Главная // Актуальные документы // МетодикаСПРАВКА
Источник публикации
М.: Росавтодор Минтранса России, 2002
Примечание к документу
Название документа
"Рекомендации по обеспечению безопасности движения на автомобильных дорогах"
(утв. Распоряжением Минтранса РФ от 24.06.2002 N ОС-557-р)
"Рекомендации по обеспечению безопасности движения на автомобильных дорогах"
(утв. Распоряжением Минтранса РФ от 24.06.2002 N ОС-557-р)
от 24 июня 2002 г. N ОС-557-р
ОТРАСЛЕВОЙ ДОРОЖНЫЙ МЕТОДИЧЕСКИЙ ДОКУМЕНТ
РЕКОМЕНДАЦИИ
ПО ОБЕСПЕЧЕНИЮ БЕЗОПАСНОСТИ ДВИЖЕНИЯ
НА АВТОМОБИЛЬНЫХ ДОРОГАХ
Рекомендации разработаны взамен "Указаний по обеспечению безопасности движения на автомобильных дорогах"
(ВСН 25-86). В них учтен опыт их использования в период 1986 - 2001 гг., а также результаты выполненных в последние годы научных исследований, учитывающих существенные изменения в составе транспортных потоков, рост интенсивности и скоростей движения.
В Рекомендациях излагаются принципы обеспечения безопасности движения на автомобильных дорогах, методы выявления опасных участков дорог, мероприятия по повышению безопасности движения в различных дорожных условиях.
Рекомендации предназначены для инженерно-технических работников дорожного хозяйства и могут быть использованы при разработке мероприятий по повышению безопасности движения на существующих дорогах, а также проектной документации при реконструкции и строительстве дорог.
Рекомендации разработаны Московским автомобильно-дорожным институтом МАДИ (ГТУ).
В их составлении принимали участие сотрудники МАДИ (ГТУ) доктора техн. наук А.П. Васильев, Е.М. Лобанов и В.В. Сильянов, кандидаты техн. наук О.А. Дивочкин, В.П. Залуга, Ю.В. Кузнецов, П.И. Поспелов, В.И. Пуркин, А.П. Шевяков, инженеры Д.И. Зайцев, Г.А. Менделев, А.А. Шевяков, кандидаты техн. наук И.Ф. Живописцев (РосдорНИИ), В.В. Чванов (Росавтодор), М.М. Девятов и инженер М.В. Катасонов (ИТС ВолгГАСА).
1. МЕТОДЫ ОЦЕНКИ БЕЗОПАСНОСТИ ДВИЖЕНИЯ
НА АВТОМОБИЛЬНЫХ ДОРОГАХ
1.1.1. Одной из важнейших задач дорожного хозяйства является обеспечение безопасности движения и высоких транспортных качеств автомобильных дорог.
1.1.2. При эксплуатации автомобильных дорог, а также при разработке проектов реконструкции существующих или проектов строительства новых дорог необходимо выявлять участки, не соответствующие требованиям обеспечения безопасности движения, и предусматривать мероприятия по повышению безопасности движения.
1.1.3. Оценка безопасности движения по дороге.
Повышенным количеством происшествий и высокой вероятностью появления заторов чаще всего характеризуются участки:
1) на которых резко уменьшается скорость движения преимущественно в связи с недостаточной видимостью и устойчивостью движения. В этом случае при высокой интенсивности и большой скорости движения возможны наезды на впереди идущие транспортные средства и съезды с дороги. Такие участки, как правило, имеют пониженную пропускную способность;
2) у которых какой-либо элемент дороги не соответствует скоростям движения, обеспечиваемым другими элементами (скользкое покрытие на кривой большого радиуса, узкий мост на длинном прямом горизонтальном участке, кривая малого радиуса в конце затяжного спуска, сужение дороги, скользкие обочины и т.д.). Здесь чаще всего происходит опрокидывание транспортных средств или их съезд с дороги;
3) где из-за погодных условий создается несоответствие между скоростями движения на них и на остальной дороге (заниженное земляное полотно там, где часты туманы, гололед, на дорогах, проходящих по северным склонам гор и холмов или около промышленных предприятий, и т.д.);
4) где возможны скорости, которые могут превысить безопасные пределы (длинные затяжные спуски на прямых, прямые участки в открытой степной местности);
5) где у водителя исчезает ориентировка в направлении дороги или возникает неправильное представление о нем (поворот в плане непосредственно за выпуклой кривой, неожиданный поворот в сторону с примыканием второстепенной дороги по прямому направлению);
6) слияния или перекрещивания транспортных потоков на пересечениях дорог, съездах, примыканиях, переходно-скоростных полосах;
7) проходящие через малые населенные пункты или расположенные против пунктов обслуживания, автобусных остановок, площадок отдыха и т.д., где имеется возможность неожиданного появления пешеходов и транспортных средств с придорожной полосы;
8) где однообразный придорожный ландшафт, план и профиль способствуют потере водителем контроля за скоростью движения или вызывают быстрое утомление и сонливость (длинные прямые участки в степи);
9) участки, на которых на обочине и в непосредственной близости от бровки расположены деревья или другие препятствия;
10) участки многополосных дорог без разделительной полосы при высокой интенсивности движения.
1.1.4. Для выявления опасных участков, в пределах которых необходимо в первую очередь предусматривать мероприятия по обеспечению безопасности движения, могут быть использованы следующие методы: метод, основанный на анализе данных о ДТП; метод коэффициентов аварийности; метод коэффициентов безопасности; метод конфликтных ситуаций.
Возможность применения того или иного метода зависит от стадии разработки мероприятий (обоснование мероприятий для существующей дороги, проектирование реконструкции или нового строительства), а также от наличия и полноты данных о ДТП на существующей дороге.
Методы выявления опасных участков на основе данных о ДТП следует применять для оценки безопасности движения на существующих дорогах при наличии достаточно полной и достоверной информации о ДТП за период не менее 3 - 5 лет. При отсутствии таких данных, а также для оценки проектных решений при проектировании новых и реконструкции существующих дорог должны использоваться метод коэффициентов аварийности, основанный на анализе и обобщении данных статистики ДТП, методы коэффициентов безопасности и конфликтных ситуаций, основанные на анализе графиков изменения скоростей движения по дороге.
1.1.5. Для получения сопоставимых данных при анализе дорожных условий пользуются системой показателей - коэффициентами относительной аварийности или коэффициентами происшествий.
Для длинных и однородных по геометрическим элементам участков коэффициент происшествий определяется по формуле

, (1.1)
где z - количество происшествий в год;
N - среднегодовая суточная интенсивность движения в обоих направлениях, принимаемая по данным учета движения, авт./сут.;
L - длина участка дороги, км.
Для коротких участков, резко отличающихся от смежных (мосты, перекрестки), коэффициент определяют по формуле

. (1.2)
Коэффициенты, определяемые по этим формулам, используются для обработки статистических данных об аварийности отдельных участков. Для получения надежной оценки необходимо располагать данными не менее чем за 3 - 5 лет.
1.2. Метод выявления опасных участков дороги
на основе анализа данных о ДТП
1.2.1. Для выявления опасных участков на основе данных о ДТП рекомендуется следующий порядок работ:
1. Проведение предварительных исследований, в состав которых входят: нанесение на схему автомобильной дороги ДТП, зафиксированных ГИБДД; выделение на этой схеме участков, отличающихся повышенной аварийностью, с использованием критериев, изложенных в
пп. 1.2.3.
2. Проведение детальных исследований на выявленных участках с повышенной аварийностью. Целью является выяснение основных причин ДТП на каждом из участков и разработка мероприятий по их предотвращению.
1.2.2. Детальные исследования включают в себя:
- составление крупномасштабной схемы участка, на которую с помощью условных обозначений наносят все ДТП. Анализ полученной диаграммы позволяет выделить однотипные ДТП и определить их причины;
- сбор информации о дорожных условиях и организации движения на исследуемом участке (ширина проезжей части, обочин, разделительных полос, ровность и коэффициент сцепления покрытия, продольные и поперечные уклоны, радиусы кривых в плане, видимость, крутизна откосов насыпи, планировочные решения пересечений, наличие и характеристика застройки, дорожная разметка, знаки, ограждения);
- исследование движения: подсчет интенсивности движения, измерение скоростей автомобилей, их траекторий, фиксирование конфликтных ситуаций;
- разработку мероприятий по повышению безопасности движения.
1.2.3. Участки концентрации ДТП выявляют на основе метода последовательных приближений, обеспечивающего наиболее высокую точность определения таких участков при наличии полной (с точностью до метров) информации о местоположении ДТП и сведений о среднегодовой суточной интенсивности движения. Учитывая, что рассматриваемый метод требует большого объема вычислений, для его применения рекомендуется использовать специальные компьютерные программы.
1.2.4. Для выполнения инженерных расчетов по выявлению участков концентрации ДТП необходимы следующие исходные данные:
- сведения об адресах ДТП, повлекших гибель или ранения людей, совершенных за расчетный период;
- сведения о среднегодовой суточной интенсивности движения за расчетный период;
- данные о фактическом расстоянии между стойками указателей километров на дороге.
1.2.5. Участки концентрации ДТП выявляют на основе следующих стандартных показателей аварийности:
- абсолютного количества ДТП, совершенных на рассматриваемом участке дороги за расчетный период;
- коэффициента относительной аварийности (количества ДТП, приходящегося на 1 млн. авт.-км), вычисляемого по
формуле (1.1).
1.2.6. При среднегодовой суточной интенсивности движения свыше 3000 авт./сут. к участкам концентрации ДТП относят участки дорог, на которых абсолютное число ДТП за расчетный период не менее значений, приведенных в табл. 1.1, а коэффициент относительной аварийности - не менее 0,3.
Интенсивность движения, авт./сут. | Минимальное количество ДТП за три года на участках их концентрации при длине участка, м |
до 200 | 200 - 400 | 400 - 600 | 600 - 800 | 800 - 1200 |
3000 - 7000 | 3 | 3 | 3 | 4 | 4 |
7000 - 11000 | 3 | 3 | 4 | 4 | 5 |
11000 - 13000 | 3 | 3 | 4 | 5 | 5 |
13000 - 15000 | 3 | 4 | 4 | 5 | 6 |
15000 - 17000 | 3 | 4 | 5 | 5 | 6 |
17000 - 20000 | 4 | 4 | 5 | 6 | 7 |
Свыше 20000 | 4 | 4 | 6 | 6 | 8 |
1.2.7. Местоположение участков концентрации ДТП устанавливают в соответствии с рекомендациями
Прил. 8.
1.2.8. При необходимости выявления участков концентрации ДТП на дорогах с интенсивностью движения свыше 3000 авт./сут. в условиях отсутствия полных данных о местоположении ДТП (отсутствует метровая привязка) допускается применять упрощенный метод, являющийся частным случаем метода последовательных приближений (см.
Прил. 8).
1.2.9. Для выявления участков концентрации на дорогах с интенсивностью движения менее 3000 авт./сут. используются критические показатели аварийности, представленные в табл. 1.2.
Интенсивность движения, авт./сут. | Минимальная плотность ДТП на участках их концентрации, шт. в год/1 км |
вне населенных пунктов | в пределах населенных пунктов |
Менее 1000 | 0,28 | 0,38 |
1000 - 1200 | 0,29 | 0,42 |
1200 - 1400 | 0,30 | 0,53 |
1400 - 1600 | 0,32 | 0,60 |
1600 - 1800 | 0,34 | 0,64 |
1800 - 2000 | 0,36 | 0,72 |
2000 - 2200 | 0,39 | 0,85 |
2200 - 2400 | 0,43 | 0,90 |
2400 - 2600 | 0,46 | 0,94 |
2600 - 2800 | 0,50 | 1,00 |
2800 - 3000 | 0,54 | 1,20 |
3000 - 3200 | 0,60 | 1,25 |
К участкам концентрации ДТП относятся участки дорог, на которых фактическая плотность ДТП (среднее число ДТП в год на 1 км) не менее значений, указанных в
табл. 1.2, при данной среднегодовой суточной интенсивности движения.
Местоположение участков концентрации ДТП в рассматриваемых условиях устанавливают по методике, приведенной в
Прил. 8.
1.2.10. При отсутствии сведений о фактической интенсивности движения (например, на территориальных дорогах) на период до их получения временно допускается применять метод выявления участков концентрации ДТП, основанный на использовании следующей исходной информации:
- сведения об адресах ДТП (достаточная точность привязки к указателям километров на дороге), повлекших гибель или ранения людей, совершенных за расчетный период;
- данные о фактических расстояниях между километровыми столбами на рассматриваемых дорогах.
В этом случае к участкам концентрации ДТП относят участки дорог, на которых абсолютное число ДТП за расчетный период не менее значений, указанных в табл. 1.3, при данной фактической плотности ДТП.
Плотность ДТП, шт. в год/1 км | Минимальное количество ДТП за три года на участках их концентрации при длине участка, м |
| 1000 - 2000 | 2000 - 3000 |
Менее 0,20 | 3 | 4 | 4 |
0,20 - 0,24 | 3 | 4 | 5 |
0,24 - 0,28 | 3 | 4 | 5 |
0,28 - 0,32 | 4 | 4 | 5 |
0,32 - 0,44 | 4 | 5 | 5 |
0,44 - 0,52 | 4 | 5 | 6 |
1.2.11. Для выявления участков концентрации ДТП на федеральных дорогах следует использовать методы, приведенные в
пп. 1.2.4 -
1.2.8. Для выявления участков концентрации ДТП на территориальных дорогах наряду с рекомендациями для федеральных дорог допускается использовать методы, приведенные в
пп. 1.2.9 -
1.2.10.
1.2.12. Для прогнозирования характера изменения аварийности и оценки эффективности мероприятий по повышению безопасности движения участки концентрации ДТП подразделяют на три типа в зависимости от стабильности наблюдаемого уровня аварийности:
- прогрессирующие участки концентрации ДТП, на которых за последний год имеется существенный (статистически значимый) рост числа ДТП по сравнению со средним наблюдавшимся уровнем аварийности;
- стабильные участки концентрации ДТП, на которых распределение числа совершенных ДТП по годам свидетельствует о постоянстве наблюдаемого уровня аварийности;
- регрессирующие ("затухающие") участки концентрации ДТП, на которых статистически значимое уменьшение числа совершенных ДТП свидетельствует о снижении наблюдавшегося уровня аварийности.
Количественные критерии отнесения участков концентрации ДТП к указанным типам приведены в табл. 1.4.
Таблица 1.4
Тип участка концентрации ДТП | Число ДТП за последний год при среднем числе ДТП за предшествующий расчетный период (не менее трех лет), шт. |
1 - 1,2 | 1,2 - 1,5 | 1,5 - 2,2 | 2,2 - 2,85 | 2,85 - 3,2 | 3,2 - 3,5 | > 3,5 |
Регрессирующий | 0 | 1 | 1 | До 2 | До 2 | До 3 | До 3 |
Стабильный | 1 - 2 | 2 | 2 - 3 | 3 - 4 | 3 - 5 | 4 - 5 | 4 - 6 |
Прогрессирующий | Свыше 3 | Свыше 3 | Свыше 4 | Свыше 5 | Свыше 6 | Свыше 6 | Свыше 7 |
1.2.13. При планировании мероприятий по повышению безопасности движения на выявленных участках концентрации ДТП с учетом приоритетности следует учитывать как стабильность уровня аварийности на участках концентрации ДТП, так и степень их опасности, устанавливаемую в соответствии с пп. 1.2.13. Наиболее высокой приоритетностью с позиции включения в программу повышения безопасности движения на участках концентрации ДТП обладают прогрессирующие и стабильные участки концентрации ДТП, характеризующиеся одновременно высокой степенью опасности.
1.2.14. В зависимости от величины коэффициента относительной аварийности участки концентрации ДТП по степени опасности следует подразделять на малоопасные, опасные и очень опасные. Количественные критерии оценки участков по степени опасности представлены в табл. 1.5.
Степень опасности участка концентрации ДТП | Граничные значения коэффициента относительной аварийности (число ДТП на 1 млн. авт.-км) по типам автомобильных дорог |
многополосные дороги с разделительной полосой | многополосные дороги без разделительной полосы | двухполосные дороги |
Малоопасный | 0,17 - 0,44 | 0,19 - 0,52 | 0,20 - 0,70 |
0,18 - 0,90 | 0,20 - 1,90 | 0,40 - 2,00 |
Опасный | 0,36 - 0,80 | 0,52 - 0,98 | 0,70 - 1,30 |
0,70 - 3,00 | 1,90 - 4,30 | 2,00 - 4,40 |
Очень опасный | Более 0,65 | Более 0,98 | Более 1,30 |
Более 3,00 | Более 4,30 | Более 4,40 |
Примечание. В числителе - при осреднении по километровым участкам; в знаменателе - при осреднении по характерным элементам.
Значения, приведенные в
табл. 1.5, следует использовать для оценки степени опасности участков концентрации ДТП при разбивке рассматриваемой дорожной сети на километровые участки с последующим расчетом коэффициента относительной аварийности.
1.3. Метод коэффициентов безопасности
1.3.1. Коэффициентами безопасности называют отношение максимальной скорости движения на участке к максимальной скорости въезда автомобилей на этот участок (начальная скорость движения).
1.3.2. Для определения коэффициентов безопасности при построении теоретического графика скоростей движения по дороге в обычную методику расчета скоростей вносят изменения, направленные на учет опасных ситуаций:
а) для реконструируемых дорог не принимают во внимание общие ограничения скорости движения
Правилами дорожного движения и местные ограничения скорости (в населенных пунктах, на переездах железных дорог, на пересечениях с другими дорогами, на кривых малых радиусов, в зонах действия дорожных знаков и др.);
б) в случае резкого различия условий движения по дороге в разных направлениях (например, на затяжных подъемах горных дорог) график коэффициентов безопасности можно строить только для того направления, в котором может быть развита наибольшая скорость;
в) не учитывают участки постепенного снижения скорости, необходимые для безопасного въезда на кривые малых радиусов, на пересечения, узкие мосты, т.е. берут соотношение скорости, обеспечиваемой данным участком, и максимально возможной скорости в конце предшествующего участка.
1.3.3. Для построения графика коэффициентов безопасности
(рис. 1.1) в конце каждого участка определяют максимальную скорость, которую можно развить без учета условий движения на последующих участках.
Для расчета скоростей движения рекомендуется использовать программы для ЭВМ, разработанные МАДИ или НПО "Кредо-Диалог".
Рис. 1.1. Линейный график скоростей движения
одиночных автомобилей и график коэффициентов безопасности
1.3.4. Участки по опасности для движения оценивают исходя из значений коэффициента безопасности. В проектах новых дорог недопустимы участки с коэффициентами безопасности, меньшими 0,8. В проектах реконструкции и капитального ремонта допустимые значения коэффициента безопасности принимаются по табл. 1.6.
Степень опасности участка дороги | Коэффициент безопасности при отрицательных ускорениях, м/с2 |
0,5 - 1,5 | 1,5 - 2,5 |
Начальная скорость движения 60 - 80 км/ч |
Неопасный | Более 0,6 | Более 0,65 |
Опасный | 0,45 - 0,6 | 0,55 - 0,65 |
Очень опасный | Менее 0,45 | Менее 0,5 |
Начальная скорость движения 85 - 100 км/ч |
Неопасный | Более 0,7 | Более 0,75 |
Опасный | 0,55 - 0,7 | 0,6 - 0,75 |
Очень опасный | Менее 0,55 | Менее 0,6 |
Начальная скорость движения 105 - 120 км/ч |
Неопасный | Более 0,8 | Более 0,85 |
Опасный | 0,65 - 0,8 | 0,7 - 0,85 |
Очень опасный | Менее 0,65 | Менее 0,7 |
1.3.5. Метод коэффициентов безопасности учитывает движение одиночного автомобиля, что характерно для условий движения на дорогах с малой интенсивностью или часов спада движения на более загруженных дорогах. Это не препятствует его использованию для дорог всех типов, поскольку при высокой интенсивности движения обгоны практически исключаются, а расчет для одиночного автомобиля направлен на повышение безопасности.
1.4. Метод коэффициентов аварийности
1.4.1. Метод коэффициентов аварийности основан на определении итогового коэффициента аварийности

:
| | ИС МЕГАНОРМ: примечание. Нумерация формул дана в соответствии с официальным текстом документа. | |

, (1.6)
где

- частные коэффициенты аварийности, основанные на результатах анализа статистических данных о ДТП и характеризующие влияние на безопасность движения параметров дорог и улиц в плане, поперечном и продольном профилях, элементов обустройства, интенсивности движения, состояния покрытия;
n - число частных коэффициентов аварийности, учитываемых при оценке безопасности движения на дорогах или городских улицах различной категории.
1.4.2. Значения частных коэффициентов аварийности для дорог и улиц разных категорий приведены в
Прил. 1.
1.4.3. Дорожные организации, осуществляя учет и анализ ДТП, могут устанавливать дополнительные коэффициенты, учитывающие местные условия, например, частоту расположения кривых, наличие вблизи дороги аллейных насаждений, ирригационных каналов, неогражденных крутых склонов и т.д.
1.4.4. Итоговые коэффициенты аварийности устанавливают на основе анализа плана и профиля или линейного графика исследуемого участка дороги путем перемножения частных коэффициентов.
1.4.5. По значениям итоговых коэффициентов аварийности строят линейный график
(рис. 1.2). На него наносят план и профиль дороги, выделив все элементы, от которых зависит безопасность движения (продольные уклоны, вертикальные кривые, кривые в плане, мосты, населенные пункты, пересекающиеся дороги и др.). На графике фиксируют по отдельным участкам среднюю интенсивность движения по данным учета дорожных организаций или специальных изыскательских партий, а для проектируемых дорог - перспективную интенсивность движения. Условными знаками обозначают места зарегистрированных в последние годы ДТП. Дорожно-эксплуатационные организации должны пополнять графики данными о ДТП. Под планом и профилем выделяют графы для каждого из учитываемых показателей, для которых выше приведены коэффициенты аварийности.
Рис. 1.2. Пример графика итогового
коэффициента аварийности
1.4.6. При построении графика коэффициентов аварийности необходимо учитывать, что влияние опасного места распространяется на прилегающие участки, где возникают ощутимые помехи для движения (
табл. П-1.8,
П-1.9).
1.4.7. В проектах реконструкции дорог и нового строительства рекомендуется перепроектировать участки, для которых итоговый коэффициент аварийности более 15 - 20.
1.4.8. В проектах улучшения дорог при капитальном ремонте в условиях холмистого рельефа следует предусматривать перестройку участков с коэффициентами аварийности более 25 - 40.
1.4.9. На горных дорогах с позиции безопасности движения допустимыми можно считать участки со значениями итогового коэффициента аварийности менее 35 и более 350. Однако следует иметь в виду, что при его значениях более 350 скорости движения и пропускная способность дороги значительно снижаются.
1.4.10. Допустимые значения итоговых коэффициентов аварийности для вновь строящихся автомагистралей не более 10,0, для эксплуатирующихся - 12,0.
1.4.11. В городских условиях при реконструкции улиц и новом строительстве не допускаются участки, итоговый коэффициент аварийности которых превышает 25.
1.4.12. Если возможность быстрого улучшения всей дороги ограничена, особенно при стадийной реконструкции, при установлении очередности перестройки опасных участков необходимо дополнительно учитывать тяжесть ДТП. При построении графиков итоговые коэффициенты аварийности следует умножить на дополнительные коэффициенты тяжести (стоимостные коэффициенты, учитывающие возможные потери народного хозяйства от ДТП):

; (1.7)

, (1.8)
где

- дополнительные стоимостные коэффициенты (
табл. 1.9).
Поправку к итоговым коэффициентам аварийности вводят только при значениях

.
┌───┬───────────────────────────────────┬────────────────────────┐
│ N │ Учитываемые факторы │ Средние значения │
│п/п│ │коэффициента тяжести m │
│(i)│ │ i │
│ │ ├───────────┬────────────┤
│ │ │ для дорог │ для горных │
│ │ │в равнинной│ дорог │
│ │ │ местности │ │
├───┼───────────────────────────────────┼───────────┼────────────┤
│1. │Ширина проезжей части дорог, м: │ │ │
│ │ 4,5 │0,7 │0,7 │
│ │ 6 │1,2 │1,2 │
│ │ 7 - 7,5 │1,0 │1,0 │
│ │ 9 │1,4 │1,4 │
│ │ 10,5 │1,2 │1,2 │
│ │ 14 │1,0 │- │
│ │ 15 и более для дорог с раздели- │0,9 │- │
│ │ тельной полосой │ │ │
├───┼───────────────────────────────────┼───────────┼────────────┤
│2. │Ширина обочин, м: │ │ │
│ │ менее 2,5 │0,85 │0,85 │
│ │ более 2,5 │1,0 │1,0 │
├───┼───────────────────────────────────┼───────────┼────────────┤
│3. │Продольный уклон дорог, о/оо: │ │ │
│ │ менее 30 │1,0 │1,0 │
│ │ более 30 │1,25 │1,4 │
├───┼───────────────────────────────────┼───────────┼────────────┤
│4. │Радиусы кривых в плане, м: │ │ │
│ │ менее 350 │0,9 │0,8 │
│ │ более 350 │1,0 │1,0 │
├───┼───────────────────────────────────┼───────────┼────────────┤
│5. │Сочетание кривых в плане и профиле │- │1,05 │
├───┼───────────────────────────────────┼───────────┼────────────┤
│6. │Видимость в плане и профиле, м: │ │ │
│ │ менее 250 │0,7 │0,7 │
│ │ более 250 │1,0 │1,0 │
├───┼───────────────────────────────────┼───────────┼────────────┤
│7. │Мосты и путепроводы │2,1 │1,3 │
├───┼───────────────────────────────────┼───────────┼────────────┤
│8. │Нерегулируемые пересечения в одном │0,8 │0,6 │
│ │уровне │ │ │
├───┼───────────────────────────────────┼───────────┼────────────┤
│9. │Пересечения на разных уровнях │0,95 │- │
├───┼───────────────────────────────────┼───────────┼────────────┤
│10.│Населенные пункты │1,6 │1,0 │
├───┼───────────────────────────────────┼───────────┼────────────┤
│11.│Число полос движения: │ │ │
│ │ 1 │0,9 │0,9 │
│ │ 2 │1,0 │1,0 │
│ │ 3 │1,3 │1,3 │
│ │ 4 и более │1,0 │1,0 │
├───┼───────────────────────────────────┼───────────┼────────────┤
│12.│Наличие деревьев, опор путепроводов│1,5 │0,9 │
│ │и т.д. на обочинах и разделительной│ │ │
│ │полосе │ │ │
├───┼───────────────────────────────────┼───────────┼────────────┤
│13.│Отсутствие ограждений в необходимых│1,4 │1,8 │
│ │местах │ │ │
├───┼───────────────────────────────────┼───────────┼────────────┤
│14.│Железнодорожные переезды │0,6 │0,6 │
└───┴───────────────────────────────────┴───────────┴────────────┘
| | ИС МЕГАНОРМ: примечание. В официальном тексте документа, видимо, допущена опечатка: имеется в виду табл.1.9, а не табл. 1.7. | |
1.4.13. За единицу дополнительных стоимостных коэффициентов приняты средние потери народного хозяйства от одного ДТП на эталонном участке дороги или улицы. Остальные коэффициенты вычислены на основании данных о средних потерях от одного ДТП при различных дорожных условиях. Значения коэффициента тяжести приведены в
табл. 1.7.
Для городских улиц и дорог значения коэффициента тяжести

приведены в табл. 1.10.
Таблица 1.10
┌─────────────────────────────────┬──────────────────────────────┐
│ Учитываемые факторы │ m │
│ │ i │
├─────────────────────────────────┼──────────────────────────────┤
│Ширина проезжей части улиц, м: │ │
│ 4,5 │1,0 │
│ 6,0 │1,02 │
│ 7,75 │0,98 │
│ 8 - 9,0 │1,02 │
│ 10 - 14,0 │1,01 │
│ 15,0 │1,08 │
├─────────────────────────────────┼──────────────────────────────┤
│Продольный уклон, о/оо: │ │
│ менее 20 │1,0 │
│ более 20 │1,17 │
├─────────────────────────────────┼──────────────────────────────┤
│Радиусы кривых в плане, м: │ │
│ менее 200 │1,36 │
│ более 200 │1,0 │
├─────────────────────────────────┼──────────────────────────────┤
│Мосты и путепроводы │1,4 │
├─────────────────────────────────┼──────────────────────────────┤
│Нерегулируемые перекрестки │0,81 │
├─────────────────────────────────┼──────────────────────────────┤
│Регулируемые перекрестки │0,80 │
├─────────────────────────────────┼──────────────────────────────┤
│Пешеходные переходы │1,25 │
├─────────────────────────────────┼──────────────────────────────┤
│Остановки общественного │1,34 │
│транспорта │ │
└─────────────────────────────────┴──────────────────────────────┘
Значения дополнительных коэффициентов тяжести в ряде случаев увеличиваются при улучшении дорожных условий, так как возрастание скоростей движения приводит к авариям с более тяжелыми последствиями.
1.5. Оценка безопасности движения по автомобильным
дорогам в неблагоприятных погодно-климатических условиях
Общие положения
1.5.1. В неблагоприятных погодно-климатических условиях, которые наиболее часто наблюдаются в осенне-весенний и зимний периоды года, заметно проявляются любые недостатки дорог, влияющие на безопасность движения. Кроме того, что участки дорог, опасные для движения в благоприятных условиях погоды, становятся более опасными, появляются новые опасные участки.
Для разработки мероприятий, обеспечивающих безопасность в любое время года, необходимо выполнять оценку безопасности движения на дорогах в неблагоприятные периоды года. Указанная оценка должна выполняться на стадии разработки проектов строительства новых дорог, реконструкции и ремонта существующих дорог, а также при оценке транспортно-эксплуатационного состояния эксплуатируемых дорог.
1.5.2. Соответствие проектных решений и состояния существующих дорог требованиям обеспечения безопасного и удобного движения в неблагоприятных климатических условиях оценивают путем определения сезонных коэффициентов безопасности и аварийности для летнего, осенне-весеннего (переходных) и зимнего периодов года. Кроме того, для оценки безопасности движения на существующих дорогах используют линейный график относительных коэффициентов аварийности (коэффициентов происшествий), определяемых для каждого характерного периода года.
Оценка безопасности движения по сезонным
графикам коэффициента безопасности
1.5.3. Степень соответствия запроектированной или существующей дороги требованиям безопасности движения автомобилей в неблагоприятные периоды года может быть оценена по величине сезонного коэффициента безопасности, который характеризует плавность изменения максимальной скорости движения при переходе автомобиля с одного участка на другой в характерных для данного периода года погодных условиях и состояние дороги.
1.5.4. Значения максимально возможных скоростей движения

на каждом участке дороги для любого периода года вычисляются с помощью методов, которые использовали и при определении коэффициента безопасности для обычных условий. Однако в формулы расчета максимальной скорости вводят значения параметров и характеристик состояния дороги и погодных условий, соответствующих каждому периоду года.
Для существующих дорог максимальная скорость может быть определена на основе наблюдений за режимами движения как скорость свободного движения легковых автомобилей 85%-ной обеспеченности или как скорость транспортного потока 95%-ной обеспеченности в характерных условиях движения.
1.5.5. Каждому периоду года соответствует характерное состояние поверхности дороги, принимаемое за расчетное.
А. В зимний период:
1) слой рыхлого снега на поверхности покрытия и обочин имеется только во время снегопада и метелей, в перерывах между проходами снегоочистительных машин;
2) проезжая часть, чистая от снега, уплотненный снег и лед на прикромочных полосах, рыхлый снег на обочинах;
3) слой плотного снежного наката на проезжей части, слой рыхлого снега на обочинах;
4) гололед на покрытии;
5) покрытие влажное, тонкий слой рыхлого мокрого снега или слой снега и льда, растворенного хлоридами.
Состояния 1, 2, 4 и 5 принимают расчетными для дорог I, II, III категорий, состояния 2 и 3 - для дорог III и IV категорий.
Расчетная толщина слоя рыхлого снега на покрытии принимается по многолетним данным дорожно-эксплуатационной службы в зависимости от защищенности дороги от снежных заносов и оснащенности дорожной службы машинами для зимнего содержания, но не менее 10 мм.
Б. В осенне-весенний переходные периоды:
1) вся поверхность дороги мокрая, чистая;
2) проезжая часть мокрая, чистая; прикромочные полосы загрязнены;
3) проезжая часть мокрая, загрязненная.
Состояние 1 принимают расчетным для дорог I и II категорий с обочинами, укрепленными на всю ширину каменными материалами с применением минеральных или органических вяжущих, состояние 2 - для дорог, имеющих укрепленные краевые полосы или обочины, укрепленные щебеночными и гравийными материалами без вяжущих веществ, состояние 3 - для дорог без укрепленных краевых полос и обочин.
В. В летний период:
сухое чистое покрытие, сухие твердые обочины.
1.5.6. Каждому расчетному состоянию покрытия соответствует определенный коэффициент сопротивления качению и коэффициент сцепления (
табл. 1.11 и
1.12), изменяющиеся в зависимости от скорости:

; (1.9)

, (1.10)
где

и

- коэффициент сопротивления качению и коэффициент сцепления при скорости 20 км/ч;

и

- коэффициенты изменения сопротивления качению и сцепления в зависимости от скорости. При скорости до 60 км/ч значение

; при больших скоростях

для легкового автомобиля;
v - скорость, для которой определяются значения

или

, км/ч.
┌───────────────┬──────────────────────────────────────────────────────────────────┐
│ Тип покрытия │ Значения коэффициента сопротивления качению f │
│ │ 20 │
│ │ при различных состояниях покрытия │
│ ├───────┬───────┬──────┬──────┬────────┬───────────────────────────┤
│ │эталон-│влажное│мокрое│на │гололед │ рыхлый снег толщиной, мм │
│ │ное │чистое │за- │покры-│ ├──────┬──────┬──────┬──────┤
│ │(сухое)│ │гряз- │тии │ │до 10 │10 - │20 - │40 - │
│ │ │ │ненное│ровный│ │ │ 20│ 40│ 60│
│ │ │ │ │слой │ │ │ │ │ │
│ │ │ │ │плот- │ │ │ │ │ │
│ │ │ │ │ного │ │ │ │ │ │
│ │ │ │ │снега │ │ │ │ │ │
├───────────────┼───────┼───────┼──────┼──────┼────────┼──────┼──────┼──────┼──────┤
│Цементо- и ас- │0,01 - │0,02 - │0,03 -│0,04 -│0,015 - │0,03 -│0,04 -│0,08 -│0,09 -│
│фальтобетонное │ 0,02│ 0,03│ 0,035│ 0,10│ 0,03│ 0,04│ 0,09│ 0,12│ 0,15│
├───────────────┼───────┼───────┼──────┼──────┼────────┼──────┼──────┼──────┼──────┤
│То же, с │0,02 │0,02 - │0,03 -│0,04 -│0,02 - │0,03 -│0,04 -│0,08 -│0,09 -│
│поверхностной │ │ 0,03│ 0,035│ 0,10│ 0,4│ 0,04│ 0,09│ 0,12│ 0,15│
│обработкой │ │ │ │ │ │ │ │ │ │
├───────────────┼───────┼───────┼──────┼──────┼────────┼──────┼──────┼──────┼──────┤
│Из холодного │0,02 - │0,025 -│0,03 -│0,04 -│0,02 - │0,03 -│0,04 -│0,08 -│0,09 -│
│асфальтобетона,│ 0,025│ 0,035│ 0,045│ 0,10│ 0,04│ 0,05│ 0,09│ 0,12│ 0,15│
│черное щебеноч-│ │ │ │ │ │ │ │ │ │
│ное (гравийное)│ │ │ │ │ │ │ │ │ │
├───────────────┼───────┼───────┼──────┼──────┼────────┼──────┼──────┼──────┼──────┤
│Гравийное и │0,035 │0,035 -│0,04 -│0,04 -│0,03 - │0,04 -│0,04 -│0,03 -│0,09 -│
│щебеночное │ │ 0,05│ 0,06│ 0,10│ 0,04│ 0,06│ 0,10│ 0,12│ 0,15│
├───────────────┼───────┼───────┼──────┼──────┼────────┼──────┼──────┼──────┼──────┤
│Грунтовая │0,03 │0,04 - │0,05 -│0,06 -│0,03 - │0,06 -│0,06 -│0,08 -│0,09 -│
│дорога │ │ 0,05│ 0,15│ 0,010│ 0,05│ 0,08│ 0,12│ 0,12│ 0,15│
└───────────────┴───────┴───────┴──────┴──────┴────────┴──────┴──────┴──────┴──────┘
Примечание. Меньшие значения принимают для ровных гладких покрытий, большие - для покрытий, имеющих неровности.
┌────────────┬─────────────────────────────────────────────────────────────────────────────────────┐
│Тип покрытия│ Значения коэффициента сцепления фи и коэффициента снижения бета │
│ │ 20 фи │
│ │ в зависимости от типа покрытия и его состояния │
│ ├─────────────┬─────────────┬─────────────┬───────────────┬─────────────┬─────────────┤
│ │ эталонное │ мокрое │ мокрое │ рыхлый снег │ уплотненный │ гололед │
│ │ (сухое) │ (чистое) │ (грязное) │ │ снег │ │
│ ├──────┬──────┼──────┬──────┼──────┬──────┼──────┬────────┼──────┬──────┼──────┬──────┤
│ │ фи │бета │ фи │бета │ фи │бета │ фи │ бета │ фи │бета │ фи │бета │
│ │ 20 │ фи│ 20 │ фи│ 20 │ фи│ 20 │ фи │ 20 │ фи│ 20 │ фи│
├────────────┼──────┼──────┼──────┼──────┼──────┼──────┼──────┼────────┼──────┼──────┼──────┼──────┤
│Цементобе- │0,80 -│0,002 │0,65 -│0,0035│0,40 -│0,0025│0,15 -│0,001 - │0,20 -│0,0025│0,08 -│0,002 │
│тонное │ 0,85│ │ 0,70│ │ 0,45│ │ 0,35│ 0,004│ 0,50│ │ 0,15│ │
├────────────┼──────┼──────┼──────┼──────┼──────┼──────┼──────┼────────┼──────┼──────┼──────┼──────┤
│Асфальтобе- │0,80 -│0,0035│0,60 -│0,0035│0,45 -│0,0035│0,15 -│0,001 - │0,20 -│0,0025│0,10 -│0,002 │
│тонное с │ 0,85│ │ 0,65│ │ 0,55│ │ 0,35│ 0,004│ 0,50│ │ 0,20│ │
│шероховатой │ │ │ │ │ │ │ │ │ │ │ │ │
│обработкой │ │ │ │ │ │ │ │ │ │ │ │ │
├────────────┼──────┼──────┼──────┼──────┼──────┼──────┼──────┼────────┼──────┼──────┼──────┼──────┤
│То же, без │0,80 -│0,002 │0,50 -│0,0035│0,35 -│0,0025│0,15 -│0,001 - │0,20 -│0,0025│0,08 -│0,002 │
│шероховатой │ 0,85│ │ 0,60│ │ 0,40│ │ 0,35│ 0,004│ 0,50│ │ 0,15│ │
│обработки │ │ │ │ │ │ │ │ │ │ │ │ │
├────────────┼──────┼──────┼──────┼──────┼──────┼──────┼──────┼────────┼──────┼──────┼──────┼──────┤
│Из холодного│0,60 -│0,005 │0,40 -│0,004 │0,30 -│0,0025│0,12 -│0,001 - │0,20 -│0,0025│0,08 -│0,002 │
│асфальто- │ 0,70│ │ 0,50│ │ 0,35│ │ 0,30│ 0,004│ 0,50│ │ 0,15│ │
│бетона │ │ │ │ │ │ │ │ │ │ │ │ │
├────────────┼──────┼──────┼──────┼──────┼──────┼──────┼──────┼────────┼──────┼──────┼──────┼──────┤
│Черное щебе-│0,60 -│0,004 │0,50 -│0,004 │0,30 -│0,0025│0,15 -│0,0015 -│0,20 -│0,0025│0,10 -│0,002 │
│ночное (гра-│ 0,70│ │ 0,60│ │ 0,35│ │ 0,35│ 0,004│ 0,50│ │ 0,20│ │
│вийное) с │ │ │ │ │ │ │ │ │ │ │ │ │
│шероховатой │ │ │ │ │ │ │ │ │ │ │ │ │
│обработкой │ │ │ │ │ │ │ │ │ │ │ │ │
├────────────┼──────┼──────┼──────┼──────┼──────┼──────┼──────┼────────┼──────┼──────┼──────┼──────┤
│То же, без │0,50 -│0,004 │0,40 -│0,005 │0,25 -│0,003 │0,12 -│0,001 - │0,20 -│0,0025│0,08 -│0,002 │
│обработки │ 0,60│ │ 0,50│ │ 0,30│ │ 0,30│ 0,004│ 0,50│ │ 0,15│ │
├────────────┼──────┼──────┼──────┼──────┼──────┼──────┼──────┼────────┼──────┼──────┼──────┼──────┤
│Щебеночное и│0,60 -│0,004 │0,55 -│0,0045│0,25 -│0,003 │0,15 -│0,001 - │0,20 -│0,0025│0,10 -│0,002 │
│гравийное │ 0,70│ │ 0,60│ │ 0,30│ │ 0,35│ 0,004│ 0,50│ │ 0,15│ │
├────────────┼──────┼──────┼──────┼──────┼──────┼──────┼──────┼────────┼──────┼──────┼──────┼──────┤
│Грунтовое │0,40 -│0,005 │0,25 -│0,005 │0,20 │0,003 │0,12 -│0,001 - │0,20 -│0,0025│0,08 -│0,002 │
│улучшенное │ 0,50│ │ 0,40│ │ │ │ 0,30│ 0,004│ 0,50│ │ 0,18│ │
└────────────┴──────┴──────┴──────┴──────┴──────┴──────┴──────┴────────┴──────┴──────┴──────┴──────┘
Примечания. 1. Для сухого и мокрого состояний покрытия большие значения коэффициента сцепления принимают для ровных покрытий, меньшие - для покрытий, имеющих неровности.
2. Для гололеда, снежного наката и рыхлого снега большие значения коэффициента сцепления принимают при температуре воздуха -20 °С и ниже, меньшие - при температуре выше -10 °С.
3. Значения коэффициента сцепления приведены для шин с протектором.
1.5.7. Максимальную скорость на прямых участках дороги определяют по динамическим характеристикам расчетного легкового автомобиля (типа ВАЗ) и проверяют возможность ее достижения по соотношению сил сцепления и сопротивления качению.
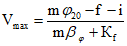
Максимально возможная скорость движения на подъеме и горизонтальном участке по сцеплению колеса с дорогой с учетом сопротивления качению при расчетном состоянии покрытия составляет:

, (1.11)
где m - коэффициент сцепного веса для легкового автомобиля, принимаемый равным 0,5;
i - продольный уклон в долях единицы.
1.5.8. Максимально допустимую скорость на спуске и участках с ограниченной видимостью в плане и профиле определяют из условия торможения перед внезапно возникшим препятствием на поверхности дороги исходя из расстояния видимости и коэффициента сцепления, соответствующего расчетному состоянию покрытия.
1.5.9. Максимальную скорость при различной ширине проезжей части, краевых укрепительных полос и укрепленных обочин в зависимости от их состояния можно определить из схемы расчета требуемой ширины укрепленной поверхности дороги. При этом на дорогах, не имеющих укрепленных обочин, ширина укрепленной поверхности в неблагоприятные периоды года определяется с учетом ее уменьшения за счет загрязнения прикромочных полос, образования на них снежного наката, льда и т.д.:

, (1.12)
где B и

- проектная ширина проезжей части и краевых укрепительных полос, м;

- коэффициент, учитывающий влияние вида укрепления на уменьшение ширины основной укрепленной поверхности. Принимается в зависимости от типа укрепления обочин по табл. 1.13.
Таблица 1.13
┌────────────────────────────┬───────────────────────────────────┐
│ Вид укрепления обочин │ Значения K │
│ │ у │
│ ├───────────────┬───────────────────┤
│ │ на прямых │ на кривых в плане │
│ │ участках и на │ радиусом менее │
│ │кривых в плане │200 м, на участках │
│ │радиусом более │ с ограждениями, │
│ │ 200 м │ направляющими │
│ │ │ столбиками, │
│ │ │тумбами, парапетами│
├────────────────────────────┼───────────────┼───────────────────┤
│Покрытие из асфальтобетона, │1,0 │1,0 │
│цементобетона или из матери-│ │ │
│алов, обработанных вяжущими │ │ │
├────────────────────────────┼───────────────┼───────────────────┤
│Слой щебня или гравия │0,98/0,96 │0,97/0,95 │
├────────────────────────────┼───────────────┼───────────────────┤
│Засев трав │0,96/0,94 │0,95/0,93 │
├────────────────────────────┼───────────────┼───────────────────┤
│Обочины не укреплены │0,95/0,93 │0,93/0,90 │
└────────────────────────────┴───────────────┴───────────────────┘
Примечания. 1. В числителе - для дорог I и II категорий, в знаменателе - для дорог III и IV категорий.
2. Значения

даны для ширины полосы укрепления обочины 1,0 м и более. При меньшей ширине полосы укрепления значения

принимают для укрепления асфальтобетоном или другими обработанными вяжущими материалами как для укрепления щебнем или гравием; для укрепления щебнем или гравием - как для укрепления засевом трав, а для укрепления засевом трав - как для неукрепленной обочины.
При отсутствии краевых полос:
| | ИС МЕГАНОРМ: примечание. Формула 1.13 дана в соответствии с официальным текстом документа. | |

, м. (1.13)
На мостах, путепроводах, эстакадах:

, м, (1.14)
где Г - габарит моста;

- высота бордюра, м.
1.5.10. За характерные по ширине укрепленной поверхности принимают участки с одинаковой шириной проезжей части и укрепленных краевых полос, а при отсутствии краевых полос - участки дороги с одинаковой шириной проезжей части. При этом не учитывают колебания ширины в пределах до 0,25 м. При уменьшении или увеличении на смежном участке ширины основной укрепленной поверхности более чем на 0,25 м такой участок выделяют в характерный. Если разница в ширине

на смежных участках превышает 0,5 м, то участок с меньшей шириной относят к местным сужениям, в длину которого включают длину зоны влияния, по 75 м от начала и конца сужения.
1.5.11. Значение максимальной скорости движения в зависимости от фактически используемой ширины проезжей части и интенсивности движения в различные периоды года определяется по формулам, приведенным в табл. 1.14.
Таблица 1.14
Расчетная схема | Расчетные формулы | Границы применения по интенсивности движения, физич. авт./сут. |
летом | в переходные периоды | зимой |
1 | 2 | 3 | 4 | 5 |
Свободное движение одиночного автомобиля на двухполосной дороге | | Менее 700 | Менее 600 | Менее 500 |
Движение в частично связанном потоке на двухполосной проезжей части при интенсивности движения, авт./сут.: | | | | |
а) 500 - 1500 | | 700 - 1500 | 600 - 1200 | 500 - 1000 |
б) 1500 - 4200 | | 1500 - 4200 | 1200 - 3600 | 1000 - 3000 |
Движение при интенсивном встречном потоке на двухполосной проезжей части | | Более 4200 | Более 3600 | Более 3000 |
Движение на трехполосной проезжей части: | | | | |
а) при полной разметке | | Более 6000 | Более 6000 | Более 5000 |
б) при отсутствии разметки | | Более 7000 | Более 6000 | Более 6000 |
Движение на проезжей части одного направления четырехполосной автомобильной магистрали с разделительной полосой шириной, м: | | | | |
а) более 5 | | Менее 15000 | Менее 12000 | Менее 12000 |
б) до 5 | | Менее 12000 | Менее 10000 | Менее 10000 |
1.5.12. На участках дорог, подверженных действию сезонных сильных ветров, определяют величину сезонного коэффициента безопасности исходя из максимально безопасной скорости движения автомобиля при боковом воздействии ветра с расчетной скоростью. К таким участкам относятся не защищенные лесом насыпи в нулевых отметках, полунасыпи-полувыемки и выемки глубиной до 1,5 м, участки, проходящие по водоразделам и открытым возвышенностям, высокие насыпи и подходы к мостам. Воздействие ветра не учитывается на участках дороги, расположенных в лесу и выемках глубиной более 1,5 м.
Расчетную скорость ветра определяют по данным ближайшей метеостанции с учетом положения дороги на местности и ее защищенности, а также порывистости ветра. Значения максимальной безопасной скорости в зависимости от расчетной скорости ветра приведены на рис. 1.3.
Рис. 1.3. Зависимости максимальной безопасной
скорости движения автомобилей от скорости ветра:
1, 3 - для легковых автомобилей с передним
расположением двигателя, время реакции
водителя 1,0 и 1,5 с соответственно;
2, 4 - то же, для автомобилей
с задним расположением двигателя
1.5.13. Максимально допустимую скорость на кривых в плане (в км/ч) определяют по условиям устойчивости автомобиля при движении по покрытию, находящемуся в состоянии, характерном для расчетного периода, и в случае необходимости учитывают воздействия бокового ветра:

, (1.15)
где

- коэффициент поперечного сцепления;

- поперечный уклон виража;
q - коэффициент бокового давления, назначаемый в зависимости от скорости ветра:
скорость ветра, м/с | 20 | 30 | 40 | 50 |
коэффициент q для автомобилей: | | | | |
легковые автомобили | 0,010 | 0,022 | 0,040 | 0,063 |
микроавтобусы | 0,013 | 0,029 | 0,053 | 0,081 |
1.5.14. Вычисленные в соответствии с указаниями
пп. 1.5.1 -
1.5.13 значения максимальной скорости для каждого сезона года в прямом и обратном направлениях движения наносят на линейный график. При этом на участках, где на ограничение скорости влияет несколько параметров дорог, принимают меньшее ее значение.
1.5.15. Сезонный коэффициент безопасности определяют как отношение значений максимальной скорости на смежных участках по линейному графику скорости. Расстояния между смежными точками на линейном графике скорости для вычисления коэффициента безопасности принимают равными 100 м.
1.5.16. Степень опасных участков дорог устанавливают в зависимости от величины коэффициента безопасности (
табл. 1.6).
Оценка безопасности движения
по сезонным графикам коэффициентов аварийности
1.5.17. Для учета влияния погодно-климатических факторов на безопасность движения и оценки изменения условий движения в различные сезоны года строят сезонные графики коэффициентов аварийности применительно к летнему, зимнему и переходным периодам года.
1.5.18. Для проектируемых дорог частные коэффициенты аварийности принимают исходя из ожидаемого изменения параметров геометрических элементов дорог в разные сезоны года. Для этого проектные значения параметров умножают на поправочные коэффициенты (табл. 1.15). По полученным значениям геометрических параметров дорог в разные периоды года определяют частные коэффициенты аварийности.
Таблица 1.15
┌─────────────────────────────┬───────────────────────────────────────────┐
│ Учитываемый фактор │ Значения поправочных коэффициентов │
│ │ для различных сезонов года │
│ ├────────┬───────────┬───────────┬──────────┤
│ │ лето │ осень │ зима │ весна │
├─────────────────────────────┼────────┼───────────┼───────────┼──────────┤
│ 1 │ 2 │ 3 │ 4 │ 5 │
├─────────────────────────────┼────────┼───────────┼───────────┼──────────┤
│Сезонные колебания интенсив- │1,0 │1,2 - 1,4 │0,7 - 1,0 │0,8 │
│ности и состава движения │ │
<1>│
<2>│ │
├─────────────────────────────┼────────┼───────────┼───────────┼──────────┤
│Эффективная используемая │ │ │ │ │
│ширина проезжей части в связи│ │ │ │ │
│с образованием снежных отло- │ │ │ │ │
│жений или наличием грязных │ │ │ │ │
│обочин: │ │ │ │ │
│ при неукрепленных обочинах │1,0 │0,96 - 1,00│0,8 - 0,98 │0,95 - 1,0│
│ при укрепленных обочинах │1,0 │1,0 │0,95 - 1,0 │1,0 │
│и наличии краевых полос │ │ │ │ │
├─────────────────────────────┼────────┼───────────┼───────────┼──────────┤
│Уменьшение ширины обочин │ │ │ │ │
│за счет образования снежных │ │ │ │ │
│отложений на обочинах: │ │ │ │ │
│ неукрепленных │1,0 │0,5 - 1,03 │0,5 - 1,0 │0,5 - 1,0 │
│ укрепленных │1,0 │1,0 │0,5 - 1,0 │ │
├─────────────────────────────┼────────┼───────────┼───────────┼──────────┤
│Ограничение видимости на кри-│1,0 │1,0 │0,7 - 1,0 │1,0 │
│вых в плане снежными валами, │ │ │ │ │
│образующимися при очистке │ │ │ │ │
│дороги от снега │ │ │ │ │
├─────────────────────────────┼────────┼───────────┼───────────┼──────────┤
│Ограничение видимости на пря-│1,0
<4> │0,8 - 0,9 │0,7 - 0,9 │0,9 - 1,0 │
│мых участках из-за снегопа- │ │ │ │ │
│дов, туманов и метелей │ │ │ │ │
├─────────────────────────────┼────────┼───────────┼───────────┼──────────┤
│Уменьшение ширины проезжей │1,0 │0,9 - 1,0 │0,8 - 1,0 │1,0 │
│части мостов по сравнению с │ │ │ │ │
│проезжей частью дороги из-за │ │ │ │ │
│снежных отложений и наносов │ │ │ │ │
│грязи у бордюра или тротуара │ │ │ │ │
├─────────────────────────────┼────────┼───────────┼───────────┼──────────┤
│Изменение соотношения интен- │ │ │ │ │
│сивности движения по дорогам,│ │ │ │ │
│пересекающимся в одном │ │ │ │ │
│уровне: │ │ │ │ │
│ в связи с использованием │1,0 │1,0 - 1,4 │0,9 - 1,0 │1,0 - 1,4 │
│съездов на полевые дороги │ │ │ │ │
│ в связи с колебаниями │1,0 │1,2 - 1,4 │0,7 - 1,0 │0,8 - 0,9 │
│интенсивности движения по │ │ │ │ │
│основной дороге │ │ │ │ │
├─────────────────────────────┼────────┼───────────┼───────────┼──────────┤
│Изменение видимости на пере- │1,0 │1,0 │0,2 - 1,0 │1,0 │
│сечениях на одном уровне │ │ │
<5>│ │
│из-за снеговых валов на обо- │ │ │ │ │
│чинах и снегозащитных │ │ │ │ │
│насаждений │ │ │ │ │
├─────────────────────────────┼────────┼───────────┼───────────┼──────────┤
│Изменение используемого числа│ │ │ │ │
│полос движения на проезжей │ │ │ │ │
│части из-за снежных отложений│ │ │ │ │
│и грязных обочин на дорогах: │ │ │ │ │
│ с двумя и четырьмя полосами │1,0 │1,0 │1,0 │1,0 │
│движения │ │ │ │ │
├─────────────────────────────┼────────┼───────────┼───────────┼──────────┤
│ с тремя полосами движения │1,0 │0,67 │0,67 │1,0 │
├─────────────────────────────┼────────┴───────────┴───────────┴──────────┤
│Расстояние от застройки до │Учитываются фактические условия движения │
│проезжей части │пешеходов в населенном пункте в разные │
│ │периоды года │
├─────────────────────────────┼────────┬───────────┬───────────┬──────────┤
│Скользкость покрытия │1,0 │0,7 - 1,0 │0,5 - 0,8 │0,8 - 1,0 │
└─────────────────────────────┴────────┴───────────┴───────────┴──────────┘
Примечания. 1. Верхний предел принимается для дорог I и II категорий, нижний - для III и IV категорий.
2. Верхний предел - для дорог III и IV категорий, нижний - для I и II категорий.
3. Большие значения принимают при очистке обочин на всю ширину.
4. Расстояние видимости летом по метеорологическим условиям принимают равным 500 м.
5. Меньшее значение относится к пересечениям, на которых снежные валы из пределов треугольника видимости не убираются.
Для существующих дорог следует исходить из установленных наблюдениями параметров дорог в различных погодно-климатических условиях.
1.5.19. Графики коэффициентов аварийности для разных сезонов следует совмещать на одном бланке, что дает возможность выявить опасные участки и оценить изменения степени их опасности по сезонам года. На графиках должны отмечаться места ДТП в разные сезоны года с указанием их вида.
1.5.20. При построении сезонных графиков коэффициентов аварийности необходимо учитывать зоны влияния дорожных элементов (табл. 1.16).
Таблица 1.16
Элемент дороги | Зона влияния |
зимой | осенью | весной | летом |
Подъемы и спуски | За вершиной подъема 100 м, у подошвы спуска 150 м |
Пересечения в одном уровне: при наличии твердого покрытия на пересекаемой дороге | По 100 м в сторону | По 50 м в каждую сторону |
при отсутствии твердого покрытия на пересекаемой дороге | То же | По 100 - 150 м в каждую сторону в зависимости от типа грунта |
Кривые в плане с обеспеченной видимостью при радиусах менее 400 м | По 50 м от начала и конца кривой |
Кривые с необеспеченной видимостью при любом радиусе | По 100 м от начала и конца кривой |
Мосты, трубы и другие сооружения | По 100 м в каждую сторону от начала и конца сужения | По 75 м в каждую сторону от начала и конца сужения |
Пересечения на разных уровнях | В пределах между примыканиями к основной дороге переходно-скоростных полос или правоповоротных съездов |
Автобусные остановки и населенные пункты | По 100 м от границ |
1.5.21. График сезонных коэффициентов аварийности является основным рабочим документом для оценки условий безопасности движения по дороге в различные периоды года, на основании которого разрабатываются конкретные мероприятия по повышению безопасности движения и сроки их проведения на разных участках.
1.6. Метод конфликтных ситуаций
1.6.1. Метод конфликтных ситуаций используется при разработке проектов реконструкции сложных участков дорог. Под конфликтной понимается дорожно-транспортная ситуация, возникающая между участниками дорожного движения или движущимся автомобилем и обстановкой дороги, при которой существует опасность ДТП, но в действиях участников движения не происходит изменений и они могут продолжать движение. Для использования метода конфликтных ситуаций необходимы данные о режимах движения, получаемые с помощью автомобилей-лабораторий.
1.6.2. Показателем наличия конфликтной ситуации является изменение скорости или траектории движения автомобиля. Степень опасности этой ситуации характеризуется отрицательными продольными и поперечными ускорениями, возникающими при маневрах автомобилей. Конфликтные ситуации по степени опасности делятся на три типа: легкие, средние, критические (табл. 1.17).
Таблица 1.17
┌───────────┬───────────────┬────────────────────────────────────┐
│ Критерии │ Начальная │ Ускорения, м/с2, для конфликтной │
│конфликтных│ скорость │ ситуации │
│ ситуаций │ движения, км/ч├────────────┬───────────┬───────────┤
│ │ │ легкой K │ средней K │критической│
│ │ │ 1 │ 2│ K │
│ │ │ │ │ 3 │
├───────────┼───────────────┼────────────┼───────────┼───────────┤
│Отрицатель-│Более 100 │Менее 0,9 │Менее 1,1 │1,5 │
│ные про- │80 - 100 │1,5 +/- 0,5 │2,3 +/- 0,3│2,7 │
│дольные │Менее 80 │2,9 +/- 0,8 │3,0 +/- 0,7│3,8 │
│ускорения │ │ │ │ │
├───────────┼───────────────┼────────────┼───────────┼───────────┤
│Поперечные │Более 100 │Менее 0,3 │Менее 0,7 │0,8 │
│ускорения │80 - 100 │0,5 +/- 0,1 │0,8 +/- 0,3│1,2 │
│ │Менее 80 │1,0 +/- 0,2 │1,4 +/- 0,2│1,7 │
└───────────┴───────────────┴────────────┴───────────┴───────────┘
1.6.3. Количество конфликтных ситуаций каждого типа определяется при реконструкции дорог с использованием метода наблюдений, а при новом строительстве - метода математического моделирования. Количество конфликтных ситуаций разной опасности приводят к критическим по формуле

, (1.16)
где

- количество конфликтных ситуаций, приведенных к критическим;

- количество легких конфликтных ситуаций за время t;

- то же, средних конфликтных ситуаций;

- то же, критических конфликтных ситуаций.
1.6.4. Участки дорог по опасности оценивают исходя из следующих значений числа конфликтных ситуаций.
Число конфликтных Менее 210 210 - 310 310 - 460 Более 460
ситуаций на
1 млн. авт.-км
Характеристика Неопасно Малоопасно Опасно Очень
опасности опасно
В проектах нового строительства и реконструкции дорог недопустимы участки с количеством конфликтных ситуаций, приведенных к критическим, более 210, а при разработке проектов по организации движения на эксплуатируемых дорогах количество конфликтных ситуаций, приведенных к критическим, должно быть менее 310.
1.6.5. Относительная аварийность на участках дорог с возможными конфликтными ситуациями рассчитывается по формуле

, (1.17)
где q - относительная аварийность, ДТП на 1 млн. авт.-км;
U - длина участка, где возникают конфликтные ситуации, км.
1.6.6. Возможное количество ДТП при проектировании дорог можно рассчитать по формуле

, (1.18)
где Q - возможное количество ДТП за год;
q - относительная аварийность (по формуле 1.5), ДТП на 1 млн. авт.-км;

- количество автомобилей, прошедших по рассматриваемому участку за год;
L - длина рассматриваемого участка, км.
2. ПЛАНИРОВАНИЕ МЕРОПРИЯТИЙ
ПО ПОВЫШЕНИЮ БЕЗОПАСНОСТИ ДОРОЖНОГО ДВИЖЕНИЯ
2.1. Планирование мероприятий по повышению безопасности
дорожного движения на существующих дорогах
2.1.1. Устранение участков концентрации ДТП на автомобильных дорогах является составной частью федеральных, региональных и местных программ повышения безопасности дорожного движения, разрабатываемых на основе Федерального
закона "О безопасности дорожного движения" и направленных на комплексное решение проблемы сокращения количества дорожно-транспортных происшествий. Указанные программы имеют, как правило, межведомственный характер.
2.1.2. Федеральные государственные программы безопасности дорожного движения, содержащие проекты по снижению уровня аварийности на участках концентрации ДТП, разрабатывают в соответствии с "
Порядком разработки и реализации федеральных целевых программ и межгосударственных целевых программ, в осуществлении которых участвует Российская Федерация".
В системе дорожного хозяйства планирование мероприятий по обеспечению безопасности дорожного движения на участках концентрации ДТП осуществляется в порядке, предусмотренном действующими нормативно-техническими и нормативно-правовыми документами, регламентирующими разработку, согласование и утверждение:
- программами дорожных работ по совершенствованию и развитию дорожной сети;
- инвестициями в автомобильные дороги;
- проектной документацией;
- планами работ по реконструкции, ремонту и содержанию автомобильных дорог.
2.1.3. В зависимости от капитальности мероприятий по повышению безопасности дорожного движения на участках концентрации ДТП и, соответственно, возможных сроков их реализации, а также исходя из установленного порядка разработки, согласования и утверждения программ дорожных работ следует различать следующие виды их планирования:
- краткосрочное (оперативное);
- годовое;
- долгосрочное и среднесрочное (программное).
2.1.4. Краткосрочное (оперативное) планирование мероприятий по обеспечению безопасности движения на участках концентрации ДТП осуществляется при назначении работ по содержанию дорожной сети на участках, элементах дорог и дорожных сооружений, транспортно-эксплуатационные показатели которых не соответствуют требованиям
ГОСТ Р 50597-93 и "Временного
руководства по оценке уровня содержания автомобильных дорог". Планирование работ и ликвидация таких дефектов транспортно-эксплуатационного состояния дорог должны выполняться по мере их обнаружения в установленные сроки в соответствии с технологиями дорожных работ, принятыми в "Технических правилах ремонта и содержания автомобильных дорог"
(ВСН 24-88). На период выполнения работ по ликвидации выявленных дефектов на соответствующих участках дорог в предусмотренном порядке должны быть введены временные ограничения движения транспортных средств, обеспечивающие безопасность дорожного движения. Приоритетность реализации мероприятий по повышению безопасности движения при краткосрочном (оперативном) планировании дорожных работ, направленных на доведение транспортно-эксплуатационного состояния дорожной сети до допускаемого уровня содержания, должна определяться степенью опасности участков концентрации ДТП, на которых выявлены дефекты, влияющие на условия безопасности движения, а также степенью опасности самих этих дефектов.
2.1.5. Годовое планирование мероприятий по обеспечению безопасности движения на участках концентрации ДТП осуществляется при составлении годовых программ дорожных работ на федеральных и территориальных дорогах.
Обосновывающие материалы к указанным программам должны содержать:
- сведения об участках концентрации ДТП (местоположение, степень опасности, перечень дорожных факторов, способствующих их возникновению);
- сведения о запланированных мероприятиях по повышению безопасности движения на участках концентрации ДТП (наименование, адрес и срок проведения, стоимость).
Дополнительно должен быть составлен план мероприятий по организации системы диагностики состояния дорог по органам дорожного управления, включающий обследование опасных участков дорожной сети в целях установления причин и условий их возникновения, а также выработки соответствующих контрмер по повышению безопасности дорожного движения.
2.1.6. Долгосрочное и среднесрочное (программное) планирование мероприятий по обеспечению безопасности движения на участках концентрации ДТП и их предупреждению осуществляется при разработке программ совершенствования и развития дорожной сети, программ развития дорог, обоснования инвестиций, разработки инженерных проектов.
Основные задачи долгосрочного и среднесрочного планирования мероприятий по обеспечению безопасности дорожного движения на участках концентрации ДТП реализуются на основе:
- учета социально-экономических потерь от дорожно-транспортных происшествий при определении экономической целесообразности и очередности проведения работ по ремонту, реконструкции и строительству дорог и дорожных сооружений;
- обоснования сокращения количества и тяжести последствий дорожно-транспортных происшествий при реализации выбранного варианта развития дорог;
- оценки технических решений в инженерных проектах дорог по критериям обеспечения безопасности дорожного движения.
Разработка указанных программ и инженерных проектов должна соответствовать требованиям ОДН "Порядок разработки, согласования и утверждения проектной документации для дорожных работ, финансируемых из Федерального дорожного фонда".
2.1.7. При планировании дорожных работ по обеспечению безопасности движения на участках концентрации ДТП требуется для каждого такого участка на основе технико-экономической оценки вариантов улучшения дорожных условий выбрать наиболее эффективный комплекс мероприятий.
Для выбора наиболее эффективного комплекса мероприятий по обеспечению безопасности дорожного движения на участках концентрации ДТП следует:
- провести диагностику участков концентрации ДТП для установления элементов и характеристик дороги, не отвечающих нормативным требованиям;
- составить на основе анализа данных о дорожных условиях и состоянии аварийности перечень возможных мероприятий, которые позволят устранить неблагоприятные дорожные факторы, способствующие возникновению ДТП на рассматриваемых участках их концентрации;
- выполнить на каждом участке концентрации ДТП технико-экономическое сравнение комплексов мероприятий по повышению безопасности дорожного движения;
- определить, в рамках какого вида планирования учитывать выбранные комплексы мероприятий по повышению безопасности дорожного движения при подготовке в установленном порядке необходимой технической документации для их реализации и обоснования инвестиций.
2.1.8. Расчеты по выявлению участков концентрации ДТП и их диагностике должны ежегодно выполняться до начала формирования специализированными органами дорожного управления планов и программ работ по реконструкции, ремонту и содержанию обслуживаемой сети дорог.
На основе анализа результатов диагностики участков концентрации ДТП устанавливают показатели и характеристики состояния дороги, способствующие формированию таких участков, и назначают соответствующие мероприятия по их ликвидации.
При планировании мероприятий по повышению безопасности движения на выявленных участках концентрации ДТП следует учитывать как стабильность уровня аварийности, так и степень опасности, устанавливаемую в соответствии с рекомендациями
раздела 1. При установлении очередности проведения работ по повышению безопасности дорожного движения наиболее высокой приоритетностью обладают прогрессирующие и стабильные участки концентрации ДТП, характеризующиеся одновременно высокой степенью опасности.
Для вариантной проработки выбора мероприятий по повышению безопасности дорожного движения в число рассматриваемых следует включать мероприятия различной капитальности, в том числе ранее реализованные на участках дорог с аналогичными условиями движения и показавшие свою эффективность. Фактически наблюдаемый уровень аварийности на таких участках дорог можно принять в качестве ожидаемого в результате реализации планируемых комплексов мероприятий по повышению безопасности движения.
В целях предотвращения роста аварийности на смежных участках и создания однородности условий движения, помимо мер по обеспечению безопасности движения на участках концентрации ДТП, следует предусматривать проведение работ по общему улучшению транспортно-эксплуатационных показателей на всем протяжении дороги.
2.1.9. Вид планирования мероприятий по обеспечению безопасности движения на участках концентрации ДТП определяется с учетом:
- приоритетного обеспечения требований к эксплуатационному состоянию дорог, допускаемому по условиям безопасности
(ГОСТ Р 50597-93);
- номенклатуры дорожных работ, необходимых для повышения безопасности движения на участках концентрации ДТП, установленных в результате технико-экономических расчетов;
- утвержденных объемов финансирования мероприятий по повышению безопасности дорожного движения и сроков, необходимых для их реализации;
- очередности проведения работ по ремонту, реконструкции и строительству дорог, вошедших в программы совершенствования и развития дорожной сети на федеральном и региональном уровнях.
2.1.10. Детальная разработка технических решений и проектирование запланированных мероприятий по повышению безопасности дорожного движения, а также определение их сметной стоимости выполняются в установленном порядке при подготовке проектов строительства, реконструкции и ремонта на участках автомобильных дорог и дорожных сооружений. Порядок подготовки и принятия решений по объемам инвестиций на реализацию мероприятий по повышению безопасности дорожного движения на участках концентрации ДТП должен соответствовать положениям нормативных документов в части, касающейся планируемых работ по строительству, реконструкции и ремонту дорог.
2.2. Планирование мероприятий по повышению безопасности
движения при проектировании и реконструкции дорог
2.2.1. При планировании мероприятий по повышению безопасности движения при реконструкции дорог следует учитывать следующие основные факторы: основные цели реконструкции, протяженность существующей дороги, ее технические параметры и транспортно-эксплуатационные качества, меняющиеся по длине дороги, количество и распределение по длине дороги опасных участков, требования к техническим параметрам дороги после ее реконструкции, сроки реконструкции, обеспеченность финансированием, возможности строительных организаций.
2.2.2. В подходе к планированию мероприятий необходимо учитывать существенные различия между полной реконструкцией дороги, при которой решается целый комплекс задач - повышение пропускной способности дороги, увеличение скоростей движения, ликвидация опасных участков, охрана окружающей среды, и выборочной реконструкцией отдельных участков и мест на дороге для повышения безопасности движения и выравнивания скоростей движения автомобилей.
Полная реконструкция
2.2.3. При полной реконструкции автомобильных дорог в качестве основных мероприятий, направленных на повышение безопасности движения и транспортно-эксплуатационных качеств, применяют: уширение проезжей части и земляного полотна, исправление трассы дороги в плане и продольном профиле, строительство обходов населенных пунктов, изменение планировки пересечений в одном уровне, строительство пересечений в разных уровнях, оборудование дороги автобусными остановками, стоянками автомобилей, площадками отдыха и др.
Конкретный набор мероприятий определяют в процессе проектирования путем технико-экономического сравнения вариантов проектных решений и выбора оптимального из них, рекомендуемого к реализации.
2.2.4. Полная реконструкция дороги производится путем одновременного выполнения всех предусмотренных в проекте мероприятий на участках значительного протяжения.
Протяженность таких участков, очередность и стадийность их реконструкции должны назначаться с учетом требований обеспечения безопасности движения и создания минимальных помех движению автомобильного транспорта в процессе выполнения строительных работ.
2.2.5. В целях уменьшения помех дорожному движению реконструкция должна проводиться не сразу на всей дороге, а отдельными участками. Следует стремиться к максимально возможному сокращению продолжительности проведения работ на каждом из участков, что может быть достигнуто путем ограничения протяженности участка и максимальной концентрации на нем сил и средств строительной организации.
Протяженность участка, на котором проводятся работы по его реконструкции, должна назначаться с учетом объемов строительных работ, их технологии, возможностей строительной организации, а также особенностей организации движения в местах производства строительных работ.
2.2.6. При назначении очередности реконструкции в первую очередь следует отдавать приоритет участкам с наибольшими значениями показателей аварийности и загрузки дороги движением. При этом также необходимо учитывать особенности технологии строительных работ и размещения производственных предприятий строительных организаций.
2.2.7. При реконструкции дорог с доведением их до норм дорог I технической категории целесообразно рассмотреть возможность стадийной реконструкции. На первой стадии строятся искусственные сооружения, земляное полотно, дорожная одежда и проводится инженерное обустройство для одной проезжей части. После завершения этих работ движение автотранспорта переключается с существующей дороги на новую проезжую часть.
На второй стадии выполняется реконструкция существующей дороги, которая после этого будет выполнять функцию второй проезжей части. Такое решение может оказаться эффективным с точки зрения уменьшения помех автотранспорту и снижения аварийности в период производства работ по реконструкции дороги.
Выборочная реконструкция
2.2.8. Выборочная реконструкция автомобильных дорог выполняется в условиях недостаточного финансирования, когда отсутствует возможность исправления или перестройки всех участков, отличающихся повышенной аварийностью и низкими транспортно-эксплуатационными качествами. При этом мероприятия выполняются не на всем протяжении дороги, а на отдельных участках.
2.2.9. Основными критериями для выбора участков, подлежащих выборочной реконструкции, являются:
- уровень фактической аварийности, определяемый в соответствии с рекомендациями
раздела 1.2;
- значения итогового коэффициента аварийности (см.
раздел 1.4);
- значения коэффициента безопасности (см.
раздел 1.3);
- значения коэффициента загрузки дороги движением (см.
Прил. 4).
Выборочной реконструкции подлежат участки, характеризуемые как опасные по методике, изложенной в
разделе 1.2.
При невозможности использования этой методики вследствие отсутствия достоверной информации о ДТП в качестве участков выборочной реконструкции следует принимать участки, у которых значения итогового коэффициента аварийности превышают допустимые величины или значения коэффициента безопасности больше значений, приведенных в
табл. 1.6.
В целях улучшения режимов движения выборочной реконструкции подлежат также участки, для которых коэффициент загрузки дороги движением превышает 0,65.
2.2.10. При этапном выполнении выборочной реконструкции в течение нескольких лет очередность реконструкции определяется уровнем аварийности на отдельных участках, объемами и стоимостью работ, обеспеченностью финансированием, производственными возможностями строительных организаций.
В первую очередь реконструкции подлежат наиболее опасные участки (с максимальными значениями коэффициента относительной аварийности или итогового коэффициента аварийности, наименьшими значениями коэффициента безопасности). При одинаковых значениях итогового коэффициента аварийности для разных участков приоритет следует отдавать тем, у которых коэффициенты тяжести (см.
п. 1.4.4) имеют большие значения.
2.2.11. Очередность реконструкции должна назначаться также с учетом необходимости улучшения ровности и сцепных качеств покрытия и повышения прочности дорожной одежды, а также рекомендаций
пп. 2.2.5 -
2.2.7.
2.2.12. Наиболее обоснованные решения по назначению выборочной реконструкции автомобильных дорог могут быть получены на основе расчетов на ЭВМ по программам, включенным в АБДД для федеральных автомобильных дорог, или по программе "Повышение транспортно-эксплуатационных качеств автомобильных дорог", разработанной в МАДИ (ГТУ).
3. ТРЕБОВАНИЯ К ПОПЕРЕЧНОМУ ПРОФИЛЮ
3.1. Количество полос движения
3.1.1. Наименьшее количество полос движения на дороге устанавливается действующими стандартами на классификацию и элементы автомобильных дорог. Устройство дополнительных полос движения требуется на затяжных подъемах, пересечениях, а также на участках дорог, уровень загрузки которых превышает 0,6.
3.1.2. На пересечениях и съездах в одном уровне со светофорным регулированием дополнительные полосы для правого и левого поворотов устраиваются при интенсивности поворачивающего движения более 50 авт./ч.
3.1.3. На регулируемом пересечении пропускную способность прямого направления можно повысить за счет увеличения числа полос движения перед стоп-линией. При этом следует стремиться допускать длину очереди автомобилей перед стоп-линией не более 5 автомобилей (при большей длине очереди снижается эффективность использования фазы зеленого сигнала). Длина такой полосы рассчитывается по формуле

, (3.1)
где

- длина полосы полной ширины, м;

- длина расчетного автомобиля, м;
n - расчетное количество автомобилей в очереди.
3.1.4. Ширина дополнительной полосы на пересечении в одном уровне должна отгоняться с интенсивностью не более 1:10.
3.2. Ширина полосы движения
3.2.1. На автомобильной дороге ширина полосы движения, предназначенная для движения транспортных потоков, должна соответствовать требованиям действующих стандартов на геометрические элементы дорог. В особых случаях ширина полосы движения может быть уменьшена. Это относится только к тем полосам, движение по которым осуществляется со скоростями менее 45 км/ч или с предварительной остановкой:
- уширения у стоп-линий на пересечениях в одном уровне для левоповоротного движения с обязательной предварительной остановкой;
- остановочные полосы;
- проезды на автомобильных стоянках;
- полосы движения на временных объездах.
3.2.2. Ширина полосы движения для случаев, указанных в
п. 3.2.1, должна назначаться с учетом расчетного типа автомобиля и скорости движения (табл. 3.1).
Таблица 3.1
Ширина полосы движения в особых случаях
Расчетный тип автомобиля | Скорость движения, км/ч |
до 25 | 30 - 45 | 50 | от 60 |
Ширина полосы движения, м |
Легковой | 2,5 | 3,0 | 3,2 | 3,5 |
Грузовой | 3,0 | 3,2 | 3,5 | 3,5 |
3.3.1. Полоса отвода между дорогой и придорожными насаждениями должна иметь ровную, хорошо спланированную поверхность. Эта полоса предназначена для остановки в экстремальных случаях автомобиля, съехавшего с дороги, и на ней не должно быть никаких возвышающихся над поверхностью земли предметов.
3.3.2. Опоры и устои путепроводов, мачты дорожного освещения должны располагаться не ближе чем на расстоянии 4 м от кромки проезжей части. При меньших расстояниях они должны быть защищены ограждениями.
3.3.3. Опоры линий связи, одиночные сооружения на придорожной полосе и посадки деревьев придорожного озеленения рекомендуется располагать не ближе чем на расстоянии 9 м, а в исключительных случаях - 5 м от кромки покрытия.
3.3.4. Фруктовые деревья, привлекающие к себе в период созревания плодов проезжающих по дороге и способствующие остановкам водителей на обочинах, не следует высаживать в пределах полосы отвода.
3.3.5. Размещение в полосе отвода каких-либо сооружений, рекламы, торговых предприятий или занятие полосы отвода для нужд сельского хозяйства должно согласовываться с дорожными организациями и органами государственной инспекции безопасности дорожного движения.
3.4.1. Поперечный профиль земляного полотна должен проектироваться в соответствии с действующими стандартами и нормами. С позиций повышения безопасности движения целесообразно рассматривать уполаживания откосов насыпей до крутизны 1:3 вместо установки на них ограждений.
3.4.2. При насыпях с пологими (1:3 и положе) откосами канавы трапецеидального профиля целесообразно заменять мелкими широкими лотками, преодолеваемыми без ударов и повреждений съезжающими с насыпи из-за потери управления автомобилями.
3.4.3. В целях улучшения условий обтекания выемок ветроснеговым потоком, лучшего сочетания дороги с окружающей местностью и уменьшения ширины полосы земли, изымаемой для дорожного строительства, в верхнюю кромку откосов следует вписывать кривые с тангенсами не менее 1,0 м.
3.5. Разделительная полоса
3.5.1. При проектировании новых дорог необходимо обеспечивать соответствие требованиям к размерам и форме разделительных полос, предусмотренным в действующих стандартах и нормах на элементы дорог. При невозможности выполнения этих норм (в стесненных условиях, в населенных пунктах при невозможности расширения полосы отвода) допускается уменьшать ширину разделительной полосы вопреки действующим нормам. При этом ширина разделительной полосы должна быть:
- на канализированных пересечениях для разделения встречного движения и полосы для левого поворота - в одном уровне не менее 1,0 м, при возвышении над проезжей частью - не менее 2,0 м;
- при уширении проезжей части за счет разделительной полосы оставшаяся ширина разделительной полосы - не менее 2,0 м с обязательной установкой разделительных ограждений;
- в населенных пунктах, в условиях тесной застройки, при возвышении разделительной полосы над проезжей частью - не менее 2,0 м с обязательной установкой ограждений, без ограждений - не менее 4,0 м;
- при отделении переходно-скоростных полос и автобусной остановки от основной проезжей части без возвышения над проезжей частью (выделяется разметкой) - 1,0 м с таким же покрытием, как и на проезжей части; возвышающаяся над проезжей частью, с ограждением - не менее 2,0 м, без ограждения - 4,0 м;
- при отделении проезжей части автомобильной стоянки, стояночной полосы и площадки отдыха - 2,0 м с установкой ограждений, без ограждений - 4,0 м.
3.5.2. Покрытие разделительной полосы рекомендуется устраивать:
- при ширине разделительной полосы до 3 м - твердое на всей поверхности;
- при ширине более 3 м - укреплять засевом трав.
3.6. Конструкция элементов поверхностного водоотвода
3.6.1. Конструкция и расположение элементов, предназначенных для организации поверхностного стока воды с проезжей части и земляного полотна, должны отвечать требованиям безопасности движения. Следует избегать:
- лотков с вертикальными стенками;
- устройства вдоль кромок полос движения лотков для перехвата воды, стекающей с покрытия (снижается эффективность использования ширины проезжей части, увеличивается вероятность опрокидывания).
3.6.2. Стенкам водоотводных лотков, располагаемых по оси разделительной полосы вогнутого профиля, следует придавать крутизну не более 1:3 при отсутствии ограждения.
3.7. Краевые полосы, бордюры
3.7.1. По кромке проезжей части, а на дорогах I категории и около разделительной полосы необходимы краевые полосы шириной, равной ширине, рекомендуемой СНиП.
3.7.2. Краевые полосы можно создавать путем соответствующего уширения проезжей части и нанесения сплошной линии разметки вдоль ее кромки. Для устройства краевых полос на эксплуатируемых дорогах с цементобетонным покрытием можно использовать сборные элементы.
3.7.3. Прочность краевых полос должна быть равна прочности дорожной одежды.
3.7.4. Для предотвращения заноса автомобилей при заезде с высокой скоростью краевые полосы должны иметь такой же коэффициент сцепления, как и проезжая часть.
3.7.5. По величине и направлению поперечный уклон краевой полосы назначают таким же, как параметры поперечного профиля примыкающей к ней полосы движения.
3.7.6. Устройство ребристых краевых полос не рекомендуется, поскольку они ухудшают эффективность использования водителями ширины проезжей части, вызывая смещение траекторий движения автомобилей к оси дороги, и создают затруднения при очистке дорог от снега и грязи.
3.7.7. Устройство у кромки проезжей части, на границе с обочинами или с разделительной полосой возвышающегося бордюра допускается только в пределах населенных пунктов. Высота бордюра должна быть не более 15 см, на автомагистралях не более 8 см. При установке более высокого бордюра его грани должны быть скошены в сторону от проезжей части с наклоном 1:0,5. Подобные требования к бордюрам предъявляются при устройстве островков на канализированных и кольцевых пересечениях.
3.8.1. В целях обеспечения безопасности движения следует запрещать остановку и стоянку всех видов транспортных средств на обочинах. Исключение составляют неисправные и поврежденные в результате дорожно-транспортного происшествия транспортные средства. Остановку автомобилей следует обеспечивать на стояночных полосах, расположенных на обочинах и специальных площадках, устраиваемых вдоль дороги за пределами земляного полотна.
3.8.2. Стояночные полосы следует устраивать на дорогах I - III категорий, на поверхности земляного полотна вдоль проезжей части, в местах возможной остановки автомобилей. Эти полосы должны иметь твердое покрытие, желательно такое же, как и на проезжей части, и быть отделены от нее разметкой или разделительной полосой.
3.8.3. Расстояние между стояночными полосами определяется местными условиями. Желательно, чтобы это расстояние было не более 5 км.
3.8.4. Длина стояночных полос определяется в зависимости от возможного количества останавливающихся автомобилей из расчета 10 м на остановившийся легковой и 15 м на грузовой автомобиль. Количество мест на стояночных полосах должно быть не менее 3.
При отсутствии информации о потребностях в остановках автомобилей можно использовать рекомендации табл. 3.2.
Таблица 3.2
Рекомендуемое количество мест на стояночных полосах
Интенсивность движения в одном направлении, авт./ч | Расстояние между местами разрешенной стоянки, км |
до 1,0 | 3,0 | 5,0 |
Наименьшее количество мест для стоянки |
До 50 | 3 | 3 | 4 |
100 - 200 | 3 | 4 | 5 |
300 - 500 | 4 | 5 | 7 |
1000 | 5 | 7 | 10 |
3.8.5. При количестве останавливающихся автомобилей более 5 - 7 целесообразно для остановок и стоянки автомобилей вместо стояночных полос устраивать специальные площадки, удаленные от проезжей части.
3.8.6. Ширина стояночных полос должна быть достаточной для размещения расчетного грузового автомобиля и принимается не менее 3,0 м. Поперечный уклон назначается равным уклону обочины.
3.8.7. Дорожную одежду стояночной полосы рассчитывают с учетом возможности стоянки автомобиля с наибольшими осевыми нагрузками.
4.1.1. Основными причинами повышенной аварийности на участках дорог с кривыми в плане малых радиусов являются: увеличение значения поперечной силы, действующей на автомобиль; уменьшение расстояния видимости; усложнение условий управления автомобилем.
4.1.2. Для обеспечения безопасности движения на кривых в плане малого радиуса могут быть применены следующие мероприятия:
- перестройка кривых с увеличением их радиуса;
- устройство виражей и переходных кривых;
- увеличение расстояния видимости путем устройства срезок видимости;
- устройство разделительных откосов на участках с необеспеченной видимостью;
- ограничение скоростей движения и обгонов;
- оборудование участка дороги предупреждающими дорожными знаками;
- установка направляющих устройств и ограждений;
- устройство шероховатых дорожных покрытий.
4.1.3. При перестройке кривых малого радиуса в целях уменьшения величины смещения кривой от вершины угла при разбивке закругления его целесообразно проектировать в виде двух сопряженных переходных кривых.
4.1.4. На закруглениях с необеспеченной видимостью (горные условия, застроенная территория, участки под путепроводами и т.п.) рекомендуется устраивать разделительные островки шириной не менее 1,0 м или устанавливать двухсторонние ограждения.
4.2.1. Вираж является эффективным средством повышения удобства и безопасности движения на кривых малых радиусов; его рекомендуется устраивать, если это позволяют условия водоотвода, на всех кривых с радиусом менее 2000 м.
Наличие виража облегчает управление автомобилем, способствует увеличению устойчивости автомобиля на кривой.
| | ИС МЕГАНОРМ: примечание. В официальном тексте документа, видимо, допущена опечатка: имеется в виду фраза "рассчитывают по формуле (4.1)", а не "рассчитывают по формуле (3.1)". | |
4.2.2. При назначении уклонов виражей следует исходить из условия, что при движении с расчетной скоростью часть поперечной силы, уравновешивающейся за счет виража, не должна быть более 1/3, а 2/3 должны уравновешиваться за счет поперечного сцепления шин с покрытием. Величину уклона виража рассчитывают по формуле (3.1), но при этом уклон виража не должен превышать предельных значений, установленных действующими нормами.

, (4.1)
где

- уклон виража,

;
V - скорость движения, м/с;
R - радиус кривизны в конце переходной кривой, м;

- коэффициент поперечной силы, принимается равным 0,15, в сложных условиях - 0,20.
4.2.3. Для того чтобы уменьшить дополнительный продольный уклон на участке отгона виража и улучшить зрительную плавность внешней кромки кривой, переход от двускатного профиля к односкатному лучше осуществлять путем вращения проезжей части вокруг ее оси.
4.2.4. На участках горных дорог с серпантинами рекомендуется устраивать ступенчатый вираж
(рис. 4.1), позволяющий повысить скорость и безопасность движения. При этом средняя часть проезжей части выполняется с поперечным уклоном, соответствующим радиусу кривой, а внутренним и внешним полосам на ширину не менее 2 м придают уклон: больше на

для внутренней и на

для внешней полос (в зависимости от радиуса кривой и состава движения). В этих случаях с учетом местных условий рекомендуется в соответствии с действующими нормами увеличивать общую ширину проезжей части в пределах кривой.
Рис. 4.1. Схема устройства ступенчатого виража
на кривых малого радиуса
4.3. Переходные кривые и уширение проезжей части
4.3.1. Для комфортабельности езды переходные кривые применяют на закруглениях радиусом менее 2000 м. Параметр переходной кривой вычисляют по формуле

, (4.2)
где A - параметр переходной кривой;
R - радиус круговой кривой;
L - длина переходной кривой.
4.3.2. Наименьшая длина переходной кривой:

, (4.3)
где V - расчетная скорость движения, м/с;
J - нарастание центробежного ускорения, м/с3;
R - радиус кривизны в конце переходной кривой, м.
Расчетную скорость нарастания центробежного ускорения рекомендуется определять по графику (рис. 4.2).
Рис. 4.2. График для определения расчетного нарастания
центробежного ускорения
Значения J, лежащие ниже кривой 2, удовлетворяют режимам движения большинства (85%) водителей и рекомендуются в качестве расчетных (кривая 1 - средние наблюдаемые значения J). При значениях J в зоне между кривыми 2 и 3 ощутимо снижаются удобства езды. Такие значения могут быть допущены лишь в сложных условиях, при реконструкции дорог в застроенной или горной местности. Значения J выше кривой 3 удовлетворяют лишь 50% водителей и на строящихся или реконструируемых дорогах допускаться не должны. Область рабочих значений лежит между кривыми 2 и 1.
4.3.3. Если получаемое расчетом смещение круговой кривой от введения переходной кривой меньше 0,2 м, переходную кривую можно не устраивать, считая, что удобство проезда достигается за счет смещения траектории автомобиля в пределах полосы движения.
4.3.4. Для обеспечения зрительной плавности трассы параметры переходной кривой должны находиться в пределах:

при этом

.
4.4. Дополнительные мероприятия по повышению
безопасности движения на кривых в плане
4.4.1. На всех кривых радиусом менее 250 м необходимо устраивать шероховатые покрытия (или поверхностную обработку).
4.4.2. Если кривая радиусом 500 м и менее расположена в конце прямой длиной более 500 м, то на расстоянии 150 - 200 м от начала кривой целесообразно устраивать полосы поверхностной обработки из щебня крупностью 20 - 30 мм ("шумовые" и "трясущие" полосы). Тряска и шум, возникающие при проезде такого участка, вынуждают водителя снизить скорость. В табл. 4.2 приведены параметры шумовых полос, которые применяют, помимо указанного случая, и в других опасных местах (пересечения в одном уровне, участки с ограниченной видимостью, узкие мосты). Ширину полос принимают равной 1 м, высоту шероховатостей на первых трех полосах - 1,5 - 2 см, на следующих - до 3 см. Помимо полос из щебня, возможно применение поперечных линий разметки.
Таблица 4.2
Требуемое снижение скорости, % | Необходимое количество поперечных полос | Расстояние от начала опасного участка до первой полосы, м | Расстояние между полосами, м |
20 | 4 | 10 | 10 | 15 | 20 | - | - | - | - | - |
25 | 5 | 6 | 6 | 10 | 15 | 20 | - | - | - | - |
30 | 6 | 6 | 6 | 6 | 10 | 15 | 20 | - | - | - |
40 | 8 | 3 | 3 | 3 | 6 | 6 | 10 | 15 | 20 | - |
50 | 9 | 3 | 3 | 3 | 3 | 3 | 6 | 10 | 15 | 20 |
При выборе типа шумовой полосы для конкретных дорожных условий безопасную скорость автомобилей на этом участке определяют расчетом, фактическую скорость проезда участка автомобилями устанавливают на основании натурных наблюдений, принимая ее по кумулятивной кривой как скорость, соответствующую 85%-ной обеспеченности. Разница между фактической и безопасной скоростями на участке дает представление о необходимой величине ее снижения.
4.4.3. В соответствии с
табл. 47 СНиП 2.05.02-85 с внешней стороны кривых радиусом меньше 600 м рекомендуется устанавливать ограждения, которые препятствуют выезду автомобилей за пределы земляного полотна и выполняют роль зрительно направляющих элементов. Для улучшения ориентации рекомендуется устанавливать световозвращающие элементы. Плоскость элементов должна быть перпендикулярной направлению взгляда водителя.
4.4.4. Установка дорожных знаков, ограждений, направляющих столбиков и устройство разметки производятся в соответствии с действующими стандартами.
На кривых радиусом более 250 м, а также на внутренней стороне кривых радиусом меньше 250 м необходимо устанавливать направляющие столбики, а с внешней стороны знаки "Направление поворота".
4.4.5. Знак "Опасный поворот" или знак "Опасные повороты" (при нескольких следующих друг за другом опасных поворотах) следует устанавливать перед закруглениями лишь в тех случаях, когда коэффициент безопасности для данного участка равен или меньше 0,8. Кроме того, эти знаки могут быть установлены перед закруглениями с ограниченной видимостью. При коэффициенте безопасности, не превышающем 0,6, одновременно с этими знаками рекомендуется устанавливать знак ограничения скорости. Величину ограничения следует определять на основе данных непосредственных наблюдений с обеспеченностью не менее 85%.
4.4.6. На кривых радиусом меньше 50 м сплошную осевую разметку следует смещать к внешней кромке проезжей части, чтобы обеспечить полное вписывание крупногабаритных автомобилей во внутреннюю полосу движения; рекомендуется следующая ширина внешней и внутренней полос движения.
Радиус кривой по 10 - 15 15 - 20 20 - 30 30 - 50 50
внутренней кромке
проезжей части, м
Отношение ширины 1,4 1,3 1,2 1,1 1,0
внутренней полосы
движения к ширине
внешней полосы
5. УЧАСТКИ ПОДЪЕМОВ И СПУСКОВ
5.1.1. Снижение безопасности движения на участках со значительными продольными уклонами дороги связано с: 1) повышенным количеством обгонов вследствие возрастания различий в скоростях движения легковых и тяжелых грузовых автомобилей на подъемах; 2) увеличением скоростей движения автомобилей на спусках; 3) ограничением видимости на выпуклых переломах продольного профиля.
5.1.2. Короткие участки со значительными уклонами, если позволяют местные условия, целесообразно перестраивать в ходе работ по ремонту дороги, уменьшая величину уклона до

.
5.1.3. На выпуклых переломах продольного профиля с необеспеченной видимостью следует предусматривать увеличение радиусов выпуклых вертикальных кривых. Их минимальную величину рекомендуется рассчитывать из условия обеспечения видимости встречного автомобиля, исходя из скорости транспортного потока обеспеченностью 85%, по формуле

, (5.1)
где

- расстояние видимости встречного автомобиля:

, (5.2)

- скорость транспортного потока обеспеченностью 85%, км/ч;

- коэффициент эффективности торможения,

;

- коэффициент продольного сцепления;

- занос,

;

- время реакции водителя, с (1,6 с);
| | ИС МЕГАНОРМ: примечание. В официальном тексте документа, видимо, допущена опечатка: имеется в виду h = 1,2 м, а не в = 1,2 м. | |

- высота на уровне глаза водителя над поверхностью дорожного покрытия, в = 1,2 м.
5.1.4. На вертикальных вогнутых кривых, расположенных в конце крутых спусков, рекомендуется устраивать уширение проезжей части и укрепление обочин на 1,5 м. При движении по дороге автопоездов необходимая величина уширения определяется расчетом.
5.1.5. При недостаточном расстоянии видимости в пределах вертикальных выпуклых кривых следует предусматривать уширение проезжей части и укрепление обочин на 1,5 м для улучшения условий разъезда встречных потоков автомобилей.
5.1.6. На затяжных подъемах дорог в 4 и 5-й дорожно-климатических зонах необходимо предусматривать не реже чем через 0,5 км уширения до 3,5 м за счет обочин на участках длиной 50 - 100 м для кратковременной остановки грузовых автомобилей, у которых перегрелся двигатель.
5.1.7. Разметку проезжей части, установку дорожных знаков, ограждений и направляющих устройств на участках подъемов и спусков и в зоне ограниченной видимости следует выполнять в соответствии с требованиями
ГОСТ 23457-86.
5.1.8. При высокой интенсивности движения и наличии в составе транспортного потока большой доли медленно движущихся автомобилей (автопоезда и грузовые автомобили большой грузоподъемности, скорость которых в верхней части подъема становится менее 50 км/ч) необходимо предусматривать устройство с правой стороны проезжей части дополнительных полос для движения автомобилей с низкими динамическими качествами в сторону подъема.
5.1.9. Дополнительные полосы следует предусматривать с учетом интенсивности движения (табл. 5.1).
Уклон,  | Среднегодовая суточная интенсивность движения, авт./сут., при доле тяжелых грузовых автомобилей и автопоездов, % |
менее 10 | более 10 |
40 | 2300 | 2000 |
50 | 2150 | 1900 |
60 | 2000 | 1700 |
5.1.10. При интенсивности движения расчетного часа в сторону подъема более 200 авт./ч и на подъемах длиной менее 600 м с уклонами более

дополнительные полосы целесообразно устраивать сразу по всей длине подъема.
5.1.11. На подъемах протяженностью более 600 м с уклонами менее

при составлении проекта реконструкции или капитального ремонта дорог, проходящих в сильно пересеченной местности, можно предусматривать поочередное строительство дополнительной полосы.
I очередь. При интенсивности движения в сторону подъема менее 0,5 от указанной в
табл. 5.1 полосу строят только в верхней части подъема (в пределах вертикальной кривой и на расстоянии 100 м до нее).
II очередь. При интенсивности движения 0,8 от указанной в
табл. 5.1 полосу продолжают вниз до середины подъема.
III очередь. При достижении интенсивности, указанной в
табл. 5.1, полосу строят на всю длину подъема. Поочередное строительство полосы целесообразно предусматривать на подъемах протяженностью более 1000 м.
5.1.12. В целях обеспечения высокой пропускной способности, удобного и безопасного слияния потоков автомобилей, движущихся по дополнительной и основной полосам проезжей части, длину участка дополнительной полосы за подъемом на двухполосных дорогах принимают с учетом интенсивности движения.
Интенсивность движения в 200 300 400 500
сторону подъема, авт./ч
Общая протяженность 70 100 150 200
полосы за пределами подъемов, м
5.1.13. Ширину дополнительной полосы движения принимают постоянной на всем протяжении подъема и равной ширине основных полос проезжей части.
5.1.14. Длину отгона ширины дополнительной полосы принимают в зависимости от скорости движения по правилам устройства переходно-скоростных полос.
5.1.15. На затяжных крутых спусках дорог в горной и пересеченной местностях устраивают аварийные тормозные съезды для остановки автомобилей, у которых испортилась тормозная система. Аварийные съезды представляют собой идущий на подъем с уклоном не менее

тупик, продолжающий направление повернувшей дороги или примыкающий к ней под острым углом со щебеночным или гравийным покрытием (рис. 5.1).
а)
б)
Рис. 5.1. Схема аварийного съезда:
а - план; б - продольный профиль; 1 - основная дорога;
2 - аварийный съезд; 3 - песчаный вал
6. ТРЕБОВАНИЯ К СОСТОЯНИЮ ДОРОЖНЫХ ПОКРЫТИЙ
6.1. Требования к сцепным качествам дорожного покрытия
6.1.1. Сцепные качества дорожного покрытия в значительной степени определяют длину тормозного пути автомобиля, оказывают большое влияние на его устойчивость и управляемость, в связи с чем являются важнейшим параметром, влияющим на безопасность движения.
6.1.2. Дорожные покрытия в сухом и чистом состоянии независимо от скорости движения, степени износа автомобильной шины, шероховатости поверхности и других параметров, характеризующих условие взаимодействия пары "шина - дорога", обеспечивают высокие сцепные качества. В этих условиях коэффициент сцепления обычно наблюдается в пределах от 0,6 до 1,2, что достаточно для выполнения экстренного торможения и обеспечения безопасности движения при действии на автомобиль значительных боковых сил, например при его движении по кривым малого радиуса.
6.1.3. При наличии на покрытии осадков в виде слоя воды, снега или льда сцепные качества автомобильного колеса с дорожным покрытием могут быть недостаточными для безопасного движения. Различают два вида скользкости - летнюю и зимнюю.
6.1.4. Причиной летней скользкости является наличие в зоне контакта воды, разделяющей протектор шины и поверхность покрытия. Для быстрого отвода воды из зоны контакта шины поверхность проезжей части должна быть макрошероховатой. Макрошероховатость образуют выступающие частицы каменного материала, имеющегося в составе верхнего слоя дорожного покрытия. Размеры этих частиц определяются крупностью щебня, используемого при изготовлении дорожного покрытия. В зависимости от конструкции покрытия размеры частиц щебня обычно находятся в пределах от 5 до 25 мм.
6.1.5. Макрошероховатость необходима дорожному покрытию для обеспечения быстрого отжатия слоя воды, находящейся на покрытии. При ее отсутствии водяной клин в зоне контакта шины с дорогой с ростом скорости движения автомобиля быстро увеличивается и коэффициент сцепления становится недостаточным для безопасного движения.
6.1.6. Для обеспечения безопасности движения в дождь на скоростях свыше 100 км/ч выступающие частицы дорожного покрытия должны иметь размеры не менее 4 - 5 мм. В противном случае динамическое воздействие воды может привести к потере контакта колеса с покрытием. Это явление называют динамическим аквапланированием.
6.1.7. Шероховатые поверхности с отшлифованными движением выступающими частицами быстро отводят слой воды из зоны контакта, однако оставшаяся после отжатия слоя на поверхности частиц водяная пленка при отсутствии шероховатости на поверхности частиц разобщает материалы шины и покрытия. Для разрушения водяной пленки, оставшейся на поверхности частиц после отжатия слоя воды, необходима микрошероховатость. Под микрошероховатостью понимают собственную шероховатость каменных частиц дорожного покрытия. При отсутствии микрошероховатости сцепные качества дорожного покрытия не обеспечивают безопасности движения уже при скорости свыше 50 км/ч.
6.1.8. Хорошая микрошероховатость дорожной поверхности достигается использованием в верхнем слое дорожного покрытия высокопрочных каменных материалов, обладающих сопротивляемостью полирующему воздействию автомобильных шин.
6.1.9. Высокие сцепные качества на мокрой дороге можно обеспечить лишь созданием покрытий, обладающих макро- и микрошероховатостью, причем чем выше скорость движения на дороге, тем большей должна быть макрошероховатость дорожной поверхности.
6.1.10. Зимняя скользкость обусловлена наличием в зоне контакта шины с дорожным покрытием осадков, находящихся в твердой фазе - в виде снега или льда.
6.1.11. Сцепление заснеженных и обледенелых покрытий в малой степени зависит от скорости движения, нагрузки на колесо, типа шины, шероховатости дорожного покрытия и других параметров, характеризующих условия взаимодействия пары трения. Здесь решающее значение имеют вид и состояние твердой фазы, разделяющей шину с дорожной поверхностью.
6.1.12. При обработке покрытия противогололедными реагентами образуется слой или пленка рассола, вязкость которого может существенно превышать вязкость воды. Увеличение вязкости приводит к снижению сцепления шины с дорогой за счет увеличения площади клина, разделяющего протектор шины и дорожную поверхность.
6.1.13. Сцепные качества покрытий, обработанных рассолами, зависят от шероховатости поверхности, скорости движения, концентрации и химического состава рассола и других параметров, характеризующих условия взаимодействия шины с дорогой. Коэффициенты сцепления на заснеженных и обледенелых покрытиях обычно наблюдаются в пределах от 0,1 до 0,3, причем низкие значения присущи твердым обледенелым поверхностям, а более высокие - покрытиям с менее прочным снежным накатом.
6.1.14. При сухом состоянии проезжей части дороги вследствие высоких значений коэффициентов сцепления сцепные качества не могут являться причиной дорожно-транспортного происшествия. Обледенелые и заснеженные покрытия водитель имеет возможность визуально отличить от сухих и чистых, поэтому на таких покрытиях он должен снижать скорость. В случае возникновения аварии в условиях зимней скользкости водитель обязан нести свою долю ответственности. При движении по мокрой дороге он не может отличить опасные гладкие и мелкошероховатые покрытия от шероховатых безопасных. В связи с этим от него нельзя требовать своевременного снижения скорости движения при выезде автомобиля на мокрые скользкие участки дороги, по таким покрытиям водитель должен двигаться с особой осторожностью.
6.1.15. Покрытия, политые рассолами, водитель воспринимает как мокрые, опасность движения по которым он оценить не в состоянии. В связи с этим сцепные качества мокрых дорог и дорог, обработанных рассолами, должны быть обеспечены на уровне, гарантирующем безопасность движения при соблюдении водителем действующих
Правил дорожного движения.
6.1.16. С целью выявления опасных участков сцепные свойства усовершенствованных покрытий, построенных с применением вяжущих, следует регулярно оценивать при мокром их состоянии с помощью специально разработанных для этой цели методик и приборов.
6.1.17. За показатель сцепных качеств дорожных покрытий принят коэффициент сцепления автомобильной шины с дорожным покрытием, который представляет собой отношение продольной реакции дороги, возникающей при продольном скольжении заблокированного колеса и действующей в плоскости его контакта с покрытием, к нормальной реакции дороги.
6.1.18. Из условия обеспечения безопасности движения коэффициент сцепления дорожного покрытия должен быть для мокрого не ниже 0,3, для увлажненного противогололедными рассолами не ниже 0,25.
6.1.19. В тех случаях, когда на участках в результате измерений будут получены коэффициенты сцепления ниже допустимого значения, следует повысить шероховатость дорожного покрытия. С момента обнаружения повышенной скользкости до ее ликвидации на подходах к скользким участкам требуется установить знаки ограничения скорости движения с табличками, указывающими на необходимость снижения скорости только при мокром состоянии проезжей части. При коэффициентах сцепления в пределах 0,25 - 0,3 безопасной является скорость до 50 км/ч, при коэффициентах ниже 0,25 скорость необходимо ограничивать до 40 км/ч.
6.2. Методы и приборы, служащие для оценки
сцепных качеств дорожного покрытия
6.2.1. Коэффициент сцепления дорожных покрытий необходимо определять динамометрическими навесными и прицепными приборами при соблюдении следующих условий взаимодействия колеса измеряющего приспособления с дорожной поверхностью.
6.2.2. Измерительное колесо должно быть оборудовано специальной шиной с гладким протектором, с внутренним давлением воздуха 0,17 МПа, размером 6,45 - 13. При отсутствии специальной шины на измерительном колесе прибора допускается использование изношенной шины с глубиной канавок не более 1 мм.
6.2.3. В момент измерения колесо должно быть заблокировано, скорость скольжения должна равняться 17 +/- 1 м/с.
6.2.4. Для увлажнения дорожного покрытия при измерениях коэффициента сцепления используются индивидуальные системы искусственного увлажнения, которые устанавливают на автомобиле-тягаче динамометрического прибора. Система искусственного увлажнения должна обеспечить подачу в зону контакта скользящего измерительного колеса такого количества воды, при котором на покрытии перед колесом создается слой жидкости (пленка) толщиной 1 +/- 0,3 мм.
6.2.5. Вертикальная реакция дороги при измерении коэффициента сцепления должна равняться 2,943 +/- 0,1 кН.
6.2.6. Коэффициент сцепления определяется при соблюдении вышеприведенных эталонных условий как отношение продольной силы трения, действующей в плоскости контакта измерительного колеса, к нормальной реакции дороги.
6.2.7. Коэффициент сцепления может быть измерен и портативными приборами при условии наличия корреляционной связи между показаниями портативного прибора и динамометрического устройства, определяющего коэффициент с соблюдением эталонных условий проведения измерений. При этом шкала прибора должна быть проградуирована с использованием корреляционной связи, установленной в ходе совместных испытаний портативного прибора и динамометрической установки, имеющей сертификат на проведение измерений коэффициента сцепления.
6.2.8. Для измерения коэффициента сцепления необходимо применять стандартизированные динамометрические приборы ПКРС-2 (номер по Государственному реестру 10913-87) или портативные приборы ППК-МАДИ-ВНИИБД (номер по Государственному реестру 10912-87).
7. МЕРОПРИЯТИЯ ПО ОБЕСПЕЧЕНИЮ БЕЗОПАСНОСТИ ДВИЖЕНИЯ
НА УЧАСТКАХ С ОГРАНИЧЕННОЙ ВИДИМОСТЬЮ
7.1. Зрительное ориентирование водителей
7.1.1. Дорога должна быть зрительно ясной на достаточно большом расстоянии, позволяющем водителю оценивать и прогнозировать дорожные условия. Видимые участки дороги и придорожной полосы должны своевременно сигнализировать об изменении направления дороги. Расстояние, на котором необходимо обеспечивать зрительную ясность дороги, должно быть в 1,5 - 2 раза больше расстояния видимости при обгоне.
7.1.2. Взгляд водителя последовательно задерживается на привлекающих его внимание опорных точках. Благодаря их расположению у водителя складывается впечатление о дальнейшем направлении дороги, в том числе и за пределами непосредственной видимости. Резкое изменение направления является причиной неправильных действий водителей, повышающих вероятность возникновения ДТП.
Продуманное расположение опорных средств зрительного ориентирования для заблаговременного оповещения водителей о дальнейшем направлении дороги в местах поворотов и ограничения видимости способствует существенному повышению безопасности и организованности движения.
7.1.3. Наиболее опасными являются участки, неверно ориентирующие водителя о дальнейшем направлении дороги, и участки, на которых в течение даже короткого времени (5 с и менее) дальнейшее направление дороги определить невозможно.
Частая ошибка, вызывающая создание так называемого ложного хода и неверно ориентирующая водителя, связана с расположением примыканий дорог на обходах населенных пунктов. Для устранения возникновения ложного хода следует примыкание переносить на кривую (рис. 7.1).
а)
б)
Рис. 7.1. Пример появления ложного хода (а)
и его исправление (б)
7.1.4. Средствами зрительного ориентирования водителей являются:
- полотно дороги в целом, границы проезжей части, линии разметки на покрытии, укрепленные обочины, краевые полосы, направляющие столбики и ограждения;
- растительность, особенно высокие деревья, вершины которых возвышаются за переломом продольного профиля, хорошо видна издалека и делает понятным дальнейшее направление дороги. Ряды деревьев с внешней стороны кривой подчеркивают поворот дороги (рис. 7.2, а). На примыканиях второстепенных дорог к дорогам более высокой категории посадка группы деревьев по направлению оси второстепенной дороги против примыкания (рис. 7.2, б) указывает на место примыкания и, зрительно создавая впечатление препятствия на дороге, способствует непроизвольному снижению водителями скоростей движения автомобилей, приближающихся к пересечению.
а)
б)
Рис. 7.2. Использование деревьев для подчеркивания
направления дороги:
а - вершины деревьев указывают направление дороги
за переломом продольного профиля;
б - выделение главной дороги на примыкании
7.1.5. Отдаленные возвышающиеся элементы рельефа в однообразной местности, строения, растительные группы, специально создаваемые близ дороги, или доминирующие архитектурные формы служат средством повышения внимания водителя (рис. 7.3).
Рис. 7.3. Ориентирование длинных прямых участков дороги
на возвышающиеся предметы
Появляющийся на горизонте контур ориентира, вначале трудно различимый, заинтересовывает водителя и, сосредоточивая его внимание, устраняет усыпляющее влияние однообразия придорожной обстановки.
7.2. Обеспечение видимости дороги
7.2.1. Обеспеченная на дороге видимость является важнейшим показателем ее транспортно-эксплуатационных качеств и безопасности движения. Фактические расстояния видимости на кривых в плане и в продольном профиле определяют скорости движения, которые при недостаточной видимости существенно снижаются по сравнению со скоростями, обеспечиваемыми радиусами кривых и коэффициентами сцепления дорожных покрытий. При равных значениях видимости количество ДТП на участках вертикальных кривых примерно в 2 раза выше, чем на кривых в плане, что указывает на необходимость повышенного внимания к обеспечению видимости при проектировании продольного профиля.
7.2.2. Рекомендуется, учитывая условия местности, принимать расстояния видимости поверхности дороги не менее 450 м. Отход от этого требования возможен лишь при наличии экономического обоснования. Минимальное расстояние видимости не должно быть меньше расстояний, установленных действующими стандартами и нормами.
7.2.3. Минимальное расстояние видимости поверхности дороги рассчитано на время реакции водителя 1,0 с. Повсеместно применение этого норматива приводит к созданию сложных дорожных условий: затрудняется или становится невозможным обгон, увеличивается напряженность работы водителя, возрастает вероятность ДТП. При реконструкции, капитальном ремонте и особенно при проектировании новых дорог рекомендуется везде, где это возможно, обеспечивать расстояние видимости поверхности дороги из условия времени реакции водителя: для дорог I категории - 2,5 с, для дорог II и III категорий - 2,0 с и для дорог IV и V категорий - 1,5 с. Рекомендуемые расстояния видимости при расчете вертикальных кривых и срезок видимости на кривых в плане приведены в табл. 7.1.
Таблица 7.1
Условия применения | Расстояние видимости, м, при скорости движения, км/ч |
80 | 100 | 120 | 140 |
В исключительных условиях (минимальное расстояние видимости) | 100 | 140 | 175 | 225 |
В сложных условиях рельефа | 110 | 170 | 200 | 300 |
Допустимое ограничение видимости (не чаще 1 раза на 2 км) из условия обеспечения зрительной ясности дороги | 250 | 280 | 340 | 430 |
7.2.4. Расстояние видимости в продольном профиле обеспечивается благодаря вписыванию вертикальных выпуклых кривых. Рекомендуемые радиусы их приведены в табл. 7.2.
Таблица 7.2
Условия применения | Минимальные радиусы выпуклых вертикальных кривых, м, при расчетной скорости движения, км/ч |
80 | 100 | 120 | 140 |
Минимально допустимые в сложных условиях (расчетное время реакции водителя 1,0 с) | 5000 | 10000 | 15000 | 27000 |
Рекомендуемые (расчетное время реакции водителя 2,0 с) | 10000 | 20000 | 30000 | 45000 <1> |
--------------------------------
<1> Из условия расчетного времени реакции водителя 2,5 с.
7.2.5. Построение линейного графика видимости является обязательным при разработке мероприятий по повышению безопасности движения и пропускной способности дороги. Участки с недостаточной видимостью необходимо перестраивать в первую очередь.
7.2.6. В трудных условиях холмистого рельефа, когда невозможно выполнить рекомендации
пп. 7.2.3 и
7.2.4 на всем протяжении дороги, для осуществления обгонов необходимо не реже чем через 3 - 4 км устраивать на прямых и кривых больших радиусов специальные обгонные участки с обеспеченной видимостью. Минимальную длину обгонного участка принимают в зависимости от расчетной скорости движения на подходах к этому участку, обеспечиваемой геометрическими элементами.
Расчетная 120 100 80 60 50 40 30
скорость,
км/ч
Длина 2,0 - 2,5 1,5 - 1,7 1,0 - 1,1 0,75 0,60 0,50 0,40
обгонного
участка, км
8. ПЕРЕСЕЧЕНИЯ И ПРИМЫКАНИЯ В ОДНОМ УРОВНЕ
8.1. Общие принципы планировки
пересечений и примыкания в одном уровне
8.1.1. Планировка пересечений автомобильных дорог в одном уровне должна быть зрительно ясной и простой, направления движения в зоне пересечения должны быть видимы водителями заблаговременно.
8.1.2. Планировка пересечения и средства организации движения должны подчеркивать преимущественные условия проезда по главной дороге (дороге с наиболее высокой интенсивностью движения), допуская некоторое усложнение выполнения маневров со второстепенной дороги.
8.1.3. Наиболее безопасны пересечения дорог под углом от 50 до 75°, при которых отсутствуют непросматриваемые зоны и водитель имеет наиболее удобные условия оценки дорожно-транспортной ситуации (угол отсчитывается от оси второстепенной дороги до оси главной по часовой стрелке).
8.1.4. Все дороги, примыкающие к дорогам I - IV категорий, должны иметь твердые покрытия на расстоянии до пересечения не менее 50 м. Для предотвращения загрязнения проезжей части главной дороги автомобилями, выезжающими со второстепенной дороги, длину участка с обязательным усовершенствованным покрытием принимать:
- при песчаных, супесчаных и легких суглинистых грунтах не менее 100 м;
- при черноземах, глинах, легких и пылеватых суглинках не менее 400 м;
- при засоленных грунтах не менее 500 м.
В последних двух случаях в пределах длины 200 м съезды должны иметь усовершенствованное покрытие, а на остальном протяжении покрытие может быть и гравийным.
8.1.5. На пересечениях в одном уровне должна быть обеспечена боковая видимость, рассчитываемая из условия видимости с главной дороги автомобиля, ожидающего на второстепенной дороге момента безопасного выезда на главную дорогу. При расчете принимается: ожидающий автомобиль расположен в 1,5 м от кромки проезжей части; уровень глаза водителя находится на высоте 1,2 м. Значения расстояний для обеспечения боковой видимости приведены в табл. 8.1.
Таблица 8.1
Интенсивность движения по главной дороге авт./сут. | Минимальное расстояние видимости автомобиля по главной дороге Lгл, м | Минимальное расстояние видимости поверхности дороги, м |
главной lгл | второстепенной lвтр |
1000 | 250 | 140 | 75 |
2000 | 250 | 140 | 75 |
3000 | 300 | 150 | 75 |
4000 | 400 | 175 | 100 |
5000 | 600 | 175 | 100 |
8.1.6. Варианты планировочных решений пересечения следует выбирать по номограмме, представленной на рис. 8.1. Окончательное планировочное решение устанавливается технико-экономическим расчетом по размеру суммарных приведенных затрат. При этом следует учитывать строительную стоимость пересечения, затраты на ремонт и содержание, эксплуатационные и автотранспортные расходы по каждому варианту, потери народного хозяйства от дорожно-транспортных происшествий и от изъятия земельных угодий. Степень безопасности на пересечениях оценивается по методике, изложенной в
Прил. 2.
Рис. 8.1. Номограмма для выбора типа планировочных
решений пересечений:

- перспективная интенсивность движения по второстепенной
(менее загруженной) дороге, авт./сут.;

- перспективная интенсивность движения по главной (более
загруженной) дороге, авт./сут.; 1 - простое необорудованное
пересечение; 2 - частично канализированные пересечения
с направляющими островками на второстепенной дороге;
3 - полностью канализированные пересечения и примыкания
с направляющими островками на обеих дорогах,
переходно-скоростными полосами, разметкой проезжей части;
4 - конкурирующие варианты кольцевых пересечений:
а - со средними центральными островками; б - с малыми
центральными островками; в - с большими центральными
островками (при числе пересекающихся полос более 5);
г - с пересечением в разных уровнях; 5 - конкурирующие
варианты пересечений: а - кольцевые пересечения,
обеспечивающие лучшие условия движения по главному
направлению (эллиптический центральный островок);
б - в разных уровнях; в - при стадийном строительстве
(I этап - кольцевые пересечения; II этап - пересечения
в разных уровнях); 6 - конкурирующие варианты пересечений:
а - кольцевые с малыми центральными островками; б - в разных
уровнях; 7 - конкурирующие планировочные - кольцевые
пересечения; II этап - пересечения в разных уровнях;
б - пересечения в разных уровнях; 8 - пересечения
в разных уровнях
а)
б)
в)
г)
д)
Рис. 8.2. Схемы планировочных решений пересечений:
а - простое необорудованное пересечение; б - частично
канализированное пересечение с направляющими островками
на второстепенной дороге; в, г - полностью канализированное
примыкание и пересечение с направляющими островками
на обеих дорогах, с переходно-скоростными полосами;
д - кольцевые саморегулируемые пересечения
8.2. Элементы пересечений в одном уровне
8.2.1. Все элементы пересечений в одном уровне должны обеспечивать возможность плавного выполнения маневров поворота без помех и чрезмерного снижения скорости, в особенности при движении по главному направлению.
8.2.2. Ширину полосы движения для пересечений типа 3 (см.
рис. 8.1) на главной дороге II и III категорий рекомендуется принимать равной 3,5 м в обе стороны от пересечения на всей длине участка дороги, где расположены разделительные островки.
8.2.3. Ширину полосы движения на главной дороге IV категории в пределах пересечения принимают 3,5 м.
Ширину проезжей части второстепенных дорог в пределах пересечения для всех категорий при двухполосном движении назначают не менее 7 м на длине не менее 50 м.
8.2.4. Ширину полосы движения на съездах канализированных пересечений, считая от места примыкания к проезжей части основной дороги, принимают по табл. 8.2.
Таблица 8.2
Радиус съезда, м | Ширина проезжей части съезда, м, при окаймлении ее скошенным бордюром высотой 15 - 20 см | Ширина съезда, м, без окаймления бордюром или с бордюром высотой 6 - 8 см |
с двух сторон | с одной стороны | |
10 | 5,8 | 5,5 | 5,0 |
15 | 5,4 | 5,0 | 4,75 |
20 | 5,2 | 4,8 | 4,3 |
25 | 5,2 | 4,8 | 4,3 |
30 | 5,2 | 4,7 | 4,2 |
40 | 5,0 | 4,5 | 4,0 |
50 | 5,0 | 4,5 | 4,0 |
60 | 4,7 | 4,2 | 4,0 |
8.2.5. Съезды пересечений в одном уровне на автомобильных дорогах вне населенных пунктов следует проектировать с переходными кривыми, рассчитанными на переменную скорость движения. Длина их должна быть не менее величин, приведенных в табл. 8.3.
Таблица 8.3
Радиус круговой кривой, м | Наименьшая длина переходной кривой, м |
входной | выходной |
30 | 17,0 | 15,0 |
25 | 17,5 | 16,5 |
20 | 18,5 | 17,0 |
15 | 20,0 | 18,5 |
8.2.6. На дорогах категории II и ниже из условия удобства разбивки съездов очертание кромок проезжей части можно проектировать в виде коробовых кривых. Для загородных участков автомобильных дорог применяют трехзвеньевые и двухзвеньевые коробовые кривые, для городских участков автомобильных дорог в населенных пунктах и на городских улицах - двухзвеньевую коробовую кривую. На канализированных пересечениях независимо от их расположения следует применять трехзвеньевые коробовые кривые.
Параметры трехзвеньевой коробовой кривой указаны на рис. 8.3 и в табл. 8.4.
Рис. 8.3. Схема для расчета коробовой кривой
8.2.7. Параметры трехзвеньевой коробовой кривой.
Угол поворота, град. | Входная кривая | Круговая вставка R2, м | Выходная кривая |
R1, м |  , град. | R3, м |  , град. |
До 44 | | | 50 | | |
45 - 74 | 60 | 16 | 30 | 90 | 10 |
75 - 112 | 50 | 20 | 25 | 75 | 12 |
113 - 149 | 40 | 27 | 20 | 60 | 16 |
150 - 180 | 35 | 34 | 15 | 50 | 21 |
Начало и конец трехзвеньевой коробовой кривой:

;

;

.
8.3. Улучшение расположения и планировки пересечений
8.3.1. Следует устранять примыкания дорог под очень острыми углами. Пересечения или сопряжения дорог под углом менее 45° характеризуются, как правило, повышенной аварийностью, а под углом менее 10° - очень опасны. При проектировании следует избегать пересечений дорог под углами менее 45°. Исправление таких пересечений возможно двумя путями - перестройкой места сопряжения дорог, чтобы оси пересекались под оптимальными углами 50 - 75°, или устройством дополнительной полосы движения для автомобилей, осуществляющих поворот (рис. 8.4).
Рис. 8.4. Способы реконструкции примыканий дорог:
а - неправильная планировка примыкания; б - улучшение
условий движения путем смещения места примыкания;
в - устройство дополнительной полосы
В виде исключения на примыкании обходов населенных пунктов допускается уменьшение угла пересечения дорог до 30° при обязательном полном канализировании движения (рис. 8.5).
Рис. 8.5. Рекомендуемые схемы планировки пересечений
в одном уровне на обходе населенных пунктов:
а, б - неправильная схема без разделения дорог на главную
и второстепенную; в, г - рекомендуемые схемы при невысокой
интенсивности движения на второстепенной дороге;
д, е - то же, при высокой интенсивности; 1 - главная дорога;
2 - второстепенная дорога; 3 - распределительная полоса
8.3.2. При пересечениях под острым углом, а также на обычных пересечениях при большой доле автомобилей, поворачивающих на основную дорогу, безопасность движения может быть повышена путем разделения пересечения на два примыкания, смещенные по отношению друг к другу (рис. 8.6). Такая планировка пересечения уменьшает опасность конфликтных точек. Размер смещения должен назначаться из расчета беспрепятственного осуществления переплетения потоков с наименьшими помехами для автомобилей, следующих в прямом направлении.
а)
б)
в)
Рис. 8.6. Перестройка пересечения на два
смещенных примыкания:
а - без переходно-скоростных полос;
б - с переходно-скоростными полосами;
в - схема изменения пересечения
Наименьшие допустимые расстояния между двумя примыканиями на ступенчатых пересечениях приведены в табл. 8.5.
Таблица 8.5
Продольный уклон главной дороги,  | Наименьшее расстояние между двумя примыканиями, м |
двух- и трехполосных | четырехполосных |
0 - 10 | 400 | 500 |
10 - 20 | 500 | 650 |
20 - 30 | 600 | 750 |
30 - 40 | 750 | 900 |
8.4. Канализированные пересечения
8.4.1. В случае высокой интенсивности движения на пересечениях в одном уровне, особенно при значительном количестве поворачивающих автомобилей, большое значение приобретают меры пассивной организации движения с помощью устройства на пересечении направляющих островков, которые часто выделяют полосы движения для автомобилей, следующих в разных направлениях. Происходящее при этом упорядочение движения всегда имеет в своей основе ограничение свободы выбора водителем возможного направления движения и ясное обозначение на проезжей части правильной полосы движения.
8.4.2. Планировка канализированных пересечений должна удовлетворять следующим требованиям:
а) быть простой и понятной, четко выделять пути движения автомобилей и обеспечивать преимущественные условия движения по дороге более высокой категории или большей народно-хозяйственной значимости. На примыкающей или пересекающей дороге планировка должна предупреждать водителей о предстоящем маневре и способствовать снижению скоростей поворачивающих автомобилей;
б) точки пересечения траекторий движения автомобилей по возможности должны быть удалены друг от друга;
в) в каждый момент времени водитель должен иметь возможность выбора одного из двух направлений движения. В соответствии с принципами зрительного ориентирования нужное направление должно подсказываться расположением разделительных островков и линий разметки на покрытии;
г) островки и разграничительные линии на пересечениях канализированного типа должны разделять скоростные, транзитные и поворачивающие транспортные потоки, выделяя для каждого из них самостоятельные полосы движения, обеспечивающие их плавное разделение и слияние.
Расположение островков в плане должно как бы перекрывать возможность объезда островка слева
(рис. 8.7);
д) ширина полос движения должна обеспечивать беспрепятственный поворот автомобилей с прицепом. Для этого на прямых участках ширина проезжей части съезда без возвышающихся бортов должна быть не уже 3,5 м, у начала островков ширина съезда должна быть не уже 4,5 - 5,0 м, у выезда на главную дорогу - 6,0 м;
е) очертания островков должны обеспечивать пересечение потоков под оптимальными для следующего маневра углами. Слияние и разделение потоков должно происходить под острыми углами, что ускоряет процесс включения автомобиля в поток или выхода его из потока. Пересечения потоков целесообразны под углами, близкими к 90°. Это требование лучше всего выполняется при каплеобразной обтекаемой форме направляющих островков.
а)
б)
Рис. 8.7. Зрительное перекрытие островками
неправильного направления движения:
а - водитель видит просвет между островками и может
поехать по неправильному пути; б - возможное неверное
направление движения перекрыто островком; 1 - зона видимости
полосы движения; 2 - траектория движения; 3 - осевая линия
8.4.3. Параметры расчетных траекторий движения на канализированных пересечениях и меры по организации движения должны выбираться с учетом скоростей движения на пересекающихся дорогах. Для транзитного движения по главной дороге это - расчетная скорость для данной категории дороги, для второстепенной: для правых поворотов не менее 30 км/ч, для левых поворотов 15 - 20 км/ч.
8.4.4. Для улучшения условий движения на канализированных пересечениях (рис. 8.8) применяют следующие виды островков:
а) центральные каплеобразные островки на второстепенной дороге;
б) направляющие островки на оси главной дороги для обеспечения левых поворотов с основной дороги на второстепенные;
в) треугольные вспомогательные островки на второстепенной дороге для разделения транзитного и поворачивающего направо потоков движения. Количество островков должно быть минимальным. Размер сторон треугольных островков принимают не менее 5 м, длину каплеобразных - не менее 20 м.
Рис. 8.8. Направляющие островки на примыкании
в одном уровне
Наиболее эффективными в отношении организации движения являются островки, возвышающиеся над проезжей частью и огражденные скошенным бордюром. Некоторое осложнение зимнего содержания таких пересечений вполне окупается повышением четкости и организованности движения. В районах с особенно тяжелыми зимними условиями островки можно обозначать краской на покрытиях, а в бесснежный период с помощью сборно-разборных элементов.
8.4.5. При реконструкции дорог рациональному размещению островков и разработке улучшенной схемы движения может помочь анализ дорожно-транспортных происшествий. Для этого наносят на план пересечения в масштабе 1:500 - 1:250 места дорожно-транспортных происшествий и пути следования столкнувшихся автомобилей и пострадавших пешеходов, устанавливают наиболее опасные конфликтные точки и выявляют преимущественные причины, вызывающие систематические ошибки водителей. На план наносят все элементы ситуации, которые могут влиять на условия движения пешеходов и автомобилей (рис. 8.9).
Рис. 8.9. План пересечения с нанесенными на него
схемами дорожно-транспортных происшествий:
1 - столкновение транспортных средств;
2 - наезд на пешеходов
8.4.6. Для большего удобства поворота с главной дороги островки смещают в плане влево относительно оси второстепенной дороги (рис. 8.10).
а)
б)
Рис. 8.10. Расположение островков на второстепенной дороге:
а - схема размещения островка; б - выделение
островка разметкой
Зона, в которой на второстепенной дороге размещается островок, ограничена двумя линиями, составляющими угол 8°. Вершина этого угла удалена от кромки проезжей части главной дороги на расстояние не менее 60 м.
Параметры правоповоротных съездов назначают в соответствии с
табл. 8.4. Левоповоротные съезды описывают по коробовым кривым с радиусами

,

и

для скоростей поворота в свободных условиях 20 - 25 км/ч и с радиусами

,

,

в стесненных условиях для скоростей движения 15 км/ч.
Начало и конец переходно-скоростных полос разгона и торможения сопрягают соответственно с началом и концом правоповоротных съездов на второстепенную дорогу.
8.4.7. Очертания направляющих островков, расположенных на второстепенной дороге, назначают с учетом следующих правил:
а) неиспользуемая поверхность пересечения закрывается островками; форма островков определяется пересечением право- и левоповоротных съездов;
б) для предотвращения заездов на островки и для большей четкости организации движения треугольные островки рекомендуется окаймлять бортом высотой не более 6 - 8 см или обозначать разметкой; небольшие треугольные островки со сторонами менее 5 м и площадью менее 10 м2 целесообразнее выделять на общей поверхности пересечения лишь разметкой;
в) углы островков, направленные навстречу движению, округляются кривыми радиусом 1 м. В вершину центрального островка, расположенного на второстепенной дороге, вписывается кривая радиусом 1,5 - 2 м.
8.4.8. Для безопасности выполнения левых поворотов с главной дороги на проезжей части при высокой интенсивности движения устраивают дополнительные полосы, отделяемые от полосы транзитного движения направляющими островками или разметкой.
8.4.9. Планировка островков на дорогах с двумя полосами движения показана на рис. 8.11. Направляющий островок (рис. 8.11, а) с зоной торможения и ожидания отделяет поворачивающие автомобили от транзитного движения. Направляющий островок (рис. 8.11, б) разделяет встречные потоки движения и защищает автомобили, выполняющие левый поворот с главной дороги.
а)
б)
Рис. 8.11. Расположение островков на главной дороге:
а - левоповоротный островок; б - направляющий островок
Интенсивность отгона ширины островка не должна превышать 1:10. Более оптимальные условия движения достигаются при интенсивности отгона 1:30 и более. Островки рекомендуется окаймлять скошенным бортом, возвышающимся на 5 см с наклоном 1:3.
8.4.10. Длина участка

(рис. 8.11), предназначенная для накопления поворачивающих автомобилей, определяется по табл. 8.6.
Таблица 8.6
Интенсивность движения по главной дороге, авт./сут. | Длина участка, м, в зависимости от доли левоповоротного движения с главной дороги, % |
10 | 20 | 30 | 40 |
2000 | 40 | 40 | 60 | 90 |
3000 | 40 | 50 | 70 | 110 |
4000 | 50 | 70 | 90 | 130 |
5000 | 70 | 90 | 120 | 160 |
6000 | 100 | 120 | 160 | 210 |
8.4.11. При интенсивности левоповоротного движения с второстепенной дороги более

(

- интенсивность движения на второстепенной дороге) направляющий островок не устраивают, а вместо него с помощью разметки выделяют полосу шириной 3,5 м, которая выполняет роль переходно-скоростной полосы.
8.4.12. На эксплуатирующихся многополосных дорогах дополнительные полосы для левых поворотов могут устраиваться в пределах центральной разделительной полосы при ее ширине не менее 4,5 м. Длина дополнительной полосы складывается из длины участка отгона ширины протяженностью 60 - 80 м, длины участка торможения и участка накопления. При определении длины участка торможения следует исходить из условия полной остановки автомобиля, движущегося с начальной скоростью, равной разрешенной максимальной, и с замедлением 1,5 м/с2. Длина участка накопления назначается по табл. 8.7.
Таблица 8.7
Интенсивность движения по главной дороге в одном направлении, авт./сут. | Длина участка накопления, м, при интенсивности левоповоротного движения на второстепенную дорогу, авт./сут. |
500 - 1000 | 1000 - 2000 |
4000 | 20 | 50 |
6000 | 20 | 50 |
8000 | 30 | 70 |
10000 | 55 | 130 |
8.4.13. Планировка полностью канализированного пересечения предусматривает островки на второстепенной и основной дорогах.
В зависимости от соотношения интенсивностей и скоростей движения по разным направлениям отдельные островки или переходно-скоростные полосы могут не устраиваться. Оптимальное количество островков на второстепенной дороге - 3. При изменении угла пересечения дорог меняется лишь очертание этих островков
(рис. 8.12). Согласно
п. 8.4.8 можно:
а) не устраивать правый островок со стороны второстепенной дороги при углах пересечения дорог менее 45° и радиусе правоповоротного съезда менее 16 м, а левый островок - при углах более 120° и радиусе менее 16 м, поскольку их размеры малы (сторона треугольника менее 5 м) и они будут восприниматься водителем как препятствия, а не как направляющие сооружения;
б) при радиусах съездов 10 м и менее устраивать только центральный островок;
в) при интенсивности движения по съезду менее 20 авт./ч островок, отделяющий этот съезд от других направлений движения, выделять на покрытии проезжей части лишь разметкой
(рис. 8.13).
Рис. 8.12. Изменение планировки в зависимости
от угла пересечения дорог:
Рис. 8.13. Выделение островков на проезжей части разметкой
На главной дороге устраивают не более двух направляющих островков, которые выполняют роль разделительной полосы в пределах пересечения и защитного сооружения для поворачивающих потоков. Эти островки должны возвышаться над проезжей частью в следующих случаях:
а) при интенсивности движения по главной дороге более 2000 авт./сут. и доле поворачивающих автомобилей более 15%;
б) при интенсивности движения по главной дороге более 5000 авт./сут. и доле левоповоротного движения более 10%.
При меньшей интенсивности движения эти островки рекомендуется обозначать на покрытии разметкой.
8.5. Кольцевые пересечения
8.5.1. Условия движения на кольцевых пересечениях определяются диаметром центрального островка. Различают четыре типа пересечений с центральными островками: с малым, D < 25 м (рис. 8.14, а), средним, D = 30 - 60 м, большим, D > 60 м (рис. 8.14, б) и с эллиптическим центральным островком, вытянутым по направлению более загруженной дороги (рис. 8.14, в). Рекомендуемые области применимости таких пересечений приведены в табл. 8.8.
а)
б)
в)
Рис. 8.14. Планировочные схемы кольцевых пересечений:
а - с малым островком; б - с большим островком;
в - с эллиптическим
Таблица 8.8
Виды планировок кольцевых пересечений | Категории пересекающихся дорог | Условия применимости |
Кольцевые пересечения с малыми центральными островками и увеличенным числом полос движения | I, I I, II I, III | 1. При реконструкции и капитальном ремонте автомобильных дорог 2. При новом строительстве: а) в пригородной зоне; б) в пределах малых населенных пунктов; в) в районах с высокой стоимостью сельскохозяйственных угодий и в других стесненных условиях на основе технико-экономического сравнения с вариантами пересечений в разных условиях |
II, III | При  > 5000 авт./сут. на основе технико-экономического сравнения с вариантом кольцевого пересечения со средним диаметром центрального островка |
Кольцевые пересечения со средним диаметром центральных островков | I, II II, II II, II III, III | При 5000 <  < 9000 авт./сут. на основе технико-экономического сравнения с кольцевыми пересечениями с малыми центральными островками |
Кольцевые пересечения с большими центральными островками | II, II II, III III, III | При 5000 <  < 9000 - 10000 авт./сут. и числе пересекающихся дорог n > 5 |
Кольцевые пересечения, обеспечивающие лучшие условия движения по более загруженному направлению (с эллиптическими центральными островками) | I, II I, III I, IV I, III I, IV | При  на основе технико-экономического сравнения с вариантом пересечения в разных уровнях |
Примечание.

- суммарная интенсивность движения на пересечении;

- то же, на главной дороге;

- то же, на второстепенной дороге.
8.5.2. Пропускная способность кольцевых пересечений определяется пропускной способностью зон переплетения, которая зависит от их длины. Зоны переплетения имеют меньшую пропускную способность, чем полоса движения на перегоне. Пропускная способность зон переплетения приведена в табл. 8.9.
Таблица 8.9
Состав транспортного потока (% автомобилей) | Пропускная способность кольцевой проезжей части, авт./ч |
Диаметр центрального островка, м |
20 | 40 | 60 | 80 | 100 |
100% легковых | 500 | 550 | 600 | 700 | 1100 |
100% грузовых | 350 | 400 | 450 | 500 | 650 |
15% легковых | 450 | 500 | 580 | 700 | 780 |
85% грузовых |
Пропускную способность кольцевых пересечений можно повысить за счет разгрузки зон переплетения, устраивая полосы для правого поворота, отделяемые от кольцевой проезжей части.
8.5.3. На кольцевых пересечениях в стесненных условиях наиболее целесообразны островки диаметром, не превышающим 1/3 окружности, которую можно вписать в контуры пересечения. Размер островка должен быть таким, чтобы проезд пересечения по прямой линии оказался невозможным и было бы необходимо искривление траектории движения (рис. 8.15). Островки малого диаметра допустимы лишь в местах с небольшой высотой снежного покрова. Они должны быть хорошо видимы издалека водителем.
Рис. 8.15. Улучшение условий движения на пересечении
путем устройства островков небольшого диаметра
8.5.4. Кольцевые пересечения со средним диаметром островков характеризуются прерывистым движением транспортных потоков, так как примыкания к кольцу расположены настолько близко, что маневры переплетения въезжающих на пересечение и выезжающих с него автомобилей не успевают осуществляться. Поэтому автомобили, едущие по кольцу, останавливаются, имея помеху справа от въезжающего автомобиля.
Фактические скорости движения по кольцевым пересечениям зависят от размеров островков.
Диаметр островков, м 15 30 60
Скорость, км/ч 18 - 20 25 30
8.5.5. Для кольцевых пересечений с островками диаметром 15 - 50 м рекомендуются следующие размеры геометрических элементов:
а) ширина проезжей части при двух полосах движения на кольце.
Диаметр центрального островка, м 15 30 50
Ширина проезжей части, м 8 9 11
б) радиусы кривых на примыканиях дорог и кольцевой проезжей части.
Диаметр центрального островка, м 15 30 50
Радиус примыкания, м:
в нормальных условиях 20 30 50
в стесненных условиях 15 20 35
8.5.6. Кольцевые пересечения с большими центральными островками, необходимые на дорогах I и II категорий с высокой интенсивностью движения, обеспечивают непрерывное движение транспортных потоков. Размеры центрального островка определяются длиной участка, необходимой для маневра переплетения въезжающих и выезжающих автомобилей (рис. 8.16).
8.5.7. Расчетная скорость движения на кольцевом пересечении должна быть не ниже 30 км/ч, составляя не менее 0,75 от средней скорости на подходе к пересечению по дороге наиболее высокой категории.
8.5.8. Диаметр центрального кольца, обеспечивающий оптимальные углы слияния транспортных потоков, не более 7° (см. рис. 8.16).
Рис. 8.16. Схема к расчету диаметра центрального островка
на кольцевом пересечении:

- ширина проезжей части кольца;

- ширина проезжей
части примыкающей дороги;

- радиусы сопряжения кромок
проезжих частей

, (8.1)
где k - число пересекающихся дорог;
L - расстояние между осями двух соседних дорог (измеряется по внешней кромке кольцевой проезжей части);

- ширина проезжей части кольца. При этом

, (8.2)
где

и

- радиусы входа и выхода на кольцо, которые следует принимать не менее 15 м;

и

- ширина проезжей части вливающихся дорог, м;

- длина зоны слияния или переплетения (табл. 8.10);
n - число полос движения на кольце.
Таблица 8.10
Категория дороги | Длина зоны переплетения, м | Категория дороги | Длина зоны переплетения, м |
рекомендуемая | минимальная | рекомендуемая | минимальная |
I | 65 | 50 | III | 55 | 30 |
II | 60 | 47 | IV | 45 | 20 |
Кольцевая проезжая часть должна иметь не менее двух полос движения. При коэффициенте загрузки кольцевой проезжей части более 0,5 следует выделять дополнительную полосу для правоповоротного потока.
Ширину полосы движения на кольцевой части пересечения назначают в зависимости от диаметра центрального островка.
Диаметр островка, м 60 80 100 и более
Ширина одной полосы движения, м 5,5 5,0 4,5
8.5.9. При пересечениях двух дорог разных категорий в случае преобладания на дороге высшей категории транзитного движения целесообразно устраивать центральный островок овальной формы, вытянутый вдоль направления главной дороги. Прорезание центрального островка для беспрепятственного прямого пропуска транзитного движения или проложения трамвайных путей допустимо только при введении светофорного регулирования.
Круговые островки рекомендуются на пересечениях равноценных по загрузке дорог с высокой интенсивностью левоповоротного движения.
Количество полос на въезде и съезде с кольца должно быть не менее 2, но съезд автомобилей и выезд их с кольца следует организовывать только в одну полосу. Допускается выделять специальную полосу для правых поворотов высокой интенсивности, но ее необходимо отделять от кольцевой проезжей части разделительной полосой не уже 1 м.
8.5.10. Размеры кольцевых пересечений с малым диаметром центрального островка определяются схемой организации движения на пересечении.
Таблица 8.11
Схема организации движения | Диаметр центрального островка, м |
минимальный (стесненные условия) | рекомендуемый |
Приоритет на кольце | 10 | 15 - 20 |
То же, на въезде или одна из дорог главная | 25 | 30 |
При организации движения с приоритетом по кольцу размер островка и планировка пересечения должны вынуждать водителей проезжать его по искривленной траектории. Радиус кривизны траектории при прямом (транзитном) движении должен быть не более 100 м. С учетом этих условий диаметр центрального островка составляет не менее 15 - 20 м.
Рис. 8.17. Схема расположения автопоезда в зоне
ожидания на кольцевой проезжей части
8.5.11. Если на кольцевом пересечении предполагается организовать движение с преимущественным правом проезда по одной из пересекающихся дорог (главная дорога проходит в прямом направлении), диаметр центрального островка

должен быть не менее длины расчетного крупногабаритного грузового автомобиля

(обычно 24 м), чтобы он мог находиться в зоне ожидания на кольцевой проезжей части, не создавая помехи для транзитного движения (рис. 8.17), т.е.

.
9. ТРАНСПОРТНЫЕ РАЗВЯЗКИ В РАЗНЫХ УРОВНЯХ
9.1. Оценка безопасности движения
9.1.1. Безопасность движения на развязках зависит от интенсивности потоков автомобилей в конфликтных точках, количество и степень опасности которых определяется типом развязки. На полных развязках наиболее опасные конфликтные точки пересечения потоков движения отсутствуют, на неполных - имеются.
9.1.2. Показатель безопасности движения по транспортной развязке

определяется по формуле

, (9.1)
где G - число ДТП на развязке за 1 год;
M - интенсивность движения по главной дороге, авт./сут.;
N - интенсивность движения по второстепенной дороге, авт./сут.;

- коэффициент неравномерности движения (см.
Прил. 7).
9.1.3. Общее число происшествий определяется как сумма происшествий в каждой конфликтной точке развилки, число которых составляет n:

, (9.2)
где

- интенсивность движения по основной полосе, авт./сут.;

- интенсивность движения по второстепенному направлению, авт./сут.;

- относительная аварийность конфликтной точки, число ДТП на 10 млн. авт.
9.1.4. Интенсивность движения по основной полосе магистрали

, где происходит слияние или разделение потоков автомобилей, зависит от общей интенсивности движения и принимается по табл. 9.1.
Таблица 9.1
Интенсивность движения в одном направлении, авт./ч | Интенсивность движения по правой основной полосе магистрали, авт./ч, при числе полос движения |
4 | 6 |
500 | 300 | - |
1000 | 600 | 450 |
1500 | 850 | 600 |
2000 | 400 | 700 |
2500 | 1350 | 800 |
3000 | - | 900 |
9.1.5. Интенсивность движения по крайней левой полосе шестиполосной магистрали составляет 150, 400, 700, 1100 авт./ч при интенсивности движения в одном направлении 1000, 1500, 2000 и 3000 авт./ч соответственно.
9.1.6. Относительная аварийность конфликтных точек

на развязках полного типа представлена в табл. 9.2.
Тип съезда | Взаимодействие потоков автомобилей | Параметры съездов и характер движения | Относительная аварийность |
переходно-скоростные полосы отсутствуют | переходно-скоростные полосы имеются |
Петлевые левоповоротные съезды <1> | Слияние | R < 50 м | 0,00065 | 0,00035 |
R > 50 м | 0,00030 | 0,00020 |
Разделение | R < 50 м | 0,00190 | 0,00100 |
R > 50 м | 0,00090 | 0,00070 |
Правоповоротные и полупрямые левоповоротные <1> съезды | Слияние | R < 60 м | 0,00025 | 0,00015 |
R > 60 м | 0,00020 | 0,00010 |
Разделение | R < 60 м | 0,00050 | 0,00030 |
R > 60 м | 0,00035 | 0,00020 |
Полупрямые левоповоротные съезды | Разделение | Разделение двух потоков при движении по съезду | 0,00020 | 0,00015 |
Слияние | Слияние двух потоков при движении по съезду | 0,00015 | 0,00010 |
Прямые левоповоротные съезды | Слияние | R > 60 м | 0,00040 | 0,00020 |
Разделение | R > 60 м | 0,00070 | 0,00040 |
--------------------------------
<1> При отсутствии переходной кривой относительная аварийность принимается в 1,5 раза больше.
9.1.7. Показатель безопасности движения для развязок полного типа должен быть не более 5.
9.1.8. При оценке безопасности движения на пересечениях неполного типа (неполный "клеверный лист", "ромб" и др.), а также полных развязках кольцевого типа коэффициент относительной аварийности принимают для конфликтных точек в местах пересечения или переплетения потоков автомобилей по данным
Прил. 2, для точек слияния и разделения потоков на съездах развязок - по
табл. 9.2.
9.2. Переходно-скоростные полосы
9.2.1. Переходно-скоростные полосы (рис. 9.1) как обязательный элемент планировочного решения должны предусматриваться на:
- съездах пересечений в разных уровнях, примыкающих к дорогам I - III категорий;
- полностью канализированных пересечениях в одном уровне;
- частично канализированных пересечениях в одном уровне при интенсивности движения по главной дороге более 1000 авт./сут., а поворачивающих автомобилей более 100 авт./сут.;
- автобусных остановках на дорогах I - III категорий;
- съездах к площадкам отдыха, стоянкам, объектам сервиса.
а)
б)
Рис. 9.1. Элементы полос торможения (а) и разгона (б):
1 - уступ шириной 0,5 м; 2 - участок смены полосы
движения (отгон ширины полосы); 3 - участок снижения
скорости; 4 - участок ускорения; 5 - участок маневрирования
9.2.2. Применяют следующие типы тормозных переходно-скоростных полос:
а) клиновидные (рис. 9.2, а) на необорудованных и частично канализированных пересечениях в одном уровне, а также на автобусных остановках дорог III - IV категорий;
б) параллельные (рис. 9.2, б) на канализированных пересечениях в одном уровне и пересечениях в разных уровнях;
в) параллельные с разделительной полосой (рис. 9.2, в) на пересечениях в разных уровнях;
г) непараллельные, или криволинейные (рис. 9.2, г), на съездах пересечений в разных уровнях, рассчитанных на скорость движения 60 км/ч и более.
а)
б)
в)
г)
Рис. 9.2. Типы переходно-скоростных полос
9.2.3. При въезде на дорогу применяют следующие типы переходно-скоростных полос для разгона:
а) клинообразные - на необорудованных и частично канализированных пересечениях в одном уровне и на автобусных остановках дорог III - IV категорий;
б) параллельные - на канализированных пересечениях в одном уровне, автобусных остановках и транспортных развязках всех типов;
в) параллельные с разделительной полосой - на транспортных развязках.
9.2.4. Ширину переходно-скоростных полос назначают равной ширине основных полос проезжей части, но не менее 3,5 м.
9.2.5. Длину переходно-скоростных полос следует принимать по СНиП или при технико-экономическом обосновании устанавливать в зависимости от скорости организации движения на примыкающих дорогах и расчетной скорости движения на съезде, интенсивностей движения на переходно-скоростной полосе и основной дороге по формулам:
длина переходно-скоростных полос для торможения

; (9.1)
длина переходно-скоростных полос для разгона

, (9.2)
где

- длина отгона ширины полосы, назначаемая в соответствии с данными табл. 9.3.
Таблица 9.3
Расчетная скорость дороги, км/ч | Длина отгона переходно-скоростных полос  , м |
торможения | разгона |
140 | 80 | 90 |
120 | 80 | 80 |
100 | 40* | 60 |
80 | 40* | 40 |
Примечание. Отгон полос торможения следует начинать с уступа величиной 0,5 м.
| | ИС МЕГАНОРМ: примечание. Нумерация формул дана в соответствии с официальным текстом документа. | |

- длина участка изменения скорости, определяется по формуле

, (9.4)
где

- скорость организации движения для дороги, км/ч;

- расчетная скорость движения на съезде, км/ч;
a - расчетное линейное ускорение, принимаемое в зависимости от величины продольного уклона на переходно-скоростной полосе
Продольный уклон,

-40 -20 0 20 40
Ускорение торможения, м/с2 0,5 1,0 1,5 2,2 3,0
Ускорение разгона, м/с2 2,0 1,5 1,0 0,6 0,3
Для промежуточных величин продольного уклона на переходно-скоростных полосах значение расчетного линейного ускорения следует принимать по интерполяции.
Скорость организации движения принимается равной 0,7 от расчетной скорости дорог I и II категорий и 0,6 от расчетной скорости дорог других категорий.

- длина участка маневрирования при входе на основную полосу, м, назначаемая в соответствии с данными табл. 9.4.
Таблица 9.4
Тип расчетного автомобиля | Интенсивность движения по основной полосе*, авт./ч |
200 | 400 | 600 | 800 | 1000 |
Длина участка маневрирования (Lм), м |
Легковой | 75 | 100 | 120 | 130 | 150 |
Грузовой | 80 | 110 | 130 | 150 | 170 |
Примечание.
* К основной относится полоса проезжей части дороги, на которую выезжает автомобиль.
9.2.6. При выходе со съезда должна быть обеспечена видимость большей части переходно-скоростной полосы.
9.3. Требования к выбору типа и размещению
транспортных развязок
9.3.1. Целесообразность устройства того или иного типа развязок устанавливается на основе технико-экономических расчетов. В проектах реконструкции особое внимание следует уделять оценке степени безопасности движения и пропускной способности развязок, которая определяется пропускной способностью участков съездов, примыкающих к основной полосе движения. Количество сравниваемых вариантов зависит от размеров движения, сложности рельефа, характера и плотности застройки места расположения развязки. При расчете автотранспортных и других затрат фактические скорости движения по съездам развязки следует принимать в зависимости от расчетной скорости:
Расчетная скорость 30 40 50 55 60 70 80 90
движения на съезде, км/ч
Фактическая скорость 40 47 54 55 58 63 65 70
движения по съезду, км/ч
9.3.2. Для сравнения рекомендуется принимать следующие типы развязок:
- при пересечении дорог I категории между собой: полный "клеверный лист", развязки кольцевого и левоповоротного типов;
- при пересечении дорог I категории с дорогами II категории: полный "клеверный лист", развязки кольцевого типа, развязки с 1 - 3 прямыми или полупрямыми левоповоротными съездами;
- при пересечении дорог I категории с дорогами III, IV категорий и дорог II, III категорий между собой: развязка типа "ромб", неполный и полный "клеверный лист", развязки кольцевого типа. В случае устройства развязок неполного типа на дороге с большей интенсивностью движения не должно быть конфликтных точек пересечений траекторий движения. Следует избегать планировки развязок, сложных для ориентации водителей, без разработки детальных схем организации движения.
9.3.3. При выборе типа сравниваемых вариантов или оценке целесообразности реконструкции развязки следует учитывать, что пропускная способность пересечения полный "клеверный лист" ограничивается пропускной способностью межпетлевого участка дороги - участка между левоповоротными съездами (рис. 9.3).
Рис. 9.3. Диаграмма применимости различных типов
левоповоротных съездов:
1 - левоповоротный съезд пересечения "клеверный лист";
2 - полупрямой левоповоротный съезд;

,

- интенсивности
движения по съездам N 1 и N 2
9.3.4. При ограниченных площадях земли (например, в зонах плотной пригородной застройки) допускается устройство развязок обжатого типа. Обжатые съезды размещают вдоль направлений с большей интенсивностью движения, что позволяет отнести более короткий участок переплетения левоповоротных потоков на второстепенное направление.
9.3.5. На пересечениях дорог I, II категорий с дорогами V категории систему съездов не устраивают. В этом случае поворачивающие потоки с дороги низкой категории выводятся на ближайшую дорогу более высокой категории, пересекающуюся с данной дорогой I или II категории.
9.3.6. Реконструкция развязки (особенно неполного типа и пересечений полный "клеверный лист"), а также самих пересекающихся дорог значительно упрощается, если при их строительстве были зарезервированы свободные площади земли для размещения дополнительных съездов, а также предусмотрены размеры поперечника путепроводов и земляного полотна под путепроводами, позволяющие размещать дополнительные полосы движения.
9.3.7. Пересечения в разных уровнях по возможности располагают на прямолинейных горизонтальных участках дорог, а в исключительных случаях - на кривых в плане не менее указанных радиусов.
Расчетная скорость, км 80 100 120 140 - 150
Минимальные радиусы кривых, м 2000 3000 4000 5000
9.3.8. Продольный уклон дорог на пересечениях в разных уровнях не должен превышать

. На развязках неполного типа и полный "клеверный лист" допускаются большие уклоны (до

) при условии устройства между основной проезжей частью и переходно-скоростными полосами боковой разделительной полосы шириной 3 - 3,5 м, надежно отделяющей транзитные быстродвижущиеся потоки автомобилей от второстепенных, скорости движения которых значительно ниже.
9.3.9. Расстояние между развязками в разных уровнях существенно влияет на безопасность движения и пропускную способность дорог, оно назначается в зависимости от категории дороги согласно СНиП.
9.3.10. В целях лучшей ориентации водителя в направлении движения при выезде с дороги совмещают выходные участки лево- и правоповоротного съездов. При этом достигается единообразие планировки выезда с основных полос движения вдоль всей дороги. На пересечениях полный "клеверный лист" это требование выполнимо при устройстве на всем протяжении развязки боковой разделительной полосы (см.
п. 9.3.8).
9.3.11. Планировка съездов на участках примыкания к основной проезжей части может иметь два решения: съезды с переходно-скоростными полосами, съезды, имеющие своим продолжением самостоятельную дополнительную полосу дороги, которая устраивается при высокой интенсивности движения на основных полосах и съездах.
9.3.12. Выезды с дороги и въезды на нее рекомендуется располагать справа по движению, так как при расположении слева слияние и разделение потоков значительно опаснее. Поэтому левостороннее расположение съездов рекомендуется допускать при высокой интенсивности движения поворачивающих потоков, требующей устройства дополнительной полосы на основной проезжей части на всем протяжении до следующей развязки.
9.3.13. В зоне пересечений в разных уровнях не должны изменяться условия движения по дороге с наибольшей интенсивностью. На другой уровень следует переводить движение по второстепенной дороге.
9.3.14. Минимальное расстояние видимости пересечения в целом зависит от расчетной скорости на дороге.
Расчетная скорость, км/ч 80 100 120 140 - 150
Расстояние видимости, м 400 500 600 750
9.4. Требования к элементам развязок и методы
улучшения их планировки
9.4.1. В целях снижения потерь времени автомобилями и уменьшения площади земли, необходимой для размещения сооружений, элементы транспортных развязок рассчитываются на скорости меньшие, чем расчетные для пересекающихся дорог.
Круговые участки петель левоповоротных съездов пересечений типа "клеверный лист" целесообразно рассчитывать на скорости не выше 40 - 50 км/ч, которые в наибольшей степени соответствуют режимам движения автомобилей в зоне пересечения этого типа. Правоповоротные, а также прямые или полупрямые левоповоротные съезды рассчитывают на скорости 60 - 90 км/ч, но не ниже 40 - 50 км/ч, кольцевые - 50 - 70 км/ч.
В сложных условиях гористого или горного рельефа, в природных зонах с плотной застройкой допускается проектирование съездов на расчетные скорости 30 - 35 км/ч на развязках "обжатый клеверный лист".
9.4.2. При расчете радиусов закруглений петель левоповоротных съездов пересечений типа "клеверный лист" исходят из значений коэффициента поперечной силы 0,16 для съездов, расположенных на подъеме, и 0,12 - на спуске. В стесненных условиях значения коэффициентов поперечной силы могут быть повышены соответственно до 0,23 и 0,18.
Радиусы круговых кривых на правоповоротных, кольцевых, прямых и полупрямых левоповоротных съездах рассчитывают на коэффициент поперечной силы, равный 0,15.
9.4.3. Максимальные значения поперечного уклона виражей на съездах принимают равными:
- для петель левоповоротных съездов пересечений "клеверный лист"

;
- для правоповоротных съездов, рассчитанных на скорости 60 - 90 км/ч,

, на скорости 40 - 50 км/ч -

;
- для прямых, полупрямых и кольцевых левоповоротных съездов

; для других видов съездов, рассчитанных на скорости 40 - 50 км/ч,

. Поперечный уклон на обочинах съездов, укрепленных каменными материалами, принимают

, при асфальтобетонных обочинах -

.
9.4.4. Ширина проезжей части на однополосных съездах транспортных развязок составляет: на левоповоротных съездах развязки типа "клеверный лист" 5,5 м, на других съездах - 5 м без дополнительного уширения на кривых.
При устройстве съездов с несколькими полосами движения ширину проезжей части назначают исходя из рекомендаций по определению ширины полос движения на закруглениях автомобильных дорог.
9.4.5. Для более уверенного управления автомобилем и лучшего зрительного восприятия водителем кромок полосы движения на проезжей части съездов целесообразно устраивать краевые полосы шириной 0,5 м.
9.4.6. При свободных условиях трассирования съездов в плане следует по возможности избегать прямых вставок и обратных кривых. Смежные кривые постоянного радиуса сопрягают посредством переходных кривых или устраивают съезды из сплошных переходных кривых (клотоид).
9.4.7. Переходные кривые на участках съездов, примыкающих к основным полосам движения, рассчитываются на постоянную скорость при радиусах круговой части съезда 90 м и более и на переменную скорость при меньших радиусах.
9.4.8. Необходимость реконструкции развязок возникает в случаях:
- уширения земляного полотна пересекающихся дорог для увеличения числа полос движения с целью пропуска возрастающего транзитного потока;
- уширения земляного полотна или проезжей части пересекающихся дорог для устройства переходно-скоростных полос, полос накопления или других элементов канализирования движения в целях увеличения пропускной способности развязки и снижения аварийности;
- улучшения планировки съездов и конструкции путепроводов, переставших соответствовать возросшим интенсивностям движения и составу транзитных и поворачивающих потоков автомобилей.
9.4.9. При уширении проезжей части пересекающихся дорог в целях минимизации строительных расходов изменение параметров съездов следует предусматривать в пределах переходных кривых, не затрагивая круговую часть съезда и не изменяя его радиус, если его величина соответствует требованиям безопасности движения.
9.4.10. В случаях уширения проезжей части дороги на одну полосу в качестве переходной кривой, обеспечивающей безопасные условия движения на входном и выходном участках съезда, можно использовать кривые с применением сплайн-функций или кривые, описываемые уравнением параболы 4-й степени:

,
где A - параметр кривой;
R - конечный радиус;
L - длина кривой.
9.4.11. При уширении дороги на 2 полосы движения и более в одном направлении требуется перепланировка всего съезда на участке переходных кривых и кривой постоянного радиуса в соответствии с расчетными скоростями.
10. МЕРОПРИЯТИЯ ПО ОБЕСПЕЧЕНИЮ БЕЗОПАСНОСТИ ДВИЖЕНИЯ
НА ЖЕЛЕЗНОДОРОЖНЫХ ПЕРЕЕЗДАХ
10.1. Методы оценки безопасности движения
на железнодорожных переездах
10.1.1. Безопасность движения локомотивов железных дорог и автотранспортных средств в зоне железнодорожных переездов оценивают по методам коэффициентов аварийности и коэффициентов опасности. Метод коэффициентов аварийности используют для сопоставления уровней безопасности движения на железнодорожных переездах и других прилегающих к ним участках автомобильных дорог с целью установления приоритетов для их реконструкции или инженерного оборудования. Метод коэффициентов опасности используют для детальной оценки показателей относительной аварийности на железнодорожных переездах с целью установления очередности закрытия, перестройки и инженерного оборудования переездов, а также строительства вместо них пересечений в разных уровнях.
Оба эти метода могут быть использованы для железнодорожных переездов, эксплуатируемых работниками Министерства путей сообщения (МПС) Российской Федерации и других ведомств.
10.1.2. При оценке безопасности движения на железнодорожных переездах по методу коэффициентов аварийности частные коэффициенты аварийности, характеризующие состояние и размеры автомобильных дорог (
п. 1.4), не используют.
Величину итогового коэффициента аварийности

для железнодорожного переезда определяют перемножением семи частных коэффициентов аварийности

:

. (10.1)
Значения частных коэффициентов аварийности определяются по
табл. 10.1 и по формуле 10.2:

, (10.2)
где

- интенсивность движения поездов через переезд, поездов/сут.
┌─────────────────┬──────────────────────────────────────────────┐
│ Показатель │ Значение │
├─────────────────┼──────────────────────────────────────────────┤
│Интенсивность │меньше 501 - 1001 - 3001 - 5001 - больше│
│движения по авто-│ 500 1000 3000 5000 7000 7000 │
│мобильной дороге,│ │
│авт./сут. │ │
├─────────────────┼──────────────────────────────────────────────┤
│ (п) │ │
│K │ 0,42 0,55 0,8 1,14 1,50 2,05 │
│ 2 │ │
├─────────────────┼──────────────────────────────────────────────┤
│Расстояние види- │больше 51 - 101 - 201 - 301 - меньше│
│мости переезда и │ 50 100 200 300 400 400 │
│поезда, м │ │
├─────────────────┼──────────────────────────────────────────────┤
│(п) │ │
│K │ │
│ 3 │ │
│на переездах с │ 0,9 1,3 1,6 2,0 2,8 3,2 │
│дежурным, обору- │ │
│дованных шлагбау-│ │
│мами, и на пере- │ │
│ездах, оборудо- │ │
│ванных автомати- │ │
│ческой светофор- │ │
│ной сигнализаци- │ │
│ей, с автоматиче-│ │
│скими шлагбаумами│ │
├─────────────────┼──────────────────────────────────────────────┤
│на переездах без │ 1,0 1,42 2,5 4,0 5,1 6,5 │
│дежурного, обору-│ │
│дованных дорож- │ │
│ными знаками и │ │
│автоматической │ │
│светофорной │ │
│сигнализацией, │ │
│без шлагбаумов │ │
└─────────────────┴──────────────────────────────────────────────┘
Таблица 10.1, б
┌────────────────────────────────────────┬───────────────────────┐
│ Оборудование переезда │ (п) │
│ │ Коэффициент K │
│ │ 4 │
│ │ на переездах: │
│ ├───────────┬───────────┤
│ │с дежурным │ без │
│ │ │ дежурного │
├────────────────────────────────────────┼───────────┼───────────┤
│Автоматический шлагбаум с автоматической│1,6 │4,0 │
│светофорной сигнализацией │ │ │
├────────────────────────────────────────┼───────────┼───────────┤
│Автоматическая светофорная сигнализация │2,2 │4,4 │
├────────────────────────────────────────┼───────────┼───────────┤
│Механизированные шлагбаумы с оповести- │4,8 │- │
│тельной сигнализацией │ │ │
├────────────────────────────────────────┼───────────┼───────────┤
│Механизированные шлагбаумы без сигнали- │9,1 │- │
│зации │ │ │
├────────────────────────────────────────┼───────────┼───────────┤
│Дорожные знаки │- │7,45 │
└────────────────────────────────────────┴───────────┴───────────┘
Таблица 10.1, в
┌────────────────┬───────────────────────────────────────────────┐
│ Показатель │ Искусственное освещение переезда: │
│ ├──────────────────────┬────────────────────────┤
│ │ имеется │ отсутствует │
├────────────────┼──────────────────────┼────────────────────────┤
│ (п) │ │ │
│K для переез-│1,0 │- │
│ 5 │ │ │
│дов с дежурными │ │ │
├────────────────┼──────────────────────┼────────────────────────┤
│ (п) │ │ │
│K для переез-│1,4 │1,5 │
│ 5 │ │ │
│дов без дежурных│ │ │
├────────────────┼───────┬───────┬──────┼────────┬───────┬───────┤
│Радиус кривой в │меньше │51 - 75│76 - │101 - │151 - │больше │
│плане на подхо- │50 │ │ 100│ 150│ 200│200 │
│дах к переезду, │ │ │ │ │ │ │
│м │ │ │ │ │ │ │
├────────────────┼───────┼───────┼──────┼────────┼───────┼───────┤
│ (п) │ │ │ │ │ │ │
│K │8,9 │5,80 │4,40 │3,21 │1,45 │1,0 │
│ 6 │ │ │ │ │ │ │
├────────────────┼───────┼───────┼──────┼────────┼───────┼───────┤
│Продольный уклон│меньше │30 │40 │50 │60 │больше │
│автомобильной │20 │ │ │ │ │60 │
│дороги на под- │ │ │ │ │ │ │
│ходах к переез- │ │ │ │ │ │ │
│ду, о/оо │ │ │ │ │ │ │
├────────────────┼───────┼───────┼──────┼────────┼───────┼───────┤
│ (п) │ │ │ │ │ │ │
│K │1,0 │1,38 │2,45 │2,72 │2,81 │3,64 │
│ 7 │ │ │ │ │ │ │
└────────────────┴───────┴───────┴──────┴────────┴───────┴───────┘
10.1.3. При построении графиков коэффициентов аварийности зону влияния железнодорожного переезда и элементов дорог на подходе к нему следует принимать по табл. 10.2.
Таблица 10.2
Зоны влияния железнодорожного переезда
Элементы дороги | Зона влияния, м |
Железнодорожный переезд на прямом горизонтальном участке | 75 |
Железнодорожный переезд в конце спуска с уклона более  при длине спуска, м: 100 | 100 |
200 | 200 |
300 | 200 |
400 | 250 |
Кривые в плане менее 200 м на подходе к переездам | 150 |
10.1.4. По величине итогового коэффициента аварийности оценивают степень движения на железнодорожном переезде.

40 и более 41 - 60 61 - 80 более 81
Опасность неопасный малоопасный опасный очень опасный
переезда
10.1.5. При оценке безопасности движения на железнодорожных переездах по методу коэффициентов опасности определяют возможное количество дорожно-транспортных происшествий (ДТП), которые возникают на самом переезде и в зоне его влияния, за 1 год при различных дорожно-транспортных условиях. Это количество ДТП является показателем опасности железнодорожного переезда и его определяют по формуле

, (10.3)
где

- показатель опасности железнодорожного переезда ДТП/год;

- интенсивность движения по автомобильной дороге, авт./сут.;

- интенсивность движения по железной дороге, поездов/сут.;

- коэффициент, учитывающий оборудование поезда;

- расстояние видимости приближающегося к переезду поезда, м.
Интервалы значений переменных, допустимые для использования в формуле, приведены в табл. 10.3.
Таблица 10.3
Наименование переменной | Допустимый интервал значения переменной |
Интенсивность движения по автомобильной дороге, авт./сут. | 0 - 10000 |
Интенсивность движения по железной дороге, поездов/сут. | 0 - 250 |
Коэффициент оборудования поездов | |
Расстояние видимости приближающегося поезда | 0 - 400 |
Если фактическое расстояние видимости на железнодорожном переезде превышает 400 м, не следует подставлять его значение в формулу, надо ограничиться предельной цифрой 400 м.
10.1.6. Значения коэффициента

, учитывающего оборудование железнодорожного переезда, приведены в табл. 10.4.
Таблица 10.4
Оборудование переезда | Коэффициент  |
Дорожные знаки | 4,0 |
Механизированный шлагбаум без сигнализации | 11,0 |
То же, с оповестительной сигнализацией | 18,0 |
То же, с оповестительной и световой сигнализацией | 25,0 |
Автоматическая световая сигнализация | 45,0 |
Автоматический шлагбаум с автоматической световой сигнализацией | 61,0 |
10.1.7. Показатель опасности

используют для определения ущерба от дорожно-транспортных происшествий, возникающих на железнодорожных переездах, и для обоснования инвестиций в оборудование и реконструкцию этих объектов.
10.1.8. По показателям опасности железнодорожные переезды характеризуют следующим образом.

менее 1,0 1,0 - 2,0 2,0 - 3,0 более 3,0
Опасность неопасный малоопасный опасный очень
переезда опасный
10.1.9. В проектах новых автомобильных и железных дорог следует перепроектировать автомобильную дорогу на подходах к переезду, изменить место пересечения, систему заграждения переезда или рассмотреть возможность строительства пересечений в разных уровнях, если по двум методам оценки безопасности переезд характеризуется как малоопасный, опасный или очень опасный.
В проектах ремонта дорог такие мероприятия являются рекомендуемыми, но обязательное их применение относится только к опасным и очень опасным переездам.
10.1.10. Если по двум методам оценки безопасности движения железнодорожный переезд относится к разным группам по степени опасности, требуется сопоставить причины различной оценки, выявить причины расхождений и отнести переезд к одной из двух групп.
К дополнительным факторам, определяющим необходимость отнесения переезда к более опасным переездам, относится количество маршрутов движения общественного транспорта и школьных автобусов, проложенных через переезд.
Решение о переводе переезда в другую категорию следует принимать по соглашению местной администрации с органами управления железной дорогой.
10.2. Организация движения по железнодорожным переездам
10.2.1. Организация движения по железнодорожным переездам должна обеспечивать максимальную защиту участников движения от вовлечения в ДТП, минимальные задержки транспортных средств и максимальное удобство передвижения водителей, машинистов и пассажиров транспортных средств через переезд.
Основными направлениями повышения безопасности движения на переездах являются:
- ликвидация малодеятельных переездов;
- соблюдение действующих норм проектирования и эксплуатации железных и автомобильных дорог в зонах устройства переездов;
- совершенствование технического оснащения переездов;
- строительство пересечений в разных уровнях вместо переездов.
10.2.2. Ликвидацию малодеятельных переездов следует выполнять:
- путем укорачивания или полной разборки веток железных дорог, проложенных к предприятиям, прекратившим свое существование, резко сократившим проектные мощности или изменившим характер производства, а также к предприятиям, доставку грузов на которые и вывоз от них готовой продукции можно переложить на автомобильный транспорт;
- путем прекращения движения по автомобильной дороге, проложенной к малодеятельному переезду, с переводом его на соседние переезды, имеющие резервы пропускной способности, а также с переводом движения на пересечения в разных уровнях.
10.2.3. Действующие нормы по проектированию и эксплуатации пересечений железной и автомобильных дорог сформулированы в
СНиП 2.05.02-85 "Автомобильные дороги. Нормы проектирования", "
Инструкции по эксплуатации железнодорожных переездов МПС РФ",
ГОСТ Р 50597-93 "Автомобильные дороги и улицы", а также в нормативных документах ведомств, эксплуатирующих железные дороги, требованиях к эксплуатационному состоянию, допустимому по условиям обеспечения безопасности дорожного движения,
ГОСТ 23457 "Технические средства организации дорожного движения. Правила применения".
10.2.4. К числу наиболее важных положений этих нормативных документов относятся следующие требования:
- переезды должны располагаться преимущественно на прямых участках железных и автомобильных дорог вне пределов выемок, мест, где не обеспечиваются удовлетворительные условия видимости, станций и путей маневрирования подвижного состава железных дорог;
- пересечение железных дорог автомобильными дорогами должно осуществляться преимущественно под прямым углом, но допускается минимальный угол пересечения 60°;
- ширина настила на переезде должна быть равна ширине проезжей части автомобильной дороги, но не менее 6,0 м;
- на железнодорожных переездах без дежурных водителям автотранспортных средств, находящихся на удалении более 50 м от ближнего рельса, должно быть обеспечено следующее расстояние видимости приближающегося с любой стороны поезда;
Скорость движения 121 - 140 81 - 120 41 - 80 26 - 40 25 и
поезда, км/ч менее
Расстояние 500 400 250 150 100
видимости поезда,
м, не менее
- при проектировании вновь строящихся и реконструируемых автомобильных дорог общего пользования и подъездных дорог к промышленным предприятиям на переездах должна быть обеспечена видимость, при которой водитель автомобиля, находящегося от переезда на расстоянии не менее расстояния видимости для остановки автомобиля (согласно
СНиП 2.05.02-85), мог видеть приближающийся к переезду поезд не менее чем за 400 м, а машинист приближающегося поезда мог видеть середину переезда на расстоянии не менее 1000 м.
10.2.5. При интенсивностях движения по автомобильной и железной дорогам соответственно до 7500 авт./сут. и 130 поездов/сут. рекомендуется устраивать дополнительные полосы на автомобильной дороге (до и после переезда) для движения через переезд по двум полосам движения в каждом направлении. Длину дополнительных полос рекомендуется назначать не менее указанной в табл. 10.5.
Таблица 10.5
Устройство дополнительных полос
проезжей части на железнодорожных переездах
Интенсивность движения по железной дороге, поездов/сут. | Интенсивность движения по автомобильной дороге, авт./сут. |
100 | 100 - 200 | 200 - 300 | 300 - 400 |
Длина дополнительной полосы перед железнодорожным переездом (в числителе) и после переезда (в знаменателе) |
10 | | - | 50 - 70 --------- 100 - 200 | 100 - 120 --------- 200 - 250 |
25 | - | 60 - 80 --------- 150 - 180 | 100 - 120 --------- 220 - 250 | 150 - 170 --------- 270 - 300 |
50 | 60 - 80 --------- 120 - 150 | 80 - 100 --------- 180 - 200 | 120 - 150 --------- 250 - 300 | 170 - 200 --------- 300 - 350 |
100 | - | 90 - 110 --------- 220 - 230 | 150 - 180 --------- 280 - 300 | - |
150 | 90 - 110 --------- 220 - 250 | 120 - 150 --------- 250 - 300 | - | - |
10.2.6. Ширину дополнительных полос проезжей части принимают 3,75 м на дорогах I - II технических категорий и 3,5 м - на дорогах III - V категорий.
10.2.7. Подходы автомобильных дорог IV и V категорий к переезду, расположенному в конце спусков, на протяжении 50 м следует проектировать с продольным уклоном не более

. У дорог других категорий длину этих подходов следует назначать по табл. 10.6.
Таблица 10.6
Интенсивность движения по железной дороге, поездов/сут. | Интенсивность движения по автомобильной дороге, авт./сут. |
до 2000 | 3000 | 4000 | 5000 | 6000 | 7000 |
Длина участка подхода с уклоном не более  , м |
10 | 50 | 75 | 100 | 125 | 150 | 175 |
25 | 75 | 125 | 150 | 175 | 220 | 250 |
50 | 75 | 150 | 175 | 200 | 225 | 250 |
75 | 75 | 175 | 220 | 250 | 270 | 300 |
10.2.8. Кривые в плане радиусом менее 200 м должны располагаться на расстоянии не менее 100 м от переезда (при угле поворота от 15 до 45°).
10.2.9. При невозможности обеспечения требования видимости на переходах к переездам следует вводить ограничение скорости движения автомобилей или поездов. Значения допустимой скорости движения автомобилей в зоне переезда следует устанавливать в зависимости от расстояния видимости приближающегося к переезду поезда.
Расстояние видимости, м менее 50 50 - 100 100 - 200 200 - 400
движения, км/ч
10.2.10. Техническое оснащение железнодорожных переездов всех категорий должно обеспечивать:
- безопасный поочередный пропуск автомобилей и поездов через переезд с предоставлением преимущества в движении подвижному составу железных дорог;
- своевременное предупреждение водителей автомобилей о закрытии переезда, а машинистов - о сигналах автоматической светофорной сигнализации на переезде;
- минимальные задержки автомобилей в пути;
- удобство проезда через переезд для водителей автомобилей и машинистов поездов.
Эти требования следует выполнять, используя технические средства, предусмотренные "
Инструкцией по эксплуатации железнодорожных переездов МПС России",
ГОСТ 23457-86 "Технические средства организации дорожного движения. Правила применения" и нормативными документами ведомств, эксплуатирующих железные дороги.
10.2.11. К железнодорожным переездам I - II категорий должны быть предъявлены дополнительные требования по их техническому оснащению:
- обеспечить надежность защиты переезда от несанкционированных въездов на него автомобилей в объезд шлагбаумов;
- свести к минимуму продолжительность закрытого состояния переезда;
- снизить опасность столкновения поезда с возникшим на переезде препятствием;
- улучшить условия видимости на переезде обстановки дороги и транспортных средств в темное время суток.
10.2.12. Снижение опасности столкновения поезда с возникшим на переезде препятствием следует обеспечивать автоматическим переключением ближайших к переезду железнодорожных светофоров на запрещающие показания с помощью детекторов препятствий или по сигналам дежурных.
Такие устройства должны использоваться на переездах, обслуживаемых дежурными и расположенных на участках с автоблокировкой.
10.2.13. Улучшение условий видимости на переездах в темное время суток следует обеспечивать установкой вблизи от железнодорожных путей мачт освещения со светильниками в соответствии с нормами, регламентируемыми "
Инструкцией по эксплуатации железнодорожных переездов МПС России".
10.2.14. Строительство пересечений железных и автомобильных дорог в разных уровнях следует предусматривать на основе технико-экономических обоснований, учитывающих кроме основных затрат потери от ДТП на переездах и задержки автомобилей в пути.
10.2.15. При проектировании вновь строящихся и реконструируемых дорог пересечения автомобильных дорог I - III категорий с железными дорогами следует проектировать в разных уровнях. Пересечения автомобильных дорог IV и V категорий с железными дорогами следует проектировать в разных уровнях при:
- проложении пересекаемых железных дорог в выемках, а также в случаях, когда не обеспечено необходимое расстояние видимости;
- движении на автомобильных дорогах троллейбусов или устройстве на них совмещенных трамвайных путей.
10.2.16. Защиту переезда от несанкционированных проникновений автотранспортных средств следует обеспечивать размещением в толще дорожной одежды автомобильной дороги, у шлагбаумов, устройств заграждения переезда, крышки которых автоматически поднимаются или опускаются при его закрытии или открытии, или установкой двух автоматических шлагбаумов (входного или выходного) с каждой стороны переезда для перекрытия всей ширины проезжей части, с задержкой опускания выходных шлагбаумов по отношению к опусканию входных.
Эти устройства следует применять на переездах, обслуживаемых дежурным работником и оборудованных автоматической светофорной сигнализацией с автоматическими или полуавтоматическими шлагбаумами, в первую очередь на участках со скоростным движением поездов, а также на участках с интенсивным движением пассажирских и пригородных поездов, где имеют место продолжительное закрытие переездов и значительные задержки автотранспортных средств.
10.2.17. Уменьшение продолжительности закрытого состояния переезда следует обеспечивать применением переездного автоматического комплекса устройств (ПАКУ), позволяющего решать задачу оптимизации продолжительности закрытого состояния переезда путем расчета времени подачи извещения для закрытия переезда в зависимости от расстояния до поезда, его скорости, а также возможного ускоренного движения.
Переездной автоматический комплекс устройств следует применять для дополнительного оборудования переездов, обслуживаемых дежурными, на участках с изолированными рельсовыми цепями, в первую очередь на участках железных дорог, где обращающиеся поезда имеют значительный разброс скоростей или при наличии вблизи от переезда остановочных платформ, а также на подходах к станциям.
10.2.18. Перечень мероприятий по повышению безопасности движения на железнодорожных переездах включает следующие виды работ:
1. Вырубка кустарника и деревьев, разборка заборов и строений, срезка откосов выемок для улучшения видимости на переезде, а также устранение возможностей объезда шлагбаума по придорожной территории.
2. Установка отсутствующих дорожных знаков, габаритных ворот, сигнальных столбиков, ограждений, светосигнальных и звуковых устройств, шлагбаумов и нанесение разметки.
3. Приведение в удовлетворительное состояние настила, проезжей части автомобильной дороги и обочин, улучшение отвода воды от переезда, замена поврежденных элементов светосигнального оборудования переезда, шлагбаумов, габаритных ворот, дорожных знаков.
4. Ограничение максимальной скорости движения автотранспортных средств или поездов при невозможности устранения объектов, ограничивающих видимость.
5. Облегчение прохода пешеходов через железнодорожные линии (строительство надземных или подземных пешеходных переходов или изолированных от проезжей части пешеходных дорожек).
6. Установка автоматической световой сигнализации на переездах без дежурных.
7. Организация дежурства на переезде.
8. Установка на переездах с дежурными автоматической световой сигнализации и автоматических шлагбаумов со стороны автомобильной дороги, а также проходных светофоров автоблокировки или специальных заградительных светофоров со стороны железной дороги.
9. Устройство на переездах с дежурными, которые располагаются на станциях, оповестительной сигнализации и автоматических шлагбаумов со стороны автомобильной дороги, а также станционных светофоров или заградительных светофоров со стороны железной дороги.
10. Устройство светофорной сигнализации на переездах без дежурных или светофорной сигнализации с электрическими (механическими) шлагбаумами на переездах с дежурными со стороны автомобильной дороги при пересечении железнодорожных подъездных или иных путей, где участки приближения не могут быть оборудованы рельсовыми цепями, а также установка специальных светофоров со стороны железной дороги.
11. Увеличение радиуса кривой в плане на автомобильной дороге перед переездом.
12. Устройство дополнительных полос на переезде.
13. Установка на переезде четырех шлагбаумов, полностью перекрывающих проезжую часть автомобильной дороги, с обеспечением необходимой задержки при опускании выходных шлагбаумов.
14. Установка переездного автоматического комплекса устройств (ПАКУ) на переезде.
15. Установка детекторов обнаружения препятствий на переезде.
16. Установка устройств заграждения переезда (УЗП).
17. Изменение продольного уклона автомобильной дороги на подходе к переезду.
18. Закрытие малодеятельных переездов.
19. Ограничение времени работы переезда.
20. Устройство пересечений в разных уровнях.
10.2.19. Выбор основных мероприятий на конкретном железнодорожном переезде должен быть выполнен с учетом обязательного выполнения требований "
Инструкции по эксплуатации железнодорожных переездов МПС России",
ГОСТ 23457-86 "Технические средства организации движения. Правила применения", а также инструктивных документов других министерств и ведомств, в ведении которых находится данная железная дорога.
Дополнительные мероприятия следует назначать с учетом выявленной степени опасности переезда и финансовых возможностей организации, планирующей проведение подобных работ.
10.2.20. Первостепенными мероприятиями, проводимыми на переездах III - IV категорий, являются работы по поддерживанию в удовлетворительном состоянии проезжей части автомобильной дороги, настила, дорожных знаков, шлагбаумов и светосигнальных устройств. Эти работы требуется проводить и на малоопасных переездах.
10.2.21. На малоопасных переездах дополнительно следует стремиться к устранению причин, осложняющих условия движения. Среди таких причин могут быть неудовлетворительное оборудование переездов заграждающими устройствами, недостаточное расстояние видимости, характерные дорожные условия, которые способствуют несанкционированным проездам автомобилей через переезд. Если устранить причины невозможно, следует ограничить максимальную скорость движения автомобилей или поездов.
10.2.22. На опасных переездах первостепенной задачей становится потребность надежного заграждения переезда. Должны быть рассмотрены вопросы об организации дежурства на переезде, устройстве электрического освещения, использовании автоматической светофорной сигнализации, установке четырех шлагбаумов, изменении радиусов кривых в плане и продольных уклонов на автомобильной дороге.
Все эти мероприятия также следует проводить в качестве дополнительных действий.
10.2.23. На очень опасных переездах меры пресечения несанкционированных выездов автомобилей в обход шлагбаумов должны быть очень строгими. Целесообразно рассмотреть возможность установки устройств заграждения переезда или четырех шлагбаумов, оценить потребность устройства дополнительных полос на переезде, принять меры по изменению неудовлетворительных параметров элементов плана и профиля автомобильной дороги, оценить потребности и возможности строительства пересечения в разных уровнях.
11. ОБЕСПЕЧЕНИЕ БЕЗОПАСНОСТИ ДВИЖЕНИЯ В НАСЕЛЕННЫХ ПУНКТАХ
11.1.1. Основными мероприятиями, направленными на повышение безопасности движения в населенных пунктах, повышение допустимых скоростей движения и улучшение экологической обстановки населенных пунктов, через которые проходит автомобильная дорога, являются:
а) разделение путей движения автомобилей и пешеходов, устройство тротуаров вдоль линии застройки;
б) организация перехода дороги пешеходами в специально оборудованных местах;
в) разделение транзита и местного движения;
г) организация движения автомобилей в пределах населенного пункта - оборудование пересечений знаками, канализирование пересечений, введение светофорного регулирования, выделение улиц грузового и одностороннего движения;
д) оборудование автобусных остановок;
е) устройство мест стоянки для автомобилей в местах их сосредоточения;
ж) освещение дороги в пределах всего населенного пункта или на наиболее опасных участках;
з) мероприятия по "успокоению движения".
11.1.2. Вид и количество проводимых мероприятий зависят от категории населенного пункта, численности населения в нем, его планировки, ширины улиц и интенсивности движения.
Приводимые далее рекомендации и нормы относятся преимущественно к населенным пунктам сельского типа и малым городам с численностью до 25 тыс. чел.
11.2. Дополнительные полосы для местного движения,
тротуары и пешеходные дорожки, ограждения
11.2.1. Не рекомендуется совмещение в населенном пункте местного движения с транзитным. В населенных пунктах городского типа местное движение должно организовываться на параллельных улицах с выходом на автомобильную дорогу на специально оборудованном пересечении. В сельских населенных пунктах на дорогах I - III категорий целесообразно устраивать местные проезды с укрепленными путями для конных повозок и сельскохозяйственных машин.
11.2.2. При проектировании новых и реконструкции существующих дорог для обеспечения безопасности движения пешеходные дорожки или тротуары рекомендуется устраивать на дорогах всех категорий, проходящих через населенные пункты. На дорогах III категории и выше тротуары обязательны на всех участках, проходящих через населенные пункты, независимо от интенсивности движения пешеходов, а также на подходах к населенным пунктам от автобусных остановок и зон отдыха.
11.2.3. В населенных пунктах городского типа тротуары следует устраивать в соответствии с требованиями нормативных документов на планировку и застройку городских и сельских поселений (рис. 11.1).
Рис. 11.1. Тротуар в населенном пункте:

- удаление тротуара от красной линии (граница
застройки, ограждение);

- ширина тротуара;

- удаление тротуара от кромки проезжей части дороги
11.2.4. В условиях сильно пересеченной местности при высоких насыпях или глубоких выемках пешеходные дорожки могут быть размещены на откосах на присыпных бермах на расстоянии от кромки проезжей части не ближе 2,5 м.
11.2.5. Пешеходные тротуары рекомендуется располагать с двух сторон дороги, а при односторонней застройке - с одной стороны.
11.2.6. Количество полос движения пешеходов на тротуаре и пешеходной дорожке зависит от интенсивности пешеходного движения. На тротуаре количество полос движения должно быть не менее 2. При суммарной (в двух направлениях) интенсивности пешеходного движения в часы пик более 1000 чел./ч количество полос движения на тротуаре должно быть не менее 3.
11.2.7. Ширина одной полосы тротуара (пешеходной дорожки) с числом полос движения 2 и более должна быть не менее 0,75 м. Минимальная ширина однополосной пешеходной дорожки должна быть не менее 1,0 м.
11.2.8. На уклонах более

пешеходные дорожки допускается выполнять в продольном профиле в виде отдельных участков с уклонами не более

, соединенных между собой лестницами с маршами не менее чем в три ступени и уклоном не круче 1:2,5.
11.2.9. В населенных пунктах городского типа вдоль тротуара рекомендуется устраивать пешеходные ограждения или посадку кустарника, отделяющего пешеходов от проезжей части. Кустарник не должен ограничивать боковую видимость.
11.2.10. При пересечении пешеходными дорожками водотоков и оврагов целесообразно устраивать пешеходные мосты, рассчитанные на пропуск перспективного потока пешеходов.
11.3. Велосипедные дорожки
11.3.1. В населенных пунктах следует разделять велосипедное и автомобильное движение.
Выделение полосы движения для велосипедистов на проезжей части неэффективно. Целесообразно для велосипедного движения устраивать специальные дорожки за пределами проезжей части. В отдельных случаях (в сельских населенных пунктах) такие дорожки могут быть совмещены с пешеходным движением.
11.3.2. Велосипедные дорожки рекомендуется устраивать при следующих соотношениях интенсивностей движения автомобилей и велосипедистов.
Интенсивность движения (суммарная до 400 600 800 1000 1200
в двух направлениях), авт./ч
Расчетная интенсивность движения 70 50 30 20 15
велосипедистов, вел./ч
Велосипедные дорожки и велосипедные полосы студенческих городков, санитарно-курортных зон и внутризаводские дорожки рекомендуется устраивать при интенсивности движения велосипедистов в часы пик свыше 30 вел./ч.
11.3.3. Рекомендуемая длина велосипедных дорожек на подходах к населенным пунктам.
Численность свыше 500 - 250 250 - 100 100 - 50 50 - 25 25 - 10
населения, 500
тыс. чел.
Длина 15 15 - 10 10 - 8 8 - 6 6 - 3 3 - 1
велосипедной
дорожки, км
11.3.4. Велосипедные дорожки следует располагать на отдельном земляном полотне, у подошвы насыпей и за пределами откосов выемок или на специально устраиваемых бермах. На подходах к искусственным сооружениям допускается устройство велосипедных дорожек на обочине с отделением их от проезжей части барьерами или разделительными полосами.
11.3.5. Ширина разделительной полосы между автомобильной дорогой и параллельной или свободно трассируемой велосипедной дорожкой должна быть не менее 1,5 м. В стесненных условиях допускается разделительная полоса шириной 1,0 м, возвышающаяся над проезжей частью не менее чем на 0,15 м, с окаймлением бортовым камнем.
11.3.6. Технические нормативы на проектирование велосипедных дорожек приведены в табл. 11.1.
Таблица 11.1
Технические нормативы на проектирование велосипедных дорожек
┌─────────────────────────────────────┬──────────────────────────┐
│ Нормируемый показатель │ Рекомендуемые значения │
│ ├─────────────┬────────────┤
│ │ при новом │минимальные │
│ │строительстве│при благо- │
│ │ │устройстве и│
│ │ │в стесненных│
│ │ │условиях │
├─────────────────────────────────────┼─────────────┼────────────┤
│Расчетная скорость движения, км/ч │ 25 │ 15 │
├─────────────────────────────────────┼─────────────┼────────────┤
│Ширина проезжей части, м, для │ │ │
│движения: │ │ │
│ однополосного одностороннего │ 1,0 │ 0,75 │
│ двухполосного одностороннего │ 1,75 │ 1,50 │
│ двухполосного со встречным движением│ 2,50 │ 2,00 │
├─────────────────────────────────────┼─────────────┼────────────┤
│Велопешеходная дорожка с разделением │ 4,00
<1> │ 3,25
<2> │
│обоих видов движения │ │ │
│Велопешеходная дорожка без разделения│ 2,50
<3> │ 2,00
<4> │
│обоих видов движения │ │ │
│Велосипедная полоса │ 1,20 │ 0,90 │
├─────────────────────────────────────┼─────────────┼────────────┤
│Ширина обочин велосипедной дорожки, м│ 0,5 │ 0,5 │
├─────────────────────────────────────┼─────────────┼────────────┤
│Наименьший радиус кривых в плане, м: │ │ │
│ при отсутствии виража │ 50 │ 15 │
│ при устройстве виража │ 20 │ 10 │
├─────────────────────────────────────┼─────────────┼────────────┤
│Наименьший радиус вертикальных │ │ │
│кривых, м: │ │ │
│ выпуклых │ 500 │ 400 │
│ вогнутых │ 150 │ 100 │
├─────────────────────────────────────┼─────────────┼────────────┤
│Наибольший продольный уклон, о/оо │ 60 │ 70 │
├─────────────────────────────────────┼─────────────┼────────────┤
│Поперечный уклон проезжей части, о/оо│ 20 │ 20 │
├─────────────────────────────────────┴─────────────┴────────────┤
│Уклон виража, о/оо, при радиусе: │
│ 10 - 20 м Более 40 30 │
│ 20 - 50 м 30 20 │
│ 50 - 100 м 20 15 - 20 │
├─────────────────────────────────────┬─────────────┬────────────┤
│Габарит по высоте, м │ 2,50 │ 2,25 │
├─────────────────────────────────────┼─────────────┼────────────┤
│Минимальное расстояние до бокового │ 0,50 │ 0,50 │
│препятствия, м │ │ │
└─────────────────────────────────────┴─────────────┴────────────┘
--------------------------------
<1> Ширина пешеходной дорожки 1,5 м, велосипедной - 2,5 м.
<2> Ширина пешеходной дорожки 1,5 м, велосипедной - 1,75 м.
<3> При интенсивности движения не более 30 вел./ч и 15 пеш./ч.
<4> При интенсивности движения не более 30 вел./ч и 50 пеш./ч.
11.3.7. Однополосные велосипедные дорожки и полосы, как правило, располагают с наветренной стороны от дороги (в расчете на господствующие в летний период ветры); двухполосные - при возможности по обеим сторонам дороги.
11.3.8. Длины подъемов велосипедных дорожек рекомендуется ограничивать.
Продольный уклон велосипедной 70 60 50 40 30
дорожки,

Предельная длина подъема, м 30 60 150 250 500
11.3.9. Велосипедные дорожки в районе перекрестков должны быть освещены на расстоянии не менее 60 м от пересечения с автомобильной дорогой.
11.3.10. Велосипедные дорожки должны иметь твердое покрытие из асфальтового бетона или каменных материалов, обработанных вяжущим.
11.4. Пешеходные переходы через дорогу
11.4.1. Планировка населенных пунктов и мероприятия по их благоустройству должны способствовать уменьшению числа переходов через дорогу.
В малых населенных пунктах следует устраивать достаточное количество колодцев и водозаборных колонок, размещая их симметрично с разных сторон дороги, чтобы предотвратить необходимость перехода за водой через дорогу. Расположение их в шахматном порядке недопустимо.
11.4.2. При размещении новых пунктов питания и торговли, медицинских и зрелищных учреждений, объектов дорожного сервиса следует располагать их на расстоянии не менее 20 м от дороги. Против ведущих к этим зданиям тротуаров необходимо оборудовать пешеходные переходы через дорогу.
11.4.3. В крупных населенных пунктах пешеходные переходы располагают не реже чем через 300 м. В населенных пунктах протяженностью до 0,5 км устраивают не более двух пешеходных переходов с интервалом 150 - 200 м. Места пешеходных переходов должны быть оборудованы и хорошо просматриваться на расстоянии не менее 150 м.
11.4.4. Во избежание неорганизованного движения пешеходов по проезжей части автомобильных дорог в пределах населенных пунктов на автомобильных дорогах I и II категорий необходима установка ограждения по краям тротуаров (на дорогах I категории - дополнительно сетки по оси разделительной полосы). Конструкция ограждения не должна стеснять движения автомобилей.
11.4.5. При интенсивности движения по дороге более 200 авт./ч в местах сосредоточения пешеходов, пересекающих дорогу, для повышения безопасности движения в населенных пунктах необходимо устраивать пешеходные переходы типа "зебра" в одном уровне.
Светофорное регулирование и строительство подземного перехода должно обосновываться технико-экономическими расчетами. Тип пешеходного перехода зависит от соотношения автомобильного и пешеходного движения (рис. 11.2).
Рис. 11.2. Области применения пешеходных
переходов различных типов:
I - нерегулируемые переходы; II - светофорное
регулирование; III - внеуличные пешеходные переходы
11.4.6. На дорогах I категории необходимо строить подземные или надземные пешеходные переходы и принимать меры для устранения возможности выхода пешеходов на проезжую часть.
11.5. Автомобильные стоянки у дороги в населенных пунктах
11.5.1. При прохождении автомобильной дороги через населенный пункт около общественных центров, административных и культурно-бытовых объектов, магазинов, столовых, достопримечательных мест должны предусматриваться автомобильные стоянки наземного, подземного или надземного типов.
11.5.2. Следует избегать в населенных пунктах устройства стояночных полос у кромки проезжей части дороги так же, как и разрешения стоянок на обочинах дороги.
11.5.3. Стоянки могут быть линейного типа, расположенные параллельно дороге за пределами проезжей части и отделенные от нее разделительной полосой или ограждениями, или в виде специальных площадок за пределами дороги.
Расстановка автомобилей на стоянках линейного типа - продольная, на площадках - различная, в зависимости от площади и требуемой емкости стоянки.
11.5.4. Стоянки следует размещать за пределами проезжей части дороги в непосредственной близости от объекта посещения на расстоянии не более 100 м.
11.5.5. В темное время суток на стоянках необходимо освещение.
11.5.6. Въезды и выезды с автомобильных стоянок не должны затруднять или задерживать движение автомобилей по дороге.
11.5.7. Необходимую площадь стоянки назначают в зависимости от вида объекта посещения и интенсивности движения по дороге.
а)
б)
Рис. 11.3. Схемы расположения автомобильных стоянок
в населенных пунктах:
а - стоянка линейного типа; б - площадка для стоянки
автомобилей; 1 - объекты обслуживания;
2 - переходно-скоростные полосы; 3 - разделительные
полосы; 4 - площадка для стоянки автомобилей
11.5.8. Планировочные характеристики автомобильных стоянок (размеры ячейки для постановки автомобиля, ширина проездов, радиусы поворотов, зоны для маневрирования) определяются схемой расстановки автомобилей.
11.5.9. Размеры ячейки устанавливаются по типу автомобиля. Для городских условий в качестве расчетного принимают тип автомобиля, наиболее распространенный среди возможных пользователей стоянок. В нашей стране такими автомобилями являются: для стоянок личного пользования - малолитражный тип автомобиля семейства ВАЗ, для служебных - автомобиль "Волга". Если предполагается стоянка грузовых автомобилей и автобусов, например, в пригородной части города, расчетный тип таких транспортных средств выбирают в зависимости от состава транспортного потока.
11.5.10. Ячейка для установки одного автомобиля должна вмещать сам автомобиль и позволять обойти вокруг него. Для этого размеры сторон ячейки должны быть на 0,5 м больше соответствующих размеров автомобиля (рис. 11.4).
Рис. 11.4. Размеры (м) ячейки для хранения автомобиля
на стоянках: Д и Ш - габаритные длина и ширина
расчетного автомобиля соответственно
Это обеспечивает зазор между автомобилями 1,0 м, достаточный для прохода между ними пешехода.
11.5.11. При расположении стоянки вдоль улицы возникают трудности с въездом в ячейку и выездом из нее. Для облегчения пользования такой стоянкой ячейки объединяют по две и оставляют между ними зазор не менее 2 м. При вероятной постановке на стоянку автобусов этот зазор может быть увеличен до 3 м (рис. 11.5).
Рис. 11.5. Размещение стоянок вдоль тротуара
на проезжей части улицы (размеры, м)
11.5.12. Для стоянки на проезжей части улиц должны быть предусмотрены специальные полосы. Ширина этих полос меньше, чем для движения, и в зависимости от типа автомобилей, останавливающихся на улице, составляет 2,5 - 3,0 м.
11.5.13. На улицах в жилых кварталах с малой интенсивностью автомобильного и пешеходного движения автостоянки допускаются с заездом на тротуар. В этом случае увеличивается поперечный уклон тротуара и уменьшается до 5 - 10 см высота бортового камня. Свободная часть тротуара должна иметь ширину не менее 1,5 м, достаточную для размещения двух полос пешеходного движения (рис. 11.6).
Рис. 11.6. Размещение стоянок в пределах улиц:
а - расстановка автомобилей вдоль улиц; б - поперечная
расстановка; в - расстановка под углом; г - д - частичное
использование тротуара; е - расстановка на тротуаре
11.5.14. Размеры планировочных элементов внеуличных автомобильных стоянок зависят от схемы расстановки автомобилей: по мере приближения угла расстановки к прямому увеличивается вместимость стояночной полосы, но вместе с этим увеличивается и необходимая ширина проезда между рядами. Однако в целом средняя площадь стоянки, приходящаяся на один автомобиль, уменьшается (рис. 11.7). Основные размеры элементов планировочного решения таких стоянок приведены в табл. 11.2. Обозначения этих элементов в табл. 11.2 те же, что и на рис. 11.7.
Рис. 11.7. Схемы расстановки автомобилей на стоянках:
а - прямоугольная; б - косоугольная
Таблица 11.2
┌─────┬───────────────────────────────────┬──────────────────────┐
│Угол │ Размеры элементов, м │Усредненная площадь на│
│уста-├───┬───┬────┬─────┬───┬───┬───┬────┤ 1 автомобиль F , м2 │
│новки│ a │ b │ c │ d │ e │ f │ g │ h │ 1 │
│авто-│ │ │ │ │ │ │ │ │ │
│моби-│ │ │ │ │ │ │ │ │ │
│ля, │ │ │ │ │ │ │ │ │ │
│град.│ │ │ │ │ │ │ │ │ │
├─────┴───┴───┴────┴─────┴───┴───┴───┴────┴──────────────────────┤
│ Стоянка для легковых автомобилей при двухполосном проезде │
├───┬────┬────┬────┬─────┬───┬───┬───┬────┬──────────────────────┤
│90 │4,5 │7,0 │16,0│11,0 │0,5│6,0│2,3│2,3 │18 │
├───┴────┴────┴────┴─────┴───┴───┴───┴────┴──────────────────────┤
│ Стоянка для легковых автомобилей при однополосном проезде │
│ шириной 4,5 м │
├───┬────┬────┬────┬─────┬───┬───┬───┬────┬──────────────────────┤
│90 │4,5 │5,5 │14,5│9,5 │0,5│4,5│3,0│3,0 │22 │
├───┼────┼────┼────┼─────┼───┼───┼───┼────┼──────────────────────┤
│60 │5,5 │5,5 │15,6│10,05│0,5│4,5│2,3│3,65│20 │
├───┼────┼────┼────┼─────┼───┼───┼───┼────┼──────────────────────┤
│45 │4,8 │4,0 │13,6│8,8 │0,5│3,0│2,3│3,25│22 │
├───┴────┴────┴────┴─────┴───┴───┴───┴────┴──────────────────────┤
│ Стоянка для грузовых автомобилей с двухполосным проездом │
├───┬────┬────┬────┬─────┬───┬───┬───┬────┬──────────────────────┤
│90 │5,5 │7,0 │18,0│12,0 │0,5│6,0│2,5│2,5 │22 │
├───┴────┴────┴────┴─────┴───┴───┴───┴────┴──────────────────────┤
│ Стоянка для грузовых автомобилей с однополосным проездом │
├───┬────┬────┬────┬─────┬───┬───┬───┬────┬──────────────────────┤
│90 │5,5 │5,5 │16,5│10,5 │0,5│4,5│3,0│3,0 │27 │
├───┼────┼────┼────┼─────┼───┼───┼───┼────┼──────────────────────┤
│60 │5,6 │5,5 │16,7│10,6 │0,5│4,5│2,5│2,9 │24 │
├───┼────┼────┼────┼─────┼───┼───┼───┼────┼──────────────────────┤
│45 │5,29│4,0 │14,6│9,3 │0,5│3,0│2,5│3,55│26 │
├───┴────┴────┴────┴─────┴───┴───┴───┴────┴──────────────────────┤
│ Стоянка для автобусов │
├───┬────┬────┬────┬─────┬───┬───┬───┬────┬──────────────────────┤
│90 │9,5 │10,5│29,5│19,5 │0,5│9,5│4,0│4,0 │59 │
├───┼────┼────┼────┼─────┼───┼───┼───┼────┼──────────────────────┤
│60 │8,6 │8,0 │25,7│16,1 │0,5│7,0│4,0│4,6 │57 │
└───┴────┴────┴────┴─────┴───┴───┴───┴────┴──────────────────────┘
11.5.15. При многорядной установке автомобилей основным также является размер ячейки для одного автомобиля (рис. 11.8). Выбор схемы расстановки автомобилей зависит от ширины площадки, где располагается стоянка: с уменьшением угла установки уменьшается и необходимая ширина стоянки; средняя площадь на одно машинное место при этом несколько (до 10 - 12%) увеличивается.
а)
б)
Рис. 11.8. Размеры планировочных элементов (м) стоянок
с многорядной расстановкой автомобилей:
а - под прямым углом; б - под острым углом
11.6. Автобусные остановки
11.6.1. Автобусные остановки в пределах населенных пунктов целесообразно располагать у общественных центров, административных и культурно-бытовых объектов, магазинов, столовых, отделений связи.
11.6.2. При протяженности населенного пункта до 1,2 км оборудуют одну автобусную остановку. В населенных пунктах большей протяженности при линейном расположении застройки автобусные остановки располагаются на расстоянии 500 - 600 м друг от друга. Планировку автобусных остановок предусматривают согласно рис. 11.9.
Рис. 11.9. Планировка автобусных остановок
в населенных пунктах
11.6.3. Для повышения пропускной способности участков дорог, проходящих через населенные пункты сельского типа, на выходах из населенного пункта рекомендуется предусматривать дополнительную полосу движения протяженностью не менее 300 м для выделения из потока на правую полосу тихоходных автомобилей.
Дополнительную полосу движения устраивают на участках дорог, проходящих через населенные пункты, с интенсивностью движения, превышающей нормативную (в соответствии с действующими нормами) для данной категории дороги, и наличием в потоке более 10% тихоходных транспортных средств и автопоездов.
11.7. "Успокоение движения" в населенных пунктах
11.7.1. Целями устройства зон "успокоенного движения" являются:
а) улучшение условий движения:
- повышение безопасности дорожного движения;
- улучшение организации движения;
- создание условий для остановки и стоянки транспортных средств;
б) улучшение условий проживания в прилегающей жилой зоне:
- уменьшение шума и загазованности;
- увеличение свободных, благоустроенных и озелененных площадей;
- улучшение эстетического оформления дорог;
в) улучшение условий работы торговых и других предприятий:
- создание возможностей для остановки с целью погрузо-разгрузочных работ;
- приближение мест остановки и стоянки автомобилей к служебным зданиям.
11.7.2. Рекомендуемые места для проведения мероприятий по созданию зон "успокоенного движения":
- улицы районного и местного значения, проходящие по населенным пунктам с близкой к дороге застройкой;
- боковые и местные проезды в зоне магистралей;
- участки дорог и улиц местного значения, проходящие в зонах культурно-просветительных центров, детских и молодежных учебно-воспитательных учреждений, больниц, поликлиник, санаториев и т.п.
11.7.3. Основной целью мероприятий по "успокоению движения" является существенное снижение скоростей движения, они включают в себя:
- планировочные решения, направленные на изменение геометрии проезжей части (сужение проезжей части; изменение геометрии проезжей части с размещением мест для стоянки и озеленением; изменение конфигурации пересечений и примыканий);
- изменение типа дорожного покрытия в зонах пешеходных переходов и пересечений;
- применение активных средств воздействия на скорости движения транспортных средств - искусственных неровностей.
11.7.4. Рекомендации по применению искусственных неровностей для снижения скоростей движения приводятся в
Прил. 10.
а)
б)
в)
Рис. 11.10. Мероприятия по "успокоению движения"
на участках дорог:
а - изменение геометрии проезжей части
(черным обозначена зона движения, белым - зона парковки),
озеленение или другие элементы благоустройства;
б - варианты изменения конфигурации пересечения
и примыкания с размещением мест для парковки и зон
пешеходного движения; в - варианты излома плана
проезжей части с размещением мест для парковки
12. ОБЕСПЕЧЕНИЕ БЕЗОПАСНОСТИ ДВИЖЕНИЯ
НА МОСТАХ И ПУТЕПРОВОДАХ
12.1. Узкие мосты и путепроводы оказывают неблагоприятное влияние на безопасность движения и скорости транспортного потока. Это влияние существенно уменьшается при габаритах мостов, превышающих на 3 - 4 м ширину проезжей части дороги на подходах к мостам. Вследствие этого при интенсивности движения более 2000 авт./сут. целесообразно предусматривать реконструкцию узких мостов длиной до 30 м, а также при простых условиях реконструкции мостов длиной от 30 до 100 м с доведением их габаритов до значений, предусмотренных
СНиП 2.05.03-84.
Целесообразность реконструкции узких мостов большей длины и величину уширения проезжей части следует устанавливать в каждом конкретном случае на основе технико-экономического обоснования, учитывающего как затраты на реконструкцию, так и экономический эффект, получаемый в результате уменьшения количества ДТП и увеличения скоростей движения автомобилей.
12.2. На узких мостах и путепроводах, ширина проезжей части которых не соответствует требованиям
СНиП 2.05.03-84, до их реконструкции должны быть предусмотрены мероприятия по обеспечению безопасности движения.
12.3. В зоне узких мостов и путепроводов и на участках протяженностью 150 - 200 м от них в каждую сторону необходима установка дорожных
знаков 1.18.1 или
1.18.2 (1.18.3) "Сужение дороги" и знаков
3.24 "Ограничение максимальной скорости".
При габаритах мостов менее 6 м необходима установка знаков приоритета
2.6 "Преимущество встречного движения" и
2.7 "Преимущество перед встречным движением".
Перед мостами, для которых фактически допустимые нагрузки меньше предусмотренных
СНиП 2.05.03-84, должны быть установлены знаки
3.11 "Ограничение массы".
При высоте мостов (с "ездой понизу") менее 5 м перед ними должны быть установлены знаки
3.13 "Ограничение высоты".
12.4. Рекомендуемые значения максимально допустимой скорости движения на узких мостах с различными габаритами и типами ограждений приведены в табл. 12.1.
Таблица 12.1
Габарит моста | Тип бордюра (ограждения), м | Максимально допустимая скорость, км/ч |
Г-6 | низкий | 60 |
Г-7 | низкий | 70 |
Г-7 | высокое | 65 |
Г-8 | низкий | 75 |
Г-8 | высокое | 70 |
Г-9 | низкий | 80 |
Г-9 | высокое | 70 |
При расположении малого или среднего моста с недостаточной шириной проезжей части в пределах сложного участка дороги, для которого максимально допустимая скорость меньше, чем для моста, следует принимать это значение в качестве нормируемого верхнего предела.
12.5. При неудовлетворительной ровности проезжей части мостов или подходов к ним на период до проведения мероприятий по улучшению ровности необходима установка предупреждающих знаков
1.16 "Неровная дорога".
12.6. На мостовых переходах и путепроводах, где возникает опасность внезапного воздействия сильного бокового ветра со скоростью более 15 м/с, следует устанавливать предупреждающие знаки
1.27 "Боковой ветер", а при реконструкции или новом строительстве предусматривать устройство ветрозащитных барьеров.
12.7. При реконструкции мостов и путепроводов следует одновременно предусматривать исправление плана и продольного профиля дороги на подходах к ним.
12.8. При новом строительстве и реконструкции мостов и путепроводов число полос движения и ширина проезжей части должны назначаться в соответствии с требованиями
СНиП 2.05.03-84 и
СНиП 2.05.02-85.
При интенсивности движения, превышающей 2000 авт./сут., на участках дорог, где отсутствует движение пешеходов, рекомендуется принимать ширину проезжей части мостов длиной до 30 м равной ширине земляного полотна дороги, отказавшись при этом от устройства тротуаров.
12.9. Для улучшения условий въезда на мосты, ширина проезжей части которых больше, чем у дороги, необходимо обеспечить плавное ее изменение на подходах за 200 м до моста по ходу движения и на расстоянии 100 м после моста.
12.10. При ширине разделительной полосы на мостах меньшей, чем на дороге, переход от одной ширины к другой должен заканчиваться на расстоянии не менее 30 м от моста и происходить на участке, длина которого определяется в соответствии с рекомендациями п.
12.11. При ширине разделительной полосы более 6 м, а также при расположении моста на кривой в плане, требующей устройства виража, целесообразно рассматривать возможность строительства отдельных мостов для каждого направления.
12.12. Разметку проезжей части на мостах и подходах к ним следует устраивать с целью нормирования режимов движения и зрительного ориентирования водителей в соответствии с требованиями
ГОСТ 23457-86.
12.13. Разметку, нанесенную с целью запрещения или ограничения обгонов, необходимо дублировать дорожными знаками.
12.14. Схема разметки проезжей части на мостах и подходах должна назначаться с учетом соотношения ширины проезжей части на мосту и подходах к нему, типа и размеров ограждений на мосту, особенностей плана и продольного профиля подходов, наличия рядом с мостом участков или сооружений, оказывающих существенное влияние на режимы и безопасность движения.
12.15. При расположении мостов на участках с благоприятными в плане и продольном профиле подходами (прямые и кривые в плане радиусом более 1000 м, продольные уклоны менее

) схему разметки следует назначать в зависимости от разницы в ширине проезжей части моста и подходов.
При ширине проезжей части мостов, не более чем на 2 - 4 м (в зависимости от категории дороги) превышающей ширину проезжей части на подходах, в целях запрещения обгонов на мостах и прилегающих к ним участках подходов длиной до 200 м необходимо предусматривать нанесение сплошной осевой разметки, а также краевых линий, при большей ширине проезжей части следует устраивать пунктирную осевую разметку.
12.16. Для многополосных дорог при назначении схемы разметки в зоне мостов и путепроводов необходимо учитывать изменение ширины разделительной полосы на мосту по сравнению с ее шириной на подходах.
12.17. При расположении мостов на кривых в плане малого радиуса, участках сложного продольного профиля, участках с ограниченной видимостью, а также вблизи пересечения дорог следует схему разметки на мосту назначать с учетом требований к разметке на этих участках.
12.18. На мостах, путепроводах и эстакадах капитального типа, ширина проезжей части которых превышает ширину проезжей части на подходах, необходимо устанавливать ограждения в соответствии с требованиями
ГОСТ 23457,
СНиП 2.05.03-84 и ОДМ 218.012-99.
12.19. Максимальный поперечный прогиб деформируемых ограждений на мостах, путепроводах и эстакадах не должен превышать: 0,75 м - при ширине тротуаров или служебных проходов не менее 1 м; 0,5 м - при ширине тротуаров и служебных проходов до 1 м; 1,2 м - при установке ограждений со стороны разделительной полосы.
12.20. На узких мостах, ширина проезжей части которых не превышает более чем на 1 м ширину проезжей части на подходах, не рекомендуется устанавливать высокие ограждения, отделяющие проезжую часть от тротуаров и пешеходных дорожек, так как это может повлечь за собой существенное уменьшение скоростей движения автомобилей и увеличение опасности встречных столкновений.
В этих случаях необходима установка высоких ограждений, совмещенных с перилами.
12.21. Ограждения на мостах должны плавно сопрягаться с ограждениями на прилегающих дорогах. При этом необходимо обеспечить возможность беспрепятственного прохода пешеходов.
12.22. В зависимости от конкретных условий могут быть применены следующие схемы организации движения пешеходов в зоне мостов и путепроводов:
- при наличии берм на насыпях подходов к средним и большим мостам пешеходные дорожки целесообразно располагать на бермах с обязательным устройством лестничных сходов у моста;
- с внешней стороны ограждений на уширенных обочинах земляного полотна;
- при пересечении небольших водотоков - за пределами земляного полотна с устройством пешеходного моста облегченной конструкции.
12.23. На ограждениях, перилах, порталах ферм с ездой понизу, опорах путепроводов должна устраиваться вертикальная разметка в соответствии с требованиями
ГОСТ 23457-86.
12.24. При расстоянии от проезжей части дороги до низа пролетного строения путепровода или эстакады менее 5 м на дороге должны быть установлены знаки
3.13 "Ограничение высоты".
13. ОБЕСПЕЧЕНИЕ БЕЗОПАСНОСТИ ДВИЖЕНИЯ
НА АВТОМОБИЛЬНЫХ МАГИСТРАЛЯХ <1>
--------------------------------
<1> К автомобильным магистралям отнесены дороги I технической категории.
13.1. Назначение числа полос основной
проезжей части и их ширины
13.1.1. На этапе первоначальных расчетов число полос движения допускается определять по формуле

, (13.1)
| | ИС МЕГАНОРМ: примечание. В официальном тексте документа, видимо, допущена опечатка: Приложение 11 отсутствует. Вероятно, имеется в виду Приложение 10. | |
где N - приведенная интенсивность движения, легк. авт./ч (при отсутствии данных о величине часовой интенсивности движения для ее определения следует использовать рекомендации, изложенные в
Прил. 11);
P - пропускная способность одной полосы движения, авт./ч;
z - коэффициент загрузки дороги движением.
13.1.2. Для случая расчета числа полос на прямолинейных, горизонтальных участках, вне транспортных развязок и при отсутствии в транспортном потоке маршрутных автобусов величина пропускной способности одной полосы магистрали принимается равной 2200 легк. авт./ч. В сложных условиях движения пропускная способность одной полосы определяется с учетом коэффициентов снижения пропускной способности

:

характеризует влияние планировки транспортных развязок (
табл. 13.1);

зависит от радиуса кривой в плане, при радиусе 1000 м и менее

, при радиусе более 1000 м

;

учитывает влияние остановочной полосы на обочине, при ее наличии

, при отсутствии

;

характеризует влияние пригородных маршрутных автобусов (
табл. 13.2).
Характеристика участка примыкания съездов к магистрали | Интенсивность движения по подъезду, в % от интенсивности движения по магистрали | Среднее значение коэффициента  |
Переходно-скоростные полосы имеются | 10 - 25 25 - 40 | 0,94 0,91 |
Переходно-скоростные полосы отсутствуют | 10 - 25 25 - 40 | 0,85 0,78 |
Интенсивность движения автобусов, в % от общей интенсивности | Коэффициент  |
1 | 0,98 |
3 | 0,96 |
5 | 0,90 |
10 | 0,82 |
13.1.3. Коэффициент загрузки принимается в зависимости от типа автомобильной магистрали по табл. 13.3.
Таблица 13.3
Тип автомобильной магистрали | Коэффициент загрузки |
новое проектирование | реконструкция |
Скоростной подъезд к транспортному узлу (аэропорт, морской причал и т.п.) | 0,2 | 0,5 |
Внегородская магистраль на обходе населенных пунктов | 0,45 | 0,6 |
Кольцевая магистраль вне населенных пунктов | 0,50 | 0,65 |
Пригородные участки, проходящие вблизи населенных пунктов | 0,60 | 0,70 |
13.1.4. Ширину полос основной проезжей части следует назначать с учетом их числа. На четырехполосных магистралях она принимается равной 3,75 м, при реконструкции на магистралях с числом полос более четырех, в случаях, когда в составе движения легковые автомобили составляют 80% и более, ширину крайней левой полосы допускается уменьшать до 3,5 м.
13.1.5. При реконструкции или капитальном ремонте нельзя уширять полосы проезжей части до 4,5 - 6,0 м, так как такая ширина при высоких уровнях загрузки провоцирует водителей к опасному движению в два ряда.
13.1.6. Уширение проезжей части следует достигать за счет увеличения ширины земляного полотна в сторону обочины. В случаях, когда это невозможно, уширение за счет разделительной полосы необходимо осуществлять таким образом, чтобы ее остающаяся ширина была достаточна для размещения ограждений.
13.1.7. Уширение проезжей части автомобильной магистрали с полной ликвидацией разделительной полосы недопустимо.
13.2. Разделительные полосы на реконструируемых дорогах
13.2.1. Вероятность переезда автомобиля через разделительную полосу и его столкновения со встречным транспортным средством зависит от скорости и интенсивности движения. Учитывая постоянно возрастающие динамические качества автомобилей, целесообразно принимать следующие значения ширины разделительной полосы.
Перспективная интенсивность 20 - 40 40 - 70 более 70
движения, тыс. авт./сут.
Минимальная ширина 10 - 12 12 - 15 15 - 20
разделительной полосы, м
В случае, когда ширина разделительной полосы меньше указанных величин, на ней следует устанавливать ограждения. Выбор типа ограждения зависит от ширины разделительной полосы. При малой ширине (2,05 - 4,0 м) рекомендуется устанавливать ограждения парапетного типа или усиленные барьерные ограждения.
13.2.2. В целях уменьшения объема стока воды на проезжую часть разделительным полосам шириной более 6 м придают вогнутое очертание с крутизной заложения откосов 1:8 - 1:10. При этом отвод воды с поверхности разделительной полосы осуществляется по лотку, расположенному вдоль ее оси, через водоприемные колодцы и поперечные трубы водостока диаметром 0,3 - 0,4 м, закладываемые ниже средней глубины промерзания. Продольный уклон укрепленных лотков не должен быть менее 5

, неукрепленных - 10

. На горизонтальных участках или при меньших продольных уклонах лоткам следует придавать пилообразный профиль.
13.2.3. Для обеспечения зрительной плавности и безопасности движения в местах изменения ширины разделительной полосы длину переходного участка принимают не меньше значений, указанных в табл. 13.4, описывая его сопряженными кривыми радиусом 2500 - 3000 м.
Таблица 13.4
Скорость движения, км/ч | Длина переходного участка, м, при изменении ширины разделительной полосы |
на 3 м | на 6 м | на 9 м | на 12 м |
80 | 110 | 150 | 185 | 215 |
100 | 120 | 170 | 215 | 250 |
120 | 130 | 190 | 235 | 270 |
13.2.4. При ширине разделительной полосы до 3 м рекомендуется на всей ее поверхности устраивать твердое покрытие, при большей ширине - укреплять засевом трав или одерновкой.
13.2.5. Помимо разделительных полос, между разными направлениями движения на автомобильных магистралях устраивают боковые разделительные полосы шириной 3 - 3,5 м, отделяющие основную проезжую часть от дополнительных полос (например, в зоне пересечений в разных уровнях). Сопряжение их с проезжей частью осуществляется способом, принятым для разделительных полос между разными направлениями.
13.2.6. Торцы боковых разделительных полос устраивают скошенными с интенсивностью обгона ширины не менее 1:30.
13.2.7. В целях предотвращения переезда автомобилей через боковую разделительную полосу в аварийных ситуациях и исключения возможности ее пересечения недисциплинированными водителями в неустановленных местах по всей длине полосы целесообразно устанавливать ограждения.
13.3. Раздельное трассирование
13.3.1. Раздельное трассирование позволяет уменьшить строительную стоимость дороги, повысить безопасность движения. Наиболее эффективно его применение при проложении дороги на косогорных участках, в зоне транспортных развязок, вписывании в ландшафт и сохранении элементов рельефа, а также при устранении монотонности движения на длинных прямых в плане, реконструкции существующих дорог.
13.3.2. Если крутизна косогора не превышает 1:8 - 1:6, планировка пространства между проезжими частями не требуется. При этом имеющиеся предметы и препятствия следует удалить или располагать не ближе 9 - 10 м от кромки проезжей части.
13.3.3. При раздельном трассировании с левой стороны проезжей части требуется та же ширина и конструкция обочины, что и с правой стороны. В противном случае снижается эффективность использования левой полосы движения.
13.3.4. Для того чтобы одна проезжая часть была видна с другой, в целях сохранения целостности дороги пространство между проезжими частями должно быть свободным или плотность его заполнения (например, частота посадок зеленых насаждений) должна позволять периодически видеть одну проезжую часть с другой.
13.4. Остановочные полосы
13.4.1. Остановочные полосы предназначаются для вынужденных остановок автомобилей (из-за технической неисправности, необходимости закрепления груза и т.п.), а также для временного проезда в период ограничения движения по основной проезжей части (ДТП, ремонтные работы и т.д.). В ширину остановочных полос включается ширина краевых полос.
13.4.2. Остановочные полосы устраиваются на всем протяжении в пределах ширины обочин при интенсивности движения более 20 тыс. авт./сут. На магистралях с 6 и более полосами движения остановочную полосу рекомендуется предусматривать и на разделительной полосе в целях быстрейшей эвакуации с левых полос проезжей части остановившихся автомобилей.
13.4.3. Ширина остановочной полосы, размещаемой на обочине, должна быть достаточной для свободного и безопасного размещения расчетного грузового автомобиля, на разделительной полосе - расчетного легкового автомобиля.
Для удовлетворения этого требования ширину остановочной полосы для первого случая следует назначать не менее 3 м, для второго - 2,25 м. Поперечный уклон остановочных полос назначается на

больше уклона примыкающей полосы движения. Желательно, чтобы по цвету их покрытия отличались от основной проезжей части в целях правильного ориентирования водителей и лучшего уяснения ими назначения остановочных полос.
13.4.4. Дорожную одежду остановочной полосы рассчитывают на возможность остановки наиболее тяжелого грузового автомобиля заданного состава движения и на пропуск потока автомобилей в периоды ограничения проезда по основной проезжей части.
13.4.5. Поверхность остановочной полосы должна быть ровной, она не должна использоваться для размещения элементов поверхностного водоотвода.
13.5. Оценка скоростей движения
транспортного потока на автомагистралях
13.5.1. Данные о скоростях движения транспортного потока необходимы для определения затрат времени на доставку грузов и пассажиров в технико-экономических расчетах эффективности строительства, реконструкции дорог или каких-либо мероприятий по повышению безопасности движения.
13.5.2. Средняя скорость движения транспортного потока в каждом направлении

на автомобильных магистралях с 4 полосами проезжей части определяется из выражения

, км/ч, (13.2)
где

- свободная скорость движения по правой полосе (105 км/ч);

- свободная скорость движения по левой полосе (117 км/ч);

,

- коэффициенты, зависящие от числа легковых автомобилей на данной полосе проезжей части, определяются по табл. 13.5.
Таблица 13.5
Число легковых автомобилей, % от общей интенсивности движения | Число легковых автомобилей на отдельных полосах, % от интенсивности движения на данной полосе |
правая полоса | левая полоса |
20 | 10 | 30 |
40 | 30 | 55 |
60 | 45 | 70 |
80 | 75 | 85 |
100 | 100 | 100 |
Число легковых автомобилей 100 80 60 40 20 и менее
в потоке на данной полосе
движения, %

,

1,0 0,96 0,91 0,86 0,83

- относительное количество автомобилей, движущихся по
правой полосе при разной интенсивности движения в данном
направлении, доли единицы;
Интенсивность 500 1000 1500 2000 2500 3000
движения в данном
направлении

1,0 0,96 0,91 0,86 0,83

- относительное количество автомобилей, движущихся по левой
полосе, доли единицы:

; (13.3)
A - обобщающий коэффициент, учитывающий влияние на скорость
движения элементов дороги:

, (13.4)
где

- коэффициент, учитывающий влияние продольного уклона
при движении на подъем;
Уклон, % 0 15 20 25 30 35 40

1,0 0,96 0,94 0,90 0,86 0,82 0,77

- коэффициент, учитывающий влияние развязок в разных

- коэффициент, учитывающий влияние больших мостов, равен
0,85;

- коэффициент, зависящий от числа грузовых автомобилей в
транспортном потоке заданного направления движения;
Число грузовых 80 60 40 20
автомобилей, %

0,018 0,016 0,014 0,012
N - интенсивность движения в одном направлении, авт./ч.
Интенсивность движения по съездам развязки, % от интенсивности движения по магистрали | Значения  при интенсивности движения по магистрали в обоих направлениях, авт./ч |
менее 2000 | 2000 и более | менее 2000 | 2000 и более |
10 | 0,97 | 0,90 | 1,0 | 1,0 |
20 | 0,90 | 0,85 | 1,0 | 0,95 |
30 | 0,75 | 0,70 | 0,95 | 0,90 |
40 | 0,65 | 0,60 | 0,80 | 0,70 |
13.5.3. Для оценки изменения скорости потока автомобилей по длине дорог с изменяющимися условиями движения необходимо построение эпюры скорости. При этом учитывается, что постепенное снижение и последующее увеличение скорости на сложных участках происходят в зонах их влияния. В среднем длина этих зон составляет 200 м на подъездах к сложному участку и 300 м на выезде.
Скорости движения автомобилей разных типов, входящих в транспортный поток, определяются по формуле

, (13.5)
где

- скорость движения грузовых автомобилей;

- скорость движения легковых автомобилей;

- скорость движения пригородных маршрутных автобусов;

- число легковых автомобилей в транспортном потоке заданного направления движения;

- разность скоростей движения легковых и грузовых автомобилей, зависящая от интенсивности движения (табл. 13.7).
Таблица 13.7
Интенсивность движения в одном направлении, авт./ч | 500 | 1000 | 1500 | 2000 | 2500 | 3000 |
Разность скоростей, км/ч | 23 | 18 | 15 | 10 | 8 | 6 |
14. ПОВЫШЕНИЕ БЕЗОПАСНОСТИ ДВИЖЕНИЯ
В НЕБЛАГОПРИЯТНЫХ ПОГОДНО-КЛИМАТИЧЕСКИХ УСЛОВИЯХ
14.1. Мероприятия, направленные на снижение аварийности в различные периоды года с учетом погодно-климатических условий, рекомендуется выбирать на основе анализа графика сезонных коэффициентов безопасности и аварийности.
14.2. В районах с длительным зимним периодом при установке ограждений должно быть обращено особое внимание на предотвращение снегозаносимости дороги. На участках дорог, не защищенных от снежных заносов, просвет между нижним краем балки ограждения и поверхностью обочин должен быть не менее 0,4 м.
14.3. Для устранения помех снегоочистке в районах с длительным зимним периодом (I - III дорожно-климатические зоны) направляющие столбики следует устанавливать на откосах по бровке земляного полотна или на откосах на расстоянии 30 см от бровки земляного полотна в виде наклонных столбиков с отгибами.
14.4. В районах с длительным зимним периодом на пересечениях в одном уровне не следует применять бордюры для окаймления направляющих островков. Для организации движения целесообразно устраивать разметку проезжей части или устанавливать съемные направляющие устройства.
14.5. Для предотвращения образования около кромок покрытия ледяных и снежных наростов, а также загрязнения проезжей части рекомендуется устраивать краевые укрепленные полосы и укреплять обочины.
14.6. На участках дорог I, II категорий, где предусматривается установка ограждений, в районах со снежными зимами обочины следует укреплять на всю ширину, поскольку в этих местах во время метелей даже на высоких насыпях образуются снежные отложения на обочинах и проезжей части. Особенно часто это наблюдается на неукрепленных обочинах, где пространство под ограждением легко засоряется и зарастает травой, в результате чего у ограждения происходит интенсивное образование снежных отложений.
14.7. Разделительные полосы следует стремиться устраивать без бордюра. Их профиль должен быть плавным, без резких возвышений. Целесообразно устройство вогнутого профиля разделительной полосы.
14.8. Для предотвращения дорожно-транспортных происшествий из-за заносов автомобилей на ледяных полосах наката в местах торможения следует избегать устройства примыканий и пересечений в одном уровне на участках подъемов и спусков с уклоном более

.
14.9. В целях обеспечения видимости главной дороги с примыкающей для районов с длительным снежным периодом не рекомендуется устраивать пересечения и примыкания на вершинах выпуклых вертикальных кривых.
14.10. При разработке мероприятий по повышению безопасности движения в периоды года с неблагоприятными погодными условиями основное внимание следует уделять:
- поддержанию ровности и высоких сцепных качеств покрытий в периоды их сильного увлажнения и загрязнения грунтом, заносимым с прилегающих дорог и неукрепленных обочин;
- обеспечению эффективного ориентирования водителей в направлении дороги в период туманов и снегопадов;
- обеспечению проезжаемости с достаточно высокими скоростями в период снегопадов путем патрульной снегоочистки;
- своевременному обеспечению информацией водителей о направлении объездов в период распутицы и закрытии отдельных участков при вскрытии пучин;
- обеспечению информацией о возможности проезда через подтопляемые мосты в период паводка;
- обозначению участков, которые могут быть особо опасными в осенне-зимний период года;
- установке средств - источников дополнительной информации о безопасных режимах движения по участкам с частыми туманами и сильными ветрами.
14.11. Особое внимание дорожная служба должна уделять содержанию дорог и обеспечению безопасности движения в неблагоприятные осенне-весенние и зимние периоды года, во время дождей, метелей и гололеда.
14.12. Дорожная служба должна систематически измерять коэффициент сцепления покрытий, в первую очередь, на опасных участках, устанавливаемых в соответствии с методикой, изложенной в
п. 15. При резком снижении коэффициента сцепления до значений, опасных для движения, следует ограничивать скорость движения во время дождя путем установки знака
3.24 "Ограничение максимальной скорости" с дополнительной табличкой
7.16 "Влажное покрытие". Знаки временного ограничения скорости устанавливают также в местах загрязнения покрытий или образования на них снежного наката, гололеда.
14.13. Все дорожно-эксплуатационные службы должны регулярно и своевременно получать прогнозы погоды, на основе которых они проводят профилактические и организационные мероприятия, обеспечивающие безопасность и удобство движения. В свою очередь, они должны также регулярно передавать информацию в местные радио- и телецентры о транспортной загрузке и состоянии дорог, расстоянии метеорологической видимости.
15. ОСВЕЩЕНИЕ АВТОМОБИЛЬНЫХ ДОРОГ
15.1. Для обеспечения безопасности движения автомобилей и пешеходов в темное время суток на автомобильных дорогах устраивают электрическое освещение. При проектировании осветительных установок следует соблюдать следующие требования:
- освещение следует предусматривать в первую очередь на наиболее опасных участках автомобильных дорог, где возникают частые конфликты между участниками дорожного движения;
- опоры светильников должны гармонично сочетаться с архитектурным ансамблем дороги и не создавать осложнения при эксплуатации дороги;
- при выборе типа и способа размещения осветительных участков требуется обеспечивать необходимый уровень освещения в соответствии с нормами: среднюю яркость проезжей части и среднюю освещенность тротуаров; равномерность распределения яркости; показатель ослепленности;
- следует выделять и подчеркивать расположение опасных зон (пересечений и примыканий дорог, мест сужений проезжей части, пешеходных переходов) за счет изменения цветности источников света, размещения опор и светильников, повышения яркости проезжей части в опасной зоне;
- не следует допускать резкого снижения уровня освещения перед сложными и опасными участками дорог и чередования освещенных и неосвещенных участков; устраивать непрерывное освещение при расположении освещенных зон на расстоянии менее 250 м друг от друга;
- необходимо добиваться плавного снижения средней яркости проезжей части на выезде с освещенного участка на неосвещенный, устраивая переходную зону длиной 150 - 250 м;
- следует стремиться к использованию на дорогах вне населенных пунктов ударобезопасных опор светильников;
- конструкции опор должны обеспечивать удобство эксплуатации осветительных остановок персоналом электротехнических предприятий в случаях, когда размещение опор у обочин или за бортовым камнем невозможно;
- следует по возможности отказаться от использования на дорогах железобетонных осветительных опор, отдавая предпочтение оцинкованным металлическим конструкциям;
- на шести-, восьмиполосных дорогах при выборе конструкций опор и светильников, а также мест их расположения на дороге необходимо учитывать возможное затенение проезжей части кузовами грузовых автомобилей при многорядном интенсивном движении.
15.2. Стационарное освещение автомобильных дорог следует предусматривать в сельских поселках, на железнодорожных переездах, а также при наличии вблизи от дороги пунктов питания электроэнергией на перекрестках с канализированным, кольцевым и регулируемым движением и остановках общественного транспорта, больших мостах, пересечениях в разных уровнях автомобильных дорог I и II категорий между собой и с дорогами III категории.
Устройство наружного освещения на участках автомобильных дорог I и II категорий, расположенных на подъездах к крупным городам от городов-спутников, аэропортов международного класса и промышленных зон, а также на кольцевых автомобильных дорогах, проектируемых по окраинам крупных городов, должно быть обосновано технико-экономическими расчетами.
15.3. В сельских поселениях осветительные установки должны быть установлены на автомобильных дорогах в границах застроек и за их пределами на расстоянии не менее 100 м от этих границ.
При расстоянии между соседними последовательно расположенными сельскими поселениями менее 500 м или расстоянии между отдельными освещенными объектами менее 250 м на автомобильных дорогах следует предусматривать непрерывное освещение.
| | ИС МЕГАНОРМ: примечание. В официальном тексте документа, видимо, допущена опечатка: правильный номер СНиП II-44-78, а не СНиП 11-44-78. | |
Освещение автомобильных дорог в пределах сельских поселений следует проектировать по
СНиП 23-05-95, освещение тоннелей и галерей на горных дорогах - по
СНиП 11-44-78.
15.4. Освещение железнодорожных переездов следует выполнять с учетом Норм искусственного освещения объектов железнодорожного транспорта РД 3215-91. При устройстве искусственного освещения на прилегающем к железнодорожному переезду участке автомобильной дороги осветительные установки следует проектировать с использованием норм освещения, относящихся к автомобильным дорогам.
15.5. Вне населенных пунктов средняя яркость проезжей части дорог и мостов (путепроводов) должна составлять: 1,0 кд/м2 на дорогах Iа категории; 0,8 кд/м2 на дорогах Iб, Iв и II категорий; 0,6 кд/м2 на дорогах III категории. Для удобства расчетов координат расположения опор вместо средней яркости проезжей части могут быть использованы значения средней горизонтальной освещенности, которые составляют соответственно 15, 12 и 10 лк.
15.6. Отношение минимальной яркости покрытий к среднему значению должно быть не менее 0,35 при норме средней яркости более 0,6 кд/м2 и не менее 0,25 при норме средней яркости 0,6 кд/м2 и ниже.
Отношение максимальной освещенности к средней яркости должно быть не более 3:1.
Отношение минимальной яркости покрытия к максимальной по полосе движения должно быть не менее 0,6 при норме средней яркости более 0,6 кд/м2 и не менее 0,4 при норме средней яркости 0,6 кд/м2 и ниже.
15.7. Средняя яркость поверхности обочин, или средняя горизонтальная освещенность, должна быть не менее половины средней яркости (средней горизонтальной освещенности) проезжей части.
Показатель освещенности, характеризующий слепящее действие светильников наружного освещения, не должен быть более 150.
15.8. Средняя яркость, или средняя горизонтальная освещенность проезжей части, на пересекающихся в разных уровнях автомобильных дорогах должна быть как на основной из них.
Средняя яркость дорожных покрытий однополосных соединительных съездов, рассчитанных на скорость движения 40 - 50 км/ч, должна быть не менее 0,4 кд/м2 (средняя освещенность 8 лк), а для скорости движения 70 - 80 км/ч - 0,6 кд/м2 (средняя освещенность 10 лк). На соединительных съездах с двусторонним движением средняя яркость покрытия должна быть не менее 0,8 кд/м2 (средняя освещенность 12 лк).
На пересечениях автомобильных дорог в разных уровнях требуется освещать все дороги и соединительные съезды, а также подходы к пересечениям на расстоянии не менее 250 м.
15.9. Для освещения автомобильных дорог следует использовать дуговые ртутные лампы или натриевые лампы высокого давления, размещаемые в закрытых прозрачным колпаком светильниках.
15.10. В ночное время допускается предусматривать снижение уровня наружного освещения путем включения не более половины светильников.
На пешеходных мостиках и в сельских поселениях частичное или полное отключение освещения в ночное время не допускается.
15.11. На автомобильных дорогах опоры светильников следует устанавливать за бровкой земляного полотна, на расстоянии от нее не менее 0,5 м. В населенных пунктах, где дорога имеет профиль городского типа, опоры следует устанавливать на газоне, за бортовым камнем, на расстоянии от него до цокольной части опоры не менее 1,0 м. На насыпях высотой до 3 м для установки опор устраивают присыпные бермы или свайный фундамент с оголовком (рис. 15.1, а). В пучинистых грунтах и в районах вечной мерзлоты опоры устанавливают в котлованы, огражденные деревянными коробами (рис. 15.1, б), засыпая пазухи в верхней части дренирующим грунтом.
На обочинах автомобильных дорог и в населенных пунктах могут быть использованы выносные опоры, фундаментная часть которых имеет Г-образную форму (рис. 15.1, в). Такие опоры следует применять в стесненных условиях при необходимости соблюдения требуемого расстояния между опорой и другими подземными коммуникациями.
а)
б)
в)
Рис. 15.1. Схема заделки в грунт опор освещения:
а - при благоприятных условиях; б - в пучинистых грунтах;
в - при наличии подземных коммуникаций;
1 - опора; 2 - оголовок; 3 - свая; 4 - деревянный короб;
5 - бетонный фундамент; 6 - металлический Г-образный
фундамент
В исключительных случаях (на насыпях высотой более 3 м при наличии неустойчивых откосов земляного полотна, на участках дорог, где размещению опор препятствуют кабельные или воздушные линии связи и электропередачи) допускается устанавливать опоры на обочине или разделительной полосе за ограждением, расстояние между которым и кромкой проезжей части должно составлять не менее 1,75 м.
У опор светильников высотой до 15 м, расположенных на бермах за пределами обочин, не требуется устанавливать ограждения.
Опоры высотой 15 - 30 м, применяемые на автомагистралях и транспортных развязках, требуется защищать от наездов автомобилей ограждениями, если их располагают на расстоянии менее 9 м от края проезжей части.
15.12. На разделительных полосах установка опор освещения допускается только при размещении около них ограждений. Высота ограждений должна быть не менее 1 м на четырехполосных и шестиполосных дорогах и не менее 1,5 м - на восьмиполосных и десятиполосных дорогах.
Для защиты опор на разделительной полосе и предотвращения встречных столкновений автомобилей могут быть использованы ограждения из железобетона и стали.
15.13. Двухрядное железобетонное ограждение, блоки которого имеют профиль ограждения типа Нью-Джерси, должно быть размещено на прочном основании, а между блоками в стаканах следует устанавливать опоры освещения (рис. 15.2, а). Расстояние между тыльными поверхностями блоков должно составлять 0,3 - 0,5 м. Пазухи между блоками следует заполнить цементно-песчаной смесью. В блоках должны быть предусмотрены шпунтовые соединения. Верхнюю часть ограждения необходимо закрывать крышками, частично размещаемыми в пазухах. Блоки ограждений должны быть изготовлены из бетона класса не ниже В35 с морозостойкостью F300 при испытаниях в хлористых слоях по
ГОСТ 10060.2-95. Внешние края ограждений располагают на расстоянии не менее 1 м от кромки проезжей части.
15.14. Двухрядные магистральные ограждения, размещаемые на разделительной полосе четырех-, шестиполосных дорог, должны иметь удерживающую способность не ниже 300 кДж, а на разделительной полосе восьми-, десятиполосных дорог - не ниже 400 кДж. При этом поперечный прогиб ограждения не должен превышать 1,25 м (рис. 15.2, б).
а)
б)
Рис. 15.2. Схема установки опор освещения
и ограждений на разделительной полосе:
1 - железобетонный блок; 2 - опора;
3 - барьерное металлическое ограждение
15.15. На мостах (путепроводах) опоры светильников устанавливают в створе перил или за ними в стальных стаканах, а также прикрепляют с помощью фланцевых соединений к несущим конструкциям сооружения. На мостах с "ездою понизу" светильники размещают на тросах или прикрепляют к элементам конструкции сооружения с помощью кронштейнов.
15.16. Дорожно-эксплуатационные организации должны уделять особое внимание сохранению высоких светоотражающих свойств дорожных покрытий на освещенных участках дорог, своевременно выполняя очистку проезжей части от грязи и обеспечивая быстрый отвод воды с дороги.
ЗНАЧЕНИЯ ЧАСТНЫХ КОЭФФИЦИЕНТОВ АВАРИЙНОСТИ ДЛЯ ДОРОГ
II - V КАТЕГОРИЙ В РАВНИННОЙ И ХОЛМИСТОЙ МЕСТНОСТИ
Таблица П-1.1
┌────────────────────────────┬──────────────────────────────────────────────┐
│Интенсивность движения, │3 5 7 9 11 13 15 20 │
│тыс. авт./сут. │ │
│K (двухполосные дороги) │0,75 1,0 1,30 1,70 1,80 1,5 1,0 0,6 │
│ 1 │ │
│K (трехполосные дороги)
<1>│0,65 0,75 0,9 0,96 1,25 1,5 1,3 1,0 │
│ 1 │ │
│K (трехполосные дороги)
<2>│0,94 1,18 1,28 1,30 1,51 1,63 1,45 1,25│
│ 1 │ │
│Интенсивность движения, │10 15 18 20 25 28 30 │
│тыс. авт./сут. │ │
│K (четыре полосы движения и│1,0 1,1 1,3 1,7 2,2 2,8 3,4│
│ 1 │ │
│более) │ │
├────────────────────────────┼──────────────────────────────────────────────┤
│Ширина проезжей части, м │6 7 7,5 9 10,5 14 - 15
<3>│
│K при укрепленных обочинах │1,35 1,05 1,00 0,8 0,7 0,6 │
│ 2 │ │
│K при неукрепленных обочи- │2,5 1,75 1,5 1,0 0,9 0,8 │
│ 2 │ │
│нах │ │
├────────────────────────────┼──────────────────────────────────────────────┤
│Ширина обочин, м │0,5 1,5 2,0 3,0 4,0 │
│K (двухполосные дороги) │2,2 1,4 1,2 1,0 0,8 │
│ 3 │ │
│K (трехполосные дороги) │1,37 0,73 0,65 0,49 0,35 │
│ 3 │ │
├────────────────────────────┼──────────────────────────────────────────────┤
│Продольный уклон, о/оо │20 30 50 70 80 │
│K │1,0 1,25 2,5 2,8 3,0 │
│ 4 │ │
├────────────────────────────┼──────────────────────────────────────────────┤
│Радиус кривых в плане, м │100 150 200 - 300 400 - 600 1000 - больше│
│ │ 2000 2000 │
│K │5,4 4,0 2,25 1,6 1,25 1,0 │
│ 5 │ │
├────────────────────────────┼──────────────────────────────────────────────┤
│Видимость, м │50 100 150 200 250 350 400 500 │
│K в плане │3,6 3,0 2,7 2,25 2,0 1,45 1,2 1,0 │
│ 6 │ │
│K в профиле │5,0 4,0 3,4 2,5 2,4 2,0 1,4 1,0 │
│ 6 │ │
├────────────────────────────┼──────────────────────────────────────────────┤
│Ширина проезжей части мостов│меньше равна шире шире равна │
│по отношению к проезжей час-│1 м на 1 м на 2 м ширине │
│ти дороги │ земляного│
│ │ полотна │
│K │6,0 3,0 2,0 1,5 1,0 │
│ 7 │ │
├────────────────────────────┼──────────────────────────────────────────────┤
│Длина прямых участков, км │3,0 5 10 15 20 25 │
│K <4> │1,0 1,1 1,4 1,6 1,9 2,0 │
│ 8 │ │
├────────────────────────────┼──────────────────────────────────────────────┤
│Тип пересечения │В одном уровне при интенсивности движения на │
│ │пересекаемой дороге, % от суммарной на двух │
│ │дорогах │
│ │10 10 - 20 больше 20 │
│K │1,5 3,0 4,0 │
│ 9 │ │
├────────────────────────────┼──────────────────────────────────────────────┤
│Пересечения в одном уровне, │1600 - 3500 3500 - 5000 5000 - 7000│
│интенсивность движения по │ и более │
│основной дороге, авт./сут. │ │
│K │2,0 3,0 4,0 │
│ 10 │ │
├────────────────────────────┼──────────────────────────────────────────────┤
│Видимость пересечения в │60 60 - 40 40 - 30 30 - 20 20 │
│одном уровне с примыкающей │ │
│дорогой, м │ │
│K │1,0 1,1 1,65 2,5 5,0│
│ 11 │ │
├────────────────────────────┼──────────────────────────────────────────────┤
│Число основных полос на │2 3 без 3 с разметкой 4 без раздели-│
│проезжей части для прямых │ разметки полос движения тельной полосы│
│направлений движения │ │
│K │1,0 1,5 0,9 0,8 │
│ 12 │ │
├────────────────────────────┼──────────────────────────────────────────────┤
│Расстояние проезжей части │50
<5> 50 - 50 - 20 - 10
<9> 10
<10>│
│от застройки, м, и ее │ 20
<6> 20
<7> 10
<8> │
│характеристика │ │
│K
<6> │1,0 1,25 2,5 5,0 7,5 10,0 │
│ 13 │ │
├────────────────────────────┼──────────────────────────────────────────────┤
│Длина населенного пункта, км│0,5 1 2 3 5 6 │
│K │1 1,2 1,7 2,2 2,7 3,0│
│ 14 │ │
├────────────────────────────┼──────────────────────────────────────────────┤
│Длина участков на подходах к│0 - 100 100 - 200 200 - 400 │
│населенным пунктам, м │ │
│K │2,5 1,9 1,5 │
│ 15 │ │
├────────────────────────────┼──────────────────────────────────────────────┤
│Характеристика покрытий │скользкое, скольз- чистое шерохо- шерохо-│
│ │покрытое кое сухое ватое ватое │
│ │грязью старое новое │
│Коэффициент сцепления │0,2 - 0,3 0,4 0,6 0,7 0,75 │
│при скорости 60 км/ч │ │
│K │2,5 2,0 1,3 1,0 0,75 │
│ 16 │ │
├────────────────────────────┼──────────────────────────────────────────────┤
│Расстояние от кромки проез- │0,5 1,0 1,5 2 3 5 │
│жей части до обрыва глубиной│ │
│K без ограждений │4,3 3,7 3,2 2,75 2,0 1,0│
│ 17 │ │
│K с ограждениями │2,2 2,0 1,85 1,75 1,4 1,0│
│ 17 │ │
└────────────────────────────┴──────────────────────────────────────────────┘
--------------------------------
<1> При разметке проезжей части на три полосы движения.
<2> При разметке осевой линией.
<3> Без разделительной полосы.
<5> Населенный пункт с одной стороны дороги.
<6> То же, имеются тротуары или пешеходные дорожки.
<7> Населенный пункт с двух сторон дороги, имеются тротуары и полосы местного движения.
<8> Для местного движения полосы отсутствуют, имеются тротуары.
<9> Полосы для местного движения и тротуары отсутствуют.
<10> Если при характеристиках застройки, указанных в сносках, населенный пункт находится с одной стороны дороги, значение

берут вдвое меньше.
<11> При глубине оврага 5 м и менее коэффициент

принимают равным 1,0.
При построении графиков коэффициентов аварийности вручную значения частных коэффициентов аварийности для разных участков не интерполируются, а принимаются ближайшие из приведенных.
При разработке программ на ЭВМ можно пользоваться зависимостями частных коэффициентов аварийности от определяющих их факторов.
Для автомобильных дорог в горной местности значения частных коэффициентов аварийности

,

,

,

следует принимать по табл. П-1.2.
Таблица П-1.2
┌─────────────────────┬──────────────────────────────────────────┐
│Интенсивность дви- │0,5 1 2 3 5 7 9 10 │
│жения, тыс. авт./сут.│ │
│K │0,12 0,3 0,6 0,75 1,0 1,4 1,8 1,9 │
│ 1 │ │
├─────────────────────┼──────────────────────────────────────────┤
│Радиус кривых в пла- │20 и 40 50 100 150 │
│не, м │менее │
│K │2,7 2,2 2,0 1,3 1,0 │
│ 5 │ │
├─────────────────────┼──────────────────────────────────────────┤
│Видимость, м │30 и менее 50 100 150 │
│K │2,0 1,5 1,2 1,0 │
│ 6 │ │
├─────────────────────┼──────────────────────────────────────────┤
│Пересечения в одном │20 и 200 - 1000 - 3000 - 7000 │
│уровне, интенсивность│менее 1000 3000 7000 │
│движения по основной │ │
│дороге, авт./сут. │ │
│K │1,0 1,5 2,0 3,0 4,5 │
│ 10 │ │
└─────────────────────┴──────────────────────────────────────────┘
Для дорог в горной местности вводятся дополнительные частные коэффициенты аварийности

и

, характеризующие особенности движения по горным дорогам (табл. П-1.3).
Таблица П-1.3
┌────────────────────┬─────────────────────────────────────────────────┐
│Расстояние между │ 0,5 1,0 1,5 2,0 2,5 │
│кромкой проезжей │ │
│части и боковым │ │
│препятствием, м │ │
│K │ 2,0 1,75 1,4 1,2 1,0 │
│ 18 │ │
├────────────────────┼─────────────────────────────────────────────────┤
│Извилистость (коли- │нет 1 2 - 3 4 5 6 7 - 8 9 - 10│
│чество кривых в пла-│ │
│не на 1 км дороги) │ │
│K для радиусов │0,5 2,5 2,0 3,0 3,5 3 2,0 1,0 │
│ 19 │ │
│кривых 20 - 80 м │ │
│K для радиусов │0,5 1,0 1,2 2,0 3,5 4,4 - - │
│ 19 │ │
│кривых более 80 м │ │
└────────────────────┴─────────────────────────────────────────────────┘
Значения частных коэффициентов аварийности для городских условий представлены в табл. П-1.4.
Таблица П-1.4
┌───────────────┬────────────────────────────────────────────────┐
│Интенсивность, │3 5 10 15 20 25 30 35 40 │
│тыс. авт./сут. │ │
│K │0,57 0,62 0,74 0,90 1,10 1,35 1,69 2,18 2,7│
│ 1 │ │
├───────────────┼────────────────────────────────────────────────┤
│Количество лег-│100 75 60 40 20 │
│ковых автомоби-│ │
│лей в потоке, %│ │
│K │0,8 1,0 1,21 1,57 2,05 │
│ 2 │ │
├───────────────┼────────────────────────────────────────────────┤
│Ширина проезжей│8 10 12 16 21,5 │
│части, м │ │
│K │2,94 2,46 2,09 1,53 1,0 │
│ 3 │ │
├───────────────┼────────────────────────────────────────────────┤
│Безопасная │30 40 50 55 60 │
│скорость пото- │ │
│ка, км/ч │ │
│K │1,38 1,18 1,04 1,0 1,04 │
│ 4 │ │
├───────────────┼────────────────────────────────────────────────┤
│Движение │одностороннее двухстороннее │
│Количество по- │1 2 3 4 2 3 4 6 │
│лос │ │
│K при интен- │1,52 1,15 0,6 - 1,51 1,12 0,8 0,6 │
│ 5 │ │
│сивности до 15 │ │
│тыс. авт./сут. │ │
│K при интен- │1,85 1,5 0,95 0,5 1,95 1,47 1,0 0,8 │
│ 5 │ │
│сивности более │ │
│15 тыс. │ │
│авт./сут. │ │
├───────────────┼────────────────────────────────────────────────┤
│Освещение тро- │не освещены 2 - 3 4 - 5 7 - 8 │
│туаров и проез-│ │
│жей части, лк │ │
│K │1,7 1,3 1,0 0,8 │
│ 6 │ │
├───────────────┼────────────────────────────────────────────────┤
│Тип пересечения│в коль- пере- пере- в одном примы- │
│ │разных цевые крес- кресток уровне, кание │
│ │уровнях ток со све- примы- со све- │
│ │ тофор- кание тофор- │
│ │ ным ре- ным ре- │
│ │ гулиро- гулиро- │
│ │ ванием ванием │
│K │0,6 1,0 2,5 1,9 2,0 1,4 │
│ 7 │ │
├───────────────┼────────────────────────────────────────────────┤
│Суммарная ин- │5 10 20 30 40 50 │
│тенсивность │ │
│движения на пе-│ │
│рекрестках, │ │
│тыс. авт./сут. │ │
│K необорудо- │1,5 1,86 2,22 2,71 3,37 4,18 │
│ 8 │ │
│ванные пересе- │ │
│чения │ │
│K пересечения │1 1,29 1,65 2,05 2,52 3,11 │
│ 8 │ │
│со светофорным │ │
│регулированием │ │
│K необорудо- │1,2 1,56 1,90 2,31 2,84 - │
│ 8 │ │
│ванные примыка-│ │
│ния │ │
│K примыкания │0,8 1,16 1,46 1,87 2,36 - │
│ 8 │ │
│со светофорным │ │
│регулированием │ │
├───────────────┼────────────────────────────────────────────────┤
│Суммарная ин- │5 15 25 35 45 │
│тенсивность │ │
│движения пеше- │ │
│ходов на на- │ │
│земных перехо- │ │
│дах на перекре-│ │
│стках, │ │
│тыс. чел./сут. │ │
│K │1,17 1,84 2,47 3,19 4,09 │
│ 9 │ │
│K пересечения │0,90 1,30 1,75 2,31 3,05 │
│ 9 │ │
│со светофорным │ │
│регулированием │ │
│K необорудо- │1,04 1,56 2,16 2,80 - │
│ 9 │ │
│ванного примы- │ │
│кания │ │
│K примыкания │0,8 1,04 1,30 1,77 - │
│ 9 │ │
│со светофорным │ │
│регулированием │ │
├───────────────┼────────────────────────────────────────────────┤
│Видимость пере-│20 30 40 50 60 │
│сечения с при- │ │
│мыкающей улицы,│ │
│м │ │
│K │3,17 2,27 1,66 1,18 1,0 │
│ 10 │ │
│Видимость при- │20 30 40 50 60 │
│мыкания с при- │ │
│мыкающей ули- │ │
│цы, м │ │
│K │2,68 1,98 1,67 1,03 1,0 │
│ 10 │ │
├───────────────┼────────────────────────────────────────────────┤
│Количество по- │1 2 3 4 │
│лос │ │
│Расположение │ │
│остановочного │ │
│пункта: │ │
│в кармане │ │
│K при двух- │- 1,56 1,12 0,8 │
│ 11 │ │
│стороннем дви- │ │
│жении │ │
│K при одно- │1,68 1,64 1,30 - │
│ 11 │ │
│стороннем дви- │ │
│жении │ │
│у бордюрного │ │
│камня │ │
│K при двух- │- 2,24 1,94 1,60 │
│ 11 │ │
│стороннем дви- │ │
│жении │ │
│K при одно- │2,3 2,16 1,52 1,04 │
│ 11 │ │
│стороннем дви- │ │
│жении │ │
├───────────────┼────────────────────────────────────────────────┤
│Количество по- │1 2 3 4 │
│лос движения │ │
│Расположение │ │
│переходов: │ │
│в местах │ │
│скопления пеше-│ │
│ходов (1000 │ │
│чел./ч и более)│ │
│K │- 3,84 3,16 1,60 │
│ 12 │ │
│K для улиц с │4,18 3,62 3,0 1,4 │
│ 12 │ │
│односторонним │ │
│движением │ │
│в зонах остано-│ │
│вочных пунктов │ │
│K │- 2,89 2,25 1,19 │
│ 12 │ │
│K для улиц с │3,21 2,74 2,04 1,10 │
│ 12 │ │
│односторонним │ │
│движением │ │
│на спусках с │ │
│уклоном 30 о/оо│ │
│K │- 2,05 1,64 1,05 │
│ 12 │ │
│K для улиц с │2,44 2,0 1,60 1,02 │
│ 12 │ │
│односторонним │ │
│движением │ │
│на горизонталь-│ │
│ных участках │ │
│K │- 1,76 1,40 1,0 │
│ 12 │ │
│K для улиц с │1,95 1,66 1,34 1,0 │
│ 12 │ │
│односторонним │ │
│движением │ │
├───────────────┼────────────────────────────────────────────────┤
│Интенсивность │0,5 1,0 2,5 5 7,5 10 15 │
│движения пеше- │ │
│ходов на пере- │ │
│ходах вне пе- │ │
│рекрестков, │ │
│тыс. чел./сут. │ │
│K │0,75 0,85 1,05 1,45 1,85 2,25 3,0 │
│ 13 │ │
├───────────────┼────────────────────────────────────────────────┤
│Расположение │у проезжей 5 м от 10 м от 15 м и более │
│тротуаров │части дороги дороги от дороги │
│K │2,23 1,45 1,05 0,9 │
│ 14 │ │
│K для участ- │3,20 1,67 1,28 1,05 │
│ 14 │ │
│ников улиц со │ │
│скоплением пе- │ │
│шеходов │ │
├───────────────┼────────────────────────────────────────────────┤
│Продольный ук- │10 20 30 40 50 60 80 │
│лон, о/оо │ │
│K │1,0 1,3 1,7 2,2 2,5 2,7 3,0 │
│ 15 │ │
├───────────────┼────────────────────────────────────────────────┤
│Радиус кривой в│50 100 150 200 250 и более │
│плане, м │ │
│K │4,26 2,96 2,08 1,37 1,0 │
│ 16 │ │
├───────────────┼────────────────────────────────────────────────┤
│Расположение │отсутст- на обособ- на общем полотне │
│трамвайного │вуют ленном у края в середине │
│пути │ полотне улицы улицы │
│K │1,0 1,5 2,5 3,5 │
│ 17 │ │
├───────────────┼────────────────────────────────────────────────┤
│Характеристика │скользкое скользкое сухое шерохова- │
│покрытия │(грязное, (мокрое) чистое тое │
│ │гололед) │
│Коэффициент │0,1 - 0,3 0,4 0,6 0,7 │
│сцепления │ │
│K │1,8 1,4 1,0 0,8 │
│ 18 │ │
└───────────────┴────────────────────────────────────────────────┘
Значения частных коэффициентов аварийности, характеризующих степень безопасности движения на дорогах I категории, следует принимать по табл. П-1.5.
Таблица П-1.5
┌───────────────┬────────────────────────────────────────────────┐
│Интенсивность │10 20 30 40 50 60 70 80 │
│движения, тыс. │ │
│авт./сут. │ │
│K (четыре по- │1,0 1,3 1,9 2,6 2,8 2,6 2,5 - │
│ 1 │ │
│лосы движения) │ │
│K (шесть полос│- 1,3 1,4 1,8 1,9 2,0 1,9 1,7 │
│ 1 │ │
│движения) │ │
├───────────────┼────────────────────────────────────────────────┤
│Ширина раздели-│2 5 8 11 14 17 20 │
│тельной поло- │ │
│сы, м │ │
│K (без ограж- │10,0 6,3 3,9 2,2 1,7 1,4 1,0 │
│ 2 │ │
│дений) │ │
│K (с огражде- │6,0 3,3 1,8 1,2 1,0 1,0 1,0 │
│ 2 │ │
│ниями бордюрно-│ │
│го типа) │ │
│K (с огражде- │2,7 1,3 1,0 1,0 1,0 1,0 1,0 │
│ 2 │ │
│ниями парапет- │ │
│ного типа) │ │
├───────────────┼────────────────────────────────────────────────┤
│Вид сопряжения │краевая краевая полоса бордюр │
│проезжей части │полоса отсутствует высотой более│
│с обочиной и │ 6 м │
│разделительной │ │
│полосой │ │
│K │1,0 1,2 1,5 │
│ 3 │ │
├───────────────┼────────────────────────────────────────────────┤
│Продольный │10 20 30 40 │
│уклон, о/оо │ │
│K │1,1 1,3 1,6 2,6 │
│ 4 │ │
├───────────────┼────────────────────────────────────────────────┤
│Радиус кривой │400 - 600 1000 - 2000 более 2000│
│в плане, м │ │
│K │1,6 1,25 1,0 │
│ 5 │ │
├───────────────┼────────────────────────────────────────────────┤
│Расстояние │менее 3 - 4 4 - 5 5 - 6 6 - 7 7 - 8 9 и │
│между пересече-│3 более│
│ниями в разных │ │
│уровнях, км │ │
│K │3,0 2,1 1,8 1,6 1,4 1,2 1,0 │
│ 6 │ │
├───────────────┼────────────────────────────────────────────────┤
│Длина прямых │3 5 10 15 20 25 │
│участков в │ │
│плане, км │ │
│K │1,0 1,1 1,4 1,6 1,9 2,0 │
│ 7 │ │
├───────────────┼────────────────────────────────────────────────┤
│Тип примыкания │дополни- переходно-скоростные полосы │
│съездов к ос- │тельная отделенные неотделенные отсутствуют │
│новным полосам │полоса │
│движения │движения │
│K │1,0 1,3 1,7 2,8 │
│ 8 │ │
├───────────────┼────────────────────────────────────────────────┤
│Вид пешеходного│в разных уров- в разных в одном │
│перехода, │нях, ограж- уровнях, уровне │
│обустройство │дения на раз- без ог- │
│магистрали │делительной раждения │
│ │полосе │
│K │1,0 3,4 5,6 │
│ 9 │ │
├───────────────┼────────────────────────────────────────────────┤
│Расстояние меж-│0,5 1,5 3,0 4,5 6,0 7,5 9,0 │
│ду кромкой про-│ │
│езжей части и │ │
│массивными │ │
│элементами │ │
│K (без ограж-│15,0 10,0 7,0 4,5 2,5 1,25 1,0 │
│ 10 │ │
│дений) │ │
│K (ограждения│10,0 6,0 4,0 2,7 1,0 1,0 1,0 │
│ 10 │ │
│барьерного │ │
│типа) │ │
├───────────────┼────────────────────────────────────────────────┤
│Коэффициент │0,2 - 0,3 0,4 0,6 0,7 │
│сцепления │ │
│K │2,5 2,0 1,3 1,0 │
│ 11 │ │
└───────────────┴────────────────────────────────────────────────┘
--------------------------------
<1> К массивным элементам отнесены мачты освещения, формы подвесных знаков, опоры и устои путепроводов и т.п. сооружения.
Влияние опасного места распространяется на прилегающие участки, длина которых для дорог I категории указана в табл. П-1.6, для дорог II - IV категорий и улиц - в
табл. П-1.8,
1.9.
Таблица П-1.6
┌─────────────────────────────────┬──────────────────────────────┐
│ Элемент дороги │ Длина зоны влияния │
├─────────────────────────────────┼──────────────────────────────┤
│Подъемы и спуски │200 м до начала подъема │
│ │200 м после его окончания │
│Кривые в плане │по 150 м от начала кривых │
│Пересечения в разных уровнях, │ │
│подъезды к объектам обслуживания:│ │
│без переходно-скоростных полос │по 150 м в каждую сторону от │
│ │границ пересечения или │
│ │подъезда <1> │
│с переходно-скоростными полосами │по 100 м в каждую сторону от │
│ │границ пересечения или подъез-│
│ │да <1> │
└─────────────────────────────────┴──────────────────────────────┘
--------------------------------
<1> Границы определяются местами примыкания съездов или переходно-скоростных полос к основным полосам движения.
Для определения показателя относительной аварийности на автомагистралях следует пользоваться табл. П-1.7.
Таблица П-1.7
┌────────────────────────────────┬───────────────────────────────┐
│ Величина итогового │ Число ДТП на 100 млн. авт./км │
│ коэффициента аварийности │ │
├────────────────────────────────┼───────────────────────────────┤
│ 6 │ 22 │
│ 8 │ 23 │
│ 10 │ 30 │
│ 12 │ 35 │
│ 14 │ 47 │
│ 16 │ 57 │
│ 18 │ 71 │
│ 20 │ 88 │
│ 22 │ 108 │
└────────────────────────────────┴───────────────────────────────┘
┌─────────────────────────────────┬──────────────────────────────┐
│ Элементы дороги │ Зона влияния │
├─────────────────────────────────┼──────────────────────────────┤
│Подъемы и спуски │100 м за вершиной подъема, │
│ │150 м после подошвы спуска │
├─────────────────────────────────┼──────────────────────────────┤
│Пересечения на одном уровне │В каждую сторону по 50 м │
├─────────────────────────────────┼──────────────────────────────┤
│Кривые в плане с обеспечением │То же 50 м │
│видимости при R > 400 м │ │
├─────────────────────────────────┼──────────────────────────────┤
│Кривые в плане с необеспеченной │-"- 100 м │
│видимостью при R < 400 м │ │
├─────────────────────────────────┼──────────────────────────────┤
│Мосты и путепроводы │-"- 75 м │
├─────────────────────────────────┼──────────────────────────────┤
│Участки в местах влияния боковых │-"- 50 м │
│препятствий и с глубокими обры- │ │
│вами у дороги │ │
├─────────────────────────────────┼──────────────────────────────┤
│Участки подходов к тоннелям │-"- 150 м │
└─────────────────────────────────┴──────────────────────────────┘
┌─────────────────────────────────┬──────────────────────────────┐
│ Элементы улиц │ Зона влияния │
├─────────────────────────────────┼──────────────────────────────┤
│Остановочные пункты пассажирских │ │
│транспортных средств: │ │
│одностороннее движение │40 м до остановочного пункта и│
│ │20 м за остановочным пунктом │
├─────────────────────────────────┼──────────────────────────────┤
│двухстороннее движение │50 м в каждую сторону от оста-│
│ │новочного пункта │
├─────────────────────────────────┼──────────────────────────────┤
│Обозначенные пешеходные переходы:│ │
│переход вне зоны пересечений и │50 м в каждую сторону от пере-│
│примыканий │хода │
├─────────────────────────────────┼──────────────────────────────┤
│переход в зоне пересечения или │соответствует зоне перекрестка│
│примыкания │ │
├─────────────────────────────────┼──────────────────────────────┤
│Пересечения и примыкания маги- │40 м в каждую сторону от пере-│
│стральных улиц │сечения, 25 м в каждую сторону│
│ │от примыкания │
│Кривые участки в плане с ради- │ │
│усом, м: │ │
│50 │50 м в каждую сторону │
├─────────────────────────────────┼──────────────────────────────┤
│100 │25 м │
├─────────────────────────────────┼──────────────────────────────┤
│150 │10 м │
├─────────────────────────────────┼──────────────────────────────┤
│ │20 м за вершиной подъема │
├─────────────────────────────────┼──────────────────────────────┤
│Участки подъемов и спусков │50 м после подошвы спуска │
└─────────────────────────────────┴──────────────────────────────┘
ОЦЕНКА БЕЗОПАСНОСТИ ДВИЖЕНИЯ НА ПЕРЕСЕЧЕНИЯХ В ОДНОМ УРОВНЕ
П-2.1. На пересечениях в одном уровне безопасность движения зависит от направления и интенсивности пересекающихся потоков, числа точек пересечения, разветвлений и слияния потоков движения - конфликтных точек, а также от расстояния между этими точками. Чем больше автомобилей проходит через конфликтную точку, тем больше вероятность возникновения в ней дорожно-транспортного происшествия.
П-2.2. Опасность конфликтной точки можно оценить по возможной аварийности в ней (количество ДТП за 1 год):

, (П-2.1)
где

- относительная аварийность конфликтной точки (принимается согласно
табл. П-2.1,
П-2.2);

,

- интенсивность движения пересекающихся в данной конфликтной точке потоков, авт./сут.;

- коэффициент годовой неравномерности движения (для европейской части РФ может быть принят согласно
табл. П-2.3, для других областей - по данным изысканий и обследования дорог).
Коэффициент 25 введен в формулу для учета среднего количества рабочих дней в месяц, в течение которых загрузка дорог резко превышает загрузку в нерабочие дни.
При расчетах, проводимых для существующих дорог, коэффициент

принимают для месяца, в который проводился учет интенсивности движения. Для вновь проектируемых дорог отношение

принимают равным 365.
П-2.3. Степень опасности пересечения оценивается показателем безопасности движения

, характеризующим количество ДТП на 10 млн. автомобилей, прошедших через пересечение:

, (П-2.2)
где

- теоретически вероятное количество ДТП на пересечении за 1 год;
n - число конфликтных точек на пересечении;
M - интенсивность на главной дороге, авт./сут.;
N - то же, для второстепенной дороги;

- коэффициент годовой неравномерности движения (см.
табл. П-2.3).
Показатель

характеризует степень обеспечения безопасности движения на пересечении.

меньше 3 3,1 - 8,0 8,1 - 12 больше 12
Опасность
пересечения неопасное малоопасное опасное очень опасное
При проектировании новых дорог или реконструкции существующих для каждого варианта пересечения определяется показатель

. Чем он меньше, тем удачнее схема пересечения. На вновь проектируемых дорогах показатель безопасности на пересечениях в одном уровне не должен превышать 8, в противном случае должны быть разработаны более безопасные схемы пересечения.
Условия движения | Направление движения автомобилей | Характеристика пересечения | Значения коэффициентов относительной аварийности  |
необорудованное пересечение | канализированное пересечение |
Слияние потоков | Правый поворот | Радиус поворота R < 15 м | 0,0250 | 0,0200 |
R = 15 м | 0,0040 | 0,0020 |
R = 15 м, переходные кривые | 0,0008 | 0,0008 |
R = 15 м, переходно-скоростные полосы, переходные кривые | 0,0003 | 0,0003 |
Левый поворот | R = 10 м | 0,0320* | 0,0022 |
10,0 < R < 25 м | 0,0025* | 0,0017* |
10,0 < R < 25 м, переходно-скоростные полосы | 0,0005 | 0,0005 |
Пересечение потоков | | Угол пересечения | | |
0 <  < 30 | 0,0080 | 0,0040 |
30 <  < 50 | 0,0050 | 0,0025 |
50 <  < 75 | 0,0036 | 0,0018 |
75 <  < 90 | 0,0056 | 0,0018 |
90 <  < 120 | 0,0120 | 0 0060 |
120 <  < 150 | 0,0210 | 0,0105 |
150 <  < 180 | 0,0350 | 0,0175 |
Разделение потоков | На правом повороте | Радиус поворота | 0,0200 | 0,0200 |
R < 15 м, R = 15 м | 0,0060 | 0,0060 |
R > 15 м, переходные кривые | 0,0005 | 0,0005 |
R > 15 м, переходные кривые с переходно-скоростной полосой | 0,0001 | 0,0001 |
| На левом повороте | R < 10 м | 0,0300 | 0,0300 |
10 < R < 25 м | 0,0040 | 0,0025 |
10 < R < 25 м, переходно-скоростные полосы | 0,0010 | 0,0010 |
Два поворачивающих потока | | Разделение двух потоков | 0,0015 | 0,0010 |
Пересечение двух левоповоротных потоков | 0,0020 | 0,0005 |
Слияние двух поворачивающих потоков | 0,0025 | 0,0012 |
Примечание.
* Для определения

в этом случае данные таблицы нужно умножить на коэффициент

.
Угол пересечения дорог, град. до 30 40 50 - 75 90 120 150 180

1,8 1,2 1,0 1,2 1,9 2,1 3,4
Схема маневра | Характеристика маневра | Радиус внутренней кромки кольца, м |
15 | 20 | 25 | 30 | 40 | 50 | 60 |
Коэффициент аварийности |
| Слияние потоков на многополосном кольце при радиусе съезда более 15 м | 0,0040 | 0,0030 | 0,0022 | 0,0018 | 0,0013 | 0,0010 | 0,0008 |
на однополосном кольце при радиусе съезда менее 15 м | 0,0040 | 0,0030 | 0,0022 | 0,0015 | 0,0010 | 0,0007 | 0,0005 |
то же, более 15 м | 0,0040 | 0,0025 | 0,0013 | 0,0010 | 0,0007 | 0,0005 | 0,0004 |
| Разделение потоков на многополосном кольце при радиусе съезда более 15 м | 0,0028 | 0,0020 | 0,0014 | 0,0012 | 0,0009 | 0,0007 | 0,0005 |
на однополосном кольце при радиусе съезда менее 15 м | 0,0028 | 0,0020 | 0,0014 | 0,0010 | 0,0007 | 0,0006 | 0,0005 |
то же, более 15 м | 0,0016 | 0,0012 | 0,0010 | 0,0007 | 0,0005 | 0,0004 | 0,0003 |
| Переплетение потоков на многополосном кольце | - | - | - | 0,0016 | 0,0013 | 0,0010 | 0,0008 |
Месяцы | Коэффициент  при среднегодовой суточной интенсивности движения, авт./сут. |
до 1000 | 1000 - 2000 | 2000 - 6000 | больше 6000 |
I | 0,0885 | 0,0800 | 0,0510 | 0,0510 |
II | 0,0860 | 0,0660 | 0,0550 | 0,0585 |
III | 0,0860 | 0,0714 | 0,0550 | 0,0670 |
IV | 0,0800 | 0,0750 | 0,0690 | 0,0790 |
V | 0,0800 | 0,0850 | 0,0750 | 0,0850 |
VI | 0,0860 | 0,0714 | 0,0860 | 0,0855 |
VII | 0,0816 | 0,0784 | 0,1160 | 0,1000 |
VIII | 0,0875 | 0,0850 | 0,1230 | 0,1320 |
IX | 0,0900 | 0,1100 | 0,1130 | 0,1080 |
X | 0,0840 | 0,0960 | 0,0870 | 0,0890 |
XI | 0,0715 | 0,0850 | 0,0834 | 0,0800 |
XII | 0,0775 | 0,0790 | 0,0760 | 0,0780 |
П-2.4. При высокой интенсивности поворачивающих налево потоков автомобилей наиболее целесообразно устраивать кольцевые пересечения, опасность движения по которым в 2 - 2,5 раза меньше, чем по крестообразным, благодаря тому, что маневры пересечения транспортных потоков заменяются менее опасными маневрами слияния и разделения потоков.
Возможная аварийность и показатель аварийности на кольцевых пересечениях рассчитываются так же, как и для обычных пересечений и примыканий в одном уровне,
по формулам (1.14) и
(1.15).
П-2.5. Возможное количество дорожно-транспортных происшествий на пересечениях в одном уровне со светофорным регулированием рассчитывают через опасность конфликтных точек (табл. П-2.4), количество которых определяется схемой организации движения (схемой пофазовых разъездов).
Взаимодействие транспортных потоков | Схема пофазового разъезда | Опасность конфликтной точки, ДТП на 10 млн. авт. |
Разделение потоков: Повороты без помех с полосы прямого или поворачивающего движения | | K1 = 0,000100 |
Разделение потоков: Левый поворот, выполняемый совместно с прямым направлением движения, при наличии помех с других полос | | K2 = 0,000102 |
Пересечение левоповоротного потока прямым | | K3 = 0,000048 |
Пересечение автомобильных потоков трамвайным движением | | K4 = 0,000207 |
Слияние на одной полосе движения | | K5 = 0,000968 |
Наезд на автомобили при подходе к стоп-линии | | Kн = 0,012425* |
Примечание.
* При оценке опасности этой конфликтной точки используют сумму всех потоков, подходящих к пересечению.
П-2.6. Опасность всех конфликтных точек (кроме столкновений автомобилей при подъезде к стоп-линии) определяют по формуле

, (П-2.3)

- интенсивности движения в конфликтной точке, авт./ч.
П-2.7. Возможное количество наездов (

) определяют по формуле

, (П-2.4)

и

- интенсивности движения на пересекающихся дорогах, проходящие через стоп-линию с остановкой, авт./ч.
П-2.8. Возможное количество ДТП на регулируемом пересечении определяют по формуле

, (П-2.5)
где

- количество наездов у стоп-линий, ДТП в год;
n - количество конфликтных точек.
П-2.9. Для оценки безопасности движения пешеходов на пересечении со светофорным регулированием используют статистику ДТП за год. При отсутствии таких данных используют формулу

, (П-2.6)
где

- интенсивность движения транспортных потоков, авт./ч;

- интенсивность движения пешеходов по переходу, пешеходов в час.
ПРОПУСКНАЯ СПОСОБНОСТЬ АВТОМОБИЛЬНОЙ ДОРОГИ
П-3.1. Пропускная способность дороги определяется плотностью транспортного потока (количеством автомобилей на 1 км дороги или временным интервалом между автомобилями) и скоростью его движения. Наибольшая пропускная способность при определенной скорости движения достигается при максимальной плотности транспортного потока. Влияние на пропускную способность дороги оказывают те дорожные условия, которые приводят к снижению скорости движения, разуплотнению транспортного потока или препятствуют его уплотнению. Для расчета пропускной способности дороги необходимо иметь схему организации движения на дороге, схему дислокации дорожных знаков и характеристики состояния дорожного покрытия и обочин.
П-3.2. Пропускная способность дороги (участка дороги) определяется пропускной способностью наиболее сложного сечения или опасного участка дороги. Все факторы, оказывающие влияние на пропускную способность дороги, разделяют на две группы: первая группа - ограничивающие, вторая - снижающие пропускную способность. Первая группа устанавливает предел пропускной способности полосы движения (пересечения с автомобильными дорогами и железными дорогами, паромные переправы), вторая группа - факторы, вызывающие снижение скорости движения или разуплотнение транспортного потока (ширина проезжей части и обочин, ровность покрытия, ограничения движения).
П-3.3. Пропускная способность дороги при пересечении с другой дорогой в одном уровне зависит от типа пересечения и его планировочного решения (дополнительные полосы движения, разделительные полосы, направляющие островки, разметка проезжей части).
П-3.4. Пропускная способность пересечений в одном уровне зависит от соотношения интенсивностей движения на пересекающихся дорогах. Преимущество проезда имеет транспортный поток главной дороги, если на пересечении нет светофорного регулирования, пропускная способность по направлению главной дороги может снижаться только при введении ограничения скорости движения и/или запрещении обгона. В этом случае пропускная способность по главной дороге определяется по
формуле (П-3.1).
П-3.5. Пропускная способность второстепенной дороги на нерегулируемом пересечении двухполосных дорог в одном уровне зависит от интенсивности движения по главной дороге (табл. П-3.1).
Таблица П-3.1
Пропускная способность второстепенной дороги
на нерегулируемом пересечении в одном уровне
Суммарная интенсивность движения по главной дороге, авт./ч | 100 | 200 | 300 | 400 | 600 | 800 | 1000 | 2000 |
Направление движения по второстепенной дороге | Максимальная пропускная способность одного направления второстепенной дороги, авт./ч <1> |
| 900 | 800 | 700 | 600 | 500 | 400 | 250 | 50 |
Левый поворот на примыкании | 850 | 600 | 500 | 370 | 200 | 120 | 60 | 10 |
Прямое пересечение и левый поворот в сумме на пересечении <3> | 400 | 280 | 260 | 280 | 150 | 100 | 50 | 10 |
Пропускная способность одного направления второстепенной дороги необорудованного пересечения <3> | 900 | 750 | 600 | 400 | 200 | 50 | 10 | 10 |
Коэффициент снижения пропускной способности второстепенной дороги | 0,25 | 0,37 | 0,5 | 0,7 | 0,85 | 0,95 | 0,98 | 0,99 |
--------------------------------
<1> Максимальная пропускная способность второстепенной дороги на подходе к пересечению определяется по
формуле (П-3.1). В таблице приведены пропускные способности направлений движения на пересечении при наличии дополнительных полос для поворачивающих потоков.
<2> С отдельной полосы второстепенной дороги.
<3> При доле левоповоротного движения с второстепенной дороги до 20%.
П-3.6. Факторами, снижающими пропускную способность на участке дороги, являются: сужения проезжей части, неукрепленные обочины, участки производства дорожных работ, боковые препятствия, неровное или разрушенное покрытие проезжей части, населенные пункты, запрещение обгонов, ограничение скорости движения. Каждый из факторов, снижающих пропускную способность дороги, учитывается коэффициентом снижения пропускной способности.
П-3.7. Пропускная способность дороги должна рассчитываться через пропускную способность полосы движения и количество полос движения. При количестве полос движения в одном направлении 2 и более средняя пропускная способность одной полосы на участке перестроений транспортного потока из-за входа и выхода с дороги снижается. Это снижение тем больше, чем ближе расположены точки входа на дорогу и выхода с нее. Пропускная способность всей проезжей части определяется по формуле

, (П-3.1)
где N - пропускная способность многополосной проезжей части дороги;

- пропускная способность одной полосы движения;
n - количество полос движения;

- коэффициент, учитывающий долю перестраивающихся автомобилей в транспортном потоке;
Доля перестраивающихся автомобилей до 10 20 30 40
в транспортном потоке, %

1 0,88 0,80 0,70

- коэффициент многополосности, определяемый по табл. П-3.2.
Таблица П-3.2
Коэффициент многополосности в зависимости от числа полос
движения, расстояний между соседними точками входа
автомобилей на дорогу и выхода с нее
┌──────────────┬─────────────────────────────────────────────────┐
│ Количество │ Расстояния между соседними точками входа на │
│полос движения│ дорогу и выхода с дороги, м │
│ в одном ├────────┬────────┬────────┬───────┬──────┬───────┤
│ направлении │ до 500 │ 1000 │ 2000 │ 3000 │ 4000 │ 5000 │
│ ├────────┴────────┴────────┴───────┴──────┴───────┤
│ │ Коэффициент многополосности k │
│ │ п │
├──────────────┼────────┬────────┬────────┬───────┬──────┬───────┤
│2 │0,95 │0,98 │1 │1 │1 │1 │
├──────────────┼────────┼────────┼────────┼───────┼──────┼───────┤
│3 │0,83 │0,85 │0,88 │0,95 │1 │1 │
├──────────────┼────────┼────────┼────────┼───────┼──────┼───────┤
│4 │0,80 │0,82 │0,85 │0,91 │0,98 │1 │
├──────────────┼────────┼────────┼────────┼───────┼──────┼───────┤
│5 │0,76 │0,78 │0,82 │0,87 │0,97 │1 │
├──────────────┼────────┼────────┼────────┼───────┼──────┼───────┤
│6 │0,72 │0,75 │0,79 │0,85 │0,95 │0,99 │
├──────────────┼────────┼────────┼────────┼───────┼──────┼───────┤
│7 │0,68 │0,72 │0,76 │0,84 │0,93 │0,98 │
├──────────────┼────────┼────────┼────────┼───────┼──────┼───────┤
│8 │0,63 │0,68 │0,72 │0,81 │0,92 │0,97 │
└──────────────┴────────┴────────┴────────┴───────┴──────┴───────┘
П-3.8. Пропускную способность одной полосы движения можно рассчитать по формуле

, (П-3.2)
где

- итоговый коэффициент снижения пропускной способности полосы движения:

; (П-3.3)

- максимальная пропускная способность одной полосы движения, в приведенных авт./ч;

- частный коэффициент снижения пропускной способности, учитывающий влияние конкретного фактора.
П-3.9. Максимальная пропускная способность одной полосы движения автомобильных дорог принимается:
двухполосных - 1200 приведенных авт./ч;
трехполосных - 1800 приведенных авт./ч;
четырехполосных без разделительной полосы - 2000 приведенных авт./ч;
то же, с разделительной полосой - 2200 приведенных авт./ч;
шестиполосных с разделительной полосой - 2300 приведенных авт./ч.
П-3.10. Значения частных коэффициентов снижения пропускной способности принимаются в зависимости от количественной характеристики влияющего фактора. Для промежуточных значений влияющего фактора значения коэффициентов принимаются по интерполяции.
┌──────────────────────┬─────────────┬─────────────┬─────────────┐
│Ширина полосы движения│2,5 │3,0 │3,5 и более │
│двухполосной дороги, м│ │ │ │
├──────────────────────┼─────────────┼─────────────┼─────────────┤
│Фи │0,15 │0,05 │0 │
│ 1 │ │ │ │
└──────────────────────┴─────────────┴─────────────┴─────────────┘
┌──────────────────────┬─────────────┬─────────────┬─────────────┐
│Ровность покрытия по │800 │700 │500 │
│толчкомеру (см/км) │ │ │ │
├──────────────────────┼─────────────┼─────────────┼─────────────┤
│Фи │0,10 │0,05 │0 │
│ 2 │ │ │ │
└──────────────────────┴─────────────┴─────────────┴─────────────┘
┌──────────────────────┬──────────┬─────────┬─────────┬──────────┐
│Продольный уклон, о/оо│30 и │40 │50 │60 и │
│(при длине подъема │менее │ │ │более │
│более 100 м) │ │ │ │ │
├──────────────────────┼──────────┼─────────┼─────────┼──────────┤
│Фи │0 │0,05 │0,8 │0,15 │
│ 3 │ │ │ │ │
└──────────────────────┴──────────┴─────────┴─────────┴──────────┘
┌───────────────────────────────────────┬────────────────────────┐
│ Запрещение обгонов │ Фи │
│ │ 4 │
├───────────────────────────────────────┼────────────────────────┤
│Двухполосные дороги │0,20 │
├───────────────────────────────────────┼────────────────────────┤
│Трехполосные дороги │0,25 │
├───────────────────────────────────────┼────────────────────────┤
│Четырехполосные дороги │0,40 │
└───────────────────────────────────────┴────────────────────────┘
┌────────────────────────────────────┬──────┬─────┬──────────────┐
│Ограничение скорости движения, км/ч │20 │40 │60 и более │
├────────────────────────────────────┼──────┼─────┼──────────────┤
│Фи │0,15 │0,10 │0 │
│ 5 │ │ │ │
└────────────────────────────────────┴──────┴─────┴──────────────┘
┌───────────────────────────────────┬─────┬─────┬─────┬─────┬────┐
│Фазовый коэффициент (отношение │0,2 │0,4 │0,6 │0,8 │1,0 │
│продолжительности зеленого сигнала │ │ │ │ │ │
│к длительности цикла) │ │ │ │ │ │
├───────────────────────────────────┼─────┼─────┼─────┼─────┼────┤
│Коэффициент снижения пропускной │0,8 │0,60 │0,40 │0,2 │0 │
│способности дороги при светофорном │ │ │ │ │ │
│регулировании, Фи │ │ │ │ │ │
│ 6 │ │ │ │ │ │
└───────────────────────────────────┴─────┴─────┴─────┴─────┴────┘
П-3.11. При одновременном действии сразу несколько факторов, снижающих пропускную способность дороги, некоторые из них имеют настолько сильное влияние, что при их действии другие факторы (или часть факторов) становятся малозначимыми и в расчете не учитываются.
Формула (П-3.3) должна содержать только те слагаемые, которые соответствуют значимым для пропускной способности конкретного участка факторам.
Учет факторов, снижающих пропускную способность дороги, при их совместном действии:
+ - фактор учитывается,

- при действии фактора

фактор

не учитывается.
Примечание. * Учитывается только при отсутствии ограничения скорости движения.
П-3.12. Светофорное регулирование движения на пересечениях с другими дорогами или на пешеходных переходах делает малозначимыми все другие факторы, поскольку сокращает время, в течение которого возможно движение по дороге. Это время пропорционально фазовому коэффициенту. Возможность повышения пропускной способности дороги связана главным образом с увеличением фазового коэффициента, т.е. сокращением зеленого сигнала для других направлений, или с увеличением числа полос на пересечении. При наличии светофорного регулирования ограничение пропускной способности распространяется на участок дороги от ближайшего пересечения до светофора.
Интенсивность движения на 50 100 300 500 и более
полосе проезжей части, авт./ч
Зона влияния светофора, км 0,5 1,0 2,0 2,5
На участке перед пересечением величина пропускной способности определяется меньшим из двух значений, определенных по дорожным условиям и по фазовому коэффициенту, за пересечением - только по дорожным условиям.
Пример 1.
Двухполосная дорога от точки A к точке B на длине 2 км имеет следующие постоянные характеристики: ширина полосы движения 3,0 м (

), ровность покрытия по толчкомеру 600 (

), продольный уклон в направлении A - B 45

(

), обгон ограничен (

), в середине участка пересечение со светофорным регулированием с фазовым коэффициентом 0,4 (

).
Пропускная способность этого участка определяется следующим образом:
По дорожным условиям пропускная способность дороги в направлении A - B (

).

авт./ч, в направлении B - A (

)

,

авт./ч.
По условиям пропуска через регулируемое пересечение

и

авт./ч.
Пропускная способность дороги по направлению A - B и B - A 720 авт./ч.
Пример 2.
Тот же участок дороги, но с другим фазовым коэффициентом для регулируемого пересечения - 0,75 (

).
Пропускная способность дороги по дорожным условиям не изменилась и составляет в направлении A - B 792 авт./ч, в направлении B - A 1032 авт./ч.
Пропускная способность регулируемого пересечения 800 авт./ч.
Пропускная способность в направлении A - B 792 авт./ч, в направлении B - A 800 авт./ч.
Пример 3.
Тот же участок дороги, но с другим фазовым коэффициентом для регулируемого пересечения - 0,91 (

).
Пропускная способность дороги по дорожным условиям не изменилась и составляет в направлении A - B 792 авт./ч, в направлении B - A 1032 авт./ч.
Пропускная способность регулируемого пересечения 1092 авт./ч.
Пропускная способность в направлении A - B 792 авт./ч, в направлении B - A 1032 авт./ч.
П-3.13. Запрещение обгонов - второй по степени воздействия на пропускную способность фактор. При таком ограничении происходит снижение скорости движения и разуплотнение транспортного потока. Поток разбивается на пачки автомобилей, во главе которых находятся тихоходные автомобили (чаще всего грузовые). При этом сохраняется влияние только ровности покрытия и продольных уклонов, что еще более снижает скорость движения транспортного потока. Влияние остальных факторов малозначимо. Зона влияния запрещения обгонов - длина участка, на котором такое ограничение устанавливается.
П-3.14. Ограничение скорости движения во всех дорожных условиях снижает пропускную способность дороги. При этом, если причиной ограничения скорости являются конкретные факторы, их влияние на пропускную способность поглощается ограничением скорости движения и такие факторы не учитываются. Зона влияния этого фактора - длина участка дороги с ограничением скорости движения.
П-3.15. Ширина полосы движения становится малозначимым фактором, ограничивающим пропускную способность дороги, только при запрещении обгонов и при наличии светофорного регулирования. В остальных случаях влияние ширины полосы движения должно учитываться.
П-3.16. Ровность покрытия отражается на скорости движения транспортного потока, учитывается всегда, за исключением случая общего или местного ограничения скорости движения и светофорного регулирования. Зона влияния этого фактора - длина участка с постоянными характеристиками ровности покрытия.
П-3.17. Продольные уклоны отражаются на снижении средней скорости и разуплотнении транспортного потока. Этот фактор следует учитывать во всех случаях, кроме светофорного регулирования. Зона влияния продольных уклонов - 100 м до начала вогнутой вертикальной кривой и 100 - 500 м (в зависимости от интенсивности движения) после вершины подъема.
П-3.18. Пропускная способность дороги может быть повышена:
- проложением дорог вне населенных пунктов для исключения влияния пешеходного движения и местного транспортного потока;
- перестройкой неудачных сочетаний элементов плана и продольного профиля, вызывающих резкие изменения скоростей;
- устранением при реконструкции дорог минимальных параметров геометрических элементов плана, поперечного и продольного профилей;
- устройством дополнительных полос на подъемах, пересечениях, полос для местного движения в населенных пунктах;
- устройством пересечений с другими дорогами (автомобильными и железными), обеспечивающих пропуск транспортных потоков высокой интенсивности (канализированных пересечений, пересечений в разных уровнях);
- повышением сцепных качеств и ровности покрытия;
- обустройством дороги остановочными полосами, площадками, стояночными полосами и площадками, исключающими остановку автомобилей на обочинах;
- устройством переходно-скоростных полос на автобусных остановках, подъездах к АЗС, мотелям, стоянкам, площадкам отдыха.
УРОВЕНЬ ЗАГРУЗКИ ДОРОГИ ДВИЖЕНИЕМ
П-4.1. Уровень загрузки дороги движением - отношение интенсивности движения участка дороги к его пропускной способности, определяет экономичность работы автомобильного транспорта, удобство и безопасность движения. Уровень загрузки дороги движением не может быть более 1,0.
П-4.2. При определении уровня загрузки проектируемой и эксплуатируемой дороги следует:
- интенсивность движения принимать равной интенсивности движения расчетного часа;
- пропускную способность определять расчетом согласно
Прил. 3.
П-4.3. При проектировании новых дорог на конец расчетного периода следует принимать:
категорию проектируемой IА IБ IВ II III IV V
дороги
расчетный уровень загрузки 0,4 0,5 0,6 0,6 0,6 0,6 0,7
П-4.4. При проектировании реконструкции при невозможности изменения плана трассы, продольного или поперечного профилей допускается при наличии технико-экономического обоснования больший уровень загрузки, чем приведенный в п.
П-4.3.
Категория дороги после IА IБ IВ II III IV V
реконструкции
Расчетный уровень загрузки 0,6 0,6 0,6 0,7 0,7 0,7 0,8
П-4.5. При необходимости снизить уровень загрузки эксплуатируемой или реконструируемой дороги следует повышать пропускную способность дороги путем улучшения условий движения.
П-4.6. Для двухполосных дорог уровень загрузки следует определять для всей дороги, а для дорог с разделительной полосой отдельно для каждого направления.
Рис. П-4.1. Линейный график пропускной
способности и уровня загрузки дороги
МЕРОПРИЯТИЯ ПО ПОВЫШЕНИЮ БЕЗОПАСНОСТИ ДВИЖЕНИЯ
НА АВТОМОБИЛЬНЫХ ДОРОГАХ
П-5.1. Мероприятия по повышению безопасности движения выбирают в зависимости от уровня загрузки дороги движением (табл. П-5.1).
Таблица П-5.1
Уровень загрузки дороги движением | Мероприятия по повышению безопасности движения на дорогах с двумя полосами движения |
строительные | организационные |
Менее 0,2 | Укрепление обочин | Нанесение разметки и устройство краевых и шумовых полос |
0,2 - 0,45 | Укрепление обочин. Выборочное увеличение видимости для обеспечения обгона на участках не менее 1,5 - 2 км | Разметка проезжей части |
0,45 - 0,70 | Перестройка наиболее загруженных пересечений в одном уровне с заменой на кольцевые или канализированные. Устройство обгонных участков и дополнительных полос на подъемах, уширение узких мостов | Регулирование скоростей движения на отдельных участках |
0,70 - 1,0 | Перечисленные выше мероприятия. При узкой проезжей части - уширение полосы движения до 3,75 м | Установка дистанционно управляемых знаков. Регулирование скоростей |
Более 1,0 | Перестройка под более высокую категорию. Устройство одежды на обочинах для создания третьей полосы движения | Перевод части движения на параллельные маршруты |
П-5.2. На подъемах, существенно влияющих на пропускную способность дороги, могут быть рекомендованы следующие стадийные мероприятия в зависимости от ожидаемого уровня загрузки дороги движением (табл. П-5.2).
Таблица П-5.2
Уровень загрузки дороги движением | Характер мероприятий |
Менее 0,2 | Устройство осевой разметки и шумовых полос, установка знаков, ограждений и направляющих столбиков |
0,2 - 0,45 | Уширение проезжей части в верхней и нижней частях подъема на 2 м с нанесением разметки и укреплением обочин в этих местах |
0,45 - 0,7 | На затяжных подъемах устройство дополнительной полосы, начиная с середины подъема в пределах вертикальной выпуклой кривой и за подъемом на расстоянии не менее 100 м. На подъемах короче 300 м устройство дополнительной полосы на всю длину подъема |
0,7 - 1 | На затяжных подъемах устройство дополнительной полосы на всю длину подъема |
П-5.3. На кривых в плане могут осуществляться стадийные мероприятия, приведенные в табл. П-5.3.
Таблица П-5.3
Уровень загрузки дороги движением | Характер мероприятий |
Менее 0,2 | Устройство разметки проезжей части и шумовых полос, установка знаков, ограждений и направляющих столбиков |
0,2 - 0,45 | Уширение проезжей части с разметкой, обеспечение фактической видимости 600 - 700 м |
0,45 - 0,7 | Устройство разделительного островка |
0,7 - 1 | Увеличение радиуса кривой |
При назначении указанных мероприятий предусмотрено, что все кривые имеют виражи.
П-5.4. На пересечениях в одном уровне основным мероприятием является канализирование движения с помощью островков или устройство кольцевых пересечений. Последовательность улучшения условий движения выбирается с учетом загрузки основной дороги (табл. П-5.4).
Таблица П-5.4
Уровень загрузки дороги движением | Характер мероприятий |
Менее 0,2 | Осевая разметка |
0,2 - 0,45 | Островки на второстепенной дороге |
0,45 - 0,7 | Полностью канализированное или кольцевое пересечение |
0,7 - 1,0 | Устройство пересечения в разных уровнях |
П-5.5. Для увеличения пропускной способности пересечений в разных уровнях основными мероприятиями являются устройство переходно-скоростных полос и увеличение числа полос движения на основной дороге в зависимости от уровня ее загрузки (табл. П-5.5).
Таблица П-5.5
Уровень загрузки дороги движением | Характер мероприятий |
Менее 0,2 | Устройство разметки и установка знаков |
0,3 - 0,45 | Установка знака "Проезд без остановки запрещен" или светофора, регулирующего въезд на автомобильную магистраль |
0,45 - 0,7 | Устройство переходно-скоростной полосы |
0,7 - 1,0 | Увеличение числа полос транзитного движения |
П-5.6. Участки с ограниченной видимостью в продольном профиле характеризуются не только низкими скоростями движения, но и высокой аварийностью. Для улучшения условий движения на них рекомендуются следующие стадийные мероприятия, приведенные в табл. П-5.6.
Таблица П-5.6
Уровень загрузки дороги движением | Характер мероприятий |
Менее 0,2; 0,2 - 0,45 | Осевая разметка с уширением каждой полосы на 1 м. Устройство островка в пределах вертикальной кривой и укрепление обочин |
0,45 - 0,7 | Увеличение радиуса вертикальной выпуклой кривой |
П-5.7. Увеличение загрузки дороги в пригородной зоне существенно влияет на режим движения автомобилей в зоне автобусных остановок. Для обеспечения безопасности движения и повышения пропускной способности дорог предусматривают следующие мероприятия, указанные в табл. П-5.7.
Таблица П-5.7
Уровень загрузки дороги движением | Оборудование автобусной остановки |
Менее 0,2 | Простой карман без отгонов ширины с площадкой для пассажиров |
0,2 - 0,45 | Устройство отгонов ширины с учетом плавного торможения |
0,45 - 0,7 | Устройство разделительного островка |
0,7 - 1,0 | Установка ограждений для пешеходов, увеличение длины отгона с учетом входа в поток и увеличение протяжения участка разгона автобуса, устройство дополнительной полосы движения |
СКОРОСТЬ ДВИЖЕНИЯ ТРАНСПОРТНОГО ПОТОКА
НА ДОРОГАХ II - V КАТЕГОРИЙ
П-6.1. Скорость движения транспортного потока определяется дорожными условиями и составом потока. Точность прогнозирования скорости движения зависит от полноты информации о дорожных условиях. Скорость движения на эксплуатируемых дорогах целесообразно определять непосредственными измерениями по створам или с непрерывными измерениями ходовой лабораторией, движущейся в транспортном потоке.
П-6.2. При построении эпюры скорости по результатам непосредственных измерений по створам количество измерений в каждом створе должно быть не менее 30. В каждом створе должна быть определена скорость 85%-ной, 50%-ной и 15%-ной обеспеченности. Скорость 85%-ной обеспеченности используется для принятия решений по организации движения, 50%-ной обеспеченности - в технико-экономических расчетах, 15%-ной обеспеченности - при введении ограничений минимально допустимого предела скорости.
П-6.3. Скорость движения транспортного потока по участкам дороги можно рассчитывать по формулам теории движения автомобиля с учетом дорожных условий или по эмпирическим зависимостям. Главное требование к методам расчета - рассчитанная эпюра скорости движения транспортного потока по длине дороги должна быть близкой к реальной.
П-6.4. При проектировании мероприятий по организации движения на эксплуатируемых дорогах, в случае невозможности определить скорость движения транспортного потока непосредственными измерениями, целесообразно среднюю скорость движения рассчитать по эмпирической формуле (П-6.1), главным аргументом в которой является уровень загрузки дороги движением. Этот показатель - интегральный в отношении дорожных условий.

, (П-6.1)
где

- средняя скорость движения транспортного потока, км/ч;

- коэффициент, учитывающий дорожные условия, определяемый по формуле (П-6.2);

- максимальная скорость движения транспортного потока при Z менее 0,1, км/ч (табл. П-6.1);

- скорость транспортного потока в состоянии затора, км/ч (табл. П-6.1).
Таблица П-6.1
Скорости движения транспортных потоков

и

Категория дороги |  , км/ч |  , км/ч |
II (четырехполосная без разделительной полосы) | 100 | 10 |
II (трехполосная) | 80 | 10 |
III, IV | 80 | 7 |
V | 60 | 5 |

, (П-6.2)
Продольный уклон,

до 30 40 50 60 70 80

1,0 0,85 0,7 0,6 0,5 0,4
Количество легковых 100 80 60 40 и менее
автомобилей в потоке, %

1,0 0,9 0,8 0,6
Показатель ровности покрытия до 400 500 600 700 800 1000
по прибору ПКРС-2, см

1,0 0,9 0,78 0,65 0,56 0,41
Для промежуточных значений продольного уклона (

), количества легковых автомобилей в потоке (

) и ровности покрытия (

) значения коэффициентов следует определять по интерполяции.
ОЦЕНКА ШЕРОХОВАТОСТИ И КОЛЕЙНОСТИ ДОРОЖНЫХ ПОКРЫТИЙ
П-7.1. В качестве способа, позволяющего наиболее полно и точно определять параметры шероховатости и колейности дорожных покрытий, может использоваться разработанный на кафедре изысканий и проектирования дорог МАДИ (ГТУ) метод дистанционного зондирования их поверхности с помощью цифровой фотокамеры и обработки снимков в цифровой фотограмметрической системе.
П-7.2. Для съемки используются цифровая фотокамера с разрешением не более 3.3 мегапикселей и опорные рамки различных размеров: для оценки микрошероховатости - 80 х 100 мм, макрошероховатости - 260 х 310 мм, колейности - 350 х 600 мм
(рис. П-7.1). На рамке располагается не менее 3-х столбиков-марок, находящихся на фиксированных расстояниях от нижнего левого угла (начала координат). Фотокамера ориентируется таким образом, чтобы левый нижний угол ее дисплея совпал с левым нижним углом опорной рамки. При съемке не допускается попадание тени на поверхность покрытия, ограниченную внутренним размером рамки.
П-7.3. Фотографирование производится из двух положений, расстояние между которыми указано на рис. П-7.1. Фотокамера в положении I располагается горизонтально, в положении II поворачивается в вертикальной плоскости ZOX на угол 10 - 15 град. Для оценки колейности опорную рамку устанавливают так, чтобы колея полностью оказалась внутри рамки
(рис. П-7.2). Рекомендуемая высота съемки составляет 600 - 630 мм для определения параметров макрошероховатости, 150 - 200 мм - микрошероховатости и 900 - 1000 мм - колейности.
Рис. П-7.1. Схема элементов фотосъемки:
а - план; б - поперечник; b, c - размеры рамки;
Z, X, Y - координаты;

- расстояние
горизонтального перемещения рамки; H - высота съемки;

- угол поворота камеры; 1 - опорная рамка;
2 - столбики-марки; 3 - цифровая фотокамера;
4 - опорная станина; 5 - покрытие
Рис. П-7.2. Схема к расположению опорной рамки
для оценки колеи:
1 - профиль колеи; 2 - линии осредненного
поперечного уклона колеи; h - глубина колеи; l - уклон
П-7.4. Для обработки снимков применяется цифровой фотограмметрический комплекс PHOTOMOD и автоматизированная программа расчетов, разработанная на кафедре изысканий и проектирования дорог МАДИ, использующая два способа определения параметров шероховатости: на основе метода "песчаного пятна" и на основе обработки профилограмм поверхности покрытия.
В качестве параметров, оценивающих шероховатость покрытия, используются показатели, принятые в нормативных документах (
ГОСТ 2789-73,
ВСН 38-90), а также такие, характерные для оценки состояния дорожных покрытий, как угол и радиус при вершине выступов, расстояние между выступами.
П-7.5. Съемка измеряемых участков покрытия производится в створах, количество которых рекомендуется выбирать по табл. П-7.1.
Таблица П-7.1
Длина участка, м | Число створов при средней глубине впадин, мм |
0,1 - 1,5 | 1,6 - 2,0 | 2,1 - 3,0 | более 3,0 |
100 | 1 | 2 | 5 | 6 |
500 | 2 | 6 | 25 | 27 |
1000 | 4 | 11 | 45 | 50 |
П-7.6. Достоверность измерений оценивается коэффициентом вариации (

) средней приведенной глубины впадин и среднеквадратическим отклонением результатов отдельных измерений (

):

; (П-7.1)

, (П-7.2)
где

- приведенная глубина впадин i-ого замера;

- средняя глубина впадин;
n - количество замеров.
В табл. П-7.2 приведены рекомендуемые значения коэффициента вариации.
Таблица П-7.2
Значения коэффициента вариации  , % | Оценка измерений |
15 и менее | Отличная |
16 - 20 | Хорошая |
21 - 25 | Удовлетворительная |
26 - 30 | Неудовлетворительная |
ОПРЕДЕЛЕНИЯ МЕСТОПОЛОЖЕНИЯ УЧАСТКОВ КОНЦЕНТРАЦИИ ДТП
П-8.1. Определение местоположения участков концентрации ДТП при интенсивности движения более 3000 авт./сут. рекомендуется выполнять в следующем порядке.
От адреса произвольно выбранного (например, первого от начала дороги) ДТП последовательно откладывают расстояния ("шаблон") от больших значений до меньших в пределах диапазонов их изменения, указанных в
табл. 1.1. Для каждого получаемого таким образом отрезка дороги устанавливается за расчетный период абсолютное число ДТП и рассчитывается значение коэффициента относительной аварийности по
формуле (1.1). На основе результатов этих расчетов выявляют отрезок дороги наименьшей длины (из рассмотренных), на котором имеется концентрация ДТП. Протяженность участка концентрации ДТП принимается равной расстоянию от первого до последнего ДТП на рассматриваемом отрезке дороги.
От адреса следующего на дороге ДТП откладывают расстояния той же величины и для каждого получаемого отрезка дороги проводятся аналогичные расчеты. На основе результатов этих расчетов на рассматриваемых участках дороги либо выявляют концентрацию ДТП, либо устанавливают ее отсутствие.
Последовательно переходя от одного адреса ДТП к другому, продолжают осуществлять вышеперечисленные действия. Расчет завершают, когда достигается адрес последнего на рассматриваемом участке дороги ДТП.
Если местоположение смежных участков концентрации ДТП имеет совпадающие зоны, то их следует рассматривать в качестве единого участка концентрации ДТП.
В
Прил. 9.1 приведены примеры выявления участков концентрации ДТП данным способом.
При необходимости выявления участков концентрации ДТП на отдельных элементах (характерных участках) дорог с однородными условиями движения (кривые в плане, подъемы и спуски, зоны пересечений, железнодорожные переезды, населенные пункты и т.п.) определяют общее число ДТП на указанных участках (с учетом зон их влияния) и рассчитывают коэффициенты относительной аварийности. При этом в качестве критических значений показателей, позволяющих выявить участок концентрации ДТП (
табл. 1.1), используют значения, соответствующие протяженности рассматриваемого элемента (характерного участка) дороги.
П-8.2. Для выявления участков концентрации ДТП на дорогах с интенсивностью движения свыше 3000 авт./сут. в условиях отсутствия полных данных о местонахождении ДТП (отсутствует метровая привязка) допускается принимать упрощенный метод.
Данный метод заключается в определении количества ДТП, расчете коэффициента относительной аварийности на последовательно расположенных километровых участках дороги (участки дороги между двумя смежными километровыми знаками, в общем случае длина таких участков не равна 1000 м) и сравнении их с соответствующими критическими значениями, указанными в
табл. 1.1.
Если на рассматриваемом участке концентрации ДТП расстояние между километровыми указателями превышает 1200 м (например, в случае отсутствия километровых указателей), то вычисляют удельное число ДТП на длине, кратной общей длине рассматриваемого участка, по формуле

, (П-8.1)
где

- число ДТП на участке длиной

, шт.;

- абсолютное число ДТП на рассматриваемом участке, шт.;

- длина рассматриваемого участка, км;

- длина участка (наибольшая из приведенных в табл. 1.1), кратная длине

, км.
Коэффициент относительной аварийности вычисляется по
формуле (1.1) на всю длину рассматриваемого участка протяженностью

м.
В
Прил. 9.2 приведены примеры выявления участков концентрации ДТП данным способом.
П-8.3. Определение участков концентрации ДТП на дорогах с интенсивностью движения менее 3000 авт./сут. рекомендуется проводить следующим образом.
Последовательно рассматривают километровые участки дорог. Выявляют участки с двумя и более ДТП (каждый из выявленных участков может состоять из нескольких километровых участков), имеющие смежные километровые участки, на которых в течение расчетного периода не было зафиксировано ни одного ДТП. Если в состав какого-либо из выявленных участков попали участки, расположенные как в населенном пункте, так и вне его пределов, то в дальнейших расчетах они рассматриваются отдельно друг от друга.
Для всех выявленных участков вычисляют фактическую плотность ДТП по формуле

, (П-8.2)
где

- число ДТП, совершенных на i-м рассматриваемом участке в течение расчетного периода, шт.;

- протяженность i-го рассматриваемого участка дороги, км.
Если на каком-либо участке фактическая плотность ДТП при данной среднегодовой суточной интенсивности движения превышает значения, указанные в
табл. 1.2, то его относят к категории участков концентрации ДТП.
На каждом последующем этапе из числа выявленных участков, состоящих из нескольких (более одного) километровых участков, последовательно исключают из дальнейших расчетов крайние километровые участки с наименьшим числом ДТП. В случае, если на крайних километровых участках зафиксировано равное число ДТП, то из дальнейшего рассмотрения исключается тот из них, который имеет наибольшую протяженность. Если на крайнем километровом участке, исключаемом из расчета, зафиксировано более одного ДТП, то он также должен быть проверен на наличие концентрации ДТП. После исключения из состава рассматриваемых участков крайних километровых участков для них повторяются те же расчеты по вычисленной фактической плотности ДТП.
Расчет ведется до тех пор, пока последний из рассматриваемых участков не будет сведен до километрового участка. В
Прил. 9.3 приведены примеры выявления участков концентрации ДТП данным способом.
П-8.4. Для повышения точности определения участков с повышенным уровнем аварийности на территориальных дорогах со схожими техническими и транспортно-эксплуатационными характеристиками среднее число ДТП в год на 1 км необходимо вычислять по как можно большей статистической выборке данных о ДТП, совершенных на выделенной группе дорог.
Местоположение участков концентрации ДТП при использовании данного метода устанавливается следующим образом.
Определяют перечень дорог, на которых должны быть выявлены участки концентрации ДТП. Выбранные дороги объединяют в группы с однородными условиями движения по какой-либо значимой характеристике, например по категории, типу покрытия проезжей части.
Для каждой группы дорог вычисляется среднее число ДТП в год на 1 км по следующей формуле:

, (П-8.3)
где

- число ДТП, совершенных в рассматриваемой группе дорог в течение расчетного периода, шт.;

- общая протяженность дорог данной группы, км.
Максимальную длину одного участка концентрации ДТП принимают равной 3,0 км. Устанавливают участки, протяженность которых менее этой длины, а абсолютное число ДТП, совершенных на них за расчетный период, превышает значения, указанные в
колонке 4 табл. 1.3 для данной плотности ДТП. Затем максимальную длину проверяемых участков дорог уменьшают до 2,0 км. Аналогичным способом с использованием значений, приведенных в
табл. 1.3, выявляют участки концентрации ДТП, протяженность которых составляет от 1,0 до 2,0 км, и переходят к рассмотрению участков, длина которых не превышает 1,0 км. В
Прил. 9.4 приведены примеры выявления участков концентрации ДТП данным способом.
ВЫЯВЛЕНИЕ УЧАСТКОВ КОНЦЕНТРАЦИИ ДТП
ПРИМЕРЫ ВЫЯВЛЕНИЯ УЧАСТКОВ КОНЦЕНТРАЦИИ ДТП
МЕТОДОМ ПОСЛЕДОВАТЕЛЬНЫХ ПРИБЛИЖЕНИЙ ПРИ ИНТЕНСИВНОСТИ
ДВИЖЕНИЯ БОЛЕЕ 3000 АВТ./СУТ.
Пример 1
┌─────────┬─────┬─────┬─────┬────┬────┬────┬────┬────┬────┬────┬────┬────┬────┐
│Адреса │ │+200 │ │+680│+980│+050│ │+540│ │+790│+250│+110│ │
│ДТП, │ │+280 │ │ │ │+260│ │ │ │+840│+10 │+210│ │
│км + м │ │ │ │ │ │ │ │ │ │ │+250│ │ │
│ │ │ │ │ │ │ │ │ │ │ │+670│ │ │
│ │ │ │ │ │ │ │ │ │ │ │+960│ │ │
├─────────┼─────┴─────┴─────┴────┴────┴────┴────┴────┴────┴────┴────┴────┴────┤
│Интенсив-│ 6000 │
│ность │ │
│движения,│ │
│авт./сут.│ │
├─────────┼─────┬─────┬─────┬────┬────┬────┬────┬────┬────┬────┬────┬────┬────┤
│км │ │ │ │ │ │ │ │ │ │ │ │ │ │
├─────────┼─────┴─────┴─────┴────┴────┴────┴────┴────┴────┴────┴────┴────┴────┤
│ │ 1 2 3 4 5 6 7 8 10 11 12 13 │
├─────────┼─────┬─────┬─────┬────┬────┬────┬────┬────┬────┬────┬────┬────┬────┤
│Расстоя- │1000 │1000 │1000 │985 │1000│980 │1050│1000│1970│1100│970 │1000│980 │
│ние, м │ │ │ │ │ │ │ │ │ │ │ │ │ │
└─────────┴─────┴─────┴─────┴────┴────┴────┴────┴────┴────┴────┴────┴────┴────┘
Результаты расчета сведены в таблицу.
4-й этап (км 4 + 900)
На 4-м этапе выявлен участок концентрации ДТП (км 4 + 900 - км 5 + 300).
i-й этап (км 10 + 700)
На i-м этапе выявлен участок концентрации ДТП (км 10 + 700 - км 11 + 200).
i + 3 этап (км 11 + 200)
На i + 3 этапе выявлен участок концентрации ДТП (км 11 + 200 - км 12 + 030).
i + 4 этап (км 11 + 600)
На i + 4 этапе выявлен участок концентрации ДТП (км 11 + 200 - км 12 + 030).
i + 5 этап (км 11 + 900)
На i + 5 этапе выявлен участок концентрации ДТП (км 11 + 900 - км 12 + 230).
Результаты анализа: выявлено два участка концентрации ДТП с адресами: км 4 + 900 - км 5 + 300 (протяженностью 400 м) и км 10 + 700 - км 12 + 230 (протяженностью 1570 м).
Пример 2
┌─────────┬─────┬─────┬─────┬────┬────┬────┬────┬────┬────┬────┬────┬────┬────┐
│Адреса │ │+960 │+200 │+080│+100│ │ │ │ │+950│+080│ │ │
│ДТП, │ │ │+680 │+150│ │ │ │ │ │+900│ │ │ │
│км + м │ │ │+940 │ │ │ │ │ │ │ │ │ │ │
│ │ │ │ │ │ │ │ │ │ │ │ │ │ │
│ │ │ │ │ │ │ │ │ │ │ │ │ │ │
├─────────┼─────┴─────┴─────┴────┴────┴────┴────┼────┴────┴────┴────┴────┴────┤
│Интенсив-│ 9000 │ 4000 │
│ность │ │ │
│движения,│ │ │
│авт./сут.│ │ │
├─────────┼─────┬─────┬─────┬────┬────┬────┬────┼────┬────┬────┬────┬────┬────┤
│км │ │ │ │ │ │ │ │ │ │ │ │ │ │
├─────────┼─────┴─────┴─────┴────┴────┴────┴────┴────┴────┴────┴────┴────┴────┤
│ │ 1 2 3 4 5 6 7 8 9 10 11 12 │
├─────────┼─────┬─────┬─────┬────┬────┬────┬────┬────┬────┬────┬────┬────┬────┤
│Расстоя- │1000 │1000 │1000 │1000│1000│1000│1050│990 │1970│1100│980 │990 │1000│
│ние, м │ │ │ │ │ │ │ │ │ │ │ │ │ │
└─────────┴─────┴─────┴─────┴────┴────┴────┴────┴────┴────┴────┴────┴────┴────┘
Результаты расчета сведены в таблицу.
1-й этап (км 1 + 900)
Расстояние, м | Число ДТП, шт. | Коэффициент относительной аварийности, 1 млн. авт.-км | Выявлена концентрация ДТП |
1200 | 3 | | нет |
800 | 3 | | нет |
600 | 3 | | нет |
400 | 3 | | нет |
200 | 2 | | нет |
На 1-м этапе участков концентрации ДТП не выявлено.
2-й этап (км 2 + 200)
На 2-м этапе выявлен участок концентрации ДТП (км 2 + 200 - км 3 + 200).
3-й этап (км 2 + 600)
На 3-м этапе выявлен участок концентрации ДТП (км 2 + 600 - км 3 + 200).
4-й этап (км 2 + 900)
На 4-м этапе выявлен участок концентрации ДТП (км 2 + 900 - км 3 + 300).
5-й этап (км 9 + 900)
На 5-м этапе выявлен участок концентрации ДТП (км 9 + 900 - км 10 + 100).
Результаты анализа: выявлено два участка концентрации ДТП с адресами: км 2 + 200 - км 3 + 300 (протяженностью 1100 м) и км 9 + 900 - км 10 + 100 (протяженностью 200 м).
ПРИМЕРЫ ВЫЯВЛЕНИЯ УЧАСТКОВ КОНЦЕНТРАЦИИ ДТП НА ДОРОГАХ
С ИНТЕНСИВНОСТЬЮ ДВИЖЕНИЯ СВЫШЕ 3000 АВТ./СУТ.
В УСЛОВИЯХ НЕПОЛНОТЫ ИСХОДНЫХ ДАННЫХ О МЕСТОПОЛОЖЕНИИ ДТП
Пример 1
Результаты расчета сведены в таблицу.
Примечание. Тип участков концентрации ДТП:
С - стабильный, П - прогрессирующий, З - затухающий.
Степень опасности участков концентрации ДТП:
М - малоопасный, О - опасный, Оч - очень опасный.
Пример 2
Результаты расчета сведены в таблицу.
Примечание. Тип участков концентрации ДТП:
С - стабильный; П - прогрессирующий; З - затухающий.
Степень опасности участков концентрации ДТП:
М - малоопасный, О - опасный; Оч - очень опасный.
Пример 3
Результаты расчета сведены в таблицу.
Примечание. Тип участков концентрации ДТП:
С - стабильный; П - прогрессирующий; З - затухающий.
Степень опасности участков концентрации ДТП:
М - малоопасный; О - опасный; Оч - очень опасный.
ПРИМЕРЫ УЧАСТКОВ КОНЦЕНТРАЦИИ ДТП НА ДОРОГАХ
С ИНТЕНСИВНОСТЬЮ ДВИЖЕНИЯ МЕНЕЕ 3000 АВТ./СУТ.
Пример 1
Выявлено три рассматриваемых участка дороги с адресами: км 2-5, км 12-13 и км 13-15.
Вычисляется фактическая плотность ДТП для рассматриваемых участков:

;

;

.
По вычисленным значениям фактической плотности ДТП и наблюдаемой интенсивности движения с использованием табл. 2.2 определяют участки концентрации ДТП.
Результаты анализа: выявлено три участка концентрации ДТП с адресами: км 2-5 (протяженностью 2930 м), км 12-13 (протяженностью 1000 м в пределах населенного пункта) и км 13-15 (протяженностью 1940 м).
Пример 2
Выявлено три рассматриваемых участка дороги с адресами: км 5-7, км 10-12 и км 12-14.
Вычисляется фактическая плотность ДТП для рассматриваемых участков:

;

;

.
По вычисленным значениям фактической плотности ДТП и наблюдаемой интенсивности движения с использованием табл. 2.2 определяют участки концентрации ДТП.
Результаты анализа: выявлено три участка концентрации ДТП с адресами: км 5-7 (протяженностью 1980 м), км 12-14 (протяженностью 1970 м).
Пример 3
Выявлен один рассматриваемый участок дороги с адресом: км 5-10.
Вычисляется фактическая плотность ДТП для рассматриваемых участков:

.
По вычисленным значениям фактической плотности ДТП и наблюдаемой интенсивности движения с использованием табл. 2.2 определяют участки концентрации ДТП.
Результаты анализа: выявлено три участка концентрации ДТП с адресами: км 5-11 (протяженностью 4860 м).
Пример 4
Выявлен один рассматриваемый участок дороги с адресами: км 2-6 и км 9-16.
Этап 1. Вычисляется фактическая плотность ДТП для рассматриваемых участков:

;

;
Этап 2. Рассматривается участок с адресом км 9-15.

;
Этап 3. Рассматривается участок с адресом км 10-15.

;
Этап 4. Рассматривается участок с адресом км 10-14.

;
Этап 5. Рассматривается участок с адресом км 10-13.
| | ИС МЕГАНОРМ: примечание. Формула дана в соответствии с официальным текстом документа. | |

;
Этап 6. Рассматривается участок с адресом км 13-14.

.
По вычисленным значениям фактической плотности ДТП и наблюдаемой интенсивности движения с использованием табл. 2.2 определяют участки концентрации ДТП.
Результаты анализа: выявлено два участка концентрации ДТП с адресами: км 2-6 (протяженностью 3090 м) и км 13-14 (протяженностью 1000 м).
ПРИМЕРЫ ВЫЯВЛЕНИЯ УЧАСТКОВ КОНЦЕНТРАЦИИ
ДТП БЕЗ УЧЕТА ИНТЕНСИВНОСТИ ДВИЖЕНИЯ
Пример 1
Условные обозначения: участок выявлен как участок концентрации ДТП:
* - на первом этапе, + - на втором этапе, # - на третьем этапе.
Общая протяженность дороги L = 17330 м.
Общее число ДТП за расчетный период N = 13.
Среднее число ДТП в год на 1 км для дорог данной группы n = 0,22.
Этап 1. Протяженность рассматриваемых участков L = 3000 м.
1
Выявлены как участки концентрации ДТП:
участки не выявлены.
Этап 2. Протяженность рассматриваемых участков L = 2000 м.
2
Выявлены как участки концентрации ДТП:
участки не выявлены.
Этап 3. Протяженность рассматриваемых участков L = 1000 м.
3
Выявлены как участки концентрации ДТП:
км 2-3.
Результаты анализа: выявлен участок концентрации ДТП с адресом км 2-3 (протяженностью 970 м).
Пример 2
Условные обозначения: участок выявлен как участок концентрации ДТП:
* - на первом этапе, + - на втором этапе, # - на третьем этапе.
Общая протяженность дороги L = 27190 м.
Общее число ДТП за расчетный период N = 20.
Среднее число ДТП в год на 1 км для дорог данной группы n = 0,26.
Этап 1. Протяженность рассматриваемых участков

= 3000 м.
Выявлены как участки концентрации ДТП:
км 18-21.
Этап 2. Протяженность рассматриваемых участков

= 2000 м.
Выявлены как участки концентрации ДТП:
км 3-4.
Этап 3. Протяженность рассматриваемых участков

= 1000 м.
Выявлены как участки концентрации ДТП:
км 24-25.
Результаты анализа: выявлено три участка концентрации ДТП с адресами: км 3-4 (протяженностью 1000 м), км 18-21 (протяженностью 2980 м) и км 24-25 (протяженностью 990 м).
Пример 3
Условные обозначения: участок выявлен как участок концентрации ДТП:
* - на первом этапе, + - на втором этапе, # - на третьем этапе.
Общая протяженность дороги L = 25940 м.
Общее число ДТП за расчетный период N = 18.
Среднее число ДТП в год на 1 км для дорог данной группы n = 0,21.
Этап 1. Протяженность рассматриваемых участков

= 3000 м.
Выявлены как участки концентрации ДТП:
км 3-6.
Этап 2. Протяженность рассматриваемых участков

= 2000 м.
Выявлены как участки концентрации ДТП:
км 2-4, км 21-23.
Этап 3. Протяженность рассматриваемых участков

= 1000 м.
Выявлены как участки концентрации ДТП:
участки не выявлены.
Результаты анализа: выявлено два участка концентрации ДТП с адресами: км 2-6 (протяженностью 3700 м), км 21-23 (протяженностью 1990 м).
Пример 4
Условные обозначения: участок выявлен как участок концентрации ДТП:
* - на первом этапе, + - на втором этапе, # - на третьем этапе.
Общая протяженность дороги L = 28650 м.
Общее число ДТП за расчетный период N = 23.
Среднее число ДТП в год на 1 км для дорог данной группы n = 0,29.
Этап 1. Протяженность рассматриваемых участков

= 3000 м.
Выявлены как участки концентрации ДТП:
км 6-9.
Этап 2. Протяженность рассматриваемых участков

= 2000 м.
Выявлены как участки концентрации ДТП:
км 16-18.
Этап 3. Протяженность рассматриваемых участков

= 1000 м.
Выявлены как участки концентрации ДТП:
участки не выявлены.
Результаты анализа: выявлено два участка концентрации ДТП с адресами: км 6-9 (протяженностью 2960 м), км 16-18 (протяженностью 1600 м).
РАСЧЕТ СУТОЧНОЙ И ЧАСОВОЙ
ИНТЕНСИВНОСТИ ДВИЖЕНИЯ В ТЕЧЕНИЕ ГОДА
П-10.1. При проектировании новых и реконструкции эксплуатирующихся дорог одним из главных параметров, используемых в технико-экономических расчетах, является интенсивность движения. Суточная интенсивность движения используется для расчетов дорожной одежды и экономических показателей, а часовая - для расчета пропускной способности дороги, разработки мероприятий по повышению безопасности движения.
П-10.2. Среднегодовую суточную интенсивность движения определяют в соответствии с Рекомендациями ВСН 42-85 Минтрансстроя СССР ("Инструкция по проведению экономических изысканий для проектирования автомобильных дорог").
П-10.3. На эксплуатирующихся дорогах часовая интенсивность определяется непосредственными наблюдениями или по результатам автоматического учета движения.
Интенсивность движения изменяется в течение суток, по дням недели, по месяцам. Каждое из этих изменений характеризуется своим коэффициентом неравномерности движения, определяемым как отношение часового объема движения к суточному (

), суточного объема к объему за неделю (

), месячного объема движения к годовому (

).
Суточная среднегодовая интенсивность определяется через часовую интенсивность:

авт./сут. (П-10.1)
П-10.4. При отсутствии данных учета движения на соответствующих дорогах или проектировании новых дорог часовая интенсивность движения может быть рассчитана по формуле

авт./ч, (П-10.2)
где

- среднегодовая суточная интенсивность движения, авт./сут.;

- коэффициенты неравномерности интенсивности движения соответственно по часам суток, дням недели, месяцам года, определяются по табл. П-10.1 как ориентировочно средние и могут уточняться на основе данных учета движения.
Таблица П-10.1
Коэффициенты неравномерности движения
┌─────┬────┬────┬────┬────┬─────┬─────┬────┬────┬─────┬─────┬────┬────┬─────┬────┬────┬────┬─────┬─────┬────┬────┬────┬────┬────┬────┐
│Часы │1 │2 │3 │4 │5 │6 │7 │8 │9 │10 │11 │12 │13 │14 │15 │16 │17 │18 │19 │20 │21 │22 │23 │24 │
│суток│ │ │ │ │ │ │ │ │ │ │ │ │ │ │ │ │ │ │ │ │ │ │ │ │
├─────┼────┼────┼────┼────┼─────┼─────┼────┼────┼─────┼─────┼────┼────┼─────┼────┼────┼────┼─────┼─────┼────┼────┼────┼────┼────┼────┤
│K │0,02│0,02│0,02│0,02│0,022│0,024│0,04│0,06│0,055│0,055│0,05│0,05│0,052│0,05│0,06│0,06│0,065│0,065│0,05│0,05│0,04│0,03│0,03│0,02│
│ t │ │ │ │ │ │ │ │ │ │ │ │ │ │ │ │ │ │ │ │ │ │ │ │ │
├─────┼────┴────┴────┴────┴──┬──┴─────┴────┴─┬──┴─────┴─────┴──┬─┴────┴─────┴──┬─┴────┴────┴──┬──┴─────┴────┴──┬─┴────┴────┴────┴────┤
│Дни │понедельник │вторник │среда │четверг │пятница │суббота │воскресенье │
│неде-│ │ │ │ │ │ │ │
│ли │ │ │ │ │ │ │ │
├─────┼──────────────────────┼───────────────┼─────────────────┼───────────────┼──────────────┼────────────────┼─────────────────────┤
│K │0,14 │0,14 │0,14 │0,145 │0,16 │0,15 │0,13 │
│ н │ │ │ │ │ │ │ │
├─────┼─────────┬─────────┬──┴─────┬─────────┴┬───────────┬────┴────┬──────────┴┬──────────┬──┴───────┬────────┼───────────┬─────────┤
│Меся-│январь │февраль │март │апрель │май │июнь │июль │август │сентябрь │октябрь │ноябрь │декабрь │
│цы │ │ │ │ │ │ │ │ │ │ │ │ │
│года │ │ │ │ │ │ │ │ │ │ │ │ │
├─────┼─────────┼─────────┼────────┼──────────┼───────────┼─────────┼───────────┼──────────┼──────────┼────────┼───────────┼─────────┤
│K │0,04 │0,03 │0,045 │0,085 │0,11 │0,12 │0,13 │0,12 │0,11 │0,11 │0,06 │0,04 │
│ г │ │ │ │ │ │ │ │ │ │ │ │ │
└─────┴─────────┴─────────┴────────┴──────────┴───────────┴─────────┴───────────┴──────────┴──────────┴────────┴───────────┴─────────┘
Среднегодовой коэффициент неравномерности движения может быть принят равным 0,083.