



Обозначение типовых ситуаций (ТС) | Краткое описание ТС | Информация относительно |
ТС-1 | Однотипные изделия находятся в одинаковых условиях и показатели надежности этих элементов одинаковы | |
ТС-2 | Однотипные изделия находятся в различных условиях. Известны отношения параметров законов распределения элементов | Известно |
ТС-3 | Однотипные изделия находятся в различных условиях. Известны диапазоны изменения отношения параметров в зависимости от нахождения в тех или иных условиях | Известны диапазоны изменения |
![]() | ||
ТС-4 | Однотипные изделия находятся в различных условиях. Заведомо известно, что показатели в одних условиях больше, чем в других | Известно, что |
, характеризующих отношение параметров распределений, описывающих дополнительную и основную информацию. Для рассмотренных законов распределения эти отношения приведены в табл. 2.Закон распределения | Плотность вероятности распределения | Известный параметр | Отношения параметров распределений |
Экспоненциальный | ![]() | - | ![]() |
Нормальный | ![]() | ![]() | |
Логарифмически нормальный | ![]() | ![]() | |
Вейбулла | ![]() | ![]() |

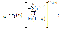
- точечные оценки показателей надежности составных частей;
- коэффициент, учитываемый при оценке гамма-процентной наработки до отказа для нормального распределения;
- коэффициент, учитываемый при оценке нижней доверительной границы вероятности безотказной работы при биномиальных испытаниях;Термин | Пояснение |
1. Цензурирование справа | Событие, приводящее к прекращению испытаний или эксплуатационных наблюдений объекта до наступления отказа (предельного состояния) изучаемого характера. |
Цензурирование | |
Примечание. Причинами цензурирования являются: | |
разновременность начала и (или) окончания испытаний или эксплуатации изделий; | |
снятие с испытаний или эксплуатации некоторых изделий по организационным причинам или из-за отказов составных частей, надежность которых не исследуется; | |
перевод изделий из одного режима применения в другой в процессе испытаний или эксплуатации; | |
необходимость оценки надежности до наступления отказов всех испытываемых изделий | |
2. Наработка до цензурирования | Наработка объекта от начала испытаний или эксплуатационных наблюдений до наступления цензурирования |
3. Цензурированная выборка | Выборка, элементами которой являются значения наработки до отказа и наработки до цензурирования |
4. Однократно цензурированная выборка | Цензурированная выборка, в которой значения всех наработок до цензурирования равны между собой и не меньше наибольшей наработки до отказа |
5. Многократно цензурированная выборка | Цензурированная выборка, в которой значения наработок до цензурирования не равны между собой |
6. Позитивный показатель надежности | Показатель надежности, значение которого увеличивается при повышении надежности объекта. |
К позитивным показателям относятся, например, средняя наработка до отказа, гамма-процентный ресурс и т.д. | |
7. Негативный показатель надежности | Показатель надежности, значение которого уменьшается при повышении надежности. |
К негативным показателям относятся, например, интенсивность отказов, среднее время восстановления и т.д. | |
8. Объем совокупности | Число единиц продукции (объектов), составляющих генеральную совокупность |
Вид объекта | Показатель надежности | План испытаний | Примечание |
Невосстанавливаемый | Средняя наработка до отказа | [NUN], [NUr], [NUz], [NUT], [NRr], [NRT] | Для сокращения продолжительности испытаний применяют планы [NRr], [NRT] |
Гамма-процентная наработка до отказа | |||
Интенсивность отказов | Для повышения точности оценок показателей - [NUN] | ||
Вероятность безотказной работы | [NUT] | ||
Восстанавливаемый (ремонтируемый) | Средняя наработка на отказ | [NMr], [NMT] | |
Средний ресурс (срок службы) | [NUN], [NUr], [NUT], [NUZ], [NRr], [NRT] | Рассматривают применительно к предельным состояниям. | |
Гамма-процентный ресурс (срок службы) | |||
Для сокращения продолжительности испытаний применяют планы [NRr], [NRT] | |||
Для повышения точности оценок показателей - [NUN] | |||
Среднее время восстановления | [NMr], [NMT] | Рассматривают применительно к восстановлению работоспособного состояния и переходят к плану [rUr] | |
Коэффициент готовности | [NMr], [NMT] | ||
Произвольного вида | Средний срок сохраняемости | [NUT] | |
Гамма-процентный срок сохраняемости | [NUr] |

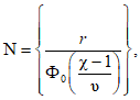
; 0,15; q = 0,90; 0,95;
; 0,20; q = 0,80; 0,90;
; q = 0,90.
:





q* | q | N при | |||||
0,10 | 0,15 | 0,20 | 0,25 | 0,30 | |||
0,05 | - | 0,80 | 4 | 8 | 12 | 19 | 26 |
0,80 | 0,90 | 8 | 16 | 28 | 40 | 65 | |
0,90 | 0,95 | 13 | 26 | 45 | 65 | 100 | |
0,95 | 0,975 | 18 | 37 | 65 | 100 | 150 | |
0,98 | 0,99 | 25 | 52 | 90 | 140 | 200 | |
0,10 | - | 0,80 | 2 | 3 | 4 | 6 | 8 |
0,80 | 0,90 | 3 | 5 | 8 | 12 | 16 | |
0,90 | 0,95 | 5 | 8 | 13 | 19 | 26 | |
0,95 | 0,975 | 6 | 11 | 18 | 26 | 38 | |
0,98 | 0,99 | 8 | 15 | 25 | 37 | 52 | |
0,15 | - | 0,80 | 1 | 2 | 3 | 4 | 4 |
0,80 | 0,90 | 3 | 3 | 5 | 6 | 8 | |
0 90 | 0,95 | 4 | 5 | 7 | 10 | 13 | |
0,95 | 0,975 | 5 | 6 | 10 | 13 | 18 | |
0,98 | 0,99 | 6 | 8 | 13 | 18 | 25 | |
0,20 | - | 0,80 | 1 | 1 | 2 | 3 | 3 |
0,80 | 0,90 | 3 | 3 | 4 | 4 | 6 | |
0,90 | 0,95 | 3 | 4 | 5 | 7 | 8 | |
0,95 | 0,975 | 4 | 5 | 6 | 9 | 11 | |
0,98 | 0,99 | 5 | 7 | 8 | 12 | 16 | |


q | 2,7 | 2,1 | 1,7 | 1,45 | 1,26 | 1,1 | 1 | |
0,05 | 0,80 | 30 | 53 | 84 | 119 | 157 | 207 | 251 |
0,90 | 77 | 134 | 203 | 282 | 378 | 495 | 500 | |
0,95 | 133 | 221 | 343 | 472 | 500 | 500 | 500 | |
0,99 | 266 | 448 | 500 | 500 | 500 | 500 | 500 | |
0,10 | 0,80 | 6 | 10 | 17 | 24 | 33 | 45 | 57 |
0,90 | 16 | 28 | 45 | 63 | 85 | 115 | 139 | |
0,95 | 28 | 48 | 76 | 107 | 144 | 190 | 231 | |
0,99 | 59 | 100 | 156 | 218 | 290 | 385 | 468 | |
0,15 | 0,80 | 2 | 3 | 6 | 9 | 12 | 18 | 21 |
0,90 | 6 | 11 | 17 | 25 | 33 | 45 | 55 | |
0,95 | 11 | 19 | 30 | 42 | 57 | 76 | 94 | |
0,99 | 23 | 40 | 62 | 88 | 121 | 157 | 191 | |
0,20 | 0,80 | 1 | 1 | 3 | 4 | 6 | 8 | 10 |
0,90 | 3 | 5 | 8 | 12 | 17 | 22 | 28 | |
0,95 | 5 | 9 | 15 | 21 | 29 | 39 | 48 | |
0,99 | 11 | 20 | 31 | 60 | 81 | 98 |

.
.q* | q | ||||||
0,10 | 0,15 | 0,20 | 0,25 | 0,30 | |||
0,05 | - | 0,80 | 2 | 4 | 5 | 6 | 7 |
0,80 | 0,90 | 4 | 6 | 7 | 8 | 9 | |
0,90 | 0,95 | 5 | 7 | 8 | 9 | 9 | |
0,95 | 0,975 | 6 | 8 | 9 | 9 | 9 | |
0,98 | 0,99 | 7 | 8 | 9 | 9 | 10 | |
0,10 | - | 0,80 | 1 | 1 | 2 | 3 | 4 |
0,80 | 0,90 | 1 | 3 | 4 | 5 | 6 | |
0,90 | 0,95 | 2 | 4 | 5 | 6 | 7 | |
0,95 | 0,975 | 3 | 5 | 6 | 7 | 8 | |
0,98 | 0,99 | 4 | 5 | 7 | 8 | 8 | |
0,15 | - | 0,80 | 1 | 1 | 1 | 2 | 2 |
0,80 | 0,90 | 1 | 1 | 2 | 3 | 4 | |
0,90 | 0,95 | 1 | 2 | 3 | 4 | 5 | |
0,95 | 0,975 | 1 | 3 | 4 | 5 | 6 | |
0,98 | 0,99 | 2 | 4 | 5 | 6 | 7 | |
0,20 | - | 0,80 | 1 | 1 | 1 | 1 | 1 |
0,80 | 0,90 | 1 | 1 | 1 | 2 | 3 | |
0,90 | 0,95 | 1 | 1 | 2 | 3 | 4 | |
0,95 | 0,975 | 1 | 2 | 3 | 4 | 5 | |
0,98 | 0,99 | 1 | 2 | 4 | 5 | 5 | |

q* | q | N при | |||||
0,10 | 0,15 | 0,20 | 0,25 | 0,30 | |||
0,05 | - | 0,80 | 2 | 5 | 7 | 9 | 11 |
0,80 | 0,90 | 5 | 9 | 11 | 13 | 15 | |
0,90 | 0,95 | 7 | 11 | 14 | 15 | 17 | |
0,95 | 0,975 | 9 | 13 | 15 | 17 | 17 | |
0,98 | 0,99 | 10 | 14 | 16 | 17 | 18 | |
0,10 | - | 0,80 | 1 | 1 | 2 | 4 | 5 |
0,80 | 0,90 | 2 | 3 | 5 | 7 | 9 | |
0,90 | 0,95 | 2 | 5 | 7 | 9 | 11 | |
0,95 | 0,975 | 3 | 6 | 9 | 11 | 13 | |
0,98 | 0,99 | 4 | 8 | 10 | 13 | 14 | |
0,15 | - | 0,80 | 1 | 1 | 1 | 2 | 2 |
0,80 | 0,90 | 1 | 2 | 3 | 4 | 5 | |
0,90 | 0,95 | 1 | 2 | 4 | 5 | 7 | |
0,95 | 0,975 | 2 | 3 | 5 | 7 | 9 | |
0,98 | 0,99 | 2 | 4 | 6 | 9 | 10 | |
0,20 | - | 0,80 | 1 | 1 | 1 | 1 | 1 |
0,80 | 0,90 | 1 | 1 | 2 | 2 | 3 | |
0,90 | 0,95 | 1 | 1 | 2 | 3 | 5 | |
0,95 | 0,975 | 1 | 2 | 3 | 5 | 6 | |
0,98 | 0,99 | 1 | 3 | 4 | 6 | 8 | |
q* | q | N при | |||||
0,10 | 0,15 | 0,20 | 0,25 | 0,30 | |||
0,05 | - | 0,80 | 3 | 5 | 8 | 11 | 14 |
0,80 | 0,90 | 5 | 10 | 14 | 17 | 20 | |
0,90 | 0,95 | 8 | 13 | 18 | 21 | 23 | |
0,95 | 0,975 | 10 | 16 | 20 | 23 | 25 | |
0,98 | 0,99 | 13 | 19 | 22 | 25 | 26 | |
0,10 | - | 0,80 | 1 | 2 | 3 | 4 | 5 |
0,80 | 0,90 | 2 | 3 | 5 | 8 | 10 | |
0,90 | 0,95 | 2 | 5 | 8 | 11 | 13 | |
0,95 | 0,975 | 3 | 7 | 10 | 13 | 16 | |
0,98 | 0,99 | 5 | 9 | 13 | 16 | 19 | |
0,15 | - | 0,80 | 1 | 1 | 1 | 2 | 3 |
0,80 | 0,90 | 1 | 2 | 3 | 4 | 5 | |
0,90 | 0,95 | 1 | 2 | 4 | 6 | 8 | |
0,95 | 0,975 | 2 | 3 | 6 | 8 | 10 | |
0,98 | 0,99 | 2 | 5 | 7 | 10 | 13 | |
0,20 | - | 0,80 | 1 | 1 | 1 | 1 | 2 |
0,80 | 0,90 | 1 | 1 | 2 | 2 | 3 | |
0,90 | 0,95 | 1 | 1 | 2 | 4 | 5 | |
0,95 | 0,975 | 1 | 2 | 3 | 5 | 7 | |
0,98 | 0,99 | 1 | 3 | 5 | 7 | 9 | |
q* | q | N при | |||||
0,10 | 0,15 | 0,20 | 0,25 | 0,30 | |||
0,05 | - | 0,80 | 3 | 6 | 9 | 12 | 16 |
0,80 | 0,90 | 6 | 11 | 16 | 20 | 24 | |
0,90 | 0,95 | 9 | 15 | 21 | 25 | 28 | |
0,95 | 0,975 | 11 | 19 | 24 | 28 | 31 | |
0,98 | 0,99 | 14 | 22 | 27 | 31 | 33 | |
0,10 | - | 0,80 | 1 | 2 | 3 | 4 | 6 |
0,80 | 0,90 | 2 | 3 | 6 | 8 | 11 | |
0,90 | 0,95 | 3 | 5 | 9 | 12 | 15 | |
0,95 | 0,975 | 4 | 7 | 11 | 15 | 19 | |
0,98 | 0,99 | 5 | 9 | 14 | 18 | 22 | |
0,15 | - | 0,80 | 1 | 1 | 1 | 2 | 3 |
0,80 | 0,90 | 1 | 2 | 3 | 4 | 6 | |
0,90 | 0,95 | 1 | 3 | 4 | 6 | 9 | |
0,95 | 0,975 | 2 | 4 | 6 | 8 | 11 | |
0,98 | 0,99 | 2 | 5 | 8 | 11 | 14 | |
0,20 | - | 0,80 | 1 | 1 | 1 | 1 | 2 |
0,80 | 0,90 | 1 | 1 | 2 | 2 | 3 | |
0,90 | 0,95 | 1 | 1 | 3 | 4 | 5 | |
0,95 | 0,975 | 1 | 2 | 4 | 5 | 7 | |
0,98 | 0,99 | 1 | 3 | 5 | 7 | 9 | |
q* | q | N при | |||||
0,10 | 0,15 | 0,20 | 0,25 | 0,30 | |||
0,05 | - | 0,80 | 3 | 6 | 9 | 13 | 17 |
0,80 | 0,90 | 6 | 11 | 17 | 23 | 27 | |
0,90 | 0,95 | 9 | 16 | 23 | 29 | 33 | |
0,95 | 0,975 | 12 | 20 | 28 | 33 | 37 | |
0,98 | 0,99 | 15 | 25 | 32 | 37 | 40 | |
0,10 | - | 0,80 | 1 | 2 | 3 | 4 | 6 |
0,80 | 0,90 | 2 | 3 | 6 | 9 | 11 | |
0,90 | 0,95 | 3 | 5 | 9 | 13 | 16 | |
0,95 | 0,975 | 4 | 7 | 11 | 16 | 20 | |
0,98 | 0,99 | 5 | 10 | 15 | 20 | 25 | |
0,15 | - | 0,80 | 1 | 1 | 1 | 2 | 3 |
0,80 | 0,90 | 1 | 2 | 3 | 4 | 6 | |
0,90 | 0,95 | 1 | 3 | 4 | 7 | 9 | |
0,95 | 0,975 | 2 | 4 | 6 | 9 | 12 | |
0,98 | 0,99 | 2 | 5 | 8 | 12 | 15 | |
0,20 | - | 0,80 | 1 | 1 | 1 | 1 | 2 |
0,80 | 0,90 | 1 | 1 | 2 | 2 | 3 | |
0,90 | 0,95 | 1 | 1 | 3 | 4 | 5 | |
0,95 | 0,975 | 1 | 2 | 4 | 5 | 7 | |
0,98 | 0,99 | 1 | 3 | 5 | 7 | 10 | |

q* | q | N при | |||||||
0,4 | 0,5 | 0,6 | 0,7 | 0,8 | 0,9 | 1,0 | |||
0,05 | - | 0,80 | 15 | 21 | 25 | 27 | 29 | 30 | 31 |
0,80 | 0,90 | 24 | 29 | 31 | 32 | 33 | 34 | 34 | |
0,90 | 0,95 | 30 | 31 | 33 | 34 | 35 | 35 | 35 | |
0,95 | 0,975 | 30 | 32 | 34 | 35 | 35 | 35 | 36 | |
0,98 | 0,99 | 32 | 34 | 35 | 35 | 35 | 36 | 36 | |
0,10 | - | 0,80 | 5 | 7 | 11 | 13 | 16 | 18 | 21 |
0,80 | 0,90 | 10 | 15 | 19 | 22 | 24 | 26 | 27 | |
0,90 | 0,95 | 15 | 19 | 23 | 26 | 28 | 29 | 30 | |
0,95 | 0,975 | 18 | 22 | 25 | 27 | 29 | 30 | 31 | |
0,98 | 0,99 | 21 | 25 | 27 | 29 | 31 | 32 | 32 | |
0,15 | - | 0,80 | 2 | 3 | 5 | 7 | 8 | 11 | 12 |
0,80 | 0,90 | 5 | 8 | 11 | 14 | 16 | 18 | 20 | |
0,90 | 0,95 | 8 | 12 | 15 | 17 | 20 | 22 | 24 | |
0,95 | 0,975 | 10 | 14 | 18 | 20 | 22 | 24 | 25 | |
0,98 | 0,99 | 13 | 17 | 20 | 23 | 25 | 26 | 27 | |
0,20 | - | 0,80 | 1 | 1 | 3 | 4 | 5 | 6 | 7 |
0,80 | 0,90 | 3 | 4 | 6 | 8 | 10 | 12 | 14 | |
0,90 | 0,95 | 4 | 7 | 10 | 12 | 14 | 16 | 18 | |
0,95 | 0,975 | 6 | 9 | 12 | 15 | 17 | 19 | 20 | |
0,98 | 0,99 | 8 | 11 | 14 | 17 | 19 | 21 | 23 | |
q* | q | N при | |||||||
0,4 | 0,5 | 0,6 | 0,7 | 0,8 | 0,9 | 1,0 | |||
0,05 | - | 0,80 | 17 | 23 | 29 | 32 | 35 | 37 | 38 |
0,80 | 0,90 | 28 | 34 | 37 | 39 | 41 | 42 | 42 | |
0,90 | 0,95 | 34 | 37 | 40 | 42 | 43 | 43 | 44 | |
0,95 | 0,975 | 36 | 39 | 42 | 43 | 43 | 44 | 44 | |
0,98 | 0,99 | 38 | 42 | 43 | 44 | 44 | 44 | 45 | |
0,10 | - | 0,80 | 5 | 8 | 11 | 14 | 17 | 21 | 24 |
0,80 | 0,90 | 11 | 16 | 21 | 25 | 28 | 31 | 33 | |
0,90 | 0,95 | 16 | 22 | 26 | 30 | 33 | 35 | 36 | |
0,95 | 0,975 | 20 | 23 | 30 | 33 | 35 | 37 | 38 | |
0,98 | 0,99 | 24 | 29 | 33 | 36 | 37 | 39 | 40 | |
0,15 | - | 0,80 | 2 | 3 | 5 | 7 | 9 | 12 | 13 |
0,80 | 0,90 | 5 | 8 | 12 | 15 | 17 | 21 | 22 | |
0,90 | 0,95 | 9 | 13 | 16 | 20 | 23 | 26 | 28 | |
0,95 | 0,975 | 11 | 16 | 20 | 23 | 26 | 29 | 30 | |
0,98 | 0,99 | 14 | 19 | 24 | 27 | 30 | 32 | 33 | |
0,20 | - | 0,80 | 1 | 1 | 3 | 4 | 5 | 6 | 7 |
0,80 | 0,90 | 3 | 4 | 6 | 9 | 11 | 13 | 16 | |
0,90 | 0,95 | 4 | 7 | 11 | 13 | 16 | 18 | 21 | |
0,95 | 0,975 | 6 | 10 | 13 | 16 | 19 | 22 | 24 | |
0,98 | 0,99 | 8 | 13 | 16 | 20 | 22 | 25 | 27 | |

q* | q | N при | |||||
0,10 | 0,15 | 0,20 | 0,25 | 0,30 | |||
0,05 | - | 0,80 | 7 | 17 | 34 | 58 | 94 |
0,80 | 0,90 | 16 | 40 | 78 | 135 | 217 | |
0,90 | 0,95 | 27 | 65 | 128 | 222 | 356 | |
0,95 | 0,975 | 38 | 93 | 182 | 315 | 506 | |
0,98 | 0,99 | 53 | 130 | 256 | 443 | 712 | |
0,10 | - | 0,80 | 2 | 5 | 9 | 15 | 24 |
0,80 | 0,90 | 4 | 10 | 20 | 34 | 55 | |
0,90 | 0,95 | 7 | 17 | 32 | 56 | 89 | |
0,95 | 0,975 | 10 | 24 | 46 | 79 | 127 | |
0,98 | 0,99 | 14 | 33 | 64 | 111 | 178 | |
0,15 | - | 0,80 | 1 | 2 | 4 | 7 | 11 |
0,80 | 0,90 | 2 | 5 | 9 | 15 | 25 | |
0,90 | 0,95 | 3 | 8 | 15 | 25 | 40 | |
0,95 | 0,975 | 5 | 11 | 21 | 35 | 57 | |
0,98 | 0,99 | 6 | 15 | 29 | 50 | 80 | |
0,20 | - | 0,80 | 1 | 2 | 3 | 4 | 6 |
0,80 | 0,90 | 1 | 3 | 5 | 9 | 14 | |
0,90 | 0,95 | 2 | 5 | 8 | 14 | 23 | |
0,95 | 0,975 | 3 | 6 | 12 | 20 | 32 | |
0,98 | 0,99 | 4 | 9 | 16 | 28 | 45 | |




q* | q | N при | |||||
0,10 | 0,15 | 0,20 | 0,25 | 0,30 | |||
0,05 | - | 0,80 | 11 | 29 | 60 | 112 | 196 |
0,80 | 0,90 | 26 | 66 | 139 | 260 | 455 | |
0,90 | 0,95 | 42 | 109 | 228 | 427 | 749 | |
0,95 | 0,975 | 59 | 155 | 324 | 606 | 1064 | |
0,98 | 0,99 | 83 | 218 | 456 | 853 | 1498 | |
0,10 | - | 0,80 | 3 | 8 | 15 | 28 | 49 |
0,80 | 0,90 | 7 | 17 | 35 | 65 | 114 | |
0,90 | 0,95 | 11 | 28 | 57 | 107 | 188 | |
0,95 | 0,975 | 15 | 39 | 81 | 152 | 266 | |
0,98 | 0,99 | 21 | 55 | 114 | 214 | 375 | |
0,15 | - | 0,80 | 2 | 4 | 7 | 13 | 22 |
0,80 | 0,90 | 3 | 8 | 16 | 29 | 51 | |
0,90 | 0,95 | 5 | 13 | 26 | 48 | 84 | |
0,95 | 0,975 | 7 | 18 | 36 | 68 | 119 | |
0,98 | 0,99 | 10 | 25 | 51 | 95 | 167 | |
0,20 | - | 0,80 | 1 | 2 | 4 | 7 | 13 |
0,80 | 0,90 | 2 | 5 | 9 | 17 | 29 | |
0,90 | 0,95 | 3 | 7 | 15 | 27 | 47 | |
0,95 | 0,975 | 4 | 10 | 21 | 38 | 67 | |
0,98 | 0,99 | 6 | 14 | 29 | 54 | 94 | |








или P(t) | q | N или r | ||||||||||||||
0 | 1 | 2 | 3 | 4 | 5 | 6 | 8 | 10 | 15 | 20 | 25 | 32 | 40 | 50 | ||
0,50 | 0,80 | - | - | - | 8 | 10 | 13 | 13 | 20 | 25 | 32 | 40 | 50 | 65 | 80 | 100 |
0,90 | - | - | 6 | 8 | 10 | 13 | 15 | 20 | 25 | 32 | 40 | 50 | 65 | 80 | 100 | |
0,95 | - | - | 8 | 10 | 13 | 15 | 20 | 25 | 32 | 40 | 50 | 65 | 80 | 100 | 125 | |
0,99 | 6 | 10 | 10 | 13 | 15 | 20 | 20 | 25 | 32 | 50 | 65 | 65 | 80 | 100 | 125 | |
0,80 | 0,80 | 8 | 8 | 13 | 20 | 25 | 32 | 40 | 50 | 65 | 80 | 125 | 150 | 150 | 200 | - |
0,90 | 10 | 10 | 15 | 25 | 32 | 40 | 40 | 50 | 65 | 100 | 125 | 150 | 200 | - | - | |
0,95 | 13 | 13 | 20 | 32 | 40 | 40 | 50 | 65 | 80 | 100 | 125 | 150 | 200 | - | - | |
0,99 | 20 | 20 | 25 | 32 | 40 | 50 | 50 | 65 | 80 | 125 | 150 | 150 | 200 | - | - | |
0,90 | 0,80 | 15 | 15 | 32 | 40 | 50 | 65 | 80 | 100 | 125 | 200 | 200 | 200 | - | - | - |
0,90 | 20 | 20 | 32 | 50 | 65 | 80 | 80 | 100 | 150 | 200 | 200 | - | - | - | - | |
0,95 | 20 | 25 | 40 | 50 | 65 | 80 | 100 | 125 | 150 | 200 | - | - | - | - | - | |
0,99 | 32 | 50 | 80 | 80 | 100 | 125 | 125 | 150 | 200 | - | - | - | - | - | - | |
0,95 | 0,80 | 32 | 32 | 50 | 80 | 100 | 125 | 150 | 150 | 200 | - | - | - | - | - | - |
0,90 | 50 | 50 | 65 | 100 | 100 | 125 | 150 | 200 | - | - | - | - | - | - | - | |
0,95 | 50 | 65 | 80 | 125 | 150 | 200 | - | - | - | - | - | - | - | - | - | |
0,99 | 65 | 65 | 100 | 125 | 150 | 150 | 200 | - | - | - | - | - | - | - | - | |
r при q | ||||
0,80 | 0,90 | 0,95 | 0,99 | |
0,05 | 331/251 | > 500/> 500 | > 500/> 500 | > 500/> 500 |
0,10 | 88/57 | 217/139 | 346/231 | > 500/468 |
0,15 | 56/21 | 114/55 | 170/94 | 358/191 |
0,20 | 29/10 | 59/28 | 116/48 | 232/98 |
d | q | P(T) | ||||
0,80 | 0,85 | 0,90 | 0,95 | 0,975 | ||
0 | 0,80 | 7 | 10 | 15 | 31 | 64 |
0,90 | 10 | 14 | 22 | 45 | 91 | |
0,95 | 13 | 18 | 28 | 58 | 118 | |
0,99 | 21 | 28 | 44 | 90 | 182 | |
1 | 0,80 | 14 | 19 | 29 | 59 | 119 |
0,90 | 18 | 25 | 38 | 77 | 154 | |
0,95 | 22 | 30 | 46 | 93 | 188 | |
0,99 | 31 | 42 | 64 | 130 | 263 | |
2 | 0,80 | 21 | 28 | 42 | 85 | 170 |
0,90 | 25 | 34 | 52 | 105 | 212 | |
0,95 | 30 | 40 | 61 | 124 | 250 | |
0,99 | 39 | 53 | 81 | 165 | 333 | |
3 | 0,80 | 27 | 36 | 54 | 109 | 220 |
0,90 | 32 | 43 | 65 | 132 | 266 | |
0,95 | 37 | 50 | 75 | 153 | 308 | |
0,99 | 47 | 64 | 97 | 198 | 399 | |
4 | 0,80 | 32 | 44 | 66 | 133 | 268 |
0,90 | 38 | 52 | 78 | 158 | 318 | |
0,95 | 43 | 59 | 89 | 181 | 364 | |
0,99 | 54 | 74 | 112 | 229 | 461 | |
5 | 0,80 | 38 | 52 | 78 | 157 | 315 |
0,90 | 44 | 60 | 91 | 184 | 369 | |
0,95 | 50 | 68 | 103 | 208 | 418 | |
0,99 | 62 | 83 | 127 | 258 | > 500 | |
6 | 0,80 | 44 | 59 | 89 | 180 | 362 |
0,90 | 51 | 68 | 103 | 209 | 419 | |
0,95 | 56 | 76 | 116 | 234 | 471 | |
0,99 | 69 | 93 | 142 | 287 | > 500 | |
7 | 0,80 | 50 | 67 | 101 | 203 | 408 |
0,90 | 57 | 76 | 116 | 233 | 469 | |
0,95 | 63 | 85 | 129 | 260 | > 500 | |
0,99 | 76 | 102 | 156 | 316 | > 500 | |
8 | 0,80 | 55 | 74 | 112 | 226 | 454 |
0,90 | 63 | 84 | 128 | 258 | > 500 | |
0,95 | 69 | 93 | 141 | 286 | > 500 | |
0,99 | 82 | 111 | 170 | 344 | > 500 | |
9 | 0,80 | 61 | 82 | 124 | 249 | 499 |
0,90 | 69 | 92 | 140 | 282 | > 500 | |
0,95 | 75 | 102 | 154 | 311 | > 500 | |
0,99 | 89 | 120 | 183 | 371 | > 500 | |
10 | 0,80 | 67 | 89 | 135 | 271 | > 500 |
0,90 | 74 | 100 | 152 | 306 | > 500 | |
0,95 | 81 | 110 | 166 | 336 | > 500 | |
0,99 | 96 | 129 | 197 | 398 | > 500 | |
, d = 0;
, d >= 1,
;
, d >= 1,
.
q | r при | |||||||
0,1 | 0,2 | 0,3 | 0,4 | 0,6 | 0,8 | 1,0 | ||
0,05 | 0,80 | 6 | 15 | 25 | 50 | 100 | 200 | 315 |
0,90 | 13 | 32 | 65 | 125 | 250 | 400 | 650 | |
0,95 | 20 | 65 | 125 | 200 | 400 | 800 | 1000 | |
0,975 | 29 | 71 | 142 | 284 | 568 | 710 | 1000 | |
0,99 | 40 | 100 | 200 | 400 | 800 | 1000 | > 1000 | |
0,10 | 0,80 | 3 | 4 | 8 | 15 | 32 | 50 | 80 |
0,90 | 4 | 10 | 20 | 32 | 65 | 125 | 200 | |
0,95 | 6 | 15 | 32 | 50 | 125 | 200 | 315 | |
0,975 | 7 | 23 | 47 | 70 | 180 | 280 | 465 | |
0,99 | 10 | 32 | 65 | 100 | 250 | 400 | 650 | |
0,15 | 0,80 | 3 | 3 | 4 | 6 | 15 | 25 | 40 |
0,90 | 3 | 5 | 10 | 15 | 32 | 65 | 100 | |
0,95 | 3 | 8 | 15 | 25 | 50 | 100 | 150 | |
0,975 | 4 | 11 | 23 | 35 | 90 | 140 | 225 | |
0,99 | 6 | 15 | 32 | 50 | 125 | 200 | 315 | |
0,20 | 0,80 | 3 | 3 | 3 | 4 | 10 | 15 | 25 |
0,90 | 3 | 3 | 6 | 10 | 20 | 40 | 65 | |
0,95 | 3 | 5 | 10 | 15 | 32 | 65 | 100 | |
0,975 | 3 | 7 | 14 | 23 | 47 | 90 | 140 | |
0,99 | 3 | 10 | 20 | 32 | 65 | 125 | 200 | |


q | r при | |||||||
0,1 | 0,2 | 0,3 | 0,4 | 0,6 | 0,8 | 1,0 | ||
0,05 | 0,80 | 15 | 25 | 40 | 65 | 125 | 200 | 315 |
0,90 | 32 | 50 | 100 | 150 | 250 | 500 | 800 | |
0,95 | 50 | 100 | 150 | 250 | 500 | 800 | 1000 | |
0,975 | 70 | 140 | 225 | 350 | 700 | 1000 | > 1000 | |
0,99 | 100 | 200 | 315 | 500 | 1000 | > 1000 | > 1000 | |
0,10 | 0,80 | 4 | 6 | 10 | 15 | 32 | 50 | 80 |
0,90 | 8 | 15 | 25 | 40 | 80 | 125 | 200 | |
0,95 | 13 | 25 | 40 | 65 | 125 | 200 | 315 | |
0,975 | 18 | 36 | 57 | 90 | 180 | 285 | 462 | |
0,99 | 25 | 50 | 80 | 125 | 250 | 400 | 650 | |
0,15 | 0,80 | 3 | 3 | 5 | 8 | 15 | 25 | 40 |
0,90 | 4 | 6 | 10 | 20 | 40 | 65 | 100 | |
0,95 | 6 | 10 | 20 | 32 | 65 | 100 | 150 | |
0,975 | 10 | 14 | 28 | 47 | 90 | 140 | 225 | |
0,99 | 13 | 20 | 40 | 65 | 125 | 200 | 315 | |
0,20 | 0,80 | 3 | 3 | 3 | 5 | 10 | 15 | 25 |
0,90 | 3 | 4 | 6 | 10 | 20 | 40 | 65 | |
0,95 | 4 | 6 | 10 | 20 | 40 | 65 | 100 | |
0,975 | 6 | 10 | 14 | 28 | 56 | 90 | 140 | |
0,99 | 8 | 13 | 20 | 40 | 80 | 125 | 200 | |

q | r при | |||||||
0,1 | 0,2 | 0,3 | 0,4 | 0,6 | 0,8 | 1,0 | ||
0,05 | 0,80 | 25 | 40 | 50 | 80 | 125 | 200 | 315 |
0,90 | 65 | 80 | 125 | 200 | 315 | 500 | 800 | |
0,95 | 100 | 150 | 200 | 315 | 500 | 800 | 1000 | |
0,975 | 136 | 217 | 271 | 434 | 678 | 1000 | > 1000 | |
0,99 | 200 | 315 | 400 | 650 | 1000 | > 1000 | > 1000 | |
0,10 | 0,80 | 6 | 10 | 15 | 20 | 40 | 65 | 100 |
0,90 | 15 | 25 | 32 | 50 | 80 | 150 | 200 | |
0,95 | 25 | 40 | 50 | 80 | 150 | 250 | 400 | |
0,975 | 33 | 55 | 82 | 109 | 217 | 353 | 542 | |
0,99 | 50 | 80 | 100 | 150 | 250 | 400 | 650 | |
0,15 | 0,80 | 3 | 5 | 6 | 10 | 15 | 32 | 50 |
0,90 | 8 | 10 | 15 | 25 | 40 | 65 | 100 | |
0,95 | 13 | 15 | 25 | 40 | 65 | 100 | 150 | |
0,975 | 17 | 27 | 33 | 55 | 82 | 174 | 271 | |
0,99 | 25 | 32 | 50 | 80 | 125 | 200 | 315 | |
0,20 | 0,80 | 3 | 4 | 4 | 6 | 10 | 20 | 25 |
0,90 | 4 | 6 | 10 | 13 | 25 | 40 | 65 | |
0,95 | 6 | 10 | 15 | 20 | 40 | 65 | 100 | |
0,975 | 10 | 17 | 22 | 33 | 55 | 108 | 136 | |
0,99 | 13 | 20 | 32 | 40 | 80 | 125 | 200 | |

q | r при | |||||||
0,1 | 0,2 | 0,3 | 0,4 | 0,6 | 0,8 | 1,0 | ||
0,05 | 0,80 | 50 | 65 | 80 | 100 | 150 | 250 | 400 |
0,90 | 100 | 125 | 150 | 200 | 315 | 500 | 800 | |
0,95 | 150 | 200 | 250 | 400 | 650 | 1000 | > 1000 | |
0,975 | 271 | 353 | 434 | 542 | 813 | 1000 | > 1000 | |
0,99 | 315 | 400 | 500 | 800 | 1000 | > 1000 | > 1000 | |
0,10 | 0,80 | 13 | 15 | 20 | 25 | 40 | 65 | 100 |
0,90 | 25 | 32 | 40 | 65 | 100 | 150 | 250 | |
0,95 | 40 | 50 | 80 | 100 | 150 | 250 | 400 | |
0,975 | 71 | 82 | 109 | 136 | 217 | 353 | 542 | |
0,99 | 100 | 125 | 150 | 200 | 315 | 500 | 800 | |
0,15 | 0,80 | 5 | 6 | 8 | 10 | 20 | 32 | 50 |
0,90 | 13 | 15 | 20 | 25 | 50 | 80 | 100 | |
0,95 | 20 | 25 | 32 | 40 | 80 | 125 | 200 | |
0,975 | 27 | 33 | 44 | 55 | 109 | 173 | 271 | |
0,99 | 40 | 50 | 65 | 80 | 150 | 250 | 400 | |
0,20 | 0,80 | 3 | 4 | 5 | 6 | 13 | 20 | 32 |
0,90 | 6 | 8 | 13 | 15 | 25 | 40 | 65 | |
0,95 | 10 | 13 | 20 | 25 | 40 | 65 | 100 | |
0,975 | 17 | 22 | 27 | 33 | 71 | 109 | 173 | |
0,99 | 25 | 32 | 40 | 50 | 80 | 150 | 200 | |



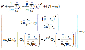
;
, i <= m.План испытаний | Формулы для определения | ||
средней наработки до отказа, среднего ресурса (срока служба, срока сохраняемости, времени восстановления) | гамма-процентной наработки, гамма-процентного ресурса (срока службы, срока сохраняемости) | вероятности безотказности работы за наработку t | |
[NUN] | ![]() | ![]() | ![]() |
[NUr] | ![]() | где | где |
[NUT] | |||
![]() | ![]() | ||
[NUz] | ![]() | ||
![]() | |||
![]() | |||
где ; | |||
![]() | |||
![]() | |||
где , таких, что | |||
![]() | |||
для изделий с возрастающей интенсивностью отказов | |||
или
, то
или
.
или
.
(k <= r), то
.Показатель надежности | Формулы для вычисления | |
нижней доверительной границы уровня q (НДГ) | верхней доверительной границы уровня q (ВДГ) | |
Средняя наработка до отказа, средний ресурс (срок службы, сохраняемости, время восстановления) | ![]() | ![]() |
Гамма-процентные показатели | ; | ; |
![]() | ![]() | |
![]() | ![]() | |
![]() | ![]() | |
Вероятность безотказной работы за наработку | ![]() | ![]() |
; | ; | |
, где {X} - целая часть X.
;
.
;
;
или
, то
;
или
;
;
или
соответственно.
(k <= r), то
;
.




Закон распределения с функцией | Формулы для вычисления | ||
средней наработки до отказа, среднего ресурса (срока службы, срока сохраняемости, времени восстановления) | вероятности безотказной работы за наработку | гамма-процентной наработки, гамма-процентного ресурса (срока службы, срока сохраняемости) | |
Экспоненциальный ![]() | ![]() | ||
Вейбулла ![]() | ![]() | ![]() | |
Нормальный ![]() | ![]() | ![]() | |
Диффузионный монотонный | ![]() | ![]() | ![]() |
Диффузионный немонотонный | ![]() | ![]() | |
План испытаний | Оценка параметра |
[NUN] | |
[NUr] | , r > 1 |
[NUT] | , d > 0 |
[NUz] | ![]() |
[NMr] | |
[NMT] |
План испытаний | Формулы для определения | |
[NUN] | ![]() | ![]() |
[NUr] | ![]() | ![]() |
[NUT] | ||
[NUz] | ![]() | ![]() |
План испытаний | Формулы для определения | |
[NUN] | ![]() | ![]() |
[NUT] | ![]() | ![]() |
[NUr] | ||
[NUz] | ![]() | ![]() |
План испытаний | Выражение для оценки параметров | |
[NUN] | ||
[NUr] | ||
[NUT] | ||
План испытаний | Расчетные формулы |
[NUN] | ; ![]() |
[NUr] | ![]() |
[NUN] | |
![]() | |
[NUz] | ![]() |
![]() |
План испытаний | Расчетные формулы |
[NUN] | ; ; ![]() |
[NUr] | ![]() |
[NUT] | |
![]() |
План испытаний | Расчетные формулы |
[NUN] | ![]() |
![]() | |
![]() | |
[NUr] | ![]() |
[NUT] |
Наименование показателя надежности | Формулы для вычисления доверительных границ уровня q | |
нижней | верхней | |
Средняя наработка до отказа (на отказ) | ||
Средний ресурс (срок службы, срок сохраняемости, время восстановления) | ||
Гамма-процентный ресурс (срок службы, срок сохраняемости) | ![]() | ![]() |
Вероятность безотказной работы за наработку t | ||
Интенсивность отказов | ||
План испытаний | Формулы для вычисления доверительных границ уровня q | |
нижней | верхней | |
[NUN] | ; N > 1 | ; N > 1 |
[NUr] | ; r > 1 | ; r > 1 |
[NMr] | ||
[NRr] | ||
[NUT] | , d > 0 | , d > 0 |
[NUz] | ![]() | ![]() |
[NMT] | ![]() | , d > 0 |
[NRT] | ||
Показатель надежности | Формулы для вычисления доверительных границ уровня q | |
нижней | верхней | |
Средняя наработка до отказа | ![]() | ![]() |
Средний ресурс (срок службы, срок сохраняемости, время восстановления) | ||
Гамма-процентная наработка до отказа | ![]() | ![]() |
Гамма-процентный ресурс (срок службы, срок сохраняемости) | ||
Вероятность безотказной работы за наработку | ![]() | - |
.

Показатель надежности | Формулы для вычисления доверительных границ уровня q | |
нижней | верхней | |
Средняя наработка до отказа | ![]() | ![]() |
Средний ресурс (срок службы, срок сохраняемости, время восстановления) | ||
Гамма-процентная наработка до отказа | ![]() | ![]() |
Гамма-процентный ресурс (срок службы, срок сохраняемости) | ||
![]() | ![]() | |
![]() | ![]() | |
Вероятность безотказной работы за наработку | ![]() | |
.
приведены в табл. 50.
Обозначение дисперсии и вспомогательной величины | Формулы для вычисления |
![]() | |
![]() | ![]() |
![]() | |
![]() | |
![]() | |
![]() | |
![]() | |
![]() | |
D | ![]() |
; r = d.
.Показатель надежности | Формулы для вычисления доверительных границ уровня | |
нижней | верхней | |
Средняя наработка до отказа (средний ресурс, срок службы, срок сохраняемости, время восстановления) | ![]() | ![]() |
Гамма-процентная наработка до отказа, гамма-процентный ресурс (срок службы, срок сохраняемости) | ![]() | ![]() |
Вероятность безотказной работы за наработку t | ![]() | ![]() |
где , | где , | |
![]() | ![]() | |
приведены в табл. 73 Приложения 9.
приведены в табл. 72 Приложения 9.
.

Показатель надежности | Формулы для вычисления доверительных границ уровня | |
нижней | верхней | |
Средняя наработка до отказа | ||
Средний ресурс (срок службы, срок сохраняемости, время восстановления) | ||
Гамма-процентная наработка до отказа | ![]() | ![]() |
Гамма-процентный ресурс (срок службы, срок сохраняемости) | ||
Вероятность безотказной работы за наработку t | ![]() | ![]() |
Показатель надежности | Формулы для вычисления доверительной границы уровня q | |
нижней | верхней | |
Средняя наработка до отказа | ![]() | ![]() |
Средний ресурс (срок службы, срок сохраняемости, время восстановления) | ||
Гамма-процентная наработка до отказа | ![]() | ![]() |
Гамма-процентный ресурс (срок службы, срок сохраняемости) | ||
Вероятность безотказной работы за наработку t | ![]() | ![]() |
План испытаний | НДГ уровня q | ВДГ уровня q |
[NUN] | ![]() | ![]() |
![]() | ![]() | |
[NUr] | ![]() | ![]() |
[NUT] | ||
![]() | ![]() |










Закон распределения | Формулы для определения |
Экспоненциальный | ![]() |
Вейбулла | ![]() |
( | |
Нормальный | ![]() |
( |
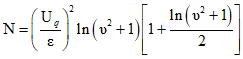
.ТС | Формула для определения | ||
ТС-1 | 1 | 1 | 1 |
ТС-2 | 1 | ||
ТС-3 | ![]() | ![]() | ![]() |
ТС-4 | 1 | 1 | ![]() |
.
.
.Закон распределения | Формулы для определения |
Экспоненциальный | ![]() |
Вейбулла | ![]() |
Нормальный | ![]() |



.
.
полученные по основной и дополнительной информации соответственно.




показателя надежности и их дисперсии
, полученные по основной дополнительной информации соответственно.
вычисляют по формулам:







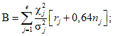
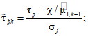
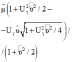
Коэффициент | План испытаний | Расчетное выражение |
A | [NUr], [NUT] | ![]() |
[NUz] | ![]() | |
B | [NUr], [NUT] | m + 0,64(N - m) |
[NUz] | r + 0,64(N - r) | |
C | [NUr], [NUT] | ![]() |
[NUz] | ![]() | |
D | [NUr], [NUT] | 0,8(N - m) |
[NUz] | 0,8(N - r) | |
E | [NUr], [NUT] | ![]() |
[NUz] | ![]() |














и
,





,
.



,
,
определяют по табл. 75 Приложения 9.
,
, x | |||
0, | 00 | 1,0000 | 1,0000 |
01 | 1,0101 | 0,9900 | |
02 | 1,0202 | 0,9802 | |
03 | 1,0305 | 0,9704 | |
04 | 1,0408 | 0,9608 | |
0, | 05 | 1,0513 | 0,9512 |
06 | 1,0618 | 0,9418 | |
07 | 1,0725 | 0,9324 | |
08 | 1,0833 | 0,9231 | |
09 | 1,0942 | 0,9139 | |
0, | 10 | 1,1052 | 0,9048 |
11 | 1,1163 | 0,8958 | |
12 | 1,1275 | 0,8869 | |
13 | 1,1388 | 0,8781 | |
14 | 1,1503 | 0,8694 | |
0, | 15 | 1,1618 | 0,8607 |
16 | 1,1835 | 0,8521 | |
17 | 1,1853 | 0,8437 | |
18 | 1,1972 | 0,8353 | |
19 | 1,2092 | 0,8270 | |
0, | 20 | 1,2214 | 0,8187 |
21 | 1,2337 | 0,8106 | |
22 | 1,2461 | 0,8025 | |
23 | 1,2586 | 0,7945 | |
24 | 1,2712 | 0,7866 | |
0, | 25 | 1,2840 | 0,7788 |
26 | 1,2969 | 0,7711 | |
27 | 1,3100 | 0,7634 | |
28 | 1,3231 | 0,7558 | |
29 | 1,3364 | 0,7483 | |
0, | 30 | 1,3499 | 0,7408 |
31 | 1,3634 | 0,7334 | |
32 | 1,3771 | 0,7261 | |
33 | 1,3910 | 0,7189 | |
34 | 1,4049 | 0,7118 | |
0, | 35 | 1,4191 | 0,7047 |
36 | 1,4333 | 0,6977 | |
37 | 1,4477 | 0,6907 | |
38 | 1,4623 | 0,6839 | |
39 | 1,4770 | 0,6771 | |
0, | 40 | 1,4918 | 0,6703 |
41 | 1,5068 | 0,6637 | |
42 | 1,5220 | 0,6570 | |
43 | 1,5373 | 0,6505 | |
44 | 1,5227 | 0,6440 | |
0, | 45 | 1,5683 | 0,6376 |
46 | 1,5841 | 0,6313 | |
47 | 1,6000 | 0,6250 | |
48 | 1,6161 | 0,6188 | |
49 | 1,6323 | 0,6126 | |
0, | 50 | 1,6487 | 0,6065 |
51 | 1,6658 | 0,6005 | |
52 | 1,6820 | 0,5945 | |
53 | 1,6989 | 0,5886 | |
54 | 1,7160 | 0,5827 | |
0, | 55 | 1,7333 | 0,5769 |
56 | 1,7507 | 0,5712 | |
57 | 1,7683 | 0,5655 | |
58 | 1,7860 | 0,5599 | |
59 | 1,8040 | 0,5543 | |
0, | 60 | 1,8221 | 0,5488 |
61 | 1,8404 | 0,5434 | |
62 | 1,8589 | 0,5379 | |
63 | 1,8776 | 0,5326 | |
64 | 1,8965 | 0,5273 | |
0, | 65 | 1,9155 | 0,5220 |
66 | 1,9348 | 0,5169 | |
67 | 1,9542 | 0,5117 | |
68 | 1,9739 | 0,5066 | |
69 | 1,9937 | 0,5016 | |
0, | 70 | 2,0138 | 0,4966 |
71 | 2,0340 | 0,4916 | |
72 | 2,0544 | 0,4868 | |
73 | 2,0751 | 0,4819 | |
74 | 2,0959 | 0,4771 | |
0, | 75 | 2,1170 | 0,4724 |
76 | 2,1383 | 0,4677 | |
77 | 2,1598 | 0,4630 | |
78 | 2,1815 | 0,4584 | |
79 | 2,2034 | 0,4538 | |
0, | 80 | 2,2255 | 0,4493 |
81 | 2,2479 | 0,4449 | |
82 | 2,2705 | 0,4404 | |
83 | 2,2933 | 0,4360 | |
84 | 2,3164 | 0,4317 | |
0, | 85 | 2,3396 | 0,4274 |
86 | 2,3632 | 0,4232 | |
87 | 2,3869 | 0,4190 | |
88 | 2,4109 | 0,4148 | |
89 | 2,4351 | 0,4107 | |
0, | 90 | 2,4596 | 0,4066 |
91 | 2,4843 | 0,4025 | |
92 | 2,5093 | 0,3985 | |
93 | 2,5345 | 0,3946 | |
94 | 2,5600 | 0,3906 | |
0, | 95 | 2,5857 | 0,3867 |
96 | 2,6117 | 0,3829 | |
97 | 2,6379 | 0,3791 | |
98 | 2,6645 | 0,3753 | |
99 | 2,6912 | 0,3716 | |
1, | 00 | 2,7183 | 0,3679 |
01 | 2,7456 | 0,3642 | |
02 | 2,7732 | 0,3606 | |
03 | 2,8011 | 0,3570 | |
04 | 2,8292 | 0,3535 | |
1, | 05 | 2,8577 | 0,3499 |
06 | 2,8864 | 0,3465 | |
07 | 2,9154 | 0,3430 | |
08 | 2,9447 | 0,3396 | |
09 | 2,9743 | 0,3362 | |
1, | 10 | 3,0042 | 0,3329 |
11 | 3,0344 | 0,3296 | |
12 | 3,0649 | 0,3263 | |
13 | 3,0957 | 0,3230 | |
14 | 3,1268 | 0,3198 | |
1, | 15 | 3,1582 | 0,3166 |
16 | 3,1899 | 0,3135 | |
17 | 3,2220 | 0,3140 | |
18 | 3,2544 | 0,3073 | |
19 | 3,2871 | 0,3042 | |
1, | 20 | 3,3201 | 0,3012 |
21 | 3,3535 | 0,2982 | |
22 | 3,3872 | 0,2952 | |
23 | 3,4212 | 0,2923 | |
24 | 3,4556 | 0,2894 | |
1, | 25 | 3,4903 | 0,2865 |
26 | 3,5254 | 0,2837 | |
27 | 3,5609 | 0,2808 | |
28 | 3,6328 | 0,2753 | |
1, | 30 | 3,6693 | 0,2725 |
31 | 3,7062 | 0,2698 | |
32 | 3,7434 | 0,2671 | |
33 | 3,7810 | 0,2645 | |
34 | 3,8190 | 0,2618 | |
1, | 35 | 3,8574 | 0,2592 |
36 | 3,8962 | 0,2567 | |
37 | 3,9354 | 0,2541 | |
38 | 3,9749 | 0,2516 | |
39 | 4,0149 | 0,2491 | |
1, | 40 | 4,0552 | 0,2466 |
41 | 4,0960 | 0,2441 | |
42 | 4,1371 | 0,2417 | |
43 | 4,1787 | 0,2393 | |
44 | 4,2207 | 0,2369 | |
1, | 45 | 4,2631 | 0,2346 |
46 | 4,3060 | 0,2322 | |
47 | 4,3492 | 0,2299 | |
48 | 4,3929 | 0,2276 | |
49 | 4,4371 | 0,2254 | |
1, | 50 | 4,4817 | 0,2231 |
51 | 4,5267 | 0,2209 | |
52 | 4,5722 | 0,2187 | |
53 | 4,6182 | 0,2165 | |
54 | 4,6646 | 0,2144 | |
1, | 55 | 4,7115 | 0,2122 |
56 | 4,7588 | 0,2101 | |
57 | 4,8066 | 0,2080 | |
58 | 4,8550 | 0,2060 | |
59 | 4,9037 | 0,2039 | |
1, | 60 | 4,9530 | 0,2019 |
65 | 5,2070 | 0,1920 | |
70 | 5,4739 | 0,1827 | |
75 | 5,7546 | 0,1738 | |
80 | 6,0496 | 0,1653 | |
1, | 85 | 6,3598 | 0,1572 |
90 | 6,6859 | 0,1496 | |
95 | 7,0287 | 0,1423 | |
00 | 7,3891 | 0,1353 | |
05 | 7,7679 | 0,1287 | |
2, | 10 | 8,1662 | 0,1226 |
15 | 8,5849 | 0,1165 | |
20 | 9,0250 | 0,1108 | |
25 | 9,4877 | 0,1054 | |
30 | 9,9742 | 0,1003 | |
2, | 35 | 10,4860 | 0,0954 |
40 | 11,0230 | 0,0907 | |
45 | 11,5880 | 0,0863 | |
50 | 12,1820 | 0,0821 | |
55 | 12,8070 | 0,0781 | |
2, | 60 | 13,4640 | 0,0743 |
65 | 14,1540 | 0,0706 | |
70 | 14,8800 | 0,0672 | |
75 | 15,6430 | 0,0639 | |
80 | 16,4450 | 0,0608 | |
2, | 85 | 17,2880 | 0,0573 |
90 | 18,1740 | 0,0550 | |
95 | 19,1060 | 0,0523 | |
00 | 20,0860 | 0,0498 | |
05 | 21,1150 | 0,0474 | |
3, | 10 | 22,1980 | 0,0451 |
15 | 23,3360 | 0,0429 | |
20 | 24,5330 | 0,0408 | |
25 | 25,7800 | 0,0388 | |
30 | 27,1130 | 0,0369 | |
3, | 35 | 28,5030 | 0,0351 |
40 | 29,9640 | 0,0334 | |
45 | 31,5000 | 0,0318 | |
50 | 33,1150 | 0,0302 | |
55 | 34,8130 | 0,0287 | |
3, | 60 | 36,5980 | 0,0273 |
65 | 38,4750 | 0,0260 | |
70 | 40,4470 | 0,0247 | |
75 | 42,5210 | 0,0235 | |
80 | 44,7010 | 0,0224 | |
3, | 85 | 46,9930 | 0,0213 |
3, | 90 | 49,4020 | 0,0202 |
3, | 95 | 51,9350 | 0,0192 |
4, | 00 | 54,5980 | 0,0183 |
4, | 50 | 90,017 | 0,0111 |
5, | 0 | 148,41 | 0,006740 |
5, | 5 | 244,69 | 0,004090 |
6, | 0 | 403,43 | 0,002479 |
6, | 5 | 665,14 | 0,001503 |
7, | 0 | 1096,60 | 0,000912 |
7, | 5 | 1808,00 | 0,000553 |
8, | 0 | 2981,00 | 0,000335 |
8, | 5 | 4914,80 | 0,000203 |
9, | 0 | 8103,10 | 0,000123 |
9, | 5 | 13360,00 | 0,000075 |
10, | 0 | 22026,00 | 0,000045 |

или
.
x | 0, | 1, | 2, | 3, |
,00 | 0,500 | 0,841 | 0,9777 | 0,92865 |
,05 | 520 | 853 | 789 | 886 |
,10 | 540 | 864 | 821 | 0,93032 |
,15 | 560 | 875 | 842 | 184 |
,20 | 573 | 885 | 861 | 313 |
,25 | 599 | 894 | 878 | 423 |
,30 | 618 | 0,9032 | 893 | 517 |
,35 | 637 | 115 | 906 | 596 |
,40 | 655 | 192 | 0,92180 | 663 |
,45 | 674 | 265 | 286 | 720 |
,50 | 692 | 332 | 379 | 767 |
,55 | 709 | 394 | 461 | 807 |
,60 | 726 | 452 | 534 | 841 |
,65 | 742 | 505 | 589 | 860 |
,70 | 758 | 554 | 653 | 892 |
,75 | 773 | 599 | 702 | 912 |
,80 | 788 | 641 | 745 | 0,94277 |
,85 | 802 | 678 | 781 | 409 |
,90 | 816 | 713 | 813 | 519 |
,95 | 829 | 744 | 841 | 609 |
соответственно.
.x | Г(x) | |
1, | 00 | 1,00000 |
01 | 0,99433 | |
02 | 0,98884 | |
03 | 0,98355 | |
04 | 0,97814 | |
1, | 05 | 0,97350 |
06 | 0,96874 | |
07 | 0,96415 | |
08 | 0,95973 | |
09 | 0,95546 | |
1, | 10 | 0,95135 |
11 | 0,94740 | |
12 | 0,94359 | |
13 | 0,93993 | |
14 | 0,93642 | |
1, | 15 | 0,93304 |
16 | 0,92980 | |
17 | 0,92670 | |
18 | 0,92373 | |
19 | 0,92089 | |
1, | 20 | 0,91817 |
21 | 0,91558 | |
22 | 0,91311 | |
23 | 0,91075 | |
24 | 0,90852 | |
25 | 0,90640 | |
1, | 26 | 0,90440 |
27 | 0,90250 | |
28 | 0,90072 | |
29 | 0,89904 | |
1, | 30 | 0,89747 |
31 | 0,89600 | |
32 | 0,89464 | |
33 | 0,89338 | |
34 | 0,89222 | |
1, | 35 | 0,89115 |
36 | 0,89018 | |
37 | 0,88931 | |
1, | 38 | 0,88854 |
30 | 0,88785 | |
1, | 40 | 0,88726 |
41 | 0,88676 | |
42 | 0,88636 | |
43 | 0,88604 | |
44 | 0,88581 | |
1, | 45 | 0,88566 |
46 | 0,88560 | |
47 | 0,88563 | |
48 | 0,88575 | |
49 | 0,88595 | |
50 | 0,88623 | |
1, | 51 | 0,88659 |
52 | 0,88704 | |
53 | 0,88757 | |
54 | 0,88818 | |
1, | 55 | 0,88887 |
56 | 0,88964 | |
57 | 0,89049 | |
58 | 0,89142 | |
59 | 0,89243 | |
1, | 60 | 0,89352 |
61 | 0,89468 | |
62 | 0,89592 | |
63 | 0,89724 | |
64 | 0,89864 | |
1, | 65 | 0,90012 |
66 | 0,90167 | |
67 | 0,90330 | |
68 | 0,90500 | |
69 | 0,90678 | |
1, | 70 | 0,90864 |
71 | 0,91057 | |
72 | 0,91258 | |
73 | 0,91467 | |
74 | 0,91683 | |
1, | 75 | 0,91906 |
76 | 0,92137 | |
77 | 0,92376 | |
78 | 0,92623 | |
79 | 0,92877 | |
1, | 80 | 0,93138 |
81 | 0,93408 | |
82 | 0,93685 | |
83 | 0,94261 | |
84 | 0,93969 | |
1, | 85 | 0,94561 |
86 | 0,94869 | |
87 | 0,95184 | |
88 | 0,95507 | |
89 | 0,95838 | |
1, | 90 | 0,96177 |
91 | 0,96523 | |
92 | 0,96877 | |
93 | 0,97240 | |
94 | 0,97610 | |
1, | 95 | 0,97988 |
96 | 0,98374 | |
97 | 0,98768 | |
98 | 0,99171 | |
99 | 0,99581 | |
2, | 00 | 1,00000 |
N | r | Чередование отказов и цензурирований | i | P | L | ||
1 | 2 | 3 | 4 | 5 | 6 | 7 | 8 |
2 | 2 | 0 | 1 | 0,110731 | -0,421383 | 0,037574 | 0,415839 |
0 | 2 | 0,889269 | 0,421383 | ||||
3 | 3 | 0 | 1 | 0,081063 | -0,278686 | -0,018421 | 0,256346 |
0 | 2 | 0,250001 | -0,190239 | ||||
0 | 3 | 0,667936 | 0,468904 | ||||
3 | 2 | 0 | 1 | -0,168001 | -0,452110 | 0,257509 | 0,450055 |
0,1 | 2 | 1,168001 | 0,452110 | ||||
0,1 | 1 | 0,069301 | -0,382326 | 0,142111 | 0,369957 | ||
0 | 2 | 0,930699 | 0,382326 | ||||
4 | 4 | 0 | 1 | 0,064336 | -0,203052 | -0,028312 | 0,183861 |
0 | 2 | 0,147340 | -0,182749 | ||||
0 | 3 | 0,261510 | -0,070109 | ||||
0 | 4 | 0,526813 | 0,455910 | ||||
4 | 3 | 0 | 1 | -0,044975 | -0,297651 | 0,084775 | 0,281729 |
0 | 2 | 0,088057 | -0,234054 | ||||
0,1 | 3 | 0,956918 | 0,531705 | ||||
4 | 2 | 0 | 1 | -0,346974 | -0,465455 | 0,413508 | 0,464387 |
0,2 | 2 | 1,346974 | 0,465455 | ||||
4 | 3 | 0 | 1 | -0,012081 | -0,264079 | 0,052960 | 0,247855 |
0,1 | 2 | 0,299303 | -0,164524 | ||||
0 | 3 | 0,712777 | 0,428603 | ||||
4 | 3 | 0,1 | 1 | 0,074005 | -0,266086 | 0,020593 | 0,230218 |
0 | 2 | 0,212711 | -0,167706 | ||||
0 | 3 | 0,713284 | 0,433792 | ||||
4 | 2 | 0,1 | 1 | -0,181349 | -0,421383 | 0,325811 | 0,415839 |
0,1 | 2 | 1,181349 | 0,421383 | ||||
4 | 2 | 0,2 | 1 | 0,045963 | -0,357407 | 0,200074 | 0,339370 |
0 | 2 | 0,954037 | 0,357407 | ||||
5 | 5 | 0 | 1 | 0,052975 | -0,158131 | -0,029135 | 0,142842 |
0 | 2 | 0,103531 | -0,155707 | ||||
0 | 3 | 0,163808 | -0,111820 | ||||
0 | 4 | 0,246092 | -0,005600 | ||||
0 | 5 | 0,433593 | 0,431259 | ||||
5 | 4 | 0 | 1 | -0,006983 | -0,217766 | 0,030763 | 0,202418 |
0 | 2 | 0,059652 | -0,199351 | ||||
0 | 3 | 0,156664 | -0,118927 | ||||
0,1 | 4 | 0,790668 | 0,536044 | ||||
5 | 3 | 0 | 1 | -0,137958 | -0,306562 | 0,166128 | 0,294191 |
0 | 2 | -0,025510 | -0,257087 | ||||
0,2 | 3 | 1,163468 | 0,563650 | ||||
5 | 2 | 0 | 1 | -0,481434 | -0,472962 | 0,533791 | 0,472308 |
0,3 | 2 | 0,481434 | 0,472962 | ||||
5 | 4 | 0 | 1 | 0,006272 | -0,199827 | 0,018408 | 0,184873 |
0 | 2 | 0,071450 | -0,185334 | ||||
0,1 | 3 | 0,358861 | -0,031785 | ||||
0 | 4 | 0,563417 | 0,416946 | ||||
5 | 4 | 0 | 1 | 0,019987 | -0,187558 | 0,005419 | 0,172571 |
0,1 | 2 | 0,177372 | -0,175573 | ||||
0 | 3 | 0,288100 | -0,066223 | ||||
0 | 4 | 0,574540 | 0,429354 | ||||
5 | 3 | 0 | 1 | -0,112966 | -0,286914 | 0,141366 | 0,274164 |
0,1 | 2 | 0,136485 | -0,206143 | ||||
0,1 | 3 | 0,976501 | 0,493057 | ||||
5 | 4 | 0,1 | 1 | 0,065888 | -0,200080 | -0,008524 | 0,168180 |
0 | 2 | 0,126234 | -0,166466 | ||||
0 | 3 | 0,244926 | -0,061631 | ||||
0 | 4 | 0,562952 | 0,428178 | ||||
5 | 3 | 0,1 | 1 | -0,047745 | -0,286509 | 0,111411 | 0,259402 |
0 | 2 | 0,065149 | -0,212927 | ||||
0,1 | 3 | 0,982596 | 0,499436 | ||||
5 | 2 | 0,1 | 1 | -0,350815 | -0,440553 | 0,461576 | 0,437384 |
0,2 | 2 | 1,350315 | 0,440553 | ||||
5 | 3 | 0 | 1 | -0,072305 | -0,251774 | 0,101718 | 0,238717 |
0,2 | 2 | 0,328610 | -0,150289 | ||||
0 | 3 | 0,743694 | 0,402063 | ||||
5 | 3 | 0,2 | 1 | 0,068985 | -0,256714 | 0,044423 | 0,211617 |
0 | 2 | 0,187762 | -0,152185 | ||||
0 | 3 | 0,743253 | 0,408898 | ||||
5 | 2 | 0,2 | 1 | -0,190188 | -0,399297 | 0,369056 | 0,390213 |
0,1 | 2 | 1,190188 | 0,399297 | ||||
5 | 3 | 0,1 | 1 | -0,012089 | -0,255785 | 0,077686 | 0,227980 |
0,1 | 2 | 0,271262 | -0,148321 | ||||
0 | 3 | 0,740827 | 0,404106 | ||||
5 | 2 | 0,3 | 1 | 0,030761 | -0,339552 | 0,236740 | 0,316889 |
0 | 2 | 0,969239 | 0,339552 | ||||
6 | 6 | 0 | 1 | 0,044826 | -0,128810 | -0,027715 | 0,116576 |
0 | 2 | 0,079377 | -0,132102 | ||||
0 | 3 | 0,117541 | -0,111951 | ||||
0 | 4 | 0,163591 | -0,064666 | ||||
0 | 5 | 0,226486 | 0,031796 | ||||
0 | 6 | 0,368179 | 0,405733 | ||||
6 | 4 | 0,1 | 1 | 0,008831 | -0,197752 | 0,031981 | 0,171998 |
0 | 2 | 0,058664 | -0,172042 | ||||
0,1 | 3 | 0,345722 | -0,026586 | ||||
0 | 4 | 0,586783 | 0,396381 | ||||
6 | 4 | 0,1 | 1 | 0,023519 | -0,186303 | 0,018605 | 0,160547 |
0,1 | 2 | 0,160097 | -0,162342 | ||||
0 | 3 | 0,216754 | -0,059748 | ||||
0 | 4 | 0,599629 | 0,408393 | ||||
6 | 3 | 0,1 | 1 | -0,112093 | -0,278666 | 0,159263 | 0,256346 |
0,1 | 2 | 0,119136 | -0,190239 | ||||
0,1 | 3 | 0,992955 | 0,468904 | ||||
6 | 4 | 0 | 1 | -0,036039 | -0,195636 | 0,054110 | 0,183434 |
0 | 2 | 0,017906 | -0,184670 | ||||
0,2 | 3 | 0,426864 | -0,011361 | ||||
0,591269 | 0,391668 | ||||||
6 | 4 | 0 | 1 | -0,009765 | -0,175372 | 0,028875 | 0,163138 |
0,2 | 2 | 0,195808 | -0,171222 | ||||
0 | 3 | 0,204217 | -0,062816 | ||||
0 | 4 | 0,609641 | 0,409410 | ||||
6 | 3 | 0 | 1 | -0,161756 | -0,277443 | 0,183254 | 0,266813 |
0,2 | 2 | 0,170932 | -0,187928 | ||||
0,1 | 3 | 0,990824 | 0,465371 | ||||
6 | 4 | 0,2 | 1 | 0,066540 | -0,197410 | 0,004657 | 0,156421 |
0 | 2 | 0,111241 | -0,154334 | ||||
0 | 3 | 0,233432 | -0,055395 | ||||
0 | 4 | 0,588787 | 0,407139 | ||||
6 | 3 | 0,2 | 1 | -0,049611 | -0,277728 | 0,128792 | 0,242259 |
0 | 2 | 0,049304 | -0,197163 | ||||
0,1 | 3 | 1,000307 | 0,474890 | ||||
6 | 2 | 0,2 | 1 | -0,352206 | -0,421383 | 0,494420 | 0,415839 |
0,2 | 2 | 1,352206 | 0,421383 | ||||
6 | 3 | 0,1 | 1 | -0,069401 | -0,245965 | 0,118452 | 0,223278 |
0,2 | 2 | 0,306555 | -0,137608 | ||||
0 | 3 | 0,762846 | 0,383573 | ||||
6 | 3 | 0,2 | 1 | -0,012161 | -0,249133 | 0,094017 | 0,213013 |
0,1 | 2 | 0,251241 | -0,136313 | ||||
0 | 3 | 0,760920 | 0,385446 | ||||
6 | 3 | 0 | 1 | -0,114799 | -0,241433 | 0,137267 | 0,230648 |
0,3 | 2 | 0,348115 | -0,348115 | ||||
0 | 3 | 0,766683 | 0,382692 | ||||
6 | 3 | 0,3 | 1 | 0,065156 | -0,249313 | 0,060290 | 0,197481 |
0 | 2 | 0,170061 | -0,140648 | ||||
0 | 3 | 0,764783 | 0,389961 | ||||
6 | 2 | 0,3 | 1 | -0,195708 | -0,382326 | 0,398546 | 0,369957 |
0,1 | 2 | 1,195708 | 0,382326 | ||||
6 | 2 | 0,4 | 1 | 0,019977 | -0,325860 | 0,261817 | 0,299366 |
0 | 2 | 0,980023 | 0,325860 | ||||
6 | 5 | 0 | 1 | 0,007521 | -0,169920 | 0,008880 | 0,156905 |
0 | 2 | 0,048328 | -0,166319 | ||||
0 | 3 | 0,101608 | -0,129510 | ||||
0 | 4 | 0,172859 | -0,054453 | ||||
0,1 | 5 | 0,669685 | 0,520201 | ||||
6 | 4 | 0 | 1 | -0,063569 | -0,225141 | 0,08035 | 0,212422 |
0 | 2 | -0,006726 | -0,209083 | ||||
0 | 3 | 0,079882 | -0,146386 | ||||
0,2 | 4 | 0,990412 | 0,580610 | ||||
6 | 3 | 0 | 1 | -0,211474 | -0,311847 | 0,232696 | 0,301732 |
0 | 2 | -0,112994 | -0,271381 | ||||
0,3 | 3 | 1,324468 | 0,583229 | ||||
6 | 2 | 0 | 1 | -0,588298 | -0,477782 | 0,631489 | 0,477340 |
0,4 | 2 | 1,588298 | 0,477782 | ||||
6 | 5 | 0 | 1 | 0,013939 | -0,159149 | 0,029984 | 0,146562 |
0 | 2 | 0,054654 | -0,156823 | ||||
0 | 3 | 0,106415 | -0,123795 | ||||
0,1 | 4 | 0,362619 | 0,046088 | ||||
0 | 5 | 0,462373 | 0,393678 | ||||
6 | 5 | 0 | 1 | 0,020733 | -0,150942 | -0,003302 | 0,138563 |
0 | 2 | 0,061138 | -0,149874 | ||||
0,1 | 3 | 0,221969 | -0,098017 | ||||
0 | 4 | 0,221097 | -0,011326 | ||||
0 | 5 | 0,475063 | 0,410160 | ||||
6 | 4 | 0 | 1 | -0,053485 | -0,215020 | 0,070668 | 0,202429 |
0 | 2 | 0,002117 | -0,200832 | ||||
0,1 | 3 | 0,244120 | -0,078892 | ||||
0,1 | 4 | 0,807248 | 0,494744 | ||||
6 | 5 | 0 | 1 | 0,027683 | -0,145994 | -0,009823 | 0,133605 |
0,1 | 2 | 0,126713 | -0,156106 | ||||
0 | 3 | 0,140815 | -0,103496 | ||||
0 | 4 | 0,231656 | -0,004763 | ||||
0 | 5 | 0,473133 | 0,410358 | ||||
6 | 4 | 0 | 1 | -0,040673 | -0,205281 | 0,304716 | 0,192644 |
0,1 | 2 | 0,086730 | -0,190784 | ||||
0 | 3 | 0,130920 | -0,112078 | ||||
0,1 | 4 | 0,823023 | 0,508143 | ||||
6 | 3 | 0 | 1 | -0,190667 | -0,297888 | 0,211910 | 0,287517 |
0,1 | 2 | 0,021498 | -0,231059 | ||||
0,2 | 3 | 1,169168 | 0,528947 | ||||
6 | 5 | 0,1 | 1 | 0,056925 | -0,158875 | -0,017433 | 0,132694 |
0 | 2 | 0,091381 | -0,144922 | ||||
0 | 3 | 0,150681 | 0,102910 | ||||
0 | 4 | 0,239715 | -0,002716 | ||||
0 | 5 | 0,461928 | 0,409423 | ||||
6 | 3 | 0,1 | 1 | -0,137983 | -0,296928 | 0,184692 | 0,275156 |
0 | 2 | -0,039253 | -0,238187 | ||||
0,2 | 3 | 1,177236 | 0,535115 | ||||
6 | 4 | 0,1 | 1 | -0,005788 | -0,214536 | 0,044942 | 0,188056 |
0 | 2 | 0,046557 | -0,184705 | ||||
0 | 3 | 0,143920 | -0,108911 | ||||
0,1 | 4 | 0,815311 | 0,508151 | ||||
6 | 2 | 0,1 | 1 | -0,479380 | -0,452110 | 0,569464 | 0,450055 |
0,3 | 2 | 1,479380 | 0,452110 | ||||
6 | 4 | 0 | 1 | -0,025177 | -0,187606 | 0,043607 | 0,175361 |
0,1 | 2 | 0,099938 | -0,178787 | ||||
0,1 | 3 | 0,328356 | -0,031369 | ||||
0 | 4 | 0,596883 | 0,397762 |
N | r | ||
2 | 1 | 0,110731 | -0,421383 |
2 | 0,889269 | 0,421383 | |
3 | 1 | -0,166001 | -0,452110 |
2 | 1,166001 | 0,452110 | |
3 | 1 | 0,081063 | -0,278666 |
2 | 0,251001 | -0,190239 | |
3 | 0,667936 | 0,468904 | |
4 | 1 | -0,346974 | -0,465455 |
2 | 1,346974 | 0,465455 | |
4 | 1 | -0,044975 | -0,297651 |
2 | 0,088057 | -0,234054 | |
3 | 0,956918 | 0,531705 | |
4 | 1 | 0,64336 | -0,203052 |
2 | 0,147340 | -0,182749 | |
3 | 0,261510 | -0,070109 | |
4 | 0,526813 | 0,455910 | |
5 | 1 | -0,481434 | -0,472962 |
2 | 1,481434 | 0,472962 | |
5 | 1 | -0,137958 | -0,306562 |
2 | -0,025510 | -0,257087 | |
3 | 1,163468 | 0,563650 | |
5 | 1 | -0,006983 | -0,217766 |
2 | 0,059652 | -0,199351 | |
3 | 0,156664 | -0,118927 | |
4 | 0,790668 | 0,536044 | |
5 | 1 | 0,052975 | -0,158131 |
2 | 0,103531 | -0,155707 | |
3 | 0,163808 | -0,111820 | |
4 | 0,246092 | -0,005600 | |
5 | 0,433593 | 0,431259 | |
6 | 1 | -0,588298 | -0,477782 |
2 | 1,588298 | 0,477782 | |
6 | 1 | -0,211474 | -0,311847 |
2 | -0,112994 | -0,271381 | |
3 | 1,324468 | 0,583229 | |
6 | 1 | -0,063569 | -0,225141 |
2 | -0,006726 | -0,209083 | |
3 | 0,079882 | -0,146386 | |
4 | 0,990412 | 0,580610 | |
6 | 1 | 0,007521 | -0,169920 |
2 | 0,048328 | -0,166319 | |
3 | 0,101607 | -0,129510 | |
4 | 0,172859 | -0,054453 | |
5 | 0,669695 | 0,520201 | |
6 | 1 | 0,044826 | -0,128810 |
2 | 0,079377 | -0,132102 | |
3 | 0,117541 | -0,111951 | |
4 | 0,163591 | -0,064666 | |
5 | 0,226486 | 0,031796 | |
6 | 0,368179 | 0,405733 | |
7 | 1 | -0,676894 | -0,481140 |
2 | 1,676894 | 0,481140 | |
7 | 1 | -0,272195 | -0,315309 |
2 | -0,184061 | -0,281139 | |
3 | 1,456255 | 0,596507 | |
7 | 1 | -0,110274 | -0,229091 |
2 | -0,060226 | -0,215613 | |
3 | 0,018671 | -0,164168 | |
4 | 1,151829 | 0,609472 | |
7 | 1 | -0,030368 | -0,176203 |
2 | 0,004333 | -0,172399 | |
3 | 0,052957 | -0,141218 | |
4 | 0,117599 | -0,982820 | |
5 | 0,855480 | 0,572640 | |
7 | 1 | 0,013524 | -0,138436 |
2 | 0,041588 | -0,140342 | |
3 | 0,075499 | -0,121821 | |
4 | 0,117461 | -0,082938 | |
5 | 0,172092 | -0,015394 | |
6 | 0,579835 | 0,498931 | |
7 | 1 | 0,38743 | -0,108323 |
2 | 0,064086 | -0,113479 | |
3 | 0,090785 | -0,103569 | |
4 | 0,120971 | -0,078748 | |
5 | 0,157657 | -0,032632 | |
6 | 0,207825 | 0,054727 | |
7 | 0,319934 | 0,382022 | |
8 | 1 | -0,752513 | -0,483616 |
2 | 1,752513 | 0,483616 | |
8 | 1 | -0,323876 | -0,317890 |
2 | -0,243808 | -0,288231 | |
3 | 1,567683 | 0,806120 | |
8 | 1 | -0,149973 | -0,232805 |
2 | -0,105015 | -0,220324 | |
3 | -0,032357 | -0,176575 | |
4 | 1,287245 | 0,629805 | |
8 | 1 | -0,062656 | -0,180231 |
2 | -0,032248 | -0,176510 | |
3 | 0,012767 | -0,149566 | |
4 | 0,072446 | -0,101642 | |
5 | 1,009691 | 0,607948 | |
8 | 1 | -0,013509 | -0,143834 |
2 | 0,010292 | -0,145006 | |
3 | 0,041357 | -0,128393 | |
4 | 0,080475 | -0,095696 | |
5 | 0,130327 | -0,043280 | |
6 | 0,751058 | 0,556209 | |
8 | 1 | 0,015973 | -0,116317 |
2 | 0,036729 | -0,120331 | |
3 | 0,060439 | -0,110582 | |
4 | 0,088239 | -0,088450 | |
5 | 0,122062 | -0,050995 | |
6 | 0,165529 | 0,009700 | |
7 | 0,511030 | 0,476975 | |
8 | 1 | 0,034052 | -0,093270 |
2 | 0,053552 | -0,098886 | |
3 | 0,073452 | -0,093994 | |
4 | 0,095062 | -0,079752 | |
5 | 0,119768 | -0,053918 | |
6 | 0,149934 | -0,010179 | |
7 | 0,191236 | 0,069325 | |
8 | 0,282943 | 0,360675 | |
9 | 1 | -0,818444 | -0,485517 |
2 | 1,818444 | 0,485517 | |
9 | 1 | -0,368833 | -0,319786 |
2 | -0,295280 | -0,293621 | |
3 | 1,664113 | 0,613407 | |
9 | 1 | -0,184461 | -0,235080 |
2 | -0,143505 | -0,273891 | |
3 | -0,075815 | -0,185970 | |
4 | 1,403781 | 0,644941 | |
9 | 1 | -0,090726 | -0,183061 |
2 | -0,063541 | -0,179515 | |
3 | -0,021495 | -0,155825 | |
4 | 0,034159 | -0,115133 | |
5 | 1,141604 | 0,633534 | |
9 | 1 | -0,037118 | -0,147411 |
2 | -0,016377 | -0,148150 | |
3 | 0,012499 | -0,133219 | |
4 | 0,049305 | -0,105060 | |
5 | 0,095614 | -0,062073 | |
6 | 0,896078 | 0,595913 | |
9 | 1 | -0,004220 | -0,120988 |
2 | 0,013386 | -0,124245 | |
3 | 0,035068 | -0,115091 | |
4 | 0,061198 | -0,095508 | |
5 | 0,093013 | -0,064162 | |
6 | 0,132740 | -0,017187 | |
7 | 0,668315 | 0,537180 | |
9 | 1 | 0,016797 | -0,100011 |
2 | 0,032919 | -0,104750 | |
3 | 0,050582 | -0,099608 | |
4 | 0,070497 | -0,086226 | |
5 | 0,093635 | -0,063541 | |
6 | 0,121560 | -0,028346 | |
7 | 0,157175 | 0,026525 | |
8 | 0,456836 | 0,455956 | |
9 | 1 | 0,030338 | -0,081777 |
2 | 0,045872 | -0,087308 | |
3 | 0,061368 | -0,085084 | |
4 | 0,077742 | -0,076470 | |
5 | 0,095769 | -0,060667 | |
6 | 0,116517 | -0,035136 | |
7 | 0,141932 | 0,006001 | |
8 | 0,176764 | 0,078828 | |
9 | 0,253697 | 0,341614 | |
10 | 1 | -0,876869 | -0,487022 |
2 | 1,876869 | 0,487022 | |
10 | 1 | -0,408602 | -0,321265 |
2 | -0,340443 | -0,297858 | |
3 | 1,749045 | 0,619124 | |
10 | 1 | -0,214930 | -0,236817 |
2 | -0,177223 | -0,226688 | |
3 | -0,113820 | -0,193159 | |
4 | 1,505973 | 0,656663 | |
10 | 1 | -0,115524 | -0,185169 |
2 | -0,090868 | -0,181821 | |
3 | -0,051341 | -0,160697 | |
4 | 0,000925 | -0,125311 | |
5 | 1,256809 | 0,652997 | |
10 | 1 | -0,058017 | -0,149985 |
2 | -0,039595 | -0,150451 | |
3 | -0,012513 | -0,136941 | |
4 | 0,022314 | -0,112224 | |
5 | 0,022062 | -0,075721 | |
6 | 1,065750 | 0,625321 | |
10 | 1 | -0,022198 | -0,124170 |
2 | -0,006909 | -0,126894 | |
3 | 0,013224 | -0,118392 | |
4 | 0,037994 | -0,100924 | |
5 | 0,068153 | -0,073988 | |
6 | 0,105064 | -0,035501 | |
7 | 0,804572 | 0,579868 | |
10 | 1 | 0,001179 | -0,104082 |
2 | 0,014869 | -0,108163 | |
3 | 0,030998 | -0,103119 | |
4 | 0,049734 | -0,090835 | |
5 | 0,071745 | -0,070902 | |
6 | 0,098114 | -0,041560 | |
7 | 0,130649 | 0,000799 | |
8 | -0,602692 | 0,517864 | |
10 | 1 | 0,016841 | -0,087538 |
2 | 0,029807 | -0,092405 | |
3 | 0,043570 | -0,089839 | |
4 | 0,058640 | -0,081428 | |
5 | 0,075576 | -0,066855 | |
6 | 0,095169 | -0,044670 | |
7 | 0,118707 | -0,011816 | |
8 | 0,148575 | 0,038159 | |
9 | 0,413116 | 0,436394 | |
10 | 1 | 0,027331 | -0,072734 |
2 | 0,040034 | -0,077971 | |
3 | 0,052496 | -0,077242 | |
4 | 0,065408 | -0,071876 | |
5 | 0,072963 | -0,061652 | |
6 | 0,094638 | -0,045420 | |
7 | 0,112414 | -0,020698 | |
8 | 0,134239 | 0,017927 | |
9 | 0,164178 | 0,085070 | |
10 | 0,230001 | 0,324597 | |
11 | 1 | -0,929310 | -0,488243 |
2 | 1,929310 | 0,488243 | |
11 | 1 | -0,444245 | -0,322452 |
2 | -0,380642 | -0,301277 | |
3 | 1,824887 | 0,623729 | |
11 | 1 | -0,242206 | -0,238188 |
2 | -0,207204 | -0,228941 | |
3 | -0,147490 | -0,198888 | |
4 | 1,596900 | 0,666017 | |
11 | 1 | -0,137718 | -0,186803 |
2 | -0,115110 | -0,183651 | |
3 | -0,077762 | -0,164597 | |
4 | -0,028411 | -0,133278 | |
5 | 1,359000 | 0,668329 | |
11 | 1 | -0,076739 | -0,151936 |
2 | -0,060142 | -0,152227 | |
3 | -0,034581 | -0,139907 | |
4 | -0,001490 | -0,117886 | |
5 | 0,039518 | -0,086311 | |
6 | 1,133134 | 0,648081 | |
11 | 1 | -0,038849 | -0,126507 |
2 | -0,024842 | -0,128838 | |
3 | -0,005964 | -0,120951 | |
4 | 0,017632 | -0,105219 | |
5 | 0,046354 | -0,081602 | |
6 | 0,081182 | -0,018929 | |
7 | 0,923987 | 0,612017 | |
11 | 1 | -0,012943 | -0,106922 |
2 | -0,001050 | -0,110198 | |
3 | 0,013809 | -0,105662 | |
4 | 0,031661 | -0,094405 | |
5 | 0,052723 | -0,076693 | |
6 | 0,077815 | -0,051525 | |
7 | 0,108161 | -0,016860 | |
8 | 0,729765 | 0,562564 | |
11 | 1 | 0,004425 | -0,091125 |
2 | 0,015498 | -0,095437 | |
3 | 0,028073 | -0,092780 | |
4 | 0,042178 | -0,084833 | |
5 | 0,058340 | -0,071581 | |
6 | 0,077093 | -0,052182 | |
7 | 0,099349 | -0,024880 | |
8 | 0,126592 | 0,013606 | |
9 | 0,548502 | 0,499201 | |
11 | 1 | 0,016502 | -0,077717 |
2 | 0,027205 | -0,082449 | |
3 | 0,038291 | -0,081388 | |
4 | 0,050160 | -0,075977 | |
5 | 0,063170 | -0,066222 | |
6 | 0,077772 | -0,030120 | |
7 | 0,114811 | 0,000537 | |
8 | 0,094625 | -0,051429 | |
9 | 0,140333 | 0,046381 | |
10 | 0,377130 | 0,418384 | |
11 | 1 | 0,024850 | -0,065444 |
2 | 0,035456 | -0,070318 | |
3 | 0,045727 | -0,070456 | |
4 | 0,056215 | -0,067076 | |
5 | 0,067261 | -0,060207 | |
6 | 0,079220 | -0,049800 | |
7 | 0,092560 | -0,033156 | |
8 | 0,108034 | -0,009427 | |
9 | 0,127088 | 0,026879 | |
10 | 0,153197 | 0,089148 | |
11 | 0,210412 | 0,309357 | |
12 | 1 | -0,976872 | -0,489254 |
2 | 1,976872 | 0,459254 | |
12 | 1 | -0,476530 | -0,323426 |
2 | -0,416886 | -0,301093 | |
3 | 1,893367 | 0,627519 | |
12 | 1 | -0,266888 | -0,239300 |
2 | -0,234180 | -0,230796 | |
3 | -0,177681 | -0,202362 | |
4 | 1,678749 | 0,673657 | |
12 | 1 | -0,157792 | -0,188109 |
2 | -0,136884 | -0,185142 | |
3 | -0,101445 | -0,167790 | |
4 | -0,054640 | -0,139623 | |
5 | 1,450761 | 0,689734 | |
12 | 1 | -0,093679 | -0,153471 |
2 | -0,078561 | -0,153632 | |
3 | -0,054320 | -0,142329 | |
4 | -0,022769 | -0,122474 | |
5 | 0,016136 | -0,094355 | |
6 | 1,233193 | 0,666261 | |
12 | 1 | -0,052987 | -0,128808 |
2 | -0,040893 | -0,130339 | |
3 | -0,023072 | -0,123007 | |
4 | -0,000515 | -0,108712 | |
5 | 0,026960 | -0,087681 | |
6 | 0,059918 | -0,059256 | |
7 | 1,030620 | 0,637307 | |
12 | 1 | -0,025785 | -0,109045 |
2 | -0,015312 | -0,112242 | |
3 | -0,001353 | -0,107627 | |
4 | 0,015634 | -0,097267 | |
5 | 0,035853 | -0,081361 | |
6 | 0,059835 | -0,059315 | |
7 | 0,088444 | -0,029900 | |
8 | 0,842654 | 0,586748 | |
12 | 1 | -0,006944 | -0,093650 |
2 | 0,002669 | -0,097540 | |
3 | 0,014239 | -0,094893 | |
4 | 0,027669 | -0,087418 | |
5 | 0,043189 | -0,075371 | |
6 | 0,061225 | -0,058180 | |
7 | 0,082441 | -0,034802 | |
8 | 0,107856 | -0,003342 | |
9 | 0,667655 | 0,545234 | |
12 | 1 | 0,006411 | -0,080881 |
2 | 0,015598 | -0,085171 | |
3 | 0,025675 | -0,083952 | |
4 | 0,036799 | -0,078714 | |
5 | 0,049211 | -0,069510 | |
6 | 0,063256 | -0,056237 | |
7 | 0,079438 | -0,037675 | |
8 | 0,098522 | -0,012272 | |
9 | 0,121752 | 0,022956 | |
10 | 0,503338 | 0,481555 | |
12 | 1 | 0,015982 | -0,069798 |
2 | 0,024997 | -0,074285 | |
3 | 0,034156 | -0,074131 | |
4 | 0,043790 | -0,070617 | |
5 | 0,054149 | -0,063891 | |
6 | 0,065515 | -0,033621 | |
7 | 0,078264 | -0,039034 | |
8 | 0,692958 | -0,018718 | |
9 | 0,110521 | 0,009948 | |
10 | 0,132666 | 0,052280 | |
11 | 0,347003 | 0,401864 | |
12 | 1 | 0,022771 | -0,059449 |
2 | 0,031776 | -0,063952 | |
3 | 0,040408 | -0,064601 | |
4 | 0,059122 | -0,052489 | |
5 | 0,058175 | -0,057754 | |
6 | 0,067800 | -0,050137 | |
7 | 0,078281 | -0,039010 | |
8 | 0,090017 | -0,023199 | |
9 | 0,103664 | -0,000505 | |
10 | 0,120475 | 0,033695 | |
11 | 0,143566 | 0,091751 | |
12 | 0,193917 | 0,295648 | |
13 | 1 | -1,020378 | -0,490105 |
2 | 2,020378 | 0,490105 | |
13 | 1 | -0,506034 | -0,324239 |
2 | -0,449735 | -0,306454 | |
3 | 1,955765 | 0,630694 | |
13 | 1 | -0,289420 | -0,240219 |
2 | -0,258687 | -0,232349 | |
3 | -0,205024 | -0,207450 | |
4 | 1,753131 | 0,680018 | |
13 | 1 | -0,176109 | -0,189177 |
2 | -0,156637 | -0,186381 | |
3 | -0,122893 | -0,170454 | |
4 | -0,078337 | -0,144971 | |
5 | 1,533976 | 0,690983 | |
13 | 1 | -0,109140 | -0,154711 |
2 | -0,0925246 | -0,154785 | |
3 | -0,072165 | -0,144347 | |
4 | -0,041997 | -0,126268 | |
5 | -0,004940 | -0,101028 | |
6 | 1,323488 | 0,681140 | |
13 | 1 | -0,066358 | -0,129743 |
2 | -0,055414 | -0,131538 | |
3 | -0,038503 | -0,124701 | |
4 | -0,16879 | -0,111609 | |
5 | 0,009416 | -0,092649 | |
6 | 0,040810 | -0,067475 | |
7 | 1,126930 | 0,657714 | |
13 | 1 | -0,037540 | -0,110705 |
2 | -0,028206 | -0,113563 | |
3 | -0,015049 | -0,109206 | |
4 | 0,001231 | -0,099644 | |
5 | 0,020686 | -0,085201 | |
6 | 0,043677 | -0,065581 | |
7 | 0,070830 | -0,039995 | |
8 | 0,944372 | 0,623896 | |
13 | 1 | -0,017389 | -0,095590 |
2 | -0,008934 | -0,099109 | |
3 | 0,001863 | -0,096521 | |
4 | 0,014684 | -0,089554 | |
5 | 0,029657 | -0,078690 | |
6 | 0,047027 | -0,063068 | |
7 | 0,067346 | -0,042307 | |
8 | 0,091328 | -0,015928 | |
9 | 0,774437 | 0,580865 | |
13 | 1 | -0,002927 | -0,083170 |
2 | 0,005067 | -0,087085 | |
3 | 0,014356 | -0,057928 | |
4 | 0,024891 | -0,080789 | |
5 | 0,036816 | -0,072325 | |
6 | 0,050389 | -0,060181 | |
7 | 0,065995 | -0,043768 | |
8 | 0,084201 | -0,022048 | |
9 | 0,106863 | 0,006715 | |
10 | 0,615348 | 0,528441 | |
13 | 1 | 0,007623 | -0,072617 |
2 | 0,015408 | -0,076746 | |
3 | 0,023732 | -0,076418 | |
4 | 0,032743 | -0,072938 | |
5 | 0,042611 | -0,066531 | |
6 | 0,053556 | -0,057014 | |
7 | 0,065876 | -0,043886 | |
8 | 0,080005 | -0,026244 | |
9 | 0,096594 | -0,002552 | |
10 | 0,116703 | 0,029910 | |
11 | 0,465143 | 0,465037 | |
13 | 1 | 0,015382 | -0,063288 |
2 | 0,023100 | -0,067492 | |
3 | 0,030881 | -0,067892 | |
4 | 0,038824 | -0,065622 | |
5 | 0,047302 | -0,060887 | |
6 | 0,056414 | -0,053540 | |
7 | 0,066482 | -0,043158 | |
8 | 0,077739 | -0,028970 | |
9 | 0,090699 | -0,009644 | |
10 | 0,106166 | 0,017233 | |
11 | 0,125627 | 0,056547 | |
12 | 0,321416 | 0,386713 | |
13 | 1 | 0,021005 | -0,054436 |
2 | 0,028757 | -0,058585 | |
3 | 0,036127 | -0,059535 | |
4 | 0,045501 | -0,058259 | |
5 | 0,051078 | -0,054942 | |
6 | 0,059028 | -0,049472 | |
7 | 0,067533 | -0,041505 | |
8 | 0,076831 | -0,030395 | |
9 | 0,087274 | -0,015037 | |
10 | 0,099441 | 0,006644 | |
11 | 0,114446 | 0,038943 | |
12 | 0,135068 | 0,093324 | |
13 | 0,179913 | 0,283257 | |
14 | 1 | -1,060461 | -0,490831 |
2 | 2,060461 | 0,490831 | |
14 | 1 | -0,533158 | -0,324929 |
2 | -0,479874 | -0,808462 | |
3 | 2,013058 | 0,633913 | |
14 | 1 | -0,310144 | -0,240992 |
2 | -0,281132 | -0,233670 | |
3 | -0,229990 | -0,210735 | |
4 | 1,321236 | 0,685397 | |
14 | 1 | -0,192947 | -0,190068 |
2 | -0,174709 | -0,187427 | |
3 | -0,142478 | -0,172710 | |
4 | -0,099930 | -0,049393 | |
5 | 1,610065 | 0,699598 | |
14 | 1 | -0,123352 | -0,155736 |
2 | -0,110490 | -0,155747 | |
3 | -0,088443 | -0,146054 | |
4 | -0,059523 | -0,129460 | |
5 | -0,024111 | -0,105556 | |
6 | 1,405919 | 0,693553 | |
14 | 1 | -0,070656 | -0,130915 |
2 | -0,068666 | -0,152521 | |
3 | -0,052554 | -0,126128 | |
4 | -0,031776 | -0,114051 | |
5 | -0,006522 | -0,096788 | |
6 | 0,023467 | 0,074184 | |
7 | 1,214708 | 1,674581 | |
14 | 1 | -0,048365 | -0,112041 |
2 | -0,039964 | -0,114637 | |
3 | -0,027495 | -0,110509 | |
4 | 0,011849 | -0,101635 | |
5 | 0,006905 | -0,088122 | |
6 | 0,029002 | -0,070735 | |
7 | 0,054897 | -0,048074 | |
8 | 1,036868 | 0,646052 | |
14 | 1 | -0,027030 | -0,097117 |
2 | -0,019516 | -0,100334 | |
3 | -0,009363 | -0,097827 | |
4 | 0,002928 | -0,091298 | |
5 | 0,017368 | -0,081103 | |
6 | 0,034165 | -0,067124 | |
7 | 0,063685 | -0,048921 | |
8 | 0,076476 | -0,025720 | |
9 | 0,371287 | 0,609445 | |
14 | 1 | -0,011580 | -0,084931 |
2 | -0,004548 | -0,088528 | |
3 | 0,004100 | -0,087207 | |
4 | 0,014144 | -0,082451 | |
5 | 0,025647 | -0,074573 | |
6 | 0,038794 | -0,063473 | |
7 | 0,053879 | -0,048768 | |
8 | 0,071335 | -0,029776 | |
9 | 0,091783 | -0,005398 | |
10 | 0,716445 | 0,565105 | |
14 | 1 | -0,000170 | -0,074686 |
2 | 0,006622 | -0,078499 | |
3 | 0,014283 | -0,078064 | |
4 | 0,022800 | -0,074680 | |
5 | 0,032273 | -0,068624 | |
6 | 0,042866 | -0,059816 | |
7 | 0,054817 | -0,047926 | |
8 | 0,068463 | -0,032355 | |
9 | 0,084290 | -0,012126 | |
10 | 0,103025 | -0,014349 | |
11 | 0,570731 | 0,512429 | |
14 | 1 | 0,008361 | -0,065816 |
2 | 0,015058 | -0,069728 | |
3 | 0,022076 | -0,069962 | |
4 | 0,029552 | -0,067659 | |
5 | 0,037615 | -0,056130 | |
6 | 0,046411 | -0,056130 | |
7 | 0,056132 | -0,046558 | |
8 | 0,067039 | -0,033834 | |
9 | 0,079506 | -0,017101 | |
10 | 0,091096 | 0,005064 | |
11 | 0,111723 | 0,035156 | |
12 | 0,432431 | 0,449638 | |
14 | 1 | 0,014760 | -0,057849 |
2 | 0,021453 | -0,061764 | |
3 | 0,028064 | -0,062606 | |
4 | 0,034842 | -0,061074 | |
5 | 0,041933 | -0,057693 | |
6 | 0,049474 | -0,052317 | |
7 | 0,057619 | -0,044707 | |
8 | 0,066569 | -0,034420 | |
9 | 0,076605 | -0,020713 | |
10 | 0,088151 | -0,002338 | |
11 | 0,101914 | -0,022943 | |
12 | 0,119200 | 0,059643 | |
13 | 0,299416 | 0,372795 | |
14 | 1 | 0,019487 | -0,050186 |
2 | 0,026238 | -0,054008 | |
3 | 0,032614 | -0,055130 | |
4 | 0,038947 | -0,054419 | |
5 | 0,045399 | -0,052075 | |
6 | 0,052097 | -0,048066 | |
7 | 0,059168 | -0,042197 | |
8 | 0,066767 | -0,034099 | |
9 | 0,075102 | -0,023149 | |
10 | 0,084482 | -0,008285 | |
11 | 0,095428 | 0,012430 | |
12 | 0,108942 | 0,043015 | |
13 | 0,127523 | 0,094166 | |
14 | 0,167807 | 0,272004 | |
15 | 1 | -1,097617 | -0,491458 |
2 | 2,097617 | 0,491458 | |
15 | 1 | -0,558336 | -0,325521 |
2 | -0,607671 | -0,310191 | |
3 | 2,066007 | 0,635712 | |
15 | 1 | -0,329324 | -0,241651 |
2 | -0,301829 | -0,234807 | |
3 | -0,252948 | -0,213548 | |
4 | 1,884101 | 0,690005 | |
15 | 1 | -0,136198 | -0,156597 |
2 | -0,124518 | -0,156563 | |
3 | -0,103401 | -0,147517 | |
4 | -0,075614 | -0,132182 | |
5 | -0,041680 | -0,111215 | |
6 | 1,481712 | 0,704074 | |
15 | 1 | -0,208525 | -0,190823 |
2 | -0,191357 | -0,188323 | |
3 | -0,160491 | -0,174645 | |
4 | -0,119748 | -0,153153 | |
5 | 1,689121 | 0,706944 | |
15 | 1 | -0,090036 | -0,131891 |
2 | -0,080850 | -0,133342 | |
3 | -0,065446 | -0,127335 | |
4 | -0,045441 | -0,116138 | |
5 | -0,021137 | -0,100291 | |
6 | 0,007597 | -0,079774 | |
7 | 1,295312 | 0,688771 | |
15 | 1 | -0,058390 | -0,113143 |
2 | -0,050767 | -0,115520 | |
3 | -0,038897 | -0,111607 | |
4 | -0,023825 | -0,103332 | |
5 | -0,005717 | -0,091156 | |
6 | 0,015565 | -0,075053 | |
7 | 0,040351 | -0,054703 | |
8 | 1,121680 | 0,664514 | |
15 | 1 | -0,035972 | -0,098361 |
2 | -0,029235 | -0,101322 | |
3 | -0,019633 | -0,098904 | |
4 | -0,007812 | -0,092773 | |
5 | 0,006156 | -0,083327 | |
6 | 0,022403 | -0,070544 | |
7 | 0,041203 | -0,054142 | |
8 | 0,062969 | -0,033595 | |
9 | 0,959920 | -0,632957 | |
15 | 1 | -0,019626 | -0,086339 |
2 | -0,013383 | -0,089664 | |
3 | -0,005271 | -0,088341 | |
4 | 0,004351 | -0,083828 | |
5 | 0,015475 | -0,076474 | |
6 | 0,028227 | -0,066261 | |
7 | 0,042832 | -0,052943 | |
8 | 0,059624 | -0,036054 | |
9 | 0,079072 | -0,014863 | |
10 | 0,808700 | -0,594768 | |
15 | 1 | -0,007450 | -0,076297 |
2 | -0,001467 | -0,079835 | |
3 | 0,005652 | -0,079332 | |
4 | 0,013759 | -0,076068 | |
5 | 0,022893 | -0,070355 | |
6 | 0,033174 | -0,062181 | |
7 | 0,044787 | -0,051331 | |
8 | 0,057997 | -0,037396 | |
9 | 0,073180 | -0,19723 | |
10 | 0,090865 | 0,002701 | |
11 | 0,666610 | 0,549817 | |
15 | 1 | 0,001756 | -0,067695 |
2 | 0,007624 | -0,071342 | |
3 | 0,014079 | -0,071459 | |
4 | 0,021133 | -0,069178 | |
5 | 0,028861 | -0,064779 | |
6 | 0,037374 | -0,058256 | |
7 | 0,046822 | -0,049425 | |
8 | 0,057431 | -0,037926 | |
9 | 0,069479 | -0,023180 | |
10 | 0,083393 | -0,004280 | |
11 | 0,099799 | 0,020236 | |
12 | 0,532243 | 0,497284 | |
15 | 1 | 0,008779 | -0,060130 |
2 | 0,014620 | -0,063805 | |
3 | 0,020637 | -0,064394 | |
4 | 0,026961 | -0,062900 | |
5 | 0,033693 | -0,059574 | |
6 | 0,040939 | -0,054417 | |
7 | 0,048828 | -0,047269 | |
8 | 0,057528 | -0,037821 | |
9 | 0,067265 | -0,025565 | |
10 | 0,078368 | -0,009694 | |
11 | 0,091330 | 0,011113 | |
12 | 0,106947 | 0,039155 | |
13 | 0,404106 | 0,435302 | |
15 | 1 | 0,014143 | -0,053241 |
2 | 0,020013 | -0,056789 | |
3 | 0,025750 | -0,057827 | |
4 | 0,031576 | -0,056973 | |
5 | 0,037611 | -0,054542 | |
6 | 0,043958 | -0,050539 | |
7 | 0,050725 | -0,044833 | |
8 | 0,058045 | -0,037157 | |
9 | 0,066092 | -0,027072 | |
10 | 0,075114 | -0,013872 | |
11 | 0,085490 | -0,003612 | |
12 | 0,097344 | 0,027465 | |
13 | 0,113340 | 0,061879 | |
14 | 0,280298 | 0,359950 | |
15 | 1 | 0,013170 | -0,046538 |
2 | 0,024108 | -0,050064 | |
3 | 0,029685 | -0,051279 | |
4 | 0,035191 | -0,050957 | |
5 | 0,040762 | -0,049298 | |
6 | 0,046496 | -0,046315 | |
7 | 0,052488 | -0,041899 | |
8 | 0,058844 | -0,035827 | |
9 | 0,065696 | -0,027731 | |
10 | 0,073230 | -0,017008 | |
11 | 0,081725 | -0,002653 | |
12 | 0,091651 | 0,017156 | |
13 | 0,103914 | 0,016191 | |
14 | 0,120784 | 0,094483 | |
15 | 0,157255 | 0,261738 |
N | r | ||
2 | 1 | 0,5000 | -0,8862 |
2 | 0,5000 | 0,8862 | |
3 | 1 | 0,0000 | -1,1816 |
2 | 1,0000 | 1,1816 | |
3 | 1 | 0,3333 | -0,5908 |
2 | 0,3333 | 0,0000 | |
3 | 0,3333 | 0,5908 | |
4 | 1 | -0,4056 | -1,3654 |
2 | 1,4056 | 1,3654 | |
4 | 1 | 0,1161 | -0,6971 |
2 | 0,2408 | -0,1268 | |
3 | 0,6431 | 0,8239 | |
4 | 1 | 0,2500 | -0,4539 |
2 | 0,2500 | -0,1102 | |
3 | 0,2500 | 0,1102 | |
4 | 0,2500 | 0,4539 | |
5 | 1 | -0,7411 | -1,4971 |
2 | 1,7411 | 1,4971 | |
5 | 1 | -0,0638 | -0,7696 |
2 | 0,1498 | -0,2121 | |
3 | 0,9139 | 0,9817 | |
5 | 1 | 0,125 | -0,5117 |
2 | 0,183 | -0,1668 | |
3 | 0,2147 | 0,0274 | |
4 | 0,4771 | 0,6511 | |
5 | 1 | 0,2000 | -0,3724 |
2 | 0,2000 | -0,1352 | |
3 | 0,2000 | 0,0000 | |
4 | 0,2000 | 0,1352 | |
5 | 0,2000 | 0,3724 | |
6 | 1 | -1,0261 | -1,5988 |
2 | 2,0261 | 1,5988 | |
6 | 1 | -0,2159 | -0,8244 |
2 | 0,0649 | -0,2760 | |
3 | 1,1511 | 1,1004 | |
6 | 1 | 0,0185 | -0,5528 |
2 | 0,1226 | -0,2091 | |
3 | 0,1761 | -0,0290 | |
4 | 0,6828 | 0,7909 | |
6 | 1 | 0,1183 | -0,4097 |
2 | 0,1510 | -0,1685 | |
3 | 0,1680 | -0,0406 | |
4 | 0,1828 | 0,0740 | |
5 | 0,3799 | 0,5448 | |
6 | 1 | 0,1667 | -0,3175 |
2 | 0,1667 | -0,1386 | |
3 | 0,1667 | -0,0432 | |
4 | 0,1667 | -0,0432 | |
5 | 0,1667 | 0,1386 | |
6 | 0,1667 | 0,3175 | |
7 | 1 | -1,2733 | -1,6812 |
2 | 2,2733 | 1,6812 | |
7 | 1 | -0,3474 | -0,8682 |
2 | -0,0135 | -0,3269 | |
3 | 1,3609 | 1,1951 | |
7 | 1 | -0,0738 | -0,5848 |
2 | 0,0677 | -0,2428 | |
3 | 0,1375 | -0,0717 | |
4 | 0,8686 | 0,8994 | |
7 | 1 | 0,0465 | -0,4370 |
2 | 0,1072 | -0,1943 | |
3 | 0,1375 | 0,0718 | |
4 | 0,1626 | 0,0321 | |
5 | 0,5462 | 0,6709 | |
7 | 1 | 0,1088 | -0,3440 |
2 | 0,1295 | -0,1610 | |
3 | 0,1400 | -0,0681 | |
4 | 0,1487 | 0,0114 | |
5 | 0,1571 | 0,0901 | |
6 | 0,3159 | 0,4716 | |
7 | 1 | 0,1429 | -0,2778 |
2 | 0,1429 | -0,1351 | |
3 | 0,1429 | -0,0625 | |
4 | 0,1429 | 0,0000 | |
5 | 0,1429 | 0,0625 | |
7 | 6 | 0,1429 | 0,1351 |
7 | 0,1429 | 0,2778 | |
8 | 1 | -1,4915 | -0,7502 |
2 | 2,4915 | 1,7502 | |
8 | 1 | -0,4632 | -0,9045 |
2 | -0,0855 | -0,3690 | |
3 | 1,5487 | 1,2735 | |
8 | 1 | -0,1549 | -0,6100 |
2 | 0,0176 | -0,2770 | |
3 | 0,1001 | -0,1061 | |
4 | 1,0372 | 0,9878 | |
8 | 1 | -0,0167 | -0,4586 |
2 | 0,0617 | -0,2156 | |
3 | 0,1084 | -0,0970 | |
4 | 0,1413 | 0,0002 | |
5 | 0,6993 | 0,7709 | |
8 | 1 | 0,0569 | -0,3638 |
2 | 0,0962 | -0,1788 | |
3 | 0,1153 | -0,0881 | |
4 | 0,1309 | -0,0132 | |
5 | 0,1451 | 0,0570 | |
6 | 0,4555 | 0,5868 | |
8 | 1 | 0,0997 | -0,2978 |
2 | 0,1139 | -0,1515 | |
3 | 0,1208 | -0,0796 | |
4 | 0,1265 | -0,0200 | |
5 | 0,1318 | 0,0364 | |
6 | 0,1370 | 0,0951 | |
7 | 0,2704 | 0,4175 | |
8 | 1 | 0,1250 | -0,2476 |
2 | 0,1250 | -0,1294 | |
3 | 0,1250 | -0,0713 | |
4 | 0,1250 | -0,0230 | |
5 | 0,1250 | 0,0230 | |
6 | 0,1250 | 0,0713 | |
7 | 0,1250 | 0,1294 | |
8 | 0,1250 | 0,2476 | |
9 | 1 | -1,6868 | -1,8092 |
2 | 2,6868 | 1,8092 | |
9 | 1 | -0,5664 | 0,9355 |
2 | -0,1521 | -0,4047 | |
3 | 1,7185 | 1,3402 | |
9 | 1 | -0,2272 | 0,6330 |
2 | -0,0284 | -0,2944 | |
3 | 0,0644 | -0,1348 | |
4 | 1,1912 | 1,0622 | |
9 | 1 | -0,0731 | -0,4765 |
2 | 0,0316 | -0,2335 | |
3 | 0,0809 | -0,1181 | |
4 | 0,1199 | -0,0256 | |
5 | 0,8408 | 0,8537 | |
9 | 1 | 0,0104 | -0,3797 |
2 | 0,0660 | -0,1936 | |
3 | 0,0923 | -0,1048 | |
4 | 0,1133 | -0,0333 | |
5 | 0,1320 | 0,0317 | |
6 | 0,5860 | 0,6797 | |
9 | 1 | 0,0602 | -0,3129 |
2 | 0,0876 | 0,1647 | |
3 | 0,1006 | -0,0938 | |
4 | 0,1110 | -0,0364 | |
5 | 0,1204 | 0,0160 | |
6 | 0,1294 | 0,0678 | |
7 | 0,3809 | 0,5239 | |
9 | 1 | 0,0915 | -0,2633 |
2 | 0,1018 | -0,1421 | |
3 | 0,1067 | -0,0841 | |
4 | 0,1106 | -0,0370 | |
5 | 0,1142 | 0,0062 | |
6 | 0,1177 | 0,0492 | |
7 | 0,1212 | 0,0954 | |
8 | 0,2365 | 0,3757 | |
9 | 1 | 0,1111 | -0,2237 |
2 | 0,1111 | -0,1233 | |
3 | 0,1111 | -0,0751 | |
4 | 0,1111 | -0,0360 | |
5 | 0,1111 | 0,0000 | |
6 | 0,1111 | 0,0360 | |
7 | 0,1111 | 0,0751 | |
8 | 0,1111 | 0,1244 | |
9 | 0,1111 | 0,2237 | |
10 | 1 | -1,8634 | -1,8608 |
2 | 2,8634 | 1,8008 | |
10 | 1 | -0,6596 | -0,9625 |
2 | -0,2138 | -0,4357 | |
3 | 1,8734 | 1,3981 | |
10 | 1 | -0,2923 | -0,6520 |
2 | -0,0709 | -0,3150 | |
3 | 0,0305 | -0,1593 | |
4 | 1,3327 | 1,1263 | |
10 | 1 | -0,1240 | -0,4919 |
2 | 0,0016 | -0,2491 | |
3 | 0,0549 | -0,1362 | |
4 | 0,0990 | -0,0472 | |
5 | 0,9716 | 0,9243 | |
10 | 1 | -0,0316 | -0,3930 |
2 | 0,0383 | -0,2063 | |
3 | 0,0707 | -0,1192 | |
4 | 0,0962 | -0,0501 | |
5 | 0,1185 | 0,0111 | |
6 | 0,7078 | 0,7576 | |
10 | 1 | 0,0244 | -0,3252 |
2 | 0,0636 | -0,1758 | |
3 | 0,0818 | -0,1058 | |
4 | 0,0962 | -0,0502 | |
5 | 0,1089 | -0,0008 | |
6 | 0,1207 | 0,0469 | |
7 | 0,5045 | 0,6107 | |
10 | 1 | 0,0605 | -0,2753 |
2 | 0,0804 | -0,1523 | |
3 | 0,0898 | -0,0947 | |
4 | 0,0972 | -0,0488 | |
5 | 0,1037 | -0,0077 | |
6 | 0,1099 | 0,0319 | |
7 | 0,1161 | 0,0722 | |
8 | 0,3424 | 0,4746 | |
10 | 1 | 0,0843 | -0,2364 |
2 | 0,0921 | -0,1334 | |
3 | 0,0957 | -0,0851 | |
4 | 0,0986 | -0,0465 | |
5 | 0,1011 | -0,0119 | |
6 | 0,1036 | 0,0215 | |
7 | 0,1060 | 0,0559 | |
8 | 0,1085 | 0,0937 | |
9 | 0,2101 | 0,3423 | |
10 | 1 | 0,1000 | -0,2044 |
2 | 0,1000 | -0,1172 | |
3 | 0,1000 | -0,0763 | |
4 | 0,1000 | -0,0436 | |
5 | 0,1000 | -0,0142 | |
6 | 0,1000 | 0,0142 | |
10 | 7 | 0,1000 | 0,0436 |
8 | 0,1000 | 0,0763 | |
9 | 0,1000 | 0,1172 | |
10 | 0,1000 | 0,2044 | |
11 | 1 | -2,0245 | -1,9065 |
2 | 3,0245 | 1,9065 | |
11 | 1 | -0,7445 | -0,9882 |
2 | -0,2712 | -0,4630 | |
3 | 2,0157 | 1,4492 | |
11 | 1 | -0,3516 | -0,6657 |
2 | -0,1104 | -0,3331 | |
3 | -0,0016 | -0,1807 | |
4 | 1,4636 | 1,1825 | |
11 | 1 | -0,1702 | -0,5053 |
2 | -0,0323 | -0,2627 | |
3 | 0,0303 | -0,1519 | |
4 | 0,0786 | -0,0657 | |
5 | 1,0937 | -0,3357 | |
11 | 1 | -0,0698 | -0,4045 |
2 | 0,0128 | -0,2175 | |
3 | 0,0504 | -0,1317 | |
4 | 0,0797 | -0,0647 | |
5 | 0,1049 | -0,0061 | |
6 | 0,8220 | 0,8246 | |
11 | 1 | -0,0082 | -0,3357 |
2 | 0,0415 | -0,1854 | |
3 | 0,0642 | -0,1163 | |
4 | 0,0820 | -0,0621 | |
5 | 0,0974 | -0,0146 | |
6 | 0,1116 | 0,0299 | |
7 | 0,6116 | 0,6842 | |
11 | 1 | 0,0320 | -0,2852 |
2 | 0,0609 | -0,1610 | |
3 | 0,0741 | -0,1033 | |
4 | 0,0845 | -0,0589 | |
5 | 0,0935 | -0,0194 | |
6 | 0,1020 | 0,0178 | |
7 | 0,1101 | 0,0545 | |
8 | 0,4430 | 0,5582 | |
11 | 1 | 0,0592 | -0,2463 |
2 | 0,0744 | -0,1417 | |
3 | 0,0814 | -0,0934 | |
4 | 0,0869 | -0,0555 | |
11 | 5 | 0,0917 | -0,0220 |
6 | 0,0962 | 0,0095 | |
7 | 0,1005 | 0,0409 | |
8 | 0,1049 | 0,0736 | |
9 | 0,3047 | 0,4349 | |
11 | 1 | 0,0731 | -0,2149 |
2 | 0,0841 | -0,1256 | |
3 | 0,0869 | -0,0843 | |
4 | 0,0891 | -0,0519 | |
5 | 0,0910 | -0,0233 | |
6 | 0,0928 | 0,0038 | |
7 | 0,0945 | 0,0309 | |
8 | 0,0983 | 0,0593 | |
9 | 0,0982 | 0,0911 | |
10 | 0,1891 | 0,3149 | |
11 | 1 | 0,0909 | -0,1883 |
2 | 0,0909 | -0,1151 | |
3 | 0,0909 | -0,0760 | |
4 | 0,0909 | -0,0471 | |
5 | 0,9099 | -0,0234 | |
6 | 0,0909 | 0,0000 | |
7 | 0,0909 | 0,0234 | |
8 | 0,0909 | 0,0471 | |
9 | 0,0909 | 0,0760 | |
10 | 0,0909 | 0,1151 | |
11 | 0,0909 | 0,1883 | |
12 | 1 | -2,1723 | -1,9474 |
2 | 3,1723 | 1,9474 | |
12 | 1 | -0,8225 | -0,0075 |
2 | -0,3249 | -0,4874 | |
3 | 2,1474 | 1,4918 | |
12 | 1 | -0,4059 | -0,6836 |
2 | -0,1472 | -0,3493 | |
3 | -0,0321 | -0,1096 | |
4 | 1,5852 | 1,2324 | |
12 | 1 | -0,2125 | -0,5171 |
2 | -0,0609 | -0,2749 | |
3 | 0,0070 | -0,1659 | |
4 | 0,0589 | -0,0820 | |
5 | 0,2075 | 1,0399 | |
12 | 1 | 0,1048 | -0,4146 |
2 | 0,0109 | -0,2274 | |
3 | 0,0313 | -0,1428 | |
4 | 0,0637 | -0,0744 | |
5 | 0,0915 | -0,0210 | |
6 | 0,9292 | 0,8833 | |
12 | 1 | -0,0382 | -0,3448 |
2 | 0,0210 | -0,1939 | |
3 | 0,0477 | -0,1255 | |
4 | 0,0684 | -0,0726 | |
5 | 0,0861 | -0,0267 | |
6 | 0,0222 | 0,0155 | |
7 | 0,7128 | 0,7479 | |
12 | 1 | 0,067 | -0,2937 |
2 | 0,0428 | -0,1686 | |
3 | 0,0585 | -0,1119 | |
4 | 0,0724 | -0,0678 | |
5 | 0,0836 | -0,0298 | |
6 | 0,0938 | 0,0058 | |
7 | 0,1036 | 0,0400 | |
8 | 0,3386 | 0,6259 | |
12 | 1 | 0,0360 | -0,2545 |
2 | 0,0581 | -0,1487 | |
3 | 0,0682 | -0,1007 | |
4 | 0,0759 | -0,0633 | |
5 | 0,0827 | -0,0308 | |
6 | 0,0888 | -0,0007 | |
7 | 0,0948 | 0,0286 | |
8 | 0,1006 | 0,0582 | |
9 | 0,3950 | 0,5119 | |
12 | 1 | 0,0574 | -0,2232 |
2 | 0,0693 | -0,1324 | |
3 | 0,0747 | -0,0911 | |
4 | 0,0789 | -0,0590 | |
5 | 0,0825 | -0,0310 | |
6 | 0,0859 | -0,0050 | |
7 | 0,0891 | 0,0203 | |
8 | 0,0923 | 0,0461 | |
9 | 0,0959 | 0,0733 | |
10 | 0,2745 | 0,4020 | |
12 | 1 | 0,0726 | -0,1972 |
2 | 0,0775 | -0,1185 | |
3 | 0,0796 | -0,0827 | |
4 | 0,0813 | -0,0548 | |
5 | 0,0828 | 0,0305 | |
6 | 0,0842 | 0,0079 | |
7 | 0,0855 | 0,0142 | |
8 | 0,0868 | 0,0367 | |
9 | 0,0882 | 0,0608 | |
10 | 0,0896 | 0,0881 | |
11 | 0,1789 | 0,2919 | |
12 | 1 | 0,0833 | -0,1748 |
2 | 0,0833 | -0,1061 | |
3 | 0,0833 | -0,0749 | |
4 | 0,0833 | -0,0505 | |
5 | 0,0833 | -0,0294 | |
6 | 0,0833 | -0,0297 | |
7 | 0,0833 | 0,0097 | |
8 | 0,0833 | 0,0294 | |
9 | 0,0833 | 0,0506 | |
10 | 0,0833 | 0,0749 | |
11 | 0,0833 | 0,1061 | |
12 | 0,0833 | 0,1748 | |
13 | 1 | -2,3101 | -1,9845 |
2 | 3,3101 | 1,9845 | |
13 | 1 | -0,8916 | -1,0268 |
2 | -0,3753 | -0,5094 | |
3 | 2,2699 | 1,5360 | |
13 | 1 | -0,4561 | -0,6969 |
2 | -0,1817 | -0,3638 | |
3 | -0,0610 | -0,2165 | |
4 | 1,6958 | 1,2773 | |
13 | 1 | -0,2516 | -0,5276 |
2 | -0,0876 | -0,2859 | |
3 | -0,0151 | -0,1785 | |
4 | 0,0400 | -0,0964 | |
5 | 1,3143 | 1,0834 | |
13 | 1 | -0,1371 | -0,4236 |
2 | -0,0330 | -0,2663 | |
3 | 0,0132 | -0,1528 | |
4 | 0,0484 | -0,0888 | |
5 | 0,0784 | -0,0341 | |
6 | 1,0301 | 0,9355 | |
13 | 1 | -0,0659 | -0,3528 |
2 | 0,0020 | -0,2015 | |
3 | 0,0322 | -0,1339 | |
4 | 0,0553 | -0,0819 | |
5 | 0,0750 | -0,0374 | |
6 | 0,0923 | 0,0032 | |
7 | 0,8085 | 0,8042 | |
13 | 1 | -0,0185 | -0,3011 |
2 | 0,0259 | -0,1754 | |
3 | 0,0457 | -0,1197 | |
4 | 0,0610 | -0,0758 | |
5 | 0,0740 | -0,0386 | |
6 | 0,0857 | -0,0046 | |
7 | 0,0968 | 0,0276 | |
8 | 0,6294 | 0,6867 | |
13 | 1 | 0,0144 | -0,2616 |
2 | 0,0430 | -0,1549 | |
3 | 0,0557 | -0,1071 | |
4 | 0,0655 | -0,0703 | |
5 | 0,0739 | -0,0386 | |
6 | 0,0816 | -0,0095 | |
7 | 0,0888 | 0,0182 | |
8 | 0,0958 | 0,0456 | |
9 | 0,4813 | 0,5781 | |
13 | 1 | 0,0380 | -0,2301 |
2 | 0,0555 | -0,1382 | |
3 | 0,0633 | -0,0970 | |
4 | 0,0693 | -0,0653 | |
5 | 0,0745 | -0,0379 | |
6 | 0,0792 | -0,0128 | |
7 | 0,0836 | 0,0113 | |
8 | 0,0880 | 0,0352 | |
9 | 0,0924 | 0,0598 | |
10 | 0,3564 | 0,4750 | |
13 | 1 | 0,0552 | -0,2043 |
2 | 0,0648 | -0,1243 | |
3 | 0,0691 | -0,0884 | |
4 | 0,0724 | -0,0607 | |
5 | 0,0752 | -0,0368 | |
6 | 0,0778 | -0,0148 | |
7 | 0,0803 | 0,0063 | |
8 | 0,0827 | 0,0273 | |
9 | 0,0852 | 0,0490 | |
10 | 0,0877 | 0,0723 | |
11 | 0,2497 | 0,3743 | |
13 | 1 | 0,0679 | -0,1824 |
2 | 0,0718 | -0,1222 | |
3 | 0,0735 | -0,0806 | |
4 | 0,0749 | 0,0563 | |
5 | 0,0761 | -0,0353 | |
6 | 0,0771 | -0,0160 | |
7 | 0,0781 | 0,0026 | |
8 | 0,0792 | 0,0212 | |
9 | 0,0802 | 0,0404 | |
10 | 0,0813 | 0,0612 | |
11 | 0,0824 | 0,0850 | |
12 | 0,1576 | 0,2724 | |
13 | 1 | 0,0769 | -0,1632 |
2 | 0,0769 | -0,1013 | |
3 | 0,0769 | -0,0735 | |
4 | 0,0769 | -0,0520 | |
5 | 0,0769 | -0,0335 | |
6 | 0,0769 | -0,0164 | |
7 | 0,0769 | +0,0164 | |
8 | 0,0769 | 0,0000 | |
9 | 0,0769 | 0,0335 | |
10 | 0,0769 | 0,0164 | |
11 | 0,0769 | 0,0735 | |
12 | 0,0769 | 0,1013 | |
13 | 0,0769 | 0,1632 | |
14 | 1 | -2,4378 | -2,0182 |
2 | 3,4378 | 2,0182 | |
14 | 1 | -0,9616 | -1,0441 |
2 | -0,4228 | -0,5293 | |
3 | 2,3843 | 1,5734 | |
14 | 1 | -0,5027 | -0,7091 |
2 | -0,2142 | -0,3771 | |
3 | -0,0866 | -0,2318 | |
4 | 1,8054 | 1,3180 | |
14 | 1 | -0,5027 | -0,7091 |
2 | -0,1127 | -0,2959 | |
3 | 0,0360 | -0,1898 | |
4 | 0,0218 | -0,1094 | |
5 | 1,4148 | 1,1322 | |
14 | 1 | -0,1670 | -0,4317 |
2 | -0,0537 | -0,2444 | |
3 | -0,0040 | -0,1618 | |
4 | 0,0388 | -0,0990 | |
5 | 0,0655 | -0,0457 | |
6 | 1,1255 | 0,9855 | |
14 | 1 | -0,0915 | -0,3599 |
2 | -0,0158 | -0,2084 | |
3 | 0,017 | -0,1414 | |
4 | 0,042 | -0,0903 | |
5 | 0,064 | -0,0469 | |
6 | 0,083 | -0,0770 | |
7 | 0,899 | 0,8546 | |
14 | 1 | -0,0411 | -0,3077 |
2 | 0,0102 | -0,1815 | |
3 | 0,0328 | -0,1256 | |
4 | 0,0500 | -0,0829 | |
5 | 0,0646 | -0,0466 | |
6 | 0,0777 | -0,0137 | |
7 | 0,0899 | 0,0172 | |
8 | 0,7159 | 0,7407 | |
14 | 1 | -0,0057 | -0,2678 |
2 | 0,0288 | -0,1604 | |
3 | 0,0410 | -0,1129 | |
4 | 0,0557 | -0,0765 | |
5 | 0,0655 | -0,0455 | |
6 | 0,0744 | -0,0174 | |
7 | 0,0828 | 0,0092 | |
8 | 0,0908 | 0,0350 | |
9 | 0,5637 | 0,6363 | |
14 | 1 | 0,0199 | -0,2361 |
2 | 0,0426 | -0,1434 | |
3 | 0,0526 | -0,1023 | |
4 | 0,0602 | 0,0709 | |
5 | 0,0667 | -0,0440 | |
6 | 0,0726 | -0,0196 | |
7 | 0,0782 | 0,0035 | |
8 | 0,0835 | 0,0260 | |
9 | 0,0887 | 0,0487 | |
10 | 0,4350 | 0,5382 | |
14 | 1 | 0,0388 | -0,2102 |
2 | 0,0529 | -0,1292 | |
3 | 0,0592 | -0,0933 | |
4 | 0,0639 | -0,0658 | |
5 | 0,0680 | -0,0423 | |
6 | 0,0717 | -0,0209 | |
7 | 0,0752 | -0,0006 | |
8 | 0,0785 | 0,0192 | |
9 | 0,0819 | 0,0393 | |
10 | 0,0852 | 0,0601 | |
11 | 0,3247 | 0,4438 | |
14 | 1 | 0,0530 | -0,1885 |
2 | 0,0609 | -0,1171 | |
3 | 0,0643 | -0,0854 | |
4 | 0,0670 | -0,0612 | |
5 | 0,0692 | -0,0404 | |
6 | 0,0713 | -0,0215 | |
7 | 0,0732 | -0,0036 | |
8 | 0,0751 | 0,0140 | |
9 | 0,0770 | 0,0319 | |
10 | 0,0789 | 0,0505 | |
11 | 0,0809 | 0,0707 | |
12 | 0,2291 | 0,3506 | |
14 | 1 | 0,637 | -0,1698 |
2 | 0,0669 | -0,1065 | |
3 | 0,0683 | -0,0784 | |
4 | 0,0694 | -0,0568 | |
5 | 0,0704 | -0,0384 | |
6 | 0,0712 | -0,0216 | |
7 | 0,0721 | -0,0056 | |
8 | 0,0728 | 0,0100 | |
9 | 0,0736 | 0,0259 | |
10 | 0,0745 | 0,0426 | |
11 | 0,0753 | 0,0609 | |
12 | 0,0762 | 0,0820 | |
13 | 0,1455 | 0,2556 | |
14 | 1 | 0,0714 | -0,1532 |
2 | 0,0714 | -0,0968 | |
3 | 0,0714 | -0,0717 | |
4 | 0,0714 | -0,0526 | |
5 | 0,0714 | -0,0362 | |
6 | 0,0714 | -0,0212 | |
7 | 0,0714 | -0,0070 | |
8 | 0,0714 | 0,0000 | |
9 | 0,0714 | 0,0212 | |
10 | 0,0714 | 0,0362 | |
11 | 0,0714 | 0,0256 | |
12 | 0,0714 | 0,0717 | |
13 | 0,0714 | 0,0968 | |
14 | 0,0714 | 0,1532 | |
15 | 1 | -2,5574 | -2,0493 |
2 | 3,5574 | 2,0493 | |
15 | 1 | -1,0242 | -1,0601 |
2 | -0,4676 | -0,5477 | |
3 | 2,4918 | 1,6077 | |
15 | 1 | -0,5462 | -0,7201 |
2 | -0,2448 | -0,3892 | |
3 | -0,1148 | -0,2458 | |
4 | 1,9058 | 1,3552 | |
15 | 1 | -0,3217 | -0,5459 |
2 | -0,1364 | -0,3050 | |
3 | -0,0560 | -0,2002 | |
4 | 0,0043 | -0,1211 | |
5 | 1,5097 | 1,1722 | |
15 | 1 | -0,1950 | -0,4390 |
2 | -0,0732 | -0,2518 | |
3 | -0,0203 | -0,1700 | |
4 | 0,0196 | -0,1082 | |
5 | 0,0531 | -0,0562 | |
6 | 1,2157 | 1,0252 | |
15 | 1 | -0,1155 | -0,3664 |
2 | -0,0326 | -0,2146 | |
3 | +0,0036 | -0,1482 | |
4 | 0,0309 | -0,0979 | |
5 | 0,0539 | -0,0555 | |
6 | 0,0743 | -0,0174 | |
7 | 0,9854 | 0,9001 | |
15 | 1 | -0,0821 | -0,3136 |
2 | -0,0046 | -0,1870 | |
3 | 0,0205 | -0,1315 | |
4 | 0,0395 | -0,0894 | |
5 | 0,0555 | -0,0538 | |
6 | 0,0698 | -0,0219 | |
7 | 0,0830 | 0,0079 | |
8 | 0,7983 | 0,7892 | |
15 | 1 | -0,0244 | -0,2733 |
2 | 0,0155 | -0,1654 | |
3 | 0,0330 | -0,1181 | |
4 | 0,0462 | -0,0822 | |
5 | 0,0574 | -0,0518 | |
6 | 0,0674 | -0,0244 | |
7 | 0,0767 | 0,0012 | |
8 | 0,0856 | 0,0258 | |
9 | 0,6245 | 0,6882 | |
15 | 1 | 0,0030 | -0,2414 |
2 | 0,0305 | -0,1481 | |
3 | 0,0425 | -0,1071 | |
4 | 0,0516 | -0,0760 | |
5 | 0,0593 | -0,0496 | |
6 | 0,0663 | -0,0258 | |
7 | 0,0727 | -0,0035 | |
8 | 0,0789 | 0,0180 | |
9 | 0,0849 | 0,0393 | |
10 | 0,5104 | 0,5940 | |
15 | 1 | 0,0234 | -0,2154 |
2 | 0,0418 | -0,1336 | |
3 | 0,0498 | -0,0977 | |
4 | 0,0560 | -0,0705 | |
5 | 0,0611 | -0,0473 | |
6 | 0,0658 | -0,0264 | |
7 | 0,0701 | -0,0068 | |
8 | 0,0743 | 0,0122 | |
9 | 0,0784 | 0,0310 | |
10 | 0,0824 | 0,0502 | |
11 | 0,3669 | 0,5042 | |
15 | 1 | 0,0390 | -0,1937 |
2 | 0,0506 | -0,1214 | |
3 | 0,0556 | -0,0897 | |
4 | 0,0595 | -0,0655 | |
5 | 0,0628 | -0,0450 | |
6 | 0,0657 | -0,0265 | |
7 | 0,0685 | -0,0091 | |
8 | 0,0711 | 0,0078 | |
9 | 0,0737 | 0,0246 | |
10 | 0,0763 | 0,0417 | |
11 | 0,0790 | 0,0598 | |
12 | 0,2982 | 0,4169 | |
15 | 1 | 0,0508 | -0,1752 |
2 | 0,0574 | -0,1108 | |
3 | 0,0602 | -0,0825 | |
4 | 0,0624 | -0,0610 | |
5 | 0,0642 | -0,0427 | |
6 | 0,0659 | -0,0262 | |
7 | 0,0675 | -0,0106 | |
8 | 0,0690 | 0,0044 | |
9 | 0,0704 | 0,0195 | |
10 | 0,0719 | 0,0349 | |
11 | 0,0735 | 0,0512 | |
12 | 0,0751 | 0,0690 | |
13 | 0,2216 | 0,3300 | |
15 | 1 | 0,0599 | -0,1590 |
2 | 0,0627 | -0,1013 | |
3 | 0,0639 | -0,0760 | |
4 | 0,0648 | -0,0568 | |
5 | 0,0655 | -0,0404 | |
6 | 0,0662 | -0,0256 | |
7 | 0,0669 | -0,1116 | |
8 | 0,0675 | 0,0019 | |
9 | 0,0682 | 0,0154 | |
10 | 0,0688 | 0,0293 | |
11 | 0,0695 | 0,0440 | |
12 | 0,0702 | 0,0602 | |
13 | 0,0709 | 0,0791 | |
14 | 0,1351 | 0,2409 | |
15 | 1 | 0,0667 | -0,1444 |
2 | 0,0667 | -0,0927 | |
3 | 0,0667 | -0,0699 | |
4 | 0,0667 | -0,0526 | |
5 | 0,0667 | -0,0379 | |
6 | 0,0667 | -0,0247 | |
7 | 0,0667 | -0,0122 | |
8 | 0,0667 | 0,0000 | |
9 | 0,0667 | 0,0122 | |
10 | 0,0667 | 0,0247 | |
11 | 0,0667 | 0,0379 | |
12 | 0,0667 | 0,0526 | |
13 | 0,0667 | 0,0699 | |
14 | 0,0667 | 0,0927 | |
15 | 0,0667 | 0,1444 |
N | r | |||||||||
0,05 | 0,10 | 0,25 | 0,40 | 0,50 | 0,60 | 0,75 | 0,90 | 0,95 | ||
3 | 3 | -2,54 | -1,49 | -0,52 | -0,10 | 0,10 | 0,31 | 0,69 | 1,46 | 2,12 |
4 | 3 | -3,85 | -2,32 | -0,84 | -0,29 | -0,04 | 0,18 | 0,50 | 1,06 | 1,55 |
4 | -1,50 | -0,96 | -0,37 | -0,08 | 0,09 | 0,25 | 0,55 | 1,07 | 1,49 | |
5 | 3 | -5,22 | -3,04 | -1,22 | -0,50 | -0,19 | 0,06 | 0,40 | 0,86 | 1,20 |
4 | -1,94 | -1,24 | -0,50 | -0,16 | 0,02 | 0,18 | 0,45 | 0,88 | 1,22 | |
5 | -1,08 | -0,73 | -0,31 | -0,06 | 0,08 | 0,22 | 0,47 | 0,89 | 1,20 | |
6 | 3 | -6,12 | -3,72 | -1,56 | -0,69 | -0,32 | -0,04 | 0,33 | 0,75 | 1,02 |
4 | -2,39 | -1,59 | -0,67 | -0,25 | -0,05 | 0,12 | 0,38 | 0,76 | 1,03 | |
5 | -1,36 | -0,91 | -0,38 | -0,11 | 0,04 | 0,17 | 0,40 | 0,77 | 1,04 | |
6 | -0,91 | -0,64 | -0,28 | -0,06 | 0,07 | 0,19 | 0,41 | 0,77 | 1,04 | |
7 | 3 | -7,39 | -4,45 | -1,87 | -0,89 | -0,48 | -0,16 | 0,26 | 0,68 | 0,90 |
4 | -2,95 | -1,94 | -0,84 | -0,36 | -0,13 | 0,05 | 0,32 | 0,66 | 0,89 | |
5 | -1,59 | -1,10 | -0,48 | -0,17 | -0,02 | 0,12 | 0,34 | 0,66 | 0,89 | |
6 | -1,04 | -0,73 | -0,32 | -0,10 | 0,03 | 0,15 | 0,35 | 0,67 | 0,90 | |
7 | -0,79 | -0,56 | -0,26 | -0,06 | 0,05 | 0,17 | 0,36 | 0,68 | 0,90 | |
8 | 3 | -8,15 | -5,01 | -2,14 | -1,04 | -0,58 | -0,21 | 0,24 | 0,67 | 0,88 |
4 | -3,30 | -2,18 | -0,99 | -0,43 | -0,19 | 0,02 | 0,30 | 0,64 | 0,83 | |
5 | -1,86 | -1,25 | -0,56 | -0,22 | -0,05 | 0,10 | 0,32 | 0,62 | 0,82 | |
6 | -1,20 | -0,83 | -0,36 | -0,12 | 0,01 | 0,13 | 0,33 | 0,63 | 0,82 | |
7 | -0,88 | -0,61 | -0,27 | -0,07 | 0,04 | 0,15 | 0,33 | 0,63 | 0,82 | |
8 | -0,70 | -0,50 | -0,22 | -0,05 | 0,06 | 0,16 | 0,34 | 0,63 | 0,82 | |
9 | 3 | -9,12 | -5,64 | -2,38 | -1,17 | -0,66 | -0,28 | 0,20 | 0,66 | 0,86 |
4 | -3,78 | -2,47 | -1,08 | -0,50 | -0,24 | -0,01 | 0,28 | 0,61 | 0,79 | |
5 | -2,10 | -1,40 | -0,63 | -0,26 | -0,08 | 0,08 | 0,30 | 0,58 | 0,76 | |
6 | -1,38 | -0,94 | -0,41 | -0,15 | -0,01 | 0,11 | 0,30 | 0,57 | 0,76 | |
7 | -0,99 | -0,70 | -0,31 | -0,10 | 0,02 | 0,13 | 0,31 | 0,57 | 0,76 | |
8 | -0,76 | -0,55 | -0,25 | -0,07 | 0,04 | 0,14 | 0,31 | 0,58 | 0,76 | |
9 | -0,64 | -0,47 | -0,21 | -0,05 | 0,05 | 0,15 | 0,32 | 0,58 | 0,76 | |
10 | 3 | -9,98 | -6,05 | -2,58 | -1,29 | -0,76 | -0,34 | 0,17 | 0,66 | 0,87 |
4 | -4,17 | -2,70 | -1,22 | -0,58 | -0,28 | -0,04 | 0,27 | 0,60 | 0,77 | |
5 | -2,37 | -1,56 | -0,73 | -0,31 | -0,12 | 0,05 | 0,28 | 0,56 | 0,72 | |
6 | -1,51 | -1,03 | -0,48 | -0,19 | -0,04 | 0,09 | 0,28 | 0,54 | 0,71 | |
7 | -1,08 | -0,77 | -0,35 | -0,12 | -0,00 | 0,11 | 0,28 | 0,54 | 0,70 | |
8 | -0,86 | -0,62 | -0,27 | -0,08 | 0,02 | 0,12 | 0,28 | 0,53 | 0,71 | |
9 | -0,70 | -0,50 | -0,23 | -0,06 | 0,04 | 0,13 | 0,29 | 0,54 | 0,71 | |
10 | -0,60 | -0,44 | -0,20 | -0,04 | 0,04 | 0,14 | 0,29 | 0,54 | 0,71 | |
11 | 3 | -10,68 | -6,42 | -2,76 | -1,41 | -0,85 | -0,42 | 0,13 | 0,65 | 0,87 |
4 | -4,57 | -2,95 | -1,37 | -0,66 | -0,36 | -0,10 | 0,24 | 0,58 | 0,75 | |
5 | -2,58 | -1,75 | -0,81 | -0,37 | -0,16 | 0,01 | 0,26 | 0,54 | 0,69 | |
6 | -1,67 | -1,16 | -0,53 | -0,22 | -0,07 | 0,06 | 0,26 | 0,52 | 0,66 | |
7 | -1,21 | -0,85 | -0,40 | -0,15 | -0,02 | 0,09 | 0,26 | 0,50 | 0,65 | |
8 | -0,92 | -0,66 | -0,30 | -0,11 | 0,00 | 0,10 | 0,26 | 0,50 | 0,65 | |
9 | -0,76 | -0,54 | -0,25 | -0,08 | 0,02 | 0,11 | 0,26 | 0,50 | 0,65 | |
10 | -0,63 | -0,46 | -0,21 | -0,06 | 0,03 | 0,12 | 0,27 | 0,50 | 0,65 | |
11 | -0,55 | -0,42 | -0,19 | -0,05 | 0,03 | 0,12 | 0,27 | 0,50 | 0,65 | |
12 | 3 | -11,32 | -6,92 | -3,03 | -1,58 | -0,97 | -0,49 | 0,10 | 0,64 | 0,88 |
4 | -4,81 | -3,17 | -1,47 | -0,74 | -0,40 | -0,14 | 0,21 | 0,58 | 0,75 | |
5 | -2,72 | -1,88 | -0,89 | -0,42 | -0,20 | -0,01 | 0,24 | 0,53 | 0,68 | |
6 | -1,83 | -1,27 | -0,60 | -0,26 | -0,10 | 0,05 | 0,25 | 0,50 | 0,64 | |
7 | -1,32 | -0,92 | -0,42 | -0,17 | -0,04 | 0,08 | 0,25 | 0,48 | 0,62 | |
8 | -1,00 | -0,71 | -0,33 | -0,12 | -0,01 | 0,09 | 0,25 | 0,48 | 0,62 | |
9 | -0,80 | -0,58 | -0,27 | -0,09 | 0,01 | 0,10 | 0,25 | 0,47 | 0,62 | |
10 | -0,67 | -0,48 | -0,23 | -0,07 | 0,02 | 0,11 | 0,25 | 0,47 | 0,62 | |
11 | -0,58 | -0,43 | -0,20 | -0,06 | 0,03 | 0,11 | 0,25 | 0,47 | 0,62 | |
12 | -0,53 | -0,39 | -0,19 | -0,05 | 0,03 | 0,11 | 0,25 | 0,47 | 0,62 | |
13 | 3 | -11,66 | -7,41 | -3,21 | -1,64 | -1,02 | -0,54 | 0,08 | 0,65 | 0,88 |
4 | -5,21 | -3,37 | -1,60 | -0,82 | -0,48 | -0,19 | 0,20 | 0,59 | 0,76 | |
5 | -2,95 | -1,99 | -0,96 | -0,47 | -0,24 | -0,04 | 0,24 | 0,54 | 0,68 | |
6 | -1,94 | -1,35 | -0,66 | -0,31 | -0,13 | 0,03 | 0,25 | 0,51 | 0,64 | |
7 | -1,40 | -0,98 | -0,46 | -0,19 | -0,06 | 0,06 | 0,25 | 0,47 | 0,61 | |
8 | -1,06 | -0,77 | -0,36 | -0,14 | -0,02 | 0,08 | 0,24 | 0,46 | 0,59 | |
9 | -0,86 | -0,61 | -0,29 | -0,10 | -0,00 | 0,09 | 0,24 | 0,45 | 0,58 | |
10 | -0,72 | -0,52 | -0,24 | -0,08 | 0,01 | 0,10 | 0,24 | 0,45 | 0,58 | |
11 | -0,63 | -0,45 | -0,21 | -0,06 | 0,02 | 0,11 | 0,24 | 0,45 | 0,58 | |
12 | -0,56 | -0,41 | -0,19 | -0,05 | 0,03 | 0,11 | 0,25 | 0,45 | 0,59 | |
13 | -0,51 | -0,38 | -0,18 | -0,05 | 0,04 | 0,11 | 0,25 | 0,45 | 0,59 | |
14 | 3 | -12,49 | -7,65 | -3,31 | -1,71 | -1,08 | -0,57 | 0,06 | 0,65 | 0,90 |
4 | -5,38 | -3,53 | -1,68 | -0,87 | -0,49 | -0,20 | 0,19 | 0,59 | 0,77 | |
5 | -3,13 | -2,17 | -1,03 | -0,51 | -0,26 | -0,04 | 0,24 | 0,54 | 0,69 | |
6 | -2,10 | -1,45 | -0,70 | -0,32 | -0,14 | 0,02 | 0,24 | 0,50 | 0,63 | |
7 | -1,50 | -1,06 | -0,50 | -0,22 | -0,07 | 0,06 | 0,24 | 0,47 | 0,60 | |
8 | -1,15 | -0,81 | -0,39 | -0,15 | -0,04 | 0,08 | 0,24 | 0,45 | 0,58 | |
9 | -0,93 | -0,66 | -0,30 | -0,11 | -0,01 | 0,09 | 0,23 | 0,44 | 0,56 | |
10 | -0,76 | -0,54 | -0,26 | -0,09 | 0,00 | 0,09 | 0,23 | 0,43 | 0,56 | |
11 | -0,65 | -0,48 | -0,22 | -0,07 | 0,01 | 0,09 | 0,23 | 0,43 | 0,56 | |
12 | -0,57 | -0,42 | -0,19 | -0,06 | 0,02 | 0,10 | 0,23 | 0,43 | 0,56 | |
13 | -0,51 | -0,38 | -0,18 | -0,05 | 0,02 | 0,10 | 0,23 | 0,43 | 0,56 | |
14 | -0,47 | -0,36 | -0,17 | -0,05 | 0,03 | 0,10 | 0,23 | 0,43 | 0,56 | |
15 | 3 | -13,14 | -8,14 | -3,63 | -1,92 | -1,20 | -0,05 | 0,02 | 0,64 | 0,89 |
4 | -5,55 | -3,74 | -1,78 | -0,94 | -0,55 | -0,23 | 0,19 | 0,60 | 0,78 | |
5 | -3,35 | -2,27 | -1,10 | -0,56 | -0,29 | -0,07 | 0,23 | 0,55 | 0,70 | |
6 | -2,21 | -1,55 | -0,75 | -0,36 | -0,17 | -0,00 | 0,23 | 0,50 | 0,64 | |
7 | -1,56 | -1,11 | -0,55 | -0,25 | -0,09 | 0,04 | 0,23 | 0,47 | 0,59 | |
8 | -1,20 | -0,86 | -0,42 | -0,18 | -0,05 | 0,06 | 0,23 | 0,45 | 0,57 | |
9 | -0,96 | -0,70 | -0,35 | -0,13 | -0,03 | 0,07 | 0,23 | 0,43 | 0,56 | |
10 | -0,82 | -0,59 | -0,28 | -0,10 | -0,01 | 0,08 | 0,23 | 0,42 | 0,55 | |
11 | -0,70 | -0,51 | -0,24 | -0,08 | 0,01 | 0,09 | 0,23 | 0,42 | 0,54 | |
12 | -0,62 | -0,45 | -0,21 | -0,07 | 0,01 | 0,09 | 0,23 | 0,41 | 0,54 | |
13 | -0,55 | -0,41 | -0,19 | -0,06 | 0,02 | 0,10 | 0,23 | 0,41 | 0,54 | |
14 | -0,50 | -0,37 | -0,18 | -0,05 | 0,03 | 0,10 | 0,22 | 0,41 | 0,54 | |
15 | -0,46 | -0,35 | -0,17 | -0,04 | 0,03 | 0,10 | 0,23 | 0,42 | 0,54 | |
0,80 | 1,61 | 0,842 |
0,90 | 2,30 | 1,282 |
0,95 | 3,00 | 1,645 |
0,975 | 3,69 | 1,960 |
0,990 | 4,61 | 2,326 |
0,995 | 5,30 | 2,576 |
0,9975 | 6,00 | 2,807 |
0,999 | 6,91 | 3,090 |
m = N - 1 | E(m) |
1 | 1,253 |
2 | 1,128 |
3 | 1,085 |
4 | 1,064 |
5 | 1,051 |
6 | 1,042 |
7 | 1,036 |
8 | 1,032 |
9 | 1,028 |
10 | 1,025 |
11 | 1,023 |
12 | 1,021 |
13 | 1,019 |
14 | 1,018 |
15 | 1,017 |
16 | 1,016 |
17 | 1,015 |
18 | 1,014 |
19 | 1,013 |
20 | 1,013 |
25 | 1,010 |
30 | 1,008 |
35 | 1,007 |
40 | 1,006 |
45 | 1,006 |
50 | 1,005 |
60 | 1,004 |
m | |||||||||||||
0,01 | 0,05 | 0,10 | 0,20 | 0,30 | 0,40 | 0,50 | 0,60 | 0,70 | 0,80 | 0,90 | 0,96 | 0,99 | |
2 | 0,023 | 0,102 | 0,21 | 0,445 | 0,711 | 1,023 | 1,383 | 1,836 | 2,414 | 3,227 | 4,602 | 5,992 | 9,211 |
4 | 0,305 | 0,711 | 1,04 | 1,643 | 2,195 | 2,758 | 3,352 | 4,039 | 4,883 | 5,992 | 7,773 | 9,492 | 13,273 |
6 | 0,872 | 1,635 | 2,204 | 3,064 | 3,826 | 4,564 | 5,350 | 6,205 | 7,236 | 8,561 | 10,645 | 12,592 | 16,812 |
8 | 1,646 | 2,733 | 3,490 | 4,586 | 5,523 | 6,430 | 7,352 | 8,352 | 9,523 | 11,023 | 15,362 | 13,507 | 20,090 |
10 | 2,558 | 3,940 | 4,865 | 6,182 | 7,275 | 8,291 | 9,346 | 10,479 | 11,787 | 13,447 | 15,987 | 18,307 | 23,209 |
12 | 3,571 | 5,226 | 6,304 | 7,811 | 9,029 | 10,178 | 11,338 | 12,580 | 14,010 | 15,814 | 18,549 | 21,026 | 26,217 |
14 | 4,660 | 6,571 | 7,790 | 9,468 | 10,821 | 12,079 | 13,337 | 14,690 | 16,222 | 18,149 | 21,064 | 23,685 | 29,141 |
16 | 5,812 | 7,962 | 9,312 | 11,148 | 12,617 | 13,977 | 16,336 | 16,773 | 18,414 | 20,461 | 23,542 | 26,296 | 32,000 |
18 | 7,015 | 9,390 | 10,868 | 12,858 | 14,440 | 15,899 | 17,341 | 18,870 | 20,593 | 22,755 | 25,939 | 28,869 | 34,805 |
20 | 8,260 | 10,851 | 12,443 | 14,580 | 16,260 | 17,803 | 19,436 | 20,947 | 22,763 | 25,029 | 28,412 | 31,410 | 37,566 |
22 | 9,542 | 12,338 | 14,041 | 16,312 | 18,106 | 19,728 | 21,339 | 23,026 | 24,938 | 27,301 | 30,813 | 33,924 | 40,289 |
24 | 10,856 | 13,848 | 15,659 | 18,064 | 19,939 | 21,650 | 23,338 | 25,107 | 27,100 | 29,549 | 33,196 | 36,415 | 42,980 |
26 | 12,198 | 15,379 | 17,292 | 19,824 | 21,792 | 23,582 | 25,333 | 27,174 | 29,244 | 31,795 | 35,563 | 38,885 | 45,042 |
28 | 13,565 | 16,928 | 18,939 | 21,595 | 23,646 | 25,505 | 27,337 | 29,251 | 31,397 | 34,022 | 37,916 | 41,337 | 48,278 |
30 | 14,953 | 18,493 | 20,599 | 23,357 | 25,510 | 27,444 | 29,333 | 31,311 | 33,523 | 36,248 | 40,256 | 43,773 | 50,892 |
32 | 16,362 | 20,072 | 21,271 | 25,148 | 27,367 | 29,383 | 31,336 | 33,383 | 35,664 | 38,461 | 42,585 | 46,194 | 53,486 |
34 | 17,789 | 21,664 | 23,952 | 26,936 | 29,244 | 31,319 | 33,328 | 35,436 | 37,793 | 40,682 | 44,903 | 48,602 | 56,061 |
36 | 19,233 | 23,269 | 25,643 | 28,731 | 31,122 | 33,249 | 35,311 | 37,503 | 39,929 | 42,582 | 47,212 | 50,998 | 58,619 |
38 | 20,691 | 24,884 | 27,343 | 30,537 | 33,000 | 35,189 | 37,341 | 39,568 | 42,036 | 45,079 | 49,513 | 53,384 | 61,162 |
40 | 22,164 | 26,509 | 29,051 | 32,354 | 34,873 | 37,139 | 39,326 | 41,631 | 44,170 | 47,275 | 51,805 | 55,758 | 63,691 |
42 | 23,650 | 28,144 | 30,765 | 34,161 | 36,755 | 39,073 | 41,339 | 43,677 | 46,181 | 49,460 | 54,090 | 58,124 | 66,206 |
44 | 25,148 | 29,787 | 32,487 | 35,970 | 38,645 | 41,019 | 43,339 | 45,735 | 48,399 | 51,643 | 56,369 | 60,481 | 68,710 |
46 | 26,657 | 31,439 | 34,215 | 37,796 | 40,525 | 42,973 | 45,332 | 47,791 | 50,509 | 52,822 | 58,641 | 62,830 | 71,201 |
48 | 28,177 | 33,098 | 35,949 | 39,615 | 42,416 | 44,912 | 46,338 | 49,846 | 52,611 | 55,998 | 60,907 | 65,171 | 74,683 |
50 | 29,707 | 34,764 | 37,689 | 41,449 | 44,318 | 46,869 | 49,335 | 51,886 | 54,718 | 58,160 | 63,167 | 67,505 | 76,154 |
52 | 31,246 | 36,437 | 39,433 | 43,285 | 46,205 | 48,807 | 51,333 | 53,936 | 56,831 | 60,334 | 65,422 | 69,832 | 78,616 |
54 | 31,793 | 38,116 | 41,183 | 45,121 | 48,100 | 50,763 | 53,334 | 55,997 | 58,924 | 62,497 | 67,673 | 72,153 | 61,069 |
56 | 34,350 | 39,801 | 42,937 | 46,956 | 50,005 | 52,712 | 55,337 | 58,014 | 61,024 | 64,661 | 69,919 | 74,468 | 83,513 |
58 | 35,913 | 41,492 | 44,696 | 48,801 | 51,904 | 54,665 | 57,342 | 60,089 | 63,133 | 66,815 | 72,160 | 76,778 | 85,950 |
60 | 37,485 | 43,188 | 46,459 | 50,647 | 53,811 | 56,246 | 59,333 | 62,131 | 65,222 | 68,972 | 74,397 | 79,082 | 88,379 |
62 | 39,063 | 44,899 | 48,226 | 52,487 | 55,711 | 58,572 | 61,342 | 64,187 | 67,321 | 71,120 | 76,630 | 81,381 | 80,802 |
64 | 40,649 | 46,595 | 49,996 | 54,336 | 57,617 | 60,523 | 63,336 | 66,227 | 69,414 | 73,273 | 78,860 | 83,675 | 93,217 |
66 | 42,240 | 48,305 | 51,770 | 56,195 | 59,531 | 62,479 | 65,331 | 68,264 | 71,503 | 75,418 | 81,085 | 85,965 | 95,626 |
68 | 43,858 | 50,020 | 53,548 | 58,047 | 61,434 | 64,438 | 67,438 | 70,316 | 73,803 | 77,571 | 83,803 | 88,250 | 95,028 |
70 | 45,442 | 61,739 | 55,329 | 59,891 | 63,344 | 66,403 | 69,342 | 72,350 | 75,682 | 79,716 | 85,527 | 90,531 | 100,43 |
72 | 47,051 | 53,462 | 57,113 | 61,761 | 65,259 | 68,353 | 71,341 | 74,399 | 77,774 | 81,853 | 87,743 | 92,808 | 102,82 |
74 | 48,666 | 55,189 | 88,900 | 63,621 | 67,162 | 70,305 | 70,305 | 73,341 | 76,448 | 79,863 | 84,000 | 89,956 | 105,20 |
76 | 50,286 | 56,920 | 60,690 | 65,470 | 69,088 | 72,261 | 75,341 | 78,477 | 81,947 | 88,140 | 92,166 | 97,351 | 107,58 |
78 | 51,910 | 58,654 | 62,483 | 67,345 | 71,002 | 74,220 | 77,343 | 80,523 | 84,027 | 88,274 | 94,374 | 99,617 | 109,98 |
80 | 53,540 | 60,391 | 64,278 | 69,209 | 72,920 | 76,182 | 79,326 | 82,568 | 86,153 | 90,400 | 96,578 | 101,88 | 112,33 |
82 | 55,174 | 62,132 | 66,076 | 71,074 | 74,828 | 78,151 | 81,334 | 84,808 | 88,201 | 82,535 | 98,780 | 104,14 | 114,70 |
84 | 56,813 | 63,876 | 67,876 | 72,941 | 76,756 | 80,109 | 83,339 | 86,651 | 90,281 | 94,663 | 100,98 | 106,40 | 117,06 |
86 | 58,456 | 85,723 | 69,679 | 74,814 | 78,667 | 82,068 | 85,333 | 88,682 | 92,367 | 96,797 | 103,18 | 108,65 | 119,41 |
88 | 60,103 | 67,373 | 71,484 | 76,683 | 80,593 | 84,031 | 87,339 | 90,723 | 94,440 | 98,930 | 105,37 | 110,90 | 121,77 |
90 | 61,754 | 69,126 | 73,291 | 78,558 | 82,513 | 85,995 | 89,335 | 92,763 | 96,520 | 101,06 | 107,57 | 113,15 | 124,12 |
92 | 63,409 | 70,882 | 75,100 | 80,438 | 84,436 | 87,951 | 91,332 | 94,802 | 98,598 | 103,18 | 109,76 | 115,39 | 126,46 |
94 | 65,068 | 72,640 | 76,912 | 82,313 | 86,352 | 89,921 | 93,329 | 96,840 | 100,68 | 105,31 | 111,94 | 117,63 | 128,80 |
96 | 66,730 | 74,701 | 78,725 | 84,182 | 88,283 | 91,881 | 95,338 | 98,877 | 102,76 | 107,42 | 114,13 | 119,87 | 131,14 |
98 | 68,396 | 76,164 | 80,541 | 86,067 | 90,206 | 93,843 | 97,336 | 100,91 | 104,82 | 109,55 | 116,32 | 122,11 | 133,48 |
100 | 70,065 | 77,929 | 82,358 | 87,946 | 92,133 | 95,807 | 99,335 | 102,95 | 106,90 | 111,66 | 118,50 | 124,34 | 135,81 |
110 | 78,458 | 86,792 | 91,471 | 97,358 | 101,76 | 105,63 | 109,33 | 113,12 | 122,25 | 117,27 | 129,39 | 135,48 | 147,41 |
120 | 86,923 | 95,705 | 100,62 | 106,81 | 111,42 | 115,47 | 119,33 | 127,61 | 132,81 | 140,23 | 146,57 | 158,95 | 146,57 |
130 | 95,451 | 101,66 | 109,81 | 116,26 | 121,09 | 125,31 | 129,34 | 133,45 | 137,94 | 151,05 | 143,34 | 157,61 | 170,42 |
140 | 104,03 | 113,66 | 119,03 | 125,76 | 130,76 | 135,14 | 139,32 | 143,60 | 148,26 | 153,85 | 161,83 | 168,61 | 181,84 |
150 | 112,67 | 122,69 | 128,28 | 135,21 | 140,45 | 144,09 | 149,34 | 153,74 | 158,58 | 164,35 | 172,58 | 179,58 | 193,21 |
200 | 156,43 | 168,28 | 174,84 | 183,00 | 189,04 | 194,32 | 199,33 | 204,42 | 209,98 | 216,58 | 226,02 | 233,90 | 249,45 |
300 | 245,97 | 260,88 | 260,07 | 279,21 | 288,68 | 293,18 | 299,33 | 305,57 | 512,33 | 320,39 | 331,79 | 341,40 | 359,91 |
400 | 337,16 | 354,64 | 364,21 | 376,02 | 384,70 | 392,22 | 399,33 | 406,52 | 414,32 | 423,58 | 436,65 | 447,63 | 468,72 |
500 | 429,39 | 449,15 | 459,93 | 472,21 | 482,95 | 491,37 | 499,34 | 507,38 | 516,09 | 526,40 | 540,93 | 553,13 | 576,49 |
600 | 522,36 | 544,18 | 556,06 | 570,68 | 581,35 | 590,60 | 599,33 | 608,14 | 617,66 | 628,92 | 644,80 | 658,09 | 683,52 |
800 | 709,90 | 735,35 | 749,49 | 766,16 | 778,55 | 789,25 | 799,33 | 809,50 | 820,48 | 833,45 | 851,67 | 766,91 | 895,98 |
1000 | 698,91 | 927,59 | 943,13 | 962,17 | 976,07 | 988,04 | 999,32 | 1010,7 | 1022,9 | 1037,4 | 1057,7 | 1074,7 | 1107,0 |
N | r | ||||||
0,05 | 0,10 | 0,25 | 0,90 | 0,95 | 0,98 | ||
3 | 3 | 1,10 | 1,43 | 2,18 | 8,99 | 13,16 | 20,93 |
4 | 3 | 1,16 | 1,49 | 2,18 | 9,03 | 13,07 | 20,23 |
4 | 1,16 | 1,46 | 2,06 | 6,47 | 8,39 | 11,66 | |
5 | 3 | 1,18 | 1,51 | 2,17 | 8,78 | 12,58 | 20,38 |
4 | 1,23 | 1,51 | 2,09 | 6,49 | 8,48 | 11,73 | |
5 | 1,23 | 1,49 | 2,02 | 5,48 | 6,73 | 8,66 | |
6 | 3 | 1,18 | 1,53 | 2,15 | 8,24 | 11,74 | 18,65 |
4 | 1,28 | 1,55 | 2,10 | 6,33 | 8,18 | 11,39 | |
5 | 1,29 | 1,54 | 2,05 | 5,42 | 6,73 | 8,89 | |
6 | 1,27 | 1,53 | 2,01 | 4,86 | 5,83 | 7,31 | |
7 | 3 | 1,18 | 1,53 | 2,13 | 7,80 | 11,12 | 17,54 |
4 | 1,31 | 1,58 | 2,10 | 6,16 | 7,89 | 10,90 | |
5 | 1,33 | 1,57 | 2,06 | 5,36 | 6,68 | 8,44 | |
6 | 1,32 | 1,56 | 2,03 | 4,86 | 5,82 | 7,23 | |
7 | 1,32 | 1,55 | 2,00 | 4,46 | 5,25 | 6,37 | |
8 | 3 | 1,13 | 1,52 | 2,11 | 7,51 | 10,67 | 16,36 |
4 | 1,33 | 1,60 | 2,10 | 5,96 | 7,79 | 10,76 | |
5 | 1,36 | 1,60 | 2,08 | 5,28 | 6,50 | 8,62 | |
6 | 1,36 | 1,59 | 2,05 | 4,83 | 5,83 | 7,18 | |
7 | 1,36 | 1,58 | 2,03 | 4,49 | 5,31 | 6,40 | |
8 | 1,36 | 1,58 | 2,01 | 4,21 | 4,90 | 5,84 | |
9 | 3 | 1,12 | 1,51 | 2,09 | 7,14 | 10,21 | 15,61 |
4 | 1,36 | 1,61 | 2,10 | 5,77 | 7,39 | 10,26 | |
5 | 1,41 | 1,63 | 2,08 | 5,13 | 6,34 | 8,13 | |
6 | 1,41 | 1,62 | 2,06 | 4,74 | 5,67 | 7,06 | |
7 | 1,41 | 1,62 | 2,04 | 4,48 | 5,28 | 6,46 | |
8 | 1,40 | 1,61 | 2,02 | 4,26 | 4,95 | 5,94 | |
9 | 1,40 | 1,60 | 2,00 | 4,04 | 4,66 | 5,50 | |
10 | 3 | 0,99 | 1,46 | 2,05 | 6,75 | 9,36 | 14,88 |
4 | 1,34 | 1,62 | 2,08 | 5,56 | 7,17 | 9,60 | |
5 | 1,42 | 1,64 | 2,07 | 5,00 | 6,13 | 8,02 | |
6 | 1,43 | 1,64 | 2,05 | 4,67 | 5,59 | 6,99 | |
7 | 1,43 | 1,64 | 2,04 | 4,41 | 5,18 | 6,29 | |
8 | 1,43 | 1,63 | 2,02 | 4,22 | 4,91 | 5,83 | |
9 | 1,42 | 1,63 | 2,01 | 4,03 | 4,63 | 5,51 | |
10 | 1,42 | 1,62 | 1,99 | 3,86 | 4,41 | 5,16 | |
11 | 3 | 0,90 | 1,42 | 2,01 | 6,41 | 9,11 | 14,47 |
4 | 1,35 | 1,61 | 2,06 | 5,46 | 7,04 | 9,98 | |
5 | 1,43 | 1,64 | 2,05 | 4,90 | 6,07 | 7,83 | |
6 | 1,45 | 1,64 | 2,04 | 4,58 | 5,52 | 6,96 | |
7 | 1,45 | 1,64 | 2,03 | 4,36 | 4,16 | 6,34 | |
8 | 1,45 | 1,64 | 2,01 | 4,15 | 4,87 | 5,82 | |
9 | 1,44 | 1,64 | 2,00 | 4,01 | 4,63 | 5,54 | |
10 | 1,44 | 1,64 | 1,99 | 3,87 | 4,44 | 5,23 | |
11 | 1,45 | 1,64 | 1,98 | 3,76 | 4,26 | 4,94 | |
12 | 3 | 0,75 | 1,37 | 1,98 | 6,00 | 8,40 | 12,96 |
4 | 1,34 | 1,60 | 2,05 | 5,17 | 6,60 | 9,07 | |
5 | 1,44 | 1,66 | 2,05 | 4,72 | 5,79 | 7,35 | |
6 | 1,46 | 1,67 | 2,04 | 4,41 | 5,31 | 6,61 | |
7 | 1,47 | 1,67 | 2,03 | 4,21 | 4,98 | 6,09 | |
8 | 1,47 | 1,66 | 2,02 | 4,06 | 4,75 | 5,71 | |
9 | 1,46 | 1,66 | 2,01 | 3,94 | 4,53 | 5,40 | |
10 | 1,47 | 1,65 | 2,00 | 3,87 | 4,37 | 5,11 | |
11 | 1,46 | 1,64 | 1,99 | 3,72 | 4,23 | 4,88 | |
12 | 1,47 | 1,64 | 1,99 | 3,62 | 4,07 | 4,68 | |
13 | 3 | 0,72 | 1,34 | 1,99 | 5,88 | 8,16 | 12,45 |
4 | 1,31 | 1,60 | 2,06 | 5,10 | 6,45 | 8,82 | |
5 | 1,45 | 1,67 | 2,07 | 4,71 | 5,75 | 7,32 | |
6 | 1,48 | 1,68 | 2,07 | 4,43 | 5,30 | 6,49 | |
7 | 1,49 | 1,68 | 2,06 | 4,23 | 4,96 | 6,02 | |
8 | 1,49 | 1,68 | 2,04 | 4,06 | 4,73 | 5,63 | |
9 | 1,49 | 1,68 | 2,03 | 3,94 | 4,55 | 5,32 | |
10 | 1,49 | 1,68 | 2,03 | 3,83 | 4,37 | 5,11 | |
11 | 1,49 | 1,68 | 2,02 | 3,74 | 4,23 | 4,90 | |
12 | 1,49 | 1,67 | 2,01 | 3,65 | 4,09 | 4,73 | |
13 | 1,49 | 1,67 | 2,01 | 3,57 | 3,97 | 4,51 | |
14 | 3 | 0,57 | 1,25 | 1,93 | 5,56 | 7,69 | 11,56 |
4 | 1,29 | 1,59 | 2,03 | 4,93 | 6,17 | 8,28 | |
5 | 1,46 | 1,67 | 2,05 | 4,58 | 5,54 | 6,96 | |
6 | 1,51 | 1,69 | 2,05 | 4,33 | 5,12 | 6,27 | |
7 | 1,52 | 1,69 | 2,04 | 4,15 | 4,82 | 5,75 | |
8 | 1,52 | 1,69 | 2,03 | 4,03 | 4,61 | 5,47 | |
9 | 1,52 | 1,69 | 2,03 | 3,90 | 4,45 | 5,18 | |
10 | 1,51 | 1,68 | 2,02 | 3,78 | 4,30 | 4,94 | |
11 | 1,51 | 1,68 | 2,01 | 3,71 | 4,20 | 4,79 | |
12 | 1,51 | 1,68 | 2,01 | 3,64 | 4,09 | 4,67 | |
13 | 1,51 | 1,68 | 2,00 | 3,55 | 3,98 | 4,51 | |
14 | 1,51 | 1,68 | 2,00 | 3,46 | 3,85 | 4,36 | |
15 | 3 | 0,43 | 1,19 | 1,91 | 5,39 | 7,23 | 10,78 |
4 | 1,26 | 1,59 | 2,03 | 4,78 | 5,95 | 7,94 | |
5 | 1,44 | 1,67 | 2,06 | 4,43 | 5,36 | 6,85 | |
6 | 1,50 | 1,69 | 2,06 | 4,22 | 4,97 | 6,19 | |
7 | 1,52 | 1,70 | 2,06 | 4,08 | 4,72 | 5,77 | |
8 | 1,52 | 1,70 | 2,05 | 3,95 | 4,57 | 5,40 | |
9 | 1,52 | 1,69 | 2,04 | 3,85 | 4,40 | 5,16 | |
10 | 1,52 | 1,69 | 2,04 | 3,76 | 4,26 | 4,95 | |
11 | 1,52 | 1,69 | 2,03 | 3,69 | 4,15 | 4,76 | |
12 | 1,52 | 1,69 | 2,02 | 3,62 | 4,08 | 4,62 | |
13 | 1,52 | 1,68 | 2,01 | 3,55 | 3,98 | 4,51 | |
14 | 1,51 | 1,69 | 2,01 | 3,49 | 3,89 | 4,39 | |
15 | 1,52 | 1,68 | 2,01 | 3,41 | 3,77 | 4,23 | |
N | r | ||||||
0,05 | 0,10 | 0,25 | 0,90 | 0,95 | 0,98 | ||
3 | 3 | 1,64 | 2,04 | 2,94 | 11,85 | 17,21 | 27,32 |
4 | 3 | 1,73 | 2,11 | 2,98 | 12,17 | 17,55 | 27,59 |
4 | 1,69 | 2,04 | 2,78 | 8,40 | 10,88 | 15,06 | |
5 | 3 | 1,79 | 2,16 | 3,00 | 12,07 | 17,36 | 28,30 |
4 | 1,76 | 2,10 | 2,82 | 8,56 | 11,14 | 15,51 | |
5 | 1,74 | 2,06 | 2,72 | 7,06 | 8,68 | 11,14 | |
6 | 3 | 1,83 | 2,20 | 2,99 | 11,53 | 16,66 | 26,85 |
4 | 1,83 | 2,15 | 2,84 | 8,47 | 10,95 | 15,32 | |
5 | 1,81 | 2,12 | 2,76 | 7,08 | 8,82 | 11,58 | |
6 | 1,80 | 2,10 | 2,70 | 6,27 | 7,53 | 9,39 | |
7 | 3 | 1,87 | 2,22 | 2,97 | 11,20 | 16,07 | 25,31 |
4 | 1,88 | 2,19 | 2,86 | 8,39 | 10,80 | 14,80 | |
5 | 1,86 | 2,16 | 2,78 | 7,12 | 8,84 | 11,18 | |
6 | 1,84 | 2,14 | 2,72 | 6,33 | 7,61 | 9,40 | |
7 | 1,85 | 2,14 | 2,68 | 5,76 | 6,73 | 8,19 | |
8 | 3 | 1,90 | 2,24 | 2,96 | 11,02 | 15,76 | 24,57 |
4 | 1,91 | 2,22 | 2,87 | 8,19 | 10,74 | 15,22 | |
5 | 1,90 | 2,20 | 2,79 | 7,70 | 8,78 | 11,57 | |
6 | 1,89 | 2,18 | 2,75 | 6,35 | 7,67 | 9,43 | |
7 | 1,89 | 2,17 | 2,71 | 5,83 | 6,91 | 8,38 | |
8 | 1,89 | 2,17 | 2,69 | 5,44 | 6,29 | 7,50 | |
9 | 3 | 1,93 | 2,26 | 2,95 | 10,71 | 15,33 | 23,80 |
4 | 1,96 | 2,25 | 2,88 | 8,02 | 10,40 | 14,41 | |
5 | 1,95 | 2,23 | 2,80 | 6,90 | 8,59 | 11,05 | |
6 | 1,95 | 2,22 | 2,76 | 6,27 | 7,51 | 9,46 | |
7 | 1,94 | 2,21 | 2,73 | 5,86 | 6,91 | 8,40 | |
8 | 1,94 | 2,20 | 2,70 | 5,53 | 6,39 | 7,73 | |
9 | 1,95 | 2,19 | 2,68 | 5,72 | 6,00 | 7,09 | |
10 | 3 | 1,91 | 2,26 | 2,91 | 10,24 | 14,50 | 23,00 |
4 | 1,98 | 2,27 | 2,86 | 7,81 | 10,12 | 13,69 | |
5 | 1,97 | 2,24 | 2,80 | 6,87 | 8,39 | 11,00 | |
6 | 1,97 | 2,23 | 2,76 | 6,24 | 7,50 | 9,42 | |
7 | 1,96 | 2,22 | 2,73 | 5,79 | 6,83 | 8,29 | |
8 | 1,96 | 2,21 | 3,71 | 5,52 | 6,40 | 7,61 | |
9 | 1,96 | 2,21 | 2,69 | 5,23 | 6,01 | 7,12 | |
10 | 1,96 | 2,21 | 2,69 | 4,98 | 5,67 | 6,65 | |
11 | 3 | 1,93 | 2,25 | 2,88 | 9,87 | 14,11 | 22,60 |
4 | 2,01 | 2,27 | 2,83 | 7,71 | 10,03 | 14,44 | |
5 | 2,01 | 2,26 | 2,78 | 6,72 | 8,34 | 10,93 | |
6 | 2,00 | 2,24 | 2,74 | 6,16 | 7,42 | 9,39 | |
7 | 1,99 | 2,23 | 2,72 | 5,79 | 6,83 | 8,42 | |
8 | 1,99 | 2,22 | 2,70 | 5,46 | 6,38 | 7,65 | |
9 | 1,98 | 2,22 | 2,68 | 5,23 | 6,04 | 7,23 | |
10 | 2,00 | 2,22 | 2,67 | 5,03 | 5,75 | 6,73 | |
11 | 2,00 | 2,22 | 2,66 | 4,85 | 5,49 | 6,35 | |
12 | 3 | 1,91 | 2,26 | 2,87 | 9,41 | 13,40 | 21,39 |
4 | 2,02 | 2,28 | 2,84 | 7,42 | 9,56 | 13,27 | |
5 | 2,03 | 2,28 | 2,78 | 6,54 | 8,08 | 10,40 | |
6 | 2,02 | 2,27 | 2,75 | 5,97 | 7,22 | 9,00 | |
7 | 2,02 | 2,26 | 2,73 | 5,63 | 6,66 | 8,08 | |
8 | 2,01 | 2,25 | 2,71 | 5,36 | 6,27 | 7,49 | |
9 | 2,00 | 2,24 | 2,69 | 5,16 | 5,95 | 7,06 | |
10 | 2,01 | 2,23 | 2,67 | 4,99 | 5,67 | 6,63 | |
11 | 5,01 | 2,24 | 2,67 | 4,84 | 5,47 | 6,29 | |
12 | 2,02 | 2,24 | 2,66 | 4,68 | 5,26 | 6,00 | |
13 | 3 | 1,92 | 2,27 | 2,88 | 9,23 | 13,11 | 20,76 |
4 | 2,05 | 2,31 | 2,84 | 7,38 | 9,47 | 13,09 | |
5 | 2,06 | 2,30 | 2,81 | 6,57 | 8,04 | 10,25 | |
6 | 2,05 | 2,29 | 2,78 | 6,03 | 7,24 | 8,89 | |
7 | 2,05 | 2,28 | 2,75 | 5,65 | 6,68 | 8,10 | |
8 | 2,04 | 2,27 | 1,74 | 5,40 | 6,29 | 7,43 | |
9 | 2,04 | 2,27 | 2,72 | 5,17 | 6,00 | 6,99 | |
10 | 2,04 | 2,27 | 2,70 | 5,01 | 5,70 | 6,66 | |
11 | 2,04 | 2,27 | 2,70 | 4,87 | 5,50 | 6,36 | |
12 | 2,04 | 2,27 | 2,69 | 4,73 | 5,30 | 6,12 | |
13 | 2,05 | 2,27 | 2,68 | 4,61 | 5,12 | 5,80 | |
14 | 3 | 1,92 | 2,26 | 2,84 | 8,84 | 12,73 | 19,14 |
4 | 2,06 | 2,31 | 2,82 | 7,18 | 9,10 | 12,45 | |
5 | 2,08 | 2,31 | 2,79 | 6,38 | 7,82 | 9,93 | |
6 | 2,08 | 2,30 | 2,76 | 5,91 | 7,07 | 8,71 | |
7 | 2,07 | 2,29 | 2,73 | 5,58 | 6,53 | 7,78 | |
8 | 2,07 | 2,28 | 2,72 | 5,35 | 6,16 | 7,30 | |
9 | 2,07 | 2,28 | 2,71 | 5,14 | 5,88 | 6,92 | |
10 | 2,06 | 2,27 | 2,70 | 4,98 | 5,65 | 6,49 | |
11 | 2,07 | 2,28 | 2,69 | 4,86 | 5,48 | 6,26 | |
12 | 2,07 | 2,28 | 2,68 | 4,73 | 5,31 | 6,06 | |
13 | 2,07 | 2,29 | 2,68 | 4,61 | 5,14 | 5,80 | |
14 | 2,08 | 2,28 | 2,66 | 4,48 | 4,97 | 5,60 | |
15 | 3 | 1,88 | 4,24 | 2,84 | 8,75 | 12,22 | 18,38 |
4 | 2,06 | 2,31 | 2,83 | 7,00 | 8,90 | 11,93 | |
5 | 2,09 | 2,32 | 2,80 | 6,25 | 7,64 | 9,79 | |
6 | 2,09 | 2,31 | 2,79 | 5,79 | 6,91 | 8,55 | |
7 | 2,08 | 2,30 | 2,76 | 5,50 | 6,41 | 7,90 | |
8 | 2,08 | 2,29 | 2,74 | 5,29 | 6,10 | 7,26 | |
9 | 2,07 | 2,29 | 2,73 | 5,11 | 5,81 | 6,87 | |
10 | 2,07 | 2,28 | 2,72 | 4,96 | 5,61 | 6,50 | |
11 | 2,07 | 2,28 | 2,70 | 4,84 | 5,43 | 6,22 | |
12 | 2,07 | 2,28 | 2,70 | 4,73 | 5,31 | 6,00 | |
13 | 2,07 | 2,28 | 2,69 | 4,63 | 5,17 | 5,88 | |
14 | 2,07 | 2,28 | 2,68 | 4,53 | 5,02 | 5,66 | |
15 | 2,08 | 2,28 | 2,68 | 4,43 | 4,88 | 5,46 | |
N | r | ||||||
0,05 | 0,10 | 0,25 | 0,90 | 0,95 | 0,98 | ||
3 | 3 | 2,75 | 3,32 | 4,63 | 18,15 | 26,71 | 42,07 |
4 | 3 | 2,87 | 3,44 | 4,74 | 19,38 | 27,97 | 43,72 |
4 | 2,82 | 3,31 | 4,38 | 12,79 | 16,62 | 23,12 | |
5 | 3 | 2,95 | 3,47 | 4,80 | 19,73 | 28,71 | 46,68 |
4 | 2,86 | 3,37 | 4,44 | 13,31 | 17,41 | 24,31 | |
5 | 2,87 | 3,32 | 4,28 | 10,75 | 13,23 | 16,87 | |
6 | 3 | 3,02 | 3,55 | 4,80 | 19,28 | 28,02 | 45,73 |
4 | 2,96 | 3,45 | 4,49 | 13,49 | 17,54 | 24,27 | |
5 | 2,94 | 3,38 | 4,33 | 10,96 | 13,67 | 17,96 | |
6 | 2,94 | 3,39 | 4,25 | 9,49 | 11,41 | 14,37 | |
7 | 3 | 3,11 | 3,61 | 4,81 | 19,27 | 27,76 | 44,93 |
4 | 3,04 | 3,49 | 4,52 | 13,53 | 17,47 | 23,96 | |
5 | 3,00 | 3,44 | 4,37 | 11,20 | 13,91 | 17,78 | |
6 | 3,01 | 3,41 | 4,26 | 9,75 | 11,74 | 14,36 | |
7 | 3,02 | 3,43 | 4,21 | 8,75 | 10,20 | 12,38 | |
8 | 3 | 3,12 | 3,65 | 4,82 | 19,24 | 27,78 | 44,29 |
4 | 3,07 | 3,53 | 4,54 | 13,42 | 17,64 | 25,03 | |
5 | 3,05 | 3,47 | 4,39 | 11,12 | 13,92 | 18,42 | |
6 | 3,04 | 3,45 | 4,30 | 9,82 | 11,87 | 14,78 | |
7 | 3,06 | 3,47 | 4,24 | 8,92 | 10,52 | 12,89 | |
8 | 3,08 | 3,47 | 4,20 | 8,27 | 9,52 | 11,35 | |
9 | 3 | 3,20 | 3,66 | 4,81 | 19,00 | 27,91 | 43,02 |
4 | 3,12 | 3,56 | 4,56 | 13,28 | 17,57 | 24,34 | |
5 | 3,10 | 3,52 | 4,40 | 10,98 | 13,78 | 17,99 | |
6 | 3,10 | 3,52 | 4,32 | 9,82 | 11,78 | 14,84 | |
7 | 3,10 | 3,61 | 4,27 | 9,06 | 10,66 | 12,96 | |
8 | 3,12 | 3,50 | 4,24 | 8,44 | 9,75 | 11,85 | |
9 | 3,17 | 3,50 | 4,20 | 7,90 | 9,04 | 10,71 | |
10 | 3 | 3,20 | 3,68 | 4,77 | 18,61 | 27,05 | 43,21 |
4 | 3,16 | 3,60 | 4,53 | 13,12 | 17,17 | 23,48 | |
5 | 3,13 | 3,54 | 4,41 | 11,05 | 13,70 | 17,82 | |
6 | 3,11 | 3,51 | 4,33 | 9,81 | 11,86 | 15,01 | |
7 | 3,12 | 3,50 | 4,28 | 8,99 | 10,66 | 13,03 | |
8 | 3,15 | 3,50 | 4,23 | 8,49 | 9,88 | 11,69 | |
9 | 3,16 | 3,51 | 4,21 | 7,97 | 9,17 | 10,82 | |
10 | 3,19 | 3,53 | 4,18 | 7,57 | 8,57 | 10,03 | |
11 | 3 | 3,22 | 3,67 | 4,75 | 18,19 | 26,45 | 43,82 |
4 | 3,16 | 3,58 | 4,53 | 13,02 | 17,25 | 24,97 | |
5 | 3,15 | 3,55 | 4,39 | 10,99 | 13,66 | 18,13 | |
6 | 3,14 | 3,52 | 4,30 | 9,79 | 11,86 | 15,02 | |
7 | 3,16 | 3,51 | 4,26 | 9,03 | 10,72 | 13,30 | |
8 | 3,16 | 3,51 | 4,23 | 8,43 | 9,86 | 11,88 | |
9 | 3,17 | 3,51 | 4,20 | 8,02 | 9,24 | 11,08 | |
10 | 3,20 | 3,53 | 4,18 | 7,67 | 8,73 | 10,20 | |
11 | 3,24 | 3,55 | 4,17 | 7,36 | 8,31 | 9,57 | |
12 | 3 | 3,28 | 3,72 | 4,77 | 17,59 | 25,73 | 41,44 |
4 | 3,22 | 3,62 | 4,52 | 12,72 | 16,60 | 23,41 | |
5 | 3,19 | 3,58 | 4,59 | 10,68 | 13,37 | 17,35 | |
6 | 3,19 | 3,55 | 4,31 | 9,61 | 11,60 | 14,59 | |
7 | 3,28 | 3,54 | 4,27 | 8,85 | 10,55 | 12,65 | |
8 | 3,18 | 3,54 | 4,24 | 8,34 | 9,75 | 11,64 | |
9 | 3,18 | 3,53 | 4,21 | 7,98 | 9,18 | 10,90 | |
10 | 3,20 | 3,54 | 4,18 | 7,66 | 8,68 | 10,17 | |
11 | 3,23 | 3,55 | 4,17 | 7,37 | 8,31 | 9,53 | |
12 | 3,27 | 3,57 | 4,17 | 7,09 | 7,96 | 9,03 | |
13 | 3 | 3,30 | 3,74 | 4,78 | 17,58 | 25,37 | 40,28 |
4 | 3,25 | 3,66 | 4,58 | 12,81 | 16,56 | 23,73 | |
5 | 3,22 | 3,60 | 4,43 | 10,86 | 13,47 | 17,15 | |
6 | 3,21 | 3,57 | 4,35 | 9,71 | 11,72 | 14,47 | |
7 | 3,21 | 3,57 | 4,30 | 8,97 | 10,61 | 13,04 | |
8 | 3,22 | 3,57 | 4,28 | 8,46 | 9,88 | 11,74 | |
9 | 3,23 | 3,56 | 4,25 | 8,02 | 9,27 | 10,88 | |
10 | 3,24 | 3,57 | 4,23 | 7,72 | 8,80 | 10,25 | |
11 | 3,25 | 3,58 | 4,22 | 7,46 | 8,42 | 9,65 | |
12 | 3,27 | 3,60 | 4,21 | 7,21 | 8,03 | 9,27 | |
13 | 3,30 | 3,61 | 4,20 | 6,99 | 7,75 | 8,76 | |
14 | 3 | 3,30 | 3,75 | 4,75 | 17,23 | 25,09 | 39,16 |
4 | 3,28 | 3,68 | 4,52 | 12,48 | 16,19 | 22,41 | |
5 | 3,25 | 3,62 | 4,40 | 10,64 | 13,22 | 16,89 | |
6 | 3,24 | 3,58 | 4,33 | 9,59 | 11,55 | 14,29 | |
7 | 3,23 | 3,58 | 4,28 | 8,88 | 10,47 | 12,51 | |
8 | 3,24 | 3,58 | 4,25 | 8,40 | 9,71 | 11,54 | |
9 | 3,25 | 3,58 | 4,23 | 8,00 | 9,17 | 10,81 | |
10 | 3,26 | 3,58 | 4,22 | 7,71 | 8,72 | 10,06 | |
11 | 3,28 | 3,60 | 4,20 | 7,46 | 8,42 | 9,61 | |
12 | 3,31 | 3,61 | 4,20 | 7,25 | 8,11 | 9,25 | |
13 | 3,31 | 3,62 | 4,19 | 7,03 | 7,82 | 8,81 | |
14 | 3,34 | 3,63 | 4,17 | 9,81 | 7,49 | 8,45 | |
15 | 3 | 3,34 | 3,77 | 4,78 | 17,15 | 24,54 | 38,14 |
4 | 3,29 | 3,69 | 4,55 | 12,41 | 15,96 | 21,82 | |
5 | 3,28 | 3,64 | 4,42 | 10,56 | 12,94 | 16,99 | |
6 | 3,26 | 3,61 | 4,37 | 9,45 | 11,38 | 14,24 | |
7 | 3,25 | 3,59 | 4,31 | 8,81 | 10,31 | 12,84 | |
8 | 3,25 | 3,59 | 4,27 | 8,36 | 9,36 | 11,58 | |
9 | 3,26 | 3,58 | 4,26 | 8,00 | 9,11 | 10,79 | |
10 | 3,27 | 3,59 | 4,24 | 7,71 | 8,72 | 10,06 | |
11 | 3,26 | 3,59 | 4,21 | 7,48 | 8,37 | 9,61 | |
12 | 3,29 | 3,61 | 4,21 | 7,29 | 8,17 | 9,24 | |
13 | 3,30 | 3,61 | 4,20 | 7,09 | 7,89 | 8,92 | |
14 | 3,32 | 3,62 | 4,19 | 6,92 | 7,63 | 8,59 | |
15 | 3,35 | 3,62 | 4,19 | 6,70 | 7,37 | 8,24 | |
m | Квантили t-распределения при P | ||||||||||||||||||
0,75 | 0,90 | 0,95 | 0,975 | 0,990 | 0,995 | 0,9975 | 0,999 | 0,9995 | m | ||||||||||
1 | 1, | 0000 | 3, | 0777 | 6, | 3138 | 12, | 7062 | 31, | 8205 | 63, | 6567 | 127, | 3213 | 318, | 3088 | 636, | 6192 | 1 |
2 | 0, | 8165 | 1, | 8856 | 2, | 9200 | 4, | 3027 | 6, | 9646 | 9, | 9248 | 14, | 0890 | 22, | 3271 | 31, | 5991 | 2 |
3 | 7649 | 6377 | 3534 | 3, | 1824 | 4, | 5407 | 5, | 8409 | 7, | 4533 | 10, | 2145 | 12, | 9240 | 3 | |||
4 | 7407 | 5332 | 1318 | 2, | 7764 | 3, | 7469 | 4, | 6041 | 5, | 5976 | 7, | 1732 | 8, | 6103 | 4 | |||
5 | 7267 | 4759 | 0150 | 5706 | 3649 | 0321 | 4, | 7733 | 5, | 8934 | 6, | 8688 | 5 | ||||||
6 | 0, | 7176 | 1, | 4398 | 1, | 9432 | 2, | 4469 | 3, | 1427 | 3, | 7074 | 4, | 3168 | 5, | 2076 | 5, | 9588 | 6 |
7 | 7111 | 4149 | 8946 | 3646 | 2, | 9980 | 4995 | 0293 | 4, | 7853 | 4079 | 7 | |||||||
8 | 7064 | 3968 | 8595 | 3060 | 8965 | 3554 | 3, | 8325 | 5008 | 0413 | 8 | ||||||||
9 | 7027 | 3830 | 8331 | 2622 | 8214 | 2498 | 6897 | 2968 | 4, | 7809 | 9 | ||||||||
10 | 6998 | 3722 | 8125 | 2281 | 7638 | 1693 | 5814 | 1437 | 5869 | 10 | |||||||||
11 | 0, | 6974 | 1, | 3634 | 1, | 7959 | 2, | 2010 | 2, | 7181 | 3, | 1058 | 3, | 4966 | 4, | 0247 | 4, | 4370 | 11 |
12 | 6955 | 3562 | 7823 | 1788 | 6810 | 0545 | 4284 | 3, | 9296 | 3178 | 12 | ||||||||
13 | 6938 | 3502 | 7709 | 1604 | 6503 | 0123 | 3725 | 8520 | 2208 | 13 | |||||||||
14 | 6924 | 3450 | 7613 | 1448 | 6245 | 2, | 9768 | 3257 | 7874 | 1405 | 14 | ||||||||
15 | 6912 | 3406 | 7530 | 1314 | 6025 | 9467 | 2860 | 7328 | 0728 | 15 | |||||||||
16 | 0, | 6901 | 1, | 3368 | 1, | 7459 | 2, | 1199 | 2, | 5835 | 2, | 9208 | 3, | 2520 | 3, | 6862 | 4, | 0150 | 16 |
17 | 6892 | 3334 | 7396 | 1098 | 5669 | 8982 | 2224 | 6458 | 3, | 9651 | 17 | ||||||||
18 | 6884 | 3304 | 7341 | 1009 | 5524 | 8784 | 1966 | 6105 | 9216 | 18 | |||||||||
19 | 6876 | 3277 | 7291 | 0930 | 5395 | 8609 | 1737 | 5794 | 8834 | 19 | |||||||||
20 | 6870 | 3253 | 7247 | 0860 | 5280 | 8453 | 1534 | 5518 | 8495 | 20 | |||||||||
21 | 0, | 6864 | 1, | 3232 | 1, | 7207 | 2, | 0796 | 2, | 5176 | 2, | 8314 | 3, | 1352 | 3, | 5272 | 3, | 8193 | 21 |
22 | 6858 | 3212 | 7171 | 0739 | 5083 | 8188 | 1188 | 5050 | 7921 | 22 | |||||||||
23 | 0, | 6853 | 1, | 3195 | 1, | 7139 | 2, | 0687 | 2, | 4999 | 2, | 8073 | 3, | 1040 | 3, | 4850 | 3, | 7676 | 23 |
24 | 6848 | 3178 | 7109 | 0639 | 4922 | 7969 | 0905 | 4668 | 7455 | 24 | |||||||||
25 | 6844 | 3163 | 7081 | 0595 | 4851 | 7874 | 0782 | 4502 | 7251 | 25 | |||||||||
26 | 0, | 6840 | 1, | 3160 | 1, | 7056 | 2, | 0555 | 2, | 4786 | 2, | 7787 | 3, | 0669 | 3, | 4350 | 3, | 7066 | 26 |
27 | 6837 | 3137 | 7033 | 0518 | 4727 | 7707 | 0565 | 4210 | 6896 | 27 | |||||||||
28 | 6834 | 3125 | 7011 | 0484 | 4671 | 7633 | 0469 | 4082 | 6739 | 28 | |||||||||
29 | 6830 | 3114 | 6991 | 0452 | 4620 | 7564 | 0380 | 3962 | 6594 | 29 | |||||||||
30 | 6828 | 3104 | 6973 | 0423 | 4573 | 7500 | 0298 | 3852 | 6460 | 30 | |||||||||
32 | 0, | 6822 | 1, | 3086 | 1, | 6939 | 2, | 0369 | 2, | 4487 | 2, | 7385 | 3, | 0149 | 3, | 3653 | 3, | 6218 | 32 |
34 | 6818 | 3070 | 6909 | 0322 | 4411 | 7284 | 0020 | 3479 | 6007 | 34 | |||||||||
36 | 6814 | 3055 | 6883 | 0281 | 4345 | 7195 | 2, | 9905 | 3326 | 5821 | 36 | ||||||||
38 | 6810 | 3042 | 6860 | 0244 | 4286 | 7116 | 9803 | 3190 | 5657 | 38 | |||||||||
40 | 6807 | 3031 | 6839 | 0211 | 4233 | 7045 | 9712 | 3069 | 5510 | 40 | |||||||||
42 | 0, | 6804 | 1, | 3020 | 1, | 6820 | 2, | 0181 | 2, | 4185 | 2, | 6981 | 2, | 9630 | 3, | 2960 | 3, | 5377 | 42 |
44 | 6801 | 3011 | 6802 | 0154 | 4141 | 6923 | 9555 | 2861 | 5258 | 44 | |||||||||
46 | 6799 | 3002 | 6787 | 0129 | 4102 | 6870 | 9488 | 2771 | 5150 | 46 | |||||||||
48 | 6796 | 2994 | 6772 | 0106 | 4066 | 6822 | 9426 | 2689 | 5051 | 48 | |||||||||
50 | 6794 | 2987 | 6759 | 0086 | 4033 | 6778 | 9370 | 2614 | 4960 | 50 | |||||||||
55 | 0, | 6790 | 1, | 2971 | 1, | 6730 | 2, | 0040 | 2, | 3961 | 2, | 6682 | 2, | 9247 | 3, | 2561 | 3, | 4764 | 55 |
60 | 6786 | 2958 | 6706 | 0003 | 3901 | 6603 | 9146 | 2317 | 4602 | 60 | |||||||||
65 | 6783 | 2947 | 6686 | 1, | 9971 | 3851 | 6536 | 9060 | 2204 | 4466 | 65 | ||||||||
70 | 6780 | 2938 | 6669 | 9944 | 3808 | 6479 | 8987 | 2108 | 4350 | 70 | |||||||||
80 | 6776 | 2922 | 6641 | 9901 | 3739 | 6387 | 8870 | 1953 | 4163 | 80 | |||||||||
90 | 0, | 6772 | 1, | 2910 | 1, | 6620 | 1, | 9867 | 2, | 3685 | 2, | 6316 | 2, | 8779 | 3, | 1833 | 3, | 4019 | 90 |
100 | 6770 | 2901 | 6602 | 9840 | 3642 | 6259 | 8707 | 1737 | 3905 | 100 | |||||||||
120 | 6765 | 2886 | 6577 | 9799 | 3578 | 6174 | 8599 | 1595 | 1735 | 120 | |||||||||
150 | 0, | 6761 | 1, | 2872 | 1, | 6551 | 1, | 9759 | 2, | 3515 | 2, | 6090 | 2, | 8492 | 3, | 1455 | 3, | 3566 | 150 |
200 | 6757 | 2858 | 6525 | 9719 | 3451 | 6006 | 8385 | 1315 | 3398 | 200 | |||||||||
250 | 0, | 6755 | 1, | 2849 | 1, | 6510 | 1, | 9695 | 2, | 3414 | 2, | 5956 | 2, | 8322 | 3, | 1232 | 3, | 3299 | 250 |
300 | 6753 | 2844 | 6499 | 9679 | 3388 | 5923 | 8279 | 1176 | 3233 | 300 | |||||||||
400 | 6751 | 2837 | 6487 | 9659 | 3357 | 5882 | 8227 | 1107 | 3150 | 400 | |||||||||
500 | 6750 | 2832 | 6479 | 9647 | 3338 | 5857 | 8195 | 1066 | 3101 | 500 | |||||||||
6745 | 2816 | 6449 | 9600 | 3263 | 5758 | 8070 | 0902 | 2905 | |||||||||||
m | ![]() | ![]() | ||||||
Доверительная вероятность q | ||||||||
0,975 | 0,90 | 0,95 | 0,99 | 0,975 | 0,90 | 0,95 | 0,99 | |
3 | 1,464 | 2,501 | 3,152 | 4,396 | 2,602 | 4,258 | 5,310 | 7,340 |
4 | 1,256 | 2,134 | 2,680 | 3,726 | 1,972 | 3,187 | 3,957 | 5,437 |
5 | 1,152 | 1,961 | 2,463 | 3,421 | 1,698 | 2,742 | 3,400 | 4,666 |
6 | 1,087 | 1,860 | 2,336 | 3,243 | 1,540 | 2,494 | 3,091 | 4,242 |
7 | 1,043 | 1,791 | 2,250 | 3,126 | 1,435 | 2,333 | 2,894 | 3,972 |
8 | 1,010 | 1,740 | 2,192 | 3,042 | 1,360 | 2,219 | 2,755 | 3,783 |
9 | 0,984 | 1,702 | 2,141 | 2,977 | 1,302 | 2,133 | 2,649 | 3,641 |
10 | 0,964 | 1,671 | 2,103 | 2,927 | 1,257 | 2,065 | 2,568 | 3,532 |
11 | 0,947 | 1,646 | 2,073 | 2,885 | 1,219 | 2,012 | 2,503 | 3,444 |
12 | 0,933 | 1,624 | 2,048 | 2,851 | 1,188 | 1,966 | 2,448 | 3,371 |
13 | 0,919 | 1,606 | 2,026 | 2,822 | 1,162 | 1,928 | 2,403 | 3,310 |
14 | 0,909 | 1,591 | 2,007 | 2,796 | 1,139 | 1,895 | 2,363 | 3,257 |
15 | 0,899 | 1,577 | 1,991 | 2,776 | 1,119 | 1,866 | 2,329 | 3,212 |
16 | 0,891 | 1,566 | 1,977 | 2,756 | 1,101 | 1,842 | 2,299 | 3,172 |
17 | 0,883 | 1,554 | 1,964 | 2,739 | 1,085 | 1,820 | 2,272 | 3,136 |
18 | 0,876 | 1,544 | 1,951 | 2,723 | 1,071 | 1,800 | 2,249 | 3,106 |
19 | 0,870 | 1,536 | 1,942 | 2,710 | 1,058 | 1,781 | 2,228 | 3,078 |
20 | 0,865 | 1,528 | 1,933 | 2,697 | 1,046 | 1,765 | 2,208 | 3,052 |
21 | 0,859 | 1,520 | 1,923 | 2,686 | 1,035 | 1,750 | 2,190 | 3,028 |
22 | 0,854 | 1,514 | 1,916 | 2,675 | 1,025 | 1,736 | 2,174 | 3,007 |
23 | 0,849 | 1,508 | 1,907 | 2,665 | 1,016 | 1,724 | 2,159 | 2,987 |
24 | 0,845 | 1,502 | 1,901 | 2,656 | 1,007 | 1,712 | 2,145 | 2,969 |
25 | 0,842 | 1,496 | 1,895 | 2,647 | 0,999 | 1,702 | 2,132 | 2,952 |
30 | 0,825 | 1,475 | 1,869 | 2,613 | 0,966 | 1,657 | 2,080 | 2,884 |
35 | 0,812 | 1,458 | 1,849 | 2,588 | 0,942 | 1,623 | 2,041 | 2,833 |
40 | 0,803 | 1,445 | 1,834 | 2,568 | 0,923 | 1,598 | 2,010 | 2,793 |
45 | 0,795 | 1,435 | 1,821 | 2,552 | 0,908 | 1,577 | 1,986 | 2,762 |
50 | 0,788 | 1,426 | 1,811 | 2,538 | 0,894 | 1,560 | 1,965 | 2,735 |
m | ![]() | ![]() | ||||||
Доверительная вероятность q | ||||||||
0,975 | 0,90 | 0,95 | 0,99 | 0,975 | 0,90 | 0,95 | 0,99 | |
3 | 3,804 | 6,158 | 7,655 | 10,552 | ||||
4 | 2,619 | 4,163 | 5,145 | 7,042 | ||||
5 | 2,149 | 3,407 | 4,202 | 5,741 | ||||
6 | 1,895 | 3,006 | 3,707 | 5,062 | 2,849 | 4,408 | 5,409 | 7,334 |
7 | 1,732 | 2,755 | 3,399 | 4,641 | 2,490 | 3,856 | 4,730 | 6,411 |
8 | 1,617 | 2,582 | 3,188 | 4,353 | 2,252 | 3,496 | 4,287 | 5,811 |
9 | 1,532 | 2,454 | 3,031 | 4,143 | 2,085 | 3,242 | 3,971 | 5,389 |
10 | 1,465 | 2,355 | 2,911 | 3,981 | 1,954 | 3,048 | 3,739 | 5,075 |
11 | 1,411 | 2,275 | 2,815 | 3,852 | 1,854 | 2,897 | 3,557 | 4,828 |
12 | 1,366 | 2,210 | 2,736 | 3,747 | 1,771 | 2,773 | 3,410 | 4,633 |
13 | 1,329 | 2,155 | 2,670 | 3,659 | 1,702 | 2,677 | 3,290 | 4,472 |
14 | 1,296 | 2,108 | 2,614 | 3,585 | 1,645 | 2,592 | 3,189 | 4,336 |
15 | 1,268 | 2,068 | 2,566 | 3,520 | 1,596 | 2,521 | 3,102 | 4,224 |
16 | 1,242 | 2,032 | 2,523 | 3,463 | 1,553 | 2,458 | 3,028 | 4,124 |
17 | 1,220 | 2,001 | 2,486 | 3,415 | 1,514 | 2,405 | 2,962 | 4,038 |
18 | 1,200 | 1,974 | 2,453 | 3,370 | 1,481 | 2,357 | 2,906 | 3,961 |
19 | 1,183 | 1,949 | 2,423 | 3,331 | 1,450 | 2,315 | 2,855 | 3,893 |
20 | 1,167 | 1,926 | 3,396 | 3,295 | 1,424 | 2,275 | 2,807 | 3,832 |
21 | 1,152 | 1,905 | 2,371 | 3,262 | 1,397 | 2,241 | 2,768 | 3,776 |
22 | 1,138 | 1,887 | 2,350 | 3,233 | 1,376 | 2,208 | 2,729 | 3,727 |
23 | 1,126 | 1,869 | 2,329 | 3,206 | 1,355 | 2,179 | 2,693 | 3,680 |
24 | 1,114 | 1,853 | 2,309 | 3,181 | 1,336 | 2,154 | 2,663 | 3,638 |
25 | 1,103 | 1,838 | 2,292 | 3,158 | 1,319 | 2,129 | 2,632 | 3,601 |
30 | 1,059 | 1,778 | 2,220 | 3,064 | 1,249 | 2,029 | 2,516 | 3,446 |
35 | 1,025 | 1,732 | 2,166 | 2,994 | 1,195 | 1,957 | 2,431 | 3,334 |
40 | 0,999 | 1,697 | 2,126 | 2,941 | 1,154 | 1,902 | 2,365 | 3,250 |
45 | 0,978 | 1,669 | 2,092 | 2,897 | 1,122 | 1,857 | 2,313 | 3,181 |
50 | 0,961 | 1,646 | 2,065 | 2,863 | 1,096 | 1,821 | 2,296 | 3,124 |
.z | |
-4,00 | 0,0001 |
-3,95 | 0,0002 |
-3,90 | 0,0002 |
-3,85 | 0,0002 |
-3,80 | 0,0003 |
-3,75 | 0,0004 |
-3,70 | 0,0004 |
-3,65 | 0,0005 |
-3,60 | 0,0006 |
-3,55 | 0,0007 |
-3,50 | 0,0009 |
-3,45 | 0,0010 |
-3,40 | 0,0012 |
-3,35 | 0,0015 |
-3,30 | 0,0017 |
-3,25 | 0,0020 |
-3,20 | 0,0024 |
-3,15 | 0,0028 |
-3,10 | 0,0033 |
-3,05 | 0,0038 |
-3,00 | 0,0044 |
-2,95 | 0,0052 |
-2,90 | 0,0060 |
-2,85 | 0,0069 |
-2,80 | 0,0079 |
-2,75 | 0,0091 |
-2,70 | 0,0105 |
-2,65 | 0,0120 |
-2,60 | 0,0136 |
-2,55 | 0,0155 |
-2,50 | 0,0176 |
-2,45 | 0,0200 |
-2,40 | 0,0226 |
-2,35 | 0,0255 |
-2,30 | 0,0286 |
-2,25 | 0,0321 |
-2,20 | 0,0360 |
-2,15 | 0,0402 |
-2,10 | 0,0448 |
-2,05 | 0,0498 |
-2,00 | 0,0552 |
-1,95 | 0,0612 |
-1,90 | 0,0676 |
-1,85 | 0,0745 |
-1,80 | 0,0819 |
-1,75 | 0,0899 |
-1,70 | 0,0984 |
-1,65 | 0,1076 |
-1,60 | 0,1174 |
-1,55 | 0,1277 |
-1,50 | 0,1388 |
-1,45 | 0,1505 |
-1,40 | 0,1629 |
-1,35 | 0,1760 |
-1,30 | 0,1897 |
-1,25 | 0,2042 |
-1,20 | 0,2194 |
-1,15 | 0,2354 |
-1,10 | 0,2520 |
-1,05 | 0,2694 |
-1,00 | 0,2876 |
-0,95 | 0,3065 |
-0,90 | 0,3261 |
-0,85 | 0,3465 |
-0,80 | 0,3676 |
-0,75 | 0,3894 |
-0,70 | 0,4119 |
-0,65 | 0,4352 |
-0,60 | 0,4591 |
-0,55 | 0,4838 |
-0,50 | 0,5092 |
-0,45 | 0,5352 |
-0,40 | 0,5619 |
-0,35 | 0,5892 |
-0,30 | 0,6172 |
-0,25 | 0,6458 |
-0,20 | 0,6751 |
-0,15 | 0,7049 |
-0,10 | 0,7353 |
-0,05 | 0,7663 |
0,00 | 0,7979 |
0,05 | 0,8300 |
0,10 | 0,8626 |
0,15 | 0,8958 |
0,20 | 0,9294 |
0,25 | 0,9636 |
0,30 | 0,9982 |
0,35 | 1,0332 |
0,40 | 1,0688 |
0,45 | 1,1047 |
0,50 | 1,1411 |
0,55 | 1,1779 |
0,60 | 1,2150 |
0,65 | 1,2526 |
0,70 | 1,2905 |
0,75 | 1,3288 |
0,80 | 1,3674 |
0,85 | 1,4064 |
0,90 | 1,4456 |
0,95 | 1,4852 |
1,00 | 1,5251 |
1,05 | 1,5653 |
1,10 | 1,6058 |
1,15 | 1,6465 |
1,20 | 1,6875 |
1,25 | 1,7288 |
1,30 | 1,7703 |
1,35 | 1,8121 |
1,40 | 1,8540 |
1,45 | 1,8963 |
1,50 | 1,9387 |
1,55 | 1,9813 |
1,60 | 2,0241 |
1,65 | 2,0672 |
1,70 | 2,1104 |
1,75 | 2,1538 |
1,80 | 2,1973 |
1,85 | 2,2410 |
1,90 | 2,2849 |
1,95 | 2,3290 |
2,00 | 2,3732 |
2,05 | 2,4176 |
2,10 | 2,4621 |
2,15 | 2,5067 |
2,20 | 2,5515 |
2,25 | 2,5964 |
2,30 | 2,6414 |
2,35 | 2,6866 |
2,40 | 2,7319 |
2,45 | 2,7773 |
2,50 | 2,8227 |
2,55 | 2,8684 |
2,60 | 2,9141 |
2,65 | 2,9598 |
2,70 | 3,0058 |
2,75 | 3,0519 |
2,80 | 3,0977 |
2,85 | 3,1441 |
2,90 | 3,1906 |
2,95 | 3,2366 |
3,00 | 3,2832 |
3,05 | 3,3311 |
3,10 | 3,3764 |
3,15 | 3,4244 |
3,20 | 3,4694 |
3,25 | 3,5180 |
3,30 | 3,5642 |
3,35 | 3,6121 |
3,40 | 3,6565 |
3,45 | 3,7069 |
3,50 | 3,7527 |
3,55 | 3,8002 |
3,60 | 3,8464 |
3,65 | 3,8964 |
3,70 | 3,9425 |
3,75 | 3,9924 |
3,80 | 4,0360 |
3,85 | 4,0891 |
3,90 | 4,1376 |
3,95 | 4,1842 |
4,00 | 4,2310 |
N | m | |||||||
2 | 3 | 4 | 5 | 6 | 7 | 8 | 9 | |
4 | 3,428 | |||||||
5 | 4,444 | |||||||
6 | 5,454 | 4,864 | ||||||
7 | 6,461 | 5,887 | ||||||
8 | 7,466 | 6,904 | 6,303 | |||||
9 | 8,470 | 7,916 | 7,330 | |||||
10 | 9,473 | 8,925 | 8,351 | 7,744 | ||||
11 | 10,476 | 9,933 | 9,367 | 8,773 | ||||
12 | 11,478 | 10,939 | 10,380 | 9,797 | 9,185 | |||
13 | 12,480 | 11,944 | 11,390 | 10,816 | 10,216 | |||
14 | 13,481 | 12,948 | 12,399 | 11,831 | 11,242 | 10,626 | ||
15 | 14,482 | 13,952 | 13,406 | 12,844 | 12,263 | 11,659 | ||
16 | 15,483 | 14,955 | 14,413 | 13,856 | 13,281 | 12,686 | 12,068 | |
17 | 16,484 | 15,958 | 15,419 | 14,865 | 14,296 | 13,709 | 13,102 | |
18 | 17,485 | 16,960 | 16,424 | 15,874 | 15,310 | 14,729 | 14,130 | 13,510 |
19 | 18,486 | 17,962 | 17,428 | 16,881 | 16,321 | 15,747 | 15,155 | 14,544 |
20 | 19,487 | 18,964 | 18,432 | 17,888 | 17,332 | 16,762 | 16,177 | 15,574 |
21 | 20,487 | 19,966 | 19,435 | 18,894 | 18,341 | 17,775 | 17,195 | 16,600 |
22 | 21,488 | 20,968 | 20,438 | 19,899 | 19,349 | 18,787 | 18,212 | 17,623 |
23 | 22,488 | 21,969 | 21,441 | 20,904 | 210,356 | 19,798 | 19,227 | 18,643 |
24 | 23,489 | 22,970 | 22,444 | 21,908 | 21,363 | 20,808 | 20,241 | 19,662 |
25 | 24,489 | 23,972 | 23,446 | 22,912 | 22,369 | 21,817 | 21,253 | 20,678 |
10 | 11 | 12 | 13 | 14 | 15 | 16 | 17 | |
26 | 21,110 | 20,515 | 19,905 | 19,279 | ||||
27 | 22,128 | 21,537 | 20,934 | 20,315 | ||||
28 | 23,144 | 22,558 | 21,960 | 21,348 | 20,722 | |||
29 | 24,159 | 23,577 | 22,984 | 22,378 | 21,758 | |||
30 | 25,173 | 24,594 | 24,005 | 23,405 | 22,791 | 22,164 | ||
31 | 26,185 | 25,610 | 25,025 | 24,429 | 23,821 | 23,201 | ||
32 | 27,197 | 26,625 | 26,044 | 25,452 | 24,849 | 24,234 | 23,606 | |
33 | 28,208 | 27,639 | 27,061 | 26,473 | 25,875 | 25,265 | 24,643 | |
34 | 29,218 | 28,651 | 28,076 | 27,492 | 26,898 | 26,294 | 25,677 | 25,049 |
35 | 30,227 | 29,663 | 29,091 | 28,510 | 27,920 | 27,320 | 26,709 | 26,086 |
36 | 31,236 | 30,674 | 30,105 | 29,527 | 28,940 | 28,344 | 27,738 | 27,121 |
37 | 32,244 | 31,685 | 31,118 | 30,543 | 29,959 | 29,367 | 28,765 | 28,152 |
38 | 33,252 | 32,694 | 32,130 | 31,557 | 30,977 | 30,388 | 29,790 | 29,182 |
39 | 34,259 | 33,703 | 33,141 | 32,571 | 31,993 | 31,408 | 30,813 | 30,209 |
40 | 35,266 | 34,712 | 34,151 | 33,584 | 33,009 | 32,426 | 31,835 | 31,235 |
41 | 36,272 | 35,720 | 35,161 | 34,596 | 34,023 | 33,443 | 32,855 | 32,259 |
42 | 37,278 | 36,728 | 36,171 | 35,607 | 35,037 | 34,460 | 33,875 | 33,282 |
43 | 38,284 | 37,735 | 37,180 | 36,618 | 36,050 | 35,475 | 34,893 | 34,303 |
44 | 39,290 | 38,742 | 38,188 | 37,628 | 37,062 | 36,489 | 35,910 | 35,323 |
45 | 40,295 | 39,748 | 39,196 | 38,638 | 38,074 | 37,503 | 36,926 | 36,342 |
46 | 41,300 | 40,754 | 40,204 | 39,647 | 39,085 | 38,516 | 37,941 | 37,359 |
47 | 42,305 | 41,760 | 41,211 | 40,656 | 40,095 | 39,528 | 38,956 | 38,376 |
48 | 43,309 | 42,766 | 42,218 | 41,664 | 41,105 | 40,540 | 39,969 | 39,392 |
49 | 44,314 | 43,771 | 43,224 | 42,672 | 42,114 | 41,551 | 40,982 | 40,407 |
50 | 45,318 | 44,776 | 44,230 | 43,679 | 43,123 | 42,562 | 41,995 | 41,422 |
26 | 25,490 | 24,973 | 24,448 | 23,916 | 23,375 | 22,825 | 22,264 | 21,693 |
27 | 26,490 | 25,974 | 25,450 | 24,919 | 24,380 | 23,832 | 23,274 | 22,707 |
28 | 27,490 | 26,975 | 26,452 | 25,922 | 25,385 | 24,389 | 24,284 | 23,719 |
29 | 28,491 | 27,976 | 27,454 | 26,925 | 26,399 | 25,845 | 25,292 | 24,731 |
30 | 29,491 | 28,977 | 28,456 | 27,928 | 27,393 | 26,851 | 26,300 | 25,741 |
31 | 30,491 | 29,977 | 29,457 | 28,930 | 28,397 | 27,856 | 27,308 | 26,751 |
32 | 31,492 | 30,978 | 30,458 | 29,933 | 29,400 | 28,861 | 28,314 | 27,760 |
33 | 32,492 | 31,979 | 31,460 | 30,935 | 30,404 | 29,866 | 29,321 | 28,768 |
34 | 33,492 | 32,979 | 32,461 | 31,937 | 31,407 | 30,870 | 30,327 | 29,776 |
35 | 34,492 | 33,980 | 33,462 | 32,939 | 32,410 | 31,874 | 31,332 | 30,783 |
36 | 35,492 | 34,980 | 34,463 | 33,941 | 33,412 | 32,878 | 32,337 | 31,790 |
37 | 36,493 | 35,981 | 35,464 | 34,942 | 34,415 | 33,882 | 33,342 | 32,797 |
38 | 37,493 | 36,981 | 36,465 | 35,944 | 35,417 | 34,885 | 34,347 | 33,803 |
39 | 38,493 | 37,982 | 37,466 | 36,945 | 36,419 | 35,888 | 35,351 | 34,808 |
40 | 39,493 | 38,982 | 38,467 | 37,947 | 37,422 | 36,891 | 36,355 | 35,814 |
41 | 40,493 | 39,983 | 39,468 | 38,948 | 38,424 | 37,894 | 37,359 | 36,819 |
42 | 41,493 | 40,983 | 40,469 | 39,949 | 39,426 | 38,897 | 38,363 | 37,823 |
43 | 42,494 | 41,984 | 41,469 | 40,951 | 40,427 | 39,899 | 39,366 | 38,828 |
44 | 43,494 | 42,984 | 42,470 | 41,952 | 41,429 | 40,902 | 40,370 | 39,832 |
45 | 44,494 | 43,984 | 43,471 | 42,953 | 42,431 | 41,904 | 41,373 | 40,836 |
46 | 45,494 | 44,985 | 44,471 | 43,954 | 43,432 | 42,906 | 42,376 | 41,840 |
47 | 46,494 | 45,985 | 45,472 | 44,955 | 44,434 | 43,908 | 43,379 | 42,844 |
48 | 47,494 | 46,985 | 46,473 | 45,956 | 45,435 | 44,910 | 44,381 | 43,848 |
49 | 48,494 | 47,986 | 47,473 | 46,957 | 46,437 | 45,912 | 45,384 | 44,851 |
50 | 49,494 | 48,986 | 48,474 | 47,958 | 47,438 | 46,914 | 46,386 | 45,854 |
или
0,10 | 0,957 | 11,65 |
0,15 | 0,941 | 7,92 |
0,20 | 0,927 | 6,00 |
0,25 | 0,913 | 4,50 |
0,30 | 0,903 | 3,68 |
.
.
;
по табл. 5 находим N = 12. Следовательно, на испытания необходимо дополнительно поставить 4 объекта.
. Так как
, то перепланирование не требуется.
.
. Перепланирование не требуется.
, относительная продолжительность испытаний
.
и
находим число r предельных состояний, равное 8.
; значение 
;
находим прогнозируемое число отказов r, равное 4. Для найденного значения r определяем объем выборки N по формуле п. 2.2 Приложения 3 из условия 

определим прогнозируемое число отказов r, равное 29. Объем выборки N находим, полагая 
объем выборки N равен
. Коэффициент вариации равен 0,6. Закон распределения наработки до отказа неизвестен.
.
; q = 0,80 и d = 5 объем выборки N = 38.




















:


;
;
;
.
, то в качестве оценки параметра
.




).


















;
.
.

определяют по табл. 72.

.
определяют по табл. 73.



Номер объекта | Наработки до отказа в часах | ||
элемента первого типа | элемента второго типа | объекта в целом | |
1 | 250 | - | 250 |
2 | - | 150, 280 | 280 |
3 | - | 1250, 300 | 300 |








, объединенная точечная оценка средней наработки до отказа вычисляется следующим образом







