Главная // Актуальные документы // МетодикаСПРАВКА
Источник публикации
М.: Стандартинформ, 2019
Примечание к документу
Текст данного документа приведен с учетом поправок, опубликованных в "ИУС",
N 3, 2020;
N 8, 2020.
Документ
введен в действие с 01.07.2020.
Название документа
"РМГ 145-2019. Рекомендации по межгосударственной стандартизации. Государственная система обеспечения единства измерений. Установки радиационно-технологические с радионуклидными источниками излучения для радиационной обработки пищевых продуктов. Методика аттестации по поглощенной дозе в продукции"
(введены в действие Приказом Росстандарта от 30.10.2019 N 1069-ст)
"РМГ 145-2019. Рекомендации по межгосударственной стандартизации. Государственная система обеспечения единства измерений. Установки радиационно-технологические с радионуклидными источниками излучения для радиационной обработки пищевых продуктов. Методика аттестации по поглощенной дозе в продукции"
(введены в действие Приказом Росстандарта от 30.10.2019 N 1069-ст)
по техническому регулированию
и метрологии
от 30 октября 2019 г. N 1069-ст
РЕКОМЕНДАЦИИ ПО МЕЖГОСУДАРСТВЕННОЙ СТАНДАРТИЗАЦИИ
ГОСУДАРСТВЕННАЯ СИСТЕМА ОБЕСПЕЧЕНИЯ ЕДИНСТВА ИЗМЕРЕНИЙ
УСТАНОВКИ РАДИАЦИОННО-ТЕХНОЛОГИЧЕСКИЕ С РАДИОНУКЛИДНЫМИ
ИСТОЧНИКАМИ ИЗЛУЧЕНИЯ ДЛЯ РАДИАЦИОННОЙ ОБРАБОТКИ
ПИЩЕВЫХ ПРОДУКТОВ
МЕТОДИКА АТТЕСТАЦИИ ПО ПОГЛОЩЕННОЙ ДОЗЕ В ПРОДУКЦИИ
State system for ensuring the uniformity of measurements.
Radiation-technological facilities with radionuclide sources
of radiation for foodstuffs radiation processing. Methods
of certification by absorbed dose in products
РМГ 145-2019
Дата введения
1 июля 2020 года
Цели, основные принципы и общие правила проведения работ по межгосударственной стандартизации установлены
ГОСТ 1.0 "Межгосударственная система стандартизации. Основные положения" и
ГОСТ 1.2 "Межгосударственная система стандартизации. Стандарты межгосударственные, правила и рекомендации по межгосударственной стандартизации. Правила разработки, принятия, обновления и отмены"
Сведения о межгосударственных рекомендациях
1 РАЗРАБОТАНЫ Федеральным государственным унитарным предприятием "Всероссийский научно-исследовательский институт физико-технических и радиотехнических измерений" (ФГУП "ВНИИФТРИ")
2 ВНЕСЕНЫ Федеральным агентством по техническому регулированию и метрологии
3 ПРИНЯТЫ Межгосударственным советом по стандартизации, метрологии и сертификации (протокол от 30 сентября 2019 г. N 122-П)
За принятие проголосовали:
Краткое наименование страны по МК (ИСО 3166) 004-97 | Код страны по МК (ИСО 3166) 004-97 | Сокращенное наименование национального органа по стандартизации |
Беларусь | BY | Госстандарт Республики Беларусь |
Казахстан | KZ | Госстандарт Республики Казахстан |
Киргизия | KG | Кыргызстандарт |
Россия | RU | Росстандарт |
Таджикистан | TJ | Таджикстандарт |
Узбекистан | UZ | Узстандарт |
4
Приказом Федерального агентства по техническому регулированию и метрологии от 30 октября 2019 г. N 1069-ст рекомендации по межгосударственной стандартизации РМГ 145-2019 введены в действие в качестве национальных рекомендаций Российской Федерации с 1 июля 2020 г.
5 ВВЕДЕНЫ ВПЕРВЫЕ
Информация о введении в действие (прекращении действия) настоящих рекомендаций и изменений к ним на территории указанных выше государств публикуется в указателях национальных (государственных) стандартов, издаваемых в этих государствах.
Информация об изменениях к настоящим рекомендациям публикуется в указателе (каталоге) "Межгосударственные стандарты", а текст изменений - в информационных указателях "Межгосударственные стандарты". В случае пересмотра или отмены настоящих рекомендаций соответствующая информация будет опубликована в информационном указателе "Межгосударственные стандарты".
Настоящие рекомендации содержат требования и процедуры по аттестации радиационно-технологической установки (РТУ) по поглощенной дозе (ПД) в пищевой продукции, подвергаемой обработке ионизирующим излучением радионуклидных источников гамма-излучения.
Облучение пищевой продукции проводят для борьбы с паразитами и патогенными микроорганизмами, уничтожения насекомых, подавления роста и созревания, а также для продления срока хранения.
Пищевые продукты облучают на специализированных РТУ с использованием источников гамма-излучения радионуклидов 60Co или 137Cs. При правильном проведении радиационная обработка является безопасным и надежным промышленным процессом.
Так как процесс облучения пищевой продукции является специальным технологическим процессом, возможность проверки результатов которого в полной мере проверить последующим испытанием продукции отсутствует, то он подлежит валидации.
Аттестация РТУ по ПД в пищевой продукции является одним из этапов валидации и крайне важна, так как измерения ПД проводят с максимально достижимым уровнем точности.
Настоящие рекомендации решают и устанавливают следующее:
- возможность облучения объектов в установленном диапазоне ПД (минимальная доза - максимальная доза);
- коэффициенты пропорциональности, обусловливающие связь между дозой в контрольной точке и минимальной ПД, а также между дозой в контрольной точке и максимальной ПД в пищевой продукции при регламентированных условиях облучения;
- диапазон допустимых значений ПД в контрольной точке при приемочном дозиметрическом контроле в процессе облучения пищевой продукции;
- минимальное и максимальное время облучения пищевой продукции (длительность нахождения объектов в рабочей зоне или длительность выдержки объекта в каждой позиции облучения).
Настоящие рекомендации распространяются на радиационно-технологические установки с радионуклидными источниками излучения для радиационной обработки пищевых продуктов по ГОСТ ISO 14470 и
ГОСТ 8.664 и устанавливают порядок проведения, процедуры, методы, средства измерений, методы обработки и представления результатов измерений при их аттестации.
В настоящих рекомендациях использованы нормативные ссылки на следующие межгосударственные стандарты:
ГОСТ 8.664 Государственная система обеспечения единства измерений. Пищевые продукты. Радиационная обработка пищевых продуктов. Требования к дозиметрическому обеспечению
ГОСТ ISO 14470 Радиационная обработка пищевых продуктов. Требования к разработке, валидации и повседневному контролю процесса облучения пищевых продуктов ионизирующим излучением
Примечание - При пользовании настоящими рекомендациями целесообразно проверить действие ссылочных стандартов и классификаторов на официальном интернет-сайте Межгосударственного совета по стандартизации, метрологии и сертификации (www.easc.by) или по указателям национальных стандартов, издаваемым в государствах, указанных в
предисловии, или на официальных сайтах соответствующих национальных органов по стандартизации. Если на документ дана недатированная ссылка, то следует использовать документ, действующий на текущий момент, с учетом всех внесенных в него изменений. Если заменен ссылочный документ, на который дана датированная ссылка, то следует использовать указанную версию этого документа. Если после принятия настоящих рекомендаций в ссылочный документ, на который дана датированная ссылка, внесено изменение, затрагивающее положение, на которое дана ссылка, то это положение применяется без учета данного изменения. Если ссылочный документ отменен без замены, то положение, в котором дана ссылка на него, применяется в части, не затрагивающей эту ссылку.
3 Термины, определения и сокращения
3.1 В настоящих рекомендациях применены следующие термины с соответствующими определениями:
3.1.1 радиационно-технологическая установка: Радиационная установка, предназначенная для осуществления технологического процесса.
3.1.2 аттестация радиационно-технологической установки по поглощенной дозе в пищевой продукции: Документальное подтверждение пригодности радиационно-технологической установки для радиационной обработки конкретной пищевой продукции в конкретных условиях.
3.1.3 радиационная обработка пищевых продуктов: Обработка пищевых продуктов ионизирующим излучением, а именно: гамма-излучением, рентгеновским (тормозным) излучением или потоком ускоренных электронов.
3.1.4 минимальная доза; Dмин: Минимальная поглощенная доза для достижения нормативных требований.
Примечание - Минимальная доза является нижней границей диапазона допускаемых значений поглощенной дозы ионизирующего излучения в пищевых продуктах, зависит от микробиологического состояния пищевых продуктов и требуемой степени микробиологического состояния пищевых продуктов и устанавливается уполномоченными органами при постановке продукции на производство.
3.1.5 максимальная допускаемая доза; Dмакс: Максимальная поглощенная доза ионизирующего излучения в пищевых продуктах, при которой не нарушается безопасность пищевых продуктов и их качество соответствует требованиям нормативных документов в течение установленного срока годности.
Примечание - Максимальная допускаемая поглощенная доза является верхней границей диапазона допускаемых значений поглощенной дозы в пищевых продуктах, зависит от радиационной стойкости применяемых материалов для упаковки пищевых продуктов и от требований нормативных документов, предъявляемых к безопасности и качеству пищевых продуктов, устанавливается уполномоченными органами при постановке продукции на производство.
3.1.6 укладка пищевых продуктов: Пространственное расположение пищевой продукции в облучаемом объекте.
Примечание - Укладка единичных упаковок с пищевой продукцией регламентируется соответствующим документом и должна быть соблюдена при радиационной обработке пищевых продуктов.
3.1.7
поглощенная доза ионизирующего излучения D, Гр: Отношение средней энергии  , переданной ионизирующим излучением веществу в элементарном объеме, к массе dm вещества в этом объеме  . |
Примечание - В соответствии с
ГОСТ 34157 и
ГОСТ 34156 поглощенную дозу в пищевой продукции определяют с помощью средств измерений, аттестованных по поглощенной дозе в воде.
3.1.8 облучаемый объект в процессе радиационной обработки пищевых продуктов (объект, пищевая продукция): Пищевые продукты (пищевая продукция) в упаковке (в транспортной, потребительской или индивидуальной таре), перемещаемые(ая) в зоне облучения индивидуально или в виде сборки (блок пищевых продуктов), как единое целое при радиационной обработке ионизирующим излучением.
3.1.9 контрольная точка: Небольшая область (участок) объекта радиационного контроля (место расположения первичного источника информации о контролируемом параметре объекта), предназначенная(ый) для измерений в ней контролируемых радиационных параметров, устанавливаемых при аттестации радиационно-технологической установки по поглощенной дозе в пищевых продуктах.
3.1.10
пищевая продукция: Продукты животного, растительного, микробиологического, минерального, искусственного или биотехнологического происхождения в натуральном, обработанном или переработанном виде, которые предназначены для употребления человеком в пищу, в том числе специализированная пищевая продукция, питьевая вода, расфасованная в емкости, питьевая минеральная вода, алкогольная продукция (в том числе пиво и напитки на основе пива), безалкогольные напитки, биологически активные добавки к пище (БАД), жевательная резинка, закваски и стартовые культуры микроорганизмов, дрожжи, пищевые добавки и ароматизаторы, а также продовольственное (пищевое) сырье. |
3.1.11
пищевые продукты: продукты в натуральном или переработанном виде, употребляемые человеком в пищу (в том числе продукты детского питания, продукты диетического питания и другие специализированные продукты), питьевая вода, расфасованная в емкости (бутилированная питьевая вода), алкогольная продукция (в том числе пиво), безалкогольные напитки, жевательная резинка, а также продовольственное сырье, пищевые добавки и биологически активные добавки к пище. Требования к питьевой воде, расфасованной в емкости (бутилированная питьевая вода), определяются другими разделами единых санитарных требований. |
3.1.12 приемочный дозиметрический контроль в процессе радиационной обработки пищевой продукции: Контроль соответствия поглощенных доз в пищевой продукции требованиям нормативных актов и/или нормативных документов по безопасности микробиологического состояния пищевой продукции.
3.2 В настоящих рекомендациях применены следующие сокращения:
МСО - межгосударственный стандартный образец;
НД - нормативный документ;
ПД - поглощенная доза;
РТУ - радиационно-технологическая установка;
СИ - средство измерений;
ТУ - технические условия.
4.1 Одним из основных параметров радиационной обработки пищевых продуктов, измерение которого обеспечивает возможность контроля за выполнением требований по безопасности, предъявляемых к пищевым продуктам, является ПД ионизирующего излучения в обрабатываемой пищевой продукции.
4.2 При проведении аттестации РТУ по ПД в пищевой продукции должна быть обеспечена прослеживаемость измерений ПД ионизирующего излучения относительно эталонов единицы мощности ПД ионизирующего излучения в стандартных материалах, тем самым обеспечивая прослеживаемость величин Dмин и Dмакс, характеризующих безопасность пищевых продуктов.
4.3 На РТУ проводят первичную, периодическую и внеочередную аттестации для каждого вида пищевой продукции.
4.3.1 Первичную аттестацию РТУ по ПД для конкретного вида пищевой продукции проводят после отработки технологии облучения и перед началом промышленной радиационной обработки пищевой продукции.
4.3.2 Периодическую аттестацию проводят перед окончанием срока действия свидетельства о предыдущей аттестации. Периодичность проведения аттестации РТУ по ПД в пищевой продукции - один год.
4.3.3 Внеочередную аттестацию проводят после:
- ремонта РТУ, приведшего к изменению транспортной системы и системы ее контроля, а также положения облучаемого объекта относительно облучателя;
- изменения схемы зарядки облучателя источниками ионизирующего излучения, активности источников ионизирующего излучения либо размеров и формы облучателя;
- изменения схемы облучения, вида упаковки или способа укладки пищевой продукции в транспортную тару.
4.4 При аттестации РТУ по ПД в пищевой продукции устанавливают:
- возможность облучения объектов в установленном диапазоне ПД - от Dмин до Dмакс;
- коэффициенты пропорциональности Kмин и Kмакс, определяющие связь между дозой в контрольной точке и минимальной ПД, а также между дозой в контрольной точке и максимальной ПД в пищевой продукции при регламентированных условиях облучения;
- минимальное tобл.мин и максимальное tобл,макс время облучения пищевой продукции (длительность нахождения объектов в рабочей зоне или длительность выдержки объекта в каждой позиции облучения).
4.5 Ответственность за своевременное представление и проведение аттестации РТУ по ПД в пищевой продукции возлагается на организацию, осуществляющую выпуск пищевой продукции.
5 Условия проведения измерений при аттестации
При проведении измерений должны быть соблюдены условия, при которых обеспечивается работоспособность применяемых для аттестации СИ.
При проведении аттестации применяют следующие СИ и вспомогательное оборудование:
а) эталон единицы мощности ПД фотонного ионизирующего излучения в стандартных материалах;
б) МСО ПД фотонного и электронного излучений (сополимер с феназиновым красителем) "СО ПД(Ф)Э-5/50" с погрешностью аттестации не более +/- 3% при P = 0,95; N 1757:2012 в Реестре МСО.
Примечание - Может быть применен МСО ПД фотонного и электронного излучений утвержденного типа с характеристиками не хуже указанных выше;
в) МСО ПД фотонного и электронного излучений (сополимер с феназиновым красителем) "СО ПД(Ф)Р-5/50" с погрешностью аттестации не более +/- 7% при P = 0,95; N 1735:2011 в Реестре МСО.
Примечание - Может быть применен МСО ПД фотонного и электронного излучений утвержденного типа с характеристиками не хуже указанных выше;
г) МСО ПД фотонного и электронного излучений (сополимер 4-диэтиламиноазобензоловым красителем) "СО ПД(Э)-1/10" с погрешностью аттестации не более +/- 5% при P = 0,95; N 2089:2017 в Реестре МСО.
Примечание - Может быть применен МСО ПД фотонного и электронного излучений утвержденного типа с характеристиками не хуже указанных выше;
д) спектрофотометр для измерений коэффициента пропускания МСО Т или оптической плотности
A в видимой области спектра [

,
P = 0,95] (Specord M40 и др.);
е) сканирующее устройство к спектрофотометру для измерений оптической плотности A вдоль протяженных МСО;
ж) приспособления для крепления и размещения детекторов;
7 Требования к технике безопасности
При проведении измерений на РТУ необходимо соблюдать правила безопасного ведения работ и требования действующих в организации инструкций.
8 Требования к квалификации исполнителей
К проведению измерений допускаются лица, имеющие профильное образование, получившие соответствующую методическую подготовку, обладающие практическим опытом работы в области измерений интенсивных потоков ионизирующих излучений и изучивших настоящие рекомендации и эксплуатационную документацию на РТУ.
При проведении аттестации РТУ по ПД в пищевой продукции выполняют операции, указанные в
таблице 1.
Наименование операции | Номер пункта настоящих рекомендаций | Обязательность проведения операций |
при первичной аттестации | при периодической аттестации |
Проверка нормативных документов | | Да | Да |
Внешний осмотр радиационно-технологической установки | | Да | Да |
Анализ | | Да | Да |
Определение поглощенной дозы при помощи межгосударственного стандартного образца | | Да | Да |
Проведение измерений поглощенной дозы в пищевой продукции | | Да | Да |
| | ИС МЕГАНОРМ: примечание. В официальном тексте документа, видимо, допущена опечатка: одна и та же строка таблицы повторяется дважды. | |
|
Проведение измерений поглощенной дозы в пищевой продукции | | Да | Да |
Определение регламентированных условий проведения процесса радиационной обработки пищевой продукции | | Да | Нет |
10.1 Проверка нормативных документов
РТУ представляют на аттестацию с НД, в комплект которых в зависимости от ее типа и вида работ входят:
- ТУ (проект ТУ) и/или другой документ на пищевую продукцию, в которых указаны нормы процесса радиационной обработки пищевых продуктов - Dмин и Dмакс;
- протокол измерений ПД, выполненных при отработке процесса облучения конкретного вида пищевой продукции при постановке на производство;
- свидетельство о предшествующей аттестации РТУ по ПД в пищевой продукции (в случае периодической аттестации).
10.2 Внешний осмотр радиационно-технологической установки
10.2.1 При внешнем осмотре РТУ проверяют наличие средств контроля режимов ее работы, в состав которых входят системы:
- контроля за положением облучателя (хранение, промежуточное, рабочее);
- контроля положения облучаемых объектов относительно облучателя (для установок в конвейерной системой перемещения продукции);
- контроля длительности облучения;
- идентификации продукции;
- непрерывной записи положения облучателя и длительности облучения.
10.2.1.1 Система контроля положения облучателя, расположенного на пульте управления РТУ, сигнализирует о нахождении облучателя в рабочем положении или положении хранения. Положение облучателя с источниками ионизирующего излучения отмечают на диаграммной ленте самопишущего прибора в виде непрерывной линии или заносят в память компьютера при следующих положениях облучателя:
- хранение;
- промежуточное;
- рабочее.
10.2.1.2 Система контроля положения каждого облучаемого объекта относительно облучателя фиксирует положение каждого объекта на пульте управления РТУ.
На основе данных, полученных по
10.1 и
10.2, определяют необходимый объем работ для исследования РТУ, количество исследуемых объектов и МСО, составляют схему расположения МСО в объекте.
10.4 Определение поглощенной дозы при помощи межгосударственного стандартного образца
10.4.1 Транспортирование МСО на аттестуемую РТУ и обратно осуществляют сотрудники организации, выполняющей аттестацию, в соответствии с эксплуатационной документацией на МСО.
10.4.2 В день проведения аттестации РТУ одновременно проводят облучение МСО на аттестуемой установке и на эталоне единицы мощности ПД фотонного ионизирующего излучения, используя при этом МСО одной партии.
Облучение на эталоне проводят в трех точках рабочего диапазона значений ПД по 5 МСО в каждой точке.
10.4.3 Первое измерение МСО, облученных на эталоне, проводят в интервале от 21 до 27 ч после облучения и повторно в один день с МСО, облученными при аттестации РТУ на одном и том же спектрофотометре. Полученные результаты сравнивают между собой. Для этого рассчитывают среднее значение оптической плотности A для каждой дозы и определяют поправку на "Пост-эффект" МСО по
формуле (1).
Примечание - Согласно паспорту на СО ПД(Ф)Э-5/50 измерение ПД необходимо проводить в интервале от 21 до 27 ч после облучения

, (1)
где ПЭ - поправка на "Пост-эффект";

- оптическая плотность, измеренная через
m дней после облучения;

- оптическая плотность, измеренная через 21 - 27 ч после облучения.
Поправку на "Пост-эффект" учитывают при измерении ПД при аттестации, если ПЭ >= 1%.
10.5 Проведение измерений поглощенной дозы в пищевой продукции
10.5.1 Измерение ПД проводят для конкретного вида пищевой продукции.
10.5.2 Определение Dмин, Dмакс, Dконтр и соотношения между ними для конкретного вида пищевой продукции
Распределение ПД в облучаемом объекте (транспортной таре с пищевой продукцией) зависит как от параметров установки (схемы облучения, распределения источников в облучателе и т.д.), так и от вида пищевой продукции, способа укладки ее в транспортном ящике, ориентации ящика по отношению к облучателю, поэтому аттестацию проводят для каждого вида пищевой продукции, для выбранного способа укладки в транспортной таре и способа облучения пищевой продукции при регламентированных и контролируемых условиях облучения.
Определение минимального и максимального значений ПД проводят в транспортной таре не менее чем в трех облучаемых объектах с пищевой продукцией. Для измерений используют протяженные или одиночные МСО.
МСО располагают внутри транспортных ящиков с пищевой продукцией в соответствии со схемой по
10.3.
МСО укладывают внутри ящика с продукцией на поверхностях групповых упаковок и внутри них равномерно (если это возможно) по объему блока с пищевой продукцией, а также в контрольной точке. Например, при двухстороннем облучении пищевой продукции МСО располагают не менее чем в трех плоскостях по глубине объекта: Z = 0, Z = L/4, Z = L/2, где L - глубина ящика (блока) с пищевой продукцией; при одностороннем - в пяти плоскостях: Z = 0, Z = L/4, Z = L/2, Z = 3L/4, Z = L. На каждой плоскости располагают МСО не менее чем на трех высотах: h = 0, h = H/2, h = H, где H - высота объекта. На каждой плоскости располагают МСО равномерно по 20 - 30 шт. Если положение зон с минимальными и максимальными значениями ПД известно, то основное количество МСО располагают в них. Контрольную точку выбирают в определенном месте на поверхности облучаемого объекта по результатам предварительных исследований.
По результатам предварительных исследований РТУ устанавливают режим работы транспортного устройства, обеспечивающий обработку блока с пищевой продукцией в заданном диапазоне доз, и проводят облучение блока с пищевой продукцией. При этом осуществляют непрерывный контроль режимов работы установки (положение облучателя, перестановка блоков с пищевой продукцией, время выдержки в каждой позиции облучения блоков с продукцией, скорости конвейера).
Для каждого объекта определяют минимальное Dминi, максимальное Dмаксi значения ПД в пищевой продукции, а также значение ПД в контрольной точке Dконтрi.
Средние арифметические значения

,

и

и оценки среднеквадратических отклонений
S(
Dмин),
S(
Dмакс),
S(
Dконтр) рассчитывают по следующим формулам:

, (2)

(3)
где Di - значение ПД в i-й точке;
n - количество измерений.
Доверительные границы случайной погрешности измерений

указанных доз рассчитывают по формуле

, (4)
где t - коэффициент Стьюдента для доверительной вероятности P = 0,95 и числа измерений n.
Если n = 3, то в качестве доверительной случайной погрешности P можно принимать размах значений.
Коэффициент пропорциональности
Kмин, устанавливающий связь между минимальной ПД

и ПД в контрольной точке

, и погрешность его определения

рассчитывают по следующим формулам:

, (5)

, (6)
где

- относительная случайная погрешность МСО, применяемого при аттестации.
Коэффициент пропорциональности
Kмакс, устанавливающий связь между максимальной ПД

и ПД в контрольной точке

, и погрешность его определения

рассчитывают по следующим формулам:

, (7)

. (8)
Коэффициент неравномерности распределения ПД по объему объекта с пищевой продукцией
R и погрешность его определения

рассчитывают по следующим формулам:

, (9)

. (10)
10.6 Определение регламентированных условий проведения процесса радиационной обработки конкретных видов пищевых продуктов
Объем измерений ПД в пищевых продуктах при ее радиационной обработке должен обеспечивать выполнение требований НД на процесс обработки. Режим работы РТУ устанавливают таким образом, чтобы ни одна часть пищевых продуктов, включая упаковку, не получила дозу менее минимальной дозы Dмин и более максимальной дозы Dмакс для данного вида пищевых продуктов. Значения Dмин и Dмакс должны быть указаны в ТУ (в проекте ТУ) или другом документе на пищевые продукты.
В процессе обработки пищевых продуктов текущий дозиметрический контроль осуществляют с помощью МСО, помещаемых в контрольную точку, с погрешностью измерения не более +/- 12%. Для нахождения значений Dмин и Dмакс используют значения найденных коэффициентов Kмин и Kмакс.
Значение нижней границы диапазона значений ПД Dн.г (в условиях работы РТУ и при обработке пищевых продуктов) рассчитывают по формуле

, (11)
где

- относительная погрешность определения минимальной ПД в объекте, %, с учетом погрешности МСО, используемого при приемочном дозиметрическом контроле в процессе обработки пищевой продукции, рассчитываемая по формуле

, (12)
где

- относительная, погрешность, %, МСО, используемого при приемочном дозиметрическом контроле (для измерения ПД в контрольной точке) в процессе радиационной обработки пищевых продуктов.
Сравнивают значение Dн.г с Dмин для данного вида пищевых продуктов.
Значение верхней границы диапазона значений ПД Dв.г (в условиях работы РТУ при обработке пищевых продуктов) рассчитывают по формуле

, (13)
где

- относительная погрешность определения максимальной поглощенной дозы в объекте, %, с учетом погрешности МСО, используемого при приемочном дозиметрическом контроле в процессе радиационной обработки пищевых продуктов, рассчитываемая по формуле

. (14)
Сравнивают Dв.г с Dмакс для данного вида пищевых продуктов.
Для осуществления процесса обработки пищевых продуктов устанавливают режим работы РТУ, при котором выполняются следующие условия:
Dн.г >= Dмин; (15)
Dв.г <= Dмакс; (16)

. (17)
Индексы "а" и "р" означают режимы работы РТУ при проведении аттестации и радиационной обработки пищевой продукции соответственно.
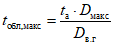
В качестве рабочего режима радиационной обработки пищевой продукции, регламентируемого в свидетельстве, устанавливают нижнюю tобл,мин и верхнюю tобл,макс границы интервала значений времени облучения (длительность выдержки объекта в каждой позиции облучения), которые рассчитывают по следующим формулам:

; (18)

, (19)
где tа - длительность нахождения продукции в рабочей зоне РТУ при проведении аттестации или время выдержки в каждой позиции;
Кр - поправка на распад радионуклидов источников.
Рассчитывают поправку на распад радионуклидов источников по формуле

, (20)
где T1/2 - период полураспада источников ионизирующего излучения, сут;
Ty - интервал времени, через который проводят корректировку длительности выдержки продукции tобл в рабочей РТУ в связи с распадом радионуклидов источников, сут (для установок с источниками ионизирующего излучения с радионуклидом 60Co - 30 сут, для установок с источниками ионизирующего излучения с радионуклидом 137Cs - 183 сут).
Для установленного режима работы РТУ определяют диапазон допустимых значений ПД в контрольной точке, который указывают в свидетельстве:

; (21)

; (22)

, (23)
где

- относительная погрешность измерения ПД в контрольной точке при приемочном дозиметрическом контроле процесса радиационной обработки пищевой продукции.
Нахождение показаний МСО в указанном диапазоне ПД является критерием нормальной радиационной обработки пищевой продукции.
11 Оформление результатов аттестации
11.1 Результаты аттестации оформляют протоколом, в котором указывают:
- наименование, тип и номер (при наличии) аттестуемой РТУ;
- наименование организации, представившей РТУ к аттестации;
- наименование источников ионизирующего излучения аттестуемой РТУ;
- наименование пищевых продуктов;
- предприятие - изготовитель пищевых продуктов;
- наименование документа(ов), в котором(ых) указаны нормы процесса радиационной обработки пищевых продуктов;
- наименование и тип МСО, используемых для аттестации;
- описание продукции, схемы укладки и обработки ионизирующим излучением пищевых продуктов;
- схемы расположения МСО в блоке облучаемой пищевой продукции;
- данные обработки результатов измерений;
- минимальную длительность и максимальную длительность нахождения объектов в рабочей зоне РТУ (интервал допускаемых значений длительности облучения конкретного вида продукции);
- дату проведения измерений.
При положительных результатах аттестации и на основании протокола организация, проводившая аттестацию, выдает свидетельство предприятию, представившему РТУ на аттестацию по ПД в пищевой продукции.
Форма свидетельства приведена в приложении А.
Срок действия свидетельства - 1 год.
Копию свидетельства хранят в организации, проводившей аттестацию РТУ по ПД в пищевых продуктах.
Срок хранения свидетельства - это дата обработки последней партии пищевой продукции, обработанной в соответствии с требованиями, изложенными в этом свидетельстве, плюс срок годности пищевой продукции и плюс 1 год.
Допускается выдавать одно свидетельство производителю, представившему пищевые продукты нескольких видов для аттестации РТУ, при условии, что установлен единый диапазон ПД для обработки пищевой продукции.
При отрицательных результатах аттестации составляют протокол измерений и предоставляют рекомендации по изменению условий облучения (способа укладки продукции, схем облучения, используемых средствах контроля параметров процесса).
(справочное)
Форма лицевой стороны свидетельства
__________________________________________________________________ наименование и реквизиты организации (предприятия), проводившей(его) аттестацию радиационно-технологической установки СВИДЕТЕЛЬСТВО об аттестации радиационно-технологической установки по поглощенной дозе в пищевых продуктах N ________________ Действительно до __ ____________ 20__ г. Радиационно-технологическая установка _______________________________ наименование укомплектованная источниками излучения ______________________________, 60Co или 137Cs принадлежащая ____________________________________________________ наименование предприятия, ИНН по результатам исследований (протокол от "__" ______________ 20__ г. N ____), признана пригодной для радиационной обработки пищевой продукции при соблюдении регламентированных условий радиационной обработки пищевых продуктов: _________________________________________________ наименование пищевых продуктов, в соответствии с ТУ и номер ТУ производства ______________________________________________________ наименование предприятия, ИНН Аттестация радиационно-технологической установки проведена по поглощенной дозе в продукции по РМГ 145 в соответствии с ГОСТ 8.664 и ГОСТ ISO 14470 с помощью МСО поглощенной дозы фотонного и электронного ионизирующего излучения "СО ПД ________", аттестованным в единицах поглощенной дозы в воде с погрешностью аттестации ________% ( P = 0,95). Дата "__" _______________ 20__ г. |
Руководитель организации (предприятия), проводившей(его) аттестацию | ______________________________ подпись ______________________________ фамилия, инициалы |
МП |
Ответственный исполнитель | _______________________________ подпись _______________________________ фамилия, инициалы |
Форма оборотной стороны свидетельства
Нормативные требования:
- значение минимальной поглощенной дозы Dмин __________ кГр
- значение максимальной поглощенной дозы Dмакс _________ кГр,
указаны в _________________________
наименование НД
Регламентируемые условия облучения
Количество упаковок продукции в ящике, масса брутто и габариты ящика приведены
таблице А.1.
Пищевая продукция | Наименование ГОСТ/ТУ |
Количество упаковок продукции в ящике, шт. | |
Масса брутто ящика, кг | |
Габариты ящика, мм | |
- укладка и упаковка продукции _____________________
- схема облучения _________________________________
- контрольная точка _______________________________
- интервал времени, после которого проводят коррекцию длительности облучения продукции (поправка на распад радионуклидов источников): Ty = _____________
- интервалы допускаемых значений длительности облучения пищевой продукции в каждой позиции на период действия свидетельства с интервалом
Ty при использовании рабочего средства измерений поглощенной дозы CO - с погрешностью +/- __________% приведены в
таблице А.2.
Таблица А.2 - Интервалы допускаемых значений длительности облучения пищевой продукции
tобл,мин и
tобл,макс
Дата | | | | | | | | | | | |
Наименование продукции | |
tобл,мин, с | | | | | | | | | | | |
tобл,макс, с | | | | | | | | | | | |
Метрологические характеристики РТУ приведены в
таблице А.3
Наименование продукции | Коэффициент пропорциональности Kмин | Коэффициент пропорциональности Kмакс | Интервал поглощенной дозы в контрольной точке, кГр | S (Dконтр), % | Интервал поглощенной дозы в блоке продукции, кГр |
| | | | | |
Обязательные условия
Протокол от "__" _____________ г. N _______ является неотъемлемой частью настоящего свидетельства. Свидетельство теряет силу при проведении дозарядки облучателя и перемещениях источников в облучателе установки, при изменении вида упаковки и способа укладки изделий, изменении схемы облучения продукции, а также при отсутствии на установке средств контроля по
ГОСТ 8.664.
Аттестацию проводил | ______________________ подпись _______________________ фамилия, инициалы |
| | О безопасности пищевой продукции |
| Единые санитарно-эпидемиологические и гигиенические требования к продукции (товарам), подлежащей санитарно-эпидемиологическому надзору (контролю) (Решение Комиссии Таможенного союза от 28 мая 2010 г. N 299) |
УДК 389.6:006.353:006.354 | |
Ключевые слова: аттестация, поглощенная доза, погрешность, радиационная обработка, пищевая продукция, радиационно-технологическая установка, источники ионизирующего излучения |