Главная // Актуальные документы // Методические рекомендацииСПРАВКА
Источник публикации
"Нормативные документы в сфере деятельности Федеральной службы по экологическому, технологическому и атомному надзору. Документы по безопасности, надзорной и разрешительной деятельности в нефтяной и газовой промышленности", серия 08, выпуск 30, М.: ЗАО НТЦ ПБ, 2017
Примечание к документу
Документ утратил силу в связи с изданием
Приказа Ростехнадзора от 29.12.2022 N 478, утв. новое
Руководство.
Взамен Руководства по безопасности "Методические рекомендации по проведению количественного анализа риска аварий на опасных производственных объектах магистральных нефтепроводов и нефтепродуктопроводов", утв.
Приказом Ростехнадзора от 07.11.2014 N 500.
Название документа
"Руководство по безопасности "Методические рекомендации по проведению количественного анализа риска аварий на опасных производственных объектах магистральных нефтепроводов и нефтепродуктопроводов"
(утв. Приказом Ростехнадзора от 17.06.2016 N 228)
"Руководство по безопасности "Методические рекомендации по проведению количественного анализа риска аварий на опасных производственных объектах магистральных нефтепроводов и нефтепродуктопроводов"
(утв. Приказом Ростехнадзора от 17.06.2016 N 228)
по экологическому, технологическому
и атомному надзору
от 17 июня 2016 г. N 228
РУКОВОДСТВО ПО БЕЗОПАСНОСТИ
"МЕТОДИЧЕСКИЕ РЕКОМЕНДАЦИИ ПО ПРОВЕДЕНИЮ КОЛИЧЕСТВЕННОГО
АНАЛИЗА РИСКА АВАРИЙ НА ОПАСНЫХ ПРОИЗВОДСТВЕННЫХ ОБЪЕКТАХ
МАГИСТРАЛЬНЫХ НЕФТЕПРОВОДОВ И НЕФТЕПРОДУКТОПРОВОДОВ"
Руководство по безопасности "Методические рекомендации по проведению количественного анализа риска аварий на опасных производственных объектах магистральных нефтепроводов и нефтепродуктопроводов" разработано в целях содействия соблюдению требований Федеральных
норм и правил в области промышленной безопасности "Правила безопасности для опасных производственных объектов магистральных трубопроводов" на основе и взамен аналогичного документа, утвержденного
приказом Ростехнадзора от 07.11.2014 N 500.
В разработке Руководства по безопасности принимали участие С.Г. Радионова, С.А. Жулина, В.Л. Титко (Ростехнадзор), А.С. Печеркин, М.В. Лисанов, А.И. Гражданкин, Д.В. Дегтярев, А.В. Савина, Е.А. Самусева (ЗАО "Научно-технический центр исследований проблем промышленной безопасности"), С.И. Сумской (Национальный исследовательский ядерный университет "МИФИ").
Руководство по безопасности содержит порядок количественной и балльной оценки риска и определения степени опасности промышленных аварий на линейных частях и площадочных сооружениях опасных производственных объектов магистральных нефте- и нефтепродуктопроводов, перечень основных показателей риска аварии для этих частей и сооружений, а также методики расчета или оценки таких показателей. Руководство по безопасности распространяется на указанные объекты, на которых обращаются опасные вещества - нефть и нефтепродукты (бензины, дизельные топлива и авиационные керосины).
1. Руководство по безопасности "Методические рекомендации по проведению количественного анализа риска аварий на опасных производственных объектах магистральных нефтепроводов и нефтепродуктопроводов" (далее - Руководство по безопасности) разработано в целях содействия соблюдению требований Федеральных
норм и правил в области промышленной безопасности "Правила безопасности для опасных производственных объектов магистральных трубопроводов", утвержденных приказом Ростехнадзора от 6 ноября 2013 г. N 520.
2. Основные положения настоящего Руководства по безопасности соответствуют требованиям
Порядка оформления декларации промышленной безопасности опасных производственных объектов и перечня включаемых в нее сведений (РД-03-14-2005), утвержденного приказом Ростехнадзора от 29 ноября 2005 г. N 893,
Руководства по безопасности "Методические основы по проведению анализа опасностей и оценки риска аварий на опасных производственных объектах", утвержденного приказом Ростехнадзора от 11 апреля 2016 г. N 144, дополняют и развивают положения Методических
рекомендаций по составлению декларации промышленной безопасности опасного производственного объекта (РД 03-357-00), утвержденных постановлением Госгортехнадзора России от 26 апреля 2000 г. N 23, и иных нормативных правовых актов и нормативных документов в области анализа риска аварий при эксплуатации ОПО МН и МНПП.
3. Настоящее Руководство по безопасности содержит порядок количественной и балльной оценки риска и определения степени опасности (чрезвычайно высокая, высокая, средняя и низкая) промышленных аварий на объектах ЛЧ <*> и площадочных сооружениях ОПО МН и МНПП, перечень основных показателей риска аварии для ЛЧ и площадочных объектов ОПО МН и МНПП, а также методики их расчета или оценки.
--------------------------------
<*> Сведения о сокращениях и обозначениях приведены в
пункте 7 Руководства по безопасности. (Примеч. изд.)
4. Настоящее Руководство по безопасности распространяется на ОПО МН и МНПП, на которых обращаются опасные вещества - нефть и нефтепродукты.
5. Под нефтепродуктами в настоящем Руководстве по безопасности понимают бензины, дизельные топлива и авиационные керосины.
6. Настоящее Руководство по безопасности предназначено для организаций, участвующих в:
разработке деклараций промышленной безопасности ОПО МН и МНПП, в том числе ЛЧ, насосных станций, резервуарных парков, перевалочных нефтебаз и терминалов;
разработке обоснования безопасности ОПО МН и МНПП;
разработке специальных технических условий на проектирование и строительство ОПО МН и МНПП;
проектировании ОПО МН и МНПП;
обосновании условий обязательного страхования гражданской ответственности владельца опасного объекта за причинение вреда в результате аварии на ОПО МН и МНПП;
иных работах, связанных с определением степени опасности и проведением количественной и балльной оценки риска аварий с выбросом нефти и нефтепродуктов на ОПО МН и МНПП.
7. Перечень используемых сокращений и обозначений приведен в
приложении N 1 к настоящему Руководству по безопасности <*>.
--------------------------------
<*> Расшифровки обозначений приведены также в пояснениях к формулам. (Примеч. изд.)
8. Используемые термины и их определения приведены в
приложении N 2 к настоящему Руководству по безопасности.
9. Методические принципы оценки риска аварий на ОПО МН и МНПП основываются на положениях
Руководства по безопасности "Методические основы по проведению анализа опасностей и оценки риска аварий на опасных производственных объектах" и заключаются в:
использовании метода балльной оценки факторов, влияющих на частоту разрыва (целостность) ЛЧ, анализируемого ОПО МН и МНПП;
численном моделировании аварийного нестационарного истечения сжимаемой жидкости из дефектного отверстия протяженного трубопровода с учетом действий по локализации и ликвидации аварийного разлива нефти, нефтепродукта;
оценке последствий аварийных разливов нефти, нефтепродуктов на объектах ЛЧ ОПО МН и МНПП и площадочных сооружениях ОПО МН и МНПП, связанных с потерями нефти, нефтепродуктов, загрязнением окружающей среды и травмированием людей;
алгоритмизации расчета удельных (на единицу длины трассы ОПО МН и МНПП и интегральных (по всей трассе) показателей риска аварии;
ранжировании участков и составляющих анализируемого ОПО МН и МНПП по показателям риска с учетом среднестатистического (фонового) уровня аварийности на ОПО МН и МНПП.
10. Оценку риска аварий на ОПО МН и МНПП проводят на основе идентификации опасностей и результатов количественной оценки значений показателей риска аварий для однотипных участков ЛЧ ОПО МН и МНПП или составляющих площадочных объектов ОПО МН и МНПП:
для ЛЧ ОПО МН и МНПП вне подводных и иных переходов рассматривают однокилометровые участки, а для подводных и иных переходов длину участка определяют размером перехода, прилегающих жилых, общественно-деловых или рекреационных зон или территорий, с чувствительными к аварийным выбросам нефти и нефтепродуктов компонентами окружающей среды;
для площадочных объектов рассматривают составляющие, объединяющие технические устройства или их совокупность по технологическому принципу (насосное и емкостное оборудование, технологические трубопроводы опасных веществ).
11. Расчет пожарного риска на объектах защиты ОПО МН и МНПП и сравнение его с законодательно установленным допустимым значением пожарного риска осуществляют в соответствии с Федеральным
законом от 22 июля 2008 г. N 123-ФЗ "Технический регламент о требованиях пожарной безопасности".
12. Результаты оценки риска аварий на ОПО МН и МНПП рекомендуется обосновать и оформить таким образом, чтобы выполненные расчеты и выводы могли быть проверены и повторены специалистами, которые не участвовали при первоначальной процедуре оценки риска аварии на ОПО МН и МНПП.
II. МЕТОДИЧЕСКИЕ ПРИНЦИПЫ ОЦЕНКИ РИСКА АВАРИИ НА ОПАСНЫХ
ПРОИЗВОДСТВЕННЫХ ОБЪЕКТАХ МАГИСТРАЛЬНЫХ НЕФТЕПРОВОДОВ
И МАГИСТРАЛЬНЫХ НЕФТЕПРОДУКТОПРОВОДОВ
13. Показатели риска аварии на объектах ЛЧ (участках) и площадочных сооружениях (составляющих) ОПО МН и МНПП количественно характеризуют опасность аварии и используются для ранжирования участков и составляющих ОПО МН и МНПП по степени опасности и обоснования приоритетов в мероприятиях по обеспечению безопасного функционирования ОПО МН и МНПП (риск-ориентированный подход).
Показатели риска аварии на ОПО МН и МНПП разделяют на основные и дополнительные. Основные показатели риска аварии на ОПО МН и МНПП рассчитывают при выполнении каждой оценки риска аварии на ОПО МН и МНПП. Перечень рассчитываемых дополнительных показателей риска аварии на ОПО МН и МНПП определяется соответствующими задачами оценки риска аварии на ОПО МН и МНПП, указанными в
пункте 22 настоящего Руководства по безопасности.
Расчет количественных показателей риска аварии осуществляют по алгоритмам, изложенным в
пунктах 51 -
65 <*> настоящего Руководства по безопасности.
--------------------------------
<*> Возможно, имеются в виду
пункты 53 -
67. (Примеч. изд.)
14. Для определения степени опасности аварии на ЛЧ ОПО МН и МНПП в настоящем Руководстве по безопасности используют основные показатели риска аварии (индивидуальный
Rинд, потенциальный
Rпот, коллективный
Rколл и социальный
F(
x) риски гибели человека при аварии согласно
Руководству по безопасности "Методические основы по проведению анализа опасностей и оценки риска аварий на опасных производственных объектах", а также дополнительные показатели, приведенные в
табл. 1 приложения N 3 к настоящему Руководству по безопасности.
15. Показатели риска аварии ЛЧ-1, ЛЧ-5, ЛЧ-10 и ЛЧ-16 рассчитывают для всей трассы ОПО МН и МНПП, а ЛЧ-12, ЛЧ-13, ЛЧ-14, ЛЧ-15, ЛЧ-18 и ЛЧ-20 - для участков с приближением ЛЧ ОПО МН и МНПП к жилым, общественно-деловым или рекреационным зонам (населенные пункты, автомобильные и железные дороги, маршруты водного транспорта, сельскохозяйственные угодья и пастбища, туристические территории и акватории, другие места возможного появления человека и массового скопления людей - людские тропы, кладбища, ярмарки выходного дня, объекты религиозных культов, концертные площадки и прочее). Дистанции такого приближения участков ЛЧ ОПО МН и МНПП к жилой, общественно-деловой или рекреационной зоне составляют:
для МНПП - 1000 м и менее;
для МН - 500 м и менее.
Дистанции с приближением участков ЛЧ ОПО МН и МНПП к жилым, общественно-деловым или рекреационным зонам необходимы только для установления участков ЛЧ ОПО МН и МНПП, для которых рассчитывают показатели риска гибели людей в авариях, в том числе ЛЧ-12, ЛЧ-13, ЛЧ-14, ЛЧ-15 и ЛЧ-18.
Дистанции с приближением участков ЛЧ ОПО МН и МНПП к жилым, общественно-деловым или рекреационными зонам не являются минимально безопасными расстояниями для ЛЧ ОПО МН и МНПП.
Показатель риска аварии ЛЧ-17 представляют в виде изолиний на ситуационном плане участков с приближением участков ЛЧ ОПО МН и МНПП к жилым, общественно-деловым или рекреационным зонам - распределение потенциального территориального риска гибели людей от аварий по территории объекта и прилегающей местности в соответствии с
Руководством по безопасности "Методические основы по проведению анализа опасностей и оценки риска аварий на опасных производственных объектах", утвержденным приказом Ростехнадзора от 11 апреля 2016 г. N 144.
Показатель социального риска аварии (ЛЧ-19) представляется в виде графика ступенчатой функции, определяемой согласно
пунктам 69 -
75 <*> настоящего Руководства по безопасности.
--------------------------------
<*> Возможно, имеется в виду
пункт 66. (Примеч. изд.)
Показатели риска аварии ЛЧ-2, ЛЧ-3, ЛЧ-4, ЛЧ-6, ЛЧ-7, ЛЧ-8, ЛЧ-9 и ЛЧ-11 определяют для каждого участка ЛЧ ОПО МН и МНПП и графически представляют в виде распределения по профилю трассы ОПО МН и МНПП.
При отсутствии достоверных оценок числа лиц, подверженных риску, из числа иных физических лиц допускается вместо показателя ЛЧ-15 использовать показатель ЛЧ-12.
16. Для определения степени опасности аварии на площадочных сооружениях (составляющих площадочных объектов) ОПО МН и МНПП в настоящем Руководстве по безопасности используют основные показатели риска аварии (
Rинд,
Rпот,
Rколл и
F(
x) гибели человека при аварии согласно
Руководству по безопасности "Методические основы по проведению анализа опасностей и оценки риска аварий на опасных производственных объектах", утвержденному приказом Ростехнадзора от 11 апреля 2016 г. N 144), а также дополнительные (удельные и интегральные) показатели риска аварии, приведенные в
табл. 2 приложения N 3 к настоящему Руководству по безопасности.
17. Все показатели риска аварии, за исключением Пл-17, представляют в виде значений, рассчитанных для каждой составляющей и просуммированных для площадочного сооружения ОПО МН и МНПП в целом.
Показатель риска аварии Пл-17 представляют в виде изолиний на ситуационном плане площадочного объекта - распределение потенциального территориального риска гибели людей от аварий по территории объекта и прилегающей местности в соответствии с
Руководством по безопасности "Методические основы по проведению анализа опасностей и оценки риска аварий на опасных производственных объектах".
Показатель социального риска аварии Пл-19 представляют в виде графика ступенчатой функции, определяемой согласно
пункту 64 <*> настоящего Руководства по безопасности.
--------------------------------
<*> Возможно, имеется в виду
пункт 66. (Примеч. изд.)
Показатели риска аварии Пл-3 - Пл-9 в части определения степени опасности для населения и иных физических лиц рассчитывают:
а) только для составляющих площадочного сооружения ОПО МН и МНПП с приближением к жилым, общественно-деловым или рекреационным зонам вокруг ОПО МН и МНПП. При этом дистанция, определяющая приближение границы площадочного сооружения ОПО МН и МНПП к жилой, общественно-деловой или рекреационной зоне, составляет:
1) для МНПП - 2000 м и менее;
2) для МН - 750 м и менее.
Дистанции приближения составляющих площадочного сооружения ОПО МН и МНПП к жилой, общественно-деловой или рекреационной зоне не являются минимально безопасными расстояниями для ОПО МН и МНПП;
б) для составляющих площадочного сооружения ОПО МН и МНПП с возможностью временного нахождения иных физических лиц (например, строители, ремонтный персонал) на его территории и в зонах приближения, аналогичных указанным в
подпункте "а" настоящего пункта, только для установленного периода пребывания людей (например, строительство, реконструкция, ремонт, ввод в эксплуатацию, испытания).
При отсутствии достоверных оценок числа лиц, подверженных риску, из числа иных физических лиц допускается вместо показателя ПЛ-8 использовать показатель ПЛ-3.
18. На основе сравнения показателей риска со среднестатистическим (фоновым) уровнем риска аварии определяют степень опасности участков и составляющих ОПО МН и МНПП и устанавливают необходимость и очередность внедрения организационно-технических мероприятий обеспечения безопасности ОПО МН и МНПП.
III. ЭТАПЫ ПРОВЕДЕНИЯ КОЛИЧЕСТВЕННОГО АНАЛИЗА РИСКА АВАРИЙ
НА ОПАСНЫХ ПРОИЗВОДСТВЕННЫХ ОБЪЕКТАХ МАГИСТРАЛЬНЫХ
НЕФТЕПРОВОДОВ И МАГИСТРАЛЬНЫХ НЕФТЕПРОДУКТОПРОВОДОВ
19. Проведение количественного анализа риска аварий на ОПО МН и МНПП проводят в четыре этапа:
1) планирование и организация работ;
2) идентификация опасностей аварий на ОПО МН и МНПП;
3) количественная оценка риска аварии на ОПО МН и МНПП:
а) оценка частоты возможных сценариев аварий;
б) оценка возможных последствий по рассматриваемым сценариям аварий;
в) расчет показателей риска аварии на ОПО МН и МНПП;
г) определение степени опасности участков и составляющих ОПО МН и МНПП:
ранжирование участков ЛЧ и составляющих ОПО МН и МНПП по показателям риска аварии;
сравнение показателей риска аварии участков и составляющих ОПО МН и МНПП с соответствующим среднестатистическим (фоновым) уровнем и установление степени опасности участков и составляющих ОПО МН и МНПП;
4) разработка рекомендаций по снижению риска аварии на ОПО МН и МНПП (
пункты 79 -
85 настоящего Руководства по безопасности).
Блок-схема проведения количественного анализа риска аварий на ОПО МН и МНПП приведена на
рис. 1 приложения N 3 к настоящему Руководству по безопасности.
Планирование и организация работ
20. На этапе планирования и организации работ рекомендуется:
а) идентифицировать анализируемый МН и МНПП как опасный производственный объект и дать его общее описание;
б) определить необходимость проведения количественного анализа риска аварий на ОПО МН и МНПП (декларирование промышленной безопасности, обоснование безопасности, экспертиза промышленной безопасности, обоснование проектных решений по обеспечению безопасности, обязательное страхование гражданской ответственности владельца опасного объекта за причинение вреда в результате аварий на опасном объекте, другие процедуры, требующие использования результатов анализа опасностей и оценки риска аварий на ОПО МН и МНПП);
в) подобрать группу исполнителей, оценить трудозатраты, определить детальность и ограничения планируемой процедуры по количественному анализу риска аварий ОПО МН и МНПП;
г) собрать представительные данные, не имеющие скрытых ошибок, по аварийности и травматизму на ОПО МН и МНПП для определения среднестатистического (фонового) уровня риска аварий на ОПО МН и МНПП. Среднестатистический (фоновый) уровень риска аварий на ОПО МН и МНПП R5 лет определяют как среднегодовое значение показателя риска аварий за последний пятилетний период рассмотрения на ОПО МН и МНПП эксплуатирующей организации;
д) задать пути достижения цели и определить основную задачу планируемой процедуры количественного анализа риска аварий.
21. Цель процедуры количественного анализа риска аварий - выявление наиболее опасных участков и составляющих площадочного сооружения анализируемого ОПО МН и МНПП на основе результатов расчета показателей риска.
Достижение цели процедуры количественного анализа риска аварий реализуется при выполнении следующих основных задач:
а) максимального снижения риска аварий на участках ЛЧ и составляющих площадочного сооружения ОПО МН и МНПП при доступных ресурсах;
б) минимизации затрат по снижению риска аварий на чрезвычайно опасных участках и составляющих площадочного сооружения ОПО МН и МНПП.
22. Цель и основные задачи количественного анализа риска аварий на ОПО МН и МНПП рекомендуется конкретизировать на различных этапах жизненного цикла ОПО МН и МНПП:
а) на этапе предпроектных работ и (или) проектирования ОПО МН и МНПП осуществляют:
выявление опасностей и количественную оценку риска с учетом воздействия поражающих факторов аварий на людей (персонал, население и иные физические лица), имущество и окружающую среду;
оценку вариантов безопасного размещения опасных производственных объектов, применяемых технических устройств, зданий и сооружений ОПО МН и МНПП;
оценку обеспечения промышленной безопасности в альтернативных проектных и технических решениях;
получение информации об опасностях аварий на ОПО МН и МНПП для выработки рекомендаций по безопасной эксплуатации ОПО МН и МНПП;
б) на этапе ввода в эксплуатацию (вывода из эксплуатации) ОПО МН и МНПП осуществляют:
уточнение оценок риска аварий, полученных на предыдущих этапах функционирования ОПО МН и МНПП;
проверку соответствия характеристик ОПО МН и МНПП фактическим условиям эксплуатации;
реализацию мероприятий по безопасной эксплуатации ОПО МН и МНПП, предусмотренных в декларации промышленной безопасности;
в) на этапе эксплуатации или реконструкции ОПО МН и МНПП осуществляют:
контроль основных опасностей аварий на ОПО МН и МНПП (в том числе при декларировании промышленной безопасности);
разработку рекомендаций по организации безопасной эксплуатации ОПО МН и МНПП;
совершенствование инструкций по эксплуатации и техническому обслуживанию, технологического регламента, планов мероприятий по локализации и ликвидации последствий аварий на ОПО МН и МНПП, планов по предупреждению и ликвидации разливов нефти и нефтепродуктов;
оценку эффективности принятых мероприятий по снижению риска аварий на ОПО МН и МНПП.
Идентификация опасностей аварий на опасных
производственных объектах магистральных нефтепроводов
и магистральных нефтепродуктопроводов
23. Основная задача идентификации опасностей аварий - выявление и описание всех источников опасностей аварий (участков и составляющих ОПО МН и МНПП, на которых обращаются опасные вещества) и сценариев их реализаций.
На этом этапе рекомендуется:
провести сбор исходной информации и проверить ее на наличие скрытых ошибок. Перечень исходной информации, необходимой для проведения количественного анализа риска аварий на ОПО МН и МНПП, приведен в
приложении N 4 настоящего Руководства по безопасности;
произвести деление ЛЧ ОПО МН и МНПП на участки, а площадочных объектов - на составляющие. При этом:
начальными границами участка ЛЧ ОПО МН и МНПП выбирают месторасположения трубопроводной арматуры или места резкого изменения какого-либо значимого фактора (например, подводный переход, пересечение с транспортной коммуникацией, особенность рельефа местности, наличие населенного пункта, автомобильных и железных дорог, других жилых, общественно-деловых или рекреационных зон). Типовое значение длины участка ЛЧ ОПО МН и МНПП выбирают равным 1 км. При пересечении (сближении) ОПО МН и МНПП водных и иных объектов длину участка определяют кратной протяженности перехода или длине трассы, прилегающей к жилым, общественно-деловым или рекреационным зонам или территориям, чувствительным по компонентам окружающей среды к аварийному загрязнению нефтью и нефтепродуктами;
на площадочных сооружениях выделяют следующие типовые составляющие, объединяющие технические устройства или их совокупность по технологическому принципу: насосное и емкостное оборудование, технологические трубопроводы опасных веществ;
провести анализ условий возникновения и развития аварий, определить группы характерных сценариев аварий для рассматриваемого ОПО МН и МНПП.
Типовые сценарии аварий на линейной части опасных
производственных объектах магистральных нефтепроводов
и магистральных нефтепродуктопроводов
24. Причины аварий на ЛЧ ОПО МН и МНПП приведены на
рис. 2 приложения N 3 к настоящему Руководству по безопасности в виде дерева отказов, в нижней части которого показаны исходные события - предпосылки аварийной ситуации.
25. В отсутствие информации для расчетов вероятности конечного события (аварии) данное дерево отказов используют для определения возможных причин и прогнозирования сценариев разгерметизации ЛЧ ОПО МН и МНПП. Приведенное дерево отказов относится к варианту прокладки ОПО МН и МНПП без кожуха, в этом случае выброс приводит к разливу нефти, нефтепродукта непосредственно из аварийного участка с попаданием нефти, нефтепродукта в окружающую среду. В случае, если участок ЛЧ ОПО МН и МНПП выполнен по схеме "труба в трубе", то дерево отказов будет иметь аналогичный вид, но при этом возможны три варианта развития событий:
а) разрушение ОПО МН и МНПП с последующим разрушением кожуха;
б) разрушение кожуха с последующим разрушением ОПО МН и МНПП;
в) одновременное разрушение ОПО МН и МНПП и кожуха.
26. Сочетание всех трех вариантов, указанных в
пункте 24 <*> настоящего Руководства по безопасности, по логическому элементу "ИЛИ" и будет представлять суммарное дерево отказов. Для каждого из трех вариантов строится своя схема развития аварии. Например, если сначала происходит разрушение внутренней трубы, то истечение нефти, нефтепродукта происходит в межтрубное пространство и приведенное дерево отказов будет относиться к внутренней трубе. Для внешней трубы оно будет строиться аналогичным образом, как продолжение дерева, изображенного на
рис. 2 приложения N 3 к настоящему Руководству по безопасности.
--------------------------------
<*> Три варианта указаны в
пункте 25. (Примеч. изд.)
Дальнейшие (после разгерметизации участка ОПО МН и МНПП) сценарии развития аварий рекомендуется рассматривать с учетом возможности проявлений поражающих факторов (эффектов), которые связаны с утечками из трубопровода нефти, нефтепродукта и его воспламенением. Основными физическими эффектами при авариях на ЛЧ ОПО МН и МНПП являются (в порядке убывания условной вероятности возникновения):
истечение нефти, нефтепродукта из дефектного отверстия (трещины);
загрязнение окружающей среды разлившейся нефтью, нефтепродуктом;
пожар пролива нефти, нефтепродукта при его воспламенении;
пожар-вспышка смеси паров нефти, нефтепродукта с воздухом;
взрыв ТВС паров нефти, нефтепродукта с воздухом;
токсическое воздействие продуктов горения нефти, нефтепродукта;
струйное горение утечки нефти, нефтепродукта.
При наличии источника зажигания возникает пожар пролива (подробное описание изложено в
Методике определения расчетных величин пожарного риска на производственных объектах, утвержденной приказом МЧС России от 10 июля 2009 г. N 404). При возникновении пожара на месте пролива возможны поражение открытым пламенем, тепловым излучением, горячими продуктами горения и токсичное воздействие продуктов горения.
27. Для нефти и нефтепродуктов, имеющих высокое давление насыщенных паров (более 10 кПа) и при повышенной (более 20 °C) температуре перекачиваемого продукта и окружающей среды, рассматривается еще один вариант развития событий: если при выбросе нефти, нефтепродукта в непосредственной близости нет источника зажигания, то нефть, нефтепродукт будут испаряться, а паровоздушное облако будет распространяться в атмосфере. Облако может достичь источника зажигания, в том числе расположенного на удалении от места выброса, и затем воспламениться. При стандартных источниках инициирования (открытое пламя, в том числе в котельных и при огневых работах, горячие поверхности, искры при ударах и трении, работающие двигатели внутреннего сгорания, молнии, разряды статического электричества, неосторожные действия человека: курение, разведение костров) в условиях рассматриваемых объектов наиболее вероятно сгорание облака паров нефти, нефтепродукта со скоростью до 200 м/с (нефть, нефтепродукты - среднечувствительные вещества класса 3, загроможденность окружающего пространства - класс IV (слабо загроможденное и свободное пространство) или класс III (средне загроможденное пространство, отдельно стоящие технологические установки, резервуарный парк) в соответствии с
Руководством по безопасности "Методика оценки последствий аварийных взрывов топливно-воздушных смесей", утвержденным
приказом Ростехнадзора от 31 марта 2016 г. N 137.
28. В случае наличия на пути дрейфующего облака строений, в которые могут инфильтроваться пары нефти, нефтепродукта, рассматривается возможность взрыва дрейфующего облака. Такой взрыв возможен в случае, если инфильтрованные в помещение пары нефти, нефтепродукта оказываются сынициированными внутри его. Внутренний взрыв в помещении является мощным источником инициирования, способным вызвать взрыв основного облака паров нефти, нефтепродукта.
Для струй нефти, нефтепродукта, которые могут диспергироваться в воздухе и образовывать капельную взвесь (как правило, это возможно для свищей высокого давления и на сухопутных участках), возможно образование горящего факела (подробное описание изложено в
Методике определения расчетных величин пожарного риска на производственных объектах, утвержденной приказом МЧС России от 10 июля 2009 г. N 404).
29. После разгерметизации трубопровода ЛЧ ОПО МН и МНПП или трубопроводной арматуры (узла запорной арматуры) развитие аварийных ситуаций соответствует следующей общей последовательности (группе сценариев): разгерметизация трубопровода или трубопроводной арматуры

истечение нефти, нефтепродукта

отключение насосов

перекрытие запорной арматуры

распространение нефти, нефтепродукта

загрязнение нефтью, нефтепродуктами компонентов окружающей среды

возможное воспламенение нефти, нефтепродукта

горение (взрыв) облака и (или) пролива и (или) факела

попадание в зону возможных поражающих факторов людей, оборудования, зданий, сооружений, коммуникаций, транспортных средств и (или) объектов окружающей среды

эскалация аварий на соседние объекты

локализация и ликвидация разлития (пожара).
30. При анализе сценариев аварий рекомендуется учитывать условия прокладки и размещения участка трубопровода ЛЧ ОПО МН и МНПП (подземный, наземный (надземный), подводный ОПО МН и МНПП, ОПО МН и МНПП в тоннеле или в ином замкнутом (полузамкнутом) пространстве, в том числе "труба в трубе", обетонированной трубе). Конкретный сценарий аварий и его вероятность определяют исходя из следующих событий (приведено в примерном порядке убывания условной вероятности события):
а) разлив нефти, нефтепродукта на поверхности сухопутного и (или) водного объектов;
б) образование облака паров разлитой нефти, нефтепродукта (загазованности);
в) мгновенное воспламенение паров нефти, нефтепродукта;
г) отсроченное (задержанное) воспламенение (воспламенение с задержкой) дрейфующих паров нефти, нефтепродукта с возможностью взрыва, пожара-вспышки, пожара пролива;
д) возможность образования взрывоопасной смеси в замкнутом (полузамкнутом) пространстве (например, в тоннеле);
е) возможность образования капельной смеси в атмосфере при возникновении струи с последующим воспламенением;
ж) возможность образования взрывоопасной смеси в межтрубном пространстве при прокладке "труба в трубе" с последующим ее взрывом и разрушением внешней трубы.
31. Пример дерева событий при разгерметизации подземного участка ЛЧ ОПО МН и МНПП (за исключением прокладки в кожухе, "труба в трубе", туннеле) приведен на
рис. 3 приложения N 3 к настоящему Руководству по безопасности, алгоритм расчета аварийных утечек нефти, нефтепродукта из ОПО МП и МНПП - на
рис. 4 приложения N 3 к настоящему Руководству по безопасности.
32. При расчетах (в том числе по дереву событий на
рис. 3) принимают следующие условные вероятности событий:
а) возможность образования напорной струи в окружающей среде (c):
для подземных участков - 0,35 (только в случае свищей) в обычном исполнении и 3,15·10-5 для ОПО МН и МНПП "труба в трубе";
для надземных участков - 0,7 (только в случае свищей) в одиночном исполнении и 6,3·10-5 для исполнения "труба в трубе";
для подводных переходов - 0;
б) возможность образования взрывоопасной смеси в ограниченном пространстве тоннеля (d) (для прокладки трубопровода в тоннеле):
при давлении насыщенных паров нефти, нефтепродуктов выше НКПР - 1;
в остальных случаях - 0;
в) возможность образования капельной смеси в атмосфере (e):
для надземных участков - 1;
для подземного участка - 1 в случае напорной струи и 0 в случае ее отсутствия;
для подводных переходов - 0;
г) мгновенное воспламенение (f):
для подводных ОПО МН и МНПП - 0;
для иных вариантов зависит от мощности выброса: при утечках интенсивностью менее 1 кг/с - 0,005, при утечках интенсивностью от 1 до 50 кг/с - 0,015, более 50 кг/с - 0,04;
для полного разрыва - 0,05;
д) возможность образования разлития для подводных участков при свище и скорости течения более 1 м/с - 0, в остальных случаях - 1;
е) образование взрывоопасного облака паров нефти, нефтепродукта при испарении с пролива (g) для всех дизельных топлив и нефтей с давлением насыщенных паров менее 10 кПа - 0, в остальных случаях - 1;
ж) отсроченное воспламенение (воспламенение с задержкой) (h):
при выбросе в тоннеле - 0,1;
в остальных случаях при утечках с интенсивностью менее 1 кг/с - 0,005, при утечках с интенсивностью 1 - 50 кг/с - 0,015, более 50 кг/с - 0,042; при полном разрыве - 0,061;
и) возможность образования взрывоопасной смеси в межтрубном пространстве для прокладки "труба в трубе" с последующим ее взрывом и разрушением внешней трубы (a) - не равна нулю только для свищей во внутренней трубе при транспортировании нефти, нефтепродуктов с давлением насыщенных паров выше НКПР и принимается равной 7·10-5;
к) возможность увеличения отверстия разрушения (во внутренней трубе) после взрыва взрывоопасной смеси в межтрубном пространстве с последующим ее разрушением (b) - 0,1.
Приведенные условные вероятности могут быть скорректированы с учетом дополнительных решений, направленных на снижение риска аварий на ОПО МН и МНПП.
33. На
рис. 4 приложения N 3 к настоящему Руководству по безопасности приведен алгоритм расчета аварийных утечек нефти, нефтепродуктов из ОПО МП и МНПП с учетом типового времени обнаружения утечки, остановки насосов и начала перекрытия потока трубопроводной арматурой с учетом вероятности, длительности различных стадий аварийного истечения нефти, нефтепродуктов и действий АВБ. Приведены типовые значения времен длительности различных стадий. При наличии обоснований, возможно их изменение в соответствии с конкретной обстановкой.
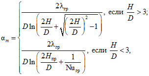
34. При определении коэффициента сбора Kсб учитывают факторы, связанные со сложностью проведения аварийных работ и характеристик окружающей среды (рельеф, нефтеемкость грунтов, наличие водных объектов).
Для болотистых участков Kсб составляет 0,85, для лесных и луговых - 0,8.
В соответствии с балльной оценкой факторов влияния состояния ОПО МН и МНПП на степень риска аварии, приведенной в
приложении N 5 к настоящему Руководству по безопасности,
Kсб = 0,6 для участков категории сложности I, 0,75 для участков категории сложности II - III и 0,9 для равнинных участков.
На переходах через водные преграды Kсб принимают равным от 0,85 (на малых реках и озерах) до 0,60 (на крупных водотоках).
IV. ТИПОВЫЕ СЦЕНАРИИ АВАРИЙ НА ПЛОЩАДОЧНЫХ СООРУЖЕНИЯХ
ОПАСНЫХ ПРОИЗВОДСТВЕННЫХ ОБЪЕКТОВ МАГИСТРАЛЬНЫХ
НЕФТЕПРОВОДОВ И МАГИСТРАЛЬНЫХ НЕФТЕПРОДУКТОПРОВОДОВ
35. На площадочных сооружениях возможны те же физические эффекты (исходы), что на ЛЧ ОПО МН и МНПП, но наличие емкостей и замкнутых объемов дополнительно делает возможным:
а) внутренние взрывы в резервуарах и помещениях;
б) разлет осколков при разрушении емкостного оборудования;
в) образование огненного шара;
г) выброс вскипающей нефти, нефтепродукта из горящего резервуара.
Основным фактором, способствующим возникновению внутреннего взрыва, является образование смеси паров нефти, нефтепродукта с воздухом с концентрацией углеводородов выше НКПР и ниже ВКПР.
36. Для резервуаров со стационарной крышей возможность образования свободного (паровоздушного) пространства, частично заполненного воздухом, а частично парами нефти, нефтепродукта, существует за счет обмена через дыхательную арматуру, связанную с атмосферой (в случае наличия инертного газа в системе такого обмена нет). Для резервуаров с плавающей крышей это возможно при отказах крыши, ее перекосе при операциях опорожнения.
37. Особенностью аварийного разлива нефти, нефтепродукта в помещении (прежде всего насосных) является повышенная (по сравнению с разливом в неограниченном пространстве) возможность образования взрывоопасной концентрации паров нефти, нефтепродукта в воздухе. С другой стороны, в помещениях реализуются условия для более существенного повышения давления при горении (взрыве) (по сравнению с открытым пространством). При непринятии своевременных противопожарных мер возможны вспышка и взрыв паров нефти, нефтепродукта при наличии источника воспламенения. Источником воспламенения в помещениях насосных станций могут быть электрическая искра от электрооборудования, искры от удара и трения разрушающихся деталей, нагретые поверхности оборудования, открытое пламя при огневых работах, вторичные проявления молнии.
38. Одним из наиболее опасных вариантов развития аварийной ситуации при горении нефти, нефтепродукта в резервуаре является выброс горящей нефти, нефтепродукта из резервуара. Такой вариант развития аварии возможен, когда в нефти содержится значительное количество воды (более 0,3%, и в этом случае выброс нефти возможен примерно через час после возникновения пожара), либо когда в резервуаре в придонной области скапливается вода и когда эта вода вскипает за счет прогрева от горящей в резервуаре нефти, нефтепродукта (скорость движения прогретого слоя от горящей поверхности ко дну составляет 40 см/ч согласно
подпункту 1.2 Руководства по тушению нефти и нефтепродуктов в резервуарах и резервуарных парках, утвержденного ГУГПС МВД России 12 декабря 1999 г.).
Вода может попасть в резервуар, например, при тушении горящей нефти, нефтепродуктов огнетушащими составами.
Кроме того, для нефтепродуктов с низкой температурой кипения (бензины, керосины) и небольшими объемами хранения возможен эффект огненного шара (подробное описание приведено в
Методике определения расчетных величин пожарного риска на производственных объектах, утвержденной приказом МЧС России от 10 июля 2009 г. N 404).
39. Для расчетов сценариев на площадочных сооружениях (НПС, РП, ПНБ) рекомендуется рассматривать десять вариантов возможных аварий (групп сценариев по Методическим
рекомендациям по составлению декларации промышленной безопасности опасного производственного объекта, РД 03-357-00, утвержденным постановлением Госгортехнадзора России от 26 апреля 2000 г. N 23 (далее - РД 03-357-00)). Первые три варианта связаны с возможными авариями на наземных резервуарах хранения нефти, нефтепродуктов, следующие три - с подземными ЖБР, седьмой - с авариями на небольших надземных емкостях, восьмой - с авариями на подземных емкостях, девятый - с авариями в насосных, а десятый - с выбросами на технологических трубопроводах.
40. Первый вариант представляет собой разгерметизацию одного резервуара с нефтью, нефтепродуктом с истечением нефти, нефтепродукта в обвалование или за его пределы (сценарий A1). Второй вариант состоит в образовании шлейфа паров нефти, нефтепродукта на дыхательной арматуре (люке, зазоре) (для резервуаров с плавающей крышей) и его зажигании с формированием факела (очага) горения (сценарий A2). В третьем варианте рассматривают образование ТВС в резервуаре в результате испарения нефти, нефтепродукта с последующим воспламенением и взрывом (сценарий A3).
Четвертый вариант представляет собой истечение нефти, нефтепродукта из подземного ЖБР в результате переполнения в обвалование или за его пределы (сценарий A4). Пятый вариант состоит в образовании шлейфа паров нефти, нефтепродукта на дыхательной арматуре (люке) подземного ЖБР и его зажигании с формированием факела (очага) горения (сценарий A5). В шестом варианте рассматривают образование ТВС в подземном ЖБР с последующим воспламенением и взрывом (сценарий A6).
41. Сценарий A
1. Частичное или полное разрушение единичного резервуара с нефтью, нефтепродуктами; трубопроводной арматуры, фланцевых соединений, переполнение резервуара

отрыв от резервуара отдельных элементов, их разлет и воздействие на людей и объекты

поступление в окружающую среду нефти, нефтепродукта (жидкой фазы и паров) с температурой окружающей среды (в случае подогрева - с температурой подогрева)

возможное разрушение соседних резервуаров (при полном разрушении аварийного резервуара)

разлив нефти, нефтепродукта на ограниченной обвалованием поверхности (разлив) нефти, нефтепродукта за пределами обвалования

воспламенение (в случае мгновенного воспламенения) нефти, нефтепродукта на месте выброса, горение нефти, нефтепродукта в (за) обваловании и (или) в резервуаре (резервуарах)

в случае отсутствия мгновенного воспламенения частичное испарение нефти, нефтепродукта

при наличии струйного приподнятого над землей истечения возможно образование капельной взвеси в воздухе

образование облака взрывоопасной смеси паров нефти, нефтепродукта с воздухом

распространение пролива и взрывоопасного облака парогазовой смеси

попадание паро-, капельно-воздушного облака или разлитой нефти, нефтепродукта в зону нахождения источника зажигания

сгорание/взрыв взрывоопасного облака

воздействие на людей и объекты волн сжатия, тепловое воздействие (пламя, излучение и контакт с горячими продуктами), воздействие продуктов сгорания облака

возможное воспламенение нефти, нефтепродукта на месте выброса, горение нефти, нефтепродукта в (за) обваловании, в резервуаре (резервуарах)

воздействие горящего пролива (тепловое излучение, воздействие открытым пламенем, горячие продукты горения) на людей и объекты, в том числе образование факелов на дыхательной арматуре и иных негерметичностях, взрывы в соседних резервуарах (в том числе находящихся в одном обваловании), попадание открытого пламени и искр на резервуары с плавающей крышей и их возгорание, потеря устойчивости резервуаров, дополнительный выброс нефти, нефтепродукта в (за) обвалование, выброс горящей нефти, нефтепродукта при вскипании воды

попадание в зону возможных поражающих факторов людей, оборудования и (или) объектов окружающей среды

последующее развитие аварии в случае, если затронутое оборудование содержит опасные вещества.
Дерево событий для сценария A
1 приведено на
рис. 5 приложения N 3 к настоящему Руководству по безопасности. Конечные ветви дерева событий, отмеченные словами "Прекращение аварии", при наличии в этих сценариях горения будут сопровождаться воздействиями, перечисленными выше в описании сценариев.
В случае, если такое воздействие приводит к дополнительному выбросу нефти, нефтепродукта и (или) появлению новых очагов горения как на рассматриваемом резервуаре, так и на соседних, соответствующая конечная ветвь на приведенном дереве событий будет служить отправной точкой нового дерева событий данной аварийной ситуации. Например, при горении в обваловании и потере резервуаром устойчивости необходимо рассмотреть далее также дерево событий для полного разрушения резервуара при наличии мгновенного воспламенения.
На
рис. 5 (и на всех последующих рисунках деревьев событий) не представлены ветвления, связанные с действиями по тушению (ликвидации) пожара. Такое ветвление происходит по двум путям:
прекращение пожара в случае успешных действий;
продолжение пожара в случае неудачи.
Данное ветвление учитывают при расчете условных вероятностей конечных событий, что достигается путем умножения соответствующей условной вероятности (a, 1-a) на условную вероятность успешности тушения пожара. Процедуру выполняют для каждой ветви дерева событий, на которой предпринимается соответствующее действие. Вероятность успешного тушения пожара в резервуаре принимают равной 0,3. Вероятность успешного тушения пожара за пределами резервуара принимают равной 0,05.
На
рис. 5 приняты следующие условные вероятности событий:
а) резервуар теряет целостность после появления разрушения (a) - 0,05;
б) разрушение соседних (находящихся в одном обваловании) резервуаров и дополнительный выброс нефти, нефтепродуктов (b):
для длительных выбросов - 0;
для залповых выбросов - 0,05;
в) пролив за пределы обвалования (c):
при длительном выбросе - 1, если приподнятая струя, образующаяся при истечении из резервуара, выпадает за пределы обвалования, и 0 в противном случае;
при залповом выбросе - 0, если конструкция обвалования вмещает всю выброшенную нефть, нефтепродукты, исключает перехлест нефти, нефтепродукта через обвалование и его разрушение (размыв), и 1 в противном случае;
г) мгновенное воспламенение и образование горящих проливов (d) - 0,05;
д) образование дрейфующего облака ТВС (e) для всех дизтоплив и нефтей с давлением насыщенных паров менее 10 кПа - 0, в остальных случаях - 1;
е) образование капельной взвеси нефти, нефтепродукта в атмосфере (f) для бензинов и керосинов при высоте выброса более 5 м - 1; в остальных случаях - 0;
ж) появление на пути дрейфующего облака источника зажигания (g) - 0,05.
Приведенные условные вероятности могут быть скорректированы с учетом дополнительных решений, направленных на снижение риска аварий на ОПО МН и МНПП.
42. Сценарий A
2. Образование облака паров нефти, нефтепродукта при сбросе через дыхательную арматуру (большие и малые дыхания) открытые люки, в местах негерметичности сочленения пенных камер с корпусом резервуара, за счет локального испарения на зазоре плавающей крыши

загазованность окружающего пространства с образованием объемов ТВС во взрывоопасных пределах, их воспламенение

сгорание (взрыв) облака ТВС, воздействие на людей и объекты волн сжатия, тепловое воздействие (излучение, пламя и контакт с горячими продуктами), воздействие продуктов

образование факела на дыхательной арматуре (на зазоре) при стабилизации горения на месте выброса паров

воздействие факела на близлежащие объекты, в том числе переброс факела на дыхательную арматуру других резервуаров, взрывы в соседних резервуарах из-за нагрева паров внутри, попадание открытого пламени и искр на резервуары с плавающей крышей, разрушение оборудования за счет воздействия пламенем или горячих продуктов горения, задымление

распространение горения на весь резервуар, возможно со взрывом ТВС в резервуаре

переход горения на поверхность жидкости, возможное обрушение крыши (полное или частичное); выгорание нефти, нефтепродукта в резервуаре, воздействие на людей и соседнее оборудование (тепловое излучение, воздействие открытым пламенем, горячие продукты горения), в том числе горения на дыхательную арматуру других резервуаров, инициирование новых очагов горения на других резервуарах с плавающей крышей, взрывы в соседних резервуарах из-за нагрева паров внутри резервуара, попадание открытого пламени и искр на резервуары с плавающей крышей, разрушение оборудования за счет воздействия пламенем или горячими продуктами горения, задымление

выброс горящей нефти, нефтепродукта из резервуара при обрушении крыши (либо при разрушении резервуара, либо при переливе горящего продукта), при проведении пенной атаки

образование "карманов", продолжение пожара

выброс горящей нефти, нефтепродукта при вскипании воды в резервуаре

потеря резервуаром устойчивости, его полное разрушение в результате пожара.
Дерево событий для сценария A
2 приведено на
рис. 6 приложения N 3 к настоящему Руководству по безопасности.
На
рис. 6 приняты следующие условные вероятности событий:
а) воспламенение шлейфа паров нефти, нефтепродукта (a) - 0,05;
б) прекращение горения (b) при наличии на дыхательной арматуре исправного огнепреградителя - 1, на зазоре - 0,75, на люке - 0,2;
в) зажигание нефти, нефтепродукта в резервуаре (c) - 0,2 или в зависимости от надежности огнепреградителей, или с учетом способности потушить пожар на зазоре;
г) при переходе горения на резервуар, в резервуаре происходит взрыв (d) - 0,2 для резервуаров со стационарной крышей и 0 для резервуаров с плавающей крышей;
д) взрыв вызывает разрушение резервуара (в том числе обрушение крыши с переливом горящего продукта) (e) - 0,5;
е) при проведении пенной атаки произошел перелив нефти, нефтепродукта - 0,2 (без пенной атаки не задается);
ж) выброс горящей нефти, нефтепродукта при вскипании воды в резервуаре (g) - в зависимости от обстоятельств;
и) потеря устойчивости резервуара при пожаре в нем (h) - в зависимости от обстоятельств.
Приведенные условные вероятности могут быть скорректированы с учетом дополнительных решений, направленных на снижение риска аварий на ОПО МН и МНПП.
43. Сценарий A
3. Образование в резервуаре ТВС (в результате испарения нефти, нефтепродукта, подсоса воздуха), инициирование смеси (заряды атмосферного и статического электричества, огневых работ, пирофорные отложения, внешний нагрев), сгорание (взрыв) ТВС внутри резервуара

поражение взрывом объектов и людей, прежде всего находившихся в резервуаре, на крыше вблизи от него (волны сжатия и разрежения - затягивание в резервуар, открытое пламя, горячие продукты взрыва, излучение)

возможное последующее разрушение резервуара, образование осколков, воздействие осколков на людей, окружающее оборудование.
Далее развитие аварии может идти по одному из вариантов:
а) нефть, нефтепродукты начинают поступать из резервуара наружу (вариант 1);
б) нефть, нефтепродукты остаются в резервуаре (вариант 2).
В случае варианта 1 дальнейшие события развиваются по сценарию A1. В случае развития по варианту 2 после взрыва в резервуаре может начаться пожар, и тогда авария будет развиваться по сценарию A2 (с момента загорания в резервуаре). Если пожар не возникает, то развитие аварийной ситуации можно считать законченным.
Дерево событий для сценария A
3 приведено на
рис. 7 приложения N 3 к настоящему Руководству по безопасности.
44. Сценарии A4 - A6 аналогичны сценариям A1 - A3, но в силу подземного расположения резервуара имеют следующие отличия:
а) выброс жидкой фазы может быть только при переполнении резервуара, и разливы при этом происходят только в специально предусмотренных местах (приямки);
б) полное разрушение резервуара и залповый выброс содержимого исключены, поскольку грунт всегда выполняет функцию стенок.
Дерево событий для сценария A
4 приведено на
рис. 8 приложения N 3 к настоящему Руководству по безопасности.
На
рис. 8 приняты следующие условные вероятности событий:
мгновенное воспламенение и образование горящих проливов (d) - 0,05;
образование дрейфующего облака ТВС (e) для всех дизельных топлив и нефтей с давлением насыщенных паров менее 10 кПа - 0, в остальных случаях - 1;
появление на пути дрейфующего облака ТВС источника зажигания (g) - 0,05.
Приведенные условные вероятности могут быть скорректированы с учетом дополнительных решений, направленных на снижение риска аварий на ОПО МН и МНПП.
Дерево событий для сценария A
5 приведено на
рис. 9 приложения N 3 к настоящему Руководству по безопасности.
На
рис. 9 приняты следующие условные вероятности событий:
воспламенение шлейфа паров нефти, нефтепродукта (a) - 0,05;
прекращение горения (b) - 0,75;
зажигание нефти, нефтепродукта в резервуаре (c) - 0,2 или в зависимости от надежности огнепреградителей, или с учетом способности потушить пожар на зазоре;
при переходе горения на резервуар в резервуаре происходит взрыв (d) - 0,2;
взрыв вызывает разрушение резервуара (разрушение крыши) (e) - 0,5;
при проведении пенной атаки произошел перелив нефти, нефтепродукта - 0,2 (в случае отсутствия данного варианта - пенной атаки - не задается);
выброс горящей нефти, нефтепродукта при вскипании воды в резервуаре (g) - в зависимости от обстоятельств.
Приведенные условные вероятности могут быть скорректированы с учетом дополнительных решений, направленных на снижение риска аварий на ОПО МН и МНПП.
Дерево событий для сценария A
6 приведено на
рис. 10 приложения N 3 к настоящему Руководству по безопасности.
На
рис. 10 приняты следующие условные вероятности событий:
при взрыве внутри резервуара образуются разлетающиеся элементы крыши резервуара (a) - 0,02;
зажигание нефти, нефтепродукта в резервуаре при отсутствии выброса из резервуара (c) - 0,2.
Приведенные условные вероятности могут быть скорректированы с учетом дополнительных решений, направленных на снижение риска аварий на ОПО МН и МНПП.
45. Сценарии A7 - A8 рассматривают емкости под давлением, в которых исключена возможность внутренних взрывов.
46. Сценарий A
7. Разрушение (частичное или полное) емкости с нефтью, нефтепродуктом

поступление в окружающую среду нефти, нефтепродукта

образование и распространение пролива нефти, нефтепродукта и его частичное испарение

образование взрывоопасной концентрации паров нефти, нефтепродукта в воздухе

воспламенение паров нефти, нефтепродукта и (или) пролива нефти, нефтепродукта при наличии источника зажигания

сгорание/взрыв облака ТВС

пожар разлития

попадание в зону возможных поражающих факторов людей, оборудования и (или) объектов окружающей среды

последующее развитие аварии в случае, если затронутое оборудование содержит опасные вещества.
Дерево событий для сценария A
7 приведено на
рис. 11 приложения N 3 к настоящему Руководству по безопасности.
На
рис. 11 приняты следующие условные вероятности событий:
емкость сохраняет целостность после появления разрушения (a) - 0,95;
разрушение ниже уровня жидкости (b) - пропорционально отношению средней высоты уровня жидкости (взлива) к высоте емкости (если нет данных, принимают 0,8);
мгновенное воспламенение и образование горящих проливов/факелов (c) - 0,05 для истечения жидкой фазы (отверстие ниже уровня жидкости), 0,2 для истечения газовой фазы (отверстие выше уровня жидкости);
образование дрейфующего облака ТВС (d) - для всех дизельных топлив и нефтей с давлением насыщенных паров менее 10 кПа - 0, в остальных случаях - 1;
появление на пути дрейфующего облака источника зажигания (e) - 0,05 для истечения жидкой фазы (отверстие ниже уровня жидкости); 0,2 - для истечения газовой фазы (отверстие выше уровня жидкости);
образование капельной взвеси (диспергированной струи) (h) - 0,7 (только в случае свищей).
Приведенные условные вероятности могут быть скорректированы с учетом дополнительных решений, направленных на снижение риска аварий на ОПО МН и МНПП.
Сценарий A8 аналогичен сценарию A7 с той разницей, что подземное расположение емкости исключает возможность полного разрушения и пролива жидкой фазы.
47. Сценарий A
8. Разрушение (частичное или полное) емкости с нефтью, нефтепродуктом

поступление в окружающую среду нефти, нефтепродукта

раскрытие емкости, формирование открытого зеркала нефти, нефтепродукта и ее частичное испарение

образование взрывоопасной концентрации паров нефти, нефтепродукта в воздухе

воспламенение паров нефти, нефтепродукта и (или) пролива нефти, нефтепродукта при наличии источника зажигания

сгорание (взрыв) облака ТВС

пожар разлития

попадание в зону возможных поражающих факторов людей, оборудования и (или) объектов окружающей среды

последующее развитие аварии в случае, если затронутое оборудование содержит опасные вещества.
Дерево событий для сценария A
8 приведено на
рис. 12 приложения N 3 к настоящему Руководству по безопасности.
На
рис. 12 приняты следующие условные вероятности событий:
емкость сохраняет целостность после появления разрушения (a) - 0,95;
разрушение ниже уровня жидкости (b) - пропорционально отношению средней высоты уровня жидкости (взлива) к высоте емкости (если нет данных, принимают 0,8);
мгновенное воспламенение и образование горящих факелов (d) - 0,2;
образование дрейфующего облака ТВС (e) - для всех дизельных топлив и нефтей с давлением насыщенных паров менее 10 кПа - 0, в остальных случаях - 1;
появление на пути дрейфующего облака ТВС источника зажигания (f) - 0,05 для полного разрушения; 0,2 для частичного.
образование капельной взвеси (диспергированной струи) (h) - 0,7 (только в случае свищей).
Приведенные условные вероятности могут быть скорректированы с учетом дополнительных решений, направленных на снижение риска аварий на ОПО МН и МНПП.
48. Сценарий A
9. Разрушение (частичное или полное) насосного агрегата или подводящего трубопровода

поступление (в том числе в помещение) нефти, нефтепродукта с температурой окружающей среды

распространение пролива нефти, нефтепродукта в помещении (за его пределами) и ее частичное испарение

образование взрывоопасной концентрации паров нефти, нефтепродукта в воздухе

воспламенение паровоздушной смеси, разлитой нефти, нефтепродукта при наличии источника зажигания

сгорание (взрыв) облака ТВС и возможное последующее горение разлитой нефти, нефтепродукта

пожар

разрушение насосной, попадание в зону возможных поражающих факторов людей, оборудования и (или) объектов окружающей среды

последующее развитие аварии в случае, если затронутое оборудование содержит опасные вещества.
Дерево событий для сценария A
9 приведено на
рис. 13 приложения N 3 к настоящему Руководству по безопасности.
На
рис. 13 приняты следующие условные вероятности событий:
возможность образования капельной смеси (a) - 0,3;
мгновенное воспламенение и образование горящих проливов (факелов) (b) - 0,05;
образование ТВС (c) для всех дизельных топлив и нефтей с давлением насыщенных паров менее 3 кПа (насосы в помещении) и 10 кПа (насосы в открытой площадке) - 0, в остальных случаях - 1;
появление на пути дрейфующего облака ТВС источника зажигания (d) - 0,05.
Приведенные условные вероятности могут быть скорректированы с учетом дополнительных решений, направленных на снижение риска аварий на ОПО МН и МНПП.
49. Сценарий A
10. Разрушение (частичное или полное) технологического трубопровода (трубопроводной арматуры камеры приема и пуска СОД)

поступление в окружающую среду нефти, нефтепродуктов с температурой окружающей среды

образование и распространение пролива нефти, нефтепродуктов, его частичное испарение

образование взрывоопасной концентрации паров нефти, нефтепродукта в воздухе

воспламенение паров нефти, нефтепродукта и (или) пролива нефти, нефтепродукта при наличии источника зажигания

сгорание (взрыв) облака ТВС

пожар разлития

попадание в зону возможных поражающих факторов людей, оборудования и (или) объектов окружающей среды

последующее развитие аварии в случае, если затронутое оборудование содержит опасные вещества.
Дерево событий на технологическом трубопроводе полностью аналогично дереву событий на ЛЧ ОПО МН и МНПП,
рис. 13 приложения N 3 к настоящему Руководству по безопасности.
50. Основными поражающими факторами в случае аварий на площадочных сооружениях являются:
ударная волна;
тепловое излучение;
открытое пламя и горящая нефть, нефтепродукт;
токсичные продукты горения (в том числе с высокой температурой);
осколки разрушенного оборудования, обрушения зданий и конструкций.
51. Перечисленные сценарии аварий включают и сценарии, развитие которых сопровождается так называемым эффектом домино. Этот эффект учитывают на последних этапах развития аварий - последующее развитие аварий в случае, если затронутое оборудование содержит опасные вещества.
Переход аварийной ситуации с одной емкости на другую возможен при:
разлете осколков (или отдельных элементов конструкции) и разрушении этими осколками соседних емкостей;
охватывании пламенем емкости и потере устойчивости конструкций этой емкости;
нагреве емкости тепловым излучением и потере устойчивости конструкций этой емкости;
нагреве емкости тепловым излучением или пламенем и внутреннем взрыве в емкости вследствие нагрева;
контакте пламени с загазованной областью с концентрацией выше НКПР (таким образом, может передаваться горение с дыхательного клапана одного резервуара на дыхательный клапан другого резервуара);
выбросе горящей нефти, нефтепродукта, разлете искр и нагретых элементов по территории, прилегающей к месту аварий.
52. Аварии на площадочных сооружениях ОПО МН и МНПП могут развиваться по схеме, приведенной на
рис. 14 приложения N 3 к настоящему Руководству по безопасности.
При использовании изложенных сценарных схем развития аварий учитываются свойства нефти, нефтепродукта, поскольку некоторые физические процессы могут происходить, только если характеристики жидкой фазы лежат в определенном диапазоне, в связи с чем рекомендуется учитывать следующее:
для дизельного топлива реализуется только один вариант горения - горение пролива;
облака ТВС образуются только при проливах бензина, керосина и нефтей с высоким давлением насыщенных паров (более 10 кПа);
горящие факелы возможны только на бензине, керосине и нефти (при свищах);
огненные шары образуются только на емкостях с бензином, керосином и иными нефтепродуктами с низкой температурой кипения.
V. КОЛИЧЕСТВЕННАЯ ОЦЕНКА РИСКА АВАРИЙ НА ОПАСНЫХ
ПРОИЗВОДСТВЕННЫХ ОБЪЕКТАХ МАГИСТРАЛЬНЫХ НЕФТЕПРОВОДОВ
И МАГИСТРАЛЬНЫХ НЕФТЕПРОДУКТОПРОВОДОВ.
ОЦЕНКА ЧАСТОТЫ ВОЗМОЖНЫХ СЦЕНАРИЕВ АВАРИЙ
53. Оценку ожидаемых частот аварий на объектах ОПО МН и МНПП рекомендуется проводить на основе официальных данных по расследованию аварий с разгерметизацией ЛЧ ОПО МН и МНПП, технических устройств и сооружений, сопровождаемых выбросом нефти или нефтепродуктов при эксплуатации объектов ОПО МН и МНПП, или в соответствии с нормативными документами, утвержденными или согласованными Ростехнадзором или МЧС России.
54. При оценке частоты аварий на ЛЧ ОПО МН и МНПП рекомендуется учитывать:
статистические данные Ростехнадзора по количеству, частоте разгерметизации ОПО МН и МНПП и причинам аварий на ЛЧ ОПО МН и МНПП эксплуатирующей организации с разными технологическими параметрами;
влияние на возможность разгерметизации ОПО МН и МНПП различных внешних и внутренних факторов: природно-климатических условий, технико-технологических, эксплуатационных, срока эксплуатации, антропогенных и других факторов, изменяющихся вдоль трассы ОПО МН и МНПП.
55. Для оценки частоты аварий на произвольных участках ОПО МН и МНПП применяются методики, использующие принцип корректировки среднестатистической удельной частоты аварий с помощью системы коэффициентов и балльных оценок, учитывающих неравнозначное влияние факторов в соответствии с
приложениями N 5 и
6 к настоящему Руководству по безопасности. При расчете используется принцип корректировки среднестатистической удельной частоты аварий на ЛЧ ОПО МН и МНПП с помощью специально выстроенной системы из пяти групп факторов влияния с установленными экспертным путем весовыми коэффициентами и шкалами балльных оценок факторов, который можно применять для сухопутных участков и подводных переходов ОПО МН и МНПП как при наличии результатов внутритрубной дефектоскопии, так и при их отсутствии.
56. Оценку частот (вероятности) разгерметизации оборудования на площадочных сооружениях проводят в соответствии с методическими документами Ростехнадзора.
57. Частоту развития аварий по тому или иному сценарию аварий вычисляют перемножением частоты возникновения аварий, определенной в соответствии с
пунктами 55 и
56 настоящего Руководства по безопасности, на условные вероятности сценариев, указанные в
пункте 32 <*>, с учетом количества единиц оборудования.
--------------------------------
Оценка возможных последствий
по рассматриваемым сценариям аварий
58. Для оценки последствий аварий для каждого рассматриваемого сценария определяют вероятные зоны действия поражающих факторов аварий в соответствии с
приложением N 7 к настоящему Руководству по безопасности.
59. Для каждого рассматриваемого сценария производят расчет количества пострадавших от аварий и максимально возможного числа потерпевших с учетом времени пребывания в зоне поражения (в том числе при необходимости максимально возможного количества потерпевших, жизни или здоровью которых может быть причинен вред в результате аварий на ОПО - МВКП
л, МВКП
п), которое определяется числом людей, оказавшихся в превалирующей зоне действия поражающих факторов аварий (исходя из принципа "поглощения" большей опасностью всех меньших опасностей). Определение числа пострадавших от аварии приведено в
Руководстве по безопасности "Методические основы по проведению анализа опасностей и оценки риска аварий на опасных производственных объектах", утвержденном приказом Ростехнадзора от 11 апреля 2016 г. N 144.
60. Величину ожидаемого ущерба при аварии определяют в соответствии с Методическими
рекомендациями по оценке ущерба от аварий на опасных производственных объектах (РД 03-496-02), утвержденными постановлением Госгортехнадзора России от 29 октября 2002 г. N 63. Расчет платы за загрязнение окружающей среды рекомендуется проводить в соответствии с действующими нормативными актами в области охраны окружающей среды.
Пример расчета платы за загрязнение почв, водных объектов и атмосферного воздуха приведен в
приложении N 9 к настоящему Руководству по безопасности.
Расчет показателей риска аварий на опасных
производственных объектах магистральных нефтепроводов
и магистральных нефтепродуктопроводов
61. Величину потенциального риска вдоль оси однониточного трубопровода Rпот(x0, r0), год-1, в определенной точке с координатами (x0, r0), где координата x0 - координата вдоль оси трубопровода, км, r0 - координата по оси, перпендикулярной оси трубопровода, расположенной на расстоянии r0, км, от оси ОПО МН и МНПП определяют по формуле

,
где

- удельная частота разгерметизации ЛЧ ОПО МН и МНПП в точке с координатой
x вдоль оси ОПО МН и МНПП, год
-1·км
-1;
Qk - условная вероятность реализации k-го сценария развития аварий;

- коэффициент уязвимости человека, находящегося в точке территории с координатами (
x0,
r0) от
j-го поражающего фактора, который может реализоваться в ходе
k-го сценария аварии и зависящий от защитных свойств помещения, укрытия, в котором может находиться человек в момент аварии, и изменяющийся от 0 (человек неуязвим) до 1 (человек не защищен из-за незначительных защитных свойств укрытия);
Ф
k(
x0,
r0) - количество поражающих факторов, которые могут действовать одновременно при реализации
k-го сценария в точке с координатами (
x0,
r0) и которые определяются в соответствии с рекомендациями
Руководства по безопасности "Методические основы по проведению анализа опасностей и оценки риска аварий на опасных производственных объектах", утвержденного приказом Ростехнадзора от 11.04.2016 N 144;

- условная вероятность поражения человека в точке территории с координатой (
x0,
r0) в результате реализации
j-го поражающего фактора в
k-м сценарии развития аварии, произошедшей в точке ОПО МН и МНПП с координатой
x.
Способ определения удельных частот различных типов разгерметизации ОПО МН и МНПП приведен в
пунктах 52 -
56 <*> настоящего Руководства по безопасности, условной вероятности реализации сценариев - в
пунктах 22 -
51 <**> настоящего Руководства по безопасности.
--------------------------------
<*> Возможно, имеются в виду
пункты 53 -
57. (Примеч. изд.)
Верхнюю и нижнюю границы интегрирования xmin и xmax определяют таким образом, что ни для одного возможного сценария аварий в точках с координатой менее xmin или с координатой более xmax вдоль оси трубопровода зоны действия поражающих факторов не будут распространяться на точку территории с координатами (x0,r0).
При определении потенциального риска для многониточного трубопровода или для участка с лупингами значения потенциального риска от каждой нитки трубопровода в точке территории рассчитывают по формуле, приведенной в данном пункте, а итоговое значение потенциального риска в точке принимают равным сумме значений потенциального риска от каждой нитки.
62. Величину потенциального риска Rпот(x, y), год-1, в определенной точке (x, y) на территории площадочного объекта и в селитебной зоне вблизи площадочного объекта рекомендуется определять по формуле

,
где I - число сценариев развития аварий;
Qi - частота реализации в течение года i-го сценария развития аварии, год-1.
Условные вероятности поражения человека

определяют в соответствии с
приложением N 7 к настоящему Руководству по безопасности. Частоту реализации сценария развития аварий вычисляют перемножением частоты возникновения аварий, определенной в соответствии с
пунктами 52 -
56 <*> настоящего Руководства по безопасности, на условную вероятность сценария, определенную в
пунктах 22 -
51 <**> настоящего Руководства по безопасности для каждой единицы оборудования.
--------------------------------
<*> Возможно, имеются в виду
пункты 53 -
57. (Примеч. изд.)
63. Величину индивидуального риска
Ri, год
-1, для
i-го работника объекта при его нахождении на территории объекта определяют по формуле

,
где qji - вероятность присутствия i-го работника в j-й области территории;
Rпот(j) - величина потенциального риска в j-й области территории, год-1.
Вероятность qji определяют долей времени нахождения рассматриваемого человека в определенной области территории.
64. Индивидуальный риск для жителей населенных пунктов и иных объектов с размещением людей определяют в соответствии с формулой, приведенной в
пункте 63 настоящего Руководства по безопасности, заменяя слово "работник" словом "житель" и принимая при расчете потенциального риска

равным единице. Если не представляется возможным оценить вероятность присутствия жителя в каждой области территории, величину индивидуального риска принимают равной значению потенциального риска в жилой, общественно-деловой или рекреационной зоне.
Аналогичным образом можно определять значения индивидуального риска для иных групп лиц (работников соседних предприятий, посетителей мест массового скопления людей, пассажиров железнодорожного и автотранспорта и т.п.) с учетом

, определяемого в соответствии с
Руководством по безопасности "Методические основы по проведению анализа опасностей и оценки риска аварий на опасных производственных объектах".
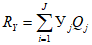
65. Величины ожидаемого ущерба (коллективный риск, ожидаемые утечки и потери нефти, нефтепродукта при аварии, ожидаемый экологический ущерб) для всего объекта, его составляющих или отдельных участков определяют по формуле

,
где J - число сценариев развития аварий для всего объекта, его отдельных составляющих или отдельных участков соответственно;
Qj - частота реализации в течение года
j-го сценария развития аварии, год
-1, определяемая в соответствии с
пунктами 52 -
56 <*> настоящего Руководства по безопасности;
--------------------------------
<*> Возможно, имеются в виду
пункты 53 -
57. (Примеч. изд.)
Nj - ожидаемый ущерб (объем разлива нефти, число погибших) при реализации
j-го сценария в соответствии с
приложением N 8 <**> к настоящему Руководству по безопасности.
--------------------------------
Величины коллективного риска, характеризующие ожидаемые потери (людей, нефти, нефтепродуктов, экологии) определяют по формулам:
при определении коллективного риска Rколл, чел./год, - ожидаемого числа погибших в течение года для всех возможных сценариев общим числом J (j = 1, ..., J):

;
при определении ожидаемых потерь нефти, нефтепродукта Rm, т/год, - ожидаемой массы потерянной нефти в течение года для всех возможных сценариев общим числом J (j = 1, ..., J):

;
при определении экономического ущерба RY, тыс. руб./год, - ожидаемого ущерба в течение года для всех возможных сценариев общим числом J (j = 1, ..., J):

;
при определении экологического риска RЭn, тыс. руб./год, - ожидаемого экологического ущерба в течение года для всех возможных сценариев общим числом J (j = 1, ..., J):

.
66. Социальный риск рекомендуется рассчитывать в соответствии с
Руководством по безопасности "Методические основы по проведению анализа опасностей и оценки риска аварий на опасных производственных объектах".
67. Максимально возможное количество потерпевших, жизни или здоровью которых может быть причинен вред в результате аварий на опасном объекте, определяется как наибольшее из значений величин максимально возможного количества потерпевших для различных сценариев и групп потерпевших лиц, определенных в соответствии с
пунктами 58 -
60 <***> настоящего Руководства по безопасности.
--------------------------------
<***> Возможно, имеются в виду
пункты 58,
59. (Примеч. изд.)
Определение степени опасности участков и составляющих
опасных производственных объектов магистральных
нефтепроводов и магистральных нефтепродуктопроводов
68. На этапе "Определение степени опасности участков и составляющих ОПО МН и МНПП" проводится:
ранжирование участков и составляющих ОПО МН и МНПП по показателям риска аварий;
сравнение показателей риска аварий участков и составляющих ОПО МН и МНПП со среднестатистическим (фоновым) уровнем и установление степени опасности участков и составляющих ОПО МН и МНПП.
Ранжирование участков и составляющих опасных
производственных объектов магистральных нефтепроводов
и магистральных нефтепродуктопроводов
по показателям риска аварий
69. Ранжирование участков и составляющих ОПО МН и МНПП по основным опасностям аварий осуществляют для однотипных участков и составляющих ОПО МН и МНПП по характерным для них основным показателям риска аварий в соответствии с
разделом II настоящего Руководства по безопасности.
70. Для ранжирования участков ЛЧ ОПО МН и МНПП строят зависимость характерных показателей риска аварий ЛЧ-2, ЛЧ-3, ЛЧ-4, ЛЧ-6, ЛЧ-7, ЛЧ-8, ЛЧ-9 и ЛЧ-11 вдоль всей трассы по форме, изображенной на
рис. 15 приложения N 3 к настоящему Руководству по безопасности, где
R(
n) - один из показателей риска для
n-го участка,
xn - расстояние от начала трассы для
n-го участка.
71. Для ранжирования составляющих площадочных объектов ОПО МН и МНПП составляют таблицу с полным перечнем рассмотренных составляющих, сгруппированных по типам (насосное оборудование, резервуары и иное емкостное оборудование, технологические трубопроводы опасных веществ), и с указанием рассчитанных показателей риска аварий в порядке убывания средней массы потерь нефти, нефтепродукта при наиболее опасном сценарии аварий. Отдельно указывают составляющие, имеющие максимальные значения по другим показателям (за исключением Пл-16).
Сравнение показателей риска аварий участков и составляющих
опасных производственных объектов магистральных
нефтепроводов и магистральных нефтепродуктопроводов
со среднестатистическим (фоновым) уровнем. Установление
степени опасности участков и составляющих на опасных
производственных объектах магистральных нефтепроводов
и магистральных нефтепродуктопроводов
72. На основе ранжирования участков и составляющих ОПО МН и МНПП по рассчитанным количественным показателям риска аварий устанавливают степень опасности участков и составляющих ОПО МН и МНПП.
Опасность аварий на участках и составляющих ОПО МН и МНПП устанавливают относительным сравнением со среднестатистическим (фоновым) уровнем риска аварий по следующим степеням:
низкая;
средняя;
высокая;
чрезвычайно высокая.
73. Для участков ЛЧ ОПО МН и МНПП степень опасности аварий определяют различием между рассчитанным для участка значением показателя риска аварий и среднестатистическим (фоновым) уровнем риска аварий
R5 лет по критериям, приведенным в
табл. 3 приложения N 3 к настоящему Руководству по безопасности.
74. Среднестатистический (фоновый) уровень риска аварий для ЛЧ ОПО МН и МНПП R5 лет определяют на этапе планирования организации работ как среднегодовое значение показателя риска аварий за последний пятилетний период рассмотрения на ОПО МН и МНПП эксплуатирующей организации.
75. Примеры определения критериев степени опасности участков ЛЧ ОПО МН и МНПП, где в качестве показателей опасности использованы удельные ожидаемые потери нефти, нефтепродукта и экологический ущерб от аварий за год, приведены в
табл. 4 и
6 приложения N 3 к настоящему Руководству по безопасности. Для ЛЧ ОПО МН и МНПП указанные дополнительные показатели риска аварий являются типовыми.
76. Иллюстрация формы представления распределения суммарной длины участков
Ls трассы по показателю риска аварий
R приведена на
рис. 16 приложения N 3 к настоящему Руководству по безопасности.
В случае однокилометровых сухопутных участков вместо суммарной длины участков Ls используют общее количество таких участков.
При отсутствии достоверных сведений о среднестатистическом (фоновом) уровне риска аварий для какого-либо показателя риска аварий на ЛЧ ОПО МН и МНПП критерии степени опасности устанавливают исходя из значений данного показателя, рассчитанных для участков всей трассы на этапе "Количественная оценка риска аварии на ОПО МН и МНПП". Для этого полный интервал изменения показателя риска {
Rmin,
Rmax} разделяют по критериям степени опасности на ЛЧ ОПО МН и МНПП, приведенным в
табл. 6 приложения N 3 к настоящему Руководству по безопасности.
77. Для площадочных объектов (составляющих) ОПО МН и МНПП степень опасности аварий определяют показателем максимально возможного количества потерпевших, жизни или здоровью которых может быть причинен вред в результате аварий (в том числе смертельно травмированных), по критериям, приведенным в
табл. 7 приложения N 3 к настоящему Руководству по безопасности.
78. Для сопоставительной оценки степени опасности разливов нефти и нефтепродуктов в водные объекты при авариях на ОПО МН и МНПП можно использовать данные международной статистики, например, по аварийным разливам при перевозках нефти и нефтепродуктов танкерами.
Сопоставительные критерии степени опасности аварий при перевозках нефти и нефтепродуктов танкерами приведены в
табл. 8 приложения N 3 к настоящему Руководству по безопасности (на основе данных "The International Tanker Owners Pollution Federation").
Рекомендации по снижению риска аварий
79. Разработка необходимых рекомендаций по снижению риска аварий является заключительным этапом процедуры количественного анализа риска аварий на ОПО МН и МНПП. Рекомендации основываются на результатах идентификации опасностей аварий, количественной оценке риска аварий на ОПО МН и МНПП и определении степени опасности участков и составляющих ОПО МН и МНПП.
Необходимость разработки рекомендаций по снижению риска аварий безусловна только для чрезвычайно опасных участков и составляющих ОПО МН и МНПП. Для высоко- и среднеопасных участков и составляющих ОПО МН и МНПП необходимость разработки рекомендаций обусловлена имеющимися ресурсами на внедрение дополнительных мероприятий (мер, групп мер) по обеспечению безопасности технического и (или) организационного характера.
80. Рассчитанные показатели риска аварий на объектах ЛЧ ОПО МН и МНПП (участках) и площадочных сооружениях (составляющих) ОПО МН и МНПП используют для обоснования приоритетов в мероприятиях по оптимальному обеспечению безопасного функционирования ОПО МН и МНПП в условиях опасности возможного возникновения промышленных аварий (риск-ориентированный подход).
Необходимые рекомендации по снижению риска аварий разрабатываются в форме проектных решений или планируемых мероприятий (мер, групп мер) по обеспечению безопасности технического и (или) организационного характера.
81. Для оценки эффективности возможных мер (групп мер) по обеспечению безопасности ОПО МН и МНПП решают следующие альтернативные оптимизационные задачи:
при заданных ресурсах выбирают оптимальную группу мер безопасности, обеспечивающих максимальное снижение риска аварий на ОПО МН и МНПП;
минимизируя затраты, выбирают оптимальную группу мер безопасности, обеспечивающих снижение риска аварий до значений, исключающих долгосрочную эксплуатацию чрезвычайно опасных участков и составляющих ОПО МН и МНПП.
82. Меры (группы мер) обеспечения безопасности должны уменьшать возможность и (или) смягчать тяжесть последствий возможных аварий. К приоритетным необходимым рекомендациям по снижению риска аварий относят меры по обеспечению безопасности, направленные преимущественно на предупреждение аварий (уменьшение возможности возникновения инцидентов и аварий).
83. Меры по уменьшению вероятности возникновения аварийной ситуации на ОПО МН и МНПП включают:
меры по уменьшению вероятности возникновения инцидента;
меры по уменьшению вероятности перерастания инцидента в аварийную ситуацию.
84. Меры по уменьшению тяжести последствий аварий на ОПО МН и МНПП имеют следующие приоритеты:
меры, предусматриваемые при проектировании опасного объекта (например, выбор несущих конструкций, запорной арматуры);
меры, относящиеся к системам противоаварийной защиты и контроля (например, применение газоанализаторов);
меры, касающиеся готовности эксплуатирующей организации к локализации и ликвидации последствий аварий.
85. Основными мероприятиями по снижению риска аварий ОПО МН и МНПП являются:
применение повышенных толщин стенки трубы (по сравнению с расчетами по "
СП 36.13330.2012. Свод правил. Магистральные трубопроводы. Актуализированная редакция СНиП 2.05.06-85*", утвержденный
приказом Госстроя России от 25 декабря 2012 г. N 108/ГС (далее - СП 36.13330.2012) и материалов повышенной прочности;
прокладка ОПО МН и МНПП методом "труба в трубе" на наиболее опасных участках;
оптимизация проведения внутритрубной диагностики и выборочного ремонта (ремонта по техническому состоянию);
применение современной системы обнаружения утечек и несанкционированных врезок;
повышенные требования к качеству строительно-монтажных работ, включая контроль поставляемой продукции на заводе-изготовителе, заводских испытаний, доставки, погрузки (разгрузки), складирования, хранения, монтажа, испытаний;
проведение периодических испытаний на прочность и герметичность эксплуатируемого ОПО МН и МНПП;
повышение эффективности охраны ОПО МН и МНПП и мер защиты от вандализма и терроризма;
ограничение площадей возможных аварийных разливов нефти, нефтепродукта за счет возведения инженерных сооружений (траншей, дамб, валов);
проведение внутритрубной диагностики после завершения строительства ОПО МН и МНПП;
увеличение объема контроля качества сварных стыков различными методами неразрушающего контроля.
VI. ОФОРМЛЕНИЕ РЕЗУЛЬТАТОВ КОЛИЧЕСТВЕННОГО АНАЛИЗА РИСКА
АВАРИЙ НА ОПАСНЫХ ПРОИЗВОДСТВЕННЫХ ОБЪЕКТАХ МАГИСТРАЛЬНЫХ
НЕФТЕПРОВОДОВ И МАГИСТРАЛЬНЫХ НЕФТЕПРОДУКТОПРОВОДОВ
86. Результаты количественного анализа риска аварий на ОПО МН и МНПП рекомендуется оформлять таким образом, чтобы выполненные расчеты и выводы могли быть проверены и повторены квалифицированными специалистами, которые не участвовали при первоначальной процедуре количественного анализа риска аварий на ОПО МН и МНПП.
87. Процесс и результаты работ по количественному анализу риска аварий на ОПО МН и МНПП документируют в виде отчета по анализу риска аварий на ОПО МН и МНПП в соответствии с Федеральными
нормами и правилами в области промышленной безопасности "Правила безопасности для опасных производственных объектов магистральных трубопроводов", утвержденными приказом Ростехнадзора от 6 ноября 2013 г. N 520.
к Руководству по безопасности
"Методические рекомендации
по проведению количественного
анализа риска аварий
на опасных производственных объектах
магистральных нефтепроводов
и нефтепродуктопроводов" <*>
от 17 июня 2016 г. N 228
--------------------------------
<*> Очевидно, пропущены слова ", утвержденному
приказом Федеральной службы по экологическому, технологическому и атомному надзору". (Примеч. изд.)
ПЕРЕЧЕНЬ ИСПОЛЬЗУЕМЫХ СОКРАЩЕНИЙ И ОБОЗНАЧЕНИЙ
В настоящем Руководстве по безопасности используются следующие сокращения:
A(x) - площадь поперечного сечения ОПО МН и МНПП в общем случае переменная по трассе, м2;
АВБ - аварийно-восстановительная бригада;
ВИП - внутритрубный инспекционный прибор;
ВКПР - верхний концентрационный предел распространения пламени;
ГИС - географическая информационная система;

- группа факторов влияния состояния эксплуатируемых (проектируемых) ОПО МН и МНПП на степень риска аварий;
ЖБР - железобетонный резервуар;
ОПО - опасный производственный объект;
КО - километровая отметка (трассы ОПО МН и МНПП);
Ксб - коэффициент сбора;
ЛЧ - линейная часть;
МВКПл - максимально возможное количество потерпевших, жизни или здоровью которых может быть причинен вред в результате аварий на ОПО - максимально возможное количество потерпевших (в том числе погибших) при авариях на ЛЧ ОПО МН и МНПП с учетом времени нахождения потерпевших (в том числе погибших) в зоне действия поражающих факторов аварий, чел.;
МВКПп - максимально возможное количество потерпевших, жизни или здоровью которых может быть причинен вред в результате аварий на ОПО - максимально возможное количество потерпевших (в том числе погибших) при авариях на площадочных сооружениях ОПО МН и МНПП с учетом времени нахождения потерпевших (в том числе погибших) в зоне действия поражающих факторов аварий, чел.;
МН - магистральный нефтепровод;
МНПП - магистральный нефтепродуктопровод;
НКПР - нижний концентрационный предел распространения пламени;
Hнас - плотность населения в среднем в трехкилометровой полосе вдоль трассы, чел./км2;
НПС - нефтеперекачивающая станция;
ПЛРН - план по предупреждению и ликвидации разливов нефти и нефтепродуктов;
РП - резервуарный парк;
СМР - строительно-монтажные работы;
СОД - средства очистки и диагностики;
СТА - системы телемеханики и автоматики;
ТВС - топливно-воздушная смесь;
Уэ - экологический ущерб, млн руб.;
Уатм - ущерб окружающей среде от загрязнения атмосферы, млн руб.;
Увод - ущерб окружающей среде от загрязнения водных объектов, млн руб.;
Узем - ущерб окружающей среде от загрязнения почв, млн руб.;
ЭХЗ - электрохимическая защита;

- балльная оценка
j-го фактора в
i-й группе для эксплуатируемых (проектируемых) участков ОПО МН и МНПП (по 10-балльной шкале);

- балльная оценка составляющей
m фактора

;
Bn - балльная оценка n-го участка трассы ОПО МН и МНПП;
Bср - средняя балльная оценка трассы ОПО МН и МНПП, полученная на основе балльной оценки каждого участка трассы (n от 1 до N);
c - скорость распространения звука в нефти, м/с;
D - внутренний диаметр МН и МНПП, м;
D1 - внутренний диаметр МН и МНПП до места разрушения, м;
D2 - внутренний диаметр МН и МНПП после места разрушения, м;
DN - номинальный диаметр МН и МНПП;
dp - эффективный диаметр отверстия разгерметизации трубопровода, полагаемый при полном разрушении равным внутреннему диаметру трубопровода, м;
E - масса топлива, участвующая в энерговыделении;
E0(x, t) - удельная (на единицу длины трубы) интенсивность потери внутренней энергии при выбросе нефти (нефтепродукта) из трубы на месте разрушения, Дж/с/м;
F - площадь поверхности пролива, м2;
F(x) - социальный риск, год-1;
F(Nj) - сумма частот сценариев с ожидаемым числом погибших не менее Nj;

- фактор влияния состояния эксплуатируемых (проектируемых) ОПО МН и МНПП на степень риска аварий (
i - номер группы,
j - номер фактора в группе);
Fn - балльная оценка соответствующих отрезков рассматриваемого участка ОПО МН и МНПП;

- составляющая
m фактора

;
G - число областей объекта, в каждой из которых величину потенциального риска можно считать постоянной;
GL - начальный расход жидкости, истекающей из резервуара через разгерметизированный МН и МНПП, кг/с;
g - ускорение свободного падения, м/с2;
H - напор, м;
Hнас - плотность населения, чел./км2;
Hпр - приведенная толщина, мм;
Hсн - толщина стенки, мм;
Hэ - эффективная толщина, мм;
hв - фактическая глубина водоема над самым мелкозаглубленным (в грунт) участком перехода, м;
hгр - толщина слоя грунта над верхней образующей ОПО МН и МНПП, м;
hдоп - толщина слоя грунта, эквивалентная толщине дополнительного механического защитного покрытия ОПО МН и МНПП, м;
hL - высота столба жидкости, м;
I - импульс, кг·м/с;
I0(x, t) - удельная (на единицу длины трубы) интенсивность потери импульса при выбросе нефти (нефтепродукта) из трубы на месте разрушения, кг/с2/м2;
J - число сценариев развития аварий соответственно для всего объекта, его отдельных составляющих или отдельных участков;
K0(x) - число сценариев развития аварий в точке с координатой x вдоль оси ОПО МН и МНПП;
kвл - коэффициент, показывающий, во сколько раз удельная частота (вероятность) аварий на участке

отличается от среднестатистической для данной трассы

;
kнн - коэффициент, учитывающий способ прокладки;
kn - коэффициент прочности;
L - максимальная дальность дрейфа облака ТВС в направлении ветра, м;
L' - расстояние, на котором достигается максимальная ширина облака, м;
Li - длина i-го участка ОПО МН и МНПП от запорного устройства до места разгерметизации, м;
Lобщ - общая протяженность эксплуатируемых ОПО МН и МНПП, км;
Lр - характерный линейный размер дефектного отверстия, мм;
Lрег - протяженность ОПО МН и МНПП, эксплуатируемых организацией, км;
Lн - протяженность участка ОПО МН и МНПП, км;
Ln - длина n-го участка трассы ОПО МН и МНПП, полученная в результате деления трассы ОПО МН и МНПП на участки, км;
Ls - суммарная длина участков, км;
l - размер пролива в направлении ветра, м;
M0(x, t) - удельная (на единицу длины трубы) интенсивность выброса нефти (нефтепродукта) из трубы на месте разрушения, кг/с/м;
MA - средняя масса утечек нефти при аварии, т;
Mi - масса выброса одного загрязняющего вещества в атмосферу, т;
m - масса горючего вещества, участвующего в образовании огненного шара, кг;
mА, mа - средняя масса потерь нефти при наиболее опасном и наиболее вероятном сценарии аварий, т;
mа-разг - масса нефти (нефтепродукта), поступившей в окружающее пространство при разгерметизации резервуара, кг;

- средняя масса потерь нефти, нефтепродукта при аварии, т;
N(x) - число сценариев Cj, при которых гибнет не менее x человек;
N(Nс) - возможное число пострадавших (в том числе погибших) при наиболее опасном сценарии аварий на площадочном объекте ОПО МН и МНПП (среди персонала и третьих лиц), чел.;
n - число участков ОПО МН и МНПП, связанных с местом разгерметизации;
n(nс) - возможное число пострадавших (в том числе погибших) при наиболее вероятном сценарии аварий (в том числе среди персонала и третьих лиц), чел.;
| | ИС МЕГАНОРМ: примечание. В официальном тексте документа, видимо, допущена опечатка: имеется в виду приложение N 9, а не 10. | |
Nj - ожидаемый ущерб (объем разлива нефти, число погибших) при реализации
j-го сценария в соответствии с
приложениями N 8 и
N 10 к настоящему Руководству по безопасности;
Njц - ближайшее большее целое число к значению ожидаемого числа погибших Nj при реализации j-го сценария;
Nuгр - число Нуссельта;
P - давление, Па;
Pвн - внутреннее давление в резервуаре, Па;
Pс - осредненное по сечению давление нефти (нефтепродукта) в ОПО МН и МНПП, Па;
Pr - пробит-функция;
P(a) - величина потенциального риска в точке (a), год-1;
P(x0,r0) - величина потенциального риска вдоль оси ОПО МН и МНПП в определенной точке с координатами (x0,r0), год-1;
PА - частота возникновения аварии, год-1;
Pгиб - условная вероятность поражения;
Pгиб-в - верхняя граница условной вероятности поражения человека на ограниченной территории;
Pгиб-н - нижняя граница условной вероятности поражения человека на ограниченной территории;
Pнар - давление снаружи ОПО МН и МНПП, Па;
Pраб - рабочее давление в ОПО МН и МНПП, Па;
Pэф - частота возникновения аварий, связанных с возникновением поражающего эффекта (взрыв, пожар или огненный шар), год-1;
P0 - давление при нормальных условиях, Па;
pH - кислотность грунта;
pвнутр - внутреннее давление в трубопроводе, Па;
pнар - наружное давление в окружающей среде на месте разрушения, Па;
pу - вакуумметрическое давление паров нефти, нефтепродукта, Па;

- избыточное давление волны давления, Па;

- напор столба жидкости в резервуаре, Па;
Q - интенсивность теплообмена с окружающей средой, Дж/м/с;

- условная вероятность поражения человека в точке территории с координатой (
x0,
r0) в результате реализации
j-го поражающего фактора в
k-м сценарии развития аварии, произошедшей в точке ОПО МН и МНПП с координатой
x;
Qi - частота реализации в течение года j-го сценария развития аварий, год-1;
Qk - условная вероятность реализации k-го сценария развития аварий;
Q0 - расход нефти, нефтепродукта, м3/ч;
Qdj(a) - условная вероятность поражения человека в точке (a) в результате реализации j-го сценария развития аварий, отвечающего определенному инициирующему аварию событию;
q - удельная величина выбросов углеводородов в атмосферу с поверхности нефти (нефтепродукта), г/(с·м2);
qij - доля j-го фактора в i-й группе;
qji - вероятность присутствия i-го работника в j-й области территории;
q(x,y) - доля времени нахождения людей в точке x,y;
R - радиус зоны избыточного давления при взрыве ТВС, м;
Re - число Рейнольдса;
R(n) - один из показателей риска для n-го участка;
Rинд - индивидуальный среднегрупповой риск гибели в аварии отдельного человека из числа персонала, населения и иных физических лиц, год-1;
Rколл - коллективный риск гибели (смертельного поражения) человека при аварии (среднегодовое ожидаемое число погибших среди персонала и третьих лиц), чел./год;
RНС1 - частота гибели одного человека и более при авариях на ЛЧ ОПО МН и МНПП (интенсивность возникновения аварий со смертельными несчастными случаями), год-1;
RНС10 - частота гибели 10 человек и более при авариях на ЛЧ ОПО МН и МНПП (интенсивность возникновения крупных аварий с групповыми смертельными несчастными случаями), год-1;
RНС50 - частота гибели 50 человек и более при авариях на ЛЧ ОПО МН и МНПП (интенсивность возникновения особо крупных аварий с групповыми смертельными несчастными случаями), год-1;
Rпот - потенциальный территориальный риск гибели человека от аварий (частота возникновения смертельно поражающих факторов аварий в данной точке территории) - частота возникновения смертельно поражающих факторов аварий (потенциальный территориальный риск аварий), год-1;
Rпот(j) - величина потенциального риска в j-й области территории, год-1;
RЭn - ожидаемый экологический ущерб (экологический риск), тыс. руб./год;
RЭ1000 - удельный ожидаемый экологический ущерб от аварий, млн руб./(1000 км·год);
RL - максимальный размер зоны поражения при взрыве с учетом дрейфа облака ТВС, м;
Rm - ожидаемая масса потерь нефти, нефтепродукта при аварии, т/год;
Ri - величина индивидуального риска, год-1;
Rm1000 - удельные ожидаемые потери нефти, нефтепродукта при аварии, т/(1000 км·год);
RY - ожидаемый ущерб от аварий на ЛЧ ОПО МН и МНПП, тыс. руб./год;
RY1000 - удельный ожидаемый ущерб от аварий, млн руб./(1000 км·год);
R5 лет - среднестатистический (фоновый) уровень частоты разгерметизации ЛЧ ОПО МН и МНПП (среднее значение за последние пять лет);
r - полуширина облака ТВС, м;
r0 - координата по оси, перпендикулярной оси ОПО МН и МНПП, км;
S - площадь загрязненного участка, м2;
S0 - площадь поперечного сечения трубы ОПО МН и МНПП, м2;
Sнп - общая площадь населенного пункта, попадающего в зону действия поражающих факторов, км2;
Sнп-з - "поражаемая" площадь населенного пункта, попадающая в зону действия поражающих факторов и определяемая соответствующим критерием поражения, км2;
Sраз - максимальная площадь разлива, м2;
Sэфф - эквивалентная площадь дефектного отверстия, м2;
Sj - площадь отверстия разгерметизации, м2;
T - температура нефти (нефтепродукта), °C;
Tср - температура окружающей среды, °C;
t - время, с;
tэксп - эффективное время экспозиции при воздействии теплового излучения, с;
t0 - характерное время, за которое человек обнаруживает пожар и принимает решение о своих дальнейших действиях, с;
tраз - время окончания заполнения места скопления нефти, с;
u - осредненная по сечению скорость нефти (нефтепродукта) в ОПО МН и МНПП, м/с;
uср - средняя скорость движения человека к безопасной зоне, м/с;
u1 - скорость движения нефти, нефтепродукта к месту аварии (участок до места разрушения) на стадии самотечного истечения, м/с;
u2 - скорость движения нефти, нефтепродукта к месту аварии (участок после места разрушения) на стадии самотечного истечения, м/с;
V - общий объем вытекшей нефти (нефтепродукта), м3;
Vрез - объем резервуара, м3;
Vг - скорость горения, м/с;
Vраз - объем разлива нефти, нефтепродукта, м3;
VR - объем нефти (нефтепродукта) в резервуаре, м3;
V1 - объем нефти, нефтепродуктов, вытекших в напорном режиме с момента повреждения до остановки перекачки, м3;
V2 - объем нефти, нефтепродукта, вытекших в безнапорном режиме, с момента остановки перекачки до перекрытия потока трубопроводной арматурой, м3;
V3 - объем нефти, нефтепродукта, вытекших с момента закрытия трубопроводной арматуры до прекращения утечки, м3;
x - расстояние от начала ОПО МН и МНПП, м;
xб - расстояние от места расположения человека до безопасной зоны (зона, где интенсивность теплового излучения меньше 4 кВт/м2), м;
x0 - координата вдоль оси ОПО МН и МНПП, км;
xn - расстояние от начала трассы для n-го участка, м;
x* - координата по трассе места разрушения, м;
x1 - координата перемещающейся поверхности нефти, нефтепродукта (зеркала жидкости) в участке до места разрушения, м;
x2 - координата перемещающейся поверхности нефти, нефтепродукта (зеркала жидкости) в участке после места разрушения, м;
YА, Yа - средний размер ущерба при наиболее опасном и наиболее вероятном сценарии аварий, тыс. руб.;

- средний размер ущерба от аварий, тыс. руб.;
Y$ф - потери основных производственных фондов, тыс. руб.;
Y$m - средние потери нефти, нефтепродукта при аварии в денежном выражении, тыс. руб.;
Y$ос - средний размер платы за загрязнение окружающей среды при аварии, тыс. руб.;
z - нивелирная отметка трассы, м;
zзер - уровень (нивелирная отметка трассы), на котором находится нефть, нефтепродукт (зеркало жидкости), м;
zшер - шероховатость внутренней поверхности МН и МНПП;
z1(t) - уровень (нивелирная отметка трассы), на котором находится перемещающееся зеркало жидкости на участке до места разрушения, м;
z2(t) - уровень (нивелирная отметка трассы), на котором находится перемещающееся зеркало жидкости на участке после места разрушения, м;

- коэффициент теплопередачи нефти, нефтепродукта с окружающей средой, Вт/м
2К;

- коэффициент теплопередачи воздуха, Вт·К/м
2;

- локальный угловой коэффициент трассы МН и МНПП;

- расчетное значение толщины стенки МН и МНПП, мм;

- фактическое значение толщины стенки МН и МНПП, мм;

- удельная внутренняя энергия, Дж/кг;

- интенсивность (среднестатистическая частота) аварии на ОПО МН и МНПП, 1/(1000 км·год);

- коэффициент трения;

- удельная частота аварий на ОПО МН и МНПП, 1/(1000 км·год);

,

- коэффициенты теплопроводности, Вт/(м·К);

- коэффициент трения, зависящий от режима течения в трубе;

- удельная частота разгерметизации ЛЧ ОПО МН и МНПП в точке с координатой
x вдоль оси ОПО МН и МНПП, год
-1·км
-1;

- частота образования дефектного отверстия;

- удельная частота аварий на участке с возникновением дефектных отверстий определенного размера, аварий/(км·год);

- удельная частота (вероятность) аварий на отдельных участках ОПО МН и МНПП, 1/(1000 км·год);

- рассчитанная интенсивность аварий на ЛЧ ОПО МН и МНПП, год
-1;

- рассчитанная удельная интенсивность аварий на ЛЧ ОПО МН и МНПП, 1/(1000 км·год);

- динамический коэффициент вязкости нефти (нефтепродукта), Н·с/м
2;

- коэффициент истечения;

- функция, описывающая территориальное распределение людей в некоторый произвольный интервал времени в пределах зоны действия поражающих факторов;

- кинематический коэффициент вязкости, м
2/с;

- коэффициент уязвимости человека, находящегося в точке территории с координатами (
x,
y) от
j-го поражающего фактора, который может реализоваться в ходе
k-го сценария аварий и зависящий от защитных свойств помещения, укрытия, в котором может находиться человек в момент аварий, и изменяющийся от 0 (человек неуязвим) до 1 (человек не защищен из-за незначительных защитных свойств укрытия);

- параметр (коэффициент) для различных типов ВИП;

- осредненная по сечению плотность, кг/м
3;

- удельное сопротивление грунта, Ом·м;

- доля
i-й группы факторов;

- плотность нефти (нефтепродукта), кг/м
3;

- плотность нефти (нефтепродукта) при нормальных условиях, кг/м
3;

- расчетное время отключения трубопроводов, связанных с местом разгерметизации, с;

- время, прошедшее с момента проведения последних измерений с помощью выносного электрода, лет;

- время, прошедшее со дня последнего пропуска ВИП, лет;

- эффективное время экспозиции при воздействии теплового излучения, с.
к Руководству по безопасности
"Методические рекомендации
по проведению количественного
анализа риска аварий
на опасных производственных объектах
магистральных нефтепроводов
и нефтепродуктопроводов" <*>
от 17 июня 2016 г. N 228
--------------------------------
<*> Очевидно, пропущены слова ", утвержденному
приказом Федеральной службы по экологическому, технологическому и атомному надзору". (Примеч. изд.)
В настоящем Руководстве по безопасности используются следующие термины с соответствующими определениями:
Авария - разрушение сооружений и (или) технических устройств, применяемых на опасном производственном объекте, неконтролируемые взрыв и (или) выброс опасных веществ (
статья 1 Федерального закона от 21 июля 1997 г. N 116-ФЗ "О промышленной безопасности опасных производственных объектов").
Анализ риска аварий - процесс идентификации опасностей и оценки риска аварий на опасном производственном объекте для отдельных лиц или групп людей, имущества или окружающей природной среды.
Взрыв - неконтролируемый быстропротекающий процесс выделения энергии, связанный с физическим, химическим или физико-химическим изменением состояния вещества, приводящий к резкому динамическому повышению давления или возникновению ударной волны, сопровождающийся образованием сжатых газов, способных привести к разрушительным последствиям.
Декларация промышленной безопасности опасного производственного объекта (декларация) - документ, в котором представлены результаты всесторонней оценки риска аварий, анализа достаточности принятых мер по предупреждению аварий и по обеспечению готовности организации к эксплуатации опасного производственного объекта в соответствии с требованиями норм и правил промышленной безопасности, а также к локализации и ликвидации последствий аварий на опасном производственном объекте.
Дерево событий - логическая схема причинно-следственных закономерностей развития аварийной ситуации, показывающая последовательность событий, исходящих из основного события (разгерметизации оборудования).
Жилые, общественно-деловые или рекреационные зоны вокруг магистрального нефтепровода (нефтепродуктопровода) - прилегающие к охранным зонам магистрального нефтепровода (нефтепродуктопровода) территории и акватории с возможным пребыванием человека или массовым скоплением людей (населенные пункты, автомобильные и железные дороги, маршруты водного транспорта, туристические маршруты, людские тропы, кладбища, ярмарки, объекты религиозных культов, площадки концертов).
Идентификация опасностей аварий - процесс выявления и признания, что опасности аварий на опасном производственном объекте существуют, и определения их характеристик.
Инцидент на магистральном нефтепроводе - отказ или повреждение технических устройств, применяемых на опасном производственном объекте, отклонение от установленного режима технологического процесса на объектах магистрального нефтепровода.
"Карман" - объем, в котором горение и прогрев жидкости, а также тепломассообмен при подаче воздушно-механической пены происходит независимо от остальной массы горючего в резервуаре.
Линейная часть магистрального нефтепровода (нефтепродуктопровода) - составная часть магистрального нефтепровода (нефтепродуктопровода), состоящего из трубопроводов (включая запорную и иную арматуру, переходы через естественные и искусственные препятствия), установок электрохимической защиты от коррозии, сооружений технологической связи и иных устройств и сооружений, предназначенная для транспортировки нефти (нефтепродуктов).
Магистральный нефтепровод - инженерное сооружение, состоящее из подземных, подводных, наземных и надземных трубопроводов и связанных с ними насосных станций, хранилищ нефти и других технологических объектов, обеспечивающих транспортировку, приемку, сдачу нефти потребителям или перевалку на другой вид транспорта.
Обвалование - сооружение в виде земляного вала или ограждающей стенки, вокруг резервуарного парка или емкостей насосных станций для защиты окружающей территории от аварийного разлива нефти (нефтепродуктов).
Опасность аварий - угроза, возможность причинения ущерба человеку, имуществу и (или) окружающей среде вследствие аварий на опасном производственном объекте.
Примечание. Опасности аварий на опасных производственных объектах связаны с возможностью разрушения сооружений и (или) технических устройств, выброса, разлива опасных веществ, взрывом и (или) выбросом опасных веществ с последующим причинением ущерба человеку, имуществу и (или) нанесением вреда окружающей среде.
Опасные вещества - воспламеняющиеся, окисляющие, горючие, взрывчатые, токсичные, высокотоксичные вещества и вещества, представляющие опасность для окружающей среды, указанные в
приложении 1 к Федеральному закону от 21 июля 1997 г. N 116-ФЗ "О промышленной безопасности опасных производственных объектов".
Опасные производственные объекты - предприятия или их цехи, участки, площадки, а также иные производственные объекты, указанные в
приложении 1 к Федеральному закону от 21 июля 1997 г. N 116-ФЗ "О промышленной безопасности опасных производственных объектов".
Оценка риска аварий - процесс, используемый для определения вероятности (или частоты) и степени тяжести последствий реализации опасностей аварий для здоровья человека, имущества и (или) окружающей природной среды.
Примечание. Оценка риска включает анализ вероятности (или частоты), анализ последствий и их сочетания.
Количественный анализ риска аварий на магистральном нефтепроводе (нефтепродуктопроводе) - количественная оценка показателей риска аварий на магистральном нефтепроводе (нефтепродуктопроводе) для сравнения их со среднестатистическим (фоновым) уровнем риска и установления степени опасности (малая, средняя, высокая, чрезвычайно высокая) участков и составляющих магистрального нефтепровода (нефтепродуктопровода).
Площадочное сооружение магистрального нефтепровода (нефтепродуктопровода) - составная часть магистрального нефтепровода (нефтепродуктопровода), представляющая собой комплексный технологический объект, включающий в себя здания, строения и сооружения и предназначенный для приема, накопления, хранения, учета и перевалки на другой вид транспорта жидких углеводородов, транспортируемых по магистральному нефтепроводу (нефтепродуктопроводу) - нефтеперекачивающая станция, резервуарный парк, перевалочная нефтебаза и их комбинации.
Подводный переход - линейная часть нефтепровода с сооружениями, проходящая через водные преграды шириной 10 м и более по зеркалу воды в межень и глубиной свыше 1,5 м.
Потеря нефти (нефтепродуктов) - количество нефти (нефтепродуктов), равное разнице между объемом нефти (нефтепродуктов), вытекших из поврежденного трубопровода, и объемом нефти (нефтепродуктов), собранных в результате работ локализации и ликвидации последствий аварии.
Риск аварий - мера опасности, характеризующая возможность возникновения аварий на опасном производственном объекте и тяжесть ее последствий. Основными количественными показателями риска аварий являются:
технический риск - вероятность отказа технических устройств с последствиями определенного уровня (класса) за определенный период функционирования опасного производственного объекта;
индивидуальный риск - частота поражения отдельного человека в результате воздействия исследуемых факторов опасности аварий;
потенциальный территориальный риск (потенциальный риск) - частота реализации поражающих факторов аварий в рассматриваемой точке территории;
коллективный риск - ожидаемое количество пораженных в результате возможных аварий за определенное время;
социальный риск (F/N-кривая) - зависимость частоты возникновения событий F, в которых пострадало на определенном уровне не менее N человек, от этого числа N. Характеризует тяжесть последствий (катастрофичность) реализации опасностей;
ожидаемый ущерб - математическое ожидание величины ущерба от возможной аварии за определенное время.
Составляющие опасного производственного объекта - участки, установки, цеха, хранилища или другие составляющие (составные части), объединяющие технические устройства или их совокупность по технологическому или территориально-административному принципу и входящие в состав опасного производственного объекта.
Среднестатистический (фоновый) уровень риска аварий - статистические оценки математического ожидания и дисперсии людских и материальных аварийных потерь на однотипных участках (составляющих) магистрального нефтепровода (нефтепродуктопровода) за последние 5 лет.
Степень риска аварий - сравнительная мера опасности аварий по отношению к среднестатистическому (фоновому) уровню риска аварий или максимальному значению рассчитанного показателя риска аварий.
Сценарий аварии - последовательность отдельных логически связанных событий, обусловленных конкретным инициирующим (исходным) событием, приводящих к определенным опасным последствиям аварий.
Сценарий наиболее вероятной аварии (наиболее вероятный сценарий аварии) - сценарий аварии, вероятность реализации которого максимальна за определенный период времени.
Сценарий наиболее опасной по последствиям аварии (наиболее опасный по последствиям сценарий аварии) - сценарий аварии с наибольшим ущербом людским и (или) материальным ресурсам или компонентам природной среды.
Типовой сценарий аварий - сценарий аварий, связанный с выбросом опасных веществ из единичного технологического оборудования (блока), участка трубопровода с учетом регламентного срабатывания имеющихся систем противоаварийной защиты, локализации аварии и противоаварийных действий персонала.
Ущерб от аварий - потери (убытки) в производственной и непроизводственной сфере жизнедеятельности человека, вред окружающей среде, причиненные в результате аварий на опасном производственном объекте и исчисляемые в денежном эквиваленте.
к Руководству по безопасности
"Методические рекомендации
по проведению количественного
анализа риска аварий
на опасных производственных объектах
магистральных нефтепроводов
и нефтепродуктопроводов" <*>
от 17 июня 2016 г. N 228
--------------------------------
<*> Очевидно, пропущены слова ", утвержденному
приказом Федеральной службы по экологическому, технологическому и атомному надзору". (Примеч. изд.)
РИСУНКИ И ТАБЛИЦЫ
Таблица 1
Показатели риска аварий на ЛЧ ОПО МН и МНПП
Кодовый номер | Условное обозначение | Наименование | Единица измерения |
ЛЧ-1 | | Интенсивность аварий на ЛЧ ОПО МН и МНПП | год-1 |
ЛЧ-2 | | Удельная интенсивность аварий | 1/(1000 км·год) |
ЛЧ-3 | MА | Средняя масса утечек нефти, нефтепродукта при аварии | т |
ЛЧ-4 | | Средняя масса потерь нефти, нефтепродукта при аварии | т |
ЛЧ-5 | Rm | Ожидаемая масса потерь нефти, нефтепродукта при аварии | т/год |
ЛЧ-6 | Rm1000 | Удельные ожидаемые потери нефти, нефтепродукта при аварии | т/(1000 км·год) |
ЛЧ-7 | | Средний размер ущерба от аварий, в том числе: | тыс. руб. |
ЛЧ-8 | Y$ос | а) средний размер платы за загрязнение окружающей среды при аварии | тыс. руб. |
ЛЧ-9 | Y$m | б) средние потери нефти, нефтепродукта при аварии в денежном выражении | тыс. руб. |
ЛЧ-10 | RY | Ожидаемый ущерб от аварий на ЛЧ ОПО МН и МНПП | тыс. руб./год |
ЛЧ-11 | RY1000 | Удельный ожидаемый ущерб от аварий | млн руб./(1000 км·год) |
ЛЧ-12 | RНС1 | Частота гибели одного человека и более при авариях на ЛЧ ОПО МН и МНПП (интенсивность возникновения аварий со смертельными несчастными случаями) | год-1 |
ЛЧ-13 | RНС10 | Частота гибели 10 человек и более при авариях на ЛЧ ОПО МН и МНПП (интенсивность возникновения крупных аварий с групповыми смертельными несчастными случаями) | год-1 |
ЛЧ-14 | RНС50 | Частота гибели 50 человек и более при авариях на ЛЧ ОПО МН и МНПП (интенсивность возникновения особо крупных аварий с групповыми смертельными несчастными случаями) | год-1 |
ЛЧ-15 | Rинд | Индивидуальный среднегрупповой риск гибели в аварии отдельного человека из числа персонала, населения и иных физических лиц | год-1 |
ЛЧ-16 | Rколл | Коллективный риск смертельного поражения людей при авариях на ЛЧ ОПО МН и МНПП | чел./год |
ЛЧ-17 | Rпот | Потенциальный территориальный риск гибели человека от аварий (частота возникновения смертельно поражающих факторов аварий в определенной точке территории) | год-1 |
ЛЧ-18 | МВКПл | Максимально возможное количество потерпевших (в том числе погибших) при авариях на ЛЧ ОПО МН и МНПП с учетом времени нахождения потерпевших (в т.ч. погибших) в зоне действия поражающих факторов аварий | чел. |
ЛЧ-19 | F(x) | Социальный риск гибели людей при авариях на ЛЧ ОПО МН и МНПП | год-1 |
ЛЧ-20 | N(Nс) | Число пострадавших (в том числе погибших) при наиболее опасном по последствиям для людей сценарии аварий | чел. |
Таблица 2
Показатели риска аварий на площадочных объектах,
составляющих ОПО МН и МНПП
Кодовый номер | Символьное обозначение | Наименование | Единица измерения |
Пл-1 | PА | Частота возникновения аварий (разгерметизации оборудования) | год-1 |
Пл-2 | Pэф | Частота возникновения аварий, связанных с возникновением поражающего эффекта (взрыв, пожар или огненный шар) | год-1 |
Пл-3 | R1 | Частота гибели одного человека и более при авариях (интенсивность возникновения аварий со смертельными несчастными случаями) | год-1 |
Пл-4 | RНС10 | Частота гибели 10 человек и более при авариях (интенсивность возникновения крупных аварий с групповыми смертельными несчастными случаями) | год-1 |
Пл-5 | RНС50 | Частота гибели 50 человек и более при авариях (интенсивность возникновения особо крупных аварий с групповыми смертельными несчастными случаями) | год-1 |
Пл-6 | n(nс) | Возможное число пострадавших (в том числе погибших) при наиболее вероятном сценарии аварий (в том числе среди персонала, населения и иных физических лиц) | чел. |
Пл-7 | N(Nс) | Возможное число пострадавших (в том числе погибших) при наиболее опасном сценарии аварии на площадочном сооружении ОПО МН и МНПП (в том числе среди персонала, населения и иных физических лиц) | чел. |
Пл-8 | Rинд | Индивидуальный среднегрупповой риск гибели в аварии отдельного человека из числа персонала, населения и иных физических лиц | год-1 |
Пл-9 | Rколл | Коллективный риск смертельного поражения людей при авариях на площадочном объекте (в том числе среднегодовое ожидаемое число погибших среди персонала, населения и иных физических лиц) | чел./год |
Пл-10 | mА, mа | Средняя масса потерь нефти, нефтепродукта при наиболее опасном и наиболее вероятном сценарии аварий | т |
Пл-11 | Rm | Ожидаемые потери нефти, нефтепродукта при аварии | т/год |
Пл-12 | YА, Yа | Средний размер ущерба при наиболее опасном и наиболее вероятном сценарии аварий, в том числе: | тыс. руб. |
Пл-13 | Y$ос | а) средний размер платы за загрязнение окружающей среды при аварии | тыс. руб. |
Пл-14 | Y$m | б) средние потери нефти, нефтепродукта при аварии в денежном выражении | тыс. руб. |
Пл-15 | Y$ф | в) потери основных производственных фондов | тыс. руб. |
Пл-16 | RY | Ожидаемый ущерб от аварий на площадочном сооружении ОПО МН и МНПП | тыс. руб./год |
Пл-17 | Rпот | Потенциальный территориальный риск гибели человека от аварий (частота возникновения смертельно поражающих факторов аварии в определенной точке территории) | год-1 |
Пл-18 | МВКПп | Максимально возможное количество потерпевших (в том числе погибших) при авариях на площадочных сооружениях ОПО МН и МНПП с учетом времени нахождения потерпевших (в т.ч. погибших) в зоне действия поражающих факторов | чел. |
Пл-19 | F(x) | Социальный риск гибели людей при авариях на площадочном сооружении ОПО МН и МНПП | год-1 |
Пл-20 | N(Nс) | Число пострадавших (в т.ч. погибших) при наиболее опасном по последствиям для людей сценарии аварии | чел. |
Таблица 3
Критерии степени опасности аварий на ЛЧ ОПО МН и МНПП
по сравнению со среднестатистическим (фоновым)
уровнем риска аварий для ЛЧ ОПО МН и МНПП R5 лет
Сравнительная степень опасности аварий на участке ЛЧ ОПО МН и МНПП | Значение рассчитанного показателя риска аварий R |
Низкая | Менее 0,5R5 лет |
Средняя | От 0,5R5 лет до 5R5 лет |
Высокая | От 5R5 лет до 50R5 лет |
Чрезвычайно высокая | Более 50R5 лет |
Таблица 4
Примеры типовых показателей с критериями опасности аварий
Типовые показатели с критериями опасности аварий на ЛЧ МН
Сравнительная степень опасности аварии на участке ЛЧ МН | Типовые показатели риска аварий на ЛЧ МН |
Удельные ожидаемые потери нефти при аварии Rm1000, т/(1000 км·год) | Удельный ожидаемый экологический ущерб от аварии RЭ1000, млн руб./(1000 км·год) |
Низкая | Менее 5 | Менее 2 |
Средняя | От 5 до 50 | От 2 до 20 |
Высокая | От 50 до 500 | От 20 до 200 |
Чрезвычайно высокая | Более 500 | Более 200 |
Таблица 5
Типовые показатели с критериями опасности аварий на ЛЧ МНПП
Сравнительная степень опасности аварий на участке ЛЧ МНПП | Типовые показатели риска аварии на ЛЧ МНПП |
Удельные ожидаемые потери нефтепродукта при аварии Rm1000, т/(1000 км·год) | Удельный ожидаемый экологический ущерб от аварии RЭ1000, млн руб./(1000 км·год) |
Низкая | Менее 4 | Менее 1 |
Средняя | От 4 до 40 | От 1 до 10 |
Высокая | От 40 до 400 | От 10 до 100 |
Чрезвычайно высокая | Более 400 | Более 100 |
Таблица 6
Критерии степени опасности аварий на ЛЧ ОПО МН и МНПП
по сравнению с интервалом изменения
рассчитанного показателя риска аварий {Rmin, Rmax}
Сравнительная степень опасности аварий на участке ЛЧ ОПО МН и МНПП | Значение рассчитанного показателя риска аварий R |
Низкая | Менее Rmin + 0,3(Rmax - Rmin) |
Средняя | Rmin + (0,3 - 0,8)(Rmax - Rmin) |
Высокая | Rmin + (0,8 - 0,97(Rmax - Rmin) |
Чрезвычайно высокая | Более Rmin + 0,97(Rmax - Rmin) |
Таблица 7
Критерии степени опасности аварий на площадочных сооружениях
(составляющих площадочных объектов) ОПО МН и МНПП
Сравнительная степень опасности аварий на площадочном объекте (составляющей площадочного объекта) ОПО МН и МНПП | Максимально возможное количество потерпевших, жизни или здоровью которых может быть причинен вред в результате аварий на площадочном объекте (составляющей площадочного объекта) ОПО МН и МНПП |
Всего потерпевших | В том числе смертельно травмированных |
Низкая | Менее 10 | Менее 3 |
Средняя | От 10 до 74 | От 3 до 9 |
Высокая | От 75 до 300 | От 10 до 30 |
Чрезвычайно высокая | Более 300 | Более 30 |
Таблица 8
Сопоставительные критерии степени опасности аварий
при перевозках нефти и нефтепродуктов танкерами
Сопоставительная степень опасности аварий при перевозке нефти, нефтепродуктов танкерами | Средняя масса потерь нефти, нефтепродуктов, т |
при наиболее опасном сценарии аварий | при наиболее вероятном сценарии аварий |
Низкая | Менее 350 | Менее 7 |
Средняя | От 350 до 3500 | От 7 до 70 |
Высокая | От 3500 до 35 000 | От 70 до 700 |
Чрезвычайно высокая | Более 35 000 | Более 700 |
Рис. 1. Блок-схема проведения
количественного анализа риска аварий на ОПО МН и МНПП
Рис. 2. Дерево отказов для аварий на ЛЧ ОПО МН и МНПП
Рис. 3. Дерево событий при разгерметизации
подземного участка ЛЧ ОПО МН и МНПП
Рис. 4. Алгоритм расчета аварийных утечек нефти,
нефтепродуктов из ОПО МН и МНПП с учетом
типового времени обнаружения утечки, остановки насосов
и начала перекрытия потока трубопроводной арматурой
Рис. 5. Дерево событий разрушения (перелива)
наземного резервуара (сценарий A1)
Рис. 6. Дерево событий при выходе газовой фазы
с наземного резервуара (сценарий A2)
Рис. 7. Дерево событий при взрыве
внутри наземного резервуара (сценарий A3)
Рис. 8. Дерево событий разрушения (перелива)
подземного резервуара (сценарий A4)
Рис. 9. Дерево событий при выходе газовой фазы
из подземного резервуара (типа ЖБР) (сценарий A5)
Рис. 10. Дерево событий при взрыве
внутри подземного резервуара (типа ЖБР) (сценарий A6)
Рис. 11. Дерево событий при разрушении емкости под давлением
(сценарий A7)
Рис. 12. Дерево событий при разрушении подземной емкости
под давлением (сценарий A8)
Рис. 13. Дерево событий при аварии в насосных (сценарий A
9)
┌───────────────────────────────────────────────────────┐
│Внешние воздействия природного и техногенного характера│
└───────────────────────────┬───────────────────────────┘
┌─────────────────────────┐ │ ┌───────────────────────────────────────────┐
│ Отказ оборудования │ │ │ Ошибки персонала │
└───────────┬─────────────┘ │ └─────────────────────────┬─────────────────┘
┌────┴───────────────┴─────────────────────────┬─┴────────┐
┌──────┴──────────────────┐ ┌─────────────────────┐ │ ┌────────┴────────┐
│ Нарушение герметичности │ │ Возникновение │ │ │Выход паров нефти│
│ резервуара, насоса или │ │ источника │ │ └────────┬────────┘
│ трубопровода (частичное │ │воспламенения внутри │ │ ┌────────┴────────┐
│ или полное) │ │ резервуара │ │ │ Образование ТВС │
└───────────┬─────────────┘ └───────┬───┬─────────┘ │ └────────┬────────┘
┌───────────┴─────────────┐ ┌─────────┘ ├───────────┘ ┌────────┴────────┐
│ Истечение нефти │ │ ┌───────────┴─────────┐ │ Вспышка, │
└───────────┬─────────────┘ │ │Вспышка, взрыв паров,│ │ взрыв ТВС │
┌───────────┴─────────────┐ │ │ пожар в резервуаре │ └────────┬────────┘
│Образование пролива нефти│ │ └───────────┬─────────┘ │
└───────────┬─────────────┘ ├─────────────┘ │
┌───────────┴─────────────┐ │ │
│ Образование │ │ │
│топливно-воздушной смеси │ │ │
└───────────┬─────────────┘ │ │
┌───────────┴─────────────┐ │ │
│ Вспышка, взрыв │ │ │
│топливно-воздушной смеси │ │ │
└───────────┬─────────────┘ │ │
┌───────────┴─────────────┐ │ │
│ Пожар пролива │ │ │
└───────────┬─────────────┘ │ │
└───────────────┼────────────────────────────────────┘
┌───────────────────────────┴─────────────────────────────────────────────┐
│ Разрушение соседних резервуаров, емкостей, трубопроводов и сооружений, │
│ травмирование людей │
└────────────────────────────────────┬────────────────────────────────────┘
┌────────────────────────────────────┴────────────────────────────────────┐
│ Дальнейшее развитие аварии на площадочном объекте и за его пределами │
└─────────────────────────────────────────────────────────────────────────┘
Рис. 14. Блок-схема анализа вероятных сценариев
возникновения и развития аварий
Рис. 15. Общий вид распределения показателя риска
R(
n)
вдоль трассы ОПО МН и МНПП
Рис. 16. Иллюстрация формы представления
распределения суммарной длины участков Ls трассы
по показателю риска аварий R
к Руководству по безопасности
"Методические рекомендации
по проведению количественного
анализа риска аварий
на опасных производственных объектах
магистральных нефтепроводов
и нефтепродуктопроводов" <*>
от 17 июня 2016 г. N 228
--------------------------------
<*> Очевидно, пропущены слова ", утвержденному
приказом Федеральной службы по экологическому, технологическому и атомному надзору". (Примеч. изд.)
ПЕРЕЧЕНЬ ИСХОДНОЙ ИНФОРМАЦИИ, НЕОБХОДИМОЙ ДЛЯ ПРОВЕДЕНИЯ
КОЛИЧЕСТВЕННОГО АНАЛИЗА РИСКА АВАРИЙ НА ОПО МН И МНПП
Перечень исходной информации, необходимой для проведения работ по количественному анализу риска аварий на ОПО МН и МНПП, составляют в соответствии с
Руководством по безопасности "Методические основы по проведению анализа опасностей и оценки риска аварий на опасных производственных объектах", утвержденным приказом Ростехнадзора от 11 апреля 2016 г. N 144,
Порядком оформления декларации промышленной безопасности опасных производственных объектов и перечня включаемых в нее сведений (РД-03-14-2005), утвержденным приказом Ростехнадзора от 29 ноября 2005 г. N 893, Методическими
рекомендациями по составлению декларации промышленной безопасности опасного производственного объекта (РД 03-357-00) (далее РД 03-357-00), утвержденными постановлением Госгортехнадзора России от 26.04.2000 N 23.
Перечень может быть уточнен, расширен в соответствии с целями работ, проектной и эксплуатационной документацией.
Сбор исходной информации, необходимой для анализа риска, осуществляют с использованием имеющихся в эксплуатирующей организации документов, в том числе: предпроектных, проектных, эксплуатационных, материалов инженерных изысканий и других документов.
В случае недостаточности имеющихся в эксплуатирующей организации материалов в составе работ по анализу риска можно предусматривать дополнительный этап, включающий техническое обследование технологических объектов, а также природных объектов.
1. Линейная часть ОПО МН и МНПП
1.1. Границы территориального деления трассы ОПО МН и МНПП по административным районам следует представлять в виде таблицы, аналогичной табл. 1.
Таблица 1
Границы территориального деления трассы ОПО МН и МНПП
по административным районам
Область | Район | Километраж по трассе ОПО МН и МНПП, км |
| | |
1.2. Средние температуры воздуха (по месяцам) для районов прохождения трасс ОПО МН и МНПП следует представлять в виде таблицы, аналогичной табл. 2.
Таблица 2
Средняя месячная температура воздуха (по месяцам)
для районов прохождения трасс ОПО МН и МНПП
Область | Район | Средняя (по месяцам) температура наружного воздуха, °C |
I | II | III | IV | V | VI | VII | VIII | IX | X | XI | XII |
| | | | | | | | | | | | | |
| | | | | | | | | | | | |
1.3. Среднемесячную скорость ветра (по месяцам) для районов прохождения трасс ОПО МН и МНПП рекомендуется представлять в виде таблицы, аналогичной табл. 3.
Таблица 3
Среднемесячная скорость ветра (по месяцам)
для районов прохождения трасс ОПО МН и МНПП
Область | Район | Среднемесячная скорость ветра, м/с |
I | II | III | IV | V | VI | VII | VIII | IX | X | XI | XII |
| | | | | | | | | | | | | |
| | | | | | | | | | | | |
1.4. Годовую повторяемость направлений ветра для районов прохождения трасс ОПО МН и МНПП рекомендуется представлять в виде таблицы, аналогичной табл. 4.
Таблица 4
Годовая повторяемость направлений ветра
для районов прохождения трасс ОПО МН и МНПП
Область | Район | Годовая повторяемость направления ветра, % |
С | СВ | В | ЮВ | Ю | ЮЗ | З | СЗ | Штиль |
| | | | | | | | | | |
| | | | | | | | | |
1.5. Сведения об иных магистральных трубопроводах, проходящих в одном технологическом коридоре с рассматриваемым ОПО МН и МНПП или пересекающих его, рекомендуется представлять в виде таблицы, аналогичной табл. 5.
Таблица 5
Сведения об иных магистральных трубопроводах, проходящих
в одном технологическом коридоре с рассматриваемым
ОПО МН и МНПП или пересекающих его
Наименование ОПО МН и МНПП | Место прохождения/пересечения, км | Характеристика соседних магистральных трубопроводов (диаметр, давление, транспортируемое вещество) |
| | |
1.6. Краткую характеристику переходов ЛЧ ОПО МН и МНПП через железные и автомобильные дороги рекомендуется представлять в виде таблицы, аналогичной табл. 6.
Таблица 6
Краткая характеристика переходов ЛЧ ОПО МН и МНПП
через железные и автомобильные дороги
Наименование перехода (наименование, интенсивность) | Дистанция по трассе ОПО МН и МНПП, км | Длина перехода, м | Характеристика перехода (диаметр, толщина, размеры защитного кожуха, изоляция) |
| | | |
1.7. Краткую характеристику переходов ЛЧ ОПО МН и МНПП через водные преграды рекомендуется представлять в виде таблицы, аналогичной табл. 7.
Таблица 7
Краткая характеристика переходов ЛЧ ОПО МП и МНПП
через водные преграды
Наименование перехода | Дистанция по трассе ОПО МН и МНПП, км | Длина перехода, м | Характеристика перехода |
| | | |
1.8. Данные о размещении близлежащих организаций к ЛЧ ОПО МН и МНПП (для МНПП светлых нефтепродуктов - ближе 1000 м, для остальных ОПО МН и МНПП - ближе 500 м) рекомендуется представлять в виде таблицы, аналогичной табл. 8.
Таблица 8
Данные о размещении близлежащих организаций
к ЛЧ ОПО МН и МНПП
Наименование организации | Дистанция по трассе ОПО МН и МНПП, км | Удаленность от оси ОПО МН и МНПП, м | Численность работающих, чел. |
| | | |
1.9. Данные о размещении близлежащих населенных пунктов для ЛЧ ОПО МН и МНПП (для магистральных нефтепродуктопроводов - ближе 1000 м, для магистральных нефтепроводов - ближе 500 м) рекомендуется представлять в виде таблицы, аналогичной табл. 9.
Таблица 9
Данные о размещении близлежащих населенных пунктов
для ЛЧ ОПО МН и МНПП
Наименование населенного пункта | Дистанция по трассе ОПО МН и МНПП, км | Удаленность от оси ОПО МН и МНПП, м | Численность проживающих, чел. |
| | | |
1.10. Перечень основного технологического оборудования, в котором обращаются опасные вещества (трубопроводы, трубопроводная арматура) ЛЧ ОПО МН и МНПП с указанием основных характеристик оборудования рекомендуется представлять в виде таблицы, аналогичной табл. 10. Форма табл. 10 - в соответствии с
табл. 7 главы IV РД 03-357-00.
Таблица 10
Перечень основного технологического оборудования, в котором
обращаются опасные вещества
N поз. по схеме | Наименование оборудования, материал | Количество единиц оборудования, шт. | Расположение | Назначение | Техническая характеристика |
| | | | | |
1.11. Данные о распределении опасных веществ по трубопроводам вносятся по отсекаемым секциям (участкам между трубопроводной арматурой) ЛЧ ОПО МН и МНПП и их рекомендуется представлять в виде таблицы, аналогичной табл. 11. Форма табл. 11 - в соответствии с РД 03-357-00
(глава IV, табл. 8).
Таблица 11
Данные о распределении опасных веществ по трубопроводам
Технологический блок, оборудование (секция ЛЧ) | Количество опасного вещества, т | Физические условия содержания опасного вещества |
Наименование блока | Наименование оборудования, N по схеме, опасное вещество | Количество единиц оборудования, шт. | в единице оборудования | в блоке | Агрегатное состояние | Давление, МПа | Температура, °C |
| | | | | | | |
1.12. Для нефти (нефтепродуктов), транспортируемых по ОПО МН и МНПП, рекомендуется указать следующие характеристики:
состав (при условиях транспортирования);
физические свойства (молекулярный вес, плотность, температура кипения, вязкость, давление насыщенных паров);
данные о взрывопожароопасности (пределы взрываемости, температура вспышки и самовоспламенения).
1.13. Принципиальная технологическая схема с обозначением основного технологического оборудования и кратким описанием технологического процесса по составляющим ОПО МН и МНПП должна содержать:
эпюру давлений по трассе ОПО МН и МНПП;
расход и температуру перекачиваемой жидкости;
характеристики "напор-расход" насосного оборудования НПС и принципиальную технологическую схему их обвязки;
значение давления на входе и выходе НПС;
характеристики и расположение трубопроводной арматуры на ЛЧ ОПО МН и МНПП в виде таблицы, аналогичной табл. 12.
Таблица 12
Характеристика и расположение трубопроводной арматуры
Номер трубопроводной арматуры | Дистанция по трассе ОПО МН и МНПП, км | Тип трубопроводной арматуры, DN, P | Тип привода | Время срабатывания, мин |
| | | | |
1.14. Характеристику противопожарных сооружений ЛЧ ОПО МН и МНПП рекомендуется представлять в виде таблицы, аналогичной табл. 13.
Таблица 13
Характеристика противопожарных сооружений ЛЧ ОПО МН и МНПП
Дистанция по трассе ОПО МН и МНПП, км | Защищаемый объект, расстояние до ОПО МН и МНПП | Краткая характеристика | Состояние сооружений |
| | | |
1.15. В описании систем автоматического регулирования, блокировок, сигнализации и других средств противоаварийной защиты и обеспечения безопасности, а также системы обнаружения утечек и несанкционированных врезок содержится:
время срабатывания системы обнаружения аварийных утечек в зависимости от объема (или расхода) аварийной утечки;
минимальный объем аварийной утечки, при котором срабатывает сигнализация, останавливаются насосы и перекрывается запорная арматура;
время перекрытия запорной арматуры.
1.16. В описании решений, направленных на ликвидацию аварийных разливов опасных веществ, содержится:
место расположения АВБ;
время выезда АВБ после поступления аварийного сигнала;
средняя скорость движения АВБ к месту разлива;
время развертывания АВБ на месте аварий;
условные вероятности успешной локализации аварийного разлива нефти (нефтепродукта).
1.17. Геодезическая съемка трассы ОПО МН и МНПП.
1.18. Сжатый и полный профиль трассы ОПО МН и МНПП рекомендуется представлять в графической форме с уточнениями для профиля трассы ОПО МН и МНПП в виде табл. 14.
Таблица 14
Уточнения для профиля трассы ОПО МН и МНПП
Дистанция по трассе ОПО МН и МНПП, км | Высотная отметка, м | Наличие трубопроводной арматуры, начала и конца лупингов |
| | |
1.19. Перечень аварий и инцидентов, имевших место на данном ОПО МН и МНПП с указанием источника информации, представляется в виде табл. 15.
Таблица 15
Перечень аварий и инцидентов, имевших место
на данном ОПО МН и МНПП
Дата и место | Вид аварии, инцидента | Описание аварии, инцидента и основные причины | Масштаб развития аварии, инцидента, максимальные зоны действия поражающих факторов | Число пострадавших, ущерб |
| | | | |
1.20. Данные для балльной оценки факторов влияния состояния ОПО МН и МНПП на степень риска аварий приведены в табл. 16 в соответствии с
приложением N 5 к настоящему Руководству по безопасности. Факторы (группы факторов) для проектируемых ОПО МН и МНПП приведены со звездочкой.
Таблица 16
Данные для балльной оценки факторов влияния
состояния ОПО МН и МНПП
Обозначение и наименование фактора влияния | Содержание исходной информации |
Группа 1(1*): Внешние антропогенные воздействия |
| Минимальная глубина заложения подземного ОПО МН и МНПП | Фактическая толщина слоя грунта hгр, м, над верхней образующей самого мелкозаглубленного отрезка в пределах рассматриваемого участка ОПО МН и МНПП. Фактическая глубина водоема над самым мелкозаглубленным участком (для участков подводных переходов) |
| Уровень антропогенной активности | Плотность населения в среднем на участке ОПО МН и МНПП в трехкилометровой полосе вдоль трассы. Проведение в охранной зоне ОПО МН и МНПП строительных и других работ на момент проведения количественного анализа риска аварий. Наличие коммуникаций иной принадлежности в охранной зоне ОПО МН и МНПП. Наличие участков автомобильных и железных дорог в охранной зоне ОПО МН и МНПП. Интенсивность судоходства (для участков подводных переходов) |
| Опасность диверсий и врезок в целях хищения нефти, нефтепродукта | Перечень аварий и инцидентов (врезок) в организации, эксплуатирующей ОПО МН и МНПП (см. подпункт 1.19). Частота обходов участка ОПО МН и МНПП. Наличие автоматизированных систем обнаружения врезок, их характеристика |
Группа 2(2*): Коррозия |
| Коррозионная активность грунта | Удельное сопротивление грунта, кислотность грунта |
| Наличие подземных металлических сооружений и энергосистем вблизи ОПО МН и МНПП | Количество металлических сооружений, энергосистем постоянного и переменного тока на расстоянии до 50 м от трассы |
F23 | Защищенность ОПО МН и МНПП средствами ЭХЗ | Давность ввода в действие ЭХЗ на данном участке ОПО МН и МНПП |
F24 | Контроль защищенности ОПО МН и МНПП | Период времени с момента проведения последних измерений методом выносного электрода |
Группа 3(3*): Природные воздействия |
| Вероятность перемещений грунта или размыва подводного перехода | Сведения о фактах перемещений грунта или наличии размывов |
| Несущая способность грунта | Сведения о типах грунтов в основании ОПО МН и МНПП |
| Наличие на участке линейной арматуры, надземных технологических трубопроводов | Сведения о конструкции линейной арматуры и наземных узлов |
| Превентивные мероприятия | Сведения о проведении и характере превентивных мероприятий |
Группа 4 (4*): Конструктивно-технологические факторы |
| Отношение фактической толщины стенки трубы к требуемой | Расчетное и фактическое значения толщины стенки трубы  и  |
| Усталость металла | Число циклов нагружения, имевших место за время эксплуатации рассматриваемого участка, и амплитуда подававшейся нагрузки |
| Возможность возникновения гидравлических ударов | Качественная оценка вероятности возникновения гидравлических ударов |
| Системы телемеханики и автоматики (СТА) | Технические характеристики СТА |
Группа 5: Дефекты тела трубы и сварных швов |
F51 | Количество дефектов с предельным сроком эксплуатации не более 1 года на участке трассы | Данные о результатах диагностирования ОПО МН и МНПП с указанием экспертной организации, метода и результатов диагностики, в том числе даты обследования, типа внутритрубного снаряда, количества и распределения дефектов по трассе ОПО МН и МНПП, принятые меры безопасности |
F52 | Количество дефектов с предельным сроком эксплуатации от 1 до 6 лет на участке трассы |
F53 | Диагностика |
Группа 5*: Сложность строительно-монтажных работ |
| Категория участка по сложности производства работ | Сведения о сложности условий строительного освоения трассы ОПО МН и МНПП |
2. Площадочные сооружения
2.1. Среднемесячные температуры воздуха и скорости ветра, а также годовая повторяемость направлений ветра для районов нахождения площадочных объектов следует представлять в виде таблиц, аналогичных
табл. 2 -
4.
2.2. Генеральные планы всех площадочных объектов, включая планы расположения основного технологического оборудования (в том числе ОПО МН и МНПП), зданий и сооружений, следует представлять с экспликацией с указанием высотных отметок или нанесенными изолиниями.
2.3. Сведения об общей численности работников на объекте, а также данные о размещении персонала на площадочных сооружениях по зданиям, сооружениям, производственным площадкам в виде табл. 17, в соответствии с экспликацией.
Таблица 17
Данные о размещении персонала на площадочных сооружениях
по зданиям, сооружениям, производственным площадкам
Составляющая площадочного объекта | Численность, чел. | Наименование административной единицы | Номер по экспликации по генеральному плану | Численность, чел. |
средняя | наибольшая смена | средняя | наибольшая смена |
| | | | | | |
| | | |
2.4. Ситуационные планы расположения для всех площадочных объектов представляются с прилегающей территорией до 3000 м.
2.5. Данные о размещении близлежащих организаций к площадочным объектам МНПП - 2000 м и менее; к площадочным объектам МН - 750 м и менее представляются в виде табл. 18.
Таблица 18
Данные о размещении близлежащих организаций
к площадочным объектам ОПО МН и МНПП
Наименование организации | Удаленность от границ площадочного объекта, м | Численность работающих, чел. |
| | |
2.6. Данные о размещении близлежащих населенных пунктов к площадочным объектам МНПП - 2000 м и менее; к площадочным объектам МН - 750 м и менее представляются в виде табл. 19.
Таблица 19
Данные о размещении близлежащих населенных пунктов
к площадочным объектам ОПО МН и МНПП
Наименование населенного пункта | Удаленность от границ площадочного объекта, м | Численность проживающих, чел. |
| | |
2.7. Технологические схемы представляются с обозначением основного технологического оборудования и кратким описанием технологического процесса по составляющим площадочного объекта.
2.8. Перечень основного технологического оборудования, в том числе трубопроводов (с указанием длины и диаметра), в котором обращаются опасные вещества на площадочных сооружениях (нефть, дизельное топливо, бензин, керосин), с указанием типа резервуаров (со стационарной, плавающей крышей и др.) представляются в виде табл. 20. Форма табл. 20 - в соответствии с РД 03-357-00
(глава IV, табл. 7).
Таблица 20
Перечень основного
технологического оборудования, в том числе трубопроводов
(с указанием длины и диаметра), в котором обращаются
опасные вещества на площадочных сооружениях
N поз. по схеме | Наименование оборудования, материал | Количество, шт. | Расположение | Назначение | Техническая характеристика |
| | | | | |
| | | | | |
2.9. Данные о распределении опасных веществ по оборудованию и трубопроводам площадочных объектов представляются в виде табл. 21. Форма табл. 21 - в соответствии с РД 03-357-00
(глава IV, табл. 8).
Таблица 21
Данные о распределении опасных веществ
по оборудованию и трубопроводам площадочных объектов
Технологический блок, оборудование | Количество опасного вещества, т | Физические условия содержания опасного вещества |
Наименование блока | Наименование оборудования, N по схеме, опасное вещество | Количество единиц оборудования, шт. | в единице оборудования | в блоке | Агрегатное состояние | Давление, МПа | Температура, °C |
| | | | | | | |
| | | | | | | |
2.10. Основные характеристики опасных веществ (нефти и нефтепродуктов), обращающихся на площадочных сооружениях ОПО МН и МНПП, приводятся в соответствии с
пунктом 1.12 данного приложения.
2.11. В кратком описании решений, направленных на обеспечение взрывопожаробезопасности на площадочных сооружениях, предоставляются:
размеры и вместимость защитных обвалований и отбортовок технологических площадок;
размеры защитных ограждений, приподнятости внутриплощадочных дорог;
состав и расположение средств первичного пожаротушения, системы пожаротушения;
наличие и характеристики аварийной сигнализации, контроль загазованности.
2.12. Стоимость основных производственных фондов предоставляется с указанием стоимости ОПО МН и МНПП, технических устройств, зданий и сооружений, стоимости перекачиваемой нефти (нефтепродукта).
2.13. Рекомендуется предоставлять информацию о средней заработной плате в организации, среднем возрасте персонала, ориентировочной среднегодовой прибыли организации (данные необходимы для расчетов социально-экономического ущерба при авариях).
к Руководству по безопасности
"Методические рекомендации
по проведению количественного
анализа риска аварий
на опасных производственных объектах
магистральных нефтепроводов
и нефтепродуктопроводов" <*>
от 17 июня 2016 г. N 228
--------------------------------
<*> Очевидно, пропущены слова ", утвержденному
приказом Федеральной службы по экологическому, технологическому и атомному надзору". (Примеч. изд.)
БАЛЛЬНАЯ ОЦЕНКА ФАКТОРОВ ВЛИЯНИЯ СОСТОЯНИЯ ОПО МН И МНПП
НА СТЕПЕНЬ РИСКА АВАРИЙ
Для оценки локальной частоты аварий вводится система классификации и группировки факторов влияния в соответствии с общими причинами аварий, выявляемыми при анализе статистических данных по аварийным отказам. Из статистических данных по авариям на ОПО МН и МНПП выделены пять групп факторов влияния с указанием относительного вклада каждой группы Гр
i (
i от 1 до 5) в суммарную статистику аварийных отказов с помощью весового коэффициента

. Доля группы

определяется исходя из данных по аварийности на рассматриваемом участке ОПО МН и МНПП.
В пределах каждой группы Грi имеется различное количество факторов влияния Ji. Каждый фактор имеет буквенно-цифровое обозначение Fij, где i - номер группы, j - номер фактора в группе.
Относительный вклад фактора Fij внутри своей группы в изменение интенсивности аварийных отказов на рассматриваемом участке ОПО МН и МНПП учитывается с помощью весового коэффициента (доли) qij.
Балльную оценку факторов влияния состояния ОПО МН и МНПП на степень риска аварий для участков ОПО МН и МНПП, находящихся в эксплуатации, определяют в соответствии с
разделом I настоящего Руководства по безопасности, для проектируемых ОПО МН и МНПП - в соответствии с
разделом II настоящего Руководства по безопасности.
1. Балльная оценка факторов влияния состояния
эксплуатируемого ОПО МН и МНПП на степень риска аварий
Из статистических данных по авариям на ОПО МН и МНПП для эксплуатируемых ОПО МН и МНПП рассматриваются следующие группы факторов влияния:
а) внешние антропогенные воздействия;
б) коррозия;
в) природные воздействия;
г) конструктивно-технологические факторы;
д) дефекты тела трубы и сварных швов.
Доля
i-й группы факторов

определяют исходя из данных по аварийности на рассматриваемом участке ОПО МН и МНПП за последние 5 лет.
Значения коэффициентов

приведены в качестве примера в табл. 1 исходя из статистики причин аварий за 2006 - 2010 гг. по данным Ростехнадзора.
Таблица 1
Весовые коэффициенты (пример)
Обозначение и наименование группы факторов | Доля группы  |
Гр1 | Внешние антропогенные воздействия | 0,60 |
Гр2 | Коррозия | 0,05 |
Гр3 | Природные воздействия | 0,05 |
Гр4 | Конструктивно-технологические факторы | 0,10 |
Гр5 | Дефекты тела трубы и сварных швов | 0,20 |
1.1. Группа 1 - внешние антропогенные воздействия
В группу 1 входят внешние по отношению к рассматриваемому ОПО МН и МНПП факторы, приведенные в табл. 2, влияющие на вероятность повреждения ОПО МН и МНПП со стороны третьих лиц.
Таблица 2
Факторы группы 1
Обозначение и наименование фактора влияния | Доля в группе q1j |
F11 | Минимальная глубина заложения подземного ОПО МН и МНПП | 0,4 |
F12 | Уровень антропогенной активности | 0,2 |
F13 | Опасность диверсий и врезок с целью хищения нефти, нефтепродукта | 0,4 |
1.1.1. Фактор F11 - минимальная глубина заложения подземного ОПО МН и МНПП.
В качестве глубины минимального заложения
h необходимо рассматривать фактическую толщину слоя грунта над верхней образующей самого мелкозаглубленного отрезка анализируемого участка ОПО МН и МНПП независимо от протяженности этого отрезка. В соответствии со
СНиП 2.05.06-85* "Магистральные трубопроводы", утвержденными постановлением Госстроя СССР от 30 марта 1985 г. N 30, требуемая минимальная глубина заглубления варьируется в зависимости от диаметра и назначения ОПО МН и МНПП, а также от местных грунтовых условий и характера землепользования от 0,6 до 1,1 м от земной поверхности до верхней образующей ОПО МН и МНПП (в среднем
h = 0,9 м).
Балльное значение для фактической глубины заложения на сухопутном участке ОПО МН и МНПП рассчитывают по следующим формулам:
B11 = 0 при h >= 1,8; (1)
B11 = 0,83(1,8 - h) при 0,6 < h < 1,8; (2)
B11 = 1 + 25(h - 0,6)2 при 0 < h < 0,6, (3)
где h = hгр + hдоп, hдоп определяется по табл. 3.
Таблица 3
Эквивалентная толщина дополнительного механического
защитного покрытия ОПО МН и МНПП
Тип и толщина дополнительного покрытия | Эквивалентная толщина слоя грунта hдоп, м |
Бетонное покрытие толщиной 0,05 м | 0,2 |
Бетонное покрытие толщиной 0,1 м | 0,6 |
Защитный кожух (футляр) | 0,6 |
Железобетонная плита | 0,6 |
Для подводных переходов роль основной защиты от механического повреждения играют глубина заложения ОПО МН и МНПП в донный грунт hгр и дополнительные защитные покрытия (бетонное покрытие на поверхности трубы (наряду с футеровкой) или железобетонная плита над ОПО МН и МНПП). Также важную роль играет глубина водоема, и прежде всего для переходов через судоходные реки, сплавные реки, водоемы активного промышленного рыболовства.
Балльное значение на переходах через водные преграды для комбинации фактической глубины заложения и глубины водоема B11 рассчитывается по формулам:
B11 = 0,67(hгр + hдоп - 3)2 + 0,16(hв - 5)2
при 0 < (hгр + hдоп) < 3,0 м и 0 < hв < 5 м; (4)
B11 = 0 при (hгр + hдоп) > 3,0 м и hв > 5 м. (5)
При отсутствии информации о реальном состоянии подводного перехода B11 выбирают равным 6.
1.1.2. Фактор F12 - уровень антропогенной активности.
В табл. 4 приведены значения отдельных составляющих фактора
F12 и соответствующие им балльные оценки

, где
m - номер составляющей. Итоговую балльную оценку для данного фактора рекомендуется рассчитывать как сумму балльных оценок нижеприведенных пяти составляющих. Если сумма баллов превышает 10, то
B12 = 10.
Таблица 4
Уровень антропогенной активности
m | Наименование составляющей m | |
1 | Плотность населения Hнас в среднем в трехкилометровой полосе вдоль трассы | 0 < Hнас < 50 чел./км2 | 0,06 Hнас |
Hнас > 50 чел./км2 | 3 |
2 | Активность проведения в охранной зоне ОПО МН и МНПП строительных и других работ на момент проведения количественного анализа риска аварий (по разрешениям на право проведения работ в охранных зонах) | высокая (указанные работы, как правило, ведутся более трех месяцев в году) | 3 |
умеренная (указанные работы ведутся от одного до трех месяцев в году) | 2 |
низкая (указанные работы носят эпизодический характер) | 1 |
отсутствует (указанные работы никогда не проводились ранее и не проводятся сейчас) | 0 |
3 | Наличие ОПО МН и МНПП и других коммуникаций иной ведомственной принадлежности в охранной зоне ОПО МН и МНПП | большое количество (более двух) | 2 |
небольшое количество (не более двух) | 0,5 |
вневедомственные коммуникации отсутствуют | 0 |
4 | Наличие участков автомобильных и железных дорог в пределах охранной зоны ОПО МН и МНПП | присутствуют | 2 |
отсутствуют | 0 |
5 | Интенсивность судоходства (только для подводных переходов) | высокая (30 судов и более в сутки) | 4 |
средняя (от пяти до 30 судов в сутки) | 2 |
низкая (менее пяти судов в сутки) | 1 |
река несудоходна | 0 |
1.1.3. Фактор F13 - опасность диверсий и врезок в целях хищения нефти (нефтепродукта).
Балльная оценка данного фактора складывается из балльных оценок двух составляющих фактора F13. В том случае, если сумма баллов превышает 10, то B13 принимается равным 10.
Сведения об опасности диверсий и врезок приведены в табл. 5.
Таблица 5
Опасность диверсий и врезок
m | Наименование составляющей m | |
1 | Несанкционированные врезки. На эксплуатируемом участке ОПО МН и МНПП попыток хищения нефти (нефтепродуктов) не фиксировалось | 0 |
На эксплуатируемом участке фиксировали попытки хищения нефти (нефтепродуктов). С целью предотвращения несанкционированных врезок осуществляют патрулирование трассы ОПО МН и МНПП | наземный осмотр трассы выполняет обходчик ежедневно (воздушный осмотр трассы проводят от двух до пяти раз в неделю) | 2 |
наземный осмотр трассы выполняет обходчик два или три раза в неделю (осмотр трассы с воздуха не проводят) | 5 |
наземный осмотр трассы выполняет обходчик один раз в неделю (осмотр трассы с воздуха не проводят) | 8 |
На эксплуатируемом участке фиксировали попытки хищения нефти (нефтепродуктов). На ОПО МН и МНПП установлена автоматизированная система обнаружения врезок (система виброакустического мониторинга, система "Капкан" или иное) | 0 |
На эксплуатируемом участке ранее фиксировали попытки хищения нефти (нефтепродуктов), но меры защиты не принимали | 10 |
2 | Диверсии на ОПО МН и МНПП. Анализируемый участок ОПО МН и МНПП располагается в Северо-Кавказском федеральном округе (на территории Республик Дагестан, Ингушетия, Чеченской Республики, Республики Северная Осетия - Алания, Кабардино-Балкарской, Карачаево-Черкесской Республик, южных районов Ставропольского края) | 5 |
1.2. Группа 2 - коррозия
Данная группа факторов оценивает объективно существующие на трассе условия, способствующие интенсификации почвенной коррозии (коррозионная активность грунтов, обводненность, наличие других подземных металлических сооружений, в том числе токопроводящих) и эффективности пассивной и активной защиты ОПО МН и МНПП от агрессивных коррозионных воздействий. Факторы, входящие в данную группу, приведены в табл. 6.
Таблица 6
Факторы группы 2
Обозначение и наименование фактора влияния | Доля в группе q2j |
F21 | Коррозионная активность грунта | 0,25 |
F22 | Наличие подземных металлических сооружений и энергосистем вблизи ОПО МН и МНПП | 0,25 |
F23 | Защищенность ОПО МН и МНПП средствами ЭХЗ | 0,25 |
F24 | Контроль защищенности ОПО МН и МНПП | 0,25 |
1.2.1. Фактор F21 - коррозионная активность грунта.
Коррозионные свойства грунта зависят от его температуры, влажности, пористости, газопроницаемости, содержания солей - характеристик, которые интегрированы в удельном сопротивлении грунта

. Данные о коррозионной активности грунта для двух составляющих фактора
F21 приведены в табл. 7. Балльная оценка данного фактора складывается из балльных оценок двух составляющих. Если сумма баллов превышает 10 (или при отсутствии данных о свойствах грунта), то
B21 принимают равным 10.
Таблица 7
Коррозионная активность грунта
m | Наименование составляющей m фактора F21 - коррозионная активность грунта | |
1 | Удельное сопротивление грунта  , Ом·м: | |
| 10 |
| |
| |
| 0 |
2 | Кислотность грунта, pH: | |
3 <= pH <= 7 | 8,75 - 1,25pH |
pH > 7 | 0 |
1.2.2. Фактор F22 - наличие подземных металлических сооружений и энергосистем вблизи ОПО МН и МНПП.
Балльная оценка протяженности зон электрохимического взаимодействия ОПО МН и МНПП с другими металлическими подземными и наземными сооружениями (в том числе электрифицированными), линиями электропередачи рассчитывают как сумму оценок двух составляющих. Если сумма баллов превышает 10, то B22 принимают равным 10.
Сведения о наличии подземных металлических сооружений и энергосистем вблизи ОПО МН и МНПП приведены в табл. 8.
Таблица 8
Наличие подземных металлических сооружений и энергосистем
вблизи ОПО МН и МНПП
m | Наименование составляющей m фактора F22 - наличие подземных металлических сооружений и энергосистем вблизи ОПО МН и МНПП | |
1 | Количество находящихся в пределах 50 м от трассы металлических сооружений на анализируемом участке | отсутствуют | 0 |
от 1 до 10 | 3 |
от 11 до 25 | 7 |
более 25 | 10 |
2 | Наличие энергосистем постоянного и переменного тока | отсутствуют в пределах 50 м от трассы | 0 |
присутствуют, но предусмотрена защита от блуждающих токов | 5 |
присутствуют, защита от блуждающих токов отсутствует | 10 |
1.2.3. Фактор F23 - защищенность ОПО МН и МНПП средствами ЭХЗ.
Балльная оценка данного фактора оценивается по табл. 9.
Таблица 9
Защищенность ОПО МН и МНПП средствами ЭХЗ
Наименование фактора F23 - защищенность ОПО МН и МНПП средствами ЭХЗ | B23 |
Срок ввода ЭХЗ в эксплуатацию на данном участке: | |
а) одновременно с ОПО МН и МНПП | 0 |
б) менее чем через 1 год после начала эксплуатации ОПО МН и МНПП | 1 |
в) через 1 - 2 года после начала эксплуатации ОПО МН и МНПП | 2 |
г) через 3 года и более после начала эксплуатации ОПО МН и МНПП | 4 |
1.2.4. Фактор F24 - контроль защищенности ОПО МН и МНПП.
Балльная оценка контроля защищенности ОПО МН и МНПП определяется временем

(количеством лет), прошедшим с момента проведения последних измерений с помощью выносного электрода. Сведения о контроле защищенности ОПО МН и МНПП приведены в табл. 10.
Таблица 10
Контроль защищенности ОПО МН и МНПП
N п/п | Наименование фактора F24 - контроль защищенности ОПО МН и МНПП | B24 |
1 | | |
2 | | |
3 | | 10 |
1.3. Группа 3 - природные воздействия
В данной группе рассматривают факторы влияния, связанные с природными воздействиями механического характера:
а) повреждения ОПО МН и МНПП при деформациях грунта, происходящих в форме обвалов, оползней, селевых потоков, термокарста, пучения грунта, солифлюкции;
б) неравномерная осадка ОПО МН и МНПП, которая более всего проявляется на наземных узлах разветвленной конфигурации (узлах подключения к НПС), линейной арматуре, камерах пуска и приема очистных устройств, береговых "гребенках" и на примыкающих к ним участках;
в) размывы траншеи на подводном переходе ОПО МН и МНПП, связанные с переформированием русла реки, и повреждения ОПО МН и МНПП от гидродинамического воздействия потока.
Факторы, входящие в группу, приведены в табл. 11.
Таблица 11
Факторы группы 3
Обозначение и наименование фактора влияния | Доля в группе q3j |
F31 | Вероятность перемещений грунта | 0,2 |
F32 | Несущая способность грунта | 0,15 |
F33 | Наличие на участке линейной арматуры, надземных технологических трубопроводов | 0,15 |
F34 | Проведение превентивных мероприятий | 0,5 |
1.3.1. Фактор F31 - вероятность перемещений грунта или размыва подводного перехода.
Балльную оценку определяют в соответствии с вероятностью перемещений грунта или размыва подводного перехода, приведенной в табл. 12.
Таблица 12
Вероятность перемещения грунта или размыва
подводного перехода
N п/п | Наименование фактора F31 - вероятность перемещения грунта | B31 |
1 | Высокая вероятность. Перемещения грунта являются обычным явлением, наблюдаются регулярные сдвиги и разрывы грунта, оползни, оседания, обвалы, пучения. Зоны опасных сейсмических процессов (выше 8 баллов по СП 14.13330.2014 "СНиП II-7-81*. Строительство в сейсмических районах" (далее - СП 14.13330.2014), утвержденный приказом Минстроя России от 18 февраля 2014 г. N 60/пр, зоны вечной мерзлоты, зоны шахтных разработок, горные районы. Подводный переход относится к типу 3 или 4 по степени опасности размыва | 10 |
2 | Средняя вероятность. Топография и типы грунта не исключают возможности перемещений грунта, однако значительные деформации грунта наблюдаются редко. Повреждений или недопустимых изменений положения ОПО МН и МНПП по этой причине не зарегистрировано. Зоны малоопасных сейсмических процессов (6 или 7 баллов по СП 14.13330.2014). Подводный переход относится к типу 2 | 5 |
3 | Низкая вероятность. Перемещения грунта наблюдаются редко. Смещения и повреждения ОПО МН и МНПП практически исключены. Подводный переход относится к типу 1. Участок ОПО МН и МНПП расположен вне сейсмически опасных зон | 1 |
4 | Никаких признаков, указывающих на потенциальную угрозу, связанную с перемещениями грунта, нет | 0 |
5 | Информация о возможности перемещений грунта на подводном переходе отсутствует | 10 |
Категории подводных переходов по степени опасности разлива дюкера при переходах через водные преграды принимают в соответствии с табл. 13.
Таблица 13
Классификация подводных переходов по степени опасности
размыва дюкера
Тип участка перехода | Характеристика водной преграды | Степень опасности размыва |
1 | Глубинные переформирования незначительны, ОПО МН и МНПП, как правило, не размываются (переходы через малые реки шириной до 50 м ленточно-грядового, осередкового и побочневого типов, реки любой ширины с устойчивыми берегами и руслами) | Незначительная. Эксплуатация перехода ведется без осложнений |
2 | Глубинные деформации - до 2 м, плановые - до 10 м (средние и крупные реки ленточно-грядового и побочневого типов) | Умеренная и умеренно высокая. Размывы часты при неправильной глубине заложения дюкера |
3 | Глубинные деформации - до 2 м, плановые - до 100 м (мелкие, средние и крупные реки с русловым процессом ограниченного, незавершенного и свободного типов меандрирования и пойменной многорукавности). Возможные размывы представляют большую опасность из-за трудности точного определения максимальных плановых переформирований. Возможны повреждения ОПО МН и МНПП водным потоком, ледоходом, якорями, волокушами судов | Высокая. Размывы очень часты и нередко сопровождаются разрушениями труб |
4 | Горные реки, селевые потоки, реки с ярко выраженным неустойчивым руслом. Максимальные плановые переформирования и глубинные переформирования более 2 м могут происходить в течение нескольких дней, недель или месяцев | Очень высокая. Строительство подводных ОПО МН и МНПП не рекомендуется |
1.3.2. Фактор F32 - несущая способность грунта.
Состав грунта определяет его несущую способность, влияющую на устойчивость проектного положения оси ОПО МН и МНПП и, следовательно, на вероятность нарушения целостности ОПО МН и МНПП. Чем выше несущая способность грунта, тем устойчивее положение ОПО МН и МНПП и тем меньше вероятность возникновения недопустимых напряжений в стенке трубы, которые могут привести к ее разгерметизации. Балльная оценка проводится по табл. 14.
Таблица 14
Несущая способность грунта
N п/п | Наименование фактора F32 - несущая способность грунта | B32 |
1 | Низкая (торфяники - сильно- и слаборазложившиеся; зоны болот; пески - пылеватые твердомерзлые и пылеватые с включениями гальки, гравия и валунов; супеси пластичные, мерзлые, мало- и сильнольдистые; мягкопластичные глины и суглинки) | 10 |
2 | Средняя (суглинки полутвердые тугопластичные, твердомерзлые - малольдистые и льдистые, суглинки с включениями гравия и гальки, полутвердые тугопластичные глины; мелкие плотные влажные и водонасыщенные пески) | 5 |
3 | Нормальная (глины твердомерзлые - малольдистые и льдистые; глинистые сланцы с кварцевыми жилами, твердые суглинки и супеси; гравелистые крупные влажные и водонасыщенные пески) | 2 |
1.3.3. Фактор F33 - наличие на участке линейной арматуры, надземных технологических трубопроводов.
Фактор учитывает дополнительное влияние, оказываемое наличием на ОПО МН и МНПП тяжелой наземной арматуры, на вероятность возникновения при сезонных колебаниях температуры и неравномерной осадке грунта значительных напряжений и деформаций изгиба участков ОПО МН и МНПП, примыкающих к наземным узлам, и, следовательно, на вероятность разрушения ОПО МН и МНПП. Балльную оценку определяют по табл. 15.
Таблица 15
Наличие на участке линейной арматуры, надземных
технологических трубопроводов
N п/п | Наименование фактора F33 - наличие на участке линейной арматуры, надземных технологических трубопроводов | B33 |
1 | На участке присутствует надземный узел со сложной обвязкой и арматурой без фундамента | 10 |
2 | На участке присутствует сложный надземный узел с арматурой на фундаменте, рамная конструкция рассчитана с учетом рекомендаций современных нормативных документов | 5 |
3 | На участке присутствует линейная арматура без фундамента | 7 |
4 | На участке присутствует линейная арматура на фундаменте | 3 |
5 | Надземные сооружения отсутствуют | 0 |
1.3.4. Фактор F34 - проведение превентивных мероприятий.
К превентивным мероприятиям относятся:
а) меры, обеспечивающие физическую защиту или ослабление напряжений в ОПО МН и МНПП: заложение ОПО МН и МНПП ниже глубины деформаций грунта (для подводных переходов ниже предполагаемой глубины размыва), перенос участка трассы, устройство подпорных стенок на косогорах, установка компенсаторов, грунтовая разгрузка ОПО МН и МНПП с помощью устройства параллельных траншей;
б) меры по изменению свойств грунта, например осушение грунта с помощью систем дренажа;
в) проведение мониторинга деформаций грунта и перемещений ОПО МН и МНПП.
Балльная оценка зависит от наличия или отсутствия предупредительных мероприятий на анализируемом участке трассы в случае необходимости их проведения. Балльную оценку рассчитывают как сумму балльных оценок трех составляющих. Сведения о проведении превентивных мероприятий приведены в табл. 16.
Таблица 16
Проведение превентивных мероприятий
m | Наименование составляющей m фактора F34 - проведение превентивных мероприятий | |
1 | Меры по ослаблению напряжений в ОПО МН и МНПП | имели место или не требуются | 0 |
не имели места или неадекватны | 2 |
2 | Мероприятия по изменению свойств грунта | проводятся или не требуются | 0 |
не проводятся или проводятся неадекватно | 1,5 |
3 | Мониторинг деформаций грунта и перемещений ОПО МН и МНПП | проводится постоянно с помощью, например, инженерно-сейсмометрических станций | 0 |
проводится визуально два раза в год (весной и осенью) с помощью неподвижных реперов на трассе | 1 |
не проводится или проводится редко | 3 |
напряженно-деформированное состояние контролируется с помощью "интеллектуальных вставок" | 0 |
1.4. Группа 4 - конструктивно-технологические факторы
Данная группа включает факторы, отражающие качественное влияние на вероятность аварий качества основных проектных решений. Здесь оценивается точность учета всех возможных нагрузок и воздействий на ОПО МН и МНПП при расчете его конструкции.
Обозначения и наименования факторов влияния в группе 4 приведены в табл. 17.
Таблица 17
Факторы группы 4
Обозначение и наименование фактора влияния | Доля в группе q4j |
F41 | Отношение фактической толщины стенки трубы к требуемой | 0,35 |
F42 | Усталость металла | 0,30 |
F43 | Возможность возникновения гидравлических ударов | 0,15 |
F44 | Системы телемеханики | 0,20 |
1.4.1. Фактор F41 - отношение фактической толщины стенки трубы к требуемой.
Расчетное значение толщины стенки ОПО МН и МНПП

сравнивают с наименьшим в пределах данного участка фактическим значением толщины стенки

, полученным либо путем измерений, либо вычитанием максимального производственного допуска из номинального значения толщины стенки труб, уложенных на анализируемом участке ОПО МН и МНПП. Итоговую балльную оценку рассчитывают через отношение

с помощью формул:

; (6)
B41 = 0 при

. (7)
1.4.2. Фактор F42 - усталость металла.
Циклические изменения напряжений в стенке ОПО МН и МНПП в основном вызываются колебаниями давления перекачиваемой среды, которые в стационарном режиме перекачки обусловлены конструктивными особенностями рабочих органов насосов, а в нестационарном - частичными или полными отказами насосов. Зоны активных динамических нагрузок наблюдаются на расстоянии от 2 до 15 км от НПС вниз по потоку. Кроме того, циклы изменения нагрузок на ОПО МН и МНПП наблюдаются на переходах через автомобильные и железные дороги, а также при перекачке жидкостей с разными плотностями.
Балльная оценка данного фактора базируется на оценке степени "неблагоприятности" комбинации числа циклов нагружения, имевших место за все время эксплуатации анализируемого участка, и амплитуды этой нагрузки, выраженной в процентах от рабочего давления Pраб в ОПО МН и МНПП. Данные об амплитуде нагрузки и числе циклов нагружения приведены в табл. 18.
Таблица 18
Амплитуда нагрузки и число циклов нагружения
Значение фактора F42 в зависимости от амплитуды нагрузки и числа циклов нагружения |
Амплитуда нагрузки, % от Pраб | Число циклов нагружения в течение всего периода эксплуатации |
Менее 103 | 103 - 104 | 104 - 105 | 105 - 106 | Более 106 |
100 | 5,5 | 6,7 | 8,0 | 9,3 | 10,0 |
90 | 4,0 | 6,0 | 7,3 | 8,7 | 9,3 |
75 | 3,4 | 5,5 | 6,7 | 8,0 | 8,7 |
50 | 2,7 | 4,7 | 6,0 | 7,3 | 8,0 |
25 | 2,0 | 4,0 | 5,5 | 6,7 | 7,3 |
10 | 1,4 | 3,4 | 4,7 | 6,0 | 6,7 |
5 | 1,0 | 2,7 | 4,0 | 5,5 | 6,0 |
Если на участке выявлено несколько источников циклических напряжений, то за итоговую балльную оценку принимают наибольшую из полученных балльных оценок для каждого участка.
В случае, когда число циклов нагружения и амплитуду перепада давления достоверно оценить невозможно, балльную оценку данного фактора влияния на трехкилометровых участках вблизи НПС принимают равной 9.
Пример оценки фактора F42.
На участке ОПО МН и МНПП идентифицировано два типа циклической нагрузки:
первого типа - повышение давления в ОПО МН и МНПП около 50% от Pраб, вызванное пуском насоса два раза в неделю;
второго типа - движение транспортных средств по дороге над ОПО МН и МНПП, вызывающее повышение давления на 5% от Pраб частотой не менее 100 транспортных средств в 1 день. Рассматриваемая секция ОПО МН и МНПП эксплуатируется 4 года. Нагрузки от транспортных средств и указанные циклы нагружения насоса происходили с момента ввода участка в эксплуатацию.
Для первого типа циклы нагружения составят: два запуска в неделю x 52 недели x 4 года = 416 циклов.
В
табл. 18 выбирают строку, соответствующую амплитуде нагрузки 50% от
Pраб, и столбец, соответствующий числу циклов нагружения менее 10
3. Балльная оценка для этого источника циклических напряжений
B42(1) = 2,7.
Для второго типа циклы нагружения составят: 100 транспортных средств в 1 день x 365 дней x 4 года = 146 000 циклов.
В
табл. 18 выбирают строку, соответствующую амплитуде нагрузки 5% от
Pраб, и столбец, соответствующий числу циклов нагружения в диапазоне от 10
4 до 10
5. Балльная оценка для этого источника циклических напряжений
B42(2) = 5,5.
Таким образом, за итоговую балльную оценку для данного участка принимают B42 = 5,5.
1.4.3. Фактор F43 - возможность возникновения гидравлических ударов.
Степень влияния данного фактора на вероятность возникновения аварийной ситуации при перекачке жидких сред определяется вероятностью образования волн давления, превышающих рабочее давление в ОПО МН и МНПП Pраб более чем на 10%. Балльную оценку определяют по табл. 19.
Таблица 19
Возможность возникновения гидравлических ударов
N п/п | Наименование фактора F43 - возможность возникновения гидравлических ударов | B43 |
1 | Высокая вероятность гидравлических ударов | 8 |
2 | Средняя или низкая вероятность гидравлических ударов (параметры и скорость жидкости не исключают возможности возникновения волн давления, но опасности они не представляют, поскольку гасятся соответствующими устройствами: уравнительными резервуарами, предохранительными клапанами, устройствами медленного закрытия запорной арматуры) | 4 |
3 | Низкая или нулевая вероятность гидравлических ударов (практически исключена возможность возникновения всплеска давления, превышающего на 10% Pраб) | 0 |
1.4.4. Фактор F44 - системы телемеханики и автоматики.
Степень влияния данного фактора на вероятность возникновения аварий вследствие повышения давления сверх допустимого уровня определяется тем, насколько полно (по охвату эксплуатационного участка), точно (по месту) и оперативно система обеспечивает дистанционное измерение давления в пределах эксплуатируемого участка, обеспечивает ли аварийную сигнализацию по давлению, автоматическое управление системами отключения перекачивающих агрегатов и соответствующей арматуры, включает ли подсистему предотвращения гидроударов.
Сведения о системах телемеханики и автоматики приведены в табл. 20.
Таблица 20
Системы телемеханики и автоматики
N п/п | Наименование фактора F44 - системы телемеханики и автоматики | B44 |
1 | Системы телемеханики и автоматики обеспечивают телеизмерение давления на НПС и ЛЧ ОПО МН и МНПП в пределах эксплуатируемого участка, телесигнализацию положения запорной арматуры по трассе, аварийную сигнализацию и автоматическое отключение магистральных насосов (остановку перекачки) в случае недопустимого повышения давления. На ОПО МН и МНПП имеются системы гашения ударной волны и системы обнаружения утечек на участках ОПО МН и МНПП | 0 |
2 | Системы телемеханики обеспечивают телеизмерение давления в пределах эксплуатируемого участка, телесигнализацию положения линейной запорной арматуры по трассе, аварийную сигнализацию технологических параметров | 5 |
1.5. Группа 5 - дефекты тела трубы и сварных швов
В данную группу входят три фактора, отражающие контроль (диагностику) состояния ОПО МН и МНПП с помощью ВИП. Учитывают время, прошедшее после последней диагностики, принятые меры, количество (плотность) и опасность дефектов трубы (гофров, вмятин, потерь металла, расслоений, трещин), обнаруженных с помощью ВИП.
При отсутствии данных о проведении внутритрубной диагностики для участка ОПО МН и МНПП балльную оценку данной группы факторов рекомендуется принимать максимальной. B5 принимают равной 10.
Данные о факторах группы 5 приведены в табл. 21.
Таблица 21
Факторы группы 5
Обозначение и наименование фактора влияния | Доля в группе q5j |
F51 | Количество дефектов с предельным сроком эксплуатации не более 1 года на участке трассы | 0,3 |
F52 | Количество дефектов с предельным сроком эксплуатации от 1 до 6 лет на участке трассы | 0,2 |
F53 | Диагностика | 0,5 |
1.5.1. Фактор F51 - количество опасных дефектов с предельным сроком эксплуатации не более 1 года на участке трассы.
Оценку фактора F51, связанного со средним количеством (плотностью) дефектов с предельным сроком эксплуатации не более 1 года, обнаруженных ВИП на 1 км участка, определяют по табл. 22.
Таблица 22
Количество дефектов с предельным сроком эксплуатации
не более 1 года на однокилометровом участке
трассы ОПО МН и МНПП
N п/п | Наименование фактора F51 - количество дефектов с предельным сроком эксплуатации не более 1 года на участке трассы | B51 |
1 | Более 10 | 10 |
2 | От 1 до 10 | 7 |
3 | От 0,1 до 1 | 3 |
4 | Менее 0,1 | 1 |
5 | Дефектов с предельным сроком эксплуатации не более 1 года не обнаружено | 0 |
1.5.2. Фактор F52 - количество дефектов с предельным сроком эксплуатации от 1 до 6 лет на участке трассы.
Оценку фактора F52, связанного со средним количеством дефектов с предельным сроком эксплуатации от 1 до 6 лет, обнаруженных ВИП на 1 км участка, определяют по табл. 23.
Таблица 23
Количество дефектов с предельным сроком эксплуатации
от 1 до 6 лет на участке трассы ОПО МН и МНПП
N п/п | Наименование фактора F52 - количество дефектов с предельным сроком эксплуатации от 1 до 6 лет на участке трассы | B52 |
1 | Более 50 | 10 |
2 | От 30 до 50 | 7 |
3 | От 10 до 30 | 3 |
4 | Менее 10 | 1 |
5 | Дефектов с предельным сроком эксплуатации от 1 до 6 лет не обнаружено | 0 |
1.5.3. Фактор F53 - диагностика.
Балльную оценку этого фактора определяют в зависимости от количества лет

, прошедших со дня последнего пропуска ВИП по одной из формул:

; (8)

; (9)
B63 = 10 при

, (10)
где

- параметр для различных типов ВИП для случаев обнаружения дефектов с предельным сроком эксплуатации от 1 до 6 лет и дефектов с предельным сроком эксплуатации не более 1 года. Значение коэффициента

приведено в табл. 24.
Таблица 24
Диагностика
Значение коэффициента  в зависимости от вида дефектов и типа ВИП |
Вид дефекта | "Калипер" | "Ультраскан-WM" | Магнитный дефектоскоп | Ультразвуковой "CD" | Другие типы |
Дефекты с предельным сроком эксплуатации от 1 до 6 лет | 0,1 | 0,5 | 0,3 | 0,5 | 0,2 |
Дефекты с предельным сроком эксплуатации не более 1 года | 0,05 | 0,25 | 0,15 | 0,25 | 0,1 |
Если участок ОПО МН и МНПП эксплуатируют с неустраненными дефектами с предельным сроком эксплуатации не более 1 года сверх лимитированного срока, то B53 принимают равным 10.
2. Балльная оценка факторов влияния состояния
проектируемых ОПО МН и МНПП на степень риска аварий
Для проектируемых ОПО МН и МНПП рассматривают следующие группы факторов влияния:
а) внешние антропогенные воздействия;
б) коррозия;
в) природные воздействия;
г) конструктивно-технологические факторы;
д) сложность СМР.
В табл. 25 приведены в качестве примера значения весовых коэффициентов

для проектируемого ОПО МН и МНПП.
Таблица 25
Обозначение и наименование группы факторов | Доля группы  |
| Внешние антропогенные воздействия | 0,60 |
| Коррозия | 0,10 |
| Природные воздействия | 0,10 |
| Конструктивно-технологические факторы | 0,10 |
| Сложность строительно-монтажных работ | 0,10 |
Примечание. Факторы и группы факторов для проектируемых ОПО МН и МНПП обозначаются с использованием знака "*".
2.1. Группа

- внешние антропогенные воздействия
В группу

входят внешние по отношению к рассматриваемой трубопроводной системе факторы, влияющие на вероятность повреждения ОПО МН и МНПП со стороны третьих лиц.
Данные о факторах группы

приведены в табл. 26.
Таблица 26
Факторы группы Гр*1
Обозначение и наименование фактора влияния | Доля в группе q1j |
| Минимальная глубина заложения подземного ОПО МН и МНПП | 0,4 |
| Уровень антропогенной активности | 0,2 |
| Опасность диверсий и врезок с целью хищения нефти (нефтепродуктов) | 0,4 |
2.1.1. Фактор

- минимальная глубина заложения подземного ОПО МН и МНПП.
В качестве глубины минимального заложения
h необходимо рассматривать фактическую толщину слоя грунта над верхней образующей самого мелкозаглубленного отрезка анализируемого участка ОПО МН и МНПП независимо от протяженности этого отрезка. В соответствии со
СНиП 2.05.06-85* требуемая минимальная глубина заглубления варьируется в зависимости от диаметра и назначения ОПО МН и МНПП, а также от местных грунтовых условий и характера землепользования от 0,6 до 1,1 м от земной поверхности до верхней образующей ОПО МН и МНПП (в среднем
h = 0,9 м).
Балльное значение для фактической глубины заложения на сухопутном участке ОПО МН и МНПП рассчитывают по следующим формулам:

при
h >= 1,8 м; (11)

при 0,6 <
h < 1,8 м; (12)

при 0 <
h < 0,6 м, (13)
где h = hгр + hдоп; hдоп определяется по табл. 27.
Таблица 27
Эквивалентная толщина дополнительного механического
защитного покрытия ОПО МН и МНПП
Тип и толщина дополнительного покрытия | Эквивалентная толщина слоя грунта hдоп, м |
Бетонное покрытие толщиной 0,05 м | 0,2 |
Бетонное покрытие толщиной 0,1 м | 0,6 |
Защитный кожух (футляр) | 0,6 |
Железобетонная плита | 0,6 |
Для подводных переходов роль основной защиты от механического повреждения играют глубина заложения ОПО МН и МНПП в донный грунт hгр и дополнительные защитные покрытия (бетонное покрытие на поверхности трубы (наряду с футеровкой) или железобетонная плита над ОПО МН и МНПП). Также важную роль играет глубина водоема, и прежде всего для переходов через судоходные реки, сплавные реки, водоемы активного промышленного рыболовства.
Балльное значение на переходах через водные преграды для комбинации фактической глубины заложения и глубины водоема рассчитывают по формулам:
при 0 < (hгр + hдоп) < 3,0 м или 0 < hв < 5 м; (14)

при (
hгр +
hдоп) > 3,0 м или
hв > 5 м, (15)
где hв - фактическая глубина водоема над самым мелкозаглубленным (в грунт) участком перехода, м.
При отсутствии информации о реальном состоянии подводного перехода B11 принимают равным 9.
2.1.2. Фактор F*12 - уровень антропогенной активности.
В табл. 28 приведены значения отдельных составляющих фактора

и соответствующие им балльные оценки

, где
m - номер составляющей. Итоговую балльную оценку для данного фактора рассчитывают как сумму балльных оценок нижеприведенных пяти составляющих. Если сумма баллов превышает 10, то

принимают равным 10.
Таблица 28
Уровень антропогенной активности
m | Наименование составляющей m фактора  - уровень антропогенной активности | |
1 | Плотность населения Hнас в среднем в трехкилометровой полосе вдоль трассы | 0 < Hнас < 50 чел./км2 | 0,06 Hнас |
Hнас > 50 чел./км2 | 3 |
2 | Активность проведения в охранной зоне ОПО МН и МНПП строительных и других работ на момент проведения количественного анализа риска аварий (по разрешениям на право проведения работ в охранных зонах) | высокая (указанные работы, как правило, ведутся более трех месяцев в году) | 3 |
умеренная (указанные работы ведутся от одного до трех месяцев в году) | 2 |
низкая (указанные работы носят эпизодический характер) | 1 |
отсутствует (указанные работы никогда не проводились ранее и не проводятся сейчас) | 0 |
3 | Наличие ОПО МН и МНПП и других коммуникаций иной принадлежности в охранной зоне ОПО МН и МНПП | большое количество (более двух) | 2 |
небольшое количество (не более двух) | 0,5 |
вневедомственные коммуникации отсутствуют | 0 |
4 | Наличие участков автомобильных и железных дорог в пределах охранной зоны ОПО МН и МНПП | присутствуют | 2 |
отсутствуют | 0 |
5 | Интенсивность судоходства (только для подводных переходов) | высокая (30 судов и более в сутки) | 4 |
средняя (от 5 до 30 судов в сутки) | 2 |
низкая (менее 5 судов в сутки) | 1 |
река несудоходная | 0 |
2.1.3. Фактор

- опасность диверсий и врезок с целью хищения нефти (нефтепродукта).
Балльная оценка данного фактора складывается из балльных оценок двух составляющих. В том случае, если сумма баллов превышает 10, то

принимают равным 10.
Сведения об опасности диверсий и врезок для составляющих фактора

приведены в табл. 29.
Таблица 29
Опасность диверсий и врезок в целях хищения
нефти (нефтепродукта)
m | Наименование составляющей m фактора  - опасность диверсий и врезок в целях хищения нефти (нефтепродукта) | |
1 | Несанкционированные врезки. На эксплуатируемом участке ОПО МН и МНПП попыток хищения нефти, нефтепродуктов не фиксировалось | 0 |
На эксплуатируемом участке фиксировались попытки хищения нефти, нефтепродуктов. С целью предотвращения несанкционированных врезок осуществляется патрулирование трассы ОПО МН и МНПП | наземный осмотр трассы выполняется обходчиком ежедневно/воздушный осмотр трассы проводится от двух до пяти раз в неделю | 2 |
наземный осмотр трассы выполняется обходчиком два или три раза в неделю/осмотр трассы с воздуха не проводится | 5 |
наземный осмотр трассы выполняется обходчиком один раз в неделю/осмотр трассы с воздуха не проводится | 8 |
На эксплуатируемом участке фиксировались попытки хищения нефти, нефтепродуктов. На ОПО МН и МНПП установлена автоматизированная система обнаружения врезок (система виброакустического мониторинга, система "Капкан" или иное) | 0 |
На эксплуатируемом участке ранее фиксировались попытки хищения нефти, нефтепродуктов, но меры защиты не принимаются | 10 |
2 | Диверсии на ОПО МН и МНПП. Анализируемый участок ОПО МН и МНПП располагается в Северо-Кавказском федеральном округе (на территории Республик Дагестан, Ингушетия, Чеченской Республики, Республики Северная Осетия - Алания, Кабардино-Балкарской, Карачаево-Черкесской Республик, южных районов Ставропольского края) | 5 |
2.2. Группа

- коррозия.
Данная группа факторов оценивает объективно существующие на трассе условия, способствующие интенсификации почвенной коррозии (коррозионной активности грунтов, обводненности, наличие других подземных металлических сооружений, в том числе токопроводящих). Факторы, входящие в данную группу, перечислены в табл. 30.
Таблица 30
Факторы группы

Обозначение и наименование фактора влияния | Доля в группе q2j |
| Коррозионная активность грунта | 0,5 |
| Наличие подземных металлических сооружений и энергосистем вблизи ОПО МН и МНПП | 0,5 |
2.2.1. Фактор

- коррозионная активность грунта.
Коррозионные свойства грунта зависят от его температуры, влажности, пористости, газопроницаемости, содержания солей - характеристик, которые интегрированы в удельном сопротивлении грунта

. Балльная оценка данного фактора складывается из балльных оценок двух составляющих. В том случае, если сумма баллов превышает 10 (или при отсутствии данных о свойствах грунта), то

принимают равным 10.
Сведения о коррозионной активности грунта для составляющих фактора

приведены в табл. 31.
Таблица 31
Коррозионная активность грунта
m | Наименование составляющей m фактора  - коррозионная активность грунта | |
1 | Удельное сопротивление грунта  , Ом·м: | |
| 10 |
| | |
| |
| 0 |
2 | Кислотность грунта pH: | |
3 <= pH <= 7 | 8,75 - 1,25 pH |
pH > 7 | 0 |
2.2.2. Фактор

- наличие подземных металлических сооружений и энергосистем вблизи ОПО МН и МНПП.
Балльную оценку протяженности зон электрохимического взаимодействия ОПО МН и МНПП с другими металлическими подземными и наземными сооружениями (в том числе электрифицированными), линиями электропередачи рассчитывают как сумму оценок двух составляющих. Если сумма баллов превышает 10, то

принимают равным 10.
Сведения о наличии подземных металлических сооружений и энергосистем вблизи ОПО МН и МНПП приведены в табл. 32.
Таблица 32
Наличие подземных металлических сооружений и энергосистем
вблизи ОПО МН и МНПП
m | Наименование составляющей m фактора  - наличие подземных металлических сооружений и энергосистем вблизи ОПО МН и МНПП | |
1 | Количество находящихся в пределах 50 м от трассы металлических сооружений на анализируемом участке | отсутствуют | 0 |
от 1 до 10 | 3 |
от 11 до 25 | 7 |
более 25 | 10 |
2 | Наличие энергосистем постоянного и переменного тока | отсутствуют в пределах 50 м от трассы | 0 |
присутствуют, но предусмотрена защита от блуждающих токов | 5 |
присутствуют, защита от блуждающих токов отсутствует | 10 |
2.3. Группа

- природные воздействия
В данной группе рассматривают факторы влияния, связанные с природными воздействиями механического характера:
а) повреждения ОПО МН и МНПП при деформациях грунта, происходящих в форме обвалов, оползней, селевых потоков, термокарста, пучения грунта, солифлюкции;
б) повреждения прямых и слабоизогнутых участков ОПО МН и МНПП вследствие продольно-поперечного изгиба ОПО МН и МНПП от действия термических сжимающих нагрузок с разрушением засыпки, полной потерей устойчивости изогнутого состояния и резким нарастанием прогибов и пластических деформаций в сечении ОПО МН и МНПП;
в) неравномерная осадка ОПО МН и МНПП, которая более всего проявляется на наземных узлах разветвленной конфигурации (узлах подключения к НПС), линейной арматуре, камерах пуска и приема очистных устройств, береговых гребенках и на примыкающих к ним участках;
г) размывы траншеи на подводном переходе ОПО МН и МНПП, связанные с переформированием русла реки, и повреждения ОПО МН и МНПП от гидродинамического воздействия потока.
Данная группа включает четыре фактора влияния, сведения о которых приведены в табл. 33.
Таблица 33
Факторы группы

Обозначение и наименование фактора влияния | Доля в группе q3j |
| Вероятность перемещений грунта | 0,2 |
| Несущая способность грунта | 0,15 |
| Наличие на участке линейной арматуры, надземных технологических трубопроводов | 0,15 |
| Проведение превентивных мероприятий | 0,5 |
2.3.1. Фактор

- вероятность перемещений грунта.
Балльную оценку определяют в соответствии с вероятностью перемещений грунта или размыва подводного перехода, данные о которой приведены в табл. 34. Классификацию подводных переходов по степени опасности размыва дюкера при переходах через водные преграды принимают в соответствии с
табл. 35.
Таблица 34
Вероятность перемещения грунта
или размыва подводного перехода
N п/п | Наименование фактора  - вероятность перемещения грунта | |
1 | Высокая вероятность. Перемещения грунта являются обычным явлением, наблюдаются регулярные сдвиги и разрывы грунта, оползни, оседания, обвалы, пучения. Зоны опасных сейсмических процессов (выше 8 баллов по СП 14.13330.2014), зоны вечной мерзлоты, зоны шахтных разработок, горные районы. Подводный переход относится к типу 3 или 4 по степени опасности размыва | 10 |
2 | Средняя вероятность. Топография и типы грунта не исключают возможности перемещений грунта, однако значительные деформации грунта наблюдаются редко. Повреждений или недопустимых изменений положения ОПО МН и МНПП по этой причине не зарегистрировано. Зоны малоопасных сейсмических процессов (6 или 7 баллов по СП 14.13330.2014). Подводный переход относится к типу 2 | 5 |
3 | Низкая вероятность. Перемещения грунта наблюдаются редко. Смещения и повреждения ОПО МН и МНПП практически исключены. Подводный переход относится к типу 1. Участок ОПО МН и МНПП расположен вне сейсмически опасных зон | 1 |
4 | Никаких признаков, указывающих на потенциальную угрозу, связанную с перемещениями грунта, нет | 0 |
5 | Информация о возможности перемещений грунта на подводном переходе отсутствует | 10 |
Таблица 35
Классификация подводных переходов
по степени опасности размыва дюкера
Тип участка перехода | Характеристика водной преграды | Степень опасности размыва |
1 | Глубинные переформирования незначительны, ОПО МН и МНПП, как правило, не размываются (переходы через малые реки шириной до 50 м ленточно-грядового, осередкового и побочневого типов, реки любой ширины с устойчивыми берегами и руслами) | Незначительная. Эксплуатация перехода ведется без осложнений |
2 | Глубинные деформации - до 2 м, плановые - до 10 м (средние и крупные реки ленточно-грядового и побочневого типов) | Умеренная и умеренно высокая. Размывы часты при неправильной глубине заложения дюкера |
3 | Глубинные деформации - до 2 м, плановые - до 100 м (мелкие, средние и крупные реки с русловым процессом ограниченного, незавершенного и свободного типов меандрирования и пойменной многорукавности). Возможные размывы представляют большую опасность из-за трудности точного определения максимальных плановых переформирований. Возможны повреждения ОПО МН и МНПП водным потоком, ледоходом, якорями, волокушами судов | Высокая. Размывы очень часты и нередко сопровождаются разрушениями труб |
4 | Горные реки, селевые потоки, реки с ярко выраженным неустойчивым руслом. Максимальные плановые переформирования и глубинные переформирования более 2 м могут происходить в течение нескольких дней, недель или месяцев | Очень высокая. Строительство подводных ОПО МН и МНПП не рекомендуется |
2.3.2. Фактор

- несущая способность грунта.
Состав грунта определяет его несущую способность, влияющую на устойчивость проектного положения оси ОПО МН и МНПП и, следовательно, на вероятность нарушения целостности ОПО МН и МНПП. Чем выше несущая способность грунта, тем устойчивее положение ОПО МН и МНПП и тем меньше вероятность возникновения недопустимых напряжений в стенке трубы, могущих привести к ее разгерметизации. Балльную оценку проводят по табл. 36.
Таблица 36
Несущая способность грунта
N п/п | Наименование фактора  - несущая способность грунта | |
1 | Низкая (торфяники - сильно- и слаборазложившиеся; зоны болот; пески - пылеватые твердомерзлые и пылеватые с включениями гальки, гравия и валунов; супеси пластичные, мерзлые, мало- и сильнольдистые; мягкопластичные глины и суглинки) | 10 |
2 | Средняя (суглинки полутвердые тугопластичные, твердомерзлые - малольдистые и льдистые, суглинки с включениями гравия и гальки, полутвердые тугопластичные глины; мелкие плотные влажные и водонасыщенные пески) | 5 |
3 | Нормальная (глины твердомерзлые - малольдистые и льдистые, глинистые сланцы с кварцевыми жилами, твердые суглинки и супеси; гравелистые крупные влажные и водонасыщенные пески) | 2 |
2.3.3. Фактор

- наличие на участке линейной арматуры и надземных технологических трубопроводов.
Фактор учитывает дополнительное влияние, оказываемое наличием на ОПО МН и МНПП тяжелой наземной арматуры, на вероятность возникновения при сезонных колебаниях температуры и неравномерной осадке грунта значительных напряжений и деформаций изгиба участков ОПО МН и МНПП, примыкающих к наземным узлам, и, следовательно, на вероятность разрушения ОПО МН и МНПП. Балльную оценку определяют по табл. 37.
Таблица 37
Наличие на участке линейной арматуры
и надземных технологических трубопроводов
N п/п | Наименование фактора  - наличие на участке линейной арматуры, надземных технологических трубопроводов | |
1 | На участке присутствует надземный узел со сложной обвязкой и арматурой без фундамента | 10 |
2 | На участке присутствует сложный надземный узел с арматурой на фундаменте, рамная конструкция рассчитана с учетом рекомендаций современных нормативных документов | 5 |
3 | На участке присутствует линейная арматура без фундамента | 7 |
4 | На участке присутствует линейная арматура на фундаменте | 3 |
5 | Надземные сооружения отсутствуют | 0 |
2.3.4. Фактор

- проведение превентивных мероприятий.
К превентивным мероприятиям относятся:
а) меры, обеспечивающие физическую защиту или ослабление напряжений в ОПО МН и МНПП: заложение ОПО МН и МНПП ниже глубины деформаций грунта (для подводных переходов ниже предполагаемой глубины размыва), перенос участка трассы, устройство подпорных стенок на косогорах, установка компенсаторов, грунтовая разгрузка ОПО МН и МНПП с помощью устройства параллельных траншей;
б) меры по изменению свойств грунта, например осушение грунта с помощью систем дренажа;
в) проведение мониторинга деформаций грунта и перемещений ОПО МН и МНПП.
Балльная оценка зависит от наличия или отсутствия предупредительных мероприятий на анализируемом участке трассы в случае необходимости их проведения. Балльную оценку рассчитывают как сумму балльных оценок трех составляющих. Сведения о проведении превентивных мероприятий приведены в табл. 38.
Таблица 38
Проведение превентивных мероприятий
m | Наименование составляющей m фактора  - проведение превентивных мероприятий | |
1 | Меры по ослаблению напряжений в ОПО МН и МНПП | не требуются | 0 |
не планируются | 2 |
2 | Мероприятия по изменению свойств грунта | планируются или не требуются | 0 |
не планируются | 1,5 |
3 | Мониторинг деформаций грунта и перемещений ОПО МН и МНПП | планируется с помощью, например, инженерно-сейсмометрических станций | 0 |
планируется проведение визуального мониторинга 2 раза в год (весной и осенью) с помощью неподвижных реперов на трассе | 1 |
не планируется | 3 |
напряженно-деформированное состояние будет контролироваться с помощью "интеллектуальных вставок" | 0 |
2.4. Группа

- конструктивно-технологические факторы
Данная группа включает факторы, отражающие влияние качества основных проектных решений на вероятность аварий. Здесь оценивают точность учета всех возможных нагрузок и воздействий на ОПО МН и МНПП при расчете его конструкции.
Обозначения и наименования факторов влияния приведены в табл. 39.
Таблица 39
Факторы группы

Обозначение и наименование фактора влияния в четвертой группе | Доля в группе q4j |
| Отношение фактической толщины стенки трубы к требуемой | 0,35 |
| Усталость металла | 0,30 |
| Возможность возникновения гидравлических ударов | 0,15 |
| Системы телемеханики | 0,20 |
2.4.1. Фактор

- отношение фактической толщины стенки трубы к требуемой.
Расчетное значение толщины стенки ОПО МН и МНПП

сравнивается с наименьшим в пределах данного участка фактическим значением толщины стенки

, полученным либо путем измерений, либо вычитанием максимального производственного допуска из номинального значения толщины стенки труб, уложенных на анализируемом участке ОПО МН и МНПП. Итоговую балльную оценку рассчитывают через отношение

с помощью следующих формул:

; (16)

. (17)
2.4.2. Фактор

- усталость металла.
Циклические изменения напряжений в стенке ОПО МН и МНПП в основном вызываются колебаниями давления перекачиваемой среды, которые в стационарном режиме перекачки обусловлены конструктивными особенностями рабочих органов насосов, а в нестационарном - частичными или полными отказами насосов. Зоны активных динамических нагрузок наблюдаются на расстоянии от двух до 15 км от НПС вниз по потоку. Кроме того, циклы изменения нагрузок на ОПО МН и МНПП наблюдаются на переходах через авто- и железные дороги.
Для проектируемых ОПО МН и МНПП балльную оценку данного фактора влияния на трехкилометровых участках вблизи НПС принимают равной 2.
2.4.3. Фактор

- возможность возникновения гидравлических ударов.
Степень влияния данного фактора на вероятность возникновения аварийной ситуации при перекачке жидких сред определяется вероятностью образования волн давления, превышающих рабочее давление в ОПО МН и МНПП Pраб более чем на 10%. Балльную оценку определяют по табл. 40.
Таблица 40
Возможность возникновения гидравлических ударов
N п/п | Наименование фактора  - возможность возникновения гидравлических ударов | |
1 | Высокая вероятность гидравлических ударов | 8 |
2 | Средняя или низкая вероятность гидравлических ударов (параметры и скорость жидкости не исключают возможности возникновения волн давления, но опасности они не представляют, поскольку гасятся соответствующими устройствами - уравнительными резервуарами, предохранительными клапанами, устройствами медленного закрытия трубопроводной арматуры) | 4 |
3 | Низкая или нулевая вероятность гидравлических ударов (практически исключена возможность возникновения всплеска давления, превышающего на 10% Pраб) | 0 |
2.4.4. Фактор

- системы телемеханики и автоматики.
Степень влияния данного фактора на вероятность возникновения аварий вследствие повышения давления сверх допустимого уровня определяется тем, насколько полно (по охвату эксплуатационного участка), точно (по месту) и оперативно система обеспечивает дистанционное измерение давления в пределах эксплуатируемого участка, обеспечивает ли аварийную сигнализацию по давлению, автоматическое управление системами отключения перекачивающих агрегатов и соответствующей арматуры, включает ли подсистему предотвращения гидроударов.
Данные о системах телемеханики и автоматики приведены в табл. 41.
Таблица 41
Системы телемеханики и автоматики
N п/п | Наименование фактора  - системы телемеханики и автоматики | |
1 | Системы телемеханики и автоматики обеспечивают телеизмерение давления на НПС и ЛЧ ОПО МН и МНПП в пределах эксплуатируемого участка, телесигнализацию положения запорной арматуры по трассе, аварийную сигнализацию и автоматическое отключение магистральных насосов (остановку перекачки) в случае недопустимого повышения давления. На ОПО МН и МНПП имеются системы гашения ударной волны и системы обнаружения утечек на участках ОПО МН и МНПП | 0 |
2 | Системы телемеханики обеспечивают телеизмерение давления в пределах эксплуатируемого участка, телесигнализацию положения запорной арматуры по трассе, аварийную сигнализацию технологических параметров | 5 |
2.5. Группа

- сложность строительно-монтажных работ
Некачественное или неправильное выполнение СМР чревато появлением дефектов труб (дефектов геометрии, сварных швов, царапин, задиров) и изоляционного покрытия, возникновением дополнительных напряжений в ОПО МН и МНПП, нарушением его устойчивости, что, в свою очередь, значительно повышает вероятность возникновения аварий на этапе эксплуатации.
В составе данной группы для проектируемых ОПО МН и МНПП рассмотрен один фактор влияния - фактор

- категория участка по сложности производства работ.
Сложность трассы, характеризуемая степенью пересеченности и обводненности местности, наличием мерзлых грунтов и т.п., влияет на условия передвижения и работы строительных машин и механизмов, их энергообеспечения, трудоемкость всех технологических операций.
Балльную оценку фактора выбирают непосредственно из табл. 42 в зависимости от того, к какой категории по сложности строительства относится анализируемый участок.
Таблица 42
Категория участка по сложности производства работ
N п/п | Наименование фактора  - категория участка по сложности производства работ | |
1 | Участки категории сложности I (подводные и надводные переходы через реки шириной более 50 м, болота типов II и III, барханные незакрепленные пески, продольные уклоны крутизной более 30° и протяженностью более 100 м, горные участки, вечномерзлые грунты) | 9 |
2 | Участки категории сложности II (подводные и надводные переходы через реки шириной до 50 м, болота типа I, закрепленные барханные пески, продольные уклоны крутизной до 30°, косогорные участки с боковой крутизной до 15°, подземные и воздушные переходы через железные дороги; отдельные продольные уклоны с крутизной более 30° и протяженностью менее 100 м, овраги и балки) | 6 |
3 | Участки категории сложности III (отдельные продольные уклоны крутизной до 30° малой протяженности, косогорные участки с малой крутизной, подземные и воздушные переходы через автодороги, балки) | 2 |
4 | Равнинные участки | 0 |
Чем выше категория участка по сложности строительства (самая высокая - I), тем вероятнее нанесение повреждения трубам на этапе СМР и, следовательно, выше вероятность возникновения аварий на этапе эксплуатации этого участка ОПО МН и МНПП.
к Руководству по безопасности
"Методические рекомендации
по проведению количественного
анализа риска аварий
на опасных производственных объектах
магистральных нефтепроводов и
нефтепродуктопроводов" <*>
от 17 июня 2016 г. N 228
--------------------------------
<*> Очевидно, пропущены слова ", утвержденному
приказом Федеральной службы по экологическому, технологическому и атомному надзору". (Примеч. изд.)
ОЦЕНКА ЧАСТОТЫ АВАРИЙ НА ЛИНЕЙНОЙ ЧАСТИ ОПО МН И МНПП
1. Оценка частоты утечек нефти (нефтепродукта)
на участке линейной части ОПО МН и МНПП
Аварии на ОПО МН и МНПП характеризуются наличием существенных различий в значениях удельной частоты (вероятности) аварий

на ОПО МН и МНПП и их отдельных участках

, различающихся по своим конструктивно-технологическим характеристикам, особенностям проектирования, строительства и эксплуатации в различных условиях окружающей и социальной среды.
Механизм учета распределения аварий при оценке риска реализуют с использованием процедуры деления трассы анализируемого ОПО МН и МНПП на участки, характеризуемые примерно постоянным значением локальной частоты (удельной интенсивности) аварий внутри каждого участка. Локальную частоту аварийных отказов на каждом из таких участков определяют с учетом конечного множества факторов, влияющих на надежность ОПО МН и МНПП (см.
приложение N 5 настоящего Руководства по безопасности). На практике деление трассы на участки производят с использованием признака наиболее существенного изменения значения того или иного фактора влияния.
В зависимости от совокупности конкретных значений различных факторов влияния, имеющих место на рассматриваемом участке трассы, интенсивность аварийных отказов на нем будет в той или иной степени отличаться от среднестатистической для данной трассы

. Таким образом, на каждом
n-м участке трассы определяют значение интегрального коэффициента
kвл, показывающего, во сколько раз удельная частота (вероятность) аварий на участке

отличается от среднестатистической для данной трассы

:

. (1)
Расчет коэффициента kвл производят с использованием балльной оценочной системы, при которой каждому значению фактора Fij ставится в соответствие определенное, назначаемое на основании расчета или экспертной оценки количество баллов Bij (по 10-балльной шкале), отражающее интенсивность его влияния. При рассмотрении конкретного n-го участка трассы последовательно оценивают степень влияния каждого из факторов. Полученные для всех факторов влияния балльные оценки {Bij, i от 1 до I, j от 1 до J} подставляют в формулу
kвл = Bn/Bср. (2)
Bn определяется как

.
Bср определяется как

,
где N - общее количество рассматриваемых участков трассы ОПО МН и МНПП.
Основные факторы по каждой из рассматриваемых групп, доля каждого фактора в группе
qij и методика оценки балльных значений
Bij приведены в
приложении N 5 к настоящему Руководству по безопасности. Для коэффициента

, приведенного в приложении N 5 (
таблицы 1 и
25), значения
qij и
Bij носят базовый характер, в существенной мере зависят от времени эксплуатации и места расположения ОПО МН и МНПП. Величины коэффициентов

,
qij и
Bij рекомендуется уточнять для каждого конкретного ОПО МН и МНПП с использованием данных Ростехнадзора по статистике отказов и аварий за последние 5 лет.
При отсутствии данных или для проектируемых ОПО МН и МНПП среднюю балльную оценку Bср рекомендуют принимать равной 3.
Коэффициент прочности kn определяют как величину, обратную отношению действительного запаса прочности ОПО МН и МНПП на рассматриваемом участке к значению коэффициента запаса прочности для ОПО МН и МНПП. При отсутствии данных принимают равным 1.
Коэффициент, учитывающий способ прокладки kнн, принимают равным 0,1 на участках, выполненных технологией микротоннелирования; 0,4 - на участках, выполненных наклонно направленным бурением; 0,6 - на участках, выполненных по технологии "труба в трубе" или с применением обетонированных труб и 1 - на всех иных участках.
Для участков, состоящих из отрезков с существенно различными факторами вдоль его длины, значение Bn определяют как сумму оценок составляющих его отрезков с учетом длин этих отрезков. Например, если на один километр участка приходится переход через реку длиной 300 м, а на остальной части длиной 700 м находится лес, то
Bn = 0,3B1 + 0,7B0, (3)
где B0, B1 - балльные оценки соответствующих отрезков рассматриваемого участка.
Значение

определяют из данных статистики по авариям в организации, эксплуатирующей ОПО МН и МНПП, или (если нет достоверных и точных данных) равной среднестатистической удельной частоте аварий на ОПО МН (или МНПП) за последние 5 лет. Для проектируемых трубопроводов допускают принимать величину среднего значения аварийности в 10 раз меньше, чем для действующих.
Рассчитанные по
формуле (1) значения

используют для оценки риска в пределах
n-го участка трассы в качестве удельной статистической вероятности возникновения аварий на этом участке.
2. Оценка частоты образования дефектного отверстия
в МН и МНПП в зависимости от его размеров
Исходя из анализа аварийности в зависимости от объема вытекающей нефти (нефтепродукта) следует выделить два типа истечения:
через коррозионные свищи и повреждения с характерным размером до 15 мм (утечка первого типа);
через трещины в МН и МНПП, образовавшиеся в результате заводских дефектов труб, брака СМР, механических повреждений, ошибок эксплуатации или отказа оборудования (утечка второго типа).
При расчетах рекомендуется принять долю утечек первого типа равной 70% общего количества разгерметизаций и площадь дефектного отверстия до 10-4 м2.
Доля утечек второго типа - 30%. Размер дефектных отверстий в этом случае может варьироваться в более широком диапазоне: от нескольких сантиметров до полного (гильотинного) разрыва трубы. Согласно анализу разрушенных участков действующих ОПО МН и МНПП размер трещин (величина большей диагонали ромбовидного дефектного отверстия) описывается следующим дискретным распределением:
трещины размером до 0,3DN - 55% всех разрушений второго типа;
трещины размером до 0,75DN - 35% всех разрушений второго типа;
трещины размером 1,5DN - 10% всех разрушений второго типа.
Наибольшие по ущербу аварии на ОПО МН и МНПП возникают при продольных разрушениях труб, которые могут происходить как по основному металлу труб, так и в зоне сварных швов при образовании коррозионных свищей, гильотинных разрывов.
Распределение вероятности возникновения свищей и дефектных отверстий (трещин с тремя характерными размерами Lр/DN, где Lр - характерный линейный размер дефектного отверстия, DN - номинальный диаметр МН и МНПП), а также соответствующие им эквивалентные площади Sэфф приведены в табл. 2. Значения Sэфф приведены для верхней границы интервала характерных размеров Lр/DN дефектных отверстий в предположении об их ромбической форме (щели) с соотношением длины к ширине 8:1. Выбранные таким образом размеры щелей и вероятности следует считать реперными.
| | ИС МЕГАНОРМ: примечание. Нумерация таблиц дана в соответствии с официальным текстом документа. | |
Таблица 2
Параметры дефектного отверстия в ОПО МН и МНПП и частота
возникновения отверстия с данными параметрами

Параметр дефектного отверстия | Свищ m = 0 | Малая трещина m = 1 | Средняя трещина m = 2 | Гильотинный разрыв m = 3 |
Lр/DN | Sэфф <= 10-4 м2 независимо от диаметра | 0,3 | 0,75 | 1,5 |
Sэфф/S0 | 0,0072 | 0,0448 | 0,179 |
Доля разрывов  | 0,7 | 0,165 | 0,105 | 0,03 |
Удельная частота аварий на участке с возникновением дефектных отверстий определенного размера (характерные размеры дефектных отверстий указаны в
табл. 2)

определяется по формуле
| | ИС МЕГАНОРМ: примечание. Нумерация формул дана в соответствии с официальным текстом документа. | |

, (6)
где
m = 0, 1, 2, 3 - индекс,

.
Пример:
Удельная частота аварий на участке МН с диаметром 1000 мм составила

.
Тогда удельная частота возникновения свищей

составит 0,0007 аварий/(км·год).
Удельная частота возникновения трещин малых размеров

составит 0,000165 аварий/(км·год).
Продольный (характерный) размер малой трещины Lр = 30 см = 0,3 м и площадь разрыва Sэфф = 56,25 см2 = 0,005625 м2.
Соответственно для трещин средних размеров -

,
Lр = 75 см = 0,75 м,
Sэфф = 352 см
2 = 0,0352 м
2; для гильотинного разрыва (разрыва на полное сечение) -

,
Lр = 150 см = 1,5 м,
Sэфф = 1406 см
2 = 0,1406 м
2.
к Руководству по безопасности
"Методические рекомендации
по проведению количественного
анализа риска аварий
на опасных производственных объектах
магистральных нефтепроводов
и нефтепродуктопроводов" <*>
от 17 июня 2016 г. N 228
--------------------------------
<*> Очевидно, пропущены слова ", утвержденному
приказом Федеральной службы по экологическому, технологическому и атомному надзору". (Примеч. изд.)
РАСЧЕТ ВЕРОЯТНЫХ ЗОН ДЕЙСТВИЯ ПОРАЖАЮЩИХ ФАКТОРОВ АВАРИЙ
1. Расчет вероятных зон действия поражающих факторов состоит из двух этапов:
а) определение количественных параметров, характеризующих действие поражающих факторов (давление и импульс для ударных волн, интенсивность теплового излучения для пламени, размеры пламени и зоны высокотемпературной среды при термическом воздействии, дальность дрейфа облака ТВС);
б) определение пространственных размеров зон действия поражающих факторов путем сравнения рассчитанных количественных параметров с критериями поражения (разрушения).
Расчет вероятных зон проводят на основе документов, указанных в табл. 1.
Таблица 1
Документы, используемые для оценки
зон действия поражающих факторов
N п/п | Наименование (обозначение) | Сведения об утверждении | Назначение |
1 | Федеральные нормы и правила в области промышленной безопасности "Общие правила взрывобезопасности для взрывопожароопасных химических, нефтехимических и нефтеперерабатывающих производств" | Утверждены приказом Ростехнадзора от 11 марта 2013 г. N 96 | Расчет основных параметров ударной волны, зон поражения людей и разрушения зданий, вероятности поражения человека при разрушении зданий, показателей риска взрыва при горении и взрыве облаков ТВС нефти (нефтепродуктов) с воздухом |
2 | Руководство по безопасности "Методика оценки последствий аварийных взрывов топливно-воздушных смесей" | Утверждено приказом Ростехнадзора от 31 марта 2016 г. N 137 | Расчет параметров ударной волны и зон поражения и разрушения при горении и взрыве облаков ТВС нефти (нефтепродуктов) |
3 | Руководство по безопасности "Методика моделирования распространения аварийных выбросов опасных веществ" | Утверждено приказом Ростехнадзора от 20 апреля 2015 г. N 158 | Расчет концентрации, массы паров нефти (нефтепродуктов) во взрывоопасных пределах и зон поражения при пожаре-вспышке и взрыве ТВС паров нефти (нефтепродуктов) с воздухом |
4 | Методика определения расчетных величин пожарного риска на производственных объектах | Утверждена приказом МЧС России от 10 июля 2009 г. N 404 | Определение параметров воздействия и зон поражения при горении пролива, огненном шаре, факельном горении, использование вероятности аварийных повреждений площадочных сооружений |
5 | Руководство по безопасности "Методика оценки риска аварий на опасных производственных объектах нефтегазоперерабатывающей, нефте- и газохимической промышленности" | Утверждено приказом Ростехнадзора от 27 декабря 2013 г. N 646 <*> | Анализ последствий аварий в насосных, резервуарных парках, расчет истечения нефти (нефтепродуктов) из технологических трубопроводов, показателей риска взрыва и разрушения зданий |
--------------------------------
<*> Утратил силу на основании
приказа Ростехнадзора от 29.06.2016 N 272. Действует
документ с тем же наименованием, утвержденный этим приказом. (Примеч. изд.)
2. Площадь разлива нефти (нефтепродуктов), площадь очага пожара определяют в соответствии с приложением N 10 <**> настоящего Руководства по безопасности.
--------------------------------
3. Для сценариев с пожаром пролива в случае примерно равных размеров пролива в различных направлениях форму пламени при горении аппроксимируют наклонным цилиндром с радиусом, равным эффективному радиусу пролива. Для этого цилиндра в соответствии с
Методикой определения расчетных величин пожарного риска на производственных объектах, утвержденной приказом МЧС России от 10 июля 2009 г. N 404, определяют параметры теплового излучения.
В случае существенной разницы размеров пролива в различных направлениях (ширина пролива, его протяженность) форму пламени при горении аппроксимируют набором цилиндров с радиусом, равным ширине пролива. Суммарное излучение от совокупности цилиндров будет соответствовать излучению от пролива сложной формы.
Для оценки поражения тепловым излучением рассчитывается интенсивность теплового потока на горизонтальную и вертикальные поверхности, расположенные в соответствующей точке. При необходимости вертикальные поверхности могут быть ориентированы различным образом с целью определения направления, соответствующего максимальной интенсивности теплового потока.
Возможно прямое численное интегрирование потока излучения от поверхности пламени произвольной формы.
Для расчетов в соответствии с
Методикой определения расчетных величин пожарного риска на производственных объектах, утвержденной приказом МЧС России от 10 июля 2009 г. N 404 необходимо знать удельную скорость выгорания пролива. Ее принимают на основе имеющихся экспериментальных данных или в соответствии с
Методикой определения расчетных величин пожарного риска на производственных объектах, утвержденной приказом МЧС России от 10 июля 2009 г. N 404. При отсутствии данных для нефти (нефтепродуктов) допускается принимать величину
Fq равной 0,04 кг·с/м
2. Также рекомендуется знать интенсивность излучения с единицы поверхности, которую принимают в зависимости от размера пролива и типа выгорающего продукта на основе имеющихся экспериментальных данных или в соответствии с
Методикой определения расчетных величин пожарного риска на производственных объектах, утвержденной приказом МЧС России от 10 июля 2009 г. N 404. При отсутствии данных для нефтепродуктов интенсивность излучения с единицы поверхности допускается принимать равной 40 кВт/м
2.
4. Для расчета огненного шара используют
Методику определения расчетных величин пожарного риска на производственных объектах, утвержденную приказом МЧС России от 10 июля 2009 г. N 404. Доля участия бензина (керосина) в огненном шаре составляет 0,3.
5. Для расчета концентрационных полей при рассеивании, дрейфе паров нефти (нефтепродуктов) и взрыва ТВС используют
Руководство по безопасности "Методика оценки последствий аварийных взрывов топливно-воздушных смесей", утвержденное
приказом Ростехнадзора от 31.03.2016 N 137,
Руководство по безопасности "Методика моделирования распространения аварийных выбросов опасных веществ", утвержденное
приказом Ростехнадзора от 20 апреля 2015 г. N 158, и
Руководство по безопасности "Методы обоснования взрывоустойчивости зданий и сооружений при взрывах топливно-воздушных смесей на опасных производственных объектах", утвержденное приказом Ростехнадзора от 13 мая 2015 г. N 189 <*>.
--------------------------------
<*> Утратил силу на основании приказа Ростехнадзора от 03.06.2016 N 217. Действует
документ с тем же наименованием, утвержденный этим приказом. (Примеч. изд.)
6. Для расчета параметров волн давления (давление
P и импульс
I), образующихся при сгорании (взрыве) облаков ТВС, используют формулы согласно
Руководству по безопасности "Методика оценки последствий аварийных взрывов топливно-воздушных смесей", утвержденному приказом МЧС России от 10 июля 2009 г. N 404 <**>.
--------------------------------
<**> Этим приказом утверждена
Методика определения расчетных величин пожарного риска на производственных объектах. (Примеч. изд.)
Расчетный режим энерговыделения (детонация или дефлаграция), скорость горения
Vг выбирают согласно
Руководству по безопасности "Методика оценки последствий аварийных взрывов топливно-воздушных смесей", утвержденному
приказом Ростехнадзора от 31 марта 2016 г. N 137. Массу топлива, участвующую в энерговыделении
E, как и содержание аэрозолей в облаке

, определяют согласно
Руководству по безопасности "Методика моделирования распространения аварийных выбросов опасных веществ", утвержденному
приказом Ростехнадзора от 20 апреля 2015 г. N 158.
7. Последствия сценария со струйным горением паров (капель) нефти (нефтепродуктов) определяют в соответствии с
Методикой определения расчетных величин пожарного риска на производственных объектах, утвержденной приказом МЧС России от 10 июля 2009 г. N 404.
8. Для расчета зон поражения людей и разрушения зданий, сооружений по вычисленным параметрам поражающих факторов, используют критерии, основанные на пробит-функции и расчетных значениях основных параметров поражающих факторов. В случае отсутствия необходимых исходных данных возможно использование критериев, учитывающих только величину поражающих факторов.
8.1. Для расчета вероятности поражения термическим излучением используют пробит-функцию в соответствии с "
Методикой определения расчетных величин пожарного риска на производственных объектах", утвержденной приказом МЧС России от 10 июля 2009 г. N 404, значение которой определяют следующим образом.
Для поражения человека тепловым излучением величину пробит-функции описывают следующими выражениями:
| | ИС МЕГАНОРМ: примечание. Нумерация формул дана в соответствии с официальным текстом документа. | |

. (4)
Величину эффективного времени экспозиции t вычисляют по формулам:
для огненного шара

; (5)
для пожара пролива или для факела

, (6)
где m - масса горючего вещества, участвующего в образовании огненного шара, кг;
t0 - характерное время, за которое человек обнаруживает пожар и принимает решение о своих дальнейших действиях, с (принимают равным 5 с);
xб - расстояние от места расположения человека до безопасной зоны (зона, где интенсивность теплового излучения меньше 4 кВт/м2), м;
uср - средняя скорость движения человека к безопасной зоне, м/с (принимают равной 5 м/с).
Связь вероятности поражения с пробит-функцией принимают согласно
Руководству по безопасности "Методика оценки последствий аварийных взрывов топливно-воздушных смесей", утвержденному
приказом Ростехнадзора от 31 марта 2016 г. N 137.
Размеры зон поражения тепловым излучением могут быть определены также по уровню интенсивности теплового излучения. Детерминированные критерии поражения людей и сооружений приведены в табл. 3.
| | ИС МЕГАНОРМ: примечание. Нумерация таблиц дана в соответствии с официальным текстом документа. | |
Таблица 3
Предельно допустимая интенсивность теплового излучения
Степень поражения | Интенсивность теплового излучения, кВт/м2 |
Без негативных последствий в течение длительного времени | 1,4 |
Безопасно для человека в брезентовой одежде | 4,2 |
Непереносимая боль через 20 - 30 с Ожог первой степени через 15 - 20 с Ожог второй степени через 30 - 40 с Воспламенение хлопка-волокна через 15 мин | 7,0 |
Непереносимая боль через 3 - 5 с Ожог первой степени через 6 - 8 с Ожог второй степени через 12 - 16 с | 10,5 |
Воспламенение древесины (влажность 12%) с шероховатой поверхностью при длительности облучения 15 мин | 12,9 |
Воспламенение древесины, окрашенной масляной краской по строганой поверхности; воспламенение фанеры | 17,0 |
При расчете вероятности поражения тепловым излучением необходимо учитывать возможность укрытия (например, в здании или за ним), определяемую коэффициентом уязвимости.
8.2. Для расчета условной вероятности разрушения объектов и поражения людей ударными волнами используют пробит-функцию в соответствии с
Руководством по безопасности "Методика оценки последствий аварийных взрывов топливно-воздушных смесей", утвержденным
приказом Ростехнадзора от 31 марта 2016 г. N 137, значение которой определяют следующим образом:
а) вероятность повреждений стен промышленных зданий, при которых возможно восстановление зданий без их сноса, может оцениваться по соотношению
Pr1 = 5 - 0,26lnV1, (7)
где

;

- избыточное давление, Па;
I - импульс, кг·м/с;
| | ИС МЕГАНОРМ: примечание. Нумерация пунктов дана в соответствии с официальным текстом документа. | |
в) вероятность разрушений промышленных зданий, при которых здания подлежат сносу, оценивают по соотношению
Pr2 = 5 - 0,22lnV2, (8)
где

.
При взрывах ТВС внутри резервуаров и другого оборудования, содержащего газ под давлением, в общем случае следует учитывать опасность разлета осколков и последующее развитие аварий, сопровождаемое "эффектом домино" с распространением аварий на соседнее оборудование, если оно содержит опасные вещества. Анализ показывает, что вклад риска поражения от разлета осколков в общий риск аварий на объектах ОПО МН и МНПП незначителен, поэтому при оценке риска им можно пренебречь;
в) вероятность длительной потери людьми ориентации в пространстве и (или) координации движений (состояние нокдауна), попавших в зону действия ударной волны при взрыве облака ТВС, может быть оценена по величине пробит-функции:
Pr3 = 5 - 5,74lnV3, (9)
m - масса тела живого организма, кг;
P0 - атмосферное давление, Па;
г) вероятности разрыва барабанных перепонок у людей от уровня перепада давления в воздушной волне определяют по формуле

; (10)
д) вероятность отброса людей волной давления оценивают по величине пробит-функции:
Pr5 = 5 - 2,44lnV5, (11)
где

.
При использовании пробит-функций в качестве зон 100% поражения принимаются зоны поражения, где значение пробит-функции достигает величины, соответствующей вероятности 90%. В качестве зон безопасных с точки зрения воздействия поражающих факторов принимаются зоны поражения, где значение пробит-функции достигает величины, соответствующей вероятности 1%.
9. Вероятность гибели и травмирования людей, находящихся в зданиях, рекомендуют определять в соответствии с
приложением N 3 к Федеральным нормам и правилам в области промышленной безопасности "Общие правила взрывобезопасности для взрывопожароопасных химических, нефтехимических и нефтеперерабатывающих производств", утвержденным приказом Ростехнадзора от 11 марта 2013 г. N 96.
к Руководству по безопасности
"Методические рекомендации
по проведению количественного
анализа риска аварий
на опасных производственных объектах
магистральных нефтепроводов
и нефтепродуктопроводов" <*>
от 17 июня 2016 г. N 228
--------------------------------
<*> Очевидно, пропущены слова ", утвержденному
приказом Федеральной службы по экологическому, технологическому и атомному надзору". (Примеч. изд.)
РАСЧЕТ ПОКАЗАТЕЛЕЙ РИСКА АВАРИЙ
1. Пример балльной оценки факторов влияния
состояния ОПО МН и МНПП на степень риска
Обозначение и наименование фактора влияния | Доля группы факторов p | Доля факторов в группе q | Содержание исходной информации | Балльная оценка | Примечание |
без учета компенсирующих мероприятий | с учетом компенсирующих мероприятий |
F11 | Минимальная глубина заложения подземного ОПО МН и МНПП | 0,6 | 0,4 | Фактическая толщина слоя грунта h, м, над верхней образующей самого мелкозаглубленного отрезка в пределах рассматриваемого участка ОПО МН и МНПП | 0,83 | 0 | Принятое заглубление - 0,8 м. С учетом компенсирующих мероприятий - 1,8 м |
F12 | Уровень антропогенной активности | 0,2 | Плотность населения (Hнас) в среднем на участке ОПО МН и МНПП в трехкилометровой полосе вдоль трассы | 3 | 3 | Поселок с населением 620 чел. |
Проведение в охранной зоне ОПО МН и МНПП строительных и других работ | 0,5 | 0,5 | Работы только с письменного разрешения эксплуатирующей организации |
Наличие коммуникаций иной ведомственной принадлежности в охранной зоне ОПО МН и МНПП | 0,5 | 0,5 | Два кабеля связи |
Наличие участков автомобильных и железных дорог в охранной зоне ОПО МН и МНПП | 2 | 2 | Сближение с железной дорогой |
F13 | Опасность диверсий и врезок с целью хищения нефти, нефтепродуктов | 0,6 | 0,4 | Частота обходов участка | 2 | 2 | В эксплуатирующей организации фиксировались попытки хищения нефти (нефтепродуктов). С целью предотвращения несанкционированных врезок будет осуществляться ежедневное патрулирование трассы ОПО МН и МНПП |
F22 | Коррозионная активность грунта | 0,10 | 0,5 | Удельное сопротивление грунта  , кислотность грунта pH | 1,9 | 1,9 | В зависимости от свойств грунтов по данным изыскательских работ |
F24 | Наличие подземных металлических сооружений и энергосистем вблизи ОПО МН и МНПП | 0,10 | 0,5 | Количество металлических сооружений, энергосистем постоянного и переменного тока на расстоянии до 50 м от трассы | 5 | 5 | Наличие металлических сооружений, энергосистем постоянного и переменного тока. Предусмотрена защита от блуждающих токов |
F31 | Вероятность перемещений грунта или размыва подводного перехода | 0,10 | 0,2 | Сведения о фактах перемещений грунта или наличии размывов | 10 | 10 | Горные районы, зоны сейсмической активности |
F32 | Несущая способность грунта | 0,10 | 0,15 | Сведения о типах грунтов в основании ОПО МН и МНПП | 2 | 2 | Нормальная несущая способность |
F33 | Наличие на участке линейной арматуры и наземных узлов разветвленной конфигурации | 0,10 | 0,15 | Сведения о конструкции линейной арматуры и наземных узлов | 0 | 0 | Отсутствие линейной арматуры и наземных узлов на участке |
F34 | Превентивные мероприятия | 0,10 | 0,5 | Меры по ослаблению напряжений в ОПО МН и МНПП | 0 | 0 | Не требуются |
Мероприятия по изменению свойств грунта | 0 | 0 | Не требуются |
Мониторинг деформаций грунта и перемещений ОПО МН и МНПП | 1 | 1 | С помощью неподвижных реперов |
F41 | Отношение фактической толщины стенки трубы к требуемой | 0,10 | 0,35 | Расчетное и фактическое значения толщины стенки трубы  и  | 2,6 | 0 | Принятая толщина стенки:  ,  . С учетом компенсирующих мероприятий (увеличение толщины стенки)  |
F42 | Усталость металла | 0,10 | 0,3 | Число циклов нагружения, имевших место за время эксплуатации рассматриваемого участка, и амплитуда подававшейся нагрузки | 0 | 0 | Число циклов нагружения менее 100, амплитуда нагрузок не более 50% от Pраб |
F43 | Возможность возникновения гидравлических ударов | 0,10 | 0,15 | Качественная оценка возможности возникновения гидравлических ударов | 0 | 0 | Возникающие гидравлические удары приводят к повышению давления, не превышающего несущей способности ОПО МН и МНПП |
F44 | Системы телемеханики и автоматики (СТА) | 0,10 | 0,2 | Технические характеристики СТА | 5 | 5 | Системы телемеханики обеспечивают измерение давления в пределах эксплуатируемого участка, телесигнализацию положения запорной арматуры, аварийную сигнализацию технологических параметров. Измерение давления осложняется наличием самотечных участков |
F51 | Категория участка по сложности производства работ | 0,10 | 1,0 | Сведения о сложности условий строительного освоения трассы ОПО МН и МНПП | 9 | 9 | Горные участки |
ИТОГО по участку |
Балльная оценка участка Bn | 3,12 | 2,83 | - |
Балльная оценка среднестатистического эксплуатируемого ОПО МН и МНПП Bср | 3 | - |
Среднестатистическая частота аварии  , 1000/(км·год) | 0,023 | - |
Удельная частота  , 1000/(км·год) | 0,024 | 0,022 | - |
2. Пример расчета числа погибших пассажиров автотранспорта
при реализации сценария аварий
Пример:
Пусть на участке подземного перехода ОПО МН и МНПП через автодорогу возможно развитие аварий по сценарию An с поражающими факторами, обеспечивающими круговые зоны поражения. Пример расчета числа погибших пассажиров автотранспорта приведен на рис. 1.
Рис. 1. Пример расчета числа погибших пассажиров
автотранспорта
Пусть для данного сценария вероятность гибели человека, равная 0,01 (1%), достигается на расстоянии 100 м от места аварий, а вероятность, равная 1 (100%), на расстоянии 50 м от места аварий.
Для определенности положим категорию автодороги II со средней интенсивностью движения автомобилей - 200 шт./ч.
Тогда длина дороги в зоне действия поражающих факторов:
L1 = 2R1 = 0,2 км;
L100 = 2R100 = 0,1 км.
Число пострадавших при развитии аварий по сценарию An равно:

.
Число погибших при развитии аварий по сценарию An равно:

.
Максимально возможное количество потерпевших пассажиров автотранспорта, жизни и здоровью которых может быть причинен вред, составляет 2 человека.
3. Пример построения кривой социального риска
Пример:
На рис. 2 приведен характерный вид интегральной функции распределения числа погибших при аварии на резервуарном парке (F/N-кривая).
Рис. 2. Пример интегральной функции распределения числа
погибших при аварии на резервуарном парке (F/N-кривая)
к Руководству по безопасности
"Методические рекомендации
по проведению количественного
анализа риска аварий
на опасных производственных объектах
магистральных нефтепроводов
и нефтепродуктопроводов" <*>
от 17 июня 2016 г. N 228
--------------------------------
<*> Очевидно, пропущены слова ", утвержденному
приказом Федеральной службы по экологическому, технологическому и атомному надзору". (Примеч. изд.)
РАСЧЕТ ОБЪЕМОВ ВЫБРОСА НЕФТИ (НЕФТЕПРОДУКТОВ)
И ПЛОЩАДЕЙ РАЗЛИВА ПРИ АВАРИЯХ НА ЛИНЕЙНОЙ ЧАСТИ
ОПО МН И МНПП И ПЛОЩАДОЧНЫХ СООРУЖЕНИЯХ ОПО МН И МНПП
1. Расчет количества разлившейся нефти (нефтепродуктов)
на линейной части ОПО МН и МНПП
Ниже приведены основные соотношения для расчета объема (массы) разлившейся нефти (нефтепродукта) на ЛЧ ОПО МН и МНПП.
Рассмотрим участок трубопровода ЛЧ ОПО МН и МНПП протяженностью Lн между нефтеперекачивающими станциями НПС1 и НПС2, на котором на расстоянии x от НПС1 произошла аварийная утечка нефти (нефтепродукта) через аварийное (дефектное) отверстие с эффективной площадью Sэфф.
Отметим, что как на участке Lн, так и за его пределами (до НПС1 и после НПС2) он может и не представлять собой изолированную систему, в отдельных точках ЛЧ к нему могут подходить (отходить) другие линейные участки. Эти подходящие (отходящие) участки могут либо замыкаться на рассматриваемый участок (лупинги), либо осуществлять транспортирование нефти (нефтепродукта) в не связанные с данным линейным участком места (через отводы, ответвления).
Для штатного режима функционирования рассматриваемого участка расход нефти (нефтепродукта) составляет Q0. Также известны давления на входе и выходе отдельных линейных участков.
1.1. Общий объем вытекшей нефти (нефтепродукта) определяется процессами во всей разветвленной трубопроводной системе. Общий объем вытекшей нефти (нефтепродукта) V, м3, определяют по формуле
V = V1 + V2 + V3, (1)
где V3 - объем нефти (нефтепродукта), вытекшей с момента закрытия трубопроводной арматуры до прекращения утечки (до момента прибытия АВБ и ликвидации утечки или до полного опорожнения отсеченной части трубопровода), м3.
1.2. Объем V1 определяют численным решением системы дифференциальных уравнений в частных производных, включающей законы сохранения массы, импульса и энергии потока ньютоновской жидкости:
уравнение неразрывности (уравнение изменения массы)

; (2)
уравнение изменения импульса

(3)
уравнение изменения энергии

; (4)
связь давления, плотности и температуры (уравнение состояния жидкости):

; (5)
уравнение состояния трубопровода (зависимость площади сечения трубы от давления и температуры):

; (6)
выражение для скорости
c распространения волн (давления и расхода жидкости) в трубопроводе, следствие
уравнений (2 -
6):

(7)
где x - расстояние от начала ОПО МН и МНПП вдоль оси трубопровода, м;
Pс - осредненное по сечению давление нефти (нефтепродукта), Па;
P0 - давление при нормальных условиях, Па (101 325 Па);
T0 - температура при нормальных условиях, К (293,15 К);

- осредненная по сечению плотность, кг/м
3;

- плотность нефти (нефтепродукта) при нормальных условиях, кг/м
3;
u - осредненная по сечению скорость нефти (нефтепродукта), м/с;

- зависит от числа Рейнольдса

; при необходимости в эту величину включаются и местные сопротивления на различных элементах (задвижки, клапаны и т.д.);
A = A(x) - площадь поперечного сечения трубопровода, в общем случае переменная по трассе, м2;
D = D(x) - внутренний диаметр ОПО МН и МНПП, в общем случае переменный по трассе, м;
M0(x,t) - удельная (на единицу длины трубы) интенсивность выброса нефти (нефтепродукта) из трубы на месте разрушения, кг/с/м;
I0(x,t) - удельная (на единицу длины трубы) интенсивность потери импульса при выбросе нефти (нефтепродукта) из трубы на месте разрушения, кг/с2/м2;
E0(x,t) - удельная (на единицу длины трубы) интенсивность потери внутренней энергии при выбросе нефти (нефтепродукта) из трубы на месте разрушения, Дж/с/м;
g - ускорение свободного падения, м/с2;

-
dz/
dx;

- удельная внутренняя энергия, Дж/кг;

- коэффициент теплового объемного расширения, 1/К;
K - модуль упругости жидкости (величина, обратная ее сжимаемости, Па); средние значения модуля к упругости для нефти и нефтепродуктов составляют 1400 - 1500 МПа, т.е.

;

- коэффициент объемного расширения металла, из которого сделан трубопровод (для стали

);

- коэффициент Пуассона металла трубы (для стали

);
Q(x) - удельная (на единицу длины трубы) интенсивность энергии, поступающей к транспортируемому продукту при его нагревании в нагревателях;

- удельная (на единицу длины трубы) интенсивность теплообмена с окружающей средой;
c - скорость распространения волн (давления и расхода) в нефти или нефтепродукте, м/с;
z - нивелирная отметка оси трубопровода, м;

- коэффициент кинематической вязкости

, м
2/с;

- коэффициент динамической вязкости нефти (нефтепродукта) (в общем случае зависящий от температуры транспортируемой среды), Н·с/м
2;

- толщина стенок трубы, м;
E - модуль упругости материала трубы (модуль Юнга), Па.
В случае если температура в трубе остается постоянной (или меняется незначительно) на всем протяжении МН и МНПП (
T(
x) = const, изотермическое течение) допускается решение только системы
уравнений (2) -
(3) (без
уравнения (4)).
Уравнение состояния (5) используют для сжатой среды (при
Pс >
P0), при иных условиях (при растяжении) плотность полагают равной начальной плотности.
В случае отсутствия ветвлений систему
уравнений (2) -
(5) решают только для одного участка. В случае наличия нескольких линейных участков, соединенных в единую систему (ответвления, лупинги и т.д.), систему
уравнений (2) -
(5) решают для всех линейных участков, составляющих разветвленную трубопроводную систему и влияющих на массу выброса на месте аварий. При этом в
уравнения (2) -
(4) в правую часть добавляются слагаемые, описывающие дополнительное поступление (забор) массы, импульса и энергии из отдельно взятого линейного участка в смежные участки; эти слагаемые аналогичны величинам
M0(
x,
t),
I0(
x,
t),
E0(
x,
t).
В качестве начальных условий выбирают либо режим стационарного течения (если он известен), либо состояние покоя (если режим стационарного течения заранее неизвестен). В последнем случае режим стационарного течения получают путем решения нестационарной задачи о запуске насоса (насосов) на входе (входах) трубопроводной системы. Обычно для получения стационарного режима течения в трубопроводной системе достаточно от пяти до десяти временных интервалов, за которые возмущение пробегает по всей трубопроводной системе от начала до конца.
Граничные условия выбирают следующим образом:
на входе ОПО МН и МНПП производная давления полагается равной нулю, а скорость потока определяется с учетом этого давления по характеристике насоса (насосов) H-Q0 "напор-расход", также задается температура нефти (нефтепродукта) на входе;
на выходе ОПО МН и МНПП существует два способа задания граничных условий. Если на выходе стоит насос, осуществляющий нагнетание нефти (нефтепродукта) в следующий участок ОПО МН и МНПП, то следует, полагая равной нулю производную давления, определить скорость потока с учетом этого давления и давление в начале следующего участка по характеристике насоса "напор-расход" (этот подход аналогичен заданию входных условий). Если на выходе ОПО МН и МНПП производят слив нефти (нефтепродукта) в какую-либо емкость, что обычно имеет место на последнем участке магистрали, то задают давление в этой емкости (как правило, равное атмосферному), а также равенство нулю первых производных скорости и температуры.
После срабатывания запорной арматуры граничные условия на входе (выходе) ОПО МН и МНПП изменяются. Граничные условия соответствуют условию "жесткой стенки": равенство нулю скорости на границах и равенство нулю первых производных по давлению и температуре.
В местах ветвления трубопроводной системы (вход или выход трубы из линейного участка) должны сохраняться потоки массы, импульса и энергии.
Для определения величины

используется зависимость Коулбрука - Уайта, связывающая коэффициент трения

с числом Рейнольдса Re и характеристиками ОПО МН и МНПП:

, (8)
где zшер - шероховатость внутренней поверхности ОПО МН и МНПП.
Соотношение (8) представляет собой трансцендентное уравнение, решая которое можно определить

.
Помимо
соотношения (8) для определения величины

могут использоваться иные обоснованные соотношения:

при Re < 2000; (9)

при 2000 <= Re <= 2800; (10)

при 2800 < Re <= Re
1; (11)

при Re
1 < Re <= Re
2. (12)
Предельные значения Re1, Re2 и значения B приведены в табл. 1.
Таблица 1
Предельные значения Re
1, Re
2 и значения
B
Наружный диаметр трубопровода, мм | Re1·10-3 | Re2·10-3 | B·104 |
219 | 13 | 1000 | 0,0157 |
273 | 16 | 1200 | 0,0151 |
325 | 18 | 1600 | 0,0147 |
377 | 28 | 1800 | 0,0143 |
426 | 56 | 2500 | 0,0134 |
530 | 73 | 3200 | 0,0130 |
630 | 90 | 3900 | 0,0126 |
720 | 100 | 4500 | 0,0124 |
820 | 110 | 5000 | 0,0123 |
920 | 115 | 5500 | 0,0122 |
1020 | 120 | 6000 | 0,0121 |
1067 | 121 | 6000 | 0,0121 |
1220 | 125 | 6800 | 0,0120 |
При числах Рейнольдса, больших указанных в
табл. 1 значений Re
2 (в квадратичной зоне), коэффициент гидравлического сопротивления остается постоянным и равным значению

, рассчитанному по
формуле (12) при Re = Re
2.
Для определения величины

используют зависимость

, (13)
где T - температура нефти (нефтепродукта), °C;
Tср - температура окружающей среды, °C;

- коэффициент теплопередачи нефти (нефтепродукта) с окружающей средой, определяемый по формуле:
| | ИС МЕГАНОРМ: примечание. Формула дана в соответствии с официальным текстом документа. | |

(14)
где Hпр - приведенная толщина, мм; Hпр = H + Hэ;
Hэ - эффективная толщина, мм;

;
Hсн - толщина стенки, мм;
Nu
гр - число Нуссельта;

;

,

- коэффициенты теплопроводности;

;

;

- коэффициент теплопередачи воздуха;

.
Описанная выше процедура относится к участкам, на которых происходит течение на полное сечение. Если в ОПО МН и МНПП существует участок, где имеет место течение на неполное сечение трубопровода, то давление в этом участке принимают равным давлению насыщенных паров нефти (нефтепродукта), а расход нефти (нефтепродукта) в ОПО МН и МНПП принимают равным расходу в последнем сечении ОПО МН и МНПП, где сечение было полностью перекрыто нефтью (нефтепродуктом).
Скорость истечения нефти (нефтепродукта) из ОПО МН и МНПП на участках, где существует избыточное давление, определяют по формуле

, (15)
где Pнар - давление снаружи ОПО МН и МНПП, Па.
Для сухопутных участков Pнар = 101 325 Па, для подводных ОПО МН и МНПП величину Pнар определяют как сумму атмосферного давления и давления столба жидкости над отверстием разгерметизации.
Соответственно поток массы через отверстие задают выражением

, (16)
где

- коэффициент, который принимает максимально возможное значение, равное 0,6;
Sj - площадь отверстия разгерметизации, м2.
Формулы (15),
(16) используются, когда в месте разрушения участка ЛЧ ОПО МН и МНПП создано избыточное давление. При крупных разрушениях, когда давление на рассматриваемом участке падает до атмосферного, поток массы в окружающую среду равен сумме потоков каждого из концов ОПО МН и МНПП.
На участках, где существует самотечный поток на неполное сечение, расход равен нулю, если отверстие расположено выше уровня жидкости. Если отверстие расположено ниже уровня жидкости, то поток массы через отверстие оценивают на уровне доли общего расхода нефти (нефтепродукта), пропорциональной доли отверстия относительно площади сечения, занятой нефтью (нефтепродуктом) в ОПО МН и МНПП.
Для задания интегральных напорно-расходных характеристик насосных станций используют формулу

, (17)
где a, b - экспериментально определенные коэффициенты штатного режима работы насосов НПС.
1.3. Объем нефти (нефтепродукта)
V2, вытекшей в безнапорном режиме с момента остановки перекачки до закрытия трубопроводной арматуры, определяют:
до падения давления в трубопроводе (в частности, до установления вакуумметрических давлений в самых высоких точках трассы в каждом из прилегающих к месту аварии участков трубопровода) решением системы
уравнений (2) -
(16), в этом случае расчет объемов вытекшей нефти (нефтепродукта)
V2 является продолжением расчета объемов вытекшей нефти (нефтепродукта)
V1 с изменением граничных условий (остановкой насосов на входе трубопроводной системы);
после падения давления в трубопроводе (в частности, после установления вакуумметрических давлений в самых высоких точках трассы в каждом из прилегающих к месту аварии участков трубопровода) опорожнением расположенных между двумя ближайшими насосными станциями возвышенных и прилегающих к месту повреждения участков, за исключением понижений между ними. Истечение нефти (нефтепродукта) характеризуется переменным во времени напором, уменьшающимся вследствие опорожнения трубопровода. Время перекрытия ЛЧ ОПО МН и МНПП определяется техническими характеристиками трубопроводной арматуры.
Алгоритм расчета объема нефти (нефтепродукта) V2, вытекшей в безнапорном режиме, зависит от размеров отверстия разгерметизации:
при свищах размер отверстия настолько мал, что существенного движения среды в трубе не наблюдается. Поэтому при расчете интенсивности истечения можно, пренебрегая столь малым движением, нефть (нефтепродукт) в трубопроводе считать покоящейся, а зеркало жидкости в каждом из Nст участков трубопроводной системы будет находиться на одном уровне (zзер). Давление в трубопроводе будет определяться гидростатикой:

, (18)
где zзер - уровень (нивелирная отметка трассы), на котором находится нефть, нефтепродукт (зеркало жидкости), м;
z - нивелирная отметка трассы, м;
pвнутр - внутреннее давление в трубопроводе, Па;
pу - вакуумметрическое давление паров нефти, Па;

- осредненная по сечению плотность, кг/м
3;
g - ускорение свободного падения, м/с2.
Давление на месте разрушения (высотная отметка z*) составит:

, (19)
где z* - уровень (нивелирная отметка трассы), на котором находится место разрушения, м.
Расход нефти (нефтепродукта) через свищ определяют следующим образом:

, (20)
где

- коэффициент, который принимает максимально возможное значение, равное 0,6;
S1 - площадь свища, м2;

- осредненная по сечению плотность, кг/м
3;
pнар - наружное давление в окружающей среде на месте разрушения, Па.
Положение высотной отметки зеркала жидкости zзер - по мере истечения нефти (нефтепродукта) меняется (zзер(t)), в начальный момент времени истечения нефти (нефтепродукта) площадь зеркала находится на уровне максимальной высоты из всех трубопроводов. В последующие моменты времени истечения нефти (нефтепродукта) высота зеркала жидкости уменьшается, при этом по достижении высоты максимально высоких точек в других трубопроводных ответвлениях в этих ответвлениях также будут появляться свои поверхности жидкости. В конечном итоге в рассматриваемой системе сформируется столько поверхностей, сколько в ней ответвлений. Во всех ответвлениях высота зеркала нефти (нефтепродукта) совпадает. По мере стока нефти (нефтепродукта) происходит не только постепенное снижение высоты зеркал нефти (нефтепродукта) zзер(t), но и перемещение их вдоль трубопровода (x1(t), x2(t)). Такое перемещение по длине происходит как непрерывно, так и скачками. Скачкообразное изменение xi(t) происходит, когда на пути зеркала встречается V-образный спуск-подъем и высота зеркала сравнивается с высотой лежащего по ходу слива нефти (нефтепродукта) локальным максимумом. Скачок происходит на величину расстояния, которое разделяет локальный максимум и точку на спуске с той же высотой, что и локальный максимум. V-образный профиль между этими точками остается заполнен нефтью (нефтепродуктом) и слив далее будет происходить из участка, расположенного после локального максимума.
При трещинах на ЛЧ ОПО МН и МНПП, когда на месте разрушения еще существует избыточное по отношению к атмосферному давление, при расчете истечения на месте выброса следует учитывать и это избыточное давление, и течение нефти (нефтепродукта) в трубопроводе к месту аварии. При этом используются условия непрерывности давления и сохранения потока массы в местах изменения скорости потока (места разрыва, изменения диаметра, ветвления). Например, для стока нефти (нефтепродуктов) из двух участков ЛЧ ОПО МН и МНПП необходимо решить систему из следующих уравнений:

; (21)

; (22)

; (23)

, (24)
где t - время, с;
z* - уровень (нивелирная отметка трассы), на котором находится место разрушения, м;
z1(t) - уровень (нивелирная отметка трассы), на котором находится перемещающееся зеркало жидкости на участке до места разрушения, м;
z2(t) - уровень (нивелирная отметка трассы), на котором находится перемещающееся зеркало жидкости на участке после места разрушения, м;
pвнутр - внутреннее давление в трубопроводе на месте разрушения, Па;
pнар - наружное давление в окружающей среде на месте разрушения, Па;
pу - вакуумметрическое давление паров нефти, Па;

- осредненная по сечению плотность, кг/м
3;
g - ускорение свободного падения, м/с2.

- коэффициент трения, зависящий от режима течения в трубе, для участка до места разрушения, где число Рейнольдса равно Re
1;

- коэффициент трения, зависящий от режима течения в трубе, для участка после места разрушения, где число Рейнольдса равно Re
2;
u1 - скорость движения нефти, нефтепродукта к месту аварии (участок до места разрушения) на стадии самотечного истечения, м/с;
u2 - скорость движения нефти, нефтепродукта к месту аварии (участок после места разрушения) на стадии самотечного истечения, м/с;
x* - координата по трассе места разрушения, м;
x1 - координата перемещающейся поверхности нефти, нефтепродукта (зеркала жидкости) в участке до места разрушения, м;
x2 - координата перемещающейся поверхности нефти, нефтепродукта (зеркала жидкости) в участке после места разрушения, м;
D1 - внутренний диаметр ОПО МН и МНПП до места разрушения, м;
D2 - внутренний диаметр ОПО МН и МНПП после места разрушения, м.
Когда на месте разрушения ЛЧ ОПО МН и МНПП избыточное давление отсутствует (pвнутр = p0, например, при гильотинном разрыве), скорость выброса будет определяться потоками нефти (нефтепродукта) к месту аварии. При этом также используют условия непрерывности давления и сохранения потока массы в местах изменения скорости потока (места разрыва, изменения диаметра, ветвления). Например, для стока нефти (нефтепродукта) из двух участков ЛЧ ОПО МН и МНПП необходимо решить систему следующих уравнений:

; (25)

; (26)

; (27)

. (28)
1.4. Объем нефти
V3, вытекшей из участка ЛЧ ОПО МН и МНПП в безнапорном режиме с момента перекрытия потока, определяют аналогично
подпункта 1.3 настоящего приложения, но только на участке между трубопроводной арматурой. Время прекращения истечения нефти (нефтепродукта) определяют временем стока нефти (нефтепродукта) из отсеченного участка или временем прибытия АВБ, которое определяют экспертным путем с учетом планов мероприятий по локализации и ликвидации последствий аварий рассматриваемого ОПО МН и МНПП, разработанных в соответствии с
Положением о разработке планов мероприятий по локализации и ликвидации последствий аварий на опасных производственных объектах, утвержденным постановлением Правительства Российской Федерации от 26 августа 2013 г. N 730.
2. Расчет количества разлившейся нефти, нефтепродуктов
на площадочных сооружениях
2.1. Количество разлившейся нефти (нефтепродуктов) из резервуаров и технологических трубопроводов определяют согласно
Методике определения расчетных величин пожарного риска на производственных объектах исходя из следующих предпосылок:
происходит разгерметизация одного из резервуаров (емкостного оборудования) или трубопровода;
все содержимое резервуара (трубопровода) или часть продукта (при соответствующем обосновании) поступает в окружающее пространство;
при разгерметизации резервуара происходит одновременно утечка вещества из трубопроводов, питающих резервуар по прямому и обратному потоку в течение времени, необходимого для отключения трубопроводов. Расчетное время отключения трубопроводов (промежуток времени от начала разгерметизации выбросом жидкости до полного прекращения поступления жидкости в окружающее пространство) определяется в каждом конкретном случае исходя из реальной обстановки с учетом паспортных данных на запорные устройства, параметров системы обнаружения утечек и действий диспетчера, характера технологического процесса и вида расчетной аварии;
в качестве расчетной температуры при аварийной ситуации с наземно расположенным оборудованием допускается принимать максимально возможную температуру воздуха в соответствующей климатической зоне, а при ситуации с подземно расположенным оборудованием - температуру грунта, условно равную максимальной среднемесячной температуре окружающего воздуха в наиболее теплое время года.
2.2. Массу нефти (нефтепродукта), поступившей в окружающее пространство при разгерметизации резервуара, определяют по формуле

, (29)
где mа-разг - масса нефти (нефтепродукта), поступившей в окружающее пространство при разгерметизации резервуара, кг;

- плотность нефти (нефтепродукта), кг/м
3;
VR - объем нефти (нефтепродукта) в резервуаре, м3.
2.3. Массу нефти (нефтепродукта), поступившей самотеком при полном разрушении наземного или надземного трубопровода, выходящего из резервуара, определяют по формуле

, (30)
где

- расчетное время отключения трубопроводов, связанных с местом разгерметизации, с;
D - внутренний диаметр трубопроводов (в случае различных диаметров трубопроводов, связанных с местом разгерметизации, объем выходящей нефти (нефтепродукта) рассчитывают для каждого трубопровода в отдельности);
Li - длина i-го участка трубопровода от запорного устройства до места разгерметизации, м;
n - число участков трубопроводов, связанных с местом разгерметизации;
GL - начальный расход жидкости, истекающей из резервуара через разгерметизированный трубопровод, кг/с.

;
здесь

- коэффициент истечения;

- напор столба жидкости в резервуаре, Па.

;
здесь hL - высота столба жидкости (от верхнего уровня жидкости в резервуаре до уровня места разгерметизации, принимаем равной максимальному проектному уровню), м;
g - ускорение свободного падения, м/с2.
3. Оценка площадей разливов нефти, нефтепродуктов при аварии
3.1. При необходимости и наличии данных о рельефе местности (с детальностью масштаба не менее 1:10 000 и данных о фильтрации почвы) для определения площади загрязнения почвы на суше используют геометрический подход с применением ГИС-технологий. При таком подходе сначала определяют линию тока, по которой нефть (нефтепродукты) будет течь от места выброса на ОПО МН и МНПП. Затем на этой линии определяют места, где нефть (нефтепродукты) может накапливаться в определенных количествах прежде, чем начнет течь дальше по линии тока. Каждое место скопления нефти (нефтепродукта) характеризуется объемом нефти (нефтепродукта) (Vраз1, Vраз2, Vраз3), максимальной площадью разлива (Sраз1, Sраз2, Sраз3) и временем окончания заполнения места скопления (tраз1, tраз2, tраз3). При таком подходе не определяют площади загрязнения почвы вдоль линии тока (ими пренебрегают по сравнению с площадью скоплений нефти, нефтепродуктов в низинах), также не рассчитывают время движения нефти (нефтепродуктов) вдоль линии тока.
При необходимости учета площади загрязнения вдоль линии тока и времени движения нефти (нефтепродуктов) вдоль линии тока необходимо решать уравнения движения мелкой воды (shallow water) на поверхности сложной формы с учетом испарения и фильтрации нефти (нефтепродукта) в почву.
3.2. При отсутствии данных о рельефе для приближенной оценки площадей аварийных разливов на неограниченную поверхность толщину слоя разлития нефти (нефтепродуктов) допускается принимать равной 0,2 м при проливе на неспланированную грунтовую поверхность и 0,05 м при проливе на спланированное грунтовое покрытие. При аварийном разливе нефти (нефтепродуктов) на территории площадочного объекта ОПО МН и МНПП площадь возможного разлива оценивают с учетом планировки площадки.
При авариях вблизи водоемов и водотоков соотношение объема нефти (нефтепродукта), загрязнившей сушу, и объема нефти (нефтепродукта), попавшей в водные объекты, существенно зависит от взаимного расположения ОПО МН и МНПП и водных объектов, макрорельефа прилегающей территории, наличия защитных сооружений, а также от объема вылившейся нефти (нефтепродукта) Vраз.
Для приближенной оценки площади загрязнения водной поверхности можно принимать толщину слоя 0,005 м для нефти и 0,001 м для светлых нефтепродуктов.