Главная // Актуальные документы // МетодикаСПРАВКА
Источник публикации
М., 2016
Примечание к документу
Документ рекомендован к применению с 13 июля 2016 года
Распоряжением Росавтодора от 13.07.2016 N 1235-р.
Название документа
"ОДМ 218.5.007-2016. Отраслевой дорожный методический документ. Методические рекомендации по определению модуля упругости статическим штампом"
(утв. и введен в действие Распоряжением Росавтодора от 13.07.2016 N 1235-р)
"ОДМ 218.5.007-2016. Отраслевой дорожный методический документ. Методические рекомендации по определению модуля упругости статическим штампом"
(утв. и введен в действие Распоряжением Росавтодора от 13.07.2016 N 1235-р)
Утвержден и введен в действие
дорожного агентства
от 13 июля 2016 г. N 1235-р
ОТРАСЛЕВОЙ ДОРОЖНЫЙ МЕТОДИЧЕСКИЙ ДОКУМЕНТ
МЕТОДИЧЕСКИЕ РЕКОМЕНДАЦИИ
ПО ОПРЕДЕЛЕНИЮ МОДУЛЯ УПРУГОСТИ СТАТИЧЕСКИМ ШТАМПОМ
ОДМ 218.5.007-2016
1 РАЗРАБОТАН: рабочей группой секции N 4 "Стандартизация, повышение качества и внедрение новых технологий, техники и материалов" Научно-технического совета Федерального дорожного агентства
2 ВНЕСЕН: Управлением научно-технических исследований и информационного обеспечения Федерального дорожного агентства
3 УТВЕРЖДЕН И ВВЕДЕН В ДЕЙСТВИЕ
распоряжением Федерального дорожного агентства N 1235-р от 13.07.2016 г.
4 Настоящий стандарт разработан с учетом основных нормативных положений DIN 18134:2012-04 "Soil - Testing procedures and testing equipment - Plate load test" (Грунты. Испытания и аппаратура для испытаний. Метод испытания давлением с применением нагрузочной плиты)
5 ИЗДАН: ФГБУ "ИНФОРМАВТОДОР"
6 ИМЕЕТ РЕКОМЕНДАТЕЛЬНЫЙ ХАРАКТЕР
1.1 Отраслевой дорожный методический документ "Методические рекомендации по определению модуля упругости статическим штампом" (далее - методический документ) является актом рекомендательного характера.
1.2 Методический документ разработан для определения модулей упругости на поверхности слоев покрытий (кроме асфальто- и цементобетонных), оснований и земляного полотна, так и на поверхности конструкций из них в дорожном, аэродромном, промышленном и гражданском строительстве.
1.3 Методический документ рекомендован к применению изыскательскими, проектными, строительными и эксплуатирующими организациями, а также при реализации проектов по заданию государственных и иных исполнительных органов управления.
ГОСТ 577-68 Индикаторы часового типа с ценой деления 0,01 мм. Технические условия.
ГОСТ Р 8.726-2010 ГСИ. Датчики весоизмерительные. Общие технические требования. Методы испытаний.
ГОСТ 427-75 Линейки измерительные металлические. Технические условия.
ГОСТ 9533-81 Кельмы, лопатки и отрезовки. Технические условия.
ГОСТ 7948-80 Отвесы стальные строительные. Технические условия.
ГОСТ 28638-90 Изделия щетинно-щеточные бытового назначения. Общие технические условия.
ГОСТ 8736-93 Песок для строительных работ. Технические условия.
Примечание - При пользовании настоящим стандартом целесообразно проверить действие ссылочных стандартов в информационной системе общего пользования на официальном сайте национального органа Российской Федерации по стандартизации в сети Интернет или по ежегодно издаваемому информационному указателю "Национальные стандарты", который опубликован по состоянию на 1 января текущего года, и по соответствующим ежемесячно издаваемым информационным указателям, опубликованным в текущем году. Если ссылочный документ заменен (изменен), то при пользовании настоящим стандартом следует руководствоваться замененным (измененным) документом. Если ссылочный документ отменен без замены, то положение, в котором дана ссылка на него, применяется в части, не затрагивающей эту ссылку.
3.1 общая деформация - изменение геометрических параметров объекта под воздействием внешней нагрузки. Общая деформация включает в себя упругую (обратимую) и пластическую (необратимую) деформации.
3.2 упругая деформация (упругость) - способность объекта на обратимое геометрическое изменение под воздействием на него нагрузки. Упругая деформация объекта полностью исчезает после снятия с него нагрузки.
3.3 модуль общей деформации

, МН/м
2 - величина, характеризующая как упругие, так и пластические свойства объекта при деформации от внешней нагрузки.
3.4 модуль упругой деформации (модуль упругости)

, МН/м
2 - величина характеризующая упругие свойства объекта при деформации от нагрузки.
3.5 статическая штамповая установка (статический штамп) - геолого-диагностическое оборудование, определяющее несущую способность исследуемого объекта в результате передачи статической нагрузки посредством гидроцилиндра через нагрузочную плиту.
3.6 нагрузочная плита - плоский стальной элемент штамповой установки, определенной площади, распределяющий нагрузку на поверхность испытываемого объекта.
4. Требования к средствам измерений
и вспомогательным устройствам
Для проведения испытаний необходимо следующее оборудование:
4.1 Противовес. В качестве противовеса может использоваться, например, груженый грузовик, каток или другая тяжелая строительная техника, нагрузка от которой минимум на 10 кН больше максимальной, создаваемой штамповой установкой в результате испытания. Масса упора должна обеспечивать задание максимальной нагрузки от штампа.
4.2 Штамповая установка
4.2.1 Нагрузочная плита. Нагрузочная плита представляет собой металлический диск с цилиндрической опорой по центру, для гидроцилиндра. В качестве материала для нагрузочной плиты штамповой установки применяется сталь марки S 355 J0 по DIN EN 10025-1, либо ее аналог.
Технологические допуски для плоскостности и шероховатости нагрузочных плит должны соответствовать данным, приведенным на Рисунке 1 и
Рисунке 2. Нагрузочная плита должна иметь две ручки для переноса (см. Рисунок 1).
1 - центрирующая цапфа с поворотной головкой
для гидроцилиндра; 2 - ручка для переноса плиты;
3 - туннель для измерения;
размеры указаны в миллиметрах с допуском +/- 0,2 мм
Рисунок 1 - Нагрузочная плита, диаметром 300 мм
--------------------------------
<a> Расположение ребер жесткости указано схематично и в уменьшенном виде.
1 - центрирующие упоры для 300 мм нагрузочной плиты;
2 - нагрузочная плита диаметром 300 мм; 3 - ребра
жесткости, толщиной не менее 20 мм; 4 - отверстия
для переносящего устройства; 5 - три зажима;
размеры указаны в миллиметрах с допуском +/- 0,2 мм
Рисунок 2 - Нагрузочные плиты, диаметром 600 мм и 762 мм
Нагрузочные плиты диаметром 300 мм должны иметь толщину не менее 25 мм.
Нагрузочные плиты диаметром 600 мм и 762 мм должны иметь толщину не менее 20 мм и изготавливаться с ребрами жесткости, расположенными симметрично по радиусу. Их верхняя поверхность, предназначенная для установки грузовой плиты диаметром 300 мм, должна быть плоскопараллельной нижней поверхности. Центрирующие упоры (штифты) и в данном случае зажимы служат для удерживания установленной плиты (см.
Рисунок 2).
4.2.2 Нагрузочное устройство. Нагрузочное устройство состоит из гидравлического насоса, связанного с гидравлическим цилиндром с помощью шланга высокого давления длиной минимум 2 м. Это устройство должно обеспечивать нагрузку и разгрузку нагрузочной плиты в отдельных ступенях нагружения.
Для беспрепятственной передачи усилия гидравлический цилиндр с двух сторон должен располагаться на шарнирах. Гидроцилиндр должен быть устойчивым к опрокидыванию. Рабочий ход поршня гидроцилиндра должен быть не менее 150 мм.
Монтажная высота статической штамповой установки должна быть в рабочем состоянии не более 0,6 м. Для компенсации расстояния от гидроцилиндра до противовеса должны быть в распоряжении штатные удлиняющие элементы, которые обеспечивают возможность упора гидравлического цилиндра в противовес до 1 м.
4.2.3 Устройство для измерения нагрузки. Между нагрузочной плитой и гидравлическим цилиндром устанавливают механический или электрический динамометр. Динамометр должен показывать соответствующую нагрузку с пределом погрешности не более 1% от максимальной нагрузки при испытании.
Разрешающая способность индикации показаний напряжения должна составлять для грузовой плиты диаметром 300 мм не менее 0,001 МН/м2, а для грузовых плит диаметром 600 мм или 762 мм не менее 0,0001 МН/м2.
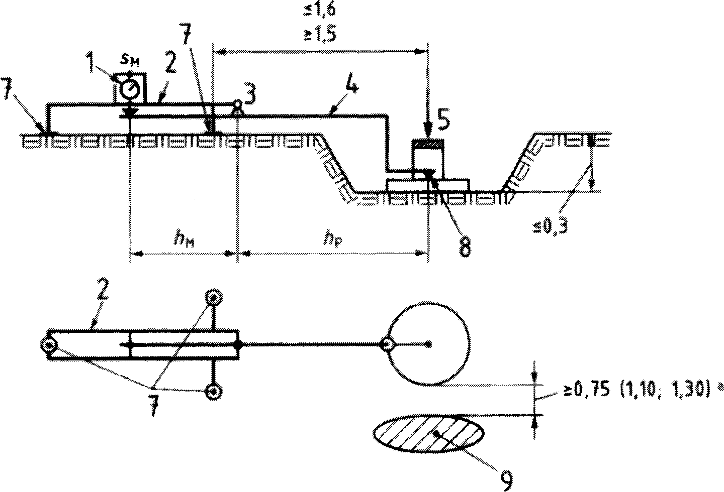
4.2.4 Устройство для измерения осадки плиты. На
Рисунке 3 схематически представлено устройство для измерения осадки с поворотным щупом (см.
Рисунок 3 а) и со щупом, перемещаемым по оси (см.
Рисунок 3 б).
а) Штамповая установка с поворотным щупом по принципу
"коромысла весов". Измерения осадки плиты при изменяющемся
соотношении длины рычагов hp:hm
б) Штамповая установка с перемещающимся по оси
щупом в линейном подшипнике. Измерения осадки плиты
при фиксированном соотношении длины рычагов 1:1
--------------------------------
<a> Расстояние от нагрузочной плиты до опорной поверхности противовеса (см.
пункт 6.2).
1 - стрелочный индикатор или датчик перемещения;
2 - несущий каркас; 3 - точка вращения; 4 - щуп;
5 - нагрузка; 6 - линейный подшипник; 7 - опора;
8 - считывающее устройство; 9 - опорная
поверхность противовеса;
размеры указаны в метрах с допуском +/- 0,01 м
Рисунок 3 - Варианты исполнения штамповых установок
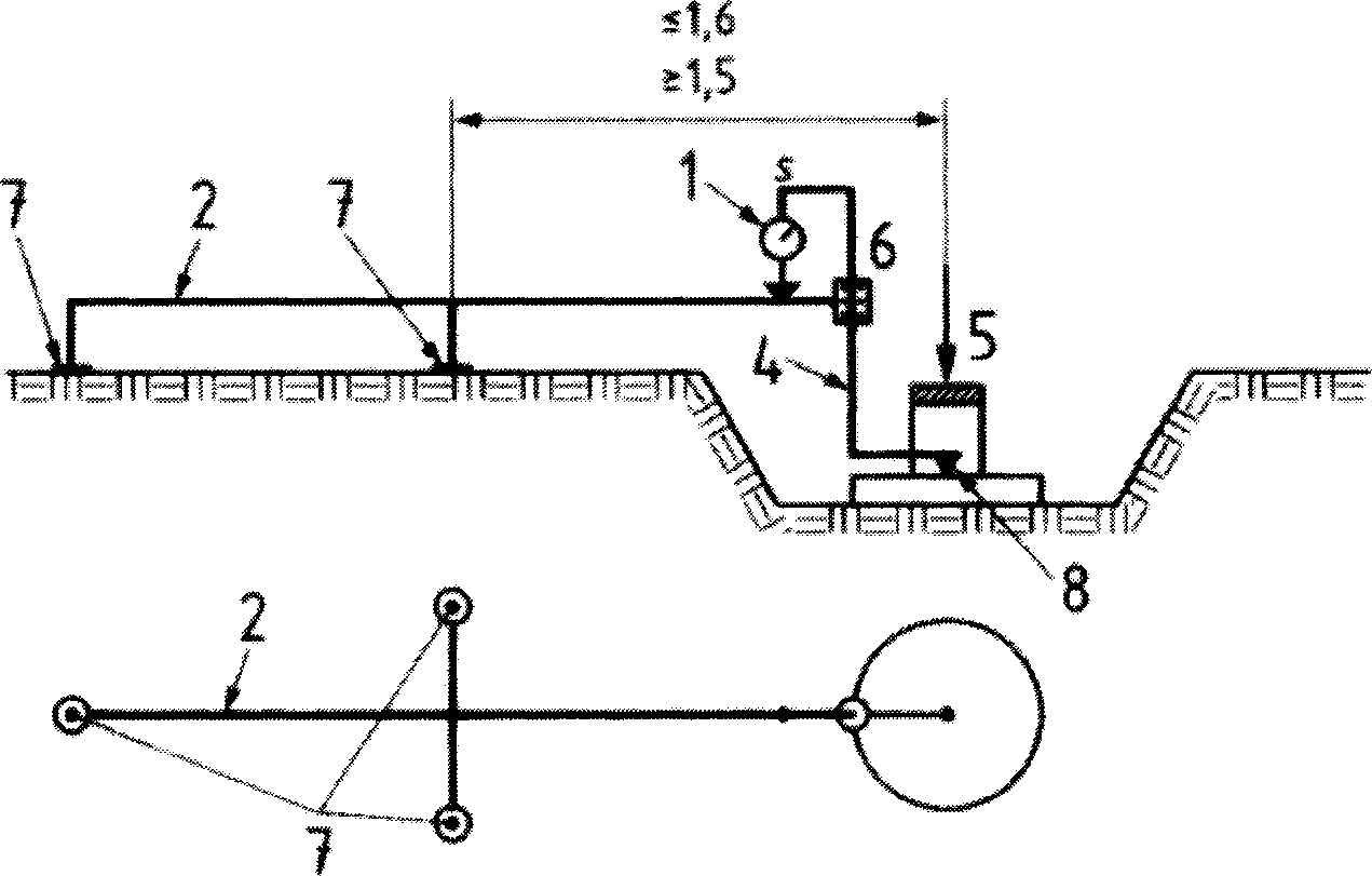
Измерительное устройство с поворотным щупом пригодно только для испытаний в котлованах глубиной до 0,3 м. Измерительное устройство с осевым перемещением щупа может применяться для более глубоких котлованов.
Устройство для измерения осадки состоит из:
- несущего каркаса, расположенного на трех опорах (см. поз. 2 на Рисунке 3),
- вертикально перемещаемого щупа, устойчивого к кручению и изгибу (см. поз. 4 на
Рисунке 3),
- датчика перемещения или стрелочного индикатора (см. поз. 1 на
Рисунке 3).
Расстояние от средней точки грузовой плиты до оси опор должно составлять не менее 1,5 м и не может превышать 1,6 м (см.
Рисунок 3).
Соотношение длин рычагов
hp:
hm (см.
Рисунок 3 а) должно быть точно отрегулировано и зафиксировано во избежание изменения в процессе измерения. Соотношение длин рычагов
hp:
hm не должно быть более 2,0.
Устройство для измерения осадки должно обеспечить измерение осадки плиты с пределом погрешности не более 0,04 мм в области измерения до 10 мм при применении нагрузочной плиты диаметром 300 мм и 600 мм и в области измерения до 15 мм при применении нагрузочной плиты диаметром 762 мм.
Разрешающая способность индикации значений измерения должна составлять не более 0,01 мм.
Допускается измерение осадки с применением альтернативного измерительного оборудования, если оно имеет, как минимум, одинаковую разрешающую способность индикации или одинаковый предел погрешности. Калибровку этого устройства для измерения осадки проводят по Приложению А,
пункт А4.2.
4.3 Вспомогательное оборудование
4.3.3 Линейки стальные длиной 500 мм или 1000 мм по
ГОСТ 427-75
4.3.10 Прямоугольник
4.3.11 Линейка секционная масштабная
4.3.12 Средства индивидуальной защиты от ветра и солнца.
5. Требования к условиям измерений
Измерения должны производиться при температуре окружающего воздуха в интервале от 0 °C до 40 °C.
Испытание штамповой установкой может проводиться на нежестком покрытии (кроме слоев из асфальтобетона), основании и земляном полотне из укрепленных и неукрепленных вяжущими крупнозернистых, разнозернистых, и мелкозернистых материалов. Зерна более 1/4 диаметра нагрузочной плиты не должны находиться непосредственно под ее подошвой.
Для быстро высыхающих песков одинаковой крупности, либо грунтов, на поверхности которых образуется корка или поверхность которых размокает, а также в случаях, когда верхняя зона испытываемых грунтов, разрушается каким-либо иным образом, разрушенную зону следует удалить перед проведением испытания.
На мелкозернистых, пылеватых грунтах (ил, глина) испытание может быть проведено и оценено только в том случае, если они имеют твердую консистенцию. В противном случае консистенцию грунта проверяют на различной глубине до глубины d (d - диаметр нагрузочной плиты) под поверхностью места измерения.
6. Порядок выполнения измерений
6.1 Подготовка поверхности для испытания
Перед укладкой нагрузочной плиты необходимо подготовить соответствующую поверхность для испытания. Поверхность грунта в месте укладки необходимо выровнять, максимально насколько возможно, соответствующими вспомогательными средствами (мастерком каменщика, шпателем или передвигая и поворачивая грузовую плиту). Рыхлые части грунта следует удалить.
6.2 Установка оборудования для штамповых испытаний
Нагрузочную плиту следует полностью уложить на испытываемую поверхность. Для выравнивания неровностей, в случае необходимости, наносят слой песка средней крупности или гипсовой кашицы толщиной в несколько миллиметров. Затем на поверхность помещают нагрузочную плиту, поворачивая ее или слегка постукивая по ней. В случае применения гипсовой кашицы поверхность основания нагрузочной плиты следует промаслить. Кашицу, выдавленную сбоку, следует удалить до затвердевания.
Проведение штамповых испытаний с применением нагрузочной плиты на гипсовой подложке начинают после того, как схватится гипс.
Гидравлический цилиндр устанавливают в середине нагрузочной плиты и перпендикулярно к ней под противовесом и фиксируют во избежание опрокидывания. Расстояние в свету между нагрузочной плитой и опорной поверхностью противовеса должно быть не менее 0,75 м для нагрузочной плиты диаметром 300 мм, не менее 1,10 м для нагрузочной плиты диаметром 600 мм и не менее 1,30 м для нагрузочной плиты диаметром 762 мм. Противовес следует зафиксировать для предотвращения смещения поперек направления приложения нагрузки.
Необходимо обеспечить достаточную устойчивость нагружающего устройства.
Эти требования действительны также для наклонных испытываемых поверхностей.
Измерение осадки проводят с помощью стрелочного индикатора или датчика перемещения, а также с помощью альтернативной системы измерения (см.
пункт 4.2.4).
Для измерения осадки грузовой плиты устанавливают считывающее устройство (см.
Рисунок 3) в середине грузовой плиты. Расстояние между опорой несущего каркаса и опорной поверхностью противовеса должно быть не менее 1,25 м. Датчик перемещения или стрелочный индикатор должен быть установлен вертикально по отношению к испытываемой поверхности (см.
Рисунки 3 а и
3 б).
При установке нагрузочной плиты необходимо следить за тем, чтобы копирное острие считывающего устройства для измерения осадки вводилось свободно в измерительный туннель цоколя нагрузочной плиты и размещалось в центре плиты.
Устройство для измерения осадки должно быть защищено от попадания солнечных лучей и от ветра.
Штамповая установка и противовес не должны испытывать вибрацию во время испытания.
6.3 Предварительное нагружение
Перед началом испытания объекта, статической штамповой установкой, датчик перемещения или стрелочный индикатор устанавливают на ноль. Затем нагрузочные плиты диаметром 300 мм и 600 мм подвергают нагрузке 0,01 МН/м2, а нагрузочную плиту диаметром 762 мм - нагрузке 0,005 МН/м2.
Через 30 с после создания этой предварительной нагрузки показания стрелочного индикатора или датчика перемещения устанавливают на ноль.
6.4 Проведение испытаний для определения модуля упругости
С целью определения модуля упругости необходимо провести испытание с двухэтапным нагружением: определением модуля общей деформации и модуля упругой деформации (модуля упругости).
Для определения модуля общей деформации

нагрузка осуществляется шестью ступенями нагружения, с приблизительно одинаковыми интервалами между ними, до достижения максимальной нагрузки

. Нагрузочную плиту разгружают в три ступени: 50%, 25% и 2% от максимальной нагрузки. После снятия нагрузки проводят следующий цикл нагружения для определения модуля упругой деформации (модуля упругости)

, однако только до предпоследней ступени цикла первичного нагружения, чтобы сохранить предварительную нагрузку (Таблица 1).
Таблица 1
Ступени нагрузки-разгрузки  , МН/м 2 |
Первичное нагружение | Разгрузка | Вторичное нагружение |
0,08 | 0,16 | 0,25 | 0,33 | 0,42 | 0,50 | 0,25 | 0,125 | 0,01 | 0,08 | 0,16 | 0,25 | 0,33 | 0,42 |
При приложении и снятии нагрузки следует начинать с изменения нагрузки до следующей ступени каждые 120 с после достижения значения предыдущей ступени нагружения. Для несущих слоев в дорожном строительстве время ожидания может быть сокращено до 60 с. Нагрузка на всех ступенях нагружения должна оставаться постоянной. Полученные значения измерений заносят перед каждым изменением нагрузки в протокол испытаний
(Таблица Б.1).
В дорожном строительстве испытание статическим штампом проводят, как правило, с применением нагрузочной плиты диаметром 300 мм. При этом нагрузку увеличивают до тех пор, пока под нагрузочной плитой не будет достигнуто нормальное напряжение 0,5 МН/м2. Если прежде получена осадка 5 мм, то измеренное при этом нормальное напряжение считается максимальным.
При применении нагрузочной плиты диаметром 600 мм соответствующие предельные значения составляют 0,25 МН/м2 и 8 мм, при применении нагрузочной плиты диаметром 762 мм - соответственно 0,2 МН/м2 и 13 мм.
При необычных результатах испытаний, например, сильный перекос или значительное погружение нагрузочной плиты, грунт на месте испытания разрывают до глубины, соответствующей ее диаметру. Если при этом встречаются локальные неоднородности, например, грунты с различной консистенцией или камни, то это обязательно отмечают в протоколе испытаний.
Испытание давлением следует прекратить при меньших нормальных напряжениях, если испытывают грунт с незначительной прочностью зерен (например, пористые вулканические породы) или если при повышении нагрузки сильное увеличение осадки показывает состояние, близкое к разрушению.
Если при нагрузке по ошибке был использован более тяжелый груз, чем было предусмотрено, то его можно не уменьшать, а следует сохранить, отметив это в протоколе испытаний.
Примечание - Для контроля вторичного цикла нагружения после ступенчатого полного снятия нагрузки может проводиться соответствующим образом третий цикл нагружения, однако, при этом создается сразу конечная нагрузка второго цикла без других промежуточных ступеней нагружения.
7. Обработка результатов измерений
7.1 Определение осадки плиты в зависимости от типа штампа
Среднее нормальное напряжение

, относящееся к каждой ступени нагружения, и соответствующее считываемое показание
sM на стрелочном индикаторе или показания
s на датчике перемещения заносят в протокол.
Осадка нагрузочной плиты s определяется для измерительных установок:
- по
рисунку 3 а - путем умножения величины осадки
sM на соотношение рычагов
hp/
hm по следующей формуле:

(1)
Нормальные напряжения и осадки представляют в табличном виде.
7.2 Определение модуля общей деформации и модуля упругости
Данные полученные в результате проведения измерений штамповой установкой с определением осадки грузовой плиты в зависимости от приложенной или снятой нагрузки заносятся в таблицу, по которой строится график с полиномиальными кривыми общей деформации при первичном нагружении, разгрузке и упругой деформации при вторичном нагружении
(Рисунок 3).
Для вычисления модуля общей деформации

и модуля упругости

принимаются к расчетам данные при 30% и 70% нагрузке нагрузочной плиты от максимальной

. Максимальной нагрузкой испытания является 0,5 МН/м
2.
Модуль общей деформации

определяется по формуле:
| | ИС МЕГАНОРМ: примечание. Нумерация формул дана в соответствии с официальным текстом документа. | |

(1)
где D - диаметр нагрузочной плиты, м;
0,75 - коэффициент, учитывающий определение площади нагрузочной плиты и усредненный коэффициент Пуассона для данного вида испытаний;

- приращение нагрузки нагрузочной плиты при первичном нагружении (30% и 70% от максимальной нагрузки), МН/м
2;

- приращение осадки нагрузочной плиты при первичном нагружении (30% и 70% от максимальной нагрузки), м.
Приращение нагрузки нагрузочной плиты при первичном нагружении (30% и 70% от максимальных значений) определяется по формуле:

(2)
где

- 30% от максимальной нагрузки, при первичном нагружении, МН/м
2;

- 70% от максимальной нагрузки, при первичном нагружении, МН/м
2.
Приращение осадки нагрузочной плиты при первичном нагружении (от 30% до 70%) максимальной нагрузки),

определяется по формуле:

(3)
где

- осадка нагрузочной плиты при первичном нагружении (30% от максимальной нагрузки), м;

- осадка нагрузочной плиты при первичном нагружении (70% от максимальной нагрузки), м.
Модуль упругости

определяется по формуле:

(4)
где D - диаметр нагрузочной плиты, м;
0,75 - коэффициент учитывающий определение площади нагрузочной плиты и усредненный коэффициент Пуассона для данного вида испытаний;

- приращение нагрузки нагрузочной плиты вторичного нагружения при 30% и 70% от максимального ее значения, МН/м
2;

- приращение осадки нагрузочной плиты вторичного нагружения при 30% и 70% нагрузке от максимальной, м.
Приращение нагрузки нагрузочной плиты при вторичном нагружении (30% и 70% от максимального значения) определяется по формуле:

(5)
где

- нагрузка в 30% от максимальной, при вторичном нагружении, МН/м
2;

- нагрузка в 70% от максимальной, при вторичном нагружении, МН/м
2.
Приращение осадки нагрузочной плиты при вторичном нагружении (от 30% до 70% максимальной нагрузки)

определяется по формуле:

(6)
где

- осадка нагрузочной плиты при вторичном нагружении для нагрузки в 30% от максимальной, м;

- осадка нагрузочной плиты при вторичном нагружении для нагрузки в 70% от максимальной, м.
| | ИС МЕГАНОРМ: примечание. Нумерация рисунков дана в соответствии с официальным текстом документа. | |
Рисунок 3 - Типичный график испытания статической
штамповой установкой
Дополнительным обязательным параметром упруго-прочностных свойств испытываемого объекта через оценку качества уплотнения, является модульный коэффициент
KE. Модульный коэффициент определяется по формуле 7, как отношение модуля упругости

к модулю общей деформации

:

(7)
где

- модуль общей деформации, МН/м
2;

- модуль упругости, МН/м
2.
Степень уплотнения испытываемого объекта считается достаточной, если модульный коэффициент меньше или равен значению 2,5 (KE <= 2,5).
8. Оформление результатов
По результатам работ, выполняемых в соответствии с данным стандартом, необходимо оформить протокол, содержащий следующую информацию:
- наименование объекта и место его расположения;
- диаметр нагрузочной плиты;
- тип устройства для измерения осадки, при необходимости с указанием соотношения рычагов;
- тип выравнивающего слоя под нагрузочной плитой;
- погоду с указанием температуры;
- время, дату;
- исполнителей испытания;
- примечания по ходу испытания;
- таблицу с результатами измерений "нагрузка-осадка";
- таблицу с значениями осадки
sM и соответствующими значениями
s (только для определенной
пунктом 7.1 штамповой установки);
- график с полиномиальными кривыми "первичное нагружение-разгрузка-вторичное нагружение";
- в случае необходимости описание характера грунтов под нагрузочной плитой после испытания.
МЕТОДИКА ПРОВЕДЕНИЯ ПОВЕРКИ СТАТИЧЕСКОЙ ШТАМПОВОЙ УСТАНОВКИ
А1. Общие положения
В результате поверки подтверждают функциональную способность статического штампа, а также выдерживание предварительно заданных параметров для устройства измерения нагрузки и осадки.
Поверка проводится организацией, которая имеет в своем распоряжении соответствующие средства для испытаний и подтверждает восстановление.
Регулярная поверка штамповой установки является предпосылкой проведения испытания давлением с применением нагрузочной плиты в соответствии со стандартом.
Перед каждой поверкой статическую штамповую установку проверяют на наличие механических повреждений и на функциональную способность. Результат проверки заносят в протокол испытаний.
О проведенной поверке свидетельствует долговечная наклейка на устройстве измерения нагрузки и на устройстве измерения осадки. На наклейке должно быть указано название организации, проводившей поверку, а также срок действия поверки.
А2. Требования к проверке статической штамповой установки
Должны быть проверены следующие требования к штамповой установке:
а) размеры нагрузочной плиты (см.
п. 4.2.1);
б) индикация и разрешающая способность динамометра (см.
п. 4.2.3);
в) индикация и разрешающая способность устройства для измерения осадки (см.
п. 4.2.4);
г) расстояние от центра нагрузочной плиты до оси опоры (см.
п. 4.2.4);
д) соотношение рычагов устройства для измерения осадки (см.
п. 4.2.4).
А3. Приборы и устройства, подлежащие поверке
А3.1 Динамометр
Для калибровки динамометра требуется:
а) зажимное приспособление для динамометра устройства для испытания давлением с применением нагрузочной плиты;
б) эталонный датчик усилия сжатия для поверочных целей класса 2 по
ГОСТ Р 8.726-2010, включая измерительный усилитель;
А3.2 Устройство для измерения осадки
Для калибровки устройства для измерения осадки требуется:
а) микрометр согласно
ГОСТ 6507-90, степень точности 2 с номинальными размерами от 1 мм до 15 мм;
б) измерительный стол как подставка для средств измерения;
в) устройство для измерения осадки, в сборе, согласно
п. 4.2.4.
А4. Порядок поверки и функционального испытания
А4.1 Поверка динамометра
Динамометр штамповой установки и эталонный датчик усилия сжатия для поверочных целей устанавливают по центру в зажимное устройство и предварительно подвергают нагрузке, которая соответствует номинальному напряжению под грузовой плитой 0,01 МН/м
2 или 0,001 МН/м
2 (1-ая ступень нагружения,
Таблица А.1). Нагрузка создается нагрузочным устройством калиброванного статического штампа.
Таблица А.1
Ступени нагружения в зависимости от диаметра
нагрузочной плиты
Число ступеней нагружения | Диаметр нагрузочных плит |
300 мм | 600 мм | 762 мм |
Нагрузка F, кН | Нормальная нагрузка  , МН/м 2 | Нагрузка F, кН | Нормальная нагрузка  , МН/м 2 | Нагрузка F, кН | Нормальная нагрузка  , МН/м 2 |
1 ступень | 0,71 | 0,010 | 0,28 | 0,001 | 0,46 | 0,001 |
2 ступень | 5,65 | 0,080 | 5,65 | 0,020 | 4,56 | 0,010 |
3 ступень | 11,31 | 0,160 | 11,31 | 0,040 | 9,12 | 0,020 |
4 ступень | 16,96 | 0,240 | 22,62 | 0,080 | 18,24 | 0,040 |
5 ступень | 22,62 | 0,320 | 33,93 | 0,120 | 36,48 | 0,080 |
6 ступень | 28,27 | 0,400 | 45,24 | 0,160 | 54,72 | 0,120 |
7 ступень | 31,81 | 0,450 | 56,55 | 0,200 | 72,96 | 0,160 |
8 ступень | 35,34 | 0,500 | 70,69 | 0,250 | 91,21 | 0,200 |
Для поверки динамометра и для функционального испытания нагрузочного устройства проводят два цикла нагрузки и один цикл разгрузки. Ступени нагружения зависят от диаметра нагрузочной плиты согласно
Таблице А.1. Изменение нагрузки от ступени к ступени должно происходить в течение 1 мин.
Цикл разгрузки проводят в четыре ступени (ступень нагружения 6-4-2-1 по
Таблице А.1). При нагрузке и разгрузке начинают с изменения нагрузки до следующей ступени нагружения в течение двух минут после достижения предварительно заданного значения. Ступени нагрузки устанавливают с помощью динамометра штамповой установки, считывают показания эталонного датчика усилия сжатия для поверочных целей и заносят в протокол испытаний.
Таблица А.1
Ступени нагружения в зависимости от диаметра
нагрузочной плиты
Число ступеней нагружения | Диаметр нагрузочных плит |
300 мм | 600 мм | 762 мм |
Нагрузка F, кН | Нормальная нагрузка  , МН/м 2 | Нагрузка F, кН | Нормальная нагрузка  , МН/м 2 | Нагрузка F, кН | Нормальная нагрузка  , МН/м 2 |
1 ступень | 0,71 | 0,010 | 0,28 | 0,001 | 0,46 | 0,001 |
2 ступень | 5,65 | 0,080 | 5,85 | 0,020 | 4,58 | 0,010 |
3 ступень | 11,31 | 0160 | 11,31 | 0,040 | 9,12 | 0,020 |
4 ступень | 16,96 | 0,240 | 22,62 | 0,080 | 16,24 | 0,040 |
5 ступень | 22,62 | 0,320 | 33,93 | 0,120 | 36,48 | 0,080 |
6 ступень | 28,27 | 0,400 | 45,24 | 0,160 | 54,72 | 0,120 |
7 ступень | 31,81 | 0,450 | 56,55 | 0,200 | 72,96 | 0,160 |
8 ступень | 35,34 | 0,500 | 70,69 | 0,250 | 91,21 | 0,200 |
Поверку устройства для испытания давлением с применением нагрузочной плиты проводят в интервале температур между 10 °C и 35 °C.
Отклонение показаний измерений q, в %, отнесенное к Fmax, рассчитывают по Уравнению (А.1):

(А.1)
где Fi - показания динамометра устройства для испытания давлением, в кН,
F - показания эталонного датчика усилия сжатия для поверочных целей, в кН,
Fmax - максимальная нагрузка при испытании давлением, в кН (8-ая ступень нагружения согласно
Таблице А.1).
Значение измерения каждой ступени нагружения должно включать допуск 1% от максимальной нагрузки при испытании штамповой установкой согласно
п. 4.2.3.
Если разница между показанием динамометра статического штампа Fi и показанием эталонного датчика усилия сжатия для поверочных целей F соответствующего значения измерения во время цикла нагружения составляет более 1%, а во время цикла разгрузки более 2% от максимальной нагрузки при испытании давлением с применением нагрузочной плиты Fmax, то требуется юстировка динамометра для испытания давлением в соответствии с инструкцией по эксплуатации изготовителя, и поверку следует повторить.
Отклонение от нуля при полной разгрузке после времени ожидания 1 мин не может составлять более 0,2% от максимальной нагрузки.
А4.2 Поверка устройства для измерения осадки
Считывающее устройство аппаратуры для испытания давлением устанавливают на твердое, горизонтальное и ровное основание. Прибор для измерения осадки (датчик перемещения или стрелочный индикатор) зажимают в считывающее устройство аппаратуры для испытания давлением.
Поверку устройства для измерения осадки проводят для трех различных положений нулевой точки (3 ряда измерений) устройства для измерения осадки. Для каждого положения нулевой точки проводят ряд измерений минимум с 5 точками измерений (начиная с максимального перемещения при поверке). Эти точки измерения распределяют равномерно по всей области измерения устройства для измерения осадки с учетом перемещения при поверке в 10 мм или 15 мм.
Величина шага при поверке считывающего устройства должна составлять 0,5 мм.
Соответствующие показания устройства для измерения осадки для каждого из 3-х рядов измерений заносят в протокол поверки.
Поверку проводят в интервале температур между 10 °C и 35 °C. В протокол поверки следует внести температуру в помещении в момент поверки.
Если разница между показанием устройства для измерения осадки и соответствующим показанием плоскопараллельной концевой меры или микрометра для одного значения измерения составляет более 0,04 мм, то устройство для измерения осадки прибора для испытания давлением юстируют согласно руководству по эксплуатации изготовителя и повторяют поверку.
Для штамповых установок с устройством для измерения осадки по принципу коромысла следует учитывать соотношение рычагов hp/hm.
А5. Оформление результатов поверки
Протокол поверки должен содержать следующие данные:
- заявителя;
- изготовителя устройств;
- тип устройства;
- номер устройства;
- год изготовления устройств;
- температуру в помещении при поверке;
- дату;
- место поверки и персонал, проводящий поверку;
- применявшиеся средства для испытания и подтверждение восстановления;
- общее состояние штамповой установки при доставке;
- отклонения геометрических параметров нагрузочной плиты и считывающего устройства от заданных значений;
- данные, касающиеся соотношения рычагов устройства для измерения осадки;
- отклонения считываемых на динамометре действительных значений от заданных значений, в %;
- отклонения считываемых на устройстве для измерения осадки действительных значений от заданных значений, в мм;
- результат поверки (результат испытания).
ПРИМЕР РАСЧЕТА НЕСУЩЕЙ СПОСОБНОСТИ ПО ДАННЫМ
ИСПЫТАНИЙ СТАТИЧЕСКОЙ ШТАМПОВОЙ УСТАНОВКОЙ
В результате проведенных штамповых испытаний статической установкой с диаметром нагрузочной плиты 300 мм, получены данные, указанные в таблице Б.1:
Этап | Первичное нагружение | Разгрузка | Вторичное нагружение |
 , МН/м 2 | 0 | 0,08 | 0,16 | 0,25 | 0,33 | 0,42 | 0,5 | 0,25 | 0,125 | 0,01 | 0,08 | 0,16 | 0,25 | 0,33 | 0,42 |
s, мм | 0 | 1,55 | 2,39 | 2,97 | 3,39 | 3,83 | 4,2 | 4,12 | 3,71 | 2,59 | 3,09 | 3,53 | 3,83 | 3,99 | 4,13 |
На основании табличных данных на рисунке Б.1 построен график с полиномиальными кривыми общей деформации, разгрузки, упругой деформации:
Рисунок Б.1 - График испытания статической
штамповой установкой
По графику находят необходимые для дальнейшего расчета значения показателей при нагрузке 30% и 70% от максимального ее значения (Таблица Б.2).
Таблица Б.2
| | | | | | | |
МН/м2 | МН/м2 | мм | мм | МН/м2 | МН/м2 | мм | мм |
0,15 | 0,35 | 2,32 | 3,49 | 0,15 | 0,35 | 3,48 | 4,02 |
Далее в соответствии с вышеописанным алгоритмом определяют модуль общей деформации

:
Затем рассчитывают модуль упругости

:
В завершение вычисляют модульный коэффициент KE:
В результате проведенных испытаний статической штамповой установкой, определен модуль упругости объекта

при
KE = 2,16.