Главная // Актуальные документы // Методические указания
СПРАВКА
Источник публикации
М.: Информационно-издательский центр Госкомсанэпиднадзора Российской Федерации, 1993
"Методические указания по измерению концентрации вредных веществ в воздухе рабочей зоны. Выпуск 28"
Примечание к документу
Документ включен в Перечень основных действующих нормативно-методических документов по методам лабораторного и инструментального контроля в системе государственного санитарно-эпидемиологического нормирования (Письмо Роспотребнадзора от 02.12.2008 N 01/14262-8-32).
Название документа
"Методические указания по фотометрическому измерению концентраций тобрамицина в воздухе рабочей зоны"
(утв. Минздравом СССР 10.10.1991 N 6008-91)

"Методические указания по фотометрическому измерению концентраций тобрамицина в воздухе рабочей зоны"
(утв. Минздравом СССР 10.10.1991 N 6008-91)


Содержание


Утверждаю
Заместитель Главного
государственного
санитарного врача СССР
М.И.НАРКЕВИЧ
10 октября 1991 г. N 6008-91
МЕТОДИЧЕСКИЕ УКАЗАНИЯ
ПО ФОТОМЕТРИЧЕСКОМУ ИЗМЕРЕНИЮ КОНЦЕНТРАЦИЙ
ТОБРАМИЦИНА В ВОЗДУХЕ РАБОЧЕЙ ЗОНЫ
Предисловие
Методические указания по измерению концентраций вредных веществ в воздухе рабочей зоны предназначены для санитарно-эпидемиологических станций и санитарных лабораторий промышленных предприятий при осуществлении контроля за содержанием вредных веществ в воздухе рабочей зоны, а также научно-исследовательских институтов системы здравоохранения России и других заинтересованных министерств и ведомств.
Методические указания разрабатываются и утверждаются с целью обеспечения контроля соответствия фактических концентраций вредных веществ в воздухе рабочей зоны их предельно допустимым концентрациям (ПДК) - санитарно-гигиеническим нормативам, утвержденным Министерством здравоохранения СССР, оценки эффективности внедренных санитарно-гигиенических мероприятий, установления необходимости использования средств индивидуальной защиты органов дыхания, оценки влияния вредных веществ на состояние здоровья работающих и др.
Включенные в данный выпуск Методические указания подготовлены в соответствии с требованиями ГОСТ 12.1.005-88 "ССБТ. Общие санитарно-гигиенические требования к воздуху рабочей зоны" и ГОСТ 12.1.016-79 "ССБТ. Воздух рабочей зоны. Требования к методикам измерения концентраций вредных веществ" и обеспечивают избирательное измерение концентраций вредных веществ в воздухе рабочей зоны в присутствии сопутствующих компонентов на уровне 0,5 ПДК. Погрешность измерений концентраций вредного вещества, состоящая из суммы неисключенных систематической и случайной погрешностей, не превышает 25%.
Методические указания одобрены Проблемной комиссии "Научные основы гигиены труда и профессиональной патологии" и являются обязательными при осуществлении вышеуказанного контроля.
Ответственные за выпуск: С.И. Муравьева, Г.А. Дьякова, К.М. Грачева.
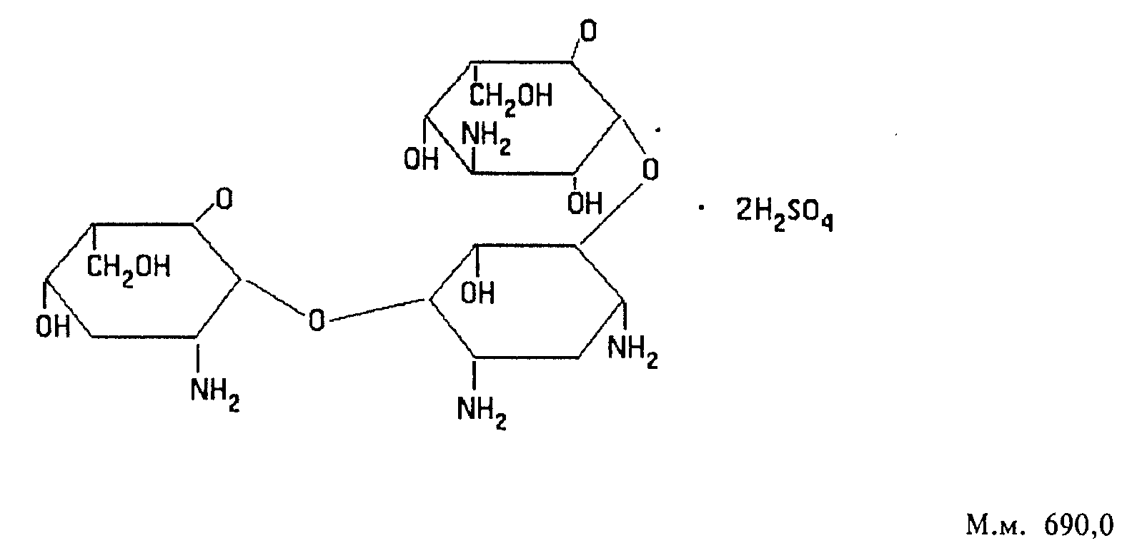
Тобрамицин - 0-/3-амино-3-дезокси-альфа-D-глюкопиранозил-(1...6)(-0-)2,6-диамино-2,3-6-тридезокси-альфа-D-рибогексопиранозил-(1...4))-2-дезокси-стрептамин сульфат.
Белый кристаллический порошок без запаха, гигроскопичен. Легко растворим в воде, очень мало растворим в этиноле. Практически нерастворим в ацетоне, хлороформе. Т пл. 220 °C (с разложением). Устойчив при хранении в растворах и в твердом виде.
В воздухе находится в виде аэрозоля.
Обладает ото- и нефротоксическим действием. Слабый аллерген.
ПДК в воздухе - 0,1 мг/куб. м.
Характеристика метода
Метод основан на измерении оптической плотности окрашенного в желтый цвет дигидролютидинового производного, образующегося в результате конденсации аминогрупп молекулы тобрамицина с ацетил-ацетоном и формальдегидом при 356 нм.
Отбор проб воздуха проводят с концентрированием на фильтр.
Нижний предел измерения концентрации вещества в анализируемом растворе - 5 мкг.
Нижний предел измерения содержания вещества в воздухе - 0,05 мг/куб. м (при отборе 200 л воздуха).
Диапазон измеряемых концентраций от 0,05 до 1,75 мг/куб. м.
Измерению не мешает присутствие стрептомицина.
Измерению мешает наличие в воздухе канамицина, гентамицина, мономицина, сизомицина, неомицина, амикацина, апрамицина.
Суммарная погрешность измерения не превышает 15%.
Время выполнения измерения, включая отбор пробы, 1 час 10 мин.
Приборы, аппаратура, посуда
Спектрофотометр.
pH-метр.
Аспирационное устройство.
Фильтродержатели, ТУ 95.72-05-77.
Водяная баня.
ИС МЕГАНОРМ: примечание.
ГОСТ 5072-79 утратил силу с 1 января 1991 года (ИУС "Государственные стандарты", N 11, 1991).
Секундомер, ГОСТ 5072-79.
Колбы мерные, ГОСТ 1770-74, вместимостью 50, 100, 500 и 1000 мл.
ИС МЕГАНОРМ: примечание.
Взамен ГОСТ 10515-75 Постановлением Госстандарта СССР от 15.07.1982 N 2670 с 1 января 1984 года введен в действие ГОСТ 25336-82.
Пробирки с пришлифованными пробками, ГОСТ 10515-75, вместимостью 10 мл.
Цилиндры мерные, ГОСТ 1770-74, вместимостью 50, 250 мл.
Пипетки, ГОСТ 20292-74, вместимостью 1, 2, 5 мл.
Стаканы химические, ГОСТ 19908-85, вместимостью 50 мл.
Воронки с пористой пластинкой N 1.
Насос водоструйный.
Реактивы, растворы, материалы
Тобрамицин.
Ацетил-ацетон, ГОСТ 10259-78, ч.д.а., перегнанный при 135,5 - 138 °C.
ИС МЕГАНОРМ: примечание.
Взамен ГОСТ 1625-75 Постановлением Госстандарта СССР от 13.12.1989 N 3704 с 1 января 1991 года введен в действие ГОСТ 1625-89.
Формалин, ГОСТ 1625-75, 30% раствор в воде.
Кислота фосфорная, конц., ГОСТ 5653-75, х.ч.
Кислота уксусная, ледяная, ГОСТ 61-75, х.ч.
Кислота борная, ГОСТ 9656-75, ч.д.а.
Натрия гидроксид, ГОСТ 4328-77, х.ч.
Смесь фосфорной, уксусной и борной кислот (раствор А) готовят в мерной колбе на 1000 мл, помещая последовательно такие количества перечисленных кислот, чтобы содержание каждой составляло 0,2 М концентрации, и доводят до метки водой.
Натр едкий, ГОСТ 4328-77, х.ч., 1,0 М раствор (раствор Б).
Буферная смесь pH 2,56, готовят, смешивая 1000 мл раствора А с 150 мл раствора Б.
Реактив С: к 50 мл буферной смеси добавляют 4,0 мл ацетилацетона, 10,0 мл раствора формальдегида, перемешивают, доводят до 150 мл буферной смесью. Устойчив 7 дней.
Стандартный раствор N 1 с концентрацией тобрамицина 100 мкг/мл готовят, растворяя точную навеску стандартного образца антибиотика в воде. Раствор устойчив 10 дней.
Стандартный раствор N 2 с концентрацией тобрамицина 10 мкг/мл готовят путем соответствующего разбавления стандартного раствора N 1 водой. Раствор устойчив 10 дней.
Фильтры АФА.
Отборы пробы воздуха
Воздух с объемным расходом 20 л/мин. аспирируют через фильтр АФА-ВП-20 или АФА-ВП-10. Для измерения 1/2 ПДК следует отобрать 200 л воздуха. Срок хранения отобранных проб 2 недели.
Подготовка к измерению
Градуировочные растворы (устойчивы в течение 4 часов) готовят согласно таблице 58.
Таблица 58
ШКАЛА ГРАДУИРОВОЧНЫХ РАСТВОРОВ
┌─────────┬───────────────┬───────────────┬────────────────┬──────────────┐
│ N │ Стандартный │ Стандартный │Дистиллированная│ Содержание │
│стандарта│раствор N 2, мл│раствор N 1, мл│ вода, мл │ тобрамицина, │
│ │ │ │ │ мкг │
├─────────┼───────────────┼───────────────┼────────────────┼──────────────┤
│1 │0 │- │2,5 │0 │
│2 │0,5 │- │2,0 │5 │
│3 │2,5 │- │- │25 │
│4 │- │0,5 │2,0 │50 │
│5 │- │1,0 │1,5 │100 │
│6 │- │1,5 │1,0 │150 │
│7 │- │1,75 │0,75 │175 │
└─────────┴───────────────┴───────────────┴────────────────┴──────────────┘
Во все пробирки шкалы добавляют по 2,5 мл реактива С и нагревают на кипящей водяной бане 20 минут, охлаждают при комнатной температуре. Измеряют на спектрофотометре оптическую плотность растворов при длине волны 356 нм. Изменения проводят в кюветах с толщиной поглощающего слоя 10 мм по отношению к раствору сравнения, не содержащему определяемого вещества (раствор N 1 по таблице).
Строят градуировочный график: на ось ординат наносят значение оптических плотностей градуировочных растворов, на ось абсцисс - соответствующие им концентрации вещества (в мкг) в градуировочных растворах.
Проверка градуировочного графика проводится 1 раз в 3 месяца или в случае использования новой партии реактивов.
Проведение измерения
Фильтр с отобранной пробой помещают в химический стакан, заливают 5 мл дистиллированной воды, выдерживают при перемешивании 40 минут. При необходимости раствор фильтруют через воронку с пористой пластинкой. Для анализа в пробирку с пришлифованной пробкой отбирают 2,5 мл раствора антибиотика и обрабатывают аналогично градуировочным растворам. Оптическую плотность полученного анализируемого раствора измеряют по отношению к контрольному, который готовят одновременно и аналогично пробам.
Количественное измерение содержания тобрамицина в мкг во взятой аликвоте проводят по предварительно построенному градуировочному графику.
Расчет концентрации
Концентрацию вещества "С" в воздухе (в мг/куб. м) вычисляют по формуле:
С = (а x в) / (б x V),
где:
а - содержание в анализируемом объеме раствора пробы, найденное по градуировочному графику, мкг;
б - объем раствора пробы, взятый для анализа, мл;
в - общий объем раствора пробы, мл;
V - объем воздуха (в л), отобранный для анализа и приведенный к стандартным условиям (см. Приложение 1).
Приложение 1
Справочное
Приведение объема воздуха к условиям по ГОСТ 12.1.016-79 (температура 20 °С, давление 760 мм рт. ст.) проводят по следующей формуле:
V х (273 + 20) х Р
t
С = -------------------,
(273 + t°) х 101,33
где:
V - объем воздуха, отобранный для анализа, л;
t
Р - барометрическое давление, кПа; (101,33 кПа = 760 мм рт. ст.);
t° - температура воздуха в месте отбора пробы, °С.
Для удобства расчета V следует пользоваться таблицей коэффициентов
(Приложение 2). Для приведения объема воздуха к температуре 20 °С и к
давлению 760 мм рт. ст. надо умножить V на соответствующий коэффициент.
t
Приложение 2
Справочное
КОЭФФИЦИЕНТ К
ДЛЯ ПРИВЕДЕНИЯ ОБЪЕМА ВОЗДУХА К УСЛОВИЯМ
ПО ГОСТ 12.1.016-79
┌───┬─────────────────────────────────────────────────────────────────────┐
│°С │ Давление Р, кПа (мм рт. ст.) │
│ ├──────┬──────┬──────┬──────┬──────┬──────┬──────┬──────┬──────┬──────┤
│ │97,33 │97,86 │ 98,4 │98,93 │99,46 │ 100 │100,53│101,06│101,33│101,86│
│ │(730) │(734) │(738) │(742) │(746) │(750) │(754) │(758) │(760) │(764) │
├───┼──────┼──────┼──────┼──────┼──────┼──────┼──────┼──────┼──────┼──────┤
│-30│1,1582│1,1646│1,1709│1,1772│1,1836│1,1899│1,1963│1,2026│1,2058│1,2122│
│-26│1,1393│1,1456│1,1519│1,1581│1,1644│1,1705│1,1763│1,1831│1,1862│1,1925│
│-22│1,1212│1,1274│1,1336│1,1396│1,1458│1,1519│1,1581│1,1643│1,1673│1,1735│
│-18│1,1036│1,1097│1,1159│1,1218│1,1278│1,1338│1,1399│1,1460│1,1490│1,1551│
│-14│1,0866│1,0926│1,0986│1,1045│1,1105│1,1164│1,1224│1,1284│1,1313│1,1373│
│-10│1,0701│1,0760│1,0819│1,0877│1,0986│1,0994│1,1053│1,1112│1,1141│1,1200│
│-06│1,0640│1,0599│1,0657│1,0714│1,0772│1,0829│1,0887│1,0945│1,0974│1,1032│
│-02│1,0385│1,0442│1,0499│1,0556│1,0613│1,0669│1,0726│1,0784│1,0812│1,0869│
│0 │1,0309│1,0366│1,0423│1,0477│1,0535│1,0591│1,0648│1,0705│1,0733│1,0789│
│+02│1,0234│1,0291│1,0347│1,0402│1,0459│1,0514│1,0571│1,0627│1,0655│1,0712│
│+06│1,0087│1,0143│1,0198│1,0253│1,0309│1,0363│1,0419│1,0475│1,0502│1,0557│
│+10│0,9944│0,9990│1,0054│1,0108│1,0162│1,0216│1,0272│1,0326│1,0353│1,0407│
│+14│0,9806│0,9860│0,9914│0,9967│1,0027│1,0074│1,0128│1,0183│1,0209│1,0263│
│+18│0,9671│0,9725│0,9778│0,9880│0,9884│0,9936│0,9989│1,0043│1,0069│1,0122│
│+20│0,9605│0,9658│0,9711│0,9783│0,9816│0,9868│0,9921│0,9974│1,0000│1,0053│
│+22│0,9539│0,9592│0,9645│0,9696│0,9749│0,9800│0,9853│0,9906│0,9932│0,9985│
│+24│0,9475│0,9527│0,9579│0,9631│0,9683│0,9735│0,9787│0,9839│0,9865│0,9917│
│+26│0,9412│0,9464│0,9516│0,9566│0,9618│0,9669│0,9721│0,9773│0,9755│0,9851│
│+28│0,9349│0,9401│0,9453│0,9503│0,9955│0,9605│0,9657│0,9708│0,9734│0,9785│
│+30│0,9288│0,9339│0,9391│0,9440│0,9432│0,9542│0,9594│0,9646│0,9670│0,9723│
│+34│0,9167│0,9218│0,9268│0,9318│0,9368│0,9418│0,9468│0,9519│0,9544│0,9595│
│+38│0,9049│0,9099│0,9149│0,9198│0,9248│0,9297│0,9347│0,9397│0,9421│0,9471│
└───┴──────┴──────┴──────┴──────┴──────┴──────┴──────┴──────┴──────┴──────┘
Приложение 3
Не приводится