Главная // Актуальные документы // МетодикаСПРАВКА
Источник публикации
Ростов-на-Дону: Росгидромет, ФГБУ "ГХИ", 2019
Примечание к документу
Документ
введен в действие с 1 ноября 2019 года.
Название документа
"РД 52.24.537-2019. Руководящий документ. Массовая доля полициклических ароматических углеводородов в донных отложениях. Методика измерений методом высокоэффективной жидкостной хроматографии со спектрофлуориметрическим детектированием"
(введен в действие Приказом Росгидромета от 22.03.2019 N 128)
"РД 52.24.537-2019. Руководящий документ. Массовая доля полициклических ароматических углеводородов в донных отложениях. Методика измерений методом высокоэффективной жидкостной хроматографии со спектрофлуориметрическим детектированием"
(введен в действие Приказом Росгидромета от 22.03.2019 N 128)
Содержание
Приложение Б. Методика приготовления аттестованных растворов нафталина, аценафтена, флуорена, фенантрена, антрацена, флуорантена, пирена, бензо[a]антрацена, хризена, бензо[b]флуорантена, бензо[k]флуорантена, бензо[a]пирена, дибензо[a,h]антрацена, бензо[g,h,i]перилена, индено[1,2,3-cd]пирена для установления градуировочных характеристик приборов и контроля точности результатов измерений массовой доли ПАУ методом высокоэффективной жидкостной хроматографии
Руководителем Росгидромета
10 января 2019 года
Введен в действие
от 22 марта 2019 г. N 128
РУКОВОДЯЩИЙ ДОКУМЕНТ
МАССОВАЯ ДОЛЯ ПОЛИЦИКЛИЧЕСКИХ АРОМАТИЧЕСКИХ УГЛЕВОДОРОДОВ
В ДОННЫХ ОТЛОЖЕНИЯХ
МЕТОДИКА
ИЗМЕРЕНИЙ МЕТОДОМ ВЫСОКОЭФФЕКТИВНОЙ ЖИДКОСТНОЙ
ХРОМАТОГРАФИИ СО СПЕКТРОФЛУОРИМЕТРИЧЕСКИМ ДЕТЕКТИРОВАНИЕМ
РД 52.24.537-2019
| | ИС МЕГАНОРМ: примечание. В официальном тексте документа, видимо, допущена опечатка: дата введения в действие документа 1 ноября 2019 года, а не 1 октября 2019. | |
Дата введения
1 октября 2019 года
1 РАЗРАБОТАН Федеральным государственным бюджетным учреждением "Гидрохимический институт" (ФГБУ "ГХИ")
2 РАЗРАБОТЧИКИ Ю.А. Андреев, канд. хим. наук (руководитель разработки), В.Е. Котова (ответственный исполнитель)
3 СОГЛАСОВАН с Федеральным государственным бюджетным учреждением "Научно-производственное объединение "Тайфун" (ФГБУ "НПО "Тайфун") 17.12.2018 и Управлением мониторинга загрязнения окружающей среды, полярных и морских работ (УМЗА) Росгидромета 09.01.2019
4 УТВЕРЖДЕН Руководителем Росгидромета 10.01.2019
ВВЕДЕН В ДЕЙСТВИЕ
приказом Росгидромета от 22.03.2019 N 128
5 АТТЕСТОВАНА ФГБУ "ГХИ"
Свидетельство об аттестации методики измерений N 537.RA.RU.311345-2017 от 14.12.2017
6 ЗАРЕГИСТРИРОВАН ФГБУ "НПО "Тайфун" от 23.01.2019 за номером РД 52.24.537-2019
Порядковый номер регистрации в Федеральном информационном фонде по обеспечению единства измерений ФР.1.31.2019.33455
7 ВВЕДЕН ВПЕРВЫЕ
8 СРОК ПЕРВОЙ ПРОВЕРКИ 2029 год
ПЕРИОДИЧНОСТЬ ПРОВЕРКИ 10 лет
Полициклические ароматические углеводороды как компоненты нефтепродуктов являются объектом пристального внимания уже многие годы. Шестнадцать представителей этой группы: нафталин, аценафтилен, аценафтен, флуорен, фенантрен, антрацен, флуорантен, пирен, бензо[a]антрацен, хризен, бензо[b]флуорантен, бензо[k]флуорантен, бензо[a]пирен, дибензо[a,h]антрацен, бензо[g,h,i]перилен, индено[1,2,3-cd]пирен - включены в перечень особо опасных загрязняющих веществ, что объясняется мутагенными и канцерогенными свойствами.
Полициклические ароматические углеводороды распространены повсеместно, поскольку источниками их образования и поступления в объекты окружающей среды могут быть любые высокотемпературные процессы, возникающие как в природе (лесные пожары, вулканическая активность), так и посредством антропогенных факторов (выбросы отдельных видов промышленности, включая сжигание топлива, а также транспортные выхлопы). Основным фактором привнесения полициклических ароматических углеводородов остается эмиссия в окружающую среду за счет все нарастающих объемов добычи нефти и сопутствующее этому процессу загрязнение.
Содержание полициклических ароматических углеводородов в различных объектах окружающей среды нормируется и подлежит контролю. Для некоторых полициклических ароматических углеводородов установлены предельно допустимые концентрации (ПДК) для разных типов вод: 10 мкг/дм3 для нафталина и 5 нг/дм3 для бензо[a]пирена в питьевой воде; 10 мкг/дм3 для нафталина и 10 нг/дм3 для бензо[a]пирена в воде хозяйственно-питьевого и культурно-бытового водопользования и 4 мкг/дм3 для нафталина в воде рыбохозяйственного значения. Бензо[a]пирену во всех нормативах присвоен 1 класс опасности. В почве нормируется содержание бензо[a]пирена (0,02 мг/кг) и суммарное содержание нефтепродуктов (от 180 до 1000 мг/кг). В связи с изложенным методика должна обеспечивать определение как можно более низких значений содержания полициклических ароматических углеводородов.
Главная причина актуальности исследования донных отложений - аккумуляция взвешенными частицами большей части неорганических и органических, в том числе наиболее опасных и токсичных, загрязняющих веществ, седиментация и интенсивное накопление этих частиц на дне, где процессы биохимического окисления протекают гораздо медленнее, чем в водной среде. При определенных условиях (ветровое взмучивание, изменение значения pH, минерализации и др.) эти сорбированные вещества могут переходить в водную среду, вызывая ее вторичное загрязнение. Загрязненные донные отложения могут содержать токсичные вещества, которые накапливаются в бентосных организмах, влияют на видовое разнообразие бентофауны, нарушают пищевые цепи биоценоза. Таким образом, оценка загрязненности донных отложений является важной и неотъемлемой частью мониторинга водных объектов, а информация о содержании загрязняющих веществ в донных отложениях является наиболее показательной для определения природы и возможного источника загрязнения.
Методика предназначена для определения приоритетных полициклических ароматических углеводородов в донных отложениях поверхностных водных объектов.
1.1 Настоящий руководящий документ устанавливает методику измерений (далее - методика) массовой доли полициклических ароматических углеводородов (далее - ПАУ) в пробах донных отложений в диапазоне от 5 до 500 нг/г сухого остатка (далее - с.о.) для нафталина; от 1,0 до 100 нг/г с.о. для аценафтена, флуорена, фенантрена, пирена, бензо[a]антрацена, хризена, бензо[a]пирена, дибензо[a,h]антрацена и бензо[g,h,i]перилена; от 0,6 до 60 нг/г с.о. для антрацена и бензо[k]флуорантена; от 7,0 до 700 нг/г с.о. для флуорантена; от 3,0 до 300 нг/г с.о. для бензо[b]флуорантена; от 10,0 до 1000 нг/г с.о. для индено[1,2,3-cd]пирена методом высокоэффективной жидкостной хроматографии (далее - ВЭЖХ) со спектрофлуориметрическим детектированием.
1.2 Настоящий руководящий документ предназначен для использования в лабораториях, осуществляющих анализ донных отложений поверхностных водных объектов.
В настоящем руководящем документе использованы ссылки на следующие нормативные документы:
ГОСТ 12.1.005-88 Система стандартов безопасности труда. Общие санитарно-гигиенические требования к воздуху рабочей зоны
ГОСТ 12.1.007-76 Система стандартов безопасности труда. Вредные вещества. Классификация и общие требования безопасности
ГОСТ 17.1.5.01-80 Охрана природы. Гидросфера. Общие требования к отбору проб донных отложений водных объектов для анализа на загрязненность
ГОСТ 17.1.5.04-81 Охрана природы. Гидросфера. Приборы и устройства для отбора, первичной обработки и хранения проб природных вод. Общие технические условия
ГОСТ Р ИСО 5725-6-2002 Точность (правильность и прецизионность) методов и результатов измерений. Часть 6. Использование значений точности на практике
РД 52.24.505-2010 Массовая доля нефтяных компонентов в донных отложениях. Методика выполнения измерений с идентификацией их состава и происхождения ИК-фотометрическим, люминесцентным и газохроматографическим методами
РД 52.24.609-2013 Организация и проведение наблюдений за содержанием загрязняющих веществ в донных отложениях водных объектов
Примечания
1 Ссылки на остальные нормативные документы приведены в
разделах 4,
А.1 (приложение А),
Б.3 и
Б.4 (приложение Б).
2 При пользовании настоящим руководящим документом целесообразно проверять действие ссылочных нормативных документов:
- национальных стандартов - в информационной системе общего пользования - на официальном сайте национального органа Российской Федерации по стандартизации в сети Интернет или по ежегодно издаваемому информационному указателю "Национальные стандарты", который опубликован по состоянию на 1 января текущего года, и по соответствующим ежемесячно издаваемым информационным указателям, опубликованным в текущем году;
- нормативных документов Росгидромета по РД 52.18.5 и дополнений к нему - ежегодно издаваемым информационным указателям нормативных документов (ИУНД).
3 Если ссылочный нормативный документ заменен (изменен), то при пользовании настоящим руководящим документом следует руководствоваться замененным (измененным) нормативным документом. Если ссылочный нормативный документ отменен без замены, то положение, в котором дана ссылка на него, применяется в части, не затрагивающей эту ссылку.
3 Требования к показателям точности измерений
3.1 При соблюдении всех регламентируемых методикой условий проведения измерений характеристики погрешности результата измерения с вероятностью 0,95 не должны превышать значений, приведенных в таблице 1.
Таблица 1
Наименование измеряемого показателя, диапазон измерений,
показатели повторяемости, воспроизводимости, правильности
и точности при принятой вероятности P = 0,95
Наименование ПАУ | Диапазон измерений массовых долей ПАУ | Показатель повторяемости (среднеквадратическое отклонение повторяемости) | Показатель воспроизводимости (среднеквадратическое отклонение воспроизводимости) | Показатель правильности (границы систематической погрешности) | Показатель точности (границы абсолютной погрешности) |
X, нг/г с.о. |  , нг/г с.о. |  , нг/г с.о. |  , нг/г с.о. |  , нг/г с.о. |
Нафталин | От 5 до 500 включ. | 0,27·X | 0,30·X | 0,37·X | 0,80·X |
Аценафтен | От 1,0 до 100 включ. | 0,15·X | 0,16·X | 0,67·X | 0,80·X |
Флуорен | От 1,0 до 100 включ. | 0,17·X | 0,24·X | 0,35·X | 0,72·X |
Фенантрен | от 1,0 до 100 включ. | 0,15·X | 0,17·X | 0,18·X | 0,33·X |
Антрацен | От 0,6 до 60,0 включ. | 0,09·X | 0,09·X | 0,06·X | 0,18·X |
Флуорантен | От 7,0 до 700 включ. | 0,06·X | 0,08·X | 0,06·X | 0,16·X |
Пирен | От 1,0 до 100 включ. | 0,07·X | 0,10·X | 0,07·X | 0,21·X |
Бензо[a]антрацен | От 1,0 до 100 включ. | 0,05·X | 0,07·X | 0,24·X | 0,31·X |
Хризен | От 1,0 до 100 включ. | 0,15·X | 0,20·X | 0,19·X | 0,41·X |
Бензо[b]флуорантен | От 3,0 до 300 включ. | 0,06·X | 0,10·X | 0,16·X | 0,29·X |
Бензо[k]флуорантен | От 0,6 до 60 включ. | 0,06·X | 0,09·X | 0,06·X | 0,19·X |
Бензо[a]пирен | От 1,0 до 100 включ. | 0,055·X | 0,09·X | 0,13·X | 0,22·X |
Дибензо[a,h]антрацен | От 1,0 до 100 включ. | 0,05·X | 0,08·X | 0,05·X | 0,16·X |
Бензо[g,h,i]перилен | От 1,0 до 100 включ. | 0,15·X | 0,15·X | 0,11·X | 0,25·X |
Индено[1,2,3-cd]пирен | От 10,0 до 1000 включ. | 0,07·X | 0,08·X | 0,20·X | 0,25·X |
3.2 Значения показателя точности методики используют при:
- оформлении результатов измерений, выдаваемых лабораторией;
- оценке деятельности лабораторий на качество проведения измерений;
- оценке возможности использования результатов измерений при реализации методики в конкретной лаборатории.
По настоящему руководящему документу пределы обнаружения составляют:
- 0,1 нг/г с.о. для антрацена;
- 0,2 нг/г с.о. для бензо[a]антрацена, бензо[a]пирена, дибензо[a,h]антрацена;
- 0,3 нг/г с.о. для аценафтена, бензо[k]флуорантена, бензо[g,h,i]перилена;
- 0,4 нг/г с.о. для хризена;
- 0,5 нг/г с.о. для флуорена;
- 0,6 нг/г с.о. для пирена, бензо[b]флуорантена;
- 1 нг/г с.о. для фенантрена и индено[1,2,3-cd]пирена;
- 2 нг/г с.о. для флуорантена;
- 3 нг/г с.о. для нафталина.
4 Требования к средствам измерений, вспомогательным устройствам, реактивам, материалам
4.1 Средства измерений, вспомогательные устройства
4.1.1 Хроматограф жидкостный Agilent модели 1260 Infinity LC с флуориметрическим детектором (с пределом детектирования по антрацену в ацетонитриле не менее 1·10-12 г/см3) с колонкой (аналитической) ZORBAX Eclipse PAH (длиной 250 мм, диаметром 3,0 мм, размером зерна фазы 5 мкм) и предколонкой ZORBAX Eclipse PAH (длиной 12,5 мм, диаметром 4,6 мм, размером зерна фазы 5 мкм) или другого типа.
4.1.2 Государственный стандартный образец состава раствора бензо[a]пирена в ацетонитриле ГСО 10833-2016 (далее - ГСО) или аналогичный с относительной погрешностью аттестованного значения не более 2%.
Государственный стандартный образец состава раствора антрацена в ацетонитриле ГСО 8749-2006 или аналогичный с относительной погрешностью аттестованного значения не более 2%.
Набор стандартных образцов предприятия (далее - СОП) состава растворов в ацетонитриле: антрацена (СОП 0102-03) с относительной погрешностью аттестованного значения не более 5%, аценафтена (СОП 0103-03) с относительной погрешностью аттестованного значения не более 5%, бензо[a]антрацена (СОП 0105-03) с относительной погрешностью аттестованного значения не более 5%, бензо[a]пирена (СОП 0106-03) с относительной погрешностью аттестованного значения не более 5%, бензо[b]флуорантена (СОП 0115-03) с относительной погрешностью аттестованного значения не более 5%, бензо[k]флуорантена (СОП 0116-03) с относительной погрешностью аттестованного значения не более 5%, бензо[g,h,i]перилена (СОП 0117-03) с относительной погрешностью аттестованного значения не более 10%, дибензо[a,h]антрацена (СОП 0108-03) с относительной погрешностью аттестованного значения не более 10%, нафталина (СОП 0109-03) с относительной погрешностью аттестованного значения не более 5%, пирена (СОП 0110-03) с относительной погрешностью аттестованного значения не более 5%, фенантрена (СОП 0111-03) с относительной погрешностью аттестованного значения не более 5%, флуорантена (СОП 0112-03) с относительной погрешностью аттестованного значения не более 5%, флуорена (СОП 0113-03) с относительной погрешностью аттестованного значения не более 5%, хризена (СОП 0114-03) с относительной погрешностью аттестованного значения не более 5%.
4.1.5 Электропечь лабораторная SNOL 8,2/1100 или высокотемпературная (муфельная) печь любого типа, обеспечивающая температуру (600 +/- 10) °C.
4.1.6 Низкотемпературная лабораторная электропечь SNOL 67/350 или сушильный шкаф любого типа общелабораторного назначения, обеспечивающие температуру (105 +/- 2) °C и (160 +/- 5) °C.
4.1.7 Анализатор влажности ML-50 или любого типа с погрешностью при измерении влажности не более 0,5%.
4.1.8 Микрошприцы компании "Agilent", "Hamilton" вместимостью: 50 мм3 - 1 шт., 100 мм3 - 1 шт., 500 мм3 - 1 шт.
4.1.9 Колбы мерные 2-го класса точности исполнения 2 с притертым горлышком по
ГОСТ 1770-74 вместимостью: 10 см
3 - 8 шт., 25 см
3 - 1 шт., 50 см
3 - 3 шт., 100 см
3 - 18 шт.
4.1.10 Колбы конические типа Кн исполнения 1 по
ГОСТ 25336-82 вместимостью: 100 см
3 - 10 шт., 50 см
3 - 10 шт.
4.1.11 Пипетки градуированные 2-го класса точности исполнения 1, 2 по
ГОСТ 29227-91 вместимостью 1 см
3 - 8 шт.
4.1.12 Пипетки с одной отметкой 2-го класса точности исполнения 2 по
ГОСТ 29169-91 вместимостью 5 см
3 - 5 шт.
4.1.13 Цилиндры мерные 2-го класса точности исполнения 1, 3 по
ГОСТ 1770-74 вместимостью: 10 см
3 - 1 шт., 100 см
3 - 1 шт.
4.1.14 Цилиндры мерные 2-го класса точности исполнения 2 по
ГОСТ 1770-74 вместимостью 10 см
3 - 2 шт.
4.1.15 Установка для перегонки растворителей из стекла группы ТС (круглодонная колба типа К исполнения 1 с взаимозаменяемым конусом 29/32, вместимостью 1000 см
3, дефлегматор длиной 350 мм с взаимозаменяемыми конусами 19/26 и 29/32, насадка типа Н1 с взаимозаменяемыми конусами 19/26-14/23-14/23, холодильник типа ХПТ исполнения 1, длиной не менее 400 мм, аллонж типа АКП с взаимозаменяемым конусом муфты 14/23) по
ГОСТ 25336-82, термометр лабораторный ТЛ-50 с взаимозаменяемым конусом КШ 14/23 длиной нижней части термометра 60 мм и диапазоном измерения температур от 0 °C до 100 °C, цена деления шкалы - 0,5 °C по ТУ 25-2021.007-88.
4.1.16 Установка для перегонки дистиллированной воды из стекла группы ТС (плоскодонная колба типа П исполнения 1 с взаимозаменяемым конусом 29/32, вместимостью 1000 или 2000 см
3, насадка типа Н1 с взаимозаменяемыми конусами 29/32-14/23-14/23, холодильник типа ХПТ исполнения 1 длиной не менее 400 мм, аллонж типа АИ с взаимозаменяемым конусом муфты 14/23) по
ГОСТ 25336-82.
4.1.17 Стаканы типа Н исполнения 1 по
ГОСТ 25336-82 вместимостью: 25 см
3 - 4 шт., 100 см
3 - 2 шт., 250 см
3 - 5 шт.
4.1.18 Воронки лабораторные типа В по
ГОСТ 25336-82 диаметром 36 мм - 25 шт.
4.1.19 Воронки делительные типа ВД исполнения 3 по
ГОСТ 25336-82 вместимостью 250 см
3 - 5 шт.
4.1.20 Колонка хроматографическая (длиной 18 см, диаметром 0,4 см).
4.1.21 Пробирки градуированные исполнения 2 с взаимозаменяемым конусом 14/23 по
ГОСТ 1770-74 со стеклянными пробками вместимостью 5 см
3 - 30 шт. или виалы с завинчивающимися пробками, имеющими тефлоновые прокладки, вместимостью 2 см
3 - 20 шт.
4.1.23 Стакан типа ВН или колба типа П по
ГОСТ 19908-90 вместимостью 1000 см
3 (из прозрачного кварцевого стекла).
4.1.24 Пробирки типа П исполнения 1 по
ГОСТ 1770-74 вместимостью 10 см
3 - 10 шт.
4.1.25 Ложечки стеклянные или шпатели металлические - 25 шт.
4.1.26 Аппарат Сокслета: круглодонная колба типа К исполнения 1 с взаимозаменяемым конусом 29/32, вместимостью 1000 см
3, насадка для экстрагирования типа НЭТ вместимостью 250 см
3, холодильник типа ХШ исполнения 2, длиной кожуха 250 мм с взаимозаменяемым конусом керна 45/40 по
ГОСТ 25336-82.
4.1.27 Стаканчики для взвешивания (бюксы) по
ГОСТ 25336-82: типа СВ-14/8 - 15 шт., типа СВ-19/9 - 10 шт., типа СВ-34/12 - 2 шт.
4.1.28 Стаканчик для взвешивания (бюкс) типа СН-85/15 по
ГОСТ 25336-82.
4.1.29 Колбонагреватель любого типа.
4.1.30 Пипетки Пастера по ТУ 9464-001-52876351-2000 - 15 шт.
4.1.31 Шарики стеклянные диаметром 7 мм - 3 шт.
4.1.32 Эксикатор исполнения 2 диаметром корпуса 190 мм по
ГОСТ 25336-82.
4.1.33 Микрокомпрессор аквариумный любого типа.
4.1.34 Колонки для сушки газов (рисунок 1) - 3 шт.
Размеры даны в сантиметрах
Рисунок 1 - Колонка для сушки газов
4.1.36 Холодильник бытовой.
4.1.37 Посуда стеклянная (в том числе темного стекла) для отбора проб и хранения растворов вместимостью 0,05; 0,25; 0,5; 1,0 дм3.
4.1.38 Центрифуга настольная ОПн-3 с ротором-крестовиной по ТУ 5.375-4260-76 или аналогичного типа со скоростью вращения до 3000 об/мин.
4.1.39 УФ-облучатель кварцевый ОУФК-01 по ТУ 9444-006-25616222-2009 или другого типа.
4.1.40 Электроплитка с закрытой спиралью и регулируемой мощностью нагрева по
ГОСТ 14919-83.
4.1.41 Ультразвуковая ванна с рабочей частотой (35 +/- 3,5) кГц.
4.1.42 Аппарат для встряхивания LS 110 по ТУ 4389-007-44330709-2011 или аналогичного типа с орбитальным типом движения и скоростью вращения до 200 об/мин.
4.1.43 Система получения воды для лабораторного анализа степени чистоты 1 или 2 по
ГОСТ Р 52501-2005 с использованием ионообменных смол любого типа (фирмы Merck Millipore "Simplicity" или аналог).
4.1.44 Водоструйный насос по
ГОСТ 25336-82 или вакуумный насос любого типа.
Примечание - Допускается использование других типов средств измерений, посуды и вспомогательного оборудования, в том числе импортных, с характеристиками не хуже, чем у приведенных в
4.1.
4.2.1 Индивидуальные образцы ПАУ импортного производства с массовой долей основного вещества не менее 97% (при отсутствии ГСО и СОП): нафталин (Supelco кат. номер LB83148); аценафтилен (Supelco кат. номер LB83148); аценафтен (Supelco кат. номер LB92916); флуорен (Supelco кат. номер LB89630); фенантрен (Supelco кат. номер LB92396); антрацен (Supelco кат. номер LB96710); флуорантен (Supelco кат. номер LB99099); пирен (Supelco кат. номер LB70761); бензо[a]антрацен (Supelco кат. номер LB94795); хризен (Supelco кат. номер LB96893); бензо[b]флуорантен (Supelco кат. номер LB96148); бензо[k]флуорантен (Supelco кат. номер LC01463); бензо[a]пирен (Supelco кат. номер LC00512); индено[1,2,3-cd]пирен (Supelco кат. номер LC00516); дибензо[a,h]антрацен (Supelco кат. номер LB95683); бензо[d,h,i]перилен (Supelco кат. номер LB92103).
4.2.2 н-Гексан марки "Криохром" по ТУ 2631-001-54260861-2013, ос.ч. сорт 1 или н-гексан по ТУ 2631-003-05807999-98, х.ч.
4.2.3 Ацетон по ТУ 2633-039-44493179-00, ос.ч.
4.2.4 Метилен хлористый (метиленхлорид) по ТУ 6-09-2662-77, х.ч.
4.2.5 Изооктан импортного производства (Sigma-Aldrich кат. номер 360597) с массовой долей основного вещества не менее 99,0%.
4.2.6 Ацетонитрил марки "КРИОХРОМ" по ТУ 2634-002-54260861-2013, ос.ч. сорт 0.
4.2.9 Калий двухромовокислый (дихромат калия) по
ГОСТ 4220-75, ч.
4.2.10 Натрий сернокислый, безводный (натрия сульфат) по
ГОСТ 4166-76, ч.д.а.
4.2.11 Фильтры бумажные обеззоленные "синяя лента" диаметром 7 мм по ТУ 2642-001-05015242-07.
4.2.12 Силикагель импортного производства (Sigma-Aldrich кат. номер 236799).
4.2.16 Трубка Ф-4Д фторопластовая с внутренним диаметром от 4 до 5 мм.
4.2.17 Трубка из силиконовой резины с внутренним диаметром от 5 до 6 мм.
Примечание - Допускается использование реактивов, изготовленных по другой нормативно-технической документации, в том числе импортных, с квалификацией не ниже указанной в
4.2.
4.3 Дополнительное оборудование и реактивы для очистки гексана
4.3.1 Натрий углекислый кислый (гидрокарбонат натрия) по
ГОСТ 4201-79, ч.д.а.
4.3.2 Универсальная индикаторная бумага (pH от 0 до 12) по ТУ 2642-054-23050963-2008.
4.3.3 Воронка делительная типа ВД исполнения 3 по
ГОСТ 25336-82 вместимостью 1000 см
3.
4.3.4 Цилиндры мерные 2-го класса точности исполнения 1, 3 по
ГОСТ 1770-74 вместимостью: 50 см
3 - 3 шт., 100 см
3 - 1 шт., 1000 см
3 - 1 шт.
4.3.5 Стакан типа Н исполнения 1 по
ГОСТ 25336-82 вместимостью 100 см
3.
Определение основано на извлечении ПАУ из донных отложений смесью растворителей, экстракционной очистке водой, выделении фракции ПАУ с помощью колоночной хроматографии и их количественном определении методом ВЭЖХ со спектрофлуориметрическим детектором
[1].
Качественную идентификацию ПАУ осуществляют по временам удерживания при сравнении хроматограмм градуировочного образца и пробы.
Количественный расчет массовой доли ПАУ (с учетом массы пробы) в конечном экстракте проводят по площади хроматографических пиков соответствующих веществ на хроматограммах пробы донных отложений методом внешнего стандарта.
6 Требования безопасности, охраны окружающей среды
6.1 При выполнении измерений массовой доли ПАУ в пробах донных отложений соблюдают требования безопасности, установленные в национальных стандартах и соответствующих нормативных документах.
6.2 По степени воздействия на организм вредные вещества, используемые при выполнении измерений, относятся к 1, 2, 3, 4-му классам опасности по
ГОСТ 12.1.007.
6.3 Содержание используемых вредных веществ в воздухе рабочей зоны не должно превышать установленных предельно допустимых концентраций в соответствии с
ГОСТ 12.1.005.
6.4 Выполнение измерений следует проводить при наличии вытяжной вентиляции. Оператор, выполняющий измерения, должен быть проинструктирован о специфических мерах предосторожности при работе с ПАУ и их канцерогенных свойствах.
6.5 Оператор, выполняющий измерения на хроматографе, должен знать правила безопасности при работе с электрооборудованием.
6.6 Градуировочные растворы и экстракты ПАУ, а также сливы органических растворителей собирают в герметично закрывающуюся посуду и утилизируют согласно установленным правилам.
6.7 Дополнительных требований по экологической безопасности не предъявляется.
7 Требования к квалификации операторов
К выполнению измерений и обработке их результатов допускаются лица с высшим или средним профессиональным образованием, имеющие стаж работы в лаборатории не менее 2 лет, владеющие техникой хроматографического метода анализа и освоившие методику.
8 Требования к условиям измерений
При выполнении измерений в лаборатории соблюдают следующие условия;
- температура окружающего воздуха, °C ....................... 22 +/- 5;
- атмосферное давление, кПа (мм рт. ст.) ............ от 84,0 до 106,7
(от 630 до 800);
- влажность воздуха при температуре 25 °C, %, не более ............ 80;
- напряжение в сети, В .................................... 220 +/- 22;
- частота переменного тока в сети питания, Гц ............... 50 +/- 1.
9 Подготовка к выполнению измерений
9.1 Отбор и хранение проб
| | ИС МЕГАНОРМ: примечание. В официальном тексте документа, видимо, допущена опечатка: имеется в виду ГОСТ 31861, а не ГОСТ Р 31861. | |
Отбор проб для выполнения измерений массовой доли ПАУ производят в соответствии с
ГОСТ 17.1.5.01,
РД 52.24.609 и
ГОСТ 31861 с помощью дночерпателя или другого пробоотборного устройства в зависимости от задач исследования. Оборудование для отбора проб должно соответствовать
ГОСТ 17.1.5.01 и
ГОСТ Р 31861. Из пробоотборного устройства пробу донных отложений переносят в стеклянные банки или полипропиленовую посуду (с широким горлом), закрывают тефлоновой пленкой (или алюминиевой фольгой) и пластиковыми пробками. Применение пластиковой посуды из других материалов и резиновых пробок не допускается.
Пробы донных отложений хранят не более 10 сут при температуре не выше плюс 5 °C. Допускается хранение проб в морозильной камере, в том числе холодильника, не более 60 сут.
Экстракты из донных отложений хранят только в стеклянной посуде со стеклянными пробками (или с завинчивающейся пробкой, имеющей тефлоновую прокладку) в темноте при температуре не выше плюс 5 °C не более 7 сут.
Очищенные перераспределением через воду и сконцентрированные экстракты хранят в плотно закрытой стеклянной посуде (или в стеклянных виалах с завинчивающейся пробкой, имеющей тефлоновую прокладку) при температуре не выше плюс 5 °C не более 14 сут.
Экстракты, полученные после разделения методом колоночной хроматографии, хранят в плотно закрытых завинчивающейся пробкой, имеющей тефлоновую прокладку, стеклянных виалах при температуре не выше плюс 5 °C не более 7 сут.
9.2 Приготовление растворов и реактивов
9.2.1.1 Собирают установку по
4.1.15 и проводят очистку растворителя двукратной перегонкой.
При использовании гексана марки "Криохром" его дополнительную очистку не проводят. Допускается применять для работы гексан квалификации "х.ч.". В этом случае его очищают двукратной перегонкой, отбирая фракцию с температурой кипения от 68,5 °C до 69,0 °C. При перегонке отбрасывают первые порции растворителя объемом 50 см3.
Хранят в стеклянной посуде, плотно закрытой винтовой крышкой с тефлоновой пленкой или алюминиевой фольгой под пластиковым вкладышем, при комнатной температуре не более 6 мес.
9.2.1.2 Перед использованием дважды перегнанного гексана проверяют степень его очистки. Для этого 20 см
3 гексана концентрируют в ротационном испарителе при температуре водяной бани 40 °C до объема примерно 1 см
3. Затем упаренный гексан переносят в градуированную пробирку вместимостью 5 см
3. Концентрируют до едва заметных следов (не до сухого состояния!) гексана потоком воздуха (с помощью микрокомпрессора) в водяной бане при 45 °C. Далее проводят замену растворителя, добавляя в пробирку с упаренным гексаном 1 см
3 ацетонитрила.
Допускается концентрирование в градуированной пробирке вместимостью 5 см
3. Упаривают 20 см
3 гексана порциями до едва заметных следов в водяной бане при 45 °C, отдувая азотом или очищенным воздухом (см.
9.3). Проводят замену растворителя, добавляя в пробирку с упаренным гексаном 1 см
3 ацетонитрила. Далее вводят в хроматограф аликвоту полученного ацетонитрила. При отсутствии пиков, совпадающих по времени удерживания с определяемыми ПАУ, очищенный гексан может быть использован для анализа. В случае присутствия пиков, совпадающих по времени удерживания с определяемыми ПАУ, проводят повторную перегонку гексана.
9.2.1.3 Если при повторной проверке полученного гексана по-прежнему присутствуют мешающие определению пики, проводят очистку, процедура которой приведена в
приложении А.
9.2.2 Подготовка ацетона
9.2.2.1 Собирают установку по
4.1.15 и проводят очистку растворителя двукратной перегонкой.
Очистку ацетона выполняют двукратной перегонкой, отбирая фракцию с температурой кипения от 56,0 °C до 56,5 °C.
9.2.2.2 Степень очистки дважды перегнанного ацетона перед использованием проверяют, упаривая 25 см
3 по
9.2.1.2.
9.2.3 Подготовка метиленхлорида
9.2.3.1 Собирают установку по
4.1.15 и проводят очистку растворителя двукратной перегонкой.
Очистку метиленхлорида выполняют двукратной перегонкой, отбирая фракцию с температурой кипения от 40,0 °C до 40,5 °C.
9.2.3.2 Степень очистки дважды перегнанного метиленхлорида проверяют, упаривая 10 см
3 по
9.2.1.2, но при нагревании водяной бани до температуры 35 °C.
9.2.4 Получение воды для очистки экстрактов
Собирают установку по
4.1.16, не подсоединяя холодильник типа ХПТ. В плоскодонную колбу помещают 1000 см
3 дистиллированной воды, добавляют 0,5 г перманганата калия и 1 см
3 концентрированной серной кислоты. Колбу устанавливают на электроплитку, кипятят в течение 30 мин без холодильника, затем подсоединяют холодильник типа ХПТ и перегоняют воду, отбрасывая первые 50 см
3.
Очищенную воду используют для экстракции (см.
10.2.2) и хранят в плотно закрытой склянке с пластиковой пробкой и вкладышем из тефлоновой пленки в течение 3 сут.
Допустимо проводить обработку дистиллированной воды с использованием систем очистки воды (см.
4.1.43) в соответствии с инструкцией по их эксплуатации. Для этих целей УФ-облучение не обязательно.
9.2.5 Получение воды для подвижной фазы ВЭЖХ анализа
| | ИС МЕГАНОРМ: примечание. В официальном тексте документа, видимо, допущена опечатка: пункт 9.2.4.1 отсутствует. | |
Дистиллированную воду перегоняют аналогичным способом, описанным в 9.2.4.1, но без добавления перманганата калия и концентрированной серной кислоты. Полученную бидистиллированную воду объемом около 500 см
3 помещают в стакан или колбу из кварцевого стекла и проводят ее обработку с помощью УФ-облучателя в течение 30 мин, расположив стакан максимально близко к источнику излучения. Подготовленную таким образом бидистиллированную воду используют в составе элюента в качестве подвижной фазы для ВЭЖХ анализа (см.
9.7).
Допустимо проводить обработку дистиллированной воды с использованием систем очистки воды с УФ-облучением (см.
4.1.43) в соответствии с инструкцией по их эксплуатации.
Помещают 10 г силикагеля (см.
4.2.12) в свернутую цилиндром фильтровальную бумагу (в виде "стакана" с подвернутым у дна краем), промывают в аппарате Сокслета, добавив 250 см
3 метиленхлорида (см.
4.2.4), в течение не менее 6 ч со скоростью от 4 до 6 циклов в час. После охлаждения силикагель вынимают, помещают в два стакана типа Н вместимостью 100 см
3 слоем высотой не более 2 см и просушивают на воздухе. Далее выдерживают стаканы с силикагелем в сушильном шкафу при температуре (160 +/- 5) °C не менее 4 ч. Хранят в склянке с притертой пробкой в эксикаторе с хлоридом кальция не более 5 сут.
Перед применением силикагель слоем около 1 см насыпают в стакан типа Н вместимостью 50 см3, заливают гексаном таким образом, чтобы над силикагелем был слой гексана в 1 см, и обрабатывают в ультразвуковой ванне не менее 10 мин. Используют в течение рабочего дня. Оставшийся неизрасходованным силикагель подвергают повторной очистке в аппарате Сокслета.
9.2.7 Сульфат натрия безводный
Прокаливают сульфат натрия в фарфоровой чашке слоем не более 3 см в муфельной печи при температуре (600 +/- 10) °C не менее 6 ч. Прокаленный сульфат натрия хранят в склянке с притертой пробкой не более 3 мес.
Бумажные фильтры промывают в аппарате Сокслета с 250 см
3 метиленхлорида (см.
4.2.4) не менее 6 ч со скоростью от 4 до 6 циклов в час, высушивают в сушильном шкафу при 70 °C, хранят в бюксе (или склянке с широким горлом и притертой пробкой) не более 6 мес.
9.3 Подготовка фильтра для очистки воздуха
9.3.1 Перед хроматографическим разделением экстракты упаривают до необходимого объема с помощью отдувки очищенным воздухом, который получают пропусканием через предварительно подготовленные сорбенты - силикагель и активный уголь.
9.3.2 Силикагель (см.
4.2.12) прокаливают в сушильном шкафу при 160 °C не менее 4 ч и охлаждают в эксикаторе. Далее его засыпают в поглотительные склянки и собирают установку для упаривания экстрактов. В качестве фильтра силикагель используют не более 1 мес. Описанным способом также проводят регенерацию использованного силикагеля.
Прокаленный силикагель хранят в стеклянной посуде с притертой пробкой не более 2 мес.
9.3.3 Уголь активный (см.
4.2.13) прокаливают в сушильном шкафу при температуре 200 °C не менее 6 ч и охлаждают в эксикаторе. Далее его засыпают в поглотительные склянки и используют не более 6 мес. Аналогичным образом проводят регенерацию использованного активного угля.
Срок хранения прокаленного активного угля в плотно закрытой стеклянной посуде с притертой пробкой не ограничен.
9.3.4 Собирают установку, изображенную на рисунке 2.
1 - микрокомпрессор; 2 - водяная баня; 3 - градуированная
пробирка с экстрактом; 4 - пипетка Пастера; 5 - силиконовая
трубка; 6 - колонка для сушки газов, наполненная активным
углем; 7 - колонка для сушки газов, наполненная силикагелем
Рисунок 2 - Установка для очистки воздуха
В качестве фильтра для пропускания воздуха применяют колонки для сушки газов, заполненные силикагелем и активным углем. Используют 3 колонки. Входные отростки колонок заполняют медицинской ватой. Затем в две колонки поз. 7 засыпают силикагель, в одну поз. 6 - активный уголь. Колонки заполняют сорбентом таким образом, чтобы его уровень не доходил до выходного отростка примерно на 2 см. Оставшуюся незаполненной выходную часть колонки заполняют медицинской ватой. Колонки соединяют силиконовыми трубками поз. 5, прикрепляя трубку к выходному отростку первой колонки и входному отростку второй. Последовательно соединяют две колонки с силикагелем, затем с активным углем. После этого входной отросток первой колонки с силикагелем соединяют с аквариумным микрокомпрессором поз. 1. В трубку, присоединенную к выходному отростку третьей колонки с активным углем поз. 6, вставляют пипетку Пастера поз. 4. Выходящий из системы очищенный воздух используют для упаривания экстрактов. Градуированную пробирку с экстрактом поз. 3 помещают в водяную баню поз. 2, пипетку Пастера устанавливают над уровнем экстракта на расстоянии не менее 1 см.
9.4.1 Приготовление хромовой смеси
Для приготовления хромовой смеси в фарфоровый стакан вместимостью 1000 см3 помещают 60 г дихромата калия, 100 см3 дистиллированной воды. Смесь в стакане нагревают на электроплитке не доводя до кипения, затем снимают с электроплитки и осторожно приливают небольшими порциями, перемешивая, 1 дм3 концентрированной серной кислоты. Хромовую смесь хранят в плотно закрытой стеклянной посуде. Срок хранения не ограничен.
9.4.2 Обработка посуды
Промытую водопроводной водой посуду омывают небольшим количеством хромовой смеси, стараясь покрыть всю внутреннюю поверхность делительных воронок, стаканов, колб, виал, пробирок, пипеток. Краны и шлифы делительных воронок должны быть особо тщательно обработаны хромовой смесью. Если после обработки цвет хромовой смеси изменился на зеленый, посуду промывают водопроводной водой и обработку хромовой смесью повторяют до прекращения изменения ее цвета. После выдерживания обработанной посуды не менее 30 мин, ее многократно (не менее 5 раз) промывают водопроводной водой и не менее 3 раз ополаскивают очищенной водой (см.
9.2.4).
Перед использованием посуда для измерений должна выдерживаться в сушильном шкафу при температуре не менее 200 °C в течение 2 ч. Мерная посуда, колбы и виалы, используемые для приготовления и хранения градуировочных растворов ПАУ, а также экстрактов донных отложений, промывают ацетоном и гексаном, горячей водой, затем обрабатывают хромовой смесью. Перед непосредственным использованием делительные воронки тщательно ополаскивают очищенной водой (см.
9.2.4). Для холостого опыта целесообразно использовать индивидуальный набор посуды, который не применяют при анализе донных отложений. Чистую посуду хранят в закрытом виде.
9.5 Приготовление градуировочных растворов ПАУ
9.5.1 Градуировочные растворы ПАУ (кроме индено[1,2,3-cd]пирена) готовят из ГСО или СОП в соответствии с инструкцией по их применению для получения необходимых концентраций, используя в качестве растворителя ацетонитрил. При отсутствии ГСО и СОП допускается приготовление градуировочных растворов из аттестованных растворов, методика приготовления которых приведена в
приложении Б. Аттестованный раствор индено[1,2,3-cd]пирена готовят согласно
приложению Б. Растворы используют для приготовления градуировочных образцов, в качестве добавок в пробы донных отложений и при определении коэффициентов пересчета.
Так как чувствительность детектора к разным ПАУ неодинакова, рекомендуется готовить такие растворы смеси ПАУ, в которых соотношение их массовых концентраций будет аналогично приведенному в таблице 2.
Таблица 2
Приготовление основного раствора смеси ПАУ
Наименование ПАУ | Концентрация ПАУ в СОП, мкг/см3 | Отбираемый объем СОП, см3 | Концентрация основного раствора, мкг/см3 |
Нафталин | 200 | 0,5 | 10 |
Аценафтен | 200 | 0,1 | 2 |
Флуорен | 200 | 0,1 | 2 |
Фенантрен | 200 | 0,1 | 2 |
Антрацен | 200 | 0,05 | 1 |
Флуорантен | 200 | 0,75 | 15 |
Пирен | 200 | 0,1 | 2 |
Бензо[a]антрацен | 200 | 0,1 | 2 |
Хризен | 200 | 0,1 | 2 |
Бензо[b]флуорантен | 200 | 0,35 | 7 |
Бензо[k]флуорантен | 200 | 0,06 | 1,2 |
Бензо[a]пирен | 200 | 0,1 | 2 |
Дибензо[a,h]антрацен | 100 | 0,2 | 2 |
Бензо[g,h,i]перилен | 100 | 0,3 | 3 |
Индено[1,2,3-cd]пирен | 500 | 0,4 | 20 |
9.5.2 Для приготовления основного раствора ПАУ вскрывают ампулы стандартных образцов соответствующих растворов веществ и переносят их содержимое в градуированные пробирки или плотно закрывающиеся виалы. Отбирают необходимый объем каждого раствора с помощью градуированной пипетки (для отбора раствора флуорантена) и микрошприцев, переносят их в мерную колбу вместимостью 10 см3, куда предварительно добавлен 1 см3 ацетонитрила. Готовят смесь только тех веществ, которые будут определяться при анализе. После внесения всех растворов доводят объем до метки на колбе ацетонитрилом и тщательно перемешивают.
Концентрации ПАУ на примере использования СОП, отбираемые объемы для приготовления основного раствора, а также полученные массовые концентрации ПАУ представлены в
таблице 2. Если концентрации ПАУ в стандартных образцах не равны точно приведенным в
таблице 2 значениям, рассчитывают массовые концентрации в основном растворе в соответствии с концентрациями конкретных образцов.
Раствор хранят в плотно закрытой стеклянной посуде в морозильной камере не более 6 мес.
9.5.3 Градуировочные растворы N 1 и N 2 смеси ПАУ готовят в мерных колбах вместимостью 10 см3, отмеряя градуированными пипетками вместимостью 1 см3 соответственно 1,00 и 0,25 см3 основного раствора. Объемы смесей доводят ацетонитрилом до метки на колбе.
Растворы хранят в плотно закрытой стеклянной посуде в морозильной камере холодильника (с целью сведения к минимуму испарения растворителя) не более 3 мес.
9.5.4 Градуировочные растворы N 3 и N 4 смеси ПАУ готовят в мерных колбах вместимостью 10 см3, отмеряя градуированными пипетками по 1,00 см3 градуировочного раствора N 1 и градуировочного раствора N 2 соответственно. Объемы смесей доводят ацетонитрилом до метки на колбе.
Растворы хранят в плотно закрытой стеклянной посуде в морозильной камере холодильника (с целью сведения к минимуму испарения растворителя) не более 1 мес.
9.5.5 Градуировочные растворы N 5 и N 6 смеси ПАУ готовят в мерных колбах вместимостью 10 см3, отмеряя шприцами вместимостью 500 и 100 мм3 соответственно 0,5 и 0,1 см3 градуировочного раствора N 3. Объемы смесей доводят ацетонитрилом до метки на колбе.
| | ИС МЕГАНОРМ: примечание. Текст дан в соответствии с официальным текстом документа. | |
Растворы хранят в плотно закрытой стеклянной посуде в морозильной камере холодильника (с целью сведения к минимуму испарения растворения растворителя) не более 14 сут.
Приписываемое каждому ПАУ значение концентрации в смеси указано в таблице 3.
Таблица 3
Концентрации ПАУ в градуировочных растворах
Наименование ПАУ | Концентрации ПАУ, нг/см3, по номерам градуировочных растворов |
N 1 | N 2 | N 3 | N 4 | N 5 | N 6 |
Нафталин | 1000 | 250 | 100 | 25 | 5 | 1 |
Аценафтен | 200 | 50 | 20 | 5 | 1 | 0,2 |
Флуорен | 200 | 50 | 20 | 5 | 1 | 0,2 |
Фенантрен | 200 | 50 | 20 | 5 | 1 | 0,2 |
Антрацен | 100 | 25 | 10 | 2,5 | 0,5 | 0,1 |
Флуорантен | 1500 | 375 | 150 | 37,5 | 7,5 | 1,5 |
Пирен | 200 | 50 | 20 | 5 | 1 | 0,2 |
Бензо[a]антрацен | 200 | 50 | 20 | 5 | 1 | 0,2 |
Хризен | 200 | 50 | 20 | 5 | 1 | 0,2 |
Бензо[b]флуорантен | 700 | 175 | 70 | 17,5 | 3,5 | 0,7 |
Бензо[k]флуорантен | 120 | 30 | 12 | 3 | 0,6 | 0,12 |
Бензо[a]пирен | 200 | 50 | 20 | 5 | 1 | 0,2 |
Дибензо[a,h]антрацен | 200 | 50 | 20 | 5 | 1 | 0,2 |
Бензо[g,h,i]перилен | 300 | 75 | 30 | 7,5 | 1,5 | 0,3 |
Индено[1,2,3-cd]пирен | 2000 | 500 | 200 | 50 | 10 | 2 |
Погрешности приготовления градуировочных растворов не превышают 6% (при использовании стандартных образцов и аттестованных растворов веществ с относительной погрешностью аттестованного значения массовой концентрации ПАУ не более 5%).
9.6 Подготовка хроматографических колонок
ВЭЖХ колонки (аналитические) и предколонки (при наличии) готовят к работе и промывают в соответствии с рекомендациями производителя в прилагаемом паспорте.
9.7 Подготовка хроматографа
Подготовку хроматографа проводят в соответствии с инструкцией по его эксплуатации.
Для приготовления подвижной фазы используют воду, полученную по
9.2.5.
Устанавливают следующий режим работы хроматографа:
- объем вводимой микрошприцем аликвоты, мм3 ....................... 50;
- объем петли-дозатора, мм3 ....................................... 20;
- время анализа, мин .............................................. 25;
- температура термостата колонки, °C .............................. 30;
- скорость потока подвижной фазы, см3/мин ....................... 0,85;
- коэффициент фотоэлектронного умножителя (ФЭУ) ................... 10;
- режим градиентного элюирования (линейного изменения состава подвижной фазы) приведен в таблице 4.
Таблица 4
Режим градиентного элюирования
Время, мин | Объемная доля воды, % | Объемная доля ацетонитрила, % |
0 | 55 | 45 |
15,0 | 0 | 100 |
20,5 | 0 | 100 |
25,0 | 60 | 40 |
Примечание - Между вводами аликвот экстрактов проб при хроматографировании в указанных условиях допускается с целью экономии растворителей, входящих в состав подвижной фазы, снижать скорость потока подвижной фазы до 0,1 см3/мин и объемную долю ацетонитрила до 40%;
- режим спектрофлуориметрического детектирования (для получения максимального аналитического сигнала) приведен в таблице 5.
Таблица 5
Режим спектрофлуориметрического детектирования
и переключения длин волн возбуждения Ex и эмиссии Em
Время, мин | Ex, нм | Em, нм | Регистрируемое соединение |
0 | 270 | 340 | Нафталин |
7,5 | 280 | 330 | Аценафтен; флуорен |
9,5 | 250 | 363 | Фенантрен |
10,6 | 250 | 405 | Антрацен |
11,3 | 250 | 460 | Флуорантен |
12,2 | 265 | 380 | Пирен |
14,2 | 270 | 400 | Бензо[a]антрацен; хризен |
16,0 | 290 | 420 | Бензо[b]флуорантен Бензо[k]флуорантен |
17,8 | 270 | 415 | Бензо[a]пирен |
19,0 | 290 | 400 | Дибензо[a,h]антрацен |
20,5 | 290 | 420 | Бензо[g,h,i]перилен |
21,5 | 250 | 495 | Индено[1,2,3-cd]пирен |
Допускается использование других времен переключения, подобранных самостоятельно при анализе растворов индивидуальных ПАУ. Для этого проводят поочередно хроматографический анализ каждого раствора индивидуального ПАУ с использованием длин волн возбуждения и эмиссии из приведенных в
таблице 5. Затем подбирают режим регистрации таким образом, чтобы времена переключения длин волн возбуждения и эмиссии не совпадали с началом или окончанием элюирования конкретного ПАУ, включая восходящую и нисходящую ветвь хроматографических пиков. Корректировку или уточнение времен переключения длин волн проводят аналогичным образом.
Через 30 мин после задания режима работы хроматографа записывают хроматограмму растворителя. При отсутствии мешающих определению посторонних пиков вводят градуировочный раствор N 4 смеси ПАУ и проверяют эффективность хроматографического разделения пиков и стабильность градуировочной характеристики по
9.8. При искажении сигнала на хроматограмме (появлении скачков) необходимо корректировать времена переключения длин волн возбуждения и эмиссии для наилучшего разделения конкретной смеси ПАУ, применяя для этого растворы индивидуальных веществ и их смесь.
На рисунке 3 представлена хроматограмма градуировочного образца ПАУ, полученная при оптимальных режимах работы хроматографа.
1 - нафталин; 2 - аценафтен; 3 - флуорен; 4 - фенантрен;
5 - антрацен; 6 - флуорантен; 7 - пирен;
8 - бензо[a]антрацен; 9 - хризен; 10 - бензо[b]флуорантен;
11 - бензо[k]флуорантен; 12 - бензо[a]пирен;
13 - дибензо[a,h]антрацен; 14 - бензо[d,h,i]перилен;
15 - индено[1,2,3-cd]пирен
Рисунок 3 - Хроматограмма градуировочного раствора смеси
ПАУ при оптимальных условиях измерения методом ВЭЖХ
Примечание - При работе с жидкостными хроматографами следует учитывать большое влияние температуры окружающей среды на стабильность времен удерживания определяемых соединений. Следует проводить хроматографический анализ при постоянной температуре в помещении (и с применением термостатов колонок). Также необходимо избегать попадания на хроматограф прямых солнечных лучей.
9.8 Установление градуировочной зависимости
Для построения градуировочной зависимости используют растворы, приготовленные по
9.5. Каждый градуировочный образец анализируют не менее 2 раз. По хроматограммам после интегрирования и корректировки (при необходимости) измеряют аналитический сигнал (площадь пиков). Затем строят графики зависимости по средним арифметическим значениям аналитического сигнала (ось ординат) от массовой концентрации ПАУ в образце (ось абсцисс). Коэффициент линейной корреляции градуировочной характеристики для каждого определяемого ПАУ должен быть не менее 0,98.
Градуировку проводят не реже 1 раза в 6 мес, а также при смене хроматографической колонки или после ремонта оборудования.
9.9 Контроль стабильности градуировочной характеристики
Перед каждой серией измерений проводят проверку работоспособности хроматографической системы и контроль стабильности градуировочной характеристики не менее чем по двум градуировочным растворам (см.
таблицу 3). Градуировочную зависимость считают стабильной, если измеренное значение концентрации отличается от аттестованного значения не более чем на 20%, а время удерживания определяемых компонентов в градуировочном растворе отклоняется от установленного при градуировке не более чем на +/- 15 с.
Если условие стабильности градуировочной характеристики не выполняется для одного из градуировочных растворов, необходимо выполнить его повторное измерение с целью исключения результата измерений, содержащего грубую погрешность.
Если градуировочная характеристика по-прежнему нестабильна, строят новый градуировочный график с использованием свежеприготовленных растворов.
10 Порядок выполнения измерений
Холостое измерение проводят перед анализом проб донных отложений с целью проверки чистоты применяемых реактивов, воды и материалов.
Для выполнения холостого измерения берут конические колбы вместимостью 100 см
3, помещают в них тот же объем растворителя, который используется для обработки одной пробы донных отложений и проводят последовательно все стадии анализа по
10.2 и
10.3.
Для холостого измерения целесообразно применять дистиллированную воду, перегнанную с перманганатом калия и серной кислотой по
9.2.2.1 (или очищенную при помощи системы для очистки вод).
Если пики на хроматограмме холостого опыта совпадают по временам удерживания хотя бы с одним пиком какого-либо из определяемых ПАУ, то необходимо путем постадийного исследования установить, на какой стадии происходит загрязнение и устранить его (например, просушить сорбенты в фильтре для очистки воздуха по
9.3 или заменить воду по
9.2.4,
9.2.5). Если же загрязнен один из реактивов, следует по возможности провести его очистку (прокалить сульфат натрия или перегнать растворители по
9.2.1 -
9.2.3) или заменить реактивом из другой партии.
10.2 Выполнение измерений
10.2.1 Экстрагирование донных отложений
Донные отложения в транспортной таре тщательно перемешивают металлическим шпателем или стеклянной ложечкой, предварительно слив отстоявшуюся воду. На весах высокого класса точности взвешивают в коническую колбу вместимостью 100 см
3 от 2 до 3 г донных отложений. Одновременно отбирают отдельную пробу для измерения влажности по
10.2.4. При отборе навесок донных отложений следят, чтобы в состав проб не попали крупные камни, ракушки, остатки растений и другие инородные включения.
В колбу с навеской донных отложений мерным цилиндром вносят 10 см
3 ацетона, закрывают колбу притертой пробкой, устанавливают в аппарат для встряхивания и экстрагируют 10 мин. После отстаивания жидкую фазу фильтруют в коническую колбу с притертой пробкой вместимостью 50 см
3 через предварительно помещенный в воронку диаметром 36 мм и промытый ацетоном фильтр "синяя лента" по
9.2.8.
Затем выполняют еще две экстракции с использованием следующих растворителей: 5 см3 ацетона; 2,5 см3 гексана; 2,5 см3 метиленхлорида; а затем 5 см3 ацетона; 2 см3 гексана; 2 см3 метиленхлорида; 1 см3 изооктана. Полученные экстракты объединяют, фильтруя через ту же воронку, что и первый экстракт. Фильтр промывают 2 см3 ацетона из пипетки, присоединяя смыв к экстракту.
Полученный экстракт оставляют на хранение (в холодильнике не более 7 сут) или подвергают дальнейшей обработке.
10.2.2 Перераспределение ПАУ в гексан
Объединенный экстракт переносят из колбы в делительную воронку вместимостью 250 см
3, в которую с помощью мерного цилиндра предварительно помещено 100 см
3 дистиллированной воды, полученной по
9.2.4. Колбу и пробку, в которой находился экстракт, обмывают изнутри дважды ацетоном объемами по 3 см
3, промывные порции ацетона также переносят в делительную воронку. Закрывают делительную воронку пробкой, встряхивают и несколько раз выпускают избыточные пары растворителя, открывая кран или пробку. Экстрагирование осуществляют энергичным встряхиванием в течение 3 мин. После экстрагирования делительную воронку оставляют в штативе до полного расслоения смеси не менее чем на 15 мин.
Воду из делительной воронки переносят в стакан вместимостью 250 см
3, а органическую фазу (часто в виде эмульсии) - в центрифужную пробирку. Экстракт отделяют от воды центрифугированием при 2000 об/мин до полного разделения фаз (не менее 2 мин). В градуированную пробирку вместимостью 5 см
3 устанавливают воронку диаметром 38 мм с бумажным фильтром. В фильтр помещают слой безводного сульфата натрия высотой не менее 1 см. С помощью пипетки Пастера экстракт переносят в воронку. Пропущенный через фильтр (обезвоженный) экстракт в градуированной пробирке концентрируют до 1 см
3 упариванием струей азота или очищенного воздуха при одновременном нагревании до 40 °C на водяной бане по
9.3.4. Водную фазу возвращают в делительную воронку, добавляют 5 см
3 гексана и повторяют экстракцию. Водную фазу отбрасывают, а экстракт обрабатывают описанным выше способом и объединяют с первой его порцией, пропуская через ту же воронку с безводным сульфатом натрия. Слой сульфата натрия в воронке промывают 2 см
3 гексана, объединяя промывную порцию с экстрактом. Объединенный экстракт концентрируют до 1,0 см
3 упариванием струей азота или очищенного воздуха при одновременном нагревании не более 40 °C на водяной бане по
9.3.4. Полученный экстракт подвергают дальнейшей обработке по
10.2.3.
Допустимо хранение экстракта в плотно закрытой стеклянной пробкой пробирке (или виале) в холодильнике не более 14 сут.
10.2.3 Выделение фракции ПАУ методом колоночной хроматографии
Хроматографическую колонку устанавливают в штатив и промывают сначала ацетоном, затем гексаном. Кран закрывают и колонку заполняют гексаном. Вносят в колонку взвесь силикагеля в гексане по
9.2.6. Кран открывают и из колонки удаляют избыток растворителя по мере добавления суспензии силикагеля в гексане, осторожно постукивая для его уплотнения. Недопустимо образование пустот и разрывов в слое силикагеля. Высота слоя должна составлять (18 +/- 1) см.
С помощью пипетки Пастера в колонку количественно переносят полученный по
10.2.2 гексановый экстракт в объеме 1,0 см
3. После прохождения через силикагель экстракта, колонку промывают 3 см
3 гексана, весь элюат собирают в градуированную пробирку вместимостью 5 см
3, начиная с момента добавления экстракта в колонку - фракция 1. Затем элюирование продолжают смесью гексана и метиленхлорида в соотношении 1:1 по объему, пропуская через колонку 3,5 см
3 смеси. Первые 0,5 см
3 присоединяют к фракции 1, которая содержит алифатические углеводороды. Данная фракция может быть использована для идентификации состава и происхождения нефтяных компонентов по
РД 52.24.505-2010.
Следующие 3 см
3 элюата образуют фракцию 2, которая содержит ПАУ. Фракцию 2 упаривают потоком очищенного воздуха при одновременном нагревании на водяной бане не более 35 °C до следовых количеств растворителя (не до сухого состояния!), производят замену растворителя, добавляя 1 см
3 ацетонитрила, и переносят в виалу для дальнейшего хроматографирования по
10.3. При необходимости фракция 2 может храниться в плотно закрытой виале не более 7 сут в холодильнике.
10.2.4 Определение влажности донных отложений
Для расчета массовой доли ПАУ на 1 г сухих донных отложений необходимо проводить определение влажности проб.
Для этого одновременно с отбором навески пробы по
10.2.1 на весах высокого класса точности в доведенный до постоянной массы стаканчик для взвешивания отбирают навеску той же пробы донных отложений от 1 до 2 г. Стаканчик с навеской выдерживают в сушильном шкафу при температуре (105 +/- 2) °C не менее 2 ч, после чего охлаждают до комнатной температуры и взвешивают.
Процедуру высушивания повторяют в течение 1 ч и, если разница между последними взвешиваниями не превышает +/- 0,001 г, то далее рассчитывают влажность донных отложений по
формуле (1). Если же разница превышает +/- 0,001 г, то процедуру высушивания повторяют до достижения допустимой разницы.
Доведение до постоянной массы стаканчиков для взвешивания проводят аналогично описанной процедуре высушивания.
Примечание - Допускается для измерения влажности использовать анализатор влажности.
10.2.5 Определение степеней извлечения ПАУ
Значения степеней извлечения определяемых веществ в той или иной мере зависят от применяемого оборудования и тщательности работ при концентрировании экстрактов, а также от состава и типа донных отложений (глинистые, песчаные и пр.). Поэтому степени извлечения необходимо определять в каждой лаборатории для различных типов донных отложений и оборудования для концентрирования экстрактов.
Для определения степеней извлечения в две конические колбы с притертыми пробками вместимостью 100 см
3 на весах высокого класса точности отбирают навески донных отложений данного типа по (2,000 +/- 0,005) г. Колбы с навесками донных отложений встряхивают таким образом, чтобы донные отложения распределились по дну колб по возможности ровным слоем. В одну из колб далее вносят пипеткой по каплям добавку аттестованного раствора смеси ПАУ: АР3-ПАУ или АР4-ПАУ (см.
приложение Б) в ацетонитриле объемом 1,0 см
3 по возможно большей площади дна колбы. Колбу с добавкой аттестованного раствора встряхивают в течение 1 мин, затем обе колбы закрывают пробками и оставляют в холодильнике на 1 сут.
Через 1 сут колбы достают из холодильника, оставляют на 2 ч при комнатной температуре и затем проводят определение содержания ПАУ в обеих пробах донных отложений по
10.2.1 -
10.2.3,
10.3. Расчет степени извлечения ПАУ проводят по
11.2. Анализ проб с добавками и без добавок повторяют по 4 раза. С донными отложениями иного типа анализ проводят вновь.
Определение влажности донных отложений при определении степеней извлечения не проводят.
10.3 Хроматографирование экстрактов
В подготовленный по
9.7 и
9.9 хроматограф вводят 50 мм
3 подготовленного по
10.2.3 экстракта, содержащего ПАУ. Хроматографирование аликвоты экстракта повторяют два раза. Если разница между значениями массовых концентраций ПАУ, полученных по хроматограммам, не превышает 20%, то за результат принимают среднее арифметическое значение. В ином случае хроматографирование повторяют до достижения допустимой разницы.
Идентификацию ПАУ осуществляют сравнением времени удерживания стандарта на хроматограмме градуировочного образца ПАУ и анализируемой пробы. ПАУ считается идентифицированным, если время удерживания определяемого компонента в анализируемой пробе отклоняется от установленного при градуировке не более чем на +/- 15 с.
При хроматографировании экстрактов проб донных отложений необходимо, чтобы массовые концентрации, найденные по хроматограммам, находились в пределах диапазона градуировочных зависимостей.
11 Обработка результатов измерений
11.1 Расчет влажности донных отложений
Влажность пробы донных отложений

рассчитывают по формуле

(1)
где m1 - масса бюкса с пробой донных отложений естественной влажности, г;
m2 - масса бюкса с высушенной пробой донных отложений, г;
m3 - масса пустого бюкса, г.
11.2 Вычисление степеней извлечения
Степень извлечения b каждого ПАУ вычисляют по формуле

(2)
где qд - значение массовой концентрации добавки данного ПАУ в пробу донных отложений, нг/см3;
q' - результат измерения массовой концентрации данного ПАУ в пробе донных отложений с добавкой (среднее арифметическое значение из четырех определений), нг/см3;
q - результат измерения массовой концентрации данного ПАУ в пробе донных отложений без добавки (среднее арифметическое значение из четырех определений), нг/см3.
Ориентировочные значения степеней извлечения, полученные при метрологической аттестации настоящей методики, приведены в таблице 6.
Таблица 6
Степени извлечения ПАУ
Наименование ПАУ | Степень извлечения | Наименование ПАУ | Степень извлечения |
Нафталин | 0,31 | Хризен | 0,71 |
Аценафтен | 0,46 | Бензо[b]флуорантен | 0,80 |
Флуорен | 0,54 | Бензо[k]флуорантен | 0,84 |
Фенантрен | 0,83 | Бензо[a]пирен | 0,77 |
Антрацен | 0,54 | Дибензо[a,h]антрацен | 0,84 |
Флуорантен | 0,71 | Бензо[g,h,i]перилен | 0,81 |
Пирен | 0,74 | Индено[1,2,3-cd]пирен | 0,86 |
Бензо[a]антрацен | 0,74 | |
11.3 Расчет массовой доли ПАУ
Массовую долю каждого ПАУ в пробе донных отложений X, нг/г с.о., рассчитывают по формуле

(3)
где
Cхр - массовая концентрация ПАУ в экстракте, полученная после хроматографирования по
10.3, нг/см
3;
Vэ - объем экстракта, полученного после подготовки пробы, см3;
mвл - масса пробы донных отложений, отобранная по
10.2.1, г.
12 Оформление результатов измерений
12.1 Результат измерения в документах, предусматривающих его использование, представляют в виде

, нг/г с.о. (
P = 0,95), (4)
где

- границы абсолютной погрешности результатов измерений для данной массовой доли ПАУ (см.
таблицу 1), нг/г с.о.
Абсолютные погрешности результатов измерений представляют числом, содержащим не более двух значащих цифр. Наименьшие разряды числовых значений результатов измерений принимают такими же, как и наименьшие разряды числовых значений абсолютных погрешностей результатов измерений.
12.2 Допустимо представлять результат в виде

(
P = 0,95) при условии

, (5)
где

- границы абсолютной погрешности результатов измерений, установленные при реализации методики в лаборатории и обеспечиваемые контролем стабильности результатов измерений, нг/г с.о.
Примечание - Допустимо характеристику погрешности результатов измерений при внедрении методики в лаборатории устанавливать на основе выражения

с последующим уточнением по мере накопления информации в процессе контроля стабильности результатов измерений.
12.3 Результаты измерений оформляют протоколом или записью в журнале по формам, приведенным в Руководстве по качеству лаборатории.
13 Контроль качества результатов измерений при реализации методики в лаборатории
13.1.1 Оперативный контроль качества результатов измерений при реализации методики в лаборатории предусматривает:
- оперативный контроль исполнителем процедуры выполнения измерений (на основе оценки погрешности при реализации отдельно взятой контрольной процедуры);
- контроль стабильности результатов измерений (на основе контроля стабильности погрешности).
13.1.2 Периодичность оперативного контроля исполнителем процедуры выполнения измерений, а также реализуемые процедуры контроля стабильности результатов регламентируются в Руководстве по качеству лаборатории.
13.2 Алгоритм оперативного контроля повторяемости
13.2.1 Оперативный контроль повторяемости осуществляют для каждого из результатов измерений, полученных в соответствии с методикой. Для этого отобранную пробу донных отложений делят на две части и выполняют измерение в соответствии с
10.2 и
10.3.
13.2.2 Результат контрольной процедуры rк, нг/г с.о., рассчитывают по формуле
rк = |X1 - X2|, (6)
где X1, X2 - результаты измерений массовой доли ПАУ в пробе, нг/г с.о.
13.2.3 Предел повторяемости rn, нг/г с.о., рассчитывают по формуле

(7)
где

- показатель повторяемости для массовой доли, равной (
X1 +
X2)/2, нг/г с.о. (см.
таблицу 1).
13.2.4 Результат контрольной процедуры должен удовлетворять условию
rк <= rn. (8)
13.2.5 При несоблюдении условия (8) выполняют еще два измерения и сравнивают разницу между максимальным и минимальным результатами с нормативом контроля. В случае превышения предела повторяемости поступают в соответствии с ГОСТ Р ИСО 5725-6
(раздел 5).
13.3 Алгоритм оперативного контроля процедуры выполнения измерений с использованием метода добавок
13.3.1 Контроль исполнителем процедуры выполнения измерений проводят путем сравнения результатов отдельно взятой контрольной процедуры Кк с нормативом контроля К.
13.3.2 Результат контрольной процедуры Кк, нг/г с.о., рассчитывают по формуле
Кк = |X' - X - Cд|, (9)
где X' - результат контрольного измерения массовой доли ПАУ в пробе с известной добавкой, нг/г с.о.;
Cд - массовая доля добавки данного ПАУ к пробе донных отложений, нг/г с.о.
13.3.3 Норматив контроля погрешности К, нг/г с.о., рассчитывают по формуле

(10)
где

,

- значения абсолютной погрешности результатов измерений, установленные при реализации методики в лаборатории, соответствующие массовой доле ПАУ в пробе с добавкой (рабочей пробе), нг/г с.о.
Примечание - Допустимо для расчета норматива контроля использовать значения абсолютной погрешности, полученные расчетным путем по формулам

и

, где

,

- приписанные методике значения абсолютной погрешности, соответствующие массовым долям определяемого ПАУ в пробе с добавкой и рабочей пробе, соответственно, нг/г с.о.
13.3.4 Если результат контрольной процедуры удовлетворяет условию
процедуру признают удовлетворительной.
13.3.5 При невыполнении
условия (11) контрольную процедуру повторяют. При повторном невыполнении
условия (11) выясняют причины, приводящие к неудовлетворительным результатам, и принимают меры по их устранению.
14 Проверка приемлемости результатов, полученных в условиях воспроизводимости
14.1 Расхождение между результатами измерений, полученными в двух лабораториях, не должно превышать предела воспроизводимости R. При выполнении этого условия приемлемы оба результата измерений, и в качестве окончательного может быть использовано их общее среднее арифметическое значение. Значение предела воспроизводимости рассчитывают по формуле

(12)
где

- показатель воспроизводимости, нг/г с.о. (см.
таблицу 1).
14.2 При превышении предела воспроизводимости могут быть использованы методы проверки приемлемости результатов измерений согласно ГОСТ Р ИСО 5725-6
(раздел 5) или
МИ 2881.
14.3 Проверка приемлемости проводится при необходимости сравнения результатов измерений, полученных двумя лабораториями.
(рекомендуемое)
А.1 Дополнительное оборудование и реактивы для очистки гексана
А.1.1 Гексан по ТУ 2631-003-05807999-98, х.ч.
А.1.4 Натрий углекислый кислый (гидрокарбонат натрия) по
ГОСТ 4201-79, ч.д.а.
А.1.5 Натрий сернокислый, безводный (натрия сульфат) по
ГОСТ 4166-76, ч.д.а.
А.1.6 Универсальная индикаторная бумага (pH от 0 до 12) по ТУ 2642-054-23050963-2008.
А.1.7 Установка для перегонки растворителей из стекла группы ТС (круглодонная колба типа К исполнения 1 с взаимозаменяемым конусом 29/32, вместимостью 1000 см
3, дефлегматор длиной 350 мм с взаимозаменяемыми конусами 19/26 и 29/32, насадка типа Н1 с взаимозаменяемыми конусами 19/26-14/23-14/23, холодильник типа ХПТ исполнения 1, длиной не менее 400 мм, аллонж типа АКП с взаимозаменяемым конусом муфты 14/23) по
ГОСТ 25336-82, термометр лабораторный ТЛ-50 с взаимозаменяемым конусом КШ 14/23 длиной нижней части термометра 60 мм и диапазоном измерения температур от 0 °C до 100 °C, цена деления шкалы - 0,5 °C по ТУ 25-2021.007-88.
А.1.8 Электроплитка с закрытой спиралью и регулируемой мощностью нагрева по
ГОСТ 14919-83 или колбонагреватель любого типа.
А.1.9 Стаканчик для взвешивания (бюкс) типа СВ-19/9 по
ГОСТ 25336-82.
А.1.10 Воронка делительная типа ВД исполнения 3 по
ГОСТ 25336-82 вместимостью 1000 см
3.
А.1.11 Цилиндры мерные 2-го класса точности исполнения 1, 3 по
ГОСТ 1770-74 вместимостью: 50 см
3 - 3 шт., 100 см
3 - 1 шт., 1000 см
3 - 1 шт.
А.1.12 Стакан типа Н исполнения 1 по
ГОСТ 25336-82 вместимостью 100 см
3 - 1 шт., 1000 см
3 - 1 шт.
А.1.13 Ложечка стеклянная.
А.2 Раствор гидрокарбоната натрия, 5%-ный
Растворяют 5 г гидрокарбоната натрия в 95 см3 дистиллированной воды. Раствор хранят не более 6 мес в плотно закрытой стеклянной посуде.
А.3 Очистка гексана
В делительную воронку вместимостью 1000 см3 помещают от 700 до 800 см3 гексана из слива и промывают его 50 см3 дистиллированной воды в течение 3 мин. После расслоения водную фазу отбрасывают и, добавив 25 см3 концентрированной серной кислоты, встряхивают 2 мин. Если слой кислоты заметно потемнел, то обработку кислотой повторяют. После отстаивания кислоту отбрасывают, органическую фазу промывают 50 см3 дистиллированной воды, затем 50 см3 5%-ного раствора гидрокарбоната натрия и вновь дистиллированной водой.
| | ИС МЕГАНОРМ: примечание. В официальном тексте документа, видимо, допущена опечатка: пункт 9.2.1.4 отсутствует. | |
Переносят гексан в стакан вместимостью 1000 см3 и добавляют безводный сульфат натрия при перемешивании для осушки растворителя. Собирают установку для перегонки из стекла и перегоняют гексан, отбирая фракцию с температурой кипения от 68,5 °C до 69,0 °C. Очищенный гексан проверяют, как и каждую новую партию растворителя, по 9.2.1.4.
(рекомендуемое)
ПРИГОТОВЛЕНИЯ АТТЕСТОВАННЫХ РАСТВОРОВ НАФТАЛИНА,
АЦЕНАФТЕНА, ФЛУОРЕНА, ФЕНАНТРЕНА, АНТРАЦЕНА, ФЛУОРАНТЕНА,
ПИРЕНА, БЕНЗО[a]АНТРАЦЕНА, ХРИЗЕНА, БЕНЗО[b]ФЛУОРАНТЕНА,
БЕНЗО[k]ФЛУОРАНТЕНА, БЕНЗО[a]ПИРЕНА, ДИБЕНЗО[a,h]АНТРАЦЕНА,
БЕНЗО[g,h,i]ПЕРИЛЕНА, ИНДЕНО[1,2,3-cd]ПИРЕНА
ДЛЯ УСТАНОВЛЕНИЯ ГРАДУИРОВОЧНЫХ ХАРАКТЕРИСТИК
ПРИБОРОВ И КОНТРОЛЯ ТОЧНОСТИ РЕЗУЛЬТАТОВ
ИЗМЕРЕНИЙ МАССОВОЙ ДОЛИ ПАУ МЕТОДОМ
ВЫСОКОЭФФЕКТИВНОЙ ЖИДКОСТНОЙ ХРОМАТОГРАФИИ
Б.1 Назначение и область применения
Настоящая методика регламентирует процедуру приготовления аттестованных растворов ПАУ, предназначенных для установления градуировочных характеристик приборов и контроля точности результатов измерений массовой доли ПАУ в пробах донных отложений методом ВЭЖХ со спектрофлуориметрическим детектированием.
Б.2 Метрологические характеристики аттестованной смеси ПАУ
Метрологические характеристики аттестованной смеси ПАУ (АС-ПАУ) при условии приготовления из реактивов с массовой долей основного вещества не менее 97,5% приведены в таблице Б.1.
Таблица Б.1
Метрологические характеристики аттестованной смеси
при принятой вероятности P = 0,95
Наименование ПАУ | Аттестованное значение массовой концентрации ПАУ в смеси, мкг/см3 | Границы абсолютной погрешности аттестованного значения массовой концентрации ПАУ в смеси, мкг/см3 |
Нафталин | 5,00 | +/- 0,17 |
Аценафтен | 1,000 | +/- 0,034 |
Флуорен | 1,000 | +/- 0,034 |
Фенантрен | 1,000 | +/- 0,034 |
Антрацен | 0,600 | +/- 0,022 |
Флуорантен | 7,00 | +/- 0,25 |
Пирен | 1,000 | +/- 0,034 |
Бензо[a]антрацен | 1,000 | +/- 0,034 |
Хризен | 1,000 | +/- 0,034 |
Бензо[b]флуорантен | 3,40 | +/- 0,12 |
Бензо[k]флуорантен | 0,600 | +/- 0,022 |
Бензо[a]пирен | 1,000 | +/- 0,034 |
Дибензо[a,h]антрацен | 1,000 | +/- 0,034 |
Бензо[g,h,i]перилен | 1,600 | +/- 0,072 |
Индено[1,2,3-cd]пирен | 10,00 | +/- 0,34 |
Б.3 Средства измерений, вспомогательные устройства
Б.3.2 Колбы мерные 2-го класса точности исполнения 2 по
ГОСТ 1770-74 вместимостью: 10 см
3 - 1 шт., 25 см
3 - 1 шт., 50 см
3 - 3 шт., 100 см
3 - 18 шт.
Б.3.3 Пипетки градуированные 2-го класса точности исполнения 1, 2 по
ГОСТ 29227-91 вместимостью 1 см
3 - 3 шт.
Б.3.4 Пипетки с одной отметкой 2-го класса точности исполнения 2 по
ГОСТ 29169-91 вместимостью 5 см
3 - 5 шт.
Б.3.5 Стаканчик для взвешивания (бюкс) СВ-14/8 по
ГОСТ 25336-82 - 15 шт.
Б.3.6 Воронки лабораторные типа В по
ГОСТ 25336-82 диаметром 36 мм - 15 шт.
Б.3.7 Ложечки стеклянные или шпатели металлические - 15 шт.
Б.4 Исходные компоненты аттестованных растворов
Б.4.1 Индивидуальные ПАУ гарантированной степени чистоты с известным содержанием основного вещества не менее 97%: нафталин (Supelco кат. номер LB83148); аценафтилен (Supelco кат. номер LB83148); аценафтен (Supelco кат. номер LB92916); флуорен (Supelco кат. номер LB89630); фенантрен (Supelco кат. номер LB92396); антрацен (Supelco кат. номер LB96710); флуорантен (Supelco кат. номер LB99099); пирен (Supelco кат. номер LB70761); бензо[a]антрацен (Supelco кат. номер LB94795); хризен (Supelco кат. номер LB96893); бензо[b]флуорантен (Supelco кат. номер LB96148); бензо[k]флуорантен (Supelco кат. номер LC01463); бензо[a]пирен (Supelco кат. номер LC00512); индено[1,2,3-cd]пирен (Supelco кат. номер LC00516); дибензо[a,h]антрацен (Supelco кат. номер LB95683); бензо[g,h,i]перилен (Supelco кат. номер LB92103).
Б.4.2 Ацетон по ТУ 2633-039-44493179-00, ос.ч.
Б.4.3 Ацетонитрил марки "КРИОХРОМ" по ТУ 2634-002-54260861-2013, ос.ч. сорт 0.
Б.5 Процедура приготовления аттестованных растворов ПАУ
Б.5.1 Приготовление аттестованных растворов ПАУ
Перед проведением операций по приготовлению растворов ПАУ весовым методом необходимо препараты ПАУ и растворитель (ацетон и ацетонитрил) выдержать в течение 2 ч в рабочем помещении. Процедура приготовления аттестованных растворов одинакова для всех ПАУ.
Для приготовления аттестованного раствора индивидуального ПАУ взвешивают в бюксе с точностью до четвертого знака после запятой 0,0500 г каждого ПАУ, количественно переносят навеску в мерную колбу вместимостью 100 см3, растворяют в небольшом количестве ацетона и доводят объем до метки на колбе после растворения вещества.
Полученному раствору приписывают концентрацию 500 мкг/см3.
Б.5.2 Приготовление аттестованной смеси ПАУ
Для приготовления АС-ПАУ с различной массовой концентрацией каждого соединения рассчитывают объем аттестованного раствора индивидуального ПАУ, необходимый для приготовления 50 см3 смеси по формуле

(Б.1)
где V - объем аттестованного раствора индивидуального ПАУ, см3;
Cj - массовая концентрация индивидуального ПАУ в аттестованной смеси АС-ПАУ, мкг/см3;
Ci - массовая концентрация индивидуального ПАУ в аттестованном растворе ПАУ, мкг/см3.
Для приготовления аттестованной смеси ПАУ отбирают в мерную колбу вместимостью 50 см3 аликвоты аттестованных растворов индивидуальных веществ ПАУ: 0,5 см3 раствора нафталина, 0,34 см3 раствора бензо[b]флуорантена, 0,16 см3 раствора бензо[g,h,i]перилена шприцем вместимостью 500 мм3; по 0,1 см3 растворов аценафтена, флуорена, фенантрена, пирена, бензо[a]антрацена, хризена бензо[a]пирена, дибензо[a,h]антрацена, по 0,06 см3 растворов антрацена, бензо[k]флуорантена шприцем вместимостью 100 мм3; 0,7 см3 раствора флуорантена, 1 см3 раствора индено[1,2,3-cd]пирена градуированной пипеткой вместимостью 1,0 см3. Объем раствора доводят до метки на колбе ацетонитрилом и тщательно перемешивают. Переносят раствор в плотно закрывающуюся склянку.
Полученной смеси АС-ПАУ приписывают массовые концентрации ПАУ, приведенные в
таблице Б.1.
Б.6 Расчет метрологических характеристик аттестованных растворов
Б.6.1 Расчет метрологических характеристик аттестованного раствора ПАУ
Аттестованное значение массовой концентрации ПАУ C1, мкг/см3, рассчитывают по формуле

(Б.2)
где m - масса навески каждого ПАУ, г;
V1 - вместимость мерной колбы, см3.
Расчет предела возможных значений погрешности установления массовой концентрации ПАУ в аттестованном растворе индивидуального вещества,

, мкг/см
3, выполняют по формуле

(Б.3)
где

- предельное значение возможного отклонения массовой доли основного вещества в реактиве от приписанного значения

, %;

- массовая доля основного вещества ПАУ, приписанная реактиву, %;

- предельная возможная погрешность взвешивания, г;

- предельное значение возможного отклонения вместимости мерной колбы от номинального значения, см
3.
Погрешность установления массовой концентрации ПАУ в аттестованном растворе индивидуального вещества при массовой доле основного вещества ПАУ 97,5% равна:
Б.6.2 Расчет метрологических характеристик аттестованной смеси АС-ПАУ
Аттестованное значение массовой концентрации ПАУ C2, мкг/см3, рассчитывают по формуле

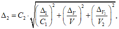
(Б.4)
где V2 - вместимость мерной колбы, см3.
Расчет предела возможных значений погрешности установления массовой концентрации ПАУ в аттестованной смеси АС-ПАУ

, мкг/см
3, выполняют по формуле

(Б.5)
где

- предельное значение возможного отклонения объема
V от номинального значения, см
3;

- предельное значение возможного отклонения вместимости мерной колбы от номинального значения, см
3.
Погрешность установления массовой концентрации нафталина в аттестованной смеси АС-ПАУ при массовой доле основного вещества 97,5% равна
Погрешность установления массовой концентрации аценафтена, флуорена, фенантрена, пирена, бензо[a]антрацена, хризена, бензо[a]пирена, дибензо[a,h]антрацена в аттестованной смеси АС-ПАУ при массовой доле основного вещества 97,5% равна
Погрешность установления массовой концентрации антрацена, бензо[k]флуорантена в аттестованной смеси АС-ПАУ при массовой доле основного вещества 97,5% равна
Погрешность установления массовой концентрации флуорантена в аттестованной смеси АС-ПАУ при массовой доле основного вещества 97,5% равна
Погрешность установления массовой концентрации бензо[b]флуорантена в аттестованной смеси АС-ПАУ при массовой доле основного вещества 97,5% равна
Погрешность установления массовой концентрации бензо[g,h,i]перилена в аттестованной смеси АС-ПАУ при массовой доле основного вещества 97,5% равна
Погрешность установления массовой концентрации индено[1,2,3-cd]пирена в аттестованной смеси АС-ПАУ при массовой доле основного вещества 97,5% равна
Б.7 Условия хранения
Аттестованные растворы индивидуальных ПАУ следует хранить в плотно закрытой склянке в морозильной камере не более 6 мес.
Аттестованную смесь АС-ПАУ следует хранить в плотно закрытой склянке в морозильной камере не более 6 мес.
Аттестованный раствор АР1-ПАУ следует хранить в плотно закрытой склянке в морозильной камере не более 3 мес.
Аттестованный раствор АР2-ПАУ следует хранить в плотно закрытой склянке в морозильной камере не более 3 мес.
Аттестованный раствор АР3-ПАУ следует хранить в плотно закрытой склянке в морозильной камере не более 2 мес.
Аттестованный раствор АР4-ПАУ следует хранить в плотно закрытой склянке в морозильной камере не более 1 мес.
Аттестованный раствор АР5-ПАУ следует хранить в плотно закрытой склянке в морозильной камере не более 15 сут.
Аттестованный раствор АР6-ПАУ следует хранить в плотно закрытой склянке в морозильной камере не более 7 сут.
[1] Патент 2646402 Российская Федерация, МПК G01N 1/28 (2017.08); G01N 30/94 (2017.08). Способ подготовки проб для определения алифатических и полициклических ароматических углеводородов в донных отложениях/Котова В.Е., Андреев Ю.А.; заявитель и патентообладатель ФГБУ "ГХИ". - N 2017106715; заявл. 28.02.2017; опубл. 05.03.2018, Бюл. N 7. - 15 с.: ил.