Главная // Актуальные документы // МетодикаСПРАВКА
Источник публикации
Ростов-на-Дону: Росгидромет, ФГБУ "ГХИ", 2019
Примечание к документу
Документ
введен в действие с 1 ноября 2019 года.
Название документа
"РД 52.24.536-2019. Руководящий документ. Массовая концентрация железа, кадмия, кобальта, марганца, меди, никеля, свинца, хрома и цинка во взвешенных веществах вод. Методика измерений атомно-абсорбционным методом с использованием микроволновой обработки проб"
(введен в действие Приказом Росгидромета от 25.06.2019 N 295)
"РД 52.24.536-2019. Руководящий документ. Массовая концентрация железа, кадмия, кобальта, марганца, меди, никеля, свинца, хрома и цинка во взвешенных веществах вод. Методика измерений атомно-абсорбционным методом с использованием микроволновой обработки проб"
(введен в действие Приказом Росгидромета от 25.06.2019 N 295)
Утвержден
Руководителем Росгидромета
28 марта 2019 года
Введен в действие
от 25 июня 2019 г. N 295
РУКОВОДЯЩИЙ ДОКУМЕНТ
МАССОВАЯ КОНЦЕНТРАЦИЯ ЖЕЛЕЗА, КАДМИЯ, КОБАЛЬТА,
МАРГАНЦА, МЕДИ, НИКЕЛЯ, СВИНЦА, ХРОМА И ЦИНКА
ВО ВЗВЕШЕННЫХ ВЕЩЕСТВАХ ВОД
МЕТОДИКА
ИЗМЕРЕНИЙ АТОМНО-АБСОРБЦИОННЫМ МЕТОДОМ С ИСПОЛЬЗОВАНИЕМ
МИКРОВОЛНОВОЙ ОБРАБОТКИ ПРОБ
РД 52.24.536-2019
Дата введения
1 ноября 2019 года
1 РАЗРАБОТАН Федеральным государственным бюджетным учреждением "Гидрохимический институт" (ФГБУ "ГХИ")
2 РАЗРАБОТЧИКИ Ю.А. Андреев, канд. хим. наук (руководитель разработки), Г.В. Князева, канд. хим. наук (ответственный исполнитель), В.О. Евтухова
3 СОГЛАСОВАН с Федеральным государственным бюджетным учреждением "Научно-производственное объединение "Тайфун" (ФГБУ "НПО "Тайфун") 04.02.2019 и Управлением мониторинга загрязнения окружающей среды, полярных и морских работ (УМЗА) Росгидромета 28.03.2019
4 УТВЕРЖДЕН Руководителем Росгидромета 28.03.2019
ВВЕДЕН В ДЕЙСТВИЕ
приказом Росгидромета от 25.06.2019 N 295
5 АТТЕСТОВАНА ФГБУ "ГХИ"
Свидетельство об аттестации методики измерений N 536.RA.RU.311345-2017 от 24.12.2017
6 ЗАРЕГИСТРИРОВАН ФГБУ "НПО "Тайфун" от 12.04.2019 за номером РД 52.24.536-2019
7 ВВЕДЕН ВПЕРВЫЕ
8 СРОК ПЕРВОЙ ПРОВЕРКИ 2029 год
ПЕРИОДИЧНОСТЬ ПРОВЕРКИ 10 лет
Взвешенные вещества природных поверхностных вод - это твердые частицы минерального и органического происхождения, превосходят по размеру коллоидные частицы и поэтому остаются на фильтре с диаметром пор 0,45 мкм при фильтровании проб воды. Взвешенные вещества перемещаются в водной толще, оседают на дно и поднимаются водоворотами из донных отложений, состоят из частиц песка, глины, ила, остатков зоо- и фитопланктона и микроорганизмов. По сравнению с донными отложениями взвешенные вещества обогащены тяжелыми металлами, что обусловлено, в первую очередь, их тонкодисперсным составом и высокими сорбционными свойствами.
Присутствие соединений тяжелых металлов (железа, кадмия, кобальта, марганца, меди, никеля, свинца, хрома и цинка) во взвешенных веществах водных объектов обусловлено причинами природного и антропогенного характера, от космической пыли и размыва почвы или горных пород до атмосферных выбросов и сточных вод промышленных предприятий.
Во взвешенных веществах основная часть соединений металлов находится в виде малорастворимых оксидов, гидроксидов и карбонатов железа Fe (III), кадмия Cd (II), меди Cu (II), кобальта Co (II), хрома Cr (III), марганца Mn (II), никеля Ni (II), свинца Pb (II) и цинка Zn (II), их сульфидов (за исключением Cr (III)) и комплексных соединений с органическими веществами вод, а также в составе зоопланктона, фитопланктона, бактерий и детрита. Марганец является наиболее подвижным элементом, так как его карбонаты легко растворяются даже при незначительных изменениях в равновесии вода-взвешенное вещество, а труднорастворимый диоксид марганца MnO2 является наиболее устойчивой и доминирующей формой марганца. Органические соединения металлов, кроме соединений Co (III), Ni (II) и Cu (II) характеризуются невысокой устойчивостью. Взвешенные вещества, для которых характерно преобладание сорбированных форм металлов (до 40% от валового содержания железа, кобальта, марганца, меди и цинка), вносят наибольший вклад в миграцию тяжелых металлов в поверхностных водах. Миграционная способность взвешенных форм соединений металлов определяется, главным образом, геохимическим составом взвешенного материала.
Содержание тяжелых металлов зависит также от количества взвешенных веществ в воде. Среднее значение массовой концентрации взвешенного вещества в поверхностных водах находится в пределах от одного до нескольких десятков миллиграммов в кубическом дециметре, более высокие значения могут быть в случае, если отбор проб проводился при сильном ветре и течениях, вызывавших взмучивание донных отложений. Для сезонных колебаний содержания взвешенных частиц в водах характерно их увеличение до 2 раз во время весеннего снеготаяния.
Во взвешенных веществах малозагрязненных поверхностных вод суши массовая концентрация кадмия, кобальта, меди, никеля, свинца, хрома и цинка в большинстве случаев находится в пределах от долей до единиц, редко десятков микрограммов в кубическом дециметре. Для железа и марганца характерны концентрации от нескольких десятков до нескольких сотен микрограммов в кубическом дециметре. Более высокие концентрации металлов можно обнаружить в районах залегания соответствующих руд и местах сброса сточных вод промышленных предприятий. Особенно резкое увеличение (от 3 до 5 раз) массовой концентрации железа, марганца и цинка происходит весной в районах ведения открытых горно-технических работ за счет поступления взвешенных веществ с водосбора в составе талых вод.
Повышенное содержание взвешенных частиц в воде и соответственно, тяжелых металлов, оказывает угнетающее действие на ряд функций в организме рыб и представляет непосредственную опасность для других гидробионтов и человека.
Применительно к аналитическому определению соединений металлов в водах принято считать их растворенными формами те, которые проходят через мембранный фильтр с диаметром пор 0,45 мкм, взвешенными - остающиеся на упомянутом фильтре. Валовое содержание металлов - это сумма растворенных и взвешенных форм.
Для водных объектов хозяйственно-питьевого и культурно-бытового водопользования государственными нормативными документами установлены значения предельно допустимых концентраций (ПДК) металлов для растворенных форм кобальта, марганца, никеля, свинца, цинка и валового содержания соединений железа, кадмия, меди, хрома. В водах водных объектов рыбохозяйственного значения нормируется массовая концентрация растворенных форм металлов кроме соединений марганца и хрома.
Не менее важно знать содержание взвешенных форм металлов в водах водного объекта.
1.1 Настоящий руководящий документ устанавливает методику измерений (далее - методика) массовой концентрации железа, кадмия, кобальта, марганца, меди, никеля, свинца, хрома и цинка во взвешенных веществах водного объекта в диапазонах, приведенных в таблице 1.
Таблица 1
Диапазоны измерений массовой концентрации металлов
во взвешенных веществах, установленные
для данной методики
Наименование металла | Диапазоны измерений массовой концентрации металлов, мкг/дм3 |
Электротермическая атомизация | Пламенная атомизация |
Железо | - | От 65 до 1000 включ. |
Кадмий | От 1 до 240 включ. | От 8 до 250 включ. |
Кобальт | От 2 до 330 включ. | От 30 до 300 включ. |
Марганец | От 3 до 1200 включ. | От 190 до 1000 включ. |
Медь | От 5 до 550 включ. | От 20 до 650 включ. |
Никель | От 10 до 300 включ. | От 15 до 300 включ. |
Свинец | От 2 до 250 включ. | От 15 до 250 включ. |
Хром | От 1 до 230 включ. | От 15 до 240 включ. |
Цинк | От 3 до 300 включ. | От 15 до 300 включ. |
1.2 Настоящий руководящий документ предназначен для использования в лабораториях, осуществляющих анализ природных и очищенных сточных вод.
В настоящем руководящем документе использованы ссылки на следующие нормативные документы:
ГОСТ 12.1.005-88 Система стандартов безопасности труда. Общие санитарно-гигиенические требования к воздуху рабочей зоны
ГОСТ 12.1.007-76 Система стандартов безопасности труда. Вредные вещества. Классификация и общие требования безопасности
ГОСТ 17.1.5.04-81 Охрана природы. Гидросфера. Приборы и устройства для отбора, первичной обработки и хранения проб природных вод. Общие технические условия
ГОСТ Р ИСО 5725-6-2002 Точность (правильность и прецизионность) методов и результатов измерений. Часть 6. Использование значений точности на практике
МИ 2881-2004 Государственная система обеспечения единства измерений. Методики количественного химического анализа. Процедуры проверки приемлемости результатов анализа.
Примечания
1 Ссылки на остальные нормативные документы приведены в
разделе 4.
2 При пользовании настоящим руководящим документом целесообразно проверять действие национальных стандартов в информационной системе общего пользования на официальном сайте национального органа Российской Федерации по стандартизации в сети Интернет или по ежегодно издаваемому информационному указателю "Национальные стандарты", который опубликован по состоянию на 1 января текущего года, и по соответствующим ежемесячно издаваемым информационным указателям, опубликованным в текущем году.
3 Если ссылочный нормативный документ заменен (изменен), то при пользовании настоящим руководящим документом следует руководствоваться замененным (измененным) нормативным документом. Если ссылочный нормативный документ отменен без замены, то положение, в котором дана ссылка на него, применяется в части, не затрагивающей эту ссылку.
3 Требования к показателям точности измерений
3.1 При соблюдении всех регламентируемых методикой условий проведения измерений характеристики погрешности результата измерения с вероятностью 0,95 не должны превышать значений, приведенных в таблицах 2 и
3.
Таблица 2
Диапазоны измерений, показатели повторяемости,
воспроизводимости и точности при принятой вероятности
P = 0,95 для выполнения измерений способом
пламенной атомизации
Наименование металла | Диапазон измерений массовой концентрации металла | Показатель повторяемости (среднеквадратическое отклонение повторяемости) | Показатель воспроизводимости (среднеквадратическое отклонение воспроизводимости) | Показатель точности (границы абсолютной погрешности) |
| X, мкг/дм3 |  , мкг/дм 3 |  , мкг/дм 3 |  , мкг/дм 3 |
Железо | От 65 до 1000 включ. | 0,12·X | 0,18·X | 0,36·X |
Кадмий | От 8 до 250 включ. | 0,05·X | 0,11·X | 0,22·X |
Кобальт | От 30 до 300 включ. | 0,19·X | 0,24·X | 0,48·X |
Марганец | От 190 до 1000 включ. | 0,05·X | 0,14·X | 0,28·X |
Медь | От 20 до 650 включ. | 0,18·X | 0,24·X | 0,47·X |
Никель | От 15 до 300 включ. | 0,15·X | 0,28·X | 0,55·X |
Свинец | От 15 до 250 включ. | 0,06·X | 0,10·X | 0,19·X |
Хром | От 15 до 240 включ. | 0,22·X | 0,22·X | 0,43·X |
Цинк | От 15 до 300 включ. | 0,10·X | 0,19·X | 0,37·X |
Таблица 3
Диапазоны измерений, показатели повторяемости,
воспроизводимости и точности при принятой вероятности
P = 0,95 для выполнения измерений способом
электротермической атомизации
Наименование металла | Диапазон измерений массовой концентрации металла | Показатель повторяемости (среднеквадратическое отклонение повторяемости) | Показатель воспроизводимости (среднеквадратическое отклонение воспроизводимости) | Показатель точности (границы абсолютной погрешности) |
| X, мкг/дм3 |  , мкг/дм 3 |  , мкг/дм 3 |  , мкг/дм 3 |
Кадмий | От 1 до 240 включ. | 0,16·X | 0,31·X | 0,62·X |
Кобальт | От 2 до 330 включ. | 0,11·X | 0,19·X | 0,37·X |
Марганец | От 3 до 1200 включ. | 0,08·X | 0,13·X | 0,25·X |
Медь | От 5 до 550 включ. | 0,12·X | 0,26·X | 0,51·X |
Никель | От 10 до 300 включ. | 0,16·X | 0,21·X | 0,41·X |
Свинец | От 2 до 250 включ. | 0,15·X | 0,22·X | 0,43·X |
Хром | От 1 до 230 включ. | 0,26·X | 0,26·X | 0,51·X |
Цинк | От 3 до 300 включ. | 0,21·X | 0,30·X | 0,61·X |
Пределы обнаружения металлов во взвешенных веществах водных объектов по настоящему руководящему документу следующие:
- при выполнении измерений способом пламенной атомизации для железа и меди 20 мкг/дм3, кобальта и цинка 5 мкг/дм3, марганца 4 мкг/дм3, кадмия, никеля, свинца и хрома 2 мкг/дм3;
- при выполнении измерений способом электротермической атомизации - для кадмия, кобальта, никеля, свинца, хрома и цинка 1 мкг/дм3, марганца 3 мкг/дм3 и меди 4 мкг/дм3.
3.2 Значения показателя точности методики используют при:
- оформлении результатов измерений, выдаваемых лабораторией;
- оценке деятельности лабораторий на качество проведения измерений;
- оценке возможности использования результатов измерений при реализации методики в конкретной лаборатории.
4 Требования к средствам измерений, вспомогательным устройствам, реактивам, материалам
4.1 Средства измерений, вспомогательные устройства
4.1.1 Атомно-абсорбционный спектрофотометр (далее - спектрофотометр) любого типа с пламенным и/или электротермическим атомизатором (АА-7000, АА-6200, Agilent-240, Analyst, Квант-2, Квант-Z.ЭТА, МГА-915, Спектр-5, Solaar S2, Savant и др.), снабженный корректором неселективного поглощения фона, графитовыми кюветами из высокоплотного графита и графитовыми кюветами с пиролитическим покрытием, спектральными лампами с полым катодом для определения железа, кадмия, кобальта, марганца, меди, никеля, свинца, хрома и цинка.
4.1.2 Государственный стандартный образец состава раствора ионов железа (III) ГСО 7766-2000 (далее - ГСО) или аналогичный с относительной погрешностью аттестованного значения не более 1%.
4.1.3 Государственный стандартный образец состава раствора ионов кадмия (II) ГСО 7874-2000 или аналогичный с относительной погрешностью аттестованного значения не более 1%.
4.1.4 Государственный стандартный образец состава раствора ионов кобальта (II) ГСО 7880-2001 или аналогичный с относительной погрешностью аттестованного значения не более 1%.
4.1.5 Государственный стандартный образец состава раствора ионов марганца (II) ГСО 7875-2000 или аналогичный с относительной погрешностью аттестованного значения не более 1%.
4.1.6 Государственный стандартный образец состава раствора ионов меди (II) ГСО 7764-2000 или аналогичный с относительной погрешностью аттестованного значения не более 1%.
4.1.7 Государственный стандартный образец состава раствора ионов никеля (II) ГСО 7785-2000 или аналогичный с относительной погрешностью аттестованного значения не более 1%.
4.1.8 Государственный стандартный образец состава раствора ионов свинца (II) ГСО 7877-2000 или аналогичный с относительной погрешностью аттестованного значения не более 1%.
4.1.9 Государственный стандартный образец состава раствора ионов хрома (VI) ГСО 7834-2000 или аналогичный с относительной погрешностью аттестованного значения не более 1%.
4.1.10 Государственный стандартный образец состава раствора ионов цинка (II) ГСО 7770-2000 или аналогичный с относительной погрешностью аттестованного значения не более 1%.
4.1.11 Колбы мерные 2-го класса точности исполнения 2 или 2а по
ГОСТ 1770-74 вместимостью: 10 см
3 - 4 шт., 25 см
3 - 4 шт., 50 см
3 - 10 шт., 100 см
3 - 15 шт., 500 см
3 - 1 шт., 1000 см
3 - 6 шт.
4.1.12 Колбы мерные пластиковые PP, PLASTI BRAND, NS 10/19 или аналогичные любого типа вместимостью: 50 см3 - 4 шт., 100 см3 - 4 шт.
4.1.13 Пипетки градуированные 2-го класса точности типа 1 или 3 исполнения 1 или 2 по
ГОСТ 29227-91 вместимостью: 0,5 см
3 - 1 шт., 1 см
3 - 10 шт., 2 см
3 - 5 шт., 5 см
3 - 5 шт., 10 см
3 - 5 шт.
4.1.14 Пипетки с одной отметкой 2-го класса точности исполнения 1 или 2 по
ГОСТ 29169-91 вместимостью: 1 см
3 - 4 шт., 2 см
3 - 4 шт., 5 см
3 - 7 шт., 10 см
3 - 9 шт., 20 см
3 - 1 шт.
4.1.15 Цилиндры мерные 2-го класса точности исполнения 1 или 3 по
ГОСТ 1770-74 вместимостью: 10 см
3 - 3 шт., 250 см
3 - 2 шт., 500 см
3 - 1 шт., 1000 см
3 - 1 шт.
4.1.16 Пробирки градуированные цилиндрические с завинчивающимися крышками, пластиковые или аналогичные любого типа вместимостью 5 см3 - 9 шт.
4.1.17 Стаканы В-1, ТХС по
ГОСТ 25336-82 вместимостью: 400 см
3 - 2 шт., 600 см
3 - 2 шт.
4.1.18 Воронки В-36-80 ХС по
ГОСТ 25336-82 или лабораторные пластиковые диаметром 25 мм - 4 шт.
4.1.20 Флаконы пластиковые с завинчивающимися крышками с уплотнительными силиконовыми прокладками вместимостью 1 или 2 дм3 для отбора и хранения проб воды.
4.1.21 Пакеты пластиковые с застежкой "Zip-lock" или аналогичные любого типа, размером 6 x 8 или 7 x 10 см для хранения фильтров с осадками взвешенных веществ.
4.1.22 Оправа шприцевого фильтра пластиковая многоразовая Swinnex-25 (Millipore), диаметр 25 мм или аналогичная любого типа.
4.1.23 Шприц-дозатор для оправы шприцевого фильтра или шприц одноразовый с коннектором "Луер-лок" вместимостью 50 см3.
4.1.24 Посуда стеклянная для хранения растворов вместимостью 0,25, 0,50 и 1 дм3.
4.1.25 Посуда пластиковая с завинчивающимися крышками для хранения растворов вместимостью 0,1 и 0,25 дм3.
4.1.26 Пинцет лабораторный пластиковый или из нержавеющей стали с пластиковыми наконечниками, длина 105 или 125 мм.
4.1.27 Лабораторная микроволновая система для разложения проб (Mars-5, Mars-6, TOPwave или аналогичная лабораторная микроволновая система любого типа) с комплектом тефлоновых реакционных сосудов вместимостью не менее 55 см3, частотой магнетрона (2450 +/- 50) МГц и выходной мощностью не менее 1800 Вт.
4.1.28 Установка для фильтрования при разрежении с использованием мембранного фильтра любого типа.
4.1.29 Центрифуга настольная ОПн-3 или аналогичная со скоростью вращения до 3000 оборотов/мин.
4.1.30 Бидистиллятор стеклянный БС или аналогичный любого типа или установка для перегонки дистиллированной воды из стекла группы ТС (плоскодонная колба типа П исполнения 1 с взаимозаменяемым конусом 29/32, вместимостью 1000 или 2000 см
3, насадка типа Н1 с взаимозаменяемыми конусами 29/32-14/23-14/23, холодильник типа ХПТ исполнения 1 длиной не менее 400 мм, аллонж типа АИ с взаимозаменяемым конусом муфты 14/23) по
ГОСТ 25336-82.
4.1.31 Электроплитка с закрытой спиралью и регулируемой мощностью нагрева по
ГОСТ 14919-83.
Примечание - Допускается использование других типов средств измерений, вспомогательных устройств, в том числе импортных, с характеристиками не хуже, чем у приведенных в
4.1.
4.2.2 Водорода перекись по
ГОСТ 177-88, медицинская; или пероксид водорода по
ГОСТ 10929-76, х.ч.; или пероксид водорода по ТУ 2611-003-25665344-2008, ос.ч. 8-4.
4.2.3 Ацетилен растворенный по
ГОСТ 5457-75 марки "Б", с объемной долей ацетилена не менее 99,1%.
4.2.4 Аргон сжатый в баллонах по ТУ-21-12-94, ВЧ, с объемной долей аргона не менее 99,998%.
4.2.6 Фильтры мембранные "Владипор МФАС-ОС-2" (0,45 мкм), диаметр диска 47 мм, по ТУ 6-55-221-1029-89 или любого типа, равноценные по характеристикам.
4.2.7 Стекловолоконные фильтры типа GMF (Sartorius), диаметр 25 мм, удельный вес 52 - 55 г/м2 или любого типа, равноценные по характеристикам.
4.2.8 Универсальная индикаторная бумага (pH 0 - 12) по ТУ 2642-054-23050963-2008.
Примечание - Допускается использование реактивов и материалов, изготовленных по другой нормативно-технической документации, в том числе импортных, с квалификацией не ниже указанной в
4.2.
Выполнение измерений массовой концентрации железа, кадмия, кобальта, марганца, меди, никеля, свинца, хрома и цинка во взвешенных веществах атомно-абсорбционным методом основано на поглощении атомным паром металла резонансного излучения соответствующей лампы с полым катодом с длиной волны:

,

,

,

или 403,1 нм,

,

,

,

и

. Измеряемое поглощение атомного пара металла пропорционально его массовой концентрации в анализируемом растворе.
Атомизация раствора выполняется в воздушно-ацетиленовом пламени горелки спектрофотометра или графитовой кювете его электротермического атомизатора.
В раствор соединения металлов переводят нагреванием и минерализацией в микроволновом поле мембранного фильтра с осадком взвешенных веществ с добавлением азотной кислоты и пероксида водорода.
6 Требования безопасности, охраны окружающей среды
6.1 При выполнении измерений массовой концентрации железа, кадмия, кобальта, марганца, меди, никеля, свинца, хрома и цинка во взвешенных веществах соблюдают требования безопасности, установленные в национальных стандартах и соответствующих нормативных документах.
6.2 По степени воздействия на организм вредные вещества, используемые при выполнении измерений, относятся к 1, 2 и 3-му классам опасности по
ГОСТ 12.1.007.
6.3 Содержание используемых вредных веществ в воздухе рабочей зоны не должно превышать установленных предельно допустимых концентраций в соответствии с
ГОСТ 12.1.005.
6.4 Определение следует проводить при наличии вытяжной вентиляции.
6.5 Оператор, выполняющий измерения, должен знать правила безопасности при работе с электрооборудованием, горючими и инертными сжатыми газами.
6.6 При использовании лабораторной микроволновой системы в помещении лаборатории не должны находиться лица с кардиостимуляторами.
6.7 Кислотные растворы после выполнения анализа многократно разбавляют водой и нейтрализуют прибавлением соды или щелочи перед сливом в канализацию.
6.8 Дополнительных требований по экологической безопасности не предъявляется.
7 Требования к квалификации операторов
К выполнению измерений допускаются лица с высшим профессиональным образованием, имеющие стаж работы в лаборатории не менее 6 мес, или со средним профессиональным образованием, имеющие стаж работы в лаборатории не менее 3 лет, прошедшие соответствующую подготовку для работы с электрооборудованием и сжатыми газами, освоившие средства измерений, вспомогательные устройства и методику.
8 Требования к условиям измерений
При выполнении измерений в лаборатории должны быть соблюдены следующие условия:
- температура окружающего воздуха, °C ....................... 22 +/- 5;
- атмосферное давление, кПа (мм рт. ст.) ............. от 84,0 до 106,7
(от 630 до 800);
- влажность воздуха при температуре 25 °C, %, не более ............ 80;
- напряжение в сети, В .................................... 220 +/- 22;
- частота переменного тока в сети питания, Гц .............. 50 +/- 1.
9 Подготовка к выполнению измерений
9.1 Отбор и хранение проб взвешенных веществ
9.1.1 Оборудование для отбора и отбор проб воды для выполнения измерений массовой концентрации металлов во взвешенных веществах должны соответствовать
ГОСТ 17.1.5.04 и
ГОСТ 31861.
9.1.2 Для получения осадка взвешенных веществ воду фильтруют как можно быстрее после отбора (не позже 4 ч). Из хорошо перемешанной пробы отбирают цилиндром вместимостью 250 см
3 две аликвоты воды объемом не менее 250 см
3 и фильтруют через мембранные фильтры 0,45 мкм, предварительно очищенные кипячением в течение 10 мин в 1%-ном растворе азотной кислоты и двукратным нагреванием до кипения в дистиллированной воде. Цилиндр ополаскивают последовательно двумя порциями дистиллированной воды объемом от 5 до 10 см
3, переносят промывные воды на стенки фильтрующего устройства и осадок на фильтре, не прекращая поддерживать разрежение воздуха в установке для фильтрования. После удаления остатков воды с поверхности каждый фильтр с осадком взвешенных веществ аккуратно с помощью пинцета складывают пополам осадком внутрь и помещают в чистый пластиковый пакет, герметично закрывают. Хранят фильтры с осадками взвешенных веществ при температуре не выше плюс 5 °C не более 7 сут, в замороженном виде не более 2 мес.
Если в лаборатории отсутствует спектрофотометр с электротермической атомизацией, измерения массовой концентрации кадмия, кобальта, меди, никеля, свинца, хрома и цинка выполняют из проб воды объемом не менее 1 или 2 дм3.
9.1.3 При отборе, предварительной обработке и хранении осадков взвешенных веществ, выделенных на мембранные фильтры, особое внимание должно быть обращено на исключение загрязнения пробы воды стенками пробоотборника, используемыми фильтрами и пакетами с замком для хранения. Транспортирование и хранение фильтров с осадками осуществляют в индивидуальных пластиковых пакетах с замком, которые перед использованием тщательно промывают раствором азотной кислоты (1:1) и затем дистиллированной водой, высушивают. В ходе обработки проб следует исключить контакт пробы с металлическими и резиновыми поверхностями.
9.1.4 Если выполнить фильтрование пробы воды для получения осадка взвешенных веществ на месте отбора не представляется возможным, воду необходимо доставить в лабораторию не позднее 4 ч после отбора. Сразу после транспортировки воду тщательно перемешивают многократным встряхиванием и далее поступают по
9.1.2.
9.2 Приготовление растворов и реактивов
9.2.1 Получение бидистиллированной воды
Собирают установку по
4.1.30. В плоскодонную колбу помещают 1000 см
3 дистиллированной воды. Колбу устанавливают на электроплитку, подсоединяют холодильник типа ХПТ, нагревают до кипения и перегоняют воду, отбрасывая первые 50 см
3.
Срок хранения бидистиллированной воды в пластиковой плотно закрытой посуде не более 10 сут.
При наличии в лаборатории бидистиллятора перегонку дистиллированной воды проводят в соответствии с инструкцией по эксплуатации.
9.2.2 Раствор азотной кислоты (1:1)
Смешивают 250 см3 дистиллированной воды с 250 см3 концентрированной азотной кислоты. Срок хранения в плотно закрытой посуде не ограничен.
9.2.3 Раствор азотной кислоты, 1%-ный
Смешивают 250 см3 дистиллированной воды с 1,8 см3 концентрированной азотной кислоты. Срок хранения в плотно закрытой посуде не ограничен.
9.2.4 Раствор азотной кислоты в дистиллированной воде, 0,1 моль/дм3
Для выполнения измерений способом пламенной атомизации в мерную колбу вместимостью 500 см3 с объемом дистиллированной воды не более 200 см3 отмеряют 3,1 см3 концентрированной азотной кислоты, доводят до метки на колбе дистиллированной водой. Срок хранения в плотно закрытой пластиковой посуде не ограничен.
9.2.5 Раствор азотной кислоты в бидистиллированной воде, 0,1 моль/дм3
Для выполнения измерений способом электротермической атомизации в мерную колбу вместимостью 1000 см3 с объемом бидистиллированной воды не более 200 см3 отмеряют 6,2 см3 концентрированной азотной кислоты, доводят до метки на колбе бидистиллированной водой. Полученный раствор хранят в пластиковой плотно закрытой посуде не более 10 сут.
9.3 Приготовление градуировочных растворов
9.3.1 Основные градуировочные растворы с массовой концентрацией ионов железа, кобальта, марганца, меди, никеля, свинца и хрома 50,0 мг/дм3
Для приготовления основного градуировочного раствора ионов металла вскрывают соответствующую ампулу ГСО и ее содержимое переносят в сухую градуированную пробирку вместимостью 5 см3. С помощью сухой пипетки с одной отметкой отбирают 5,0 см3 раствора ГСО и переносят в мерную колбу вместимостью 100 см3. Добавляют 1 см3 концентрированной азотной кислоты, доводят объем до метки на колбе дистиллированной водой, перемешивают. Массовая концентрация ионов железа, кобальта, марганца, меди, никеля, свинца и хрома в каждом из основных градуировочных растворов составит 50,0 мг/дм3. Если концентрация ионов металла в ГСО не равна точно 1,00 мг/см3, рассчитывают массовую концентрацию в основном градуировочном растворе в соответствии с концентрацией в конкретном растворе ГСО.
Растворы хранят в плотно закрытой пластиковой посуде не более 3 мес.
9.3.2 Основные градуировочные растворы с массовой концентрацией ионов кадмия и цинка 10,0 мг/дм3
Для приготовления основного градуировочного раствора ионов металла вскрывают соответствующую ампулу ГСО и ее содержимое переносят в сухую градуированную пробирку вместимостью 5 см3. С помощью сухой градуированной пипетки вместимостью 1 см3 отбирают 1,0 см3 раствора ГСО и переносят в мерную колбу вместимостью 100 см3. Добавляют 1 см3 концентрированной азотной кислоты, доводят объем до метки на колбе дистиллированной водой, перемешивают. Массовая концентрация ионов кадмия и цинка в основном градуировочном растворе составит 10,0 мг/дм3. Если концентрация ионов металла в ГСО не равна точно 1,00 мг/см3, рассчитывают массовую концентрацию в основном градуировочном растворе в соответствии с концентрацией в конкретном растворе ГСО.
Растворы хранят в плотно закрытой пластиковой посуде не более 1 мес.
9.3.3 Рабочие градуировочные растворы с массовой концентрацией ионов железа, кобальта, марганца, меди, никеля, свинца и хрома 10,0 мг/дм3
Для приготовления рабочего градуировочного раствора ионов металла с помощью пипетки с одной отметкой отбирают 10,0 см
3 соответствующего основного градуировочного раствора, переносят в мерную колбу вместимостью 50 см
3, доводят объем до метки на колбе раствором азотной кислоты, 0,1 моль/дм
3, приготовленным по
9.2.4, перемешивают. Массовая концентрация ионов железа, кобальта, марганца, меди, никеля, свинца и хрома в рабочем градуировочном растворе составит 10,0 мг/дм
3.
Растворы хранят в плотно закрытой пластиковой посуде не более 1 мес.
9.3.4 Рабочие градуировочные растворы с массовой концентрацией ионов кадмия и цинка 2,0 мг/дм3
Для приготовления рабочего градуировочного раствора ионов металла с помощью пипетки с одной отметкой отбирают 10,0 см
3 соответствующего основного градуировочного раствора, переносят в мерную колбу вместимостью 50 см
3, доводят до метки на колбе раствором азотной кислоты, 0,1 моль/дм
3, приготовленным по
9.2.4, перемешивают. Массовая концентрация ионов кадмия и цинка в рабочем градуировочном растворе составит 2,0 мг/дм
3.
Растворы хранят в плотно закрытой пластиковой посуде не более 1 мес.
Примечания
1 Если в лаборатории отсутствует спектрофотометр с пламенным способом атомизации, градуировочные растворы следует готовить с использованием бидистиллированной воды и раствора азотной кислоты, 0,1 моль/дм
3, приготовленного по
9.2.5.
2 В случае наличия в лаборатории достаточного количества бидистиллированной воды допустимо ее использование для приготовления градуировочных растворов по
9.3 и применения раствора азотной кислоты, 0,1 моль/дм
3, по
9.2.5.
9.4 Приготовление градуировочных образцов
9.4.1 Градуировочные образцы для выполнения измерений способом пламенной атомизации
Для выполнения измерений массовой концентрации железа, кадмия, кобальта, марганца, меди, никеля, свинца, хрома и цинка способом пламенной атомизации готовят градуировочные образцы N 1 - N 5.
Градуированными пипетками вместимостью 1, 2, 5 и 10 см
3 и пипеткой с одной отметкой вместимостью 20 см
3 отмеряют объемы градуировочных растворов ионов железа, кадмия, кобальта, марганца, меди, никеля, свинца, хрома и цинка, указанные по номерам градуировочных образцов в
таблице 4, переносят их для смешивания в мерную колбу вместимостью 100 см
3, доводят до метки раствором азотной кислоты, 0,1 моль/дм
3, приготовленным по
9.2.4. Растворы тщательно перемешивают. При приготовлении градуировочных образцов следует использовать пипетки с номинальной вместимостью наиболее близкой к отмеряемым аликвотам градуировочных растворов (например, для аликвоты объемом 4,0 см
3 берут градуированную пипетку вместимостью 5, а не 10 см
3).
Таблица 4
Объемы градуировочных растворов ионов металлов,
используемые при приготовлении градуировочных
образцов N 1 - N 5
Наименование металла | Объем градуировочных растворов по номерам градуировочных образцов, см3 |
1 | 2 | 3 | 4 | 5 |
Железо | | | 2,0 | 4,0 | 8,0 |
Кадмий | | | 5,0 | 10,0 | 20,0 |
Кобальт | | | 2,0 | 4,0 | 8,0 |
Марганец | | | 2,0 | 6,0 | 10,0 |
Медь | | | 2,0 | 6,0 | 10,0 |
Никель | | | 2,0 | 4,0 | 5,0 |
Свинец | | | 2,0 | 4,0 | 8,0 |
Хром | | | 2,0 | 4,0 | 5,0 |
Цинк | | | 2,0 | 5,0 | 10,0 |
<1> Используется рабочий градуировочный раствор ионов металла, в остальных случаях основной градуировочный раствор. |
Массовые концентрации ионов металлов в градуировочных образцах N 1 - N 5 приведены в таблице 5.
Таблица 5
Массовые концентрации ионов металлов в градуировочных
образцах для выполнения измерений способом
пламенной атомизации
Наименование металла | Массовые концентрации ионов металлов по номерам градуировочных образцов, мг/дм3 |
1 | 2 | 3 | 4 | 5 |
Железо | 0,05 | 0,50 | 1,00 | 2,00 | 4,00 |
Кадмий | 0,05 | 0,20 | 0,50 | 1,00 | 2,00 |
Кобальт | 0,05 | 0,50 | 1,00 | 2,00 | 4,00 |
Марганец | 0,05 | 0,50 | 1,00 | 3,00 | 5,00 |
Медь | 0,05 | 0,50 | 1,00 | 3,00 | 5,00 |
Никель | 0,05 | 0,50 | 1,00 | 2,00 | 2,50 |
Свинец | 0,05 | 0,50 | 1,00 | 2,00 | 4,00 |
Хром | 0,05 | 0,50 | 1,00 | 2,00 | 2,50 |
Цинк | 0,05 | 0,10 | 0,20 | 0,50 | 1,00 |
Растворы градуировочных образцов N 1 - N 5 хранят в плотно закрытой пластиковой посуде не более 7 сут.
Если массовая концентрация ионов металла в основном и рабочем градуировочных растворах не равна точно 50,0 мг/дм3, 10,0 мг/дм3 или 2,0 мг/дм3, рассчитывают массовую концентрацию ионов металла в градуировочных образцах N 1 - N 5 в соответствии с массовой концентрацией в конкретном основном или рабочем градуировочном растворе.
9.4.2 Градуировочные образцы для выполнения измерений способом электротермической атомизации
Для выполнения измерений массовой концентрации кадмия, кобальта, марганца, меди, никеля, свинца, хрома и цинка способом электротермической атомизации готовят градуировочные образцы, используя рабочие градуировочные растворы ионов металлов.
Для приготовления градуировочных образцов N 6 - N 10 отбирают градуированными пипетками вместимостью 0,5, 1, 2 и 5 см
3 объемы рабочих градуировочных растворов ионов кадмия, кобальта, марганца, меди, никеля, свинца, хрома и цинка, указанные по номерам градуировочных образцов в
таблице 6, вносят для смешивания в мерную колбу вместимостью 1000 см
3. Объем раствора доводят до метки на колбе раствором азотной кислоты, 0,1 моль/дм
3, приготовленным по
9.2.5. Растворы тщательно перемешивают. При приготовлении градуировочных образцов следует использовать пипетки с номинальной вместимостью наиболее близкой к отмеряемым аликвотам рабочих градуировочных растворов (например, для аликвоты объемом 0,15 или 0,25 см
3 берут градуированную пипетку вместимостью 0,5, а не 1 см
3 или для аликвоты объемом 1,5 см
3 - пипетку вместимостью 2, а не 5 см
3). Массовые концентрации ионов металлов в градуировочных образцах N 6 - N 10 приведены в
таблице 7.
Таблица 6
Объемы градуировочных растворов ионов металлов,
используемые при приготовлении градуировочных
образцов N 6 - N 10
Наименование металла | Объем градуировочных растворов по номерам градуировочных образцов, см3 |
6 | 7 | 8 | 9 | 10 |
Кадмий | | | | | |
Кобальт | 0,5 | 1,0 | 1,5 | 2,0 | 2,5 |
Марганец | 0,1 | 0,2 | 0,3 | 0,4 | 0,50 |
Медь | 0,5 | 1,0 | 1,5 | 2,0 | 2,5 |
Никель | 0,5 | 1,0 | 1,5 | 2,0 | 2,5 |
Свинец | 0,5 | 1,0 | 1,5 | 2,0 | 2,5 |
Хром | 0,1 | 0,2 | 0,3 | 0,4 | 0,50 |
Цинк | | | | | |
<1> Используется рабочий градуировочный раствор, приготовленный по 9.3.4; в остальных случаях - рабочий градуировочный раствор, приготовленный по 9.3.3. |
Таблица 7
Массовые концентрации ионов металлов в градуировочных
образцах для выполнения измерений способом
электротермической атомизации
Наименование металла | Массовые концентрации ионов металлов по номерам градуировочных образцов, мкг/дм3 |
6 | 7 | 8 | 9 | 10 |
Кадмий | 0,40 | 0,80 | 1,2 | 1,6 | 2,00 |
Кобальт | 5,00 | 10,0 | 15,0 | 20,0 | 25,0 |
| 1,00 | 2,00 | 3,00 | 4,00 | 5,00 |
Медь | 5,00 | 10,0 | 15,0 | 20,0 | 25,0 |
Никель | 5,00 | 10,0 | 15,0 | 20,0 | 25,0 |
Свинец | 5,00 | 10,0 | 15,0 | 20,0 | 25,0 |
Хром | 1,00 | 2,00 | 3,00 | 4,00 | 5,00 |
Цинк | 0,10 | 0,20 | 0,30 | 0,40 | 0,50 |
<1> Для измерений по линии с длиной волны  . |
Градуировочные образцы для выполнения измерений массовой концентрации марганца по линии с длиной волны

готовят в диапазоне массовых концентраций ионов марганца от 20,0 до 100,0 мкг/дм
3. Отбирают 0,2; 0,4; 0,6; 0,8 и 1,0 см
3 рабочего градуировочного раствора марганца, приготовленного по
9.3.3, с помощью градуированной пипетки вместимостью 1 см
3, помещают в мерные колбы вместимостью 100 см
3, доводят до меток на колбах раствором азотной кислоты, 0,1 моль/дм
3, приготовленным по
9.2.5, перемешивают. Массовая концентрация ионов марганца в полученных образцах составит соответственно 20,0; 40,0; 60,0; 80,0 и 100,0 мкг/дм
3.
Растворы градуировочных образцов ионов металлов для выполнения измерений способом электротермической атомизации используют в день приготовления.
9.5 Подготовка атомно-абсорбционного спектрофотометра
9.5.1 Атомно-абсорбционный спектрофотометр готовят к работе в соответствии с техническим описанием или руководством по эксплуатации. Для определения железа, кадмия, кобальта, марганца, меди, никеля, свинца, хрома и цинка в спектрофотометре устанавливают лампу с полым катодом для определения соответствующего металла, настраивают ее оптимальный режим работы и ширину спектральной щели монохроматора, юстируют положение лампы по максимуму интенсивности излучения (согласно руководству по эксплуатации и рекомендациям производителя).
9.5.2 Для выполнения измерений способом пламенной атомизации зажигают воздушно-ацетиленовое пламя горелки спектрофотометра, как описано в руководстве по эксплуатации.
Измерения массовых концентраций металлов выполняют на резонансных спектральных линиях с длиной волны

,

,

,

,

,

,

,

и

.
9.5.3 Для выполнения измерений способом электротермической атомизации в соответствии с руководством по эксплуатации подключают температурную программу нагрева электротермического атомизатора спектрофотометра, соответствующую определяемому металлу, в атомизатор помещают графитовую кювету и выполняют специальную программу "Очистка", при этом измеренное значение атомного поглощения металла (далее - абсорбционность) не должно превышать значения 0,01. Если полученное значение абсорбционности превышает 0,01, процедуру очистки повторяют до достижения требуемого значения. В этом случае электротермический атомизатор спектрофотометра готов к работе. Программу "Очистка" также выполняют после замены графитовой кюветы в атомизаторе спектрофотометра и при переходе от выполнения измерений больших концентраций металлов к меньшим.
Измерения массовой концентрации марганца выполняют на резонансной спектральной линии с длиной волны

или 403,1 нм, измерения массовой концентрации кадмия, кобальта, меди, никеля, свинца, хрома или цинка выполняют на соответствующей линии с длиной волны по
9.5.2.
Для проведения измерений массовой концентрации кадмия, свинца и цинка в атомизатор спектрофотометра устанавливают кювету из высокоплотного графита, для выполнения измерений массовой концентрации кобальта, марганца, меди, никеля и хрома - графитовую кювету с пиролитическим покрытием.
9.6 Установление градуировочных зависимостей
9.6.1 Градуировочные зависимости устанавливают перед измерением массовой концентрации металлов в растворах взвешенных веществ после микроволновой обработки (далее - минерализаты), а также после замены спектральной лампы или графитовой кюветы в спектрофотометре.
9.6.2 Для установления градуировочных зависимостей железа, кадмия, кобальта, марганца, меди, никеля, свинца, хрома или цинка с использованием пламенного способа атомизации выполняют не менее двух измерений аналитического сигнала (абсорбционности) раствора холостого опыта (раствор азотной кислоты, 0,1 моль/дм
3, приготовленный по
9.2.4). Полученные результаты измерений усредняют, если они отличаются друг от друга не более чем на 20% по отношению к среднему значению. Далее выполняют не менее двух измерений аналитического сигнала металлов в каждом из градуировочных образцов N 1 - N 5 в порядке возрастания их концентраций. Среднее арифметическое значение абсорбционности холостого опыта вычитают из усредненной абсорбционности градуировочных образцов. Допускается выполнять эту процедуру с помощью программного обеспечения спектрофотометра. Полученные результаты для железа, кадмия, кобальта, марганца, меди, никеля, свинца, хрома и цинка в каждом образце усредняют между собой, если расхождения между ними по отношению к среднему значению не превышают относительных значений, приведенных в таблице 8.
Таблица 8
Допустимые расхождения между результатами измерений
массовой концентрации металлов способом
пламенной атомизации
Наименование металла | Диапазон массовой концентрации металла, мг/дм3, при допустимых расхождениях между результатами измерений, % |
15 | 10 | 5 |
Железо Кобальт Свинец | От 0,05 до 0,50 включ. | Св. 0,50 до 2,0 включ. | Св. 2,0 до 4,0 включ. |
Кадмий | От 0,05 до 0,20 включ. | Св. 0,20 до 1,0 включ. | Св. 1,0 до 2,0 включ. |
| | ИС МЕГАНОРМ: примечание. Текст дан в соответствии с официальным текстом документа. | |
|
Марганец Медь | От 0,05 до 0,50 включ. | Св.т 0,50 до 3,0 включ. | Св. 3,0 до 5,0 включ. |
Никель Хром | От 0,05 до 0,50 включ. | Св. 0,50 до 2,0 включ. | Св. 2,0 до 2,5 включ. |
Цинк | От 0,05 до 0,10 включ. | Св. 0,10 до 0,50 включ. | Св. 0,50 до 1,0 включ. |
Градуировочные зависимости абсорбционности (ось ординат) от массовой концентрации металла в мг/дм3 (ось абсцисс) рассчитывают для каждого из металлов методом наименьших квадратов или с помощью программного обеспечения спектрофотометра, используя средние значения аналитического сигнала.
9.6.3 Для установления градуировочных зависимостей кадмия, кобальта, марганца, меди, никеля, свинца, хрома и цинка с использованием электротермического способа атомизации выполняют не менее двух измерений абсорбционности раствора холостого опыта (раствор азотной кислоты, 0,1 моль/дм
3, приготовленный по
9.2.5). Полученные результаты измерений усредняют, если они отличаются друг от друга не более чем на 25% по отношению к среднему значению. Далее выполняют не менее двух измерений аналитического сигнала металлов в каждом из градуировочных образцов, приготовленных по
9.4.2, в порядке возрастания их концентраций. Среднее арифметическое значение абсорбционности холостого опыта вычитают из усредненной абсорбционности градуировочных образцов. Допускается выполнять эту процедуру с помощью программного обеспечения спектрофотометра. Полученные результаты для кадмия, кобальта, марганца, меди, никеля, свинца, хрома и цинка в каждом образце усредняют между собой, если расхождения между ними по отношению к среднему значению не превышают относительных значений, приведенных в таблице 9.
Таблица 9
Допустимые расхождения между результатами измерений массовой
концентрации металлов способом электротермической атомизации
Наименование металла | Диапазон массовой концентрации металла, мкг/дм3, при допустимых расхождениях между результатами измерений, % |
20 | 10 | 7 |
Кадмий | От 0,40 до 0,80 включ. | Св. 0,80 до 1,6 включ. | Св. 1,6 до 2,0 включ. |
Кобальт Медь Свинец Никель | От 5,0 до 10,0 включ. | Св. 10,0 до 20,0 включ. | Св. 20,0 до 25,0 включ. |
Хром | От 1,0 до 2,0 включ. | Св. 2,0 до 4,0 включ. | Св. 4,0 до 5,0 включ. |
| От 20,0 до 40,0 включ. | Св. 40,0 до 80,0 включ. | Св. 80,0 до 100,0 включ. |
Цинк | От 0,10 до 0,20 включ. | Св. 0,20 до 0,40 включ. | Св. 0,40 до 0,50 включ. |
<1> Для выполнения измерений по линии с длиной волны  . <2> Для выполнения измерений по линии с длиной волны  . |
Градуировочные зависимости абсорбционности от массовой концентрации металла в мкг/дм
3 рассчитывают аналогично
9.6.2 для каждого из металлов.
9.6.4 Если полученное расхождение между результатами измерений имеет значение более допустимого (см.
таблицы 8 и
9), следует выполнить повторные измерения и убедиться в приемлемости результатов. В противном случае, повторяют настройку спектрофотометра по
9.5, устанавливают градуировочную зависимость.
10 Порядок выполнения измерений
10.1 Подготовка и минерализация взвешенных веществ
10.1.1 Для перевода соединений металлов в раствор нагреванием и минерализацией в микроволновом поле каждый из двух фильтров с осадками взвешенных веществ с помощью пинцета помещают в сухой тефлоновый сосуд лабораторной микроволновой системы, приливают 4 см
3 азотной кислоты и оставляют не менее чем на 10 мин для растворения материала фильтра и осадка. Затем прибавляют в каждый сосуд 2 см
3 пероксида водорода и через 5 мин добавляют 4 см
3 дистиллированной воды.
В случае пробы мутной или сильно мутной воды или объема пробы более 250 см3 для выполнения анализа рекомендуется увеличить добавляемые объемы азотной кислоты и пероксида водорода соответственно до 5,0 и 2,5 см3.
10.1.2 После окончания бурного газовыделения (не менее 10 мин после прибавления реактивов) сосуды с пробами и реактивами плотно закрывают завинчивающимися крышками и размещают в рабочей камере микроволновой системы, выполняют программу нагревания (минерализации). Условия нагревания с использованием лабораторной микроволновой системы Mars-6 приведены в таблице 10.
Таблица 10
Условия нагревания осадков взвешенных веществ
на мембранных фильтрах при использовании Mars-6
Стадия | Время увеличения температуры, мин | Время поддержания температуры, мин | Температура стадии, °C | Мощность, Вт |
1 | 10 | 10 | 100 | 300 |
2 | 10 | 15 | 200 | 1050 |
Минерализация фильтров с осадками при использовании лабораторной микроволновой системы другой марки выполняется в соответствии с руководством по эксплуатации по программам минерализации мембранных фильтров или донных отложений в условиях, аналогичных указанным в
таблице 10.
10.1.3 После завершения программы нагревания и охлаждения до комнатной температуры минерализаты вместе с нерастворившимся остатком с помощью воронок переносят в мерные колбы вместимостью 50 см3. Если в лаборатории отсутствует спектрофотометр с пламенной атомизацией, минерализаты переносят в мерные колбы вместимостью 100 см3 для выполнения измерений способом электротермической атомизации.
Тефлоновые сосуды микроволновой системы после удаления минерализатов обмывают дважды порциями дистиллированной воды объемом от 5 до 10 см3, помещая промывные воды в мерные колбы к минерализатам, доводят объемы растворов до меток на колбах дистиллированной водой и тщательно перемешивают. При подготовке минерализатов к проведению измерений способом электротермической атомизации используют бидистиллированную воду.
Чтобы в атомизатор спектрофотометра не попали частицы нерастворившегося осадка, его отделяют центрифугированием минерализата в течение 2 мин в режиме 3000 оборотов/мин или фильтруют через стекловолоконный фильтр, предварительно промытый 5 см3 1%-ного раствора азотной кислоты.
Измерение массовой концентрации металлов необходимо выполнить в течение 7 сут или перенести минерализаты в пластиковые емкости для хранения в холодильнике не более 1 мес.
10.1.4 Для измерения аналитического сигнала металлов в холостой пробе через процедуру микроволновой обработки по
10.1.1 проводят два мембранных фильтра, очищенные и подготовленные по
9.1.2, где для фильтрования использованы аналогичные анализируемой пробе объемы дистиллированной или бидистиллированной воды.
Примечание - В случае наличия в лаборатории достаточного количества бидистиллированной воды допустимо ее использование при приготовлении минерализатов для проведения измерений способом пламенной атомизации.
10.2 Порядок выполнения измерений
10.2.1 Предварительные измерения массовой концентрации металлов в минерализатах
При наличии в лаборатории спектрофотометра с двумя режимами атомизации минерализат в первую очередь анализируют способом пламенной атомизации. При полученном значении массовой концентрации металла ниже таковой для градуировочного образца N 1 (см.
таблицу 5), выполняют измерение с электротермическим способом атомизации, в противном случае продолжают измерения в пламени.
10.2.2 Выполнение измерений способом пламенной атомизации
10.2.2.1 Минерализаты с помощью распылителя вводят в воздушно-ацетиленовое пламя горелки спектрофотометра в соответствии с руководством по его эксплуатации и выполняют не менее двух измерений массовой концентрации металла в каждом минерализате.
Полученные результаты измерений массовой концентрации металла в каждом из двух минерализатов усредняют между собой, если расхождения между ними по отношению к среднему значению не превышают относительных значений, приведенных в
таблице 8.
В случае получения значения расхождения между результатами измерений массовой концентрации металла более допустимого, поступают согласно
9.6.4.
10.2.2.2 Если полученные значения массовой концентрации железа, кадмия, марганца, меди, никеля и цинка превышают массовую концентрацию градуировочного образца N 5 (см.
таблицу 5), минерализаты разбавляют. Для этого пипеткой с одной отметкой отбирают аликвоту минерализата от 1 до 10 см
3 (
V2), помещают ее в мерную колбу вместимостью 25 см
3, доводят объем до метки на колбе дистиллированной водой и перемешивают. Кратность разбавления (соотношение объемов аликвоты минерализата и мерной колбы) выбирают таким образом, чтобы полученная массовая концентрация металла после разбавления была не менее массовой концентрации средней части градуировочного диапазона, приведенного в
таблице 5.
10.2.2.3 Минерализат, для которого получено значение массовой концентрации металлов менее 0,05 мг/дм
3, перед выполнением измерений способом пламенной атомизации концентрируют упариванием. Аликвоту минерализата объемом 25 см
3 помещают в кварцевую чашу вместимостью 50 или 100 см
3, нагревают на электроплитке, подбирая положение регулятора так, чтобы раствор не кипел, а испарялся, до остаточного объема от 2 до 3 см
3. После охлаждения сконцентрированный минерализат переносят в мерную колбу вместимостью 10 см
3, обмывают чашу дважды порциями бидистиллированной воды объемом от 1 до 2 см
3 и доводят объем до метки на колбе бидистиллированной водой. Полученный раствор тщательно перемешивают и выполняют измерение по
10.2.2.1.
Примечание - Допускается упаривание минерализатов в стеклянных стаканах вместимостью 50 см
3. Для измерения аналитического сигнала металлов в холостой пробе упаривают растворы, подготовленные по
10.1.4.
10.2.3 Выполнение измерений способом электротермической атомизации
10.2.3.1 Минерализаты с помощью автоматического или ручного дозатора помещают в графитовую кювету атомизатора спектрофотометра в соответствии с
9.5.3 и руководством по его эксплуатации, выполняют не менее двух измерений массовой концентрации металла в каждом минерализате.
Для выполнения измерений массовой концентрации кадмия, меди, никеля, хрома и цинка минерализаты предварительно обязательно разбавляют. Для этого пипеткой с одной отметкой отбирают аликвоту минерализата от 1 до 10 см
3 (
V2), помещают ее в мерную колбу вместимостью 25 или 50 см
3, доводят объем до метки на колбе бидистиллированной водой, перемешивают. Кратность разбавления выбирают таким образом, чтобы полученная массовая концентрация металла после разбавления была не менее массовой концентрации средней части градуировочного диапазона, приведенного в
таблице 7.
Полученные результаты измерения массовой концентрации металла для каждого из двух минерализатов усредняют между собой, если расхождения между ними по отношению к среднему значению не превышают относительных значений, приведенных в
таблице 9.
10.2.3.2 Если полученные значения массовой концентрации кобальта, марганца и свинца превышают массовую концентрацию металла в градуировочном образце N 10 (см.
таблицу 7), минерализат разбавляют бидистиллированной водой, выбирая кратность разбавления таким образом, чтобы измеряемая массовая концентрация металла была не менее массовой концентрации середины соответствующего градуировочного диапазона.
При получении результата измерения массовой концентрации марганца более чем в 4 раза превышающего значение таковой в градуировочном образце N 10, переходят к измерениям с использованием менее чувствительной аналитической линии с длиной волны

в диапазоне массовой концентрации марганца от 20 до 100 мкг/дм
3 включительно. Если полученные значения превысят 100 мкг/дм
3, минерализат разбавляют бидистиллированной водой, выбирая кратность разбавления таким образом, чтобы измеряемая массовая концентрация марганца была не менее 60 мкг/дм
3.
Полученные результаты измерения массовой концентрации марганца для каждого из двух минерализатов усредняют между собой, если расхождения между ними по отношению к среднему значению не превышают относительных значений, приведенных в
таблице 9.
В случае получения значения расхождения между результатами измерений массовой концентрации каждого из металлов более допустимого (см.
таблицу 9), поступают согласно
9.6.4.
10.2.4 Мешающие влияния и возможности их устранения
В процессе микроволнового нагревания мембранных фильтров с осадками взвешенных веществ с азотной кислотой и пероксидом водорода происходит растворение материала фильтра и твердой фазы частиц взвешенных веществ - солей и оксидов, а также разложение органических веществ и их комплексов с металлами. В раствор полностью переходят кислоторастворимые формы железа, кадмия, кобальта, марганца, меди, никеля, свинца, хрома и цинка. Нерастворенным остается диоксид кремния.
Достаточно высокое содержание остаточной кислотности и растворенных солей пробы в процессе атомизации минерализата приводит к возникновению существенного фонового (неатомного) поглощения. Высокое (от 50% до 70%) фоновое поглощение вызывает помехи, что приводит к искажению результатов измерений. Превышение массового соотношения железо-определяемый металл (за исключением цинка и кадмия) в 500 раз для марганца, свинца, хрома и кобальта; в 1000 и более раз для никеля приводит к увеличению аналитического сигнала металла от 10% и более; в случае меди приводит к уменьшению аналитического сигнала на 10%. Автоматическая коррекция (учет) фонового поглощения производится в зависимости от конкретной модели атомно-абсорбционного спектрофотометра с помощью дейтериевой лампы или использования обратного эффекта Зеемана, реализуемого при размещении атомизатора в переменном магнитном поле.
В минерализате и градуировочных образцах для реализации одинаковых условий атомизации металлов при выполнении измерений поливалентные металлы железо, марганец и хром должны находиться в одной и той же степени окисления, соответственно Fe (III), Mn (II) и Cr (VI), что обеспечивается использованием в качестве ГСО азотнокислых растворов ионов металлов и условиями микроволновой обработки.
При достаточно высоком содержании металлов мешающее влияние посторонних веществ можно устранить разбавлением минерализата дистиллированной или бидистиллированной водой.
11 Обработка результатов измерений
11.1 Массовую концентрацию железа, кадмия, кобальта, марганца, меди, никеля, свинца, хрома и цинка X, мкг/дм3, во взвешенных веществах вод рассчитывают по формуле

(1)
где

- среднее арифметическое значение массовой концентрации металла, рассчитанной по градуировочной зависимости, в минерализате взвешенных веществ, мкг/дм
3;

- среднее арифметическое значение массовой концентрации металла, рассчитанной по градуировочной зависимости, в минерализате холостой пробы по
10.1.4, мкг/дм
3;
V - объем профильтрованной воды, см3;
V1 - объем минерализата, см3.
11.2 Если при выполнении измерений минерализаты разбавляли или концентрировали, массовую концентрацию металла во взвешенных веществах рассчитывают с учетом разбавления
Xр, мкг/дм
3, по формуле 2, с учетом концентрирования
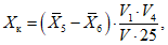
Xк, мкг/дм
3, по
формуле 3.

(2)
где

- среднее арифметическое значение массовой концентрации металла, рассчитанной по градуировочной зависимости, в разбавленном минерализате взвешенных веществ, мкг/дм
3;

- среднее арифметическое значение массовой концентрации металла, рассчитанной по градуировочной зависимости, в разбавленном минерализате холостой пробы по
10.1.4, мкг/дм
3;
V2 - объем аликвоты минерализата для разбавления, см3;
V3 - объем мерной колбы, см3.

(3)
где

- среднее арифметическое значение массовой концентрации металла, рассчитанной по градуировочной зависимости, в сконцентрированном минерализате взвешенных веществ, мкг/дм
3;

- среднее арифметическое значение массовой концентрации металла, рассчитанной по градуировочной зависимости, в сконцентрированном минерализате холостой пробы по
10.1.4, мкг/дм
3;
25 - объем минерализата для концентрирования, см3;
V4 - объем мерной колбы, см3.
12 Оформление результатов измерений
12.1 Результат измерения массовой концентрации железа, кадмия, кобальта, марганца, меди, никеля, свинца, хрома и цинка во взвешенных веществах вод в документах, предусматривающих его использование, представляют в виде

, мкг/дм
3 (
P = 0,95), (4)
где

- среднее арифметическое значение двух результатов измерений, разность между которыми не превышает предела повторяемости
r 
, мкг/дм
3; при превышении предела повторяемости следует поступать в соответствии с
13.2;

- границы абсолютной погрешности результатов измерений для данной массовой концентрации металла, мкг/дм
3 (см.
таблицы 2,
3).
Абсолютные погрешности результатов измерений представляют числом, содержащим не более двух значащих цифр. Наименьшие разряды числовых значений результатов измерений принимают такими же, как и наименьшие разряды числовых значений абсолютных погрешностей результатов измерений.
12.2 Допустимо представлять результат в виде

, (
P = 0,95) при условии

, (5)
где

- границы абсолютной погрешности результатов измерений, установленные при реализации методики в лаборатории и обеспечиваемые контролем стабильности результатов измерений, мкг/дм
3.
12.3 Если полученный результат измерения менее нижней границы диапазона измерений массовой концентрации металла во взвешенных веществах, допустимо представлять результат в виде

, мкг/дм
3 (
P = 0,95), (6)
где
Xн - нижняя граница диапазона измерений массовой концентрации металла, установленного для данной методики, мкг/дм
3 (см.
таблицу 1).
12.4 Результаты измерения оформляют протоколом или записью в журнале по формам, приведенным в Руководстве по качеству лаборатории.
13 Контроль качества результатов измерений при реализации методики в лаборатории
13.1.1 Контроль качества результатов измерений при реализации методики в лаборатории предусматривает:
- оперативный контроль исполнителем процедуры выполнения измерений (на основе оценки повторяемости, погрешности при реализации отдельно взятой контрольной процедуры);
- контроль стабильности результатов измерений (на основе контроля стабильности повторяемости и погрешности).
13.1.2 Периодичность контроля исполнителем процедуры выполнения измерений, а также реализуемые процедуры контроля стабильности результатов выполняемых измерений регламентируются в Руководстве по качеству лаборатории.
13.2 Алгоритм оперативного контроля повторяемости
13.2.1 Оперативный контроль повторяемости осуществляют для каждого из результатов измерений, полученных в соответствии с методикой. Для этого отобранную пробу воды делят на две части и выполняют измерения каждой части в соответствии с
разделом 10.
13.2.2 Результат контрольной процедуры rк, мкг/дм3, рассчитывают по формуле
rк = |X1 - X2|, (7)
где X1, X2 - результаты измерений массовой концентрации металла во взвешенных веществах пробы воды, мкг/дм3.
13.2.3 Предел повторяемости rп, мкг/дм3, рассчитывают по формуле

(8)
где

- показатель повторяемости для массовой концентрации металла во взвешенных веществах, равной (
X1 +
X2)/2, мкг/дм
3 (см.
таблицы 2,
3).
13.2.4 Результат контрольной процедуры должен удовлетворять условию
rк <= rп. (9)
13.2.5 При несоблюдении условия (9) выполняют еще два измерения и сравнивают разницу между максимальным и минимальным результатами с нормативом контроля. В случае повторного превышения предела повторяемости поступают в соответствии с ГОСТ Р ИСО 5725-6
(раздел 5).
13.3 Алгоритм оперативного контроля процедуры выполнения измерений с использованием метода добавок
13.3.1 Оперативный контроль исполнителем процедуры выполнения измерений проводят путем сравнения результатов отдельно взятой контрольной процедуры Кк с нормативом контроля К.
При выполнении контрольной процедуры добавку раствора ионов металла помещают в тефлоновый сосуд микроволновой системы к фильтру с осадком взвешенных веществ перед выполнением минерализации по
10.1.
Для выполнения измерений способом пламенной атомизации вводят 1,0 см3 основного градуировочного раствора ионов железа, кадмия, кобальта, марганца, меди, никеля, свинца, хрома и цинка.
Для выполнения измерений способом электротермической атомизации в качестве добавки ионов цинка, кадмия или хрома прибавляют, соответственно, 0,1 или 0,5 см
3 градуировочного образца N 1; для добавки ионов кобальта, меди, никеля и свинца - 0,5 см
3 градуировочного образца N 2. Для проведения измерений массовой концентрации марганца по линии с длиной волны

прибавляют 1,0 см
3 градуировочного образца N 1. Для проведения измерений массовой концентрации марганца по линии с длиной волны

- 1,0 см
3 градуировочного образца N 3.
13.3.2 Результат контрольной процедуры Кк, мкг/дм3, рассчитывают по формуле

(10)
где

- результат контрольного измерения массовой концентрации металла в пробе взвешенных веществ с известной добавкой, мкг/дм
3;

- результат контрольного измерения массовой концентрации металла в рабочей пробе по
12.1, мкг/дм
3;
Cд - концентрация добавки, мкг/дм3.
13.3.3 Норматив контроля погрешности К, мкг/дм3, рассчитывают по формуле

(11)
где

,

- значения абсолютной погрешности результатов измерений, установленные при реализации методики в лаборатории, соответствующие массовой концентрации металла в пробе взвешенных веществ с известной добавкой
Cд и в рабочей пробе, мкг/дм
3.
Примечание - Допустимо для расчета норматива контроля использовать значения абсолютной погрешности, полученные расчетным путем по формулам

и

, где

и

- приписанные методике значения абсолютной погрешности, соответствующие массовой концентрации металла в пробе с добавкой и рабочей пробе, соответственно, мкг/дм
3.
13.3.4 Если результат контрольной процедуры удовлетворяет условию
процедуру признают удовлетворительной.
При невыполнении
условия (12) контрольную процедуру повторяют. При повторном невыполнении
условия (12) выясняют причины, приводящие к неудовлетворительным результатам, и принимают меры по их устранению.
14 Проверка приемлемости результатов, полученных в условиях воспроизводимости
14.1 Расхождение между результатами измерений, полученными в двух лабораториях, не должно превышать предела воспроизводимости R. При выполнении этого условия приемлемы оба результата измерений и в качестве окончательного может быть использовано их общее среднее значение. Значение предела воспроизводимости рассчитывают по формуле

(13)
где

- показатель воспроизводимости, мкг/дм
3 (см.
таблицы 2,
3).
14.2 При превышении предела воспроизводимости могут быть использованы методы оценки приемлемости результатов измерений согласно ГОСТ Р ИСО 5725-6
(раздел 5) или
МИ 2881.
14.3 Проверку приемлемости проводят при необходимости сравнения результатов измерений, полученных двумя лабораториями.