холодильниками, заполненными дистиллированной водой, и немедленно помещают в кипящую водно-глицериновую баню. При отборе аликвоты для определения массовой концентрации валового азота (суммы растворенных и взвешенных форм общего азота), пробу следует тщательно перемешивать встряхиванием в течение 3 мин, после чего немедленно отобрать аликвоту для анализа.
Одновременно с каждой серией проб проводят анализ холостой пробы. Для этого в две пробирки помещают 10 см3 деионированной воды, 3 см3 раствора персульфата калия и 1,5 см3 раствора гидроксида натрия с концентрацией 1,5 моль/дм3, и также ставят в баню. Уровень жидкости в бане должен быть выше уровня жидкости в пробирках не менее чем на 2 см3. Температура бани, измеренная через 15 мин после установки в нее пробирок, должна быть (104 +/- 1) °C.
11.2 Через 40 - 45 мин (не более) пробирки вынимают из бани и добавляют сразу в горячий раствор 2 см3 раствора гидроксиламина. Не ранее, чем через 30 мин, содержимое каждой пробирки количественно переносят в мерные колбы вместимостью 50 см3, предварительно сполоснув пробки-холодильники небольшим количеством дистиллированной воды. Доводят содержимое колб дистиллированной водой до метки и перемешивают. Полученные растворы фильтруют через фильтр "белая лента" в конические колбы вместимостью 25 - 50 см3, отбрасывая первые порции фильтрата. Затем измеряют оптическую плотность фильтратов на спектрофотометре в ультрафиолетовой области спектра при длине волны 210 нм в кварцевых кюветах с толщиной поглощающего слоя 1 см против дистиллированной воды. Усредненную оптическую плотность холостого опыта вычитают из оптической плотности проб.
При анализе сильнозагрязненных вод (величина химического потребления кислорода более 50 мг/дм3) следует добавить в пробу 5 см3 раствора персульфата калия и 2 см3 раствора щелочи. Аналогично выполняют и анализ холостой пробы.
12 Вычисление результатов измерений
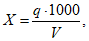
12.1 Массовую концентрацию общего азота в анализируемой пробе воды X, мг/дм3, рассчитывают по формуле

(2)
где q - содержание общего азота в пробе, найденное по градуировочной зависимости, мг;
V - объем аликвоты пробы, взятый для анализа, см3.
12.2 Расчет массовой концентрации органического азота
Массовую концентрацию органического азота XАО, мг/дм3, в анализируемой пробе воды рассчитывают по формуле
XАО = X - XАМ, (3)
где X - массовая концентрация общего азота, мг/дм3;
XАМ - массовая концентрация азота, мг/дм3.
Массовая концентрация минерального азота XАМ, мг/дм3, рассчитывается по формуле

(4)
где
- массовая концентрация нитритного азота, найденная фотометрическим методом (например, в соответствии с
РД 52.24.381), мг/дм
3;
- массовая концентрация нитратного азота, найденная фотометрическим методом после восстановления нитратов до нитритов (например, в соответствии с
РД 52.24.380), мг/дм
3;

- массовая концентрация аммонийного азота, найденная фотометрическим методом в виде индофенолового синего по
РД 52.24.383, мг/дм
3.
12.3 Результат измерений в документах, предусматривающих его использование, представляют в виде:

(
P = 0,95), (5)
где

- среднее арифметическое значение двух результатов измерений, разность между которыми не превышает предела повторяемости
r 
, мг/дм
3. Значения

приведены в
таблице 1. При превышении предела повторяемости следует поступать в соответствии с
разделом 13.2;

- границы характеристик погрешности результатов измерений для данной массовой концентрации общего азота
(таблица 1), мг/дм
3.
Погрешность расчета массовой концентрации органического азота

, мг/дм
3, вычисляют по формуле

(6)
где XАО - массовая концентрация органического азота, мг/дм3;

- значение характеристики погрешности, соответствующее массовой концентрации общего азота
X, мг/дм
3;
X - массовая концентрация общего азота, мг/дм3;

- значение характеристики погрешности, соответствующее массовой концентрации нитритного азота

, мг/дм
3;

- массовая концентрация нитритного азота, мг/дм
3;

- значение характеристики погрешности, соответствующее массовой концентрации нитратного азота

, мг/дм
3;
- массовая концентрация нитратного азота, мг/дм
3;

- значение характеристики погрешности, соответствующее массовой концентрации аммонийного азота

, мг/дм
3;

- массовая концентрация аммонийного азота, мг/дм
3.
Численные значения результата измерения должны оканчиваться цифрой того же разряда, что и значения характеристики погрешности. Последние не должны содержать более двух значащих цифр.
12.4 Допустимо представлять результат в виде:

(
P = 0,95) при условии

, (7)
где

- границы характеристик погрешности результатов измерений, установленные при реализации методики в лаборатории и обеспечиваемые контролем стабильности результатов измерений, мг/дм
3.
Примечание - Допустимо характеристику погрешности результатов измерений при внедрении методики в лаборатории устанавливать на основе выражения

с последующим уточнением по мере накопления информации в процессе контроля стабильности результатов измерений.
12.5 Результаты измерений оформляют протоколом или записью в журнале, по формам, приведенным в Руководстве по качеству лаборатории.
13 Контроль качества результатов измерений при реализации методики в лаборатории
13.1.1 Контроль качества результатов измерений при реализации методики в лаборатории предусматривает:
- оперативный контроль исполнителем процедуры выполнения измерений (на основе оценки погрешности при реализации отдельно взятой контрольной процедуры);
- контроль стабильности результатов измерений (на основе контроля стабильности среднеквадратического отклонения повторяемости, среднеквадратического отклонения внутрилабораторной прецизионности, погрешности).
13.1.2 Периодичность контроля исполнителем процедуры выполнения измерений, а также реализуемые процедуры контроля стабильности результатов выполняемых измерений регламентируются в Руководстве по качеству лаборатории.
13.2 Алгоритм оперативного контроля повторяемости
13.2.1 Контроль повторяемости осуществляют для каждого из результатов измерений, полученных в соответствии с методикой. Для этого отобранную пробу воды делят на две части, и выполняют измерение в соответствии с
разделом 11.
13.2.2 Результат контрольной процедуры rк, мг/дм3, рассчитывают по формуле
rк = |X1 - X2|, (8)
где X1, X2 - результаты измерений массовой концентрации общего азота в пробе, мг/дм3.
13.2.3 Предел повторяемости rп, мг/дм3, рассчитывают по формуле

(9)
где

- показатель повторяемости методики, мг/дм
3 (таблица 1).
13.2.4 Результат контрольной процедуры должен удовлетворять условию
13.2.5 При несоблюдении
условия (10) выполняют еще два измерения и сравнивают разницу между максимальным и минимальным результатами с нормативом контроля равным

. В случае повторного превышения предела повторяемости, поступают в соответствии с
разделом 5 ГОСТ Р ИСО 5725-6.
13.3 Алгоритм оперативного контроля процедуры выполнения измерений с использованием метода добавок
13.3.1 Контроль исполнителем процедуры выполнения измерений проводят путем сравнения результатов отдельно взятой контрольной процедуры Кк с нормативом контроля К.
13.3.2 Результат контрольной процедуры Кк, мг/дм3, рассчитывают по формуле

(11)
где
- результат контрольного измерения массовой концентрации общего азота в пробе с известной добавкой, мг/дм
3;

- результат измерения массовой концентрации общего азота в рабочей пробе, мг/дм
3;
C - величина добавки, мг/дм3.
13.3.3 Норматив контроля погрешности К, мг/дм3, рассчитывают по формуле

(12)
где

- значения характеристики погрешности результатов измерений, установленные при реализации методики в лаборатории, соответствующие массовой концентрации общего азота в пробе с добавкой, мг/дм
3;

- значения характеристики погрешности результатов измерений, установленные в лаборатории при реализации методики, соответствующие массовой концентрации общего азота в рабочей пробе, мг/дм
3.
Примечание - Допустимо для расчета норматива контроля использовать значения характеристик погрешности, полученные расчетным путем по формулам

и

.
13.3.4 Если результат контрольной процедуры удовлетворяет условию
процедуру анализа признают удовлетворительной.
При невыполнении
условия (13) контрольную процедуру повторяют. При повторном невыполнении
условия (13), выясняют причины, приводящие к неудовлетворительным результатам, и принимают меры по их устранению.
14 Проверка приемлемости результатов, полученных в условиях воспроизводимости
Расхождение между результатами измерений, полученными в двух лабораториях, не должно превышать предела воспроизводимости R, мг/дм3. При выполнении этого условия приемлемы оба результата измерений и в качестве окончательного может быть использовано их общее среднее значение. Значение предела воспроизводимости рассчитывают по формуле

(14)
| | ИС МЕГАНОРМ: примечание. В официальном тексте документа, видимо, допущена опечатка: имеется в виду раздел 5 ГОСТ Р ИСО 5725-6, а не ГОСТ Р ИСО 5725. | |
При превышении предела воспроизводимости могут быть использованы методы оценки приемлемости результатов измерений согласно
разделу 5 ГОСТ Р ИСО 5725 или
МИ 2881.
Примечание - Проверка приемлемости проводится при необходимости сравнения результатов измерений, полученных двумя лабораториями.
(обязательное)
ПЕРЕКРИСТАЛЛИЗАЦИЯ ПЕРСУЛЬФАТА КАЛИЯ
Растворяют 70 г персульфата калия в 350 см3 нагретой до температуры 65 °C деионированной воды. При необходимости быстро фильтруют через неплотный обеззоленный бумажный фильтр. Охлаждают в бане со льдом. Выпавшие кристаллы фильтруют через стеклянный фильтр под вакуумом, промывая несколько раз небольшими порциями охлажденной деионированной воды, и высушивают в вакуум-эксикаторе или обычном эксикаторе над концентрированной серной кислотой. Хранят высушенный препарат в плотно закрытой склянке из темного стекла.
Перекристаллизацию персульфата калия повторяют, если оптическая плотность холостого определения превышает 0,15.
(обязательное)
ПОЛУЧЕНИЕ ДЕИОНИРОВАННОЙ ВОДЫ
Б.1 Подготовка и регенерация колонки с катионитом
Замачивают 50 - 60 г сухого катионита на 1 - 2 суток в насыщенном растворе хлорида натрия в дистиллированной воде (70 г хлорида натрия растворяют в 200 см3 воды). Затем раствор хлорида натрия сливают, промывают катионит 2 - 3 раза дистиллированной водой и переносят его в колонку вместе с водой так, чтобы не образовалось воздушных пузырьков. Предварительно в колонку приливают немного дистиллированной воды. Избыток воды при заполнении колонки периодически сливают через кран. После заполнения пропускают через колонку с катионитом последовательно по 100 см3 раствора соляной кислоты 1 моль/дм3, дистиллированной воды и раствора гидроксида натрия 1 моль/дм3 со скоростью 1 - 2 капли в секунду, повторяя процедуру 8 - 10 раз. Заканчивают обработку катионита пропусканием 100 см3 раствора соляной кислоты. После этого промывают колонку дистиллированной водой до pH 6 по универсальной индикаторной бумаге, пропуская воду с максимально возможной скоростью. Колонка с катионитом пригодна к работе длительное время. В перерыве между использованием колонку хранят герметично закрытой. Катионит должен постоянно находиться под слоем воды.
При ухудшении качества катионированной воды колонку регенерируют, пропуская 100 см3 раствора соляной кислоты 1 моль/дм3 и промывая дистиллированной водой.
Катионит (как сухой, так и влажный) со временем стареет и теряет ионообменные свойства. Для проверки пригодности катионита готовят раствор хлорида натрия с молярной концентрацией 0,010 моль/дм3, для чего взвешивают 0,0585 г хлорида натрия и растворяют его в дистиллированной воде в мерной колбе вместимостью 100 см3. Через колонку после первоначальной подготовки или после регенерации пропускают 100 см3 дистиллированной воды со скоростью 1 - 2 капли в секунду. Первые 50 - 60 см3 воды, прошедшей через колонку отбрасывают, следующую порцию объемом 30 - 40 см3 собирают в стакан вместимостью 50 см3 и измеряют pH катионированной воды. После этого пропускают с той же скоростью приготовленный раствор хлорида натрия, первые 50 - 60 см3 раствора, прошедшие через колонку, отбрасывают, а следующую порцию собирают в стакан и также измеряют pH. За счет замещения ионов натрия в растворе при пропускании через катионит на ионы водорода, pH раствора понижается по сравнению с катионированной дистиллированной водой. Если качество катионита удовлетворительное, разница в величине pH должна составлять 2,5 - 3 единицы.
Б.2 Подготовка и регенерация колонки с анионитом
Замачивают 50 - 60 г сухого анионита на 1 - 2 сут в насыщенном растворе хлорида натрия в дистиллированной воде (70 г хлорида натрия растворяют в 200 см3 воды). Затем сливают раствор хлорида натрия, промывают анионит 2 - 3 раза дистиллированной водой и переносят его в колонку вместе с водой так, чтобы не образовалось воздушных пузырьков. Предварительно в колонку приливают немного дистиллированной воды. Избыток воды при заполнении колонки периодически сливают через кран. После этого анионит "тренируют", пропуская последовательно по 100 см3 раствора гидроксида натрия, дистиллированной воды, раствора соляной кислоты и вновь дистиллированной воды. Скорость пропускания растворов примерно 1 - 2 капли в секунду. Цикл обработки анионита повторяют 8 - 10 раз. Заканчивают обработку анионита раствором гидроксида натрия и промывают дистиллированной водой до pH 7 по универсальной бумаге.
Регенерацию анионита осуществляют, пропуская через колонку 100 см3 раствора гидроксида натрия 1 моль/дм3 и затем промывая ее дистиллированной водой.
Проверку пригодности анионита проверяют по аналогичной процедуре раствором хлорида натрия с молярной концентрацией 0,010 моль/дм
3, описанной в
разделе Б.1. За счет замещения ионов хлора в растворе при пропускании через анионит на гидроксид-ионы, pH раствора повышается по сравнению с анионированной дистиллированной водой. Если качество анионита удовлетворительное, разница в величине pH должна составлять 2,5 - 3 единицы.
Б.3 Получение деионированной воды
Для получения деионированной воды собирают установку, схема которой изображена на
рисунке Б.1.
1 - склянка с дистиллированной водой; 2 - пластиковые
соединительные трубки; 3 - склянка с деионированной водой;
4 - колонка с катионитом; 5 - колонка с анионитом
Рисунок Б.1 - Схема установки для получения
деионированной воды
Дистиллированную воду пропускают через колонку с анионитом, а затем через колонку с катионитом со скоростью 1 - 2 капли в секунду.
Качество подготовленной воды проверяют по значению оптической плотности холостого опыта (не более 0,15).
(рекомендуемое)
ПРИГОТОВЛЕНИЯ АТТЕСТОВАННОЙ СМЕСИ AC1-N ДЛЯ УСТАНОВЛЕНИЯ
ГРАДУИРОВОЧНЫХ ХАРАКТЕРИСТИК ПРИБОРОВ И КОНТРОЛЯ ТОЧНОСТИ
РЕЗУЛЬТАТОВ ИЗМЕРЕНИЙ МАССОВОЙ КОНЦЕНТРАЦИИ ОБЩЕГО АЗОТА
УФ-СПЕКТРОФОТОМЕТРИЧЕСКИМ МЕТОДОМ
В.1 Назначение и область применения
Настоящая методика регламентирует процедуру приготовления аттестованной смеси AC1-N, предназначенной для установления градуировочных характеристик приборов и контроля точности результатов измерений массовой концентрации общего азота в природных и очищенных сточных водах УФ-спектрофотометрическим методом после окисления персульфатом калия.
В.2 Метрологические характеристики
В.2.1 Аттестованное значение массовой концентрации общего азота в аттестованной смеси составляет 20,00 мг/дм3.
В.2.2 Абсолютная величина погрешности аттестованного значения массовой концентрации общего азота в аттестованной смеси с вероятностью 0,95 не превышает 0,34 мг/дм3.
В.3 Средства измерений, вспомогательные устройства, реактивы
В.3.2 Колбы мерные 2-го класса точности исполнения 2, 2а по
В.3.3 Пипетка с одной отметкой 2-го класса точности исполнения 2 по
20 см3 - 1 шт.
В.3.4 Пипетка градуированная 2-го класса точности исполнения 1, 2 по
- 2 шт.
В.3.6 Воронки лабораторные по
ГОСТ 25336-82 диаметром 36 мм - 2 шт.
В.3.7 Шпатели пластмассовые - 2 шт.
В.3.8 Эксикатор исполнения 2, диаметром корпуса 190 мм по
В.3.9 Хлорид кальция обезвоженный по ТУ 6-09-4711-81, ч.
В.3.10 Промывалка.
В.3.11 Склянки из темного стекла с пришлифованными или плотными
пластиковыми пробками для хранения растворов вместимостью 0,1 дм3 - 3 шт.
В.3.12 Шкаф сушильный общелабораторного назначения.
В.3.13 Холодильник бытовой.
В.4 Исходные компоненты аттестованной смеси
В.4.2 D,L-Лейцин C6H13O2N по ТУ 6-09-1170-77, ч.
В.4.4 Натрия гидроокись (гидроксид натрия) по
ГОСТ 4328-77, х.ч. (допустимо ч.д.а.).
В.5 Процедура приготовления аттестованной смеси
В.5.1 Приготовление основного раствора мочевины с массовой концентрацией общего азота 500 мг/дм3
Для приготовления раствора взвешивают на лабораторных весах в бюксе с точностью до четвертого знака после запятой 0,107 г мочевины, предварительно высушенной в сушильном шкафу при температуре 105 °C в течение 1 ч и охлажденной в эксикаторе над хлоридом кальция. Количественно переносят навеску в мерную колбу вместимостью 100 см3, растворяют в деионированной воде, доводят объем раствора до метки на колбе и перемешивают. Переносят раствор в склянку из темного стекла с хорошо притертой стеклянной или пластиковой пробкой.
Полученному раствору приписывают массовую концентрацию общего азота 500 мг/дм3.
В.5.2 Приготовление промежуточного раствора мочевины с массовой концентрацией общего азота 100 мг/дм3
Отбирают пипеткой с одной отметкой 20,0 см3 основного раствора мочевины с массовой концентрацией общего азота 500 мг/дм3 и переносят его в мерную колбу вместимостью 100 см3. Объем раствора доводят до метки на колбе деионированной водой и перемешивают.
Полученному раствору приписывают массовую концентрацию общего азота 100 мг/дм3.
В.5.3 Приготовление раствора D,L-лейцина с массовой концентрацией общего азота 100 мг/дм3
Для приготовления раствора взвешивают на лабораторных весах в бюксе с точностью до четвертого знака после запятой 0,0935 - 0,0939 г D,L-лейцина. В бюкс добавляют 5 см3 деионированной воды, 0,30 г гидроксида натрия. Растворив навеску лейцина, количественно переносят раствор в мерную колбу вместимостью 100 см3, доводят объем раствора деионированной водой до метки на колбе и перемешивают. Переносят раствор в склянку из темного стекла с пластиковой пробкой.
Полученному раствору приписывают массовую концентрацию общего азота 100 мг/дм3.
В.5.4 Приготовление аттестованной смеси AC1-N
Отбирают пипеткой с одной отметкой 10,0 см3 промежуточного раствора мочевины с массовой концентрацией общего азота 100 мг/дм3 и 10,0 см3 раствора D,L-лейцина с массовой концентрацией общего азота 100 мг/дм3, переносят их в мерную колбу вместимостью 100 см3. Объем раствора доводят до метки на колбе деионированной водой и перемешивают.
Полученному раствору приписывают массовую концентрацию общего азота 20,0 мг/дм3.
В.6 Расчет метрологических характеристик аттестованного раствора
В.6.1 Расчет метрологических характеристик основного раствора мочевины с массовой концентрацией общего азота 500 мг/дм3
Аттестованное значение массовой концентрации общего азота C1, мг/дм3, рассчитывают по формуле

(В.1)
где m - масса навески мочевины, г;
14,01 и 60,06 - масса моля азота и мочевины, соответственно, г/моль;
V - вместимость мерной колбы, см3.
Расчет погрешности приготовления основного раствора мочевины

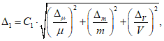
, мг/дм
3, выполняют по формуле

(В.2)
где C1 - приписанное основному раствору мочевины значение массовой концентрации общего азота, мг/дм3;

- предельное значение возможного отклонения массовой доли основного вещества в реактиве от приписанного значения

, %;
- массовая доля основного вещества (мочевины) в реактиве, приписанная реактиву квалификации "ч.д.а.", %;

- предельная возможная погрешность взвешивания, г;
m - масса навески мочевины, г;

- предельное значение возможного отклонения вместимости мерной колбы от номинального значения, см
3;
V - вместимость мерной колбы, см3.
Погрешность приготовления основного раствора мочевины равна:
В.6.2 Расчет метрологических характеристик промежуточного раствора мочевины с массовой концентрацией общего азота 100 мг/дм3
Аттестованное значение массовой концентрации общего азота C2, мг/дм3, рассчитывают по формуле

(В.3)
где C1 - приписанное основному раствору мочевины значение массовой концентрации общего азота, мг/дм3;
V1 - объем основного раствора мочевины, отбираемый пипеткой, см3;
V - вместимость мерной колбы, см3.
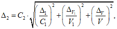
Расчет погрешности приготовления промежуточного раствора мочевины

, мг/дм
3, выполняют по формуле

(В.4)
где C2 - приписанное промежуточному раствору мочевины значение массовой концентрации общего азота, мг/дм3;

- предел возможных значений погрешности приготовления основного раствора мочевины, мг/дм
3;
C1 - приписанное основному раствору мочевины значение массовой концентрации общего азота, мг/дм3;

- предельное значение возможного отклонения объема
V1 от номинального значения, см
3;
V1 - объем основного раствора мочевины, отбираемый пипеткой, см3;

, - предельное значение возможного отклонения вместимости мерной колбы от номинального значения, см
3;
V - вместимость мерной колбы, см3.
Погрешность приготовления промежуточного раствора мочевины равна
В.6.3 Расчет метрологических характеристик раствора D,L-лейцина с массовой концентрацией общего азота 100 мг/дм3
Аттестованное значение массовой концентрации общего азота C3, мг/дм3, рассчитывают по формуле

(В.5)
где m - масса навески D,L-лейцина, г;
14,01 и 131,17 - масса молей азота и лейцина, соответственно, г/моль;
V - вместимость мерной колбы, см3.
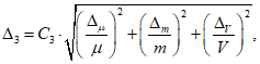
Расчет погрешности приготовления раствора D,L-лейцина

, мг/дм
3, выполняют по формуле

(В.6)
где C3 - приписанное раствору D,L-лейцина значение массовой концентрации общего азота, мг/дм3;

- предельное значение возможного отклонения массовой доли основного вещества в реактиве от приписанного значения

, %;

- массовая доля основного вещества (D,L-лейцина) в реактиве, приписанная реактиву квалификации "ч.", %;

- предельная возможная погрешность взвешивания, г;
m - масса навески D,L-лейцина, г;

- предельное значение возможного отклонения вместимости мерной колбы от номинального значения, см
3;
V - вместимость мерной колбы, см3.
Погрешность приготовления раствора D,L-лейцина равна:
В.6.4 Расчет метрологических характеристик аттестованной смеси AC1-N с массовой концентрацией общего азота 20,0 мг/дм3
Аттестованное значение массовой концентрации общего азота C4, мг/дм3, рассчитывают по формуле

(В.7)
где C4 - приписанное раствору AC1-N значение массовой концентрации общего азота, мг/дм3;
C2 - приписанное промежуточному раствору мочевины значение массовой концентрации общего азота, мг/дм3;
C3 - приписанное раствору D,L-лейцина значение массовой концентрации общего азота, мг/дм3;
V2 - объемы растворов мочевины и D,L-лейцина, отбираемых пипеткой, см3;
V - вместимость мерной колбы, см3.
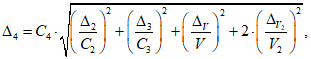
Расчет погрешности приготовления аттестованной смеси AC1-N

, мг/дм
3, выполняют по формуле

(В.8)
где C4 - приписанное смеси AC1-N значение массовой концентрации общего азота, мг/дм3;

- предел возможных значений погрешности приготовления промежуточного раствора мочевины, мг/дм
3;
C2 - приписанное промежуточному раствору мочевины значение массовой концентрации общего азота, мг/дм3;

- предел возможных значений погрешности приготовления раствора D,L-лейцина, мг/дм
3;
C3 - приписанное раствору D,L-лейцина значение массовой концентрации общего азота, мг/дм3;
- предельное значение возможного отклонения вместимости мерной колбы от номинального значения, см
3;
V - вместимость мерной колбы, см3;
- предельное значение возможного отклонения объема
V4 от номинального значения, см
3;
V2 - объемы растворов мочевины и D,L-лейцина, отбираемых пипеткой, см3.
Погрешность приготовления аттестованной смеси AC1-N равна
В.7 Требования безопасности
Необходимо соблюдать общие требования техники безопасности при работе в химических лабораториях.
В.8 Требования к квалификации операторов
Аттестованную смесь может готовить инженер или лаборант со средним профессиональным образованием, прошедший специальную подготовку.
В.9 Требования к маркировке
На склянки должны быть наклеены этикетки с указанием раствора, массовой концентрации общего азота, погрешности ее установления и даты приготовления.
В.10 Условия хранения
Аттестованная смесь AC1-N хранению не подлежит.
Основной раствор мочевины следует хранить в плотно закрытой склянке в холодильнике не более 3 мес.
Промежуточный раствор мочевины и раствор D,L-лейцина следует хранить в плотно закрытых склянках в холодильнике не более 1 мес.