Главная // Актуальные документы // МетодикаСПРАВКА
Источник публикации
М.: Стандартинформ, 2015
Примечание к документу
Документ
введен в действие с 01.01.2015.
Название документа
"Р 50.2.093-2013. Рекомендации по метрологии. Государственная система обеспечения единства измерений. Анализаторы биохимические автоматические. Методика поверки"
(приняты и введены в действие Приказом Росстандарта от 22.11.2013 N 2100-ст)
"Р 50.2.093-2013. Рекомендации по метрологии. Государственная система обеспечения единства измерений. Анализаторы биохимические автоматические. Методика поверки"
(приняты и введены в действие Приказом Росстандарта от 22.11.2013 N 2100-ст)
Приняты и введены в действие
агентства по техническому
регулированию и метрологии
от 22 ноября 2013 г. N 2100-ст
РЕКОМЕНДАЦИИ ПО МЕТРОЛОГИИ
ГОСУДАРСТВЕННАЯ СИСТЕМА ОБЕСПЕЧЕНИЯ ЕДИНСТВА ИЗМЕРЕНИЙ
АНАЛИЗАТОРЫ БИОХИМИЧЕСКИЕ АВТОМАТИЧЕСКИЕ
МЕТОДИКА ПОВЕРКИ
State systems for ensuring the uniformity of measurements.
Automatic biochemical analysers. Verification procedure
Р 50.2.093-2013
Дата введения
1 января 2015 года
1 РАЗРАБОТАНЫ Федеральным государственным унитарным предприятием "Всероссийский научно-исследовательский институт оптико-физических измерений (ФГУП "ВНИИОФИ")
2 ВНЕСЕНЫ Техническим комитетом по стандартизации ТК 206 "Эталоны и поверочные схемы", Подкомитет ПК 10 "Оптические и оптико-физические измерения"
3 ПРИНЯТЫ И ВВЕДЕНЫ
Приказом Федерального агентства по техническому регулированию и метрологии от 22 ноября 2013 г. N 2100-ст
4 ВВЕДЕНЫ ВПЕРВЫЕ
Информация об изменениях к настоящим рекомендациям публикуется в ежегодном указателе "Национальные стандарты", а текст изменений и поправок - в ежемесячно издаваемых информационных указателях "Национальные стандарты". В случае пересмотра (замены) или отмены настоящих рекомендаций соответствующее уведомление будет опубликовано в ежемесячно издаваемом информационном указателе "Национальные стандарты". Соответствующая информация, уведомление и тексты размещаются также в информационной системе общего пользования - на официальном сайте Федерального агентства по техническому регулированию и метрологии в сети Интернет.
Настоящие рекомендации распространяются на анализаторы биохимические автоматические (далее - анализаторы) отечественного и зарубежного производства, предназначенные для измерения оптической плотности жидких проб при проведении биохимических исследований.
Настоящие рекомендации устанавливают методику первичной и периодической поверок анализаторов с использованием эталонных средств измерений - комплектов мер оптической плотности КМОП-Н.
Примечание - При невозможности поверки какого-либо анализатора в соответствии с настоящими рекомендациями допускается проведение его поверки по методике поверки для данного типа анализаторов, утвержденной в установленном порядке.
Интервал между поверками устанавливают сроком не более одного года.
В настоящих рекомендациях использована нормативная ссылка на следующий стандарт:
ГОСТ Р 50267.0-92 Изделия медицинские электрические. Часть 1. Общие требования безопасности
Примечание - При пользовании настоящими рекомендациями целесообразно проверить действие ссылочных стандартов в информационной системе общего пользования - на официальном сайте Федерального агентства по техническому регулированию и метрологии в сети Интернет или по ежегодному информационному указателю "Национальные стандарты", который опубликован по состоянию на 1 января текущего года, и по выпускам ежемесячного информационного указателя "Национальные стандарты" за текущий год. Если заменен ссылочный стандарт, на который дана недатированная ссылка, то рекомендуется использовать действующую версию этого стандарта с учетом всех внесенных в данную версию изменений. Если заменен ссылочный стандарт, на который дана датированная ссылка, то рекомендуется использовать версию этого стандарта с указанным выше годом утверждения (принятия). Если после утверждения настоящих рекомендаций в ссылочный стандарт, на который дана датированная ссылка, внесено изменение, затрагивающее положение, на которое дана ссылка, то это положение рекомендуется применять без учета данного изменения. Если ссылочный стандарт отменен без замены, то положение, в котором дана ссылка на него, рекомендуется применять в части, не затрагивающей эту ссылку.
3.1 При проведении первичной поверки выполняют операции, указанные в таблице 1.
Таблица 1
Наименование операции | Номер пункта настоящих рекомендаций |
Внешний осмотр | |
Опробование | |
Проверка диапазона измерений оптической плотности | |
Определение абсолютной и (или) относительной случайной погрешности измерения оптической плотности | |
Обработка результатов измерений | |
Оформление результатов поверки | |
При получении отрицательных результатов хотя бы одной операции поверка прекращается.
4.1 При проведении первичной и периодической поверки применяют средства, указанные в таблице 2.
Таблица 2
N пункта настоящих рекомендаций | Наименование и тип средств поверки | Основные технические характеристики |
| Комплект мер оптической плотности КМОП-Н | Пределы допускаемой абсолютной погрешности измерения оптической плотности не более +/- 0,007 Б для мер N 1, 2; не более +/- 0,07 Б для мер N 3, 4, 5 <*> |
| | ИС МЕГАНОРМ: примечание. В официальном тексте документа, видимо, допущена опечатка: приложение 1 отсутствует. Возможно, имеется в виду приложение А. | |
|
<*> Основные технические и метрологические характеристики Комплекта мер оптической плотности КМОП-Н представлены в приложении 1 данной методики. Примечание - Допускается применение других средств поверки, обеспечивающих определение необходимых метрологических характеристик поверяемых средств измерений с требуемой точностью. Средства поверки должны быть исправны и иметь действующее свидетельство о поверке. |
5 Требования к квалификации поверителей и требования безопасности
5.1 К проведению поверки допускаются лица, прошедшие специальную подготовку по техническому и метрологическому обслуживанию анализатора и аттестованные в установленном порядке по
правилам по метрологии
[1].
5.2 При поверке должны выполняться требования безопасности по
ГОСТ Р 50267.0, а также требования, обеспечивающие при проведении поверки безопасность труда, производственную санитарию и охрану окружающей среды.
6.1 При проведении поверки должны соблюдаться следующие условия:
- температура окружающего воздуха (20 +/- 5) °C;
- относительная влажность от 30% до 80%;
- атмосферное давление от 720 до 780 кПа;
- в процессе поверки эксплуатация анализатора производится только в соответствии с руководством по эксплуатации.
7.1 Перед проведением поверки анализатор биохимический автоматический и комплект мер оптической плотности должны быть подготовлены к работе в соответствии с Руководством по эксплуатации.
При внешнем осмотре следует:
- визуально оценить внешний вид анализатора на отсутствие видимых повреждений, влияющих на его работоспособность;
- убедиться в наличии маркировки с ясным указанием типа и серийного номера анализатора, а также знака утверждения типа;
- проверить комплектность анализатора в соответствии с требованиями технической документации производителя (изготовителя).
Анализатор считается годным для проведения поверки, если его корпус, внешние элементы, органы управления и индикации не повреждены, комплектность соответствует технической документации, тип, серийный номер и знак утверждения типа анализатора четко видны на маркировке.
8.2.1 Опробование работы анализатора производится для оценки его исправности и включает в себя проверку работоспособности анализатора в соответствии с Руководством по эксплуатации, в котором описаны процедуры подготовки его к измерениям.
Анализатор признается годным для проведения поверки, если включение и подготовка к работе прошли без отклонений от требований Руководства по эксплуатации, а при включении прибора отсутствуют сообщения об ошибках.
8.2.2 Идентификация программного обеспечения
Перед началом поверки проводят проверку заявленных в технической документации идентификационных данных (признаков) метрологически значимой части программного обеспечения анализаторов.
Анализатор признается годным для проведения поверки, если наименование и версия установленного программного обеспечения соответствует указанным в описании типа на анализатор.
8.3 Определение метрологических характеристик
8.3.1 Проверка диапазона измерений оптической плотности анализатора
Операция проверки диапазона измерений оптической плотности анализатора совмещается с операцией определения абсолютной и (или) относительной случайной погрешности измерения оптической плотности (8.3.2).
8.3.2 Определение абсолютной и (или) относительной случайной погрешности измерения оптической плотности
8.3.2.1 Определение погрешности измерения оптической плотности производится с помощью Комплекта мер оптической плотности КМОП-Н на рабочих длинах волн анализатора.
8.3.2.2 Выйти на режим измерения оптической плотности анализаторов в соответствии с методикой, описанной в Руководстве по эксплуатации.
8.3.2.3 Наполнить с помощью дозатора необходимого объема (в зависимости от типа анализатора) кюветы для измерения мерами из Комплекта мер оптической плотности КМОП-Н.
8.3.2.4 Установить кюветы с мерами из Комплекта мер оптической плотности КМОП-Н в измерительный канал анализатора (порядок установки кювет описан в Руководстве по эксплуатации анализатора).
При невозможности установки мер в измерительный канал подставить кювету с мерой к каналу для забора образцов.
8.3.2.5 Провести десятикратное измерение оптической плотности каждой из мер, начиная с меры с наименьшей оптической плотностью, на выбранных длинах волн, начиная с наименьшей длины волны в соответствии с Руководством по эксплуатации анализатора.
8.4 Обработка результатов измерений
Данная рекомендация предусматривает расчет абсолютной и (или) относительной случайной погрешности измерения оптической плотности.
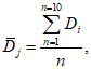
8.4.1 По результатам измерений оптической плотности для каждой меры рассчитать среднее значение

, Б, по формуле
| | ИС МЕГАНОРМ: примечание. Формула дана в соответствии с официальным текстом документа. | |

(1)
где Di - измеренное значение оптической плотности, Б;
n - число измерений, равное 10;
j - номер меры.
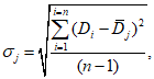
8.4.2 Рассчитать значение абсолютной и (или) относительной случайной составляющей погрешности

(СКО), Б/%, измерения оптической плотности (в зависимости от метрологических характеристик, приведенных в описании типа средства измерений) для меры
j по формулам:

(2)
где

- значение абсолютной случайной составляющей погрешности измерения оптической плотности, Б;

(3)
где

- значение относительной случайной составляющей погрешности измерения оптической плотности, %.
8.4.3 Анализатор считается прошедшим поверку, если:
- значение абсолютной и (или) относительной погрешности измерения оптической плотности для каждой меры на каждой длине волны не превышает значений, указанных в описании для данного типа анализатора.
9 Оформление результатов поверки
9.1 Результаты измерений при поверке заносят в протокол
(приложение Б).
9.2 При положительных результатах поверки оформляют свидетельство о поверке установленной формы в соответствии с
правилами по метрологии
[2].
9.3 Приборы, не удовлетворяющие требованиям настоящей рекомендации, признают непригодными, к эксплуатации не допускают и выдают извещение о непригодности с указанием причин в соответствии с
правилами по метрологии
[2].
(справочное)
ОСНОВНЫЕ ТЕХНИЧЕСКИЕ И МЕТРОЛОГИЧЕСКИЕ ХАРАКТЕРИСТИКИ
КОМПЛЕКТА МЕР ОПТИЧЕСКОЙ ПЛОТНОСТИ КМОП-Н
Таблица А.1
Наименование характеристики | Значение характеристики |
Спектральный диапазон, нм | 340 - 800 |
Диапазон измерений ОП мер, Б | 0,0 - 4,0 |
Значения ОП мер N 1 - 5 в кювете 10 мм при длине 546 нм, Б: | |
- мера N 1 | 0,05 +/- 0,04 |
- мера N 2 | 0,15 +/- 0,05 |
- мера N 3 | 1,75 +/- 0,25 |
- мера N 4 | 3,0 +/- 0,5 |
- мера N 5 | |
Пределы допускаемой абсолютной погрешности измерения ОП мер, Б: | |
- меры N 1, 2 | +/- 0,007 |
- меры N 3, 4, 5 | +/- 0,07 |
Габаритные размеры: | |
- диаметр меры, мм | 15,0 |
- объем раствора нигрозина в мере, см3 | 5,0 +/- 0,5 |
Масса одной меры, г, не более | 30,0 |
Условия эксплуатации: | |
- температура окружающей среды, °C | От +15 до +25 |
- относительная влажность воздуха, %, не более | 80 |
- атмосферное давление, кПа | От 94 до 106 |
<*> Истинные значения ОП мер определяются в процессе поверки комплекта для длин волн, оговоренных потребителем, в пределах установленного спектрального диапазона. |
(обязательное)
ПРОТОКОЛ
Первичной/периодической поверки от "___" ________ 20 года
Средство измерений: _______________________________________________________
полное наименование анализатора, взятое
из государственного реестра СИ
Заводской N ______________________________
Принадлежащее _____________________________________________________________
наименование юридического лица, ИНН
___________________________________________________________________________
Поверено в соответствии с методикой поверки
___________________________________________________________________________
полное наименование документа на поверку
___________________________________________________________________________
С применением эталонов: Комплект мер оптической плотности КМОП-Н
Пределы допускаемой абсолютной погрешности измерения оптической плотности
не более +/- 0,007 Б для мер N 1, 2
не более +/- 0,07 Б для мер N 3, 4, 5
При следующих значениях влияющих факторов _________________________________
Температура, °C ___________________________________________________________
Влажность, % ______________________________________________________________
Атмосферное давление, кПа _________________________________________________
Получены результаты поверки метрологических характеристик: абсолютной и
(или) относительной случайной погрешности измерения оптической плотности
___________________________________________________________________________
Рекомендации ______________________________________________________________
Средство измерений признать пригодным (или непригодным)
для применения
___________________________________________________________________________
Исполнители ____________________________________
____________________________________ Подписи, Ф.И.О., должность
| | Государственная система обеспечения единства измерений. Порядок аттестации поверителей средств измерений |
| | Государственная система обеспечения единства измерений. Порядок проведения поверки средств измерений |
УДК 616.71:006.354 | |
Ключевые слова: анализаторы биохимические автоматические, комплекты мер оптической плотности, поверка |