Главная // Актуальные документы // Методические указанияСПРАВКА
Источник публикации
М., 1995
Примечание к документу
Название документа
"Методические указания. Определение содержания стронция-90 в почвах и растениях радиохимическим методом"
(утв. Минсельхозпродом России 09.02.1995)
"Методические указания. Определение содержания стронция-90 в почвах и растениях радиохимическим методом"
(утв. Минсельхозпродом России 09.02.1995)
Заместитель министра сельского
хозяйства и продовольствия
А.Г.ЕФРЕМОВ
9 февраля 1995 года
Согласовано
Директор Центра метрологии
ионизирующих излучений
ГП ВНИИФТРИ Госстандарта
Российской Федерации
В.П.ЯРЫНА
16 января 1995 года
МЕТОДИЧЕСКИЕ УКАЗАНИЯ
ОПРЕДЕЛЕНИЕ СОДЕРЖАНИЯ СТРОНЦИЯ-90 В ПОЧВАХ И РАСТЕНИЯХ
РАДИОХИМИЧЕСКИМ МЕТОДОМ
В методических указаниях приведены методики отбора проб почвы и растений, их пробоподготовки к радиохимическому анализу, радиохимические методы определения 90Sr. Изложены методики определения химического выхода стабильного стронция, а также определения химического выхода 90Sr по его радиоактивной метке 85Sr.
Кроме того в методических указаниях приведены способы приготовления эталонных препаратов 90Sr с целью калибровки радиометрической аппаратуры.
При подготовке методических указаний нами использованы материалы ранее действующих методических
указаний по определению содержания
90Sr и
137Cs в почвах и растениях
[1], сборника "Инструкции и методические указания по оценке радиационной обстановки на загрязненной территории
[2], методики экспрессного определения объемной и удельной активности бета-излучающих нуклидов в воде, продуктах питания, продукции растениеводства и животноводства методом "прямого" измерения "толстых" проб
[3] и результаты оригинальной работы Якшина В.В., Вилковой О.М., Мясоедова Б.Ф. и др.
[4].
Методические указания предназначены для специалистов Государственных центров и станций агрохимической службы Минсельхозпрода Российской Федерации, а также для других учреждений, занимающихся вопросами радиологического контроля объектов окружающей среды.
Методические указания подготовили: кандидат химических наук Орлов П.М., кандидат химических наук, доцент Кузнецов А.В., старший научный сотрудник Мулланурова Г.Р.
1. Методы отбора проб почв и растений и подготовка их к анализу.
1.1. Общие положения.
По настоящей методике следует проводить отбор проб почвы и растений с целью радиологического контроля сельскохозяйственных угодий и растений в районах, подвергшихся радиоактивному загрязнению от аварий на АЭС и предприятиях ЯТЦ, а также при отборе проб на контрольных и реперных участках с целью радиологического контроля незагрязненных радионуклидами территорий.
Термины и определения, используемые в данной методике даны в
приложении 1.
1.2. Оборудование и средства измерений.
1.2.1. Оборудование:
- печь муфельная лабораторная типа МП-24 по ТУ 10-531.098-67;
- лоток из нержавеющей стали;
- металлическое кольцо диаметром 140 мм и высотой 50 мм;
- пробоизмельчитель ПП-2 или почвенная мельница;
- сита почвенные, комплект;
- шкаф сушильный термостатируемый;
- лопата;
- фарфоровые чашки диаметром 140 мм.
1.2.2. Средства измерений:
- весы лабораторные с наибольшим пределом взвешивания 5 кг III класса точности по ГОСТ 24104-88;
- измеритель мощности экспозиционной дозы гамма-излучения с измерением потока гамма-излучения в пределах от 0 до 10000 с-1 и мощности экспозиционной дозы в пределах от 0 до 3000 мкР/час.
1.3. Методы отбора проб почв.
Отбор проб почв в соответствии с ОСТ 10 070-95.
1.4. Методы отбора проб растений.
1.4.1. Отбор проб растений с полей.
Пробы растений отбираются на тех же участка, что и пробы почвы. С посевов сельскохозяйственных культур следует брать пробы по диагонали или ломаной кривой.
Для получения объединенной пробы растений массой 1 кг натуральной влажности рекомендуется отбирать не менее 10 точечных проб.
Наземную часть травяного покрова срезают острым ножом или ножницами на высоте 3 - 4 см над поверхностью почвы, не засоряя почвой укладывают на полиэтиленовую пленку или крафт-бумагу. Если нижняя часть растений загрязнена почвой, то в этом случае нужно срезать растение выше, либо тщательно отмыть их водой.
Объединенную пробу составляют либо из всего растения, либо раздельно - стеблей, листьев, плодов, зерна, корнеплодов. Объединенную пробу упаковывают в плотную бумагу и снабжают сопроводительным талоном
(приложение 3). Номер растительного образца должен соответствовать номеру почвенного образца.
1.4.2. Отбор проб зерна.
1.4.2.1. Отбор проб зерна из автомобилей проводится механическим пробоотборником или вручную щупом. Из автомобилей с длиной кузова до 3,5 м точечные пробы зерна отбирают в 4 точках по
схеме А, с длиной кузова от 3,5 до 4,5 м - в 6 точках по
схеме Б, с длиной кузова более 4,5 м в 8 точках по
схеме В. Пробы отбирают на расстоянии от 0,5 до 1 м от переднего и заднего бортов и на расстоянии 0,5 м от боковых бортов.
| | |
X X | X X X | X X X X |
X X | X X X | X X X X |
Механическим пробоотборником точечные пробы отбирают по всей глубине насыпи зерна. Ручным щупом точечные пробы отбирают из верхнего и нижнего слоев, касаясь щупом дна. В автопоездах точечные пробы отбирают из каждого кузова (прицепа).
Общая масса точечных проб по
схеме А должна быть не менее 1 кг, по
схеме Б - не менее 1,5 кг и по
схеме В - не менее 2 кг.
Если общая масса будет менее указанной, то отбирают дополнительные пробы в тех же точках в среднем слое насыпи.
1.4.2.2. Отбор точечных проб при погрузке (выгрузке) зерна.
Точечные пробы при погрузке (выгрузке) зерна в вагоны, суда, склады и элеваторы отбирают из струи перемещаемого зерна в местах перепада механическим пробоотборником или специальным ковшом путем пересечения струи через равные промежутки времени в течение всего периода перемещения партии. Периодичность отбора точечных проб устанавливают в зависимости от скорости перемещения, а также состояния засоренности. Масса одной точечной пробы должна быть не менее 100 г.
1.4.2.3. Отбор точечных проб зерна из мешков.
Объем выборки точечных проб зерна зависит от количества мешков в партии и определяется в соответствии с
таблицей 1.
Таблица 1.
Объем выборки в зависимости от количества мешков в партии
Количество мешков в партии | Объем выборки |
До 10 включительно | Из каждого второго мешка |
От 10 до 100 включительно | Из пяти мешков плюс 5% от количества мешков в партии |
Более 100 | Из 10 мешков плюс 2,5% от количества мешков в партии |
Из зашитых мешков точечные пробы отбирают мешочным щупом в трех доступных точках мешка. Общая масса точечных проб должна быть не менее 2 кг.
1.4.2.4. Составление объединенной пробы.
Объединенную пробу получают как совокупность точечных проб. Все точечные пробы ссыпают в чистую тару, исключающую изменения качества зерна.
При использовании механического пробоотборника при отборе проб из автомобилей точечные пробы смешиваются в процессе отбора и образуется объединенная проба.
1.4.2.5. Формирование среднесуточной пробы при доставке зерна автомобильным транспортом.
При поступлении зерна от одного колхоза, совхоза или фермерского хозяйства в течение суток несколько однородных партий зерна, а также кукурузы в початках формируют среднесуточную пробу.
Среднесуточную пробу формируют на делителе из объединенных проб, отобранных с каждого автомобиля из расчета 50 г на каждую тонну доставленного зерна.
Среднесуточную пробу хранят в чистой герметичной емкости, на которой должны быть указаны: наименование хозяйства, номер бригады, культура, сорт, дата. Общая масса точечных проб первого автомобиля во всех случаях должна быть не менее 2 кг и полностью использоваться для формирования среднесуточной пробы.
1.4.2.6. Выделение средней пробы.
Масса средней пробы должна быть 2,0 +/- 0,1 кг. Если масса объединенной пробы не более 2,0 + 0,1 кг, то она одновременно является и средней пробой. Если масса объединенной или среднесуточной пробы превышает указанную величину, то выделение средней пробы проводят на делителе, а при отсутствии делителя, вручную.
Для этого объединенную пробу высыпают на стол с гладкой поверхностью, распределяют зерно в виде квадрата и смешивают его при помощи двух коротких деревянных планок со скошенным ребром. Смешивание проводят так, чтобы зерно, захваченное с противоположных сторон квадрата на планке в правой и левой руках, ссыпалось в середину одновременно, образуя после нескольких перемешиваний валик. Затем зерно захватывают с концов валика и одновременно с обеих планок ссыпают в середину. Такое перемешивание проводят три раза. После трехкратного перемешивания объединенную пробу снова распределяют ровным слоем в виде квадрата и планкой делят по диагоналям на 4 треугольника. Из двух противоположных треугольников зерно удаляют, а в двух оставшихся собирают вместе, перемешивают указанным способом и вновь делят на 4 треугольника, из которых 2 делят до тех пор, пока в двух треугольниках не будет 2,0 +/- 0,1 кг зерна, которое и составит среднюю пробу.
1.4.3. Отбор проб корнеплодов, клубнеплодов и картофеля.
Пробы клубнеплодов и корнеплодов отбирают из буртов, насыпей, куч, автомашин, прицепов, вагонов, барж, хранилищ и т.д.
Точечные пробы отбирают по диагонали боковой поверхности бурта, насыпи, кучи или средней линии кузова машины, прицепа, вагона, баржи и т.д. через равные расстояния на глубине 20 - 30 см. Клубни и корнеплоды берут в трех точках подряд (без выбора) вручную.
Каждая точечная проба должна быть массой примерно 1 - 1,5 кг.
Объединяя точечные пробы, получают объединенную пробу.
Среднюю пробу для анализа выделяют из объединенной, масса ее должна быть не менее 2 кг. Для этого объединенную пробу сортируют по величине на 3 группы: крупные, средние и мелкие. От каждой группы отбирают 20% корнеплодов, объединяют их, затаривают, снабжают этикеткой и направляют в лабораторию
(приложение 3).
1.4.4. Отбор проб травы и зеленой массы сельскохозяйственных культур.
Пробы травы с пастбищ и сенокосных угодий отбирают непосредственно перед выпасом животных или скашиванием на корм. Для чего на выбранном для отбора проб участке выделяют 8 - 10 учетных площадок размером 1 или 2 м2, располагая их по диагонали участка. Травостой скашивают (срезают) на высоте 1 - 3 см.
От зеленой массы, доставленной на фермы для непосредственного скармливания животным или для приготовления силоса, сенажа, искусственно высушенных кормов, точечные пробы берут вручную не менее чем из 10 разных мест порциями 400 - 500 г.
Полученную со всех точечных проб или учетных площадок зеленую массу собирают на полог, тщательно перемешивают и распределяют ровным слоем, получая таким образом объединенную пробу.
Из объединенной пробы зеленой массы отбирают среднюю пробу для анализа. Для составления средней пробы, масса которой должна быть 1,5 - 2 кг, траву берут порциями из 10 различных мест.
1.4.5. Отбор проб грубых кормов.
Точечные пробы из партий сена или соломы, хранящихся в скирдах, стогах, отбирают по периметру на равных расстояниях друг от друга на высоте 1,0 - 1,5 м от поверхности земли со всех доступных сторон с глубины не менее 0,5 м.
Из точечных проб составляют объединенную пробу массой не менее 2 кг. Для этого точечные пробы складывают тонким слоем (3 - 4 см) на брезенте или пленке и осторожно перемешивают не допуская ломки растений и образования трухи.
Из объединенной пробы сена отбирают среднюю пробу для анализа. Для этого не менее чем из 10 различных мест по всей площади и толщине слоя отбирают пучки сена массой 60 - 120 г. Отобранную среднюю пробу массой не менее 1 кг упаковывают в плотную бумагу или полиэтиленовый пакет, туда же помещают этикетку
(приложение 3).
1.4.6. Отбор проб других видов продукции растениеводства.
Методы отбора проб других видов растениеводства, не упомянутых в настоящих методических указаниях, аналогичны описанным. Так, например, методы отбора всех видов круп, бобовых, семян аналогичны методам отбора зерна. Яблоки, помидоры, баклажаны и т.п. отбирают согласно методам отбора корнеплодов.
Из небольших партий продукции (ягоды, зелень и т.п.) точечные пробы берутся в 4 - 5 местах. Объединенная проба по массе и объему не должна превышать трехкратного количества необходимого для анализа.
1.5. Подготовка проб почв и растений к радиохимическому анализу.
1.5.1. Подготовка проб почв, отобранных на непахотных сельскохозяйственных угодиях.
Из 5 колец, отобранных на непахотных сельскохозяйственных угодиях, для радиохимического анализа выбирается проба наиболее близкая по суммарной бета-активности или содержанию 137Cs к среднему значению. Пробу вынимают из кольца, взвешивают целиком с растительным покровом, высушивают до воздушно-сухого состояния и снова взвешивают. Пробу прокаливают целиком при температуре 550 °C в течение 6 - 8 часов до полного удаления органического вещества. Периодически пробу вынимают из печи и перемешивают. Прокаленную почву взвешивают и определяют коэффициент озоления. Методом квартования отбирают 3 навески массой 100 г. При анализе проб почвы контрольных и реперных участков, находящихся на незагрязненной территории, отбирают 1 навеску массой 200 г.
Измеряют бета-активность отобранных проб. Проба считается хорошо гомогенизированной, если результаты измерений суммарной бета-активности не различаются более, чем в 1,5 раза от среднего значения. Если различия превышают указанную величину, то повторяют перемешивание и квартование.
Для радиохимического анализа отбирают навеску 50 - 100 г при анализе почвы загрязненной территории и 200 г - для незагрязненной территории.
1.5.2. Подготовка проб почв, отобранных на пахотных сельскохозяйственных угодиях.
Объединенную пробу массой 2 кг высушивают до воздушно-сухого состояния, взвешивают, измельчают на мельнице и просеивают через сито диаметром отверстий 2 мм.
Методом квартования отбирают 3 навески массой 50 - 100 г. При анализе проб контрольных и реперных участков, находящихся на незагрязненной территории, отбирают 1 навеску массой 200 г. Измеряют суммарную бета-активность. Если результаты измерений различаются более, чем в 1,5 раза от среднего значения, то повторяют перемешивание и квартование до получения хорошо гомогенизированной пробы, удовлетворяющей указанному условию.
Для озоления берут навеску, суммарная бета-активность которой наиболее близка к среднему значению. Озоление проводят при температуре 550 °C в течение 6 часов. Озоленная таким образом проба поступает на радиохимический анализ.
| | ИС МЕГАНОРМ: примечание. Нумерация пунктов дана в соответствии с официальным текстом документа. | |
1.5.4. Подготовка проб растений.
Среднюю пробу продукции растениеводства измельчают и отбирают навеску массой 200 г методом квартования. Отобранную пробу озоляют в лотке из нержавеющей стали, сначала при температуре 200 °C, а затем при температуре 550 °C до получения постоянной массы золы.
Второе озоление, так называемой "белой золы" проводят в фарфоровой чашке при температуре 600 °C. Вся операция озоления может длиться несколько суток.
Полученную золу взвешивают. Коэффициент озоления (отношение массы "белой золы" к массе воздушно-сухой пробы растения) записывают в журнал. Полученная зола поступает на радиохимический анализ.
2. Радиохимические методы выделения 90Y и 90Sr.
2.1. Оксалатный метод выделения
90Y.
2.1.1. Сущность метода.
Метод основан на переводе в раствор 90Sr путем обработки озоленной почвы или золы растения раствором 6 моль/дм3 HCl при нагревании.
Радиохимическое выделение радиохимически чистого 90Y осуществляется путем последовательного проведения следующих химических операций:
- введение фиксированного количества носителя стабильного стронция с целью определения его химического выхода на конечной стадии выделения;
- оксалатного осаждения стронция, иттрия и редкоземельных элементов при pH = 4. На этой стадии происходит отделение стронция, иттрия и редкоземельных элементов от цезия и других щелочных металлов, железа, алюминия, магния;
- прокаливанием осадка оксалатов добиваются перевода оксалатов стронция и иттрия в оксиды металлов;
- обработка прокаленного осадка соляной кислотой переводит стронций и иттрий в раствор;
- отделение стронция от иттрия и мешающих бета-излучающих радионуклидов осуществляется путем соосаждения последних на гидроксиде железа. При этом стронций остается в растворе. Используемая на этой стадии анализа перекись водорода необходима для перевода железа в степень окисления +3, а марганца +4. Таким образом, при соосаждении с гидроксидом железа происходит разделение изотопов 90Y и 90Sr. С этого момента весь образовавшийся 90Y будет являться продуктом распада 90Sr. По истечении пяти периодов полураспада 90Y (14 дней) наступает вековое равновесие т.е. активность дочернего изотопа будет равняться активности материнского. В результате чего, становится возможным определение 90Sr по его дочернему 90Y.
Дальнейшие радиохимические операции гидроксидной очистки и оксалатного осаждения иттрия выполняют задачу получения 90Y в радиохимически чистом состоянии на мишени, пригодной для бета-радиометрии.
С целью учета при проведении химических операций предусмотрен контроль за химическим выходом стабильного иттрия и его определение на конечной стадии анализа.
При анализе образцов, содержащих "свежие выпадения" необходима дополнительная очистка от 140Ba. Эта задача решается путем осаждения хромата бария в кислой среде, при этом стронций остается в растворе. Спустя 4 месяца после радиоактивного загрязнения (момента "Д") необходимость в очистке отпадает из-за физического распада 140Ba.
Расчет содержания 90Sr в анализируемых образцах проводят по формуле:

, (1)
где

- удельная активность
90Sr в анализируемом образце, Бк/кг;
m - масса анализируемого образца в воздушно-сухом состоянии, кг.
2.1.2. Средства измерений, оборудование, посуда, реактивы.
Средства измерений:
- пламенный фотометр типа ПАЖ-1 или атомно-абсорбционный спектрофотометр типа АА-1;
- весы лабораторные по ГОСТ 2408-84, погрешность взвешивания 0,2 мг, 2 класс точности;
- весы лабораторные технические типа ВЛТК-500.
Оборудование:
- шкаф сушильный термостатируемый;
- печь муфельная лабораторная типа МП-24 по ТУ 10-531.098-67;
- электроплитка с температурой нагрева не менее 120 °C по ГОСТ 14913-33E;
- лампа инфракрасная типа ДРЛ-50;
| | ИС МЕГАНОРМ: примечание. В официальном тексте документа, видимо, допущена опечатка: имеется в виду ГОСТ 25336-82, а не ГОСТ 6709-72. | |
- шланги вакуумные с внутренним диаметром 6 мм;
- бумага фильтровальная "белая, синяя и красная лента";
- индикаторная бумага pH = 1 - 14.
Посуда:
- пипетки 1, 5 и 10 см3;
- колбы 50, 100, 250, 500 и 1000 см3;
- цилиндры 25, 100 и 500 см3;
посуда стеклянная термостойкая:
- стаканы по
ГОСТ 25336-82 вместимостью 100, 200, 500 и 1000 см
3;
- колбы конические по
ГОСТ 1770-74 вместимостью 500 и 1000 см
3;
- колбы круглые плоскодонные, широкогорлые по
ГОСТ 1770-74 вместимостью 500, 1000 и 2000 см
3
| | ИС МЕГАНОРМ: примечание. Взамен ГОСТ 9147-73 Постановлением Госстандарта СССР от 28.10.1980 N 5174 с 01.01.1982 введен в действие ГОСТ 9147-80. | |
- посуда фарфоровая по ГОСТ 9147-73;
- чашки выпаривательные диаметром 15 и 20 см;
- тигли вместимостью 100 и 200 см3;
- воронка Бюхнера диаметром 10 и 15 см;
- ступка с пестиком.
Реактивы:
- раствор соляной кислоты концентрации 6 моль/дм3 готовят: 545 см3 концентрированной соляной кислоты плотностью 1,17 г/см3 в мерной колбе вместимостью 1000 см3 разбавляют дистиллированной водой до метки;
- раствор соляной кислоты концентрации 2 моль/дм3 готовят: 182 м3 концентрированной соляной кислоты плотностью 1,17 г/см3 в мерной колбе вместимостью 1000 см3 разбавляют дистиллированной водой до метки;
- раствор соляной кислоты концентрации 0,3 моль/дм3 готовят: 27,3 см3 концентрированной соляной кислоты плотностью 1,17 г/см3 в мерной колбе вместимостью 1000 см3 разбавляют дистиллированной водой до метки;
- раствор соляной кислоты концентрации 0,1 моль/дм3 готовят: 9,1 см3 концентрированной соляной кислоты плотностью 1,17 г/см3 в мерной колбе вместимостью 1000 см3 разбавляют дистиллированной водой до метки;
| | ИС МЕГАНОРМ: примечание. Взамен ГОСТ 4108-65 Постановлением Госстандарта СССР от 13.04.1972 N 746 с 01.07.1973 введен в действие ГОСТ 4108-72. | |
- барий хлористый по ГОСТ 4108-65, хч;
- иттрий азотнокислый 6-водный, готовят прокаливанием азотнокислого иттрия при температуре 700 °C в течение 1 часа;
- спирт этиловый ректификованный по ТУ 6-09-1710-77, хч;
- стронций азотнокислый по ГОСТ 5429-74, чда;
- образцовый радиоактивный раствор 90Sr + 90Y по ТУ 4-170-71;
| | ИС МЕГАНОРМ: примечание. Здесь и далее в официальном тексте документа, видимо, допущена опечатка: стандарт имеет номер ГОСТ 4461-77 (СТ СЭВ 3855-82), а не ГОСТ 4451-77. | |
- раствор азотной кислоты концентрации 0,3 моль/дм3 готовят: 21,7 см3 концентрированной азотной кислоты в мерной колбе вместимостью 100 см3 разбавляют дистиллированной водой до метки.
Приготовление титрованных растворов:
- титрованный раствор, содержащий 50 мг стронция (II) в 1 см3 готовят: 30,202 г соли азотнокислого стронция растворяют в мерной колбе вместимостью 250 см3 при добавлении 5 см3 6 моль/дм3 соляной кислоты и доводят объем до метки дистиллированной водой;
- титрованный раствор, содержащий 50 мг иттрия в 1 см3 готовят: 25,0 г окиси иттрия растворяют в мерной колбе вместимостью 500 см3 растворяют в соляной кислоте концентрации 6 моль/дм3 и доводят дистиллированной водой до метки.
2.1.3. Ход анализа.
2.1.3.1. Извлечение 90Sr из озоленной почвы или золы растений:
- навеску озоленной почвы массой 50 - 100 г (при обследовании загрязненной территории) или 200 г (при работе с образцами почв, отобранных на контрольных или реперных участках), или золы растений, соответствующей массе растения, взятой при пробоподготовке, помещают в широкогорлую коническую термостойкую колбу вместимостью 1 дм3;
- вносят 5 см3 титрованного раствора стронция (II) с титром 50 г/см3;
- навеску заливают 200 см3 6 моль/дм3 раствора HCl и кипятят в течение 30 мин. на плитке с закрытой спиралью, накрыв колбу часовым стеклом;
- отстоявшийся раствор фильтруют через фильтр "белая лента" на воронке Бюхнера (только декантат), фильтр сохраняют;
- к остатку вновь приливают 200 см3 6 моль/дм3 HCl и кипятят 30 мин;
- суспензию фильтруют на воронке Бюхнера, нерастворяющийся осадок промывают горячей дистиллированной водой (200 - 300 см3) и отбрасывают;
- полученный фильтрат объединяют с первым.
2.1.3.2. Оксалатное осаждение:
- в фильтрат вносят 40 - 50 г аммония щавелевокислого (оксалата) и нагревают до кипения, затем нагрев прекращают и раствор нейтрализуют гидроксидом аммония до pH = 4. Кислотность контролируют при помощи индикаторной бумаги. В течение 1 часа при подогреве дают сформироваться осадку оксалатов. Полноту осаждения проверяют добавлением в верхнюю часть надосадочной жидкости 1 - 2 см3 насыщенного раствора щавелевой кислоты. Если при этом не наблюдается помутнение раствора, то осаждение оксалатов проведено нацело;
- раствор с осадком, не охлаждая, фильтруют через бумажный фильтр "белая лента". Осадок на фильтре промывают 2 - 3 раза 2%-ным раствором щавелевой кислоты;
- осадок на фильтре растворяют в 100 см3 6 моль/дм3 раствора соляной кислоты, собирая раствор в стакан вместимостью 800 см3, промывают фильтр горячим раствором 2 моль/дм3 HCl и проводят повторное осаждение оксалатов, нейтрализуя раствор аммиаком до pH = 4;
- осадок оксалатов отфильтровывают, промывают дистиллированной водой, фильтрат отбрасывают.
2.1.3.3. Перевод оксалатов в оксиды:
- фильтр с осадком переносят в тигель или фарфоровую чашку, подсушивают на электроплитке и затем помещают в муфельную печь. Осадок прокаливают при температуре 700 °C в течение 1 часа;
- прокаленный осадок охлаждают и количественно переносят в термостойкий стакан вместимостью 500 см3 и осторожно приливают 50 см3 6 моль/дм3 HCl, растворяя оксиды;
- раствор фильтруют, осадок на фильтре промывают 2 моль/дм3 HCl и фильтр с нерастворившимся осадком отбрасывают.
2.1.3.4. Гидроксидная очистка с разделением 90Sr от 90Y:
- фильтрат разбавляют водой до объема 200 см3 и доводят до кипения. В горячий раствор вносят приблизительно 50 мг соли хлорида железа. Небольшими порциями вносят очищенный от углекислого газа гидроксид аммония до образования осадка гидроксида железа (pH = 8 - 9). Кислотность контролируют при помощи индикаторной бумаги;
- к раствору с осадком добавляют 10 см3 30%-ного раствора перекиси водорода. Раствор нагревают, доводят до кипения и кипятят в течение 10 - 15 минут, добавляют еще 5 см3 перекиси водорода и вновь подогревают в течение 10 минут. Контролируют кислотность с помощью индикаторной бумаги (pH = 8 - 9), при необходимости корректируют pH аммиаком;
- осадок быстро фильтруют на воронке Бюхнера под вакуумом через бумажный фильтр "красная лента", 2 раза промывают горячим раствором хлорида аммония с массовой долей 1%, предварительно добавив в него 2 - 3 капли гидроксида аммония. Осадок отбрасывают.
Время окончания первой промывки фиксируют в рабочем журнале с точностью до 1 часа, для отсчета 14 суток для накопления 90Y.
2.1.3.5. Осаждение карбонатов:
- фильтрат кипятят для окончательного удаления перекиси водорода в течение 20 минут, и в щелочной среде (pH = 8 - 9) осаждают карбонаты щелочноземельных элементов путем добавления насыщенного раствора углекислого аммония. При отсутствии углекислого аммония допускается использование углекислого натрия. Добавлением 1 - 2 капель насыщенного раствора карбоната аммония проверяют полноту осаждения;
- осадок отфильтровывают на воронке Бюхнера под вакуумом через бумажный фильтр "синяя лента", промывают водой, фильтрат отбрасывают.
2.1.3.6. Осаждение хромата бария.
Данный пункт выполняется при наличии в анализируемом образце
140Ba, спустя 4 месяца после радиоактивного загрязнения необходимость проведения данной операции отпадает. В этом случае при анализе следует сразу переходить от
п. 2.1.3.5. к
п. 2.1.3.7.
- осадок карбонатов растворяют в минимальном объеме 6 моль/дм3 HCl. Раствор разбавляют водой до 50 см3, прибавляют раствор BaCl2 (17,8 мг BaCl2·2 H2O в 10 см3 воды), каплю индикатора метилоранжевого и нейтрализуют разбавленным 1:1 раствором гидроксида аммония до изменения окраски. Избыток гидроксида аммония нейтрализуют раствором 2 моль/дм3 HCl и прибавляют 1 лишнюю каплю кислоты. Далее прибавляют равный объем раствора ацетата аммония с массовой долей ацетата аммония 30%. Нагревают до температуры 90 °C и прибавляют 1 см3 раствора бихромата аммония с массовой долей 10%, помешивая смесь стеклянной палочкой. После охлаждении осадок отфильтровывают через бумажный фильтр "синяя лента" и промывают 10 см3 раствора ацетата аммония с массовой долей ацетата аммония 0,5%. Осадок отбрасывают.
- фильтрат нагревают и повторяют осаждение хромата бария. В фильтрат вносят 17,8 мг BaCl2·2 H2O, растворенных в 10 см3 воды и добавляют 1 см3 раствора бихромата аммония с массовой долей 10%. Осадок отфильтровывают, промывают и отбрасывают;
- к фильтрату добавляют гидроксид аммония до щелочной реакции (pH = 8 - 9 по индикаторной бумаге), нагревают почти до кипения и осаждают карбонаты, добавлением насыщенного раствора углекислого аммония. Добавлением 1 - 2 капель насыщенного раствора углекислого аммония проверяют полноту осаждения карбонатов. Затем осадок с раствором кипятят в течение 20 - 30 минут. При отсутствии карбоната аммония допускается использование карбоната натрия;
- осадок отфильтровывают на воронке Бюхнера под вакуумом через бумажный фильтр "синяя лента", промывают водой, фильтрат отбрасывают.
2.1.3.7. Перевод
90Sr в раствор для накопления
90Y.
- осадок на фильтре растворяют в 20 см
3 6 моль/дм
3 HCl, раствор количественно переносят в мерную колбу, вместимостью 50 см
3, доводят дистиллированной водой до метки, тщательно перемешивают (15 опрокидываний при закрытой пробке), отбирают аликвоту 1 см
3, переносят ее во вторую мерную колбу вместимостью 50 см
3 и разбавляют водой до метки. Во второй колбе определяют общее содержание стронция (в соответствии с
разделом 2.1.4.).
2.1.3.8. Выделение 90Y в виде оксалата иттрия:
- через 14 суток раствор из колбы переносят в термостойкий стакан, кипятят 20 - 30 минут для удаления CO2 и осаждают гидроксид иттрия очищенным от карбонат-иона гидроксидом аммония. Время отделения 90Y от 90Sr записывают в журнал с точностью до 10 минут. Фильтрат целесообразно сохранять до конца анализа;
- осадок на фильтре растворяют в 10 - 15 см3 2 моль/см3 HCl, в раствор вносят 0,1 см3 раствора стабильного стронция (10 мг) и повторяют осаждение иттрия аммиаком;
- осадок отфильтровывают через фильтр "синяя лента". Фильтр отбрасывают;
- осадок на фильтре растворяют в минимальном количестве 0,3 моль/дм3 HCl, добавляя порциями по 2 см3, ею же промывают 2 раза бумажный фильтр;
- нагревают раствор до кипения и вносят равный по объему насыщенный раствор щавелевой кислоты;
- при необходимости корректируют кислотность гидроксидом аммония;
- осадок оксалата иттрия фильтруют через бумажный фильтр "синяя лента", промывают небольшим количеством горячей воды, фильтр отбрасывают;
2.1.3.9. Получение оксида иттрия:
- фильтр с осадком осторожно переносят в предварительно взвешенный и доведенный до постоянного веса фарфоровый тигель, подсушивают на электроплитке и прокаливают в муфельной печи при температуре 700 - 800 °C;
- охлаждают тигель в эксикаторе до комнатной температуры, взвешивают, рассчитывают химический выход иттрия по формуле:

, (2)
где WY - химический выход иттрия;
m - масса оксида иттрия, мг.
2.1.3.10. Приготовление счетного образца:
- этиловым спиртом переносят осадок на алюминиевую подложку, осадок на подложке осторожно выравнивают стеклянной палочкой, добавляя по каплям ректификованный этиловый спирт, сушат под инфракрасной лампой. Подготовленный таким образом препарат поступает на радиометрию.
2.1.4. Определение химического выхода стабильного стронция.
Определение стронция в растворе осуществляется по атомно-резонансной полосе поглощения с длиной волны 460,7 нм (атомно-абсорбционным методом) или по молекулярной полосе поглощения 670 нм (пламенной фотометрией). На пламенном фотометре стронций, как правило, определяют с помощью литиевого светофильтра, пропускающего свет с длиной волны 670 нм.
2.1.4.1. Подготовка к анализу.
Метод определения стронция в растворе с помощью атомной адсорбции или пламенной фотометрии является относительным. Поэтому, для того чтобы узнать концентрацию стронция в растворе, необходимо предварительно прокалибровать шкалу прибора, путем измерения серии растворов с известной концентрацией стронция. С этой целью готовят серию растворов сравнения. Диапазон градуировочных концентраций должен охватывать интервал, в котором находится искомая концентрация стронция.
При химическом выходе стронция равным 100% концентрация стронция в растворе, взятом для определения химического выхода (см.
п. 2.1.3.7.), составляет 0,1 мг/см
3.
Для приготовления исходного раствора указанной концентрации следует взять 118 мг азотнокислого стронция и растворить в 100 см3 2 моль/дм3 раствора азотной кислоты в мерной колбе вместимостью 500 см3, а затем довести объем раствора дистиллированной водой до метки и тщательно перемешать.
Используя этот рабочий раствор, готовят серию эталонных растворов для калибровки.
В семь мерных колб емкостью 100 см
3 вносят исходный рабочий раствор в соответствии с
таблицей 2. Объемы растворов в колбах доводят до метки дистиллированной водой и тщательно перемешивают.
Таблица 2
Данные для приготовления эталонных растворов.
Показатели | Номера колб |
1 | 2 | 3 | 4 | 5 | 6 | 7 |
Объем исходного раствора | 100 | 80 | 60 | 40 | 20 | 10 | 5 |
Концентрация мг/см3 | 0,1 | 0,08 | 0,06 | 0,04 | 0,02 | 0,01 | 0,005 |
При анализе почв, содержащих более 20 мг-экв. Ca на 100 г почвы, в исходный раствор целесообразно внести Ca (II) в количестве, соответствующем его среднему содержанию в анализируемых пробах.
В соответствии с инструкцией по работе на пламенном фотометре или на атомно-абсорбционном спектрофотометре проводят фотометрирование приготовленных эталонных растворов. По данным измерений строят калибровочный график в системе координат показания прибора - концентрация стронция в растворе.
Затем при тех же установочных параметрах проводят измерение реальных анализируемых растворов с неизвестной концентрацией стронция. Предварительно перед измерением каждого нового раствора проверяют установочный ноль, путем пропускания через эжектор дистиллированной водой. По показаниям прибора и градуировочному графику находят концентрацию стронция.
Химический выход стабильного стронция рассчитывают по соотношению:
Wsr = Cx/0,1, (3)
где Wsr - химический выход стабильного стронция;
Cx - концентрация стронция в анализируемом растворе, мг/см3.
2.2. Экспресс-метод определения 90Sr.
2.2.1. Сущность метода.
Экспресс-метод выделения 90Sr основан на извлечении стронция из озоленных почв и золы растений 6 моль/дм3 азотной кислотой, селективной экстракции стронция хлороформенным раствором дициклогексил-18-краун-6 из 4 моль/дм3 азотной кислоты с последующей доочисткой от 137Cs и солеобразующих примесей 2 моль/дм3 азотной кислотой, реэкстракцией горячей водой и осаждением углекислого стронция.
Определение 90Sr проводится путем измерения радиоактивности тонкослойного счетного образца на бета-радиометре.
Расчет содержания 90Sr проводится по формуле:

, (4)
где

- удельная активность анализируемого образца в воздушно-сухом состоянии, Бк/кг;
Wsr = 0,95 - химический выход стронция;
m - масса анализируемого образца в воздушно-сухом состоянии, кг.
2.2.2. Область применения.
Экспресс-метод применим для всех типов почв и видов растений. Метод не обеспечивает разделение 90Sr от 140Ba и не применим при анализе почв и растений, загрязненных свежими выпадениями. Методика также не предусматривает разделение 89Sr и 90Sr.
Так как время жизни 140Ba составляет 128 дней, а время жизни 89Sr - 520 дней (10 периодов полураспада), то использование экспресс-методики возможно спустя 4 месяца после радиоактивного загрязнения (момента "Д"). При этом за период времени 130 - 520 дней по данной методике определяется суммарная бета-активность изотопов 89Sr и 90Sr. Спустя 520 дней возможно определение 90Sr.
2.2.3. Средства измерений, оборудование, посуда, реактивы.
Средства измерений:
- низкофоновый бета-радиометр (с защитным домиком типа РУБ-01ПЗ, УМФ-1500М, КРК-01А);
- весы лабораторные по ГОСТ 2408-84, погрешность взвешивания 0,2 мг, 2 класса точности;
- весы лабораторные технические типа ВЛТК-500;
- контрольные источники 90Sr + 90Y.
Оборудование:
- электроплитка с температурой нагрева не менее 120 °C;
- шланги вакуумные с внутренним диаметром 6 мм;
- бумага фильтровальная "белая и красная лента".
Посуда:
посуда мерная лабораторная стеклянная по
ГОСТ 1770-74 вместимостью:
- пипетки 1 и 10 см3;
- колбы 100 и 1000 см3;
- цилиндры 100 и 500 см3.
посуда стеклянная термостойкая:
- воронки делительные вместимостью 200 и 500 см3.
Реактивы:
- раствор азотной кислоты концентрации 6 моль/дм3 готовят: 433 см3 концентрированной азотной кислоты в мерной колбе вместимостью 1000 см3 разбавляют дистиллированной водой до метки;
- раствор азотной кислоты концентрации 4 моль/дм3 готовят: 289 см3 концентрированной азотной кислоты в мерной колбе вместимостью 1000 см3 разбавляют дистиллированной водой до метки;
- раствор азотной кислоты концентрации 2 моль/дм3 готовят: 145 см3 концентрированной азотной кислоты в мерной колбе вместимостью 1000 см3 разбавляют дистиллированной водой до метки;
| | ИС МЕГАНОРМ: примечание. В официальном тексте документа, видимо, допущена опечатка: стандарт имеет номер ГОСТ 84-76, а не ГОСТ 8476. | |
- натрий углекислый-10-водный по
ГОСТ 8476, чда;
- стронций азотнокислый по ГОСТ 5429-76, чда;
- дициклогексил-18-краун-6 по ТУ 6-022722-85, ч;
- раствор дициклогексил-18-краун-6 в хлороформе с массовой долей 5% готовят: 50 г дициклогексил-18-краун-6 растворяют в 950 г хлороформа;
- хлороформ;
- азотнокислый раствор 85Sr (для определения химического выхода).
2.2.4. Ход анализа.
2.2.4.1. Извлечение 90Sr из озоленной почвы или золы растений:
- навеску озоленной пробы почвы (50 г) или золы растений, соответствующей массе растения, взятой при пробоподготовке, помещают в широкогорлую посуду (термостойкая коническая колба или стакан) вместимостью 500 см3. Навеску заливают 50 см3 6 моль/дм3 раствора азотной кислоты и кипятят в течение 30 минут, накрыв колбу часовым стеклом;
- остывший и отстоявшийся раствор фильтруют через бумажный фильтр "белая лента" на воронке Бюхнера (только декантат). Фильтрат сохраняют;
- к остатку вновь приливают 50 см3 6 моль/дм3 раствора азотной кислоты и кипятят в течение 30 минут, накрыв колбу часовым стеклом;
- остывший раствор вместе с остатком, фильтруют через фильтр на воронке Бюхнера. Нерастворившийся остаток промывают на фильтре 60 см3 горячей дистиллированной водой. Остаток отбрасывают. Полученный фильтрат объединяют с первым. Общий объем фильтрата должен быть 150 - 160 см3.
2.2.4.2. Экстракция 90Sr:
- полученный азотнокислый раствор помещают в делительную воронку вместимостью 500 см3 и приливают 50 см3 хлороформа, перемешивают в течение 1 - 2 минут, разделяют фазы. К азотнокислому раствору вновь прибавляют 50 см3 хлороформа и повторяют операции перемешивания и разделения фаз;
- к азотнокислому раствору, находящемуся в делительной воронке, приливают 25 см3 раствора дициклогексил-18-краун-6 в хлороформе и перемешивают в течение 1 минуты. Фазы разделяют и записывают время разделения с точностью до 10 минут;
- хлороформенную фазу переносят в делительную воронку вместимостью 100 см3 и добавляют 20 см3 раствора 2 моль/дм3 азотной кислоты, перемешивают в течение 2 - 3 минут и разделяют фазы. К хлороформенной фазе вновь приливают 20 см3 2 моль/дм3 азотной кислоты и повторяют перемешивание и разделение фаз.
| | ИС МЕГАНОРМ: примечание. Нумерация пунктов дана в соответствии с официальным текстом документа. | |
2.2.4.4. Реэкстракция 90Sr:
- органическую фазу помещают в делительную воронку, вместимостью 100 см3 и прибавляют 25 см3 горячей дистиллированной воды (температура воды должна быть 70 - 80 °C), перемешивают в течение 2 минут и разделяют фазы. При перемешивании наблюдается газовыделение, поэтому необходимо приоткрыть пробку делительной воронки;
- водную часть помещают в стеклянный стакан вместимостью 200 см3, а хлороформенную в делительную воронку вместимостью 100 см3, вновь добавить 25 см3 горячей дистиллированной воды, перемешать в течение 2 минут и разделить на фазы. Водную фазу объединить с первой порцией, а хлороформенную поместить в делительную воронку и провести реэкстракцию в третий раз по той же методике. Водную фазу объединяют с первыми двумя.
2.2.4.5. Осаждение карбоната стронция:
- в полученный водный раствор вносят 0,2 см3 раствора азотнокислого стронция концентрации 50 мг/см3 по стронцию (II). Далее раствор нейтрализуют гидроксидом аммония до щелочной реакции Среды (pH = 8 - 9) и вносят 1 см3 насыщенного раствора углекислого натрия. Нагревают в течение 10 минут на электроплитке, а затем охлаждают.
2.2.4.6. Приготовление счетного образца:
- раствор фильтруется через фильтр "белая лента" или ядерный фильтр при помощи фильтрационной ячейки, промывается небольшим количеством дистиллированной воды, а затем этиловым спиртом;
- по окончании фильтрации фильтр вынимается из фильтрационной ячейки, высушивается на воздухе и поступает на радиометрию.
3. Радиометрические измерения.
3.1. Назначение и физические основы.
Радиометрические измерения выполняются с целью определения активности радионуклидов 90Sr и 90Y в подготовительных радиохимическим способом счетных образом.
Активность A (Бк) радионуклидов в счетном образце определяется путем измерения скорости счета радиометра при регистрации бета-излучения соответствующего радионуклида из счетного образца при регламентированных условиях, для которых предварительно определена чувствительность радиометра:

(5)
Где n0 = nx - nф;
nx (имп./сек) - скорость счета радиометра при размещении в нем счетного образца;
nф (имп./сек) - фоновая скорость счета радиометра;

(имп./сек, Бк) - аттестованное значение чувствительности радиометра;
Cn - поправка, учитывающая просчеты радиометра (мертвое время) при больших значениях скорости счета;

- поправка, учитывающая отличие условий измерения от условий градуировки радиометра по чувствительности;

- поправка на распад или накопление
90Y для проведения результата к моменту химического выделения радионуклида.
3.2. Требования к средствам измерений.
Для измерений применяется низкофоновый (с защитным домиком) бета-радиометр типа РУБ-01ПЗ, УМФ-1500М, КРК-01А, укомплектованный радионуклидным источником, комплектом стандартных подложек для приготовления счетных образцов и НТД на прибор.
Радиометр подлежит обязательной сертификации (метрологической аттестации) и поверке, выполняемой органом Государственной метрологической службы.
При метрологической аттестации должны быть:
- регламентированы условия выполнения измерений (формы, размеры и геометрия измеряемых счетных образцов);
- установлены метрологические характеристики радиометра (чувствительность для регламентированных условий измерения и погрешность ее определения, параметры для введения необходимых поправок);
- контролируемые параметры радиометра (значения фоновой скорости счета и скорость счета от контрольного источника).
3.3. Требование к счетным образцам.
Для приготовления счетных образцов должны применяться стандартизированные для данного радиометра подложки, предварительно проверенные на отсутствие радиоактивного загрязнения.
Размеры и масса вещества активной части счетного образца должны соответствовать требованиям, установленным при метрологической аттестации радиометра.
3.4. Подготовка радиометра к измерениям.
Включение радиометра и установление рабочего режима производится в порядке, установленном в документации на данный радиометр.
После установления рабочего режима выполняется контроль фоновой скорости счета радиометра nф и скорости счета от контрольного источника nк, проводятся измерения фоновой скорости счета с контрольной стандартной подложкой.
Значение nф и nк (с учетом поправки на распад радионуклида контрольного источника) должны находиться в диапазоне, указанном в свидетельстве о метрологической аттестации (поверке) радиометра.
3.5. Порядок выполнения измерений.
3.5.1. Процедура измерений счетного образца включает:
- оценочное измерение скорости счета от образца с целью выбора экспозиции;
- выполнение с выбранным временем экспозиции симметричного цикла измерений с чередованием измерений фоновой скорости счета радиометра и скорости счета образца.
3.5.2. Время экспозиции

(с) при измерениях счетного образца выбираются в диапазоне 30 - 300 с, исходя из условий достижения статической погрешности 3 - 30% в единичном измерении (суммарной) скорости счета радиометра
nx в соответствии с данными
таблицы 3.
Таблица 3.
Время экспозиции
для заданной статистической погрешности.
Статистическая погрешность, % | 5 | 10 | 20 | 30 |
Время экспозиции, сек | 1600/nx | 400/nx | 100/nx | 44/nx |
3.5.3. Симметричный цикл измерений счетного образца выполняется при выбранном времени экспозиции по следующей схеме:
измерение фона (3 раза) - измерение образца (5 раз) - измерение фона (3 раза) - измерение образца (5 раз) - измерение фона (3 раза) - измерение образца (5 раз) - измерение фона (3 раза).
3.5.4. Измерение фоновой скорости счета радиометра производится с контрольной (радиационно-чистой) подложкой.
За текущее время измерения данного образца принимается время tn середины (третье измерение) второй серии измерений счетного образца в цикле.
3.6. Обработка результатов измерений.
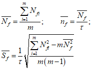
3.6.1. Рассчитывается среднее арифметическое значение

и абсолютное среднее квадратичное отклонение

для результатов измерений фоновой скорости счета радиометра из совокупности всех результатов наблюдений
| | ИС МЕГАНОРМ: примечание. Нумерация формул дана в соответствии с официальным текстом документа. | |

(7)
где
Nfi - число отсчетов радиометра за время

в
i-м наблюдении фона;
m - полное количество результатов наблюдений фона (в регламентированном цикле m = 12).
Оценивается значение минимальной измеряемой скорости счета радиометра и минимальной измеряемой активности данного радионуклида в счетном образце:

(8)
| | ИС МЕГАНОРМ: примечание. Нумерация пунктов дана в соответствии с официальным текстом документа. | |
3.6.3. Обрабатывается совокупность результатов наблюдений скорости счета при измерениях счетного образца (аналогично
п. 3.6.1.):

(9)
где j - порядковый номер результата измерений;
e - количество результатов измерений (e = 15).
3.6.4. Вычисляются значения скорости счета радиометра, обусловленное регистрацией излучения измеряемого радионуклида в счетном образце:

(10)
Этот результат относится к текущему времени измерения, оговоренному в
п. 3.5.4.
3.6.5. В случае
n0 <=
nмин. результат измерения активности
A (Бк) радионуклида в счетном образце представляется в виде

(11)
где

;

(%) - относительная погрешность аттестации радиометра по чувствительности.
3.6.6. В случае
n0 >
nмин активность
A (Бк) радионуклида в счетном образце рассчитывается по
соотношению 5. При этом:
- поправка

принимается для данного счетного образца на основании аттестованной зависимости чувствительности радиометра от массы активного вещества в счетном образце;
- поправка

, где

- мертвое время радиометра (по результатам метрологической аттестации) практически при значениях
nx < 1000 отсчет/сек можно принимать
Cn = 1;
- поправка

рассчитывается в зависимости от измеряемого радионуклида по соотношениям;

- при измерении
90Y. (12)

- при измерении
90Sr (13)
где

- постоянная распада
90Y;
| | ИС МЕГАНОРМ: примечание. Экспликация дана в соответствии с официальным текстом документа. | |
t - текущее время химического выделения (разделения) радионуклидов;
t - текущее время измерения счетного образца (по
п. 3.5.4.);

,

- чувствительность радиометра при регистрации излучения радионуклидов
90Y и
90Sr, соответственно.
3.6.7. Абсолютная погрешность определения активности радионуклида в счетном образце по
п. 3.6.6. оценивается по соотношению:

, (14)
где

(%) - относительная погрешность аттестации радиометра по чувствительности.
3.7. Оформление результатов радиометрических измерений.
Результаты радиометрических измерений должны быть представлены в виде
таблицы 4.
Таблица 4.
Результаты радиометрических измерений.
N п/п | N образца | Количество серий измерений | Скорость счета, отсчет/сек | Активность, Бк | Абсолютная погрешность, Бк |
1 | 2 | 3 | 4 | 5 | 6 |
4. Обработка результатов.
4.3. Погрешность определения 90Sr оксалатным методом складывается из погрешностей определения активности измеряемого образца, его массы, химического выхода стронция и иттрия.
В целом, относительная погрешность определения

может быть оценена по соотношению:

(15)
где

- относительная погрешность определения активности образца;

и

- относительная погрешность определения химических выходов стронция и иттрия, соответственно;

- относительная погрешность массы образца.
Как правило, относительная погрешность определения активности образца значительно больше, чем сумма относительных погрешностей остальных измеряемых величин.

(16)
Поэтому относительная погрешность определения 90Sr оксалатным методом обусловлена погрешностью определения активности образца и в первом приближении может быть вычислена по соотношению:

, (17)
4.4. Погрешность определения
90Sr экспресс-методом складывается из погрешностей определения активности, химического выхода стронция и массы измеряемого образца. Погрешность определения активности
90Sr экспресс-методом может быть оценена по
соотношению 17.
5. Требования безопасности и квалификация персонала.
5.1. Радиохимики или агрохимики, работающие или временно привлекаемые к радиохимическому анализу и изготовлению эталонных препаратов, должны руководствоваться действующими "Основными санитарными правилами работы с радиоактивными веществами и другими источниками ионизирующих излучений"
(ОСП-72/87), а также "Нормами радиационной безопасности"
(НРБ-96).
5.2. При эксплуатации бета-радиометров должны соблюдаться правила и требования "
Правил технической эксплуатации электроустановок потребителей" (ПТЭ) и "
Правил техники безопасности при эксплуатации электроустановок потребителей" (ПТБ). Также необходимо соблюдать "
Нормы радиационной безопасности".
5.3. Радиохимические анализы должны выполняться персоналом, имеющим специальное высшее или среднее химическое образование. Радиометрические измерения должны проводиться персоналом, имеющим соответствующую квалификационную группу по технике безопасности при работе на электроустановках (
ПТЭ и
ПТБ).
5.4. Весь персонал, занятый при проведении анализов и радиометрических измерений, должен быть допущен медицинскими органами к работе с радиоактивными источниками.
Партия - любое количество зерна, картофеля, овощей, сена и т.п. однородная по качеству, предназначенная к одновременной сдаче, отгрузке или хранящаяся в одном закроме.
Элементарный участок - поле, отдельно обрабатываемый участок, занятый одной культурой.
Точечная проба - небольшое количество зерна и т.п., отобранного из партии за один прием для составления объединенной пробы.
Объединенная проба - совокупность всех точечных проб, отобранных из партии.
Представительная (средняя) проба - часть объединенной пробы, выделенная для определения качества. Для небольших партий зерна и т.п. объединенная проба является представительной.
Среднесуточная проба - совокупность точечных проб, формируемая в течение суток при доставке зерна и т.п. на сборные пункты.
Навеска - часть представительной пробы, выделенная для определения отдельных показателей качества продукции.
Абсолютно-сухая проба - проба, высушенная до постоянной массы при температуре 105 °C.
Воздушно-сухая проба - проба, высушенная до постоянной массы при температуре и влажности лабораторного помещения.
П.2.1. Определение чувствительности радиометра к
90Y и
90Sr.
При проведении радиохимических анализов измерение радиоактивности приготовленных образцов проводят в сравнении с эталоном. Для этого радиометр должен быть отградуирован по эталону того излучателя, который выделялся при проведении данного радиохимического анализа. При этом должна быть соблюдена идентичность условий измерения эталона и анализируемых образцов.
Следовательно, градуировка радиометра сводится к определению чувствительности радиометра к измеряемому радионуклиду при регламентированных условиях измерения.
П.2.1.1. Определение чувствительности радиометра к 90Y.
В 5 пронумерованных стаканов вместимостью 150 см3 вносят по 50 см3 дистиллированной воды и 1 см3 раствора 6 моль/дм3 HCl. В каждый стакан вносят:
- по 50 мг окиси иттрия (по 1 см3 титрованного раствора азотнокислого иттрия с содержанием Y (NO3)3 121,7 мг/см3;
- по 25 мг стронция (II) (по 0,5 см3 раствора азотнокислого стронция, содержащего 50 мг/см3 стронция (II);
- по 2, 4, 6, 8, 10, см3 рабочего раствора ОРР 90Sr + 90Y с удельной активностью 50 Бк/см3 в стаканы N 1, 2, 3, 4, 5 соответственно.
Стаканы с раствором доводят до кипения и кипятят в течение 1 - 2 минут. В горячий раствор приливают по каплям очищенный от карбонат-иона гидроксид аммония до образования гидроксида иттрия (pH = 8 - 9 по индикаторной бумаге).
Осадок фильтруют через фильтр "синяя лента", промывают 2 раза горячей водой (2 см3) с добавлением нескольких капель гидроксида аммония, очищенного от карбонат-иона. Время после окончания промывки записывают с точностью до 10 минут. Фильтрат отбрасывают.
Осадок на фильтре растворяют горячим раствором 0,5 моль/см3 HCl. В раствор вносят 0,5 см3 раствора азотнокислого стронция, содержащего 50 мг/см3 стронция (II), кипятят 2 минуты и проводят повторное осаждение гидроксида иттрия, очищенным от карбонат-иона гидроксидом аммония. Осадок фильтруют через фильтр "синяя лента", промывают 2 раза горячей водой с добавлением нескольких капель гидроксида аммония.
Осадок на фильтре растворяют минимальным количеством раствора 0,3 моль/дм3 HCl. В солянокислый раствор, содержащий иттрий, приливают объем насыщенного раствора щавелевой кислоты и осаждают оксалат иттрия. При необходимости коррекция pH аммония.
Осадок фильтруют через фильтр "синяя лента". Фильтр с осадком помещают в доведенный до постоянного веса тигель, подсушивают на электроплитке, затем помещают в муфельную печь и прокаливают при температуре 800 °C в течение 30 минут. Тигель извлекают из муфеля, охлаждают до комнатной температуры и взвешивают. Определяют массу окиси иттрия и рассчитывают химический выход носителя по
соотношению 2.
Содержимое тигеля количественно переносят на стандартную подложку, разравнивают стеклянной палочкой, смачивают этиловым спиртом и сушат под инфракрасной лампой.
Полученный препарат измеряют на радиометре в соответствии с
разделом 3.
Для каждого из 5 эталонных образцов рассчитывают чувствительность радиометра

по соотношению к
90Y по формуле:

(18)
где

- чувствительность радиометра по отношению к
90Y;
noi - скорость счета эталона за вычетом фона, отсчет/с;
Aj - введенная активность, Бк;
tв - текущее время химического выделения (разделения) 90Y;
tn - текущее время измерения счетного образца;
WY - химический выход иттрия;

- 1,07·10
-2 ч
-1 постоянная распада
90Y.
П.2.1.2. Определение чувствительности радиометра к 90Sr.
В экспресс-методе проводится измерение бета-излучения
90Sr. Так как энергия бета-излучения
90Sr значительно ниже чем
90Y, то при измерении препаратов
90Sr необходимо учитывать самопоглощение бета-излучения. Следовательно, для градуировки радиометра необходимо экспериментально определить величину

(

- чувствительность радиометра по отношению
90Sr, а

- поправка на самопоглощение бета-излучения), которая зависит от массы активного вещества в счетном образце. Для этого следует приготовить эталонные препараты
90Sr различной массы.
В 5 пронумерованных стаканов вместимостью 250 см3 вносят по 150 см3 азотной кислоты концентрации 4 моль/дм3. В стаканы N 1, 2, 3, 4, 5 вносят 0,1; 0,2; 0,3; 0,4; 0,5 см3 раствора азотнокислого стронция, содержащего 50 мг стронция (II) в 1 см3. Далее в каждый из стаканов вносят по 4 см3 ОРР 90Sr + 90Y удельной активностью 50 Бк/см3.
Полученный азотнокислый раствор помещают в делительную воронку вместимостью 300 см3 и приливают 25 см3 хлороформа, перемешивают в течение 2 минут и разделяют фазы.
К полученному азотнокислому раствору, находящемуся в делительной воронке, приливают 25 см3 3%-ного раствора ДГЦ-18-К-6 в хлороформе и перемешивают в течение 1 минуты. Фазы разделяют и записывают время разделения с точностью до 10 минут.
Органическую фазу переносят в делительную воронку вместимостью 100 см3 и прибавляют 25 см3 горячей дистиллированной воды (температура воды должна быть не менее 70 - 80 °C), перемешивают в течение 2 минут и разделяют фазы. Водную часть помещают в стеклянный стакан вместимостью 200 см3, а органическую часть в делительную воронку. К органической фазе добавляют 25 см3 горячей дистиллированной воды, перемешивают в течение 2 минут и разделяют фазы. Водную фазу объединяют с первой порцией, а органическую помещают в делительную воронку и проводят реэкстракцию в третий раз по той же методике. Водную фазу объединяют с первыми двумя.
Полученный водный раствор нейтрализуют гидроксидом аммония до щелочной реакции среды (pH = 8 - 9) и вносят 1 см3 насыщенного раствора углекислого аммония (допускается замена углекислого аммония углекислым натрием). Раствор нагревают на электроплите с закрытой спиралью в течение 10 минут.
Раствор фильтруют через фильтр "синяя лента" при помощи фильтрационной ячейки, промывают небольшим количеством дистиллированной воды с добавлением нескольких капель гидроксида аммония, а затем этиловым спиртом.
По окончании фильтрации фильтр вынимают из фильтрационной ячейки, высушивается на воздухе и поступает на радиометрию.
Важно, чтобы со времени разделения 90Sr от 90Y до измерения бета-радиоактивности прошло не более 2 часов.
Для каждого эталонного образца рассчитывают величину по
соотношению 19:

, (19)
где n0 - скорость счета эталона за вычетом фона;
A - введенная в эталон активность;
Cn = 1,

поправочные коэффициенты на накопление иттрия и мертвое время радиометра.
Строят зависимость величины

от массы эталона. Полученную зависимость используют при расчете содержания
90Sr в анализируемых образцах.
П.2.2. Проверка радиохимической чистоты препарата
90Y.
Проверка радиохимической чистоты полученного препарата сводится к определению постоянной распада. В этом случае для проверки радиохимической чистоты достаточно провести пять измерений скорости счета образца через определенные промежутки времени в течение 2 - 3 периодов полураспада (T = 64 часа). Целесообразно проводить измерения через 24 часа.
По результатам измерений рассчитывают среднее значение постоянной распада

по
формуле 20:

(20)
| | ИС МЕГАНОРМ: примечание. Экспликация дана в соответствии с официальным текстом документа. | |
где n0 - скорость счета образца за вычетом фона в начальный момент времени;
n0 - скорость счета образца за вычетом фона в момент времени, прошедшее от начального измерения до i-го.
Если полученное среднее значение постоянной распада лежит в интервале значений (1,08 +/- 0,07)10-2 ч-1, то полученный препарат содержит 90Y без посторонних бета-излучающих нуклидов. В противном случае необходимо проводить дополнительную очистку.
Проверку радиохимической чистоты 90Y целесообразно проводить для образцов, содержащих не менее 5 Бк 90Y.
1. Шифр пробы ________________________________________________________
2. Дата _______________________________________________________________
3. Почтовый индекс и область ___________________________________________
4. Район ______________________________________________________________
5. Сельсовет __________________________________________________________
6. Хозяйство __________________________________________________________
7. Примерное расстояние и направление до ближайшего населенного пункта
__________________________________________________________________
8. Севооборот _________________________________________________________
9. Номер поля _________________________________________________________
10. Площадь поля, га ___________________________________________________
11. Номер элементарного участка ________________________________________
12. Горизонт, глубина взятия проб _______________________________________
13. Мощность дозы мкР/час на высоте 1 м от поверхности почвы
__________________________________________________________________
14. Прочие особенности ________________________________________________
15. Организация и ответственный за отбор ________________________________
16. Результаты анализа:
- удельная активность, Бк/кг, погрешность _____________________________
- лаборатория, выполнившая анализ __________________________________
- исполнитель (Ф И О, подпись ______________________________________
- дата ____________________________________________________________
3.2. Сопроводительный талон проб сельскохозяйственных
растений, отобранных с полей
1. Шифр пробы _______________________________________________________
2. Дата отбора ________________________________________________________
3. Почтовый индекс и область ___________________________________________
4. Район _____________________________________________________________
5. Сельсовет __________________________________________________________
6. Хозяйство __________________________________________________________
7. Примерное расстояние и направление до ближайшего населенного пункта
__________________________________________________________________
8. Культура ___________________________________________________________
9. Урожайность _______________________________________________________
10. Масса пробы, ______________________________________________________
11. Организация и ответственный за отбор ________________________________
12. Результаты анализа:
- удельная активность, Бк/кг, погрешность _____________________________
- лаборатория, выполнившая анализ __________________________________
- исполнитель (Ф И О, подпись ______________________________________
- дата ____________________________________________________________
на пробу продукции растениеводства, отобранной
со складов, элеваторов, автомобилей, барж и т.п.
1. Шифр пробы ________________________________________________________
2. Дата отбора _________________________________________________________
3. Почтовый индекс и область ___________________________________________
4. Район ______________________________________________________________
5. Сельсовет __________________________________________________________
6. Хозяйство __________________________________________________________
7. Номер склада, элеватора, автомобиля, название судна и т.п
__________________________________________________________________
8. Номер бригады ______________________________________________________
9. Культура, сорт _______________________________________________________
10. Организация и ответственный за отбор _________________________________
11. Результаты анализа:
- удельная активность, погрешность, Бк/кг _____________________________
- лаборатория, выполнившая анализ __________________________________
- исполнитель (Ф И О, подпись) _____________________________________
- дата ____________________________________________________________
1. Методические
указания по определению содержания стронция-90 и цезия-137 в почвах и растениях, Центральный институт агрохимического обслуживания сельского хозяйства МСХ СССР (ЦИНАО), 1985 г. Москва - 1985 г.
2. Инструкции и методические указания по оценке радиационной обстановки на загрязненной территории. Госкомгидромет Москва - 1987 г.
3. Методика экспрессного определения объемной и удельной активности бета-излучающих нуклидов в воде, продуктах питания, продукции растениеводства и животноводства методом "прямого" измерения "толстых" проб (переработанная и дополненная). Москва 1987.
4. Якшин В.В., Вилкова О.Н., Мясоедов Б.Ф., Тузова А.Н., Симонов Ю.А. Тезисы докладов 17 Всесоюзного совещания по химии комплексных соединений. Минск 29 - 31 мая 1990 г., часть IV. Минск 1990.