Главная // Актуальные документы // МетодикаСПРАВКА
Источник публикации
М.: НИИОСП Госстроя СССР, 1985
Примечание к документу
Название документа
"Рекомендации по инженерно-геологическим изысканиям и проектированию оснований зданий и сооружений на намывных территориях"
"Рекомендации по инженерно-геологическим изысканиям и проектированию оснований зданий и сооружений на намывных территориях"
ПО ИНЖЕНЕРНО-ГЕОЛОГИЧЕСКИМ ИЗЫСКАНИЯМ И ПРОЕКТИРОВАНИЮ
ОСНОВАНИЙ ЗДАНИЙ И СООРУЖЕНИЙ НА НАМЫВНЫХ ТЕРРИТОРИЯХ
Настоящие Рекомендации разработаны ордена Трудового Красного Знамени научно-исследовательским институтом оснований и подземных сооружений имени Н.М. Герсеванова Госстроя СССР (д-р техн. наук П.А. Коновалов, кандидаты техн. наук В.В. Михеев, Н.С. Никифорова), Институтом строительства и архитектуры Госстроя БССР (кандидаты техн. наук В.Е. Сеськов, Ю.В. Феофилов), Белорусским ордена Трудового Красного Знамени политехническим институтом МинВУЗа БССР (д-р техн. наук, проф. Е.Ф. Винокуров, канд. техн. наук П.Н. Макарук), Московским ордена Трудового Красного Знамени инженерно-строительным институтом имени В.В. Куйбышева МинВУЗа СССР (канд. техн. наук И.В. Дудлер), Ленинградским ордена Ленина политехническим институтом имени М.И. Калинина МинВУЗа РСФСР (д-р техн. наук, проф. П.Л. Иванов), Киевским ордена Трудового Красного Знамени инженерно-строительным институтом МинВУЗа УССР (проф. С.А. Слюсаренко, кандидаты техн. наук Г.П. Степаненко, М.А. Глотова), Горьковским ордена Трудового Красного Знамени инженерно-строительным институтом имени В.П. Чкалова МинВУЗа РСФСР (проф. В.И. Финаев), Тюменским инженерно-строительным институтом МинВУЗа РСФСР (канд. техн. наук С.Я. Кушнер), Якутским научно-исследовательским филиалом Забайкальского ПромстройНИИпроекта Минвостокстроя (канд. техн. наук Л.Т. Роман, инж. В.Л. Полещук), Украинским проектно-технологическим и конструкторским институтом по специальным работам "УкрПТКИгидроспецстрой" Минмонтажспецстроя СССР (канд. техн. наук М.Ф. Новиков, инж. А.Л. Спивак) на основе результатов исследований и опыта проектирования и строительства на территориях Москвы, Ленинграда, Украины, Белоруссии, Поволжья, Западной и Восточной Сибири. При составлении раздела по инженерно-геологическим изысканиям использовались материалы ПНИИСа по инженерным, изысканиям в строительстве Госстроя СССР (д-р техн. наук, проф. Р.С. Зиангиров, канд. техн. наук А.П. Афонин).
Рекомендации содержат дополнительные требования к инженерно-геологическим изысканиям, а также основные указания по проектированию оснований на намывных территориях.
Работа предназначается для организаций, ведущих изыскательские и проектные работы в районах, где осуществляется намыв грунта.
Общая редакция Рекомендаций осуществлена д-ром техн. наук П.А. Коноваловым. Замечания и предложения по Рекомендациям просьба направлять по адресу: 109389, Москва, 2-я Институтская ул., 6, НИИ оснований и подземных сооружений им. Н.М. Герсеванова.
1.1. Настоящие рекомендации распространяются на инженерно-геологические изыскания и проектирование оснований и фундаментов жилых гражданских и промышленных зданий и сооружений на намывных территориях и являются развитием главы
СНиП 2.02.01-83 "Основания зданий и сооружений" в части особенностей проектирования оснований зданий и сооружений, возводимых на намывных грунтах, не подвергавшихся механическому уплотнению и упрочнению.
1.2. Основания зданий, частично и целиком состоящие из намывных грунтов, надлежит проектировать согласно указаниям: главы
СНиП 2.02.01-83, "
Пособия по проектированию оснований зданий и сооружений", главы
СНиП II-17-77 "Свайные фундаменты. Нормы проектирования" с учетом положений настоящих рекомендаций.
1.3. Инженерно-геологические изыскания должны производиться в соответствии с общими требованиями, установленными главой СНиП по инженерным изысканиям для строительства, требованиями Инструкции по инженерным изысканиям для промышленного строительства (СН 225-79), с учетом положений настоящих рекомендаций.
1.4. Рекомендации не распространяются на проектирование: оснований и фундаментов в сейсмических и закарстованных районах, оснований гидротехнических сооружений, дорог, аэродромных покрытий, фундаментов машин с динамическими нагрузками, а также на просадочные и засоленные грунты.
1.5. В настоящих рекомендациях принята следующая терминология:
намывная территория - пространство, огражденное в плане дамбами обвалования или откосами и заполненное грунтом гидромеханизированным способом;
намывные грунты - искусственные грунты, образуемые в процессе переукладки природного грунта гидромеханизированным способом;
свеженамытые грунты - грунты в начальный период после намыва, находящиеся в стадии уплотнения и упрочнения;
возраст намывного грунта - время в годах, прошедшее после окончания намыва грунта;
дамба обвалования - первичное ограждающее сооружение карты намывной территории, возводимое из местных грунтов или других материалов;
карта намыва - участок, ограниченный в плане дамбой обвалования, на котором производится намыв грунта из распределительного пульповода;
пульпа - смесь грунта с водой;
пульповоды - трубы или лотки, предназначенные для гидравлического транспортирования грунта;
распределительные пульповоды - пульповоды, проложенные на карте намыва;
магистральные пульповоды - пульповоды, проложенные от карьера до участка намыва;
намывное основание - основание, сжимаемая толща которого полностью или частично сложена намывными грунтами.
2. ИНЖЕНЕРНО-ГЕОЛОГИЧЕСКАЯ ОЦЕНКА НАМЫВНЫХ ТЕРРИТОРИЙ
2.1. В геологическом строении верхней части разрезов намывных территорий, исключая районы с вечномерзлыми грунтами, принимают участие: верхнечетвертичные и современные болотные, озерно-болотные, озерные, аллювиальные, озерно-аллювиальные отложения.
2.2. Для намыва можно использовать карьеры, сложенные песками различной крупности, в том числе пылеватыми с содержанием фракций Ф < 0,1 мм не более 50%.
2.3. Для предварительных расчетов оснований зданий и сооружений II и III классов допускается определение нормативных значений физико-механических свойств намывных грунтов по табл. 1, составленной на основе статистической обработки данных лабораторных и полевых исследований грунтов. Для окончательных расчетов оснований зданий и сооружений II и III класса эта таблица может быть использована с коэффициентами надежности согласно
п. 2.16 СНиП 2.02.01-83.
Виды песчаных намывных грунтов | Характеристики грунтов | Нормативные характеристики грунтов при коэффициенте пористости e |
0,45 | 0,55 | 0,65 | 0,75 | 0,85 | 0,95 |
Средней крупности | Cн, кПа | 8 | 4 | 3 | 2 | - | - |
 , град | 39 | 37 | 33 | 30 | - | - |
E, МПа | 45 | 32 | 25 | 17 | - | - |
Мелкие | Cн, кПа | 10 | 6 | 4 | 3 | 1 | - |
 , град | 36 | 33 | 30 | 27 | 25 | - |
E, МПа | 35 | 27 | 19 | 15 | 12 | - |
Пылеватые | Cн, кПа | - | 10 | 7 | 5 | 3 | 2 |
 , град | - | 33 | 29 | 25 | 23 | 20 |
E, МПа | - | 20 | 16 | 10 | 8 | 5 |
Примечание.
Таблица составлена для намывных грунтов в "возрасте" не менее 4,0 года.
2.4. Открытые торфы на заболоченных и заторфованных территориях обычно представлены верховыми и низинными торфами с различной степенью разложения. Нормативные значения физико-механических характеристик открытого торфа приведены в табл. 2, а торфов погребенных - в
табл. 3.
Таблица 2
Характеристика | Нормативные значения физико-механических характеристик торфа при степени разложения Dpd, % |
Верхового | Низинного |
| | | > 40 | | | > 40 |
Влажность при полной влагоемкости wn | 14,5 | 12,5 | 11,8 | 10,0 | 11,5 | 7,5 | 5,8 |
Плотность сухого грунта  , г/см 3 | 1,62 | 1,56 | 1,49 | 1,40 | 1,58 | 1,51 | 1,50 |
Модуль деформации при полной влагоемкости Eo, МПа | 0,11 | 0,15 | 0,23 | 0,25 | 0,15 | 0,24 | 0,31 |
Коэффициент бокового давления  | 0,12 | 0,19 | 0,28 | 0,35 | 0,22 | 0,43 | 0,50 |
Коэффициент консолидации Cv, м2/год | 10,0 | 5,0 | 2,0 | 1,0 | 5,0 | 2,0 | 1,0 |
Характеристика | Нормативные значения физико-механических характеристик погребенного торфа при степени разложения Dpd, % |
20 - 30 | 31 - 40 | 41 - 60 |
Плотность торфа  , г/см 3 | 1,0 | 1,05 | 1,2 |
Плотность сухого грунта  , г/см 3 | 1,5 | 1,6 | 1,8 |
Природная влажность w | 3,0 | 2,2 | 1,7 |
Коэффициент пористости e | 5,5 | 4,0 | 3,0 |
Угол внутреннего трения  , град | 22 | 12 | 10 |
Удельное сцепление C, кПа | 20 | 25 | 30 |
Модуль деформации E, МПа | 1,1 | 2,0 | 3,0 |
Коэффициент бокового давления  | 0,24 | 0,28 | 0,32 |
2.5. Содержание в грунтах растительных остатков в полуразложившемся или неразложившемся состоянии, а также продуктов жизнедеятельности и распада болотной биосферы предопределяет проявление в них тиксотропного разупрочнения при динамических или вибрационных воздействиях на грунты.
Физико-механические свойства грунтов со степенью заторфованности 0,05 < Jom <= 0,25 приведены в табл. 4.
Таблица 4
Пределы нормативных значений консистенции грунтов | Обозначение характеристик | Нормативные значения характеристик пылеватых глинистых грунтов при коэффициенте пористости e |
Jom = 0,05 - 0,1 | Jom = 0,1 - 0,25 |
0,65 | 0,75 | 0,85 | 0,95 | 1,05 | 1,15 | 1,25 | 1,35 |
0 <= IL <= 0,25 | E, МПа | 13,5 | 12 | 11 | 10 | 8,5 | 8 | 7 | 5,5 |
 , град | 21 | 21 | 20 | 16 | 15 | - | - | - |
C, КПа | 29 | 33 | 37 | 45 | 48 | - | - | - |
0,25 <= IL <= 0,5 | E, МПа | 11 | 10 | 8,5 | 7,5 | 7 | 6 | 5,5 | 5 |
 , град | 21 | 21 | 20 | 17 | 15 | 16 | 15 | 13 |
C, КПа | 21 | 22 | 24 | 31 | 33 | 36 | 39 | 42 |
0,5 <= IL <= 0,75 | E, МПа | 8,5 | 7 | 6,5 | 5,5 | 5 | 5 | 4,5 | 4 |
 , град | 21 | 21 | 21 | 18 | 18 | 17 | 16 | 15 |
C, КПа | 18 | 19 | 19 | 21 | 23 | 24 | 26 | 28 |
0,75 <= IL <= 1 | E, МПа | 6 | 5 | 4,5 | 4,2 | 3 | 3 | 3 | - |
 , град | - | - | - | 18 | 18 | 18 | 18 | - |
C, КПа | - | - | - | 15 | 16 | 17 | 18 | - |
Примечания. 1. Для пылеватых и глинистых грунтов с промежуточными значениями допускается определять величины E,

, C, пользуясь интерполяцией.
2. Характеристики пылеватых и глинистых грунтов относятся к озерным, болотным, озерно-болотным, озерно-ледниковым и аллювиальным четвертичным отложениям.
2.6. При проектировании оснований должны использоваться расчетные значения характеристик, устанавливаемых на основе непосредственных испытаний грунтов в полевых и лабораторных условиях.
2.7. Допускается определять физические характеристики намывных песков по установленным корреляционным связям их с зерновым составом
(Прил. 1).
3. ДОПОЛНИТЕЛЬНЫЕ ТРЕБОВАНИЯ
К ИНЖЕНЕРНО-ГЕОЛОГИЧЕСКИМ ИЗЫСКАНИЯМ
3.1. Инженерно-геологические изыскания на намывных территориях надлежит проводить в соответствии с требованиями главы СНиП "Инженерные изыскания для строительства", "Инструкции по инженерным изысканиям для промышленного строительства" (СН 225-79) и настоящего раздела рекомендаций.
3.2. На намывных территориях инженерно-геологические изыскания должны проводиться с учетом конструктивных и эксплуатационных особенностей проектируемых зданий и сооружений и специфики формирования такого рода территорий:
высокого уровня подземных вод;
неоднородности напластований грунтов по глубине и в плане;
наличия в верхней части напластований намывного грунта, свойства которого могут значительно изменяться во времени;
наличия в подстилающих намывной грунт слоях сильносжимаемых грунтов, процесс стабилизации которых во времени не завершился.
3.3. Изыскания на площадках, подготавливаемых к строительству намывом, должны вестись в 2 этапа:
на I этапе ведутся инженерно-геологические изыскания грунтов площадки с целью последующей разработки проекта инженерной подготовки территории путем намыва грунта гидромеханизированным способом, расчета сроков консолидации и величины конечной осадки подстилающей толщи сильносжимаемых грунтов, пригруженных намывным слоем, а также оконтуривание в плане открытых отложений торфа, заторфованного грунта, сапропеля, ила и т.п. (инженерно-геологическая съемка);
на II этапе (в период стабилизации осадок грунтов намывной территории или после ее завершения) ведутся изыскания с целью последующей привязки конкретных зданий или сооружений с учетом расположения контуров линз сильносжимаемого грунта и выбора расчета рационального типа оснований и конструкций фундаментов, прогнозирования геологических процессов в период строительства и эксплуатации сооружений, интенсивности и способов проведения строительно-монтажных работ (инженерно-геологическая разведка).
3.4. При инженерно-геологической съемке для составления литологического разреза оценку состава грунтов основания допускается производить по результатам испытаний методом статического зондирования с использованием табл. 5.
Таблица 5
Вид грунта | Удельное сопротивление конусу зонда Pq, МПа | Природная влажность w | Коэффициент Пуассона  |
Торф | | | 0,33 - 0,42 |
Заторфованные грунты | | | 0,32 - 0,35 |
Сапропели | | | 0,40 - 0,50 |
Илы | | | 0,42 - 0,45 |
Примечание. В числителе приведены значения характеристик грунтов, залегающих с поверхности, в знаменателе - для погребенных грунтов.
3.5. Плотность сложения свеженамытых песчаных грунтов в возрасте менее 0,5 года может быть оценена на 1 стадии инженерно-геологических изысканий методом зондирования в соответствии с табл. 6.
Таблица 6
Вид песчаного грунта | Степень влажности Sr | Результаты зондирования | Плотность сложения |
Условное динамическое сопротивление грунта Pд, МПа | Удельное сопротивление грунта конусу зонда при статическом зондировании Pq, МПа |
Пески мелкие и средней крупности | Маловлажные и влажные | Pд < 3 | Pq <= 4 | Рыхлые |
3 < Pд < 11 | 4 < Pq < 12 | Средней плотности |
Pд >= 11 | Pq >= 12 | Плотные |
Водонасыщенные | | Pq < 3 | Рыхлые |
| 3 < Pq < 10 | Средней плотности |
| Pq >= 10 | Плотные |
3.6. Оценку динамической устойчивости намывных грунтов целесообразно осуществлять в соответствии с "
Рекомендациями по оценке плотности и возможности разжижения малосвязных грунтов методом взрывного зондирования" (П 02-82), Л., ВНИИГ-ЛПИ, 1982.
3.7. В материалах отчета по инженерно-геологическим изысканиям на намывных территориях, кроме основных показателей состава и физико-механических свойств грунтов, необходимо приводить значения:
для слабых грунтов - относительное содержание растительных остатков J
om; степень разложения органических веществ D
pd, %; коэффициент консолидации грунта C
v, м
2/год, см
2/год, определяемый согласно
методике, изложенной в Прил. 2;
для намывных грунтов - вид исходного материала, возраст и способ намыва, коэффициент неоднородности V; степень влажности Sr; коэффициент фильтрации Kф.
3.8. Намывные пески обладают способностью до двух лет после намыва интенсивно менять свои физико-механические свойства. В связи с этим на расчетные значения характеристик намывных грунтов должна вводиться поправка, учитывающая разницу во времени между периодом инженерно-геологических изысканий и моментом закладки фундаментов.
3.9. Численные значения механических характеристик намывных грунтов для конкретных строительных площадок рекомендуется определять по эмпирическим зависимостям, но параметры в этих зависимостях следует находить в результате последовательных двукратных испытаний грунтов на строительной площадке, при этом сроки испытаний намывных грунтов следует выбирать такими, чтобы от завершения гидронамыва и до начала строительства зданий или сооружений обеспечить последовательные двукратные испытания примерно через равные промежутки времени.
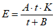
3.10. Нормативное значение модуля деформации E, МПа, пылеватых, мелких и среднезернистых намывных песков для любого их "возраста" после гидронамыва в пределах 0,5 <= t <= 4,5 рекомендуется определять по формуле:

, (1)
где

;

;
K - коэффициент, равный 1 МПа;
K1 - коэффициент, равный 1/год;
A, B - безразмерные параметры;
E1, E2 - модули деформации, полученные в результате последовательных во времени двукратных испытаний намывных грунтов на одной в той же строительной площадке в период времени t1 и t2 (в годах) после гидронамыва.
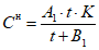
3.11. Значение нормативного удельного сцепления Cн, МПа, пылеватых, мелких и среднезернистых намывных грунтов в пределах 0,5 <= t <= 4,5 вычисляется по формуле:

, (2)
где

;

;
C1, C2 - нормативные удельные сцепления, полученные в результате испытаний намывных грунтов на одной и той же строительной площадке в период времени t1 и t2 (в годах) после гидронамыва.
3.12. Нормативный угол внутреннего трения

, град, пылеватых, мелких и среднезернистых намывных песков в пределах 0,5 <= t <= 4,5 находится по формуле:

, (3)
где

;

;

- стабилизированное значение угла внутреннего трения намывных песков, которое допускается определять по
табл. 1;

,

- нормативные значения углов внутреннего трения, полученные в результате испытаний намывных грунтов на одной и той же строительной площадке в период времени t
1 и t
2 после гидронамыва.
3.13. Для предварительных расчетов допускается принимать значения параметров A, B, A
1, B
1, C, Д,

по табл. 7.
Таблица 7
Пески намывные | Параметры грунта | Коэффициенты пористости |
0,50 | 0,55 | 0,60 | 0,65 | 0,70 |
Значения параметров |
1 | 2 | 3 | 4 | 5 | 6 | 7 |
Средней крупности | A | 48 | 43 | 36 | 28 | 27 |
B | 1,2 | 1,1 | 0,9 | 0,9 | 0,9 |
A1 | 0,007 | 0,006 | 0,005 | 0,004 | 0,003 |
B1 | 1,3 | 1,3 | 1,2 | 1,2 | 1,1 |
| 39 | 38 | 36,5 | 35 | 33 |
C | 1,6 | 1,6 | 1,7 | 1,8 | 1,9 |
D | 2,1 | 2,0 | 2,0 | 1,9 | 1,9 |
Мелкие | A | 41 | 36 | 30 | 23 | 19 |
B | 1,5 | 1,3 | 1,1 | 1,0 | 0,9 |
A1 | 0,009 | 0,007 | 0,005 | 0,004 | 0,003 |
B1 | 1,0 | 0,8 | 0,8 | 0,7 | 0,6 |
| 36 | 34 | 32 | 30 | 28 |
C | 0,8 | 0,9 | 1,0 | 1,1 | 1,1 |
D | 2,0 | 1,9 | 1,9 | 1,8 | 1,7 |
4. ОСОБЕННОСТИ ПРОЕКТИРОВАНИЯ ОСНОВАНИЙ И ФУНДАМЕНТОВ
4.1. Основания, сложенные намывными грунтами, должны проектироваться с учетом их неоднородности (многослойности, изменчивости состава и свойств по глубине и простиранию), способности изменять физико-механические свойства во времени, а также при колебании уровня подземных вод, возможности разжижения при вибрационных воздействиях, наличия в подстилающих намывной грунт слоях сильносжимаемых грунтов, процесс стабилизации которых во времени не завершился.
4.2. Расчет оснований зданий и сооружений, включающих намывные грунты, производится в соответствии с главой
СНиП 2.02.01-83 по двум группам предельных состояний: по несущей способности и по деформациям.
4.3. Величина расчетного сопротивления R на намывные грунты основания вычисляется в соответствии с главой
СНиП 2.02.01-83 и учетом достижения удельным сцеплением C и углом внутреннего трения

намывного грунта соответствующего значения на момент монтажа фундаментов, определяемого
формулами (2) и
(3) настоящих Рекомендаций.
4.4. Величина деформации, определяемая расчетом по указаниям главы
СНиП 2.02.01-83, с учетом характера изменения модуля деформации намывного грунта во времени (см.
п. 3.9 настоящих Рекомендаций), не должна превышать предельно допустимой величины совместной деформации основания и здания, установленной
прил. 4 главы СНиП 2.02.01-83.
4.5. Если расчетные деформации намывного основания больше предельных или несущая способность основания недостаточна, должны предусматриваться следующие мероприятия в соответствии с указанием
пп. 2.67 -
2.71 главы СНиП 2.02.01-83:
уплотнение намывных грунтов вибрационными машинами и катками;
глубинное гидровиброуплотнение;
использование энергии взрыва;
трамбование;
избыточный намыв грунта на площадь застройки;
армирование намывного грунта;
закрепление намывного грунта;
устройство вертикальных дрен и прорезей;
конструктивные мероприятия.
4.6. Разрешается превышение предельных максимальных абсолютных и средних осадок зданий при обязательном обеспечении требований
п. 2.53 СНиП 2.02.01-83 и специальных мероприятий, гарантирующих нормальную эксплуатацию вводов сетей водопровода, теплофикации, газопровода, выпусков канализации и дренажа. С этой целью следует предусмотреть строительный подъем на величину ожидаемых осадок здания с тем, чтобы после стабилизации осадок вводы инженерных коммуникаций в здания были на проектных отметках.
4.7. Не допускается использование отдельно стоящих и прерывистых ленточных фундаментов на намывном основании, включающем в пределах сжимаемой толщи слои или линзы сильносжимаемого погребенного (в том числе искусственно) биогенного грунта или ила.
4.8. Если фундаменты здания или сооружения устраиваются на песчаной толще, намытой на слабые сильносжимаемые грунты, то расчетная осадка такого основания S определяется по формуле:
S = S1 + S2, (4)
где S1 - осадка основания от действия загруженного фундамента в пределах сжимаемой толщи;
S2 - последующая осадка слабого подстилающего слоя вследствие его не завершенной к началу строительства консолидации под сплошной песчаной пригрузкой.
Значение S2 представляется выражением:

, (5)
где

- стабилизированная осадка слабого слоя под сплошной песчаной пригрузкой;
St - осадка слабого подстилающего слоя под сплошной песчаной пригрузкой, происшедшая за время t до начала строительства и определяемая по формуле:

, (6)
где Qt - степень консолидации за время t.
Коэффициент консолидации грунтов слабого слоя определяется согласно
Прил. 2.
4.9. При определении осадки S1 фундамента слабые подстилающие слои включаются в сжимаемую толщу. В случае их незавершенной консолидации до начала строительства вертикальные нормальные напряжения, используемые в методе послойного суммирования при расчете осадок, принимаются без вычета природного давления.
4.10. Расчет осадки намывного основания при толщине верхнего намывного песчаного слоя не менее 4b (где b - ширина фундамента) следует производить от нагрузки, распределенной по площади застройки и полученной путем деления массы здания на площадь, ограниченную контуром наружных граней фундаментов, в случаях, когда:
отношение площади фундаментов к площади застройки здания больше 0,3 и
фактическая глубина залегания кровли сильносжимаемого грунта больше глубины сжимаемой толщи, определенной по главе
СНиП 2.02.01-83 для нагруженного фундамента.
4.11. Свайные фундаменты на намывных основаниях с погребенными биогенными грунтами или илами следует применять в случае, когда величина расчетной осадки фундаментов на намывном основании превосходит предельную величину осадки зданий, определяемую технологическими или эксплуатационными условиями.
4.12. Сваи должны прорезать толщу погребенных биогенных грунтов, илов и других видов сильносжимаемых грунтов, находящихся в пределах сжимаемой толщи намывного основания. При этом необходимо, чтобы нижние концы свай входили в подстилающие грунты: крупнообломочные, гравелистые, песчаные крупные и средней крупности, пылеватые и глинистые, имеющие показатель консистенции IL <= 0,1 - на величину не менее 0,5 м. Для прочих видов нескальных грунтов, в том числе имеющих степень заторфованности Iom <= 0,1 - не менее 2 м. Сваи, прорезающие толщу погребенного торфа, сильнозаторфованного грунта или ила, должны иметь поперечное армирование.
4.13. Нижние концы свай можно оставить в относительно плотных грунтах, залегающих над слоем погребенного биогенного грунта или ила, если расстояние от нижнего конца сваи до кровли сильносжимаемого грунта h > 2b (где b - ширина свайного фундамента на уровне нижних концов свай) и если расчетная величина осадок такого фундамента не превысит предельную.
4.14. В намывных основаниях с погребенными биогенными грунтами или илами допускается применение составных свай, если требуемая по инженерно-геологическим условиям длина превышает наибольшую длину цельных свай, предусмотренную стандартами, или отсутствует необходимое оборудование для их погружения, причем стыки составных свай должны располагаться на расстоянии не менее 3 м от подошвы слоя сильносжимаемого грунта.
4.15. Если в основании здания залегает толща намывных песков крупных, средней крупности и гравелистых, то отметку заложения подошвы фундамента принимают независимо от глубины сезонного промерзания грунтов. Аналогично можно поступить и в случае залегания в основании намывных мелких песков, если специальными исследованиями на данной площадке установлено, что они не обладают пучинистыми свойствами.
4.16. Привязку зданий на генплане необходимо производить до начала намывных работ с целью такого размещения дамб обвалования, ограждающих карты намыва, чтобы они не пересекали контуры зданий и не служили основанием сооружений. Поскольку физико-механические свойства грунтов, слагающих дамбу, отличны от аналогичных показателей намывных грунтов (т.к. первые подверглись механической переукладке), то это может привести к развитию больших неравномерных осадок здания.
4.17. Если в результате инженерно-геологических исследований строительной площадки установлено, что намывной грунт подвергался механической переукладке (разработке, перемещению в процессе планировки, устройству котлованов и т.п.), то проектирование свайных фундаментов необходимо вести, как для насыпного неслежавшегося грунта в соответствии с указаниями главы
СНиП 2.02.01-83 и другими нормативными документами на данный вид строительства.
5. ТЕХНИЧЕСКАЯ МЕЛИОРАЦИЯ ГРУНТОВ НАМЫВНЫХ ТЕРРИТОРИЙ
5.1. Техническая мелиорация может быть необходимой для улучшения строительных свойств грунтов только верхнего (намывного) яруса или нижнего яруса, представленного слабыми водонасыщенными грунтами (биогенными грунтами или илами), или одновременно обоих ярусов намывной территории.
5.2. Дополнительное уплотнение верхнего яруса, сложенного намывными грунтами, осуществляется путем:
поверхностного виброуплотнения на глубину до 1,5 м прицепными и самоходными виброкатками, вибромашинами при содержании глинистой фракции в намывных грунтах не более 6%;
трамбования при условии, что намывные пески имеют высокий коэффициент фильтрации (пески крупные и средней крупности) и уровень грунтовых вод находится ниже дневной поверхности намывного слоя;
гидровиброуплотнения водонасыщенных песков на глубину до 10 м;
поверхностных и глубинных взрывов;
водопонижения.
5.3. Метод взрывов может применяться для дополнительного уплотнения всех видов намывных водонасыщенных крупнообломочных и песчаных грунтов, супесей и супесчаных илов. Уплотнение взрывами должно проводиться в соответствии с "Рекомендациями по уплотнению малосвязных водонасыщенных грунтов взрывами" (П-75-78), Л., ВНИИГ-ЛПИ, 1979.
5.4. Механическое уплотнение намывных грунтов не рекомендуется:
при длительном отстое намытого массива, когда зафиксировано значительное упрочнение намывных песков;
при наличии под намытым массивом грунтов с тиксотропными свойствами.
5.5. В целях ускорения сроков консолидации грунтов нижнего яруса намывных оснований, включающих слои сильносжимаемых глинистых и биогенных грунтов или илов, может быть произведена временная перегрузка участков намывных территорий путем намыва на них избыточных толщ грунта. Величина избыточной толщи намыва обосновывается предварительными расчетами.
5.6. Эффективное сокращение сроков консолидации находящихся под намывным слоем толщ сильносжимаемых глинистых и биогенных грунтов или илов может быть достигнуто путем устройства дренажных прорезей или вертикальных дрен в соответствии с указаниями Рекомендаций по предпостроечному уплотнению слабых грунтов временной нагрузкой с применением песчаных и бумажных дрен (Ярославль, ОНТИ, ИОМТПО, 1978).
5.7. Применение вертикальных дрен рекомендуется производить при наличии под намывной толщей слоев слабого грунта высотой более 3 м.
5.8. Расчет осадок и сроков консолидации намывных оснований со слабым подстилающим слоем без использования и с использованием вертикальных песчаных дрен и дрен заводского изготовления проводится в соответствии с положениями
Пособия по проектированию оснований зданий и сооружений (М., Стройиздат, 1986).
5.9. Выбор одного или комплекса указанных выше мероприятий производится на основе результатов технико-экономического сравнения различных вариантов.
6. КОНСТРУКТИВНЫЕ МЕРОПРИЯТИЯ
6.1. При выборе конструктивной схемы здания на неоднородном намывном основании, включающем слои биогенного грунта или ила, следует исходить из условия, что повышение пространственной жесткости зданий уменьшает его неравномерные осадки и перераспределяет усилия, возникающие в отдельных элементах здания. При проектировании фундаментов зданий в этом случае следует отдавать предпочтение монолитным и сборно-монолитным железобетонным конструкциям, выполняемым в виде сплошных или перекрестных лент.
6.2. Конструкции зданий с продольными несущими стенами из кирпича или из крупных панелей являются менее чувствительными к неравномерным осадкам, характерным для намывных оснований с погребенными биогенными грунтами или илами, чем здания с несущими поперечными стенами или продольными наружными несущими стенами и внутренним каркасом.
6.3. При значительных неравномерных осадках, вызывающих трещины в стенах зданий, фундаменты и стены целесообразно усиливать непрерывными армированными швами или железобетонными поясами, способными воспринимать растягивающие усилия.
6.4. Арматурные пояса (армированные швы) при необходимости устраиваются в уровне перекрытий во всех несущих наружных и внутренних стенах, лестничных клетках и поперечных диафрагмах. Количество арматурных поясов и сечения арматуры назначаются по расчету или на основании опыта строительства. Наименьший диаметр арматуры 10 мм, наименьшая площадь сечения в одном уровне 4 см2. В кирпичной кладке арматура укладывается в утолщенных швах в уровне низа перекрытий. В крупнопанельных зданиях арматуру закладывают в верхней части панелей стен и концы их сваривают с целью обеспечения непрерывности пояса и работы его на растяжение. В крупноблочных зданиях горизонтальная арматура закладывается в ряды перемычек и сваривается в стыках.
6.5. Монолитные железобетонные пояса, устраиваемые в уровне фундаментной подушки, по верху фундаментных стен или в уровне междуэтажных перекрытий, следует проектировать непрерывными, высотой не менее 20 см, с двухрядным расположением арматуры. Наименьший диаметр арматуры 10 мм, общая площадь 8 - 12 см2.
6.6. Чувствительность конструкций зданий к неравномерным осадкам может быть снижена посредством разрезки здания на отдельные отсеки ограниченной длины с введением осадочных швов до подошвы фундаментов.
6.7. При проектировании коммуникаций, подводимых к зданию, следует предусмотреть понижение отметок заложения сетей водопровода, теплофикации, газопровода, выпусков канализации и дренажа, а также гибкие вводы их в здание с той целью, чтобы после стабилизации осадок вводы соответствовали положению здания.
6.8. Прорезку слоев намывного песка, погребенного биогенного грунта или ила возможно производить способом "стена в грунте" в виде непрерывных подземных стен или прерывистых отдельно стоящих шлицевых фундаментов (баретов). Расчет фундаментов и технология их возведения производятся в соответствии с Временной инструкцией по проектированию стен сооружений и противофильтрационных завес, устраиваемых способом "стена в грунте" (СН-477-75).
7. ОСОБЕННОСТИ ПРОИЗВОДСТВА РАБОТ ПО УСТРОЙСТВУ
ФУНДАМЕНТОВ НА НАМЫВНЫХ ОСНОВАНИЯХ
7.1. Механизированную разработку котлованов в намывных грунтах с целью сохранения плотности этих грунтов следует производить на 25 см выше проектной отметки подошвы фундаментов. Размеры котлованов по дну должны быть на 50 - 60 см больше размеров фундаментов.
7.2. Если котлован устраивается ниже уровня подземных вод, то необходимо обеспечить сохранность естественной структуры грунта основания.
7.3. Для погружения свай в намывные песчаные грунты следует использовать механизмы и оборудование на гусеничном ходу.
7.4. В случае погружения свай с уширенной пятой в намывные плотные мелкие и средней крупности пески следует использовать лидерные скважины или применять метод подмыва свай до глубины, меньше проектной на 1,0 - 1,5 м, дальнейшее погружение осуществляется путем забивки свай или вибропогружением до проектного отказа свай.
7.5. Пазухи, образующиеся между стволом сваи с уширенной пятой и стенками скважин, заполняются послойно песчаным грунтом толщиной 0,3 - 0,5 м с уплотнением каждого слоя.
7.6. Расстояния от существующих зданий и сооружений при погружении свай в намывные грунты должны превышать: для паровоздушных, механических и дизельных молотов - 10 - 20 м, для вибропогружателей - 40 - 50 м, при вибрационном погружении свай-оболочек - 50 - 80 м. Более точные расстояния могут быть определены в соответствии с рекомендациями "
Инструкции по забивке свай вблизи зданий и сооружений" (ВСН 358-76), М., ЦБНТИ, Минмонтажспецстроя СССР, 1976. Если эти расстояния меньше указанных, необходимо принимать специальные меры, снижающие вибрацию зданий и сооружений при погружении свай.
7.7. В случае расположения свай в толще грунтов намывного основания, включающего слои погребенного торфа или сильнозаторфованного грунта, должно быть предусмотрено жесткое сопряжение монолитного железобетонного свайного ростверка с железобетонными сваями в соответствии с
п. 8.5 главы СНиП II-17-77.
7.8. Перед массовой забивкой свай необходимо произвести их пробную забивку с целью определения способности прохождения сваями слоев намывного песка, погребенного торфа или сильнозаторфованного грунта и выбора рационального типа свайного оборудования. Практика забивки свай дизель-молотом показала, что сваи не проходили слой намывного песка или искусственно погребенного торфа и разрушались в связи с тем, что слой песка оказывался достаточно плотным, а энергия удара молота поглощалась упругой деформацией слоя погребенного торфа.
В аналогичных инженерно-геологических условиях сваи лучше всего погружать в лидерные (до подошвы слоя торфа) скважины, залавливать или забивать механическим молотом с массой ударной части 3,0 - 4,0 т или проходить сваями большую толщу намывных песков с их подмывом.
8. ОСОБЕННОСТИ УСТРОЙСТВА НАМЫВНЫХ ОСНОВАНИЙ
И ФУНДАМЕНТОСТРОЕНИЯ НА НИХ В УСЛОВИЯХ ВЕЧНОМЕРЗЛЫХ ГРУНТОВ
8.1. В условиях вечной мерзлоты и сурового климата должны проводиться специальные инженерно-геологические изыскания карьеров грунта, используемого для намыва, целью которых является:
оценка степени пригодности грунтов по гранулометрическому составу;
определение запасов талого грунта с учетом максимально возможной глубины его разработки в предрусловых карьерах;
оценка возможности разработки прирусловых и пойменных карьеров мерзлых грунтов средствами гидромеханизации путем их подготовки специальными инженерными мероприятиями (мелиорация, удаление торфо-растительного слоя, искусственное затопление и пр.) и определение запасов грунта в них;
определение физико-механических, теплофизических и температурных характеристик карьерных грунтов по глубине и простиранию;
выполнение мерзлотной характеристики карьеров с указанием границ мерзлых зон по глубине и простиранию;
составление гидрогеологической характеристики водоема с указанием меженных и паводковых уровней, скоростей течения, сроков вскрытия ледостава, температуры воды в летний период времени;
выявление климатических характеристик района строительства.
8.2. На площадках, подготавливаемых к строительству намывом, должны быть выполнены:
мерзлотная съемка с определением мощности и зон распространения вечномерзлых и талых грунтов;
определение температуры по глубине до уровня нулевых годовых амплитуд;
определение температуры начала замерзания грунтовой влаги

; влажности за счет незамерзшей воды w
н; засоленности z, %; теплопроводности

и теплоемкости C;
определение коэффициентов оттаивания A и сжимаемости

слоя грунта в пределах возможной чаши оттаивания, в том числе сезонного.
Перечисленные физико-механические свойства намытых и подстилающих грунтов должны определяться в полевых и лабораторных условиях. Допускается назначать эти характеристики согласно пп. 8.3 -
8.8.
8.3. Влажность за счет незамерзшей воды в зависимости от вида грунтов (в том числе заторфованных и засоленных) и температуры допускается определять по формуле:

, (7)
где

;

- температуры грунта, °C;

- температура начала замерзания грунтовой влаги;
wsat - полная влагоемкость;

, e - коэффициент пористости;

,

- плотность соответственно воды и частиц грунта, г/см
3.
8.4. Коэффициенты теплопроводности мерзлых и талых грунтов в зависимости от вида грунта, степени водонасыщения Sr, заторфованности Iom и состояния (талого или мерзлого) определяются согласно графикам рис. 1.
Рис. 1. Зависимость коэффициентов теплопроводности талых

и мерзлых

заторфованных песчаных (а) и глинистых
(б) грунтов от заторфованности Jom и степени влажности Sr
Объемная теплоемкость вычисляется по формулам для грунтов:
талых:

; (8)
мерзлых:

, (9)
где

- плотность сухого грунта, кг/м
3;
C
м, C
т, C
в, C
л - удельные теплоемкости соответственно минеральной составляющей, торфа, воды, льда принимаются в соответствии с данными
табл. 8;
Iom - заторфованность;
w - суммарная влажность;
wн - влажность за счет незамерзшей воды;

- удельная теплоемкость.
Таблица 8
Значения удельной теплоемкости грунта
Вид грунта | C, ккал/кг град |
Песок | 0,17 |
Супесь | 0,2 |
Суглинок | 0,21 |
Глина | 0,35 |
Торф низинный | 0,23 |
Торф верховой | 0,4 |
8.5. Расчет глубины и скорости оттаивания подстилающих грунтов, сроков промерзания намытого слоя, стабилизации температурного режима рекомендуется выполнять численным методом с помощью ЭВМ. Алгоритм расчета должен быть составлен на основе одномерной задачи теплопроводности с учетом притока глубинного тепла (холода) и теплообмена с атмосферой. Теплопроводность грунтов должна задаваться с учетом влияния фазовых переходов влаги


; (10)
где

,

- коэффициенты теплопроводности грунта соответственно в талом и мерзлом состоянии, определенные по графикам
рис. 1;
w - суммарная влажность;
w
н - влажность за счет незамерзшей воды при заданной температуре, для которой определяется

;

- среднее значение влажности за счет незамерзшей воды при температуре ниже интенсивных фазовых переходов, равной

;

- температура начала замерзания грунтовой влаги.
8.6. При мощности намытого и оттаянного подстилающего слоя, глубина которого меньше или равна глубине сезонного промерзания, стабилизация температурного режима с установлением границы вечномерзлого состояния грунтов может быть достигнута за один зимний период.
8.7. Выбор принципа использования грунтов в качестве оснований при инженерной подготовке территории под застройку способом намыва должен основываться на технико-экономических показателях и в зависимости от мерзлотно-грунтовых условий.
Принцип I - намытые и подстилающие грунты используются в качестве оснований в мерзлом и промерзшем состоянии (с допущением промерзания в процессе строительства и эксплуатации зданий).
Принцип II - намытые и подстилающие грунты используются в качестве оснований в талом состоянии или с допущением оттаивания.
8.8. Для каждого объекта должен предусматриваться, как правило, один принцип использования грунтов в качестве оснований зданий и сооружений и назначаться комплекс мероприятий по обеспечению условий формирования предусмотренного проектом температурного режима грунтов и их физико-механических свойств (например, водоотдача, консолидация грунта, искусственное промораживание, понижение температуры и т.д.).
8.9. Расчет оснований должен производиться:
а) при использовании грунтов по принципу I по несущей способности - когда до начала строительства заканчивается стабилизация температурного режима, и грунты находятся в твердомерзлом состоянии;
б) по несущей способности и деформациям - для пластичномерзлых грунтов и в том случае, когда формирование температурного режима предусмотрено в процессе строительства и эксплуатации зданий.
8.10. Расчетные прочностные и деформационные характеристики намытых и подстилающих грунтов следует назначать в соответствии с предпостроечным состоянием температурно-влажностного режима и в зависимости от их физико-механических свойств с учетом прогноза длительного изменения.
8.11. Модуль деформации E, МПа, намытых промерзающих песчаных грунтов в зависимости от влажности и температуры следует определять по данным испытаний. При отсутствии испытаний величину E допускается определять по формуле:

, (11)
где Eт - модуль деформации грунта в талом состоянии, МПа;

- абсолютное значение температуры грунта, °C;
Sr - степень влажности.
8.12. Относительная осадка оттаивающих подстилающих грунтов определяется по формуле:

, (12)
где Iom - степень заторфованности грунта, доли единицы;
K1 и K2 - коэффициенты, значения которых принимаются равными для заторфованных песчаных грунтов K1 = 0,01 и K2 = 6,67; для заторфованных глинистых грунтов K1 = 0,025 и K2 = 2,14;
K3 - коэффициент, принимаемый по табл. 9.
Таблица 9
Вид заторфованного грунта | Значение K3 при давлении, МПа (кгс/см2) |
0,01 (0,1) | 0,02 (0,2) | 0,3 (0,3) | 0,05 (0,5) | 1 (1,0) | 0,15 (1,5) | 0,2 (2,0) | 0,25 (2,5) | 0,3 (3,0) |
Песчаный | 2,75 | 2,6 | 2,45 | 2,22 | 1,7 | 1,33 | 1,1 | 0,96 | 0,83 |
Глинистый | 1,35 | 1,25 | 1,1 | 0,95 | 0,65 | 0,5 | 0,35 | 0,23 | 0,22 |
8.13. Расчетная схема оснований и требования к намытым грунтам должны задаваться в соответствии со схемой их работы
(рис. 2):
а - намытый грунт служит планировочным слоем и не воспринимает непосредственных нагрузок от зданий и сооружений;
б - намытый грунт совместно с подстилающими слоями служит основанием фундаментов и воспринимает нагрузки от зданий и сооружений;
в - основанием служит только намытый грунт, напряжения на подстилающие слои не передаются.
Рис. 2. Схемы работы намытых грунтов
в условиях вечной мерзлоты:
а) намытые грунты используются в качестве
планировочного слоя;
б) намытые грунты используются совместно
с подстилающим слоем;
в) основанием служит намытый грунт; напряжения
на подстилающие слои не передаются, 1 - намытый грунт;
2 - грунт природного сложения; 3 - граница сезонного
оттаивания до намыва; 4 - граница сезонного оттаивания
после стабилизации температурного режима; 5 - фундамент;
6 - эпюра напряжений; 7 - поверхность первого слоя
при двухэтапном намыве; 8 - проектируемая
поверхность планировки
При схеме работы
(а) независимо от принципа использования грунтов в качестве оснований намываемые грунты должны быть непучинистыми. Нормативная глубина сезонного оттаивания должна определяться как для двухслойной среды:

, (13)
где hн - толщина намытого слоя;
| | ИС МЕГАНОРМ: примечание. Взамен СНиП II-18-76 Постановлением Госстроя СССР от 21.12.1988 N 252 с 1 января 1990 года введен в действие СНиП 2.02.04-88. | |

,

- нормативные глубины сезонного оттаивания соответственно намытого и подстилающего грунта, рассчитанные согласно СНиП II-18-76 как для однослойной среды.
При схемах работы (
б,
в) необходим прогноз осадок, выполняемый решением одномерной задачи консолидации оттаянного подстилающего грунта под воздействием намытого слоя с учетом его уплотняемости. При подборе состава намываемых грунтов необходимо обеспечить формирование их максимальной плотности и влажности, равной 80 - 90% от полной влагоемкости.
8.14. Протяженность зоны насыщения намытого слоя при подъеме воды в водоеме от конца намыва до стабилизации температурного режима может быть определена по формуле:

, (14)
где L - расстояние по горизонтам от уреза воды на откосе намытого массива до конца волны насыщения;
Kф - коэффициент фильтрации намытого грунта, м/сут;
t - продолжительность стояния уровня воды в водоеме, сут;
H - превышение уровня паводковых вод под подошвой намытого слоя;
n - пористость намытого грунта, доли единицы.
8.15. Независимо от принципа использования грунтов в качестве оснований рекомендуется применять фундаменты с развитой площадью опоры: столбчатые, плитные опоры, фундаменты оболочки, сваи с шайбой.
8.16. При проектировании инженерной подготовки территории особое внимание должно быть уделено разработке технологии намыва с учетом выполнения мероприятий:
обеспечение подготовки карьеров к разработке средствами гидромеханизации;
подготовка площадок к намыву (срезка растительного слоя, устройство водоотводных систем, отстойников и т.п.);
обеспечение целенаправленного теплового воздействия намыва на подстилающие вечномерзлые грунты (получение максимальной или минимальной глубины оттаивания);
производство поэтапного намыва с учетом замыва конструкций фундаментов и инженерных коммуникаций;
интенсификация промерзания намытой толщи и оттаявших подстилающих грунтов;
обеспечение работы средств гидромеханизации и гидротранспортных систем при отрицательных температурах.
ОПРЕДЕЛЕНИЕ ВАЖНЕЙШИХ ФИЗИЧЕСКИХ ХАРАКТЕРИСТИК
НАМЫВНЫХ ПЕСКОВ ПО ИХ ЗЕРНОВОМУ СОСТАВУ
Для определения пористости n, %, намывных кварцевых песков по данным зернового состава рекомендуются следующие формулы:
n = 0,49A
1 + 0,39A
2 + 0,2A
3, (1)

, (2)
где n - пористость, %;
A
1 - содержание фракций

, %;
A
2 - содержание фракций

, %;
A
3 - содержание фракций

, %;
a
1 - содержание фракции

, %;
a
2 - содержание фракции

, %;
a
3 - содержание фракции

, %.
По величинам пористости n вычисляются значения коэффициента пористости

, плотности сухого грунта

, полной влагоемкости

и плотности грунта в состоянии полного водонасыщения

.
Плотность частиц

для кварцевых песков принимается равной 2,65 г/см
3.
Корреляционные
зависимости (1) и
(2) установлены для песков, намытых на пойменных террасах Днепра в гг. Киеве, Триполье, Черкассы и Херсоне в возрасте не менее 2 месяцев.
По петрографическому составу пески повсеместно кварцевые, по зерновому составу - средней крупности, местами мелкие, без примеси глинистых частиц, с незначительным содержанием пылеватых

и частиц крупнее 1,0 мм. По плотности сложения пески почти повсеместно средней плотности.
В результате статистической обработки опытных данных получены следующие значения характеристик:
Характеристика | Значения характеристик |
Средние  | Среднеквадратические отклонения  | Коэффициент вариации V |
Плотность сухого грунта  , г/см 3 | 1,60 | +/- 0,040 | 0,025 |
Коэффициент пористости e | 0,64 | +/- 0,050 | 0,078 |
Пористость n | 0,39 | +/- 0,034 | 0,087 |
ОПРЕДЕЛЕНИЯ КОЭФФИЦИЕНТА КОНСОЛИДАЦИИ
ПО ДАННЫМ КОМПРЕССИОННЫХ ИСПЫТАНИЙ ГРУНТА
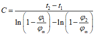
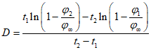
1. Коэффициент консолидации Cv следует определять в лабораторных условиях до данным компрессионных испытаний путем обработки кривой консолидации по методу Д. Тейлора.
2. Компрессионные испытания торфов и т.п. видов грунта ведутся на образцах ненарушенной структуры при двухсторонней фильтрации. Деформации набухания при этом должны исключаться. Отношение высоты испытываемых образцов к их диаметру должно быть не менее 1:3 при площади испытываемого образца 40 см2.
3. Давление к образцу в приборе прикладывается ступенями 0,001; 0,005; 0,01 МПа и так далее - до pб. При этом ступени приложения давления не должны превышать 0,02 МПа.
4. Выдержка каждой ступени нагрузки проводится до величины условной стабилизации деформаций, равной 0,001 мм за 12 часов наблюдений.
5. Запись вертикальных деформаций образца проводится по показаниям индикатора через 5, 15, 30 с, 1, 2, 3, 5, 10, 30, 60 мин и далее через каждый час до 8 ч, а в последующем - два раза в сутки.
6. Коэффициент консолидации следует определять при давлении, эквивалентном проектному, с предварительным уплотнением грунта нагрузкой, соответствующей природному уплотнению, или при давлениях 0,05 - 0,2 МПа с интервалом через 0,05 МПа.
Давление на образец в опыте передается мгновенно.
7. Метод Тейлора предполагает построение экспериментальной кривой консолидации при проектном давлении в системе координат

и

, где

- вертикальная деформация грунта, а t - время консолидации, мин. Пример кривой консолидации приведен на рисунке 3.
Рис. 3. График компрессионной кривой, к расчету
коэффициента консолидации
На графике

к кривой консолидации на ее начальном (близком к прямолинейному) участке проводится касательная, пересекающая ось координат в точке A, называемой точкой начала первичной консолидации. Из этой точки проводится вторая прямая, абсцисса которой составляет 1,15 абсциссы первой прямой.
Точка пересечения 2-й прямой с кривой консолидации B даст время t90, соответствующее 90% первичной консолидации.
Коэффициент консолидации Cv (см2/год) определяется по формуле:

, (1)
где 0,848 - числовой коэффициент Тейлора для 90% первичной консолидации;
H - средняя высота образца в опыте, равная

, (2)
где H1 и H2 - соответственно высоты образца в начале и в конце опыта, см.
НОРМАТИВНЫЕ ДОКУМЕНТЫ И РЕКОМЕНДАЦИИ ПО НАМЫВНЫМ ГРУНТАМ
| | ИС МЕГАНОРМ: примечание. Взамен ВСН 385-77 с 1 января 1989 года введены в действие ВСН 385-88, утв. Минмонтажспецстроем СССР 04.07.1988. | |
1. Инструкция по намыву территории на торфах. ВСН 385-77, М., ЦБНТИ Минмонтажспецстроя СССР, 1978.
2. Инструкция по определению деформативных и прочностных характеристик намывных песчаных грунтов на основе полевых испытаний. РСН 33-78. Минск, ЦБНТИ Минмонтажспецстроя СССР, 1979.
3. Рекомендации по уплотнению малосвязных водонасыщенных грунтов взрывами. П 75-78, Л., ВНИИГ-ЛПИ, 1979.
4. Рекомендации по определению несущей способности свай статическим зондированием в условиях пойменно-намывных и заболоченных территорий БССР, ИСиА Госстроя БССР, Минск, 1980.
5. Инструкция по определению механических характеристик грунтов, подстилающих намывную толщу. РСН 40-79. Минск, ЦБНТИ Минмонтажспецстроя СССР, 1980.
6. Инструкция по технологии намыва грунта на пойменных территориях Белорусской ССР и геотехническому контролю качества намывных оснований. РСН 45-80, Госстрой БССР. Минск, ЦБНТИ Минмонтажспецстроя СССР, 1980.
7. Инструкция по проектированию свайных фундаментов для строительства на заболоченных и пойменных территориях Белорусской ССР, искусственно перекрытых намывным грунтом. РСН 44-80. Госстрой БССР. Минск, ЦБНТИ Минмонтажспецстроя СССР, 1980.
8. Рекомендации по методам улучшения строительных свойств слабых грунтов пойменно-намывных территорий БССР. Госстрой БССР. Минск, 1981.
9. Рекомендации по проектированию оснований зданий и сооружений на намывных территориях Тюменской области. М., НИИОСП Госстроя СССР, 1982.
10. Инструкция по проектированию и устройству фундаментов жилых и гражданских зданий на намывных территориях БССР. РСН 50-81. Госстрой БССР. Минск, 1982.
11. Рекомендации по оценке и выбору рациональных конструкций фундаментов для гражданского строительства на намывных территориях БССР. Госстрой БССР. ИСиА. Минск, 1982.
12.
Рекомендации по оценке плотности и возможности разжижения малосвязных грунтов методом взрывного зондирования. П 02-82, Л., ВНИИГ-ЛПИ, 1982.
13. Рекомендации по армированию песчаных намывных и насыпных оснований. Госстрой БССР, ИСиА. Минск, 1984.