Главная // Актуальные документы СПРАВКА
Источник публикации
В данном виде документ опубликован не был.
Первоначальный текст документа опубликован в издании
"Бюллетень нормативных актов федеральных органов исполнительной власти", N 23, 10.06.2013 (прил. к правилам не приводятся).
По информации, опубликованной в "Бюллетене нормативных актов федеральных органов исполнительной власти", N 23 10.06.2013, информация размещена на официальном сайте Федеральной службы по экологическому, технологическому и атомному надзору по адресу: http://www.gosnadzor.ru.
Информацию о публикации документов, создающих данную редакцию, см. в справке к этим документам.
Примечание к документу
Начало действия редакции - 02.03.2016.
Окончание действия документа - 31.12.2020.
Изменения, внесенные
Приказом Ростехнадзора от 26.11.2015 N 480,
вступили в силу по истечении 10 дней после дня официального опубликования (опубликован на Официальном интернет-портале правовой информации http://www.pravo.gov.ru - 20.02.2016).
Название документа
Приказ Ростехнадзора от 11.03.2013 N 96
(ред. от 26.11.2015)
"Об утверждении Федеральных норм и правил в области промышленной безопасности "Общие правила взрывобезопасности для взрывопожароопасных химических, нефтехимических и нефтеперерабатывающих производств"
(Зарегистрировано в Минюсте России 16.04.2013 N 28138)
Приказ Ростехнадзора от 11.03.2013 N 96
(ред. от 26.11.2015)
"Об утверждении Федеральных норм и правил в области промышленной безопасности "Общие правила взрывобезопасности для взрывопожароопасных химических, нефтехимических и нефтеперерабатывающих производств"
(Зарегистрировано в Минюсте России 16.04.2013 N 28138)
Зарегистрировано в Минюсте России 16 апреля 2013 г. N 28138
ФЕДЕРАЛЬНАЯ СЛУЖБА ПО ЭКОЛОГИЧЕСКОМУ, ТЕХНОЛОГИЧЕСКОМУ
И АТОМНОМУ НАДЗОРУ
ПРИКАЗ
от 11 марта 2013 г. N 96
ОБ УТВЕРЖДЕНИИ ФЕДЕРАЛЬНЫХ НОРМ И ПРАВИЛ
В ОБЛАСТИ ПРОМЫШЛЕННОЙ БЕЗОПАСНОСТИ "ОБЩИЕ ПРАВИЛА
ВЗРЫВОБЕЗОПАСНОСТИ ДЛЯ ВЗРЫВОПОЖАРООПАСНЫХ ХИМИЧЕСКИХ,
НЕФТЕХИМИЧЕСКИХ И НЕФТЕПЕРЕРАБАТЫВАЮЩИХ ПРОИЗВОДСТВ"
| | Список изменяющих документов (в ред. Приказа Ростехнадзора от 26.11.2015 N 480) | |
В соответствии с
постановлением Правительства Российской Федерации от 30 июля 2004 г. N 401 "О Федеральной службе по экологическому, технологическому и атомному надзору" (Собрание законодательства Российской Федерации, 2004, N 32, ст. 3348; 2006, N 5, ст. 544; N 23, ст. 2527; N 52, ст. 5587; 2008, N 22, ст. 2581; N 46, ст. 5337; 2009, N 6, ст. 738; N 33, ст. 4081; N 49, ст. 5976; 2010, N 9, ст. 960; N 26, ст. 3350; N 38, ст. 4835; 2011, N 6, ст. 888; N 14, ст. 1935; N 41, ст. 5750; N 50, ст. 7385; 2012, N 29, ст. 4123; N 42, ст. 5726) приказываю:
1. Утвердить прилагаемые к настоящему приказу Федеральные
нормы и правила в области промышленной безопасности "Общие правила взрывобезопасности для взрывопожароопасных химических, нефтехимических и нефтеперерабатывающих производств".
2. Считать не подлежащим применению
постановление Федерального горного и промышленного надзора России от 5 мая 2003 г. N 29 "Об утверждении Общих правил взрывобезопасности для взрывопожароопасных химических, нефтехимических и нефтеперерабатывающих производств" (зарегистрировано Министерством юстиции Российской Федерации 15 мая 2003 г., регистрационный N 4537; "Российская газета", 2003, N 120/1).
3. Настоящий приказ вступает в силу по истечении шести месяцев с момента официального опубликования Федеральных
норм и правил в области промышленной безопасности "Общие правила взрывобезопасности для взрывопожароопасных химических, нефтехимических и нефтеперерабатывающих производств".
Руководитель
Н.Г.КУТЬИН
приказом Федеральной службы
по экологическому, технологическому
и атомному надзору
от 11.03.2013 N 96
ФЕДЕРАЛЬНЫЕ НОРМЫ И ПРАВИЛА
В ОБЛАСТИ ПРОМЫШЛЕННОЙ БЕЗОПАСНОСТИ "ОБЩИЕ ПРАВИЛА
ВЗРЫВОБЕЗОПАСНОСТИ ДЛЯ ВЗРЫВОПОЖАРООПАСНЫХ ХИМИЧЕСКИХ,
НЕФТЕХИМИЧЕСКИХ И НЕФТЕПЕРЕРАБАТЫВАЮЩИХ ПРОИЗВОДСТВ"
| | Список изменяющих документов (в ред. Приказа Ростехнадзора от 26.11.2015 N 480) | |
1.1. Настоящие Федеральные нормы и правила в области промышленной безопасности "Общие правила взрывобезопасности для взрывопожароопасных химических, нефтехимических и нефтеперерабатывающих производств" (далее - Правила) разработаны в соответствии с Федеральным
законом от 21 июля 1997 г. N 116-ФЗ "О промышленной безопасности опасных производственных объектов" (Собрание законодательства Российской Федерации, 1997, N 30, ст. 3588; 2000, N 33, ст. 3348; 2003, N 2, ст. 167; 2004, N 35, ст. 3607; 2005, N 19, ст. 1752; 2006, N 52, ст. 5498; 2009, N 1, ст. 17, ст. 21; N 52, ст. 6450; 2010, N 30, ст. 4002; N 31, ст. 4196; 2011, N 27, ст. 3880; N 30, ст. 4590, ст. 4591, ст. 4596; N 49, ст. 7015, ст. 7025; 2012, N 26, ст. 3446; 2013, N 9, ст. 874; N 27, ст. 3478; 2015, N 1, ст. 67; N 29, ст. 4359).
(п. 1.1 в ред.
Приказа Ростехнадзора от 26.11.2015 N 480)
1.2. Правила устанавливают требования, направленные на обеспечение промышленной безопасности, предупреждение аварий и инцидентов на опасных производственных объектах (далее - ОПО) химических, нефтехимических и нефтегазоперерабатывающих производств, на которых получаются, используются, перерабатываются, образуются, хранятся, транспортируются, уничтожаются опасные вещества, указанные в
пункте 1 приложения 1 к Федеральному закону от 21 июля 1997 г. N 116-ФЗ "О промышленной безопасности опасных производственных объектов", в том числе способные образовывать паро-, газо- и пылевоздушные взрывопожароопасные смеси, кроме конденсированных взрывчатых веществ (далее - ВВ), включая ОПО хранения нефти, нефтепродуктов, сжиженных горючих газов, легковоспламеняющихся и горючих жидкостей (далее СГГ, ЛВЖ и ГЖ).
(п. 1.2 в ред.
Приказа Ростехнадзора от 26.11.2015 N 480)
1.3. Правила предназначены для применения:
а) при разработке технологических процессов, проектировании, строительстве, эксплуатации, реконструкции, техническом перевооружении, капитальном ремонте, консервации и ликвидации ОПО, указанных в
пункте 1.2 Правил;
б) при изготовлении, монтаже, наладке, обслуживании, диагностировании и ремонте технических устройств, применяемых на объектах, указанных в
пункте 1.2 Правил;
в) при проведении экспертизы промышленной безопасности документации на техническое перевооружение, консервацию и ликвидацию ОПО, обоснования безопасности ОПО, технических устройств, зданий и сооружений, деклараций промышленной безопасности ОПО, указанных в
пункте 1.2 Правил.
(п. 1.3 в ред.
Приказа Ростехнадзора от 26.11.2015 N 480)
1.4. Правила устанавливают требования промышленной безопасности к видам деятельности в области промышленной безопасности, к которым относятся проектирование, строительство, эксплуатация, реконструкция, техническое перевооружение, капитальный ремонт, консервация и ликвидация ОПО, указанных в
пункте 1.2 Правил.
(п. 1.4 в ред.
Приказа Ростехнадзора от 26.11.2015 N 480)
1.5. Утратил силу. -
Приказ Ростехнадзора от 26.11.2015 N 480.
2.1. Разработка технологического процесса, разделение технологической схемы производства на отдельные технологические блоки, применение технологического оборудования, выбор типа отключающих устройств и мест их установки, средств контроля, управления и противоаварийной автоматической защиты (далее - ПАЗ) должны быть обоснованы в проектной документации результатами анализа опасностей технологических процессов, проведенного в соответствии с
приложением N 1 к настоящим Правилам, с использованием методов анализа риска аварий на ОПО, и должны обеспечивать взрывобезопасность технологического блока.
(в ред.
Приказа Ростехнадзора от 26.11.2015 N 480)
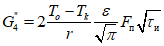
2.2. В проектной документации производится оценка энергетического уровня каждого технологического блока и определяется расчетом категория его взрывоопасности в соответствии с
приложением N 2 к настоящим Правилам.
По расчетным значениям относительных энергетических потенциалов

и приведенной массе парогазовой среды m устанавливаются категории взрывоопасности технологических блоков (см.
таблицу).
Показатели категорий взрывоопасности технологических блоков
Категория взрывоопасности | | m, кг |
I | > 37 | > 5000 |
II | 27 - 37 | 2000 - 5000 |
III | < 27 | < 2000 |
Исходя из категорий взрывоопасности технологических блоков, в проектной документации дается обоснование по применению эффективности и надежности мер и технических средств противоаварийной защиты, направленных на обеспечение взрывобезопасности данного блока и в целом всей технологической системы.
2.3. Категорию взрывоопасности блоков, определяемую расчетом, следует принимать на одну выше, если обращающиеся в технологическом блоке опасные вещества относятся к токсичным, высокотоксичным веществам в соответствии с требованиями Федерального
закона от 21 июля 1997 г. N 116-ФЗ "О промышленной безопасности опасных производственных объектов".
Повышение категории взрывоопасности технологических блоков, определяемое количеством токсичных, высокотоксичных веществ, опасностью причинения ими вреда обслуживающему персоналу при вероятностных сценариях развития аварийной ситуации, обосновывается в проектной документации.
(абзац введен
Приказом Ростехнадзора от 26.11.2015 N 480)
2.4. При наличии в технологическом оборудовании опасных веществ или возможности их образования эксплуатирующей организацией разрабатываются необходимые меры защиты персонала от воздействия этих веществ при взрывах, пожарах и других авариях.
2.5. Ведение технологических процессов осуществляется в соответствии с технологическими регламентами на производство продукции, утвержденными организацией, эксплуатирующей ОПО, указанные в
пункте 1.2 Правил.
Технологический регламент на производство продукции химических, нефтехимических и нефтегазоперерабатывающих производств - основной технический документ, определяющий оптимальный технологический режим процесса, содержит описание технологического процесса и технологической схемы производства, физико-химические и взрывопожароопасные свойства сырья, полупродуктов и готовой продукции, контроль и управление технологическим процессом, безопасные условия эксплуатации производства, перечень обязательных производственных инструкций и чертеж технологической схемы производства (графическая часть). Технологический регламент на производство продукции разрабатывается на основании проектной документации на ОПО.
Внесение изменений в технологическую схему, аппаратурное оформление, в системы контроля, связи, оповещения и ПАЗ осуществляется после внесения изменений в проектную документацию (документацию), согласованную с разработчиком проектной документации или с организацией, специализирующейся на проектировании аналогичных объектов, или при наличии положительного заключения экспертиз по проектной документации (документации).
Внесенные изменения не должны отрицательно влиять на работоспособность и безопасность всей технологической системы.
(п. 2.5 в ред.
Приказа Ростехнадзора от 26.11.2015 N 480)
2.6. Для производств и отдельных технологических процессов, связанных с получением, переработкой и применением конденсированных ВВ в жидкой или твердой фазе, меры взрывозащиты и взрывопредупреждения разрабатываются в соответствии с нормативными правовыми актами Российской Федерации.
2.7. Для ОПО, указанных в
пункте 1.2 Правил, I, II и III классов опасности, должны быть разработаны и утверждены планы мероприятий по локализации и ликвидации последствий аварий (далее - ПМЛА) в порядке, установленном
Положением о разработке планов мероприятий по локализации и ликвидации последствий аварий на опасных производственных объектах, утвержденным постановлением Правительства Российской Федерации от 26 августа 2013 г. 730 (Собрание законодательства Российской Федерации, 2013, N 35, ст. 4516).
(в ред.
Приказа Ростехнадзора от 26.11.2015 N 480)
Абзац исключен. -
Приказ Ростехнадзора от 26.11.2015 N 480.
Для ОПО, на которых обращаются (перерабатываются, хранятся, транспортируются) нефть и нефтепродукты, при наличии риска распространения разливов нефти и нефтепродуктов за пределы блока (цеха, установки, производственного участка) ОПО должны разрабатываться, утверждаться и вводиться в действие в порядке, установленном Правительством Российской Федерации, планы по предупреждению и ликвидации разливов нефти и нефтепродуктов.
2.8. В производствах, имеющих в своем составе технологические блоки любых категорий взрывоопасности, опытные работы по отработке новых технологических процессов или их отдельных стадий, испытанию головных образцов вновь разрабатываемого оборудования, опробованию опытных средств и систем автоматизации следует проводить при наличии положительного заключения экспертизы промышленной безопасности документации на техническое перевооружение ОПО по изменению технологической схемы производства для проведения опытных работ в случае, если указанная документация не входит в состав проектной документации такого объекта, подлежащей экспертизе в соответствии с законодательством Российской Федерации о градостроительной деятельности.
На проведение опытных работ организация, эксплуатирующая данный ОПО, также разрабатывает и утверждает техническую документацию и план мероприятий по безопасному проведению указанных работ.
(п. 2.8 в ред.
Приказа Ростехнадзора от 26.11.2015 N 480)
2.9. Расследование аварий и инцидентов на ОПО, анализ причин опасных отклонений от норм технологического режима и контроля за соблюдением этих норм осуществляются в соответствии с требованиями нормативных правовых актов федерального органа исполнительной власти в области промышленной безопасности.
2.10. Персонал, связанный с эксплуатацией ОПО, должен быть обучен и аттестован в области промышленной безопасности в соответствии с порядком, установленным нормативными правовыми актами федерального органа исполнительной власти в области промышленной безопасности.
2.11. Для приобретения практических навыков безопасного выполнения работ, предупреждения аварий и ликвидации их последствий на технологических объектах с блоками I и II категории взрывоопасности все рабочие и инженерно-технические работники, непосредственно занятые ведением технологического процесса и эксплуатацией оборудования на этих объектах, проходят курс подготовки с использованием современных технических средств обучения и отработки таких навыков (компьютерные тренажеры, учебно-тренировочные полигоны). Компьютерные тренажеры должны содержать максимально приближенные к реальным динамические модели процессов и реальные средства управления (функциональные клавиатуры, графические экранные формы).
Обучение и отработка практических навыков на компьютерных тренажерах должны обеспечивать освоение технологического процесса и системы управления, пуска, плановой и аварийной остановки в типовых и специфических нештатных ситуациях и авариях.
Программы для отработки навыков пуска, нормального функционирования, плановой и аварийной остановки производства (объекта) создаются на основании технологических регламентов на производство продукции и других технологических нормативов, включая ПМЛА и планы по предупреждению и ликвидации разливов нефти и нефтепродуктов.
(в ред.
Приказа Ростехнадзора от 26.11.2015 N 480)
Обучение рабочих и инженерно-технических работников, эксплуатирующих технологические блоки III категории взрывоопасности, проводится по программам и технической документации (ПМЛА, технологические регламенты на производство продукции, технологические инструкции по ведению и аварийной остановке технологических процессов).
(в ред.
Приказа Ростехнадзора от 26.11.2015 N 480)
2.12. Организация работ по поддержанию надежного и безопасного уровня эксплуатации и ремонта технологического и вспомогательного оборудования, трубопроводов и арматуры, систем контроля, противоаварийной защиты, средств связи и оповещения, энергообеспечения, а также зданий и сооружений; распределение обязанностей и границ ответственности между техническими службами (технологической, механической, энергетической, контрольно-измерительных приборов и автоматики) за обеспечением требований технической безопасности, а также перечень и объем эксплуатационной, ремонтной и другой технической документации определяются внутренними распорядительными документами организации, устанавливающими требования безопасного проведения работ на ОПО.
2.13. В целях противодействия угрозам совершения террористических актов и несанкционированным действиям в производствах, имеющих в своем составе технологические блоки любых категорий взрывоопасности, разрабатываются меры по предотвращению постороннего несанкционированного вмешательства в ход технологических процессов.
(в ред.
Приказа Ростехнадзора от 26.11.2015 N 480)
III. ТРЕБОВАНИЯ К ОБЕСПЕЧЕНИЮ ВЗРЫВОБЕЗОПАСНОСТИ
ТЕХНОЛОГИЧЕСКИХ ПРОЦЕССОВ
3.1. Для каждой технологической системы должны предусматриваться меры по максимальному снижению взрывоопасности технологических блоков, входящих в нее, направленные на:
предотвращение взрывов и пожаров внутри технологического оборудования;
защиту технологического оборудования от разрушения и максимальное ограничение выбросов из него горючих веществ в атмосферу при аварийной разгерметизации;
исключение возможности взрывов и пожаров в объеме производственных зданий, сооружений и наружных установок;
снижение тяжести последствий взрывов и пожаров в объеме производственных зданий, сооружений и наружных установок.
3.2. Технологические процессы организуются так, чтобы исключить возможность взрыва в технологической системе при регламентированных значениях их параметров. Регламентированные значения параметров, определяющих взрывоопасность процесса, допустимый диапазон их изменений, организация проведения процесса (аппаратурное оформление и конструкция технологических аппаратов, фазовое состояние обращающихся веществ, гидродинамические режимы) устанавливаются в исходных данных на проектирование, разработчиком процесса.
(в ред.
Приказа Ростехнадзора от 26.11.2015 N 480)
Регламентированные значения параметров по ведению технологического процесса указываются в технологических регламентах на производство продукции как оптимальные нормы ведения технологического режима (далее - регламентированные параметры процесса) и подлежат контролю и регулированию в заданном диапазоне.
3.3. Для каждого технологического процесса разработчиком процесса определяется совокупность регламентированных значений параметров. Допустимый диапазон изменения параметров устанавливается с учетом характеристик технологического процесса. Технические характеристики системы управления и ПАЗ должны соответствовать скорости изменения значений параметров процесса в требуемом диапазоне (класс точности приборов, инерционность систем измерения, диапазон измерения).
(в ред.
Приказа Ростехнадзора от 26.11.2015 N 480)
3.4. Способы и средства, исключающие выход параметров за установленные пределы, приводятся в исходных данных на проектирование, а также в проектной документации и технологическом регламенте на производство продукции.
3.4.1. Условия взрывопожаробезопасного проведения отдельного технологического процесса или его стадий обеспечиваются:
рациональным подбором взаимодействующих компонентов, исходя из условия максимального снижения или исключения образования взрывопожароопасных смесей или продуктов (устанавливается в исходных данных);
выбором рациональных режимов дозирования компонентов, предотвращением возможности отклонения их соотношений от регламентированных значений и образования взрывоопасных концентраций в системе (устанавливается в проектной документации);
введением в технологическую среду, исходя из физико-химических условий процесса дополнительных веществ: инертных разбавителей-флегматизаторов, веществ, приводящих к образованию инертных разбавителей или препятствующих образованию взрывопожароопасных смесей (устанавливается в исходных данных);
рациональным выбором гидродинамических характеристик процесса (способов и режима перемещения среды и смешения компонентов, напора и скорости потока) и теплообменных характеристик (теплового напора, коэффициента теплопередачи, поверхности теплообмена), а также геометрических параметров аппаратов (устанавливается в исходных данных и проектной документации);
применением компонентов в фазовом состоянии, затрудняющем или исключающем образование взрывоопасной смеси (устанавливается в исходных данных);
выбором значений параметров состояния технологической среды (состава, давления, температуры), снижающих ее взрывопожароопасность (устанавливается в исходных данных);
надежным энергообеспечением (устанавливается в проектной документации).
3.4.2. Оптимальные условия взрывопожаробезопасности технологической системы обеспечиваются:
рациональным выбором технологической системы с учетом относительных энергетических потенциалов (

) входящих в нее технологических блоков, которые определяются на стадии проектирования;
(в ред.
Приказа Ростехнадзора от 26.11.2015 N 480)
разделением отдельных технологических операций на ряд процессов или стадий (смешение компонентов в несколько стадий, разделение процессов на реакционные и массообменные) или совмещением нескольких процессов в одну технологическую операцию (реакционный с реакционным, реакционный с массообменным), позволяющим снизить уровень взрывоопасности;
введением в технологическую систему дополнительного процесса или стадии очистки от примесей, способных образовывать взрывопожароопасные смеси или повышать степень опасности среды на последующих стадиях.
3.5. Для технологических систем непрерывного действия, в состав которых входят отдельные аппараты периодического действия, предусматриваются меры, обеспечивающие взрывобезопасное проведение регламентированных операций отключения (подключения) периодически действующих аппаратов от (к) непрерывной технологической линии, а также операций, проводимых в них после отключения.
3.6. Технологические системы (технологическое оборудование, трубопроводы, аппараты, технологические линии), в которых при отклонениях от регламентированного режима проведения технологического процесса возможно образование взрывопожароопасных смесей, обеспечиваются системами подачи в них инертных газов (инертных сред), флегматизирующих добавок или другими техническими средствами, предотвращающими образование взрывоопасных смесей или возможность их взрыва при наличии источника инициирования.
Управление системами подачи инертных газов и флегматизирующих добавок осуществляется дистанционно (вручную или автоматически) в зависимости от особенностей проведения технологического процесса. Для производств, имеющих в своем составе технологические блоки I и II категории взрывоопасности, предусматривается автоматическое управление подачей инертных сред; для производств с технологическими блоками III категории - управление дистанционное, неавтоматическое, а при

допускается ручное управление.
3.7. Для обеспечения взрывобезопасности технологической системы при пуске в работу или остановке технологического оборудования (аппаратов, участков трубопроводов) предусматриваются специальные меры (в том числе продувка инертными газами), предотвращающие образование в системе взрывоопасных смесей.
В проектной документации разрабатываются с учетом особенностей технологического процесса и регламентируются режимы и порядок пуска и остановки технологического оборудования, способы его продувки инертными газами, исключающие образование застойных зон.
Контроль за эффективностью продувки осуществляется по содержанию кислорода и (или) горючих веществ в отходящих газах с учетом конкретных условий проведения процесса продувки в автоматическом режиме или методом периодического отбора проб.
3.8. Количество инертных газов для каждого технологического объекта, система их транспортирования и место ввода в технологическую систему выбираются с учетом особенностей работы технологической системы, одновременности загрузки и определяются проектом. Параметры инертной среды определяются исходя из условия обеспечения взрывобезопасности технологического процесса.
3.9. Технологические системы должны оснащаться средствами контроля за параметрами, определяющими взрывоопасность процесса, с регистрацией показаний и предаварийной (а при необходимости - предупредительной) сигнализацией их значений, а также средствами автоматического регулирования и противоаварийной защиты.
Требования к системам контроля, управления, сигнализации и ПАЗ, обеспечивающие безопасность ведения технологических процессов, определены
пунктами 6.1,
6.2,
6.3 раздела VI настоящих Правил.
3.10. Для взрывоопасных технологических процессов должны предусматриваться системы ПАЗ, предупреждающие возникновение аварии при отклонении от предусмотренных технологическим регламентом на производство продукции предельно допустимых значений параметров процесса во всех режимах работы и обеспечивающие безопасную остановку или перевод процесса в безопасное состояние по заданной программе.
Абзац исключен. -
Приказ Ростехнадзора от 26.11.2015 N 480.
3.11 - 3.12. Утратили силу. -
Приказ Ростехнадзора от 26.11.2015 N 480.
3.13. Энергетическая устойчивость технологической системы с учетом категории взрывоопасности входящих в нее блоков, особенностей технологического процесса обеспечивается выбором рациональной схемы энергоснабжения, количеством источников электропитания (основных и резервных), их надежностью и должна исключать возможность:
нарушения герметичности системы (разгерметизации уплотнений подвижных соединений, разрушения оборудования от превышения давления);
образования в системе взрывоопасной среды (за счет увеличения времени пребывания продуктов в реакционной зоне, нарушения соотношения поступающих в нее продуктов, развития неуправляемых процессов).
Параметры, характеризующие энергоустойчивость технологического процесса, средства и методы обеспечения этой устойчивости определяются при разработке исходных данных и устанавливаются в проектной документации и технологическом регламенте на производство продукции.
(в ред.
Приказа Ростехнадзора от 26.11.2015 N 480)
Средства обеспечения энергоустойчивости технологической системы должны обеспечить способность функционирования средств ПАЗ в течение времени достаточного для исключения опасной ситуации.
3.14. Технологические процессы не должны проводиться в области взрываемости или саморазложения (химически нестабильные вещества) обращающихся в технологическом процессе веществ и вновь образующихся продуктов с учетом возможного образования, в том числе и побочных продуктов.
(п. 3.14 в ред.
Приказа Ростехнадзора от 26.11.2015 N 480)
3.15. Технологические системы с взрывоопасной средой, в которых, согласно
пункту 3.14 предусмотрены меры, исключающие наличие или предотвращающие возникновение источников инициирования взрыва внутри оборудования, но в которых полностью невозможно исключение опасных источников зажигания (вероятность появления источников зажигания остается высокой), должны оснащаться средствами взрывопредупреждения и защиты оборудования и трубопроводов от разрушений (мембранными предохранительными устройствами, взрывными клапанами, системами флегматизации инертным газом, средствами локализации пламени).
3.16. Технологические системы, в которых обращаются горючие продукты (газообразные, жидкие, твердые), способные образовывать взрывоопасные смеси с воздухом, должны быть герметичными и исключать создание опасных концентраций этих веществ в окружающей среде во всех режимах работы. Требования к герметизации с учетом факторов опасности определяются
разделом IV настоящих Правил.
3.17. Мероприятия по предотвращению взрывов и пожаров в оборудовании разрабатываются с учетом показателей взрывопожароопасности обращающихся веществ при регламентированных параметрах процесса.
При разработке мероприятий по предотвращению взрывов и пожаров в оборудовании должны учитываться технические требования к безопасности оборудования для работы во взрывоопасных средах.
3.18. При разработке мероприятий по предотвращению взрывов и пожаров в объеме зданий и сооружений должны учитываться нормы Федерального
закона от 22 июня 2008 г. N 123-ФЗ "Технический регламент о требованиях пожарной безопасности" (Собрание законодательства Российской Федерации, 2008, N 30, ст. 3579; 2012, N 29, ст. 3997).
3.19. Для технологических систем на стадиях, связанных с применением твердых пылящих и дисперсных веществ, предусматриваются меры и средства, максимально снижающие попадание горючей пыли в атмосферу производственного помещения (рабочей зоны), наружных установок и накопление ее на оборудовании и строительных конструкциях, а также средства пылеуборки, ее периодичность и контроль запыленности воздуха.
Твердые дисперсные горючие вещества должны загружаться в аппаратуру и перерабатываться в виде гранул, растворов, паст или в увлажненном состоянии.
3.20. Для каждого технологического блока с учетом его энергетического потенциала проектной организацией разрабатываются меры и предусматриваются средства, направленные на предупреждение выбросов горючих продуктов в окружающую среду или максимальное ограничение их количества, а также предупреждение взрывов и предотвращение травмирования производственного персонала.
Достаточность выбранных мер и средств в каждом конкретном случае обосновывается в проекте.
3.20.1. Для производств, имеющих в своем составе технологические блоки I и II категории взрывоопасности, разрабатываются специальные меры:
размещение технологического оборудования в специальных взрывозащитных конструкциях;
оснащение производства автоматизированными системами управления и ПАЗ, обеспечивающей автоматическое регулирование процесса и безаварийную остановку производства по специальным программам, определяющим последовательность и время выполнения операций отключения при аварийных ситуациях в технологической системе (технологическом блоке, техническом устройстве), а также снижение или исключение возможности ошибочных действий производственного персонала при ведении процесса, пуске и остановке производства и другие меры.
(в ред.
Приказа Ростехнадзора от 26.11.2015 N 480)
3.20.2. Производства, имеющие в своем составе технологические блоки III категории взрывоопасности, оснащаются системами автоматического (с применением вычислительной техники или без нее) регулирования, средствами контроля параметров, значения которых определяют взрывоопасность процесса, эффективными быстродействующими системами, обеспечивающими приведение технологических параметров к регламентированным значениям или остановке процесса.
Абзац исключен. -
Приказ Ростехнадзора от 26.11.2015 N 480.
3.20.3. Для максимального снижения выбросов в окружающую среду горючих и взрывопожароопасных веществ при аварийной разгерметизации системы необходимо предусматривать установку запорных и (или) отсекающих устройств.
Места расположения запорных и (или) отсекающих устройств устанавливаются в проектной документации.
Время срабатывания запорных и (или) отсекающих устройств определяется расчетом, обосновывается в проектной документации и регламентируется.
При этом должны быть обеспечены условия безопасного отсечения потоков и исключены гидравлические удары.
(п. 3.20.3 в ред.
Приказа Ростехнадзора от 26.11.2015 N 480)
3.20.4. Утратил силу. -
Приказ Ростехнадзора от 26.11.2015 N 480.
3.21. При проектировании технологических схем для новых производств для аварийного освобождения технологических блоков от обращающихся продуктов должно учитываться оборудование технологических установок или специальные системы аварийного освобождения. Специальные системы аварийного освобождения должны находиться в постоянной готовности:
исключать образование взрывоопасных смесей как в самих системах, так и в окружающей их атмосфере, а также развитие аварий;
обеспечивать минимально возможное время освобождения;
оснащаться средствами контроля и управления.
Специальные системы аварийного освобождения не должны использоваться для других целей.
Вместимость системы аварийного освобождения (специальной или в виде оборудования технологических установок, предназначенного для аварийного освобождения технологических блоков) рассчитывается на прием продуктов в количествах, определяемых условиями безопасной остановки технологического процесса.
(п. 3.21 в ред.
Приказа Ростехнадзора от 26.11.2015 N 480)
3.22. Утратил силу. -
Приказ Ростехнадзора от 26.11.2015 N 480.
3.23. Сбрасываемые горючие газы, пары и мелкодисперсные материалы должны направляться в закрытые системы для дальнейшей утилизации, обезвреживания или в системы организованного сжигания.
Для обезвреживания сбрасываемых сред (локальные системы) применяются различные методы (термокаталитическое окисление, адсорбция, абсорбция, химическое комплексообразование, плазменное разложение).
Сброс и утилизация чистого водорода и газов, содержащих вещества (полимеры), способные забивать факельные коллекторы и/или снижать пропускную способность факельного коллектора, могут быть организованы путем их направления на свечу рассеивания с обоснованием в проектной документации принятого технического решения.
(п. 3.23 в ред.
Приказа Ростехнадзора от 26.11.2015 N 480)
3.24. Не допускается объединение газовых выбросов, содержащих вещества, способные при смешивании образовывать взрывоопасные смеси или нестабильные соединения.
При объединении газовых линий сбросов парогазовых сред из аппаратов с различными параметрами давлений необходимо предусматривать меры, предотвращающие переток сред из аппаратов с высоким давлением в аппараты с низким давлением.
3.25. При наличии жидкой фазы в газовом потоке на линиях сброса газов должны предусматриваться устройства, исключающие ее унос.
3.26. В процессах, в которых при отклонении от заданных технологических режимов возможно попадание взрывопожароопасных продуктов в линию подачи инертных сред (пар, азот и другие среды), на последней устанавливается обратный клапан.
IV. СПЕЦИФИЧЕСКИЕ ТРЕБОВАНИЯ БЕЗОПАСНОСТИ К ОТДЕЛЬНЫМ
ТИПОВЫМ ТЕХНОЛОГИЧЕСКИМ ПРОЦЕССАМ
4.1. Перемещение горючих парогазовых сред, жидкостей
и мелкодисперсных твердых продуктов
4.1.1. Предельные значения скоростей, давлений, температур перемещаемых горючих продуктов, основные характеристики технических устройств, технологических (местных распределительных) трубопроводов и используемых для их изготовления конструкционных материалов устанавливаются в проектной документации с учетом взрывопожароопасных характеристик, физико-химических свойств обращающихся веществ на основании исходных данных на проектирование.
К технологическим трубопроводам относятся трубопроводы, предназначенные для перемещения в пределах промышленного предприятия или группы этих предприятий сырья, полуфабрикатов, готового продукта, вспомогательных материалов, включающих в том числе пар, воду, воздух, газы, хладагенты, смазки, эмульсии, и обеспечивающие ведение технологического процесса и эксплуатацию оборудования.
Технологический трубопровод представляет конструкцию (сооружение), состоящую из труб, деталей и элементов трубопровода, включая трубопроводную арматуру, отводы, переходы, тройники, фланцы и элементы крепления, защиты и компенсации трубопровода (опоры, подвески, компенсаторы, болты, шайбы, прокладки), плотно и прочно соединенные между собой.
(п. 4.1.1 в ред.
Приказа Ростехнадзора от 26.11.2015 N 480)
4.1.2. Для насосов и компрессоров (группы насосов и компрессоров), перемещающих горючие продукты, должны предусматриваться их дистанционное отключение и установка на линиях всасывания и нагнетания запорных или отсекающих устройств.
(в ред.
Приказа Ростехнадзора от 26.11.2015 N 480)
Тип арматуры и место ее установки на линиях всасывания и нагнетания, способ ее отключения, в том числе дистанционный, обосновываются в проектной документации (документации) в каждом конкретном случае с учетом диаметра и протяженности трубопровода и характеристики транспортируемой среды.
(в ред.
Приказа Ростехнадзора от 26.11.2015 N 480)
4.1.3. При перемещении горючих газов и паров по трубопроводам предусматриваются меры, исключающие конденсацию перемещаемых сред или обеспечивающие надежное и безопасное удаление жидкости из транспортной системы, а также кристаллизацию горючих продуктов в трубопроводах и аппаратах.
4.1.4. Для разогрева (плавления) закристаллизовавшегося продукта запрещается применение открытого огня. Перед разогревом обязательно предварительное надежное отключение обогреваемого участка от источника (источников) давления и смежных, связанных с ним технологически участков систем транспорта (трубопроводов, аппаратов), а также принятие других мер, исключающих возможность динамического (гидравлического) воздействия разогреваемой среды на смежные объекты (трубопроводы, аппаратуру) и их разрушение.
4.1.5. Компримирование и перемещение горючих газов должны производиться центробежными, поршневыми или винтовыми компрессорами в соответствии с проектной документацией и требованиями технической документации организации-изготовителя.
(п. 4.1.5 в ред.
Приказа Ростехнадзора от 26.11.2015 N 480)
4.1.6. Выбор конструкции и конструкционных материалов, уплотнительных устройств для насосов и компрессоров осуществляется в зависимости от свойств перемещаемой среды и требований действующих нормативных правовых актов.
Уплотнительные устройства для насосов и компрессоров должны быть изготовлены так, чтобы максимально снизить возможность образования взрывоопасной среды за счет пропуска горючих веществ через уплотнительные устройства до уровня, обеспечивающего безопасную эксплуатацию оборудования.
(в ред.
Приказа Ростехнадзора от 26.11.2015 N 480)
4.1.7. Для насосов и компрессоров определяются способы и средства контроля герметичности уплотняющих устройств и давления в них затворной жидкости.
Герметичность уплотнительных устройств обеспечивается путем контроля уровня НКПР в воздухе рабочей зоны и созданием системы аварийной вентиляции, срабатывающей от сигналов датчиков загазованности.
(в ред.
Приказа Ростехнадзора от 26.11.2015 N 480)
4.1.8. В целях обеспечения безопасной эксплуатации компрессора на всасывающей линии компрессора устанавливается сепаратор для отделения жидкой фазы из перемещаемой газовой среды.
Сепаратор оснащается приборами контроля уровня, сигнализацией по максимальному уровню и средствами автоматизации, обеспечивающими удаление жидкости из него при достижении регламентированного уровня, блокировками отключения компрессора при превышении предельно допустимого значения уровня.
4.1.9. Всасывающие линии компрессоров должны находиться под избыточным давлением. В обоснованных случаях при работе этих линий под разрежением необходимо осуществлять контроль за содержанием кислорода в горючем газе; места размещения пробоотборников и способы контроля определяются проектной организацией; предусматриваются блокировки, обеспечивающие отключение привода компрессора или подачу инертного газа в эти линии в случае повышения содержания кислорода в горючем газе выше предельно допустимого значения.
4.1.10. Для систем транспортирования горючих веществ, где возможны отложения на внутренних поверхностях трубопроводов и аппаратов продуктов осмоления, полимеризации, поликонденсации, предусматриваются эффективные и безопасные методы и средства очистки от этих отложений, а также устанавливается периодичность проведения этой операции.
4.1.11. В трубопроводах систем перемещения мелкодисперсных твердых горючих веществ пневмотранспортом (перемещение мелкодисперсных твердых веществ в потоке газа) или самотеком (под действием гравитации), а также в линиях перемещения эмульсий и суспензий, содержащих горючие вещества, предусматриваются способы контроля за движением перемещаемого вещества и разрабатываются меры, исключающие забивку трубопроводов.
4.1.12. Насосы, применяемые для нагнетания сжиженных горючих газов, легковоспламеняющихся и горючих жидкостей, должны оснащаться:
блокировками, исключающими пуск или прекращающими работу насоса при отсутствии перемещаемой жидкости в его корпусе или отклонениях ее уровней в приемной и расходной емкостях от предельно допустимых значений;
средствами предупредительной сигнализации при достижении опасных значений параметров в приемных и расходных емкостях.
4.1.13. Для погружных насосов предусматриваются дополнительные средства блокирования, исключающие их работу при токовой перегрузке электродвигателя, а также их пуск и работу при прекращении подачи инертного газа в аппараты, в которых эти насосы установлены, если по условиям эксплуатации насосов подача инертного газа необходима.
4.1.14. Система транспорта СГГ, ЛВЖ и ГЖ посредством насосов должна проектироваться, изготавливаться и эксплуатироваться с учетом анализа эксплуатационных отказов для того, чтобы предотвратить возможность возникновения аварийных режимов.
(в ред.
Приказа Ростехнадзора от 26.11.2015 N 480)
Для исключения опасных отклонений технологического процесса, вызываемых остановкой насоса (насосов), разрабатываются меры по повышению надежности систем транспорта, в том числе путем установки резервных насосов или устройства систем подачи другими способами, например, методом передавливания.
4.1.15. В системах транспорта жидких продуктов, в которых возможно образование локальных объемов парогазовых смесей, в целях предотвращения возможности возникновения аварийных режимов предусматриваются устройства для удаления скопившихся газов и паров в закрытые системы.
4.1.16. Перемещение СГГ, ЛВЖ и ГЖ методом передавливания осуществляется с помощью инертных газов; при соответствующем обосновании в проекте передавливание сжиженных газов осуществляется собственной газовой фазой.
4.1.17. Перемещение твердых горючих материалов должно осуществляться способами, исключающими образование взрывоопасных смесей внутри оборудования и коммуникаций.
При осуществлении перемещения мелкодисперсных твердых горючих продуктов пневмотранспортом (с применением воздуха) предусматриваются методы и средства контроля концентрации горючей пыли в потоке воздуха (методом периодического отбора проб пыли, расчетным методом через соотношение измеряемых расходов мелкодисперсного твердого продукта и воздуха), а также меры, прекращающие работу пневмотранспорта при возникновении предельно допустимой концентрации горючей пыли в воздухе.
При использовании инертного газа для перемещения твердых горючих материалов предусматриваются способы и средства контроля за содержанием кислорода в системе, а также меры, прекращающие перемещение при достижении предельно допустимой концентрации кислорода.
4.1.18. При обоснованной необходимости перемещения мелкодисперсных горючих материалов с возможным образованием взрывоопасных смесей разрабатываются и реализуются меры, предотвращающие возникновение источника воспламенения, и меры, предотвращающие распространение пламени в системе.
4.1.19. Системы перемещения мелкодисперсных твердых горючих материалов оснащаются блокировками, прекращающими подачу в них продуктов при достижении верхнего предельного уровня этих материалов в приемных аппаратах или при прекращении процесса выгрузки из них.
4.1.20. Удаление горючей пыли с поверхности не должно производиться с помощью сжатого воздуха или другого сжатого газа, а также иными способами, приводящими к образованию взрывоопасных пылевоздушных смесей выше нижнего концентрационного предела распространения пламени и (или) возникновению концентрации вредных веществ в воздухе рабочей зоны выше предельно допустимой концентрации.
4.2. Процессы разделения материальных сред
4.2.1. Технологические процессы разделения химических продуктов (горючих или их смесей с негорючими) должны проводиться вне области взрываемости (вне интервала концентраций между нижним и верхним концентрационными пределами распространения пламени). При этом предусматриваются меры, предотвращающие образование взрывоопасных смесей на всех стадиях процесса. Степень разделения сред и меры взрывобезопасности определяются при разработке технологического процесса и устанавливаются в технологическом регламенте на производство продукции.
4.2.2. При проектировании процесса разделения горючих паров (газов) и жидкостей предусматриваются, а на стадии эксплуатации применяются средства контроля и регулирования уровня разделения фаз. Необходимость применения средств автоматического контроля уровня разделения фаз определяется на стадиях разработки процесса и проектирования производства.
4.2.3. Емкостная аппаратура разделения горючих и негорючих жидких продуктов должна быть оснащена закрытыми системами дренирования, исключающими поступление в окружающую среду горючих паров.
4.2.4. При наличии в негорючей жидкости, подлежащей сбросу в канализацию, растворенных горючих газов разрабатываются и реализуются меры по их выделению и безопасному удалению. Остаточное содержание растворенных горючих газов в негорючей жидкости должно контролироваться, а периодичность контроля и допустимое содержание газов - регламентироваться.
4.2.5. Системы разделения газожидкостных смесей должны обеспечивать эффективное разделение фаз, предотвращать попадание газовой фазы в жидкость и унос жидкости с парогазовой фазой.
В целях обеспечения высокой эффективности разделения газожидкостных смесей системы оснащаются фазоразделителями.
4.2.6. Оборудование для разделения суспензий должно быть оснащено блокировками, исключающими его пуск, обеспечивающими отключение и прекращение подачи суспензий при недопустимых отклонениях параметров инертной среды.
4.2.7. Разработка и ведение процесса разделения суспензий в центрифугах должны исключать образование взрывоопасных смесей как в самой центрифуге, так и в воздухе рабочей зоны помещения.
(в ред.
Приказа Ростехнадзора от 26.11.2015 N 480)
4.2.8. Для технологических процессов разделения горючих аэрозолей (газ - твердая фаза) в фильтрах (электрофильтрах) и циклонах предусматриваются меры, обеспечивающие взрывобезопасность при их проведении, в том числе автоматический контроль за разрежением в этих аппаратах, а при необходимости - автоматический контроль за содержанием кислорода в исходной аэрозоли или в отходящей газовой фазе, а также меры по исключению возникновения опасных значений напряженности электростатического поля.
4.2.9. Для аппаратов разделения аэрозолей должны предусматриваться надежные и эффективные меры по предотвращению образования отложений твердой фазы на внутренних поверхностях этих аппаратов или их удалению (антиадгезионные покрытия, механические встряхиватели, вибраторы, введение добавок).
Периодичность и безопасные способы проведения операций по удалению отложений (обеспыливанию) регламентируются.
4.3. Массообменные процессы
4.3.1. При разработке и проведении массообменных процессов, в которых при отклонениях технологических параметров от регламентированных значений возможно образование неустойчивых взрывоопасных соединений, для объектов с технологическими блоками I и II категории взрывоопасности должны предусматриваться средства автоматического регулирования этих параметров.
Для объектов с технологическими блоками III категории взрывоопасности предусматривается выполнение операций регулирования в ручном режиме (производственным персоналом) при обеспечении автоматического контроля указанных параметров процесса и сигнализации о превышении их допустимых значений.
4.3.2. В аппаратах, в том числе в ректификационных колоннах, работающих под разрежением, в которых обращаются вещества, способные образовывать с кислородом воздуха взрывоопасные смеси, предусматривается контроль за содержанием кислорода в парогазовой фазе или контроль за регламентированными значениями разрежения.
(в ред.
Приказа Ростехнадзора от 26.11.2015 N 480)
Средства и методы контроля за содержанием кислорода в парогазовой фазе определяются разработчиком проекта.
При падении разрежения в системе ниже регламентированных значений следует предусматривать автоматическую подачу азота в систему и впоследствии аварийную остановку технологического процесса по заданной программе, предусмотренной в системе ПАЗ и отраженной в технологическом регламенте на производство продукции.
(в ред.
Приказа Ростехнадзора от 26.11.2015 N 480)
4.3.3. Колонны ректификации горючих жидкостей должны быть оснащены средствами контроля и автоматического регулирования уровня и температуры жидкости в кубовой части, температуры поступающих на разделение продукта и флегмы, а также средствами сигнализации об опасных отклонениях значений параметров, в том числе перепада давления между нижней и верхней частями колонны, определяющих взрывобезопасность процесса.
4.3.4. В тех случаях, когда прекращение поступления флегмы в колонну ректификации может привести к опасным отклонениям параметров процесса, предусматриваются меры, обеспечивающие непрерывность подачи флегмы.
4.3.5. При проведении процессов адсорбции и десорбции предусматриваются меры по исключению самовозгорания поглотителя, а также по оснащению адсорберов средствами автоматического контроля за очагами самовозгорания и устройствами для их тушения.
4.4.1. Методы и режимы смешивания горючих продуктов, конструкция оборудования и перемешивающих устройств должны обеспечивать эффективное перемешивание этих продуктов и исключать возможность образования застойных зон.
4.4.2. Для непрерывных процессов смешивания веществ, взаимодействие которых может привести к развитию неуправляемых экзотермических реакций, определяются безопасные объемные скорости дозирования этих веществ, разрабатываются эффективные методы отвода тепла, предусматриваются средства автоматического контроля, регулирования процессов, противоаварийной защиты и сигнализации.
В периодических процессах смешивания при возможности развития самоускоряющихся экзотермических реакций для исключения их неуправляемого течения регламентируются последовательность и допустимые количества загружаемых в аппаратуру веществ, скорость загрузки (поступления) реагентов.
4.4.3. В технологических процессах смешивания горючих продуктов, а также горючих продуктов с окислителями предусматривается автоматическое регулирование соотношения компонентов перед смесителями, а для парогазовых сред - дополнительно регулирование давления.
4.4.4. Технологические аппараты для осуществления процессов смешивания горючих парогазовых сред с окислителем должны быть оснащены средствами контроля содержания окислителя в материальных потоках на выходе из смесителя или других параметров технологического процесса, определяющих соотношение компонентов в системе, а также средствами противоаварийной защиты, прекращающими поступление компонентов на смешивание при отклонении концентраций окислителя от регламентированных значений.
4.4.5. В технологических блоках I категории взрывоопасности контроль состава смеси и регулирование соотношения горючих веществ с окислителем, а также содержания окислителя в материальных потоках после смешивания должны осуществляться автоматически.
4.4.6. Подводящие к смесителям коммуникации должны проектироваться с целью обеспечения максимально возможного уровня эксплуатационной безопасности в отношении риска взрыва и должны быть оснащены обратными клапанами или другими устройствами, исключающими (при отклонениях от регламентированных параметров процесса) поступление обратным ходом в эти коммуникации подаваемых на смешивание горючих веществ, окислителей или смесей.
4.4.7. Измельчение, смешивание измельченных твердых горючих продуктов для исключения образования в системе взрывоопасных смесей должно осуществляться в среде инертного газа.
При проектировании оборудования для измельчения и смешивания измельченных твердых горючих веществ должен быть обеспечен максимально возможный уровень эксплуатационной безопасности в отношении риска взрыва, предусмотрены средства подачи инертного газа, средства контроля за давлением подаваемого инертного газа, сигнализация об отклонении его давления от регламентированных значений и автоматические блокировки, не допускающие пуск в работу оборудования без предварительной подачи инертного газа или обеспечивающие остановку этого оборудования при прекращении поступления в него инертного газа.
4.5. Теплообменные процессы
4.5.1. Организация теплообмена, выбор теплоносителя (хладагента) и его параметров осуществляются с учетом физико-химических свойств нагреваемого (охлаждаемого) продукта в целях обеспечения необходимой теплопередачи, исключения возможности его перегрева и разложения.
4.5.2. Теплообменные процессы и теплообменное оборудование должны проектироваться и выбираться с учетом анализа возможных рисков образования взрывоопасных веществ вследствие взаимного проникновения и взаимодействия теплоносителя с технологической средой для того, чтобы предотвратить возможность возникновения аварийных ситуаций.
4.5.3. В теплообменном процессе не допускается применение теплоносителей, образующих при химическом взаимодействии с технологической средой взрывоопасные вещества.
В случае осуществления такого теплообменного процесса выбирается процесс с передачей тепла через стенку и предусматриваются методы и средства контроля и сигнализации о взаимном проникновении теплоносителя и технологического продукта, а также средства противоаварийной защиты, необходимые для безопасного проведения процесса.
4.5.4. В том случае, когда снижение уровня нагреваемой горючей жидкости в аппаратуре и оголение поверхности теплообмена могут привести к перегреву, высушиванию и разложению горючего продукта, развитию неуправляемых процессов, предусматриваются средства контроля и регулирования процесса, а также блокировки, прекращающие подачу греющего агента при понижении уровня горючего нагреваемого продукта ниже допустимого значения.
4.5.5. В поверхностных теплообменниках давление негорючих теплоносителей (хладагентов) должно превышать давление нагреваемых (охлаждаемых) горючих веществ. В случаях, когда давление негорючих теплоносителей равно или меньше давления нагреваемых (охлаждаемых) горючих веществ, следует предусматривать контроль за содержанием горючих веществ в негорючем теплоносителе.
4.5.6. В теплообменных процессах, в том числе и реакционных, в которых при отклонениях технологических параметров от регламентированных возможно развитие неуправляемых, самоускоряющихся экзотермических реакций, предусматриваются средства, предотвращающие их развитие.
4.5.7. В теплообменных процессах, при ведении которых возможны кристаллизация продукта или образование кристаллогидратов, предусматривается ввод реагентов, предотвращающих образование этих продуктов, применяются и другие меры, обеспечивающие непрерывность, надежность проведения технологических процессов и их взрывобезопасность.
4.5.8. При организации теплообменных процессов с огневым обогревом необходимо предусматривать меры и средства, исключающие возможность образования взрывоопасных смесей в нагреваемых элементах (змеевиках), топочном пространстве и рабочей зоне печи.
4.5.8.1. Нагревательные трубчатые печи должны быть оборудованы:
основными и дежурными (пилотными) горелками, оснащенными запальными устройствами, индивидуальной системой топливоснабжения. Дежурные горелки могут быть установлены в одном корпусе с основными горелками, если это предусмотрено конструкцией горелки (комбинированные блочные горелки);
сигнализаторами погасания пламени, надежно регистрирующими наличие пламени в форсунке, или комбинированными блочными горелками с запальными устройствами, обеспечивающими постоянное горение форсунки в автоматическом режиме. Количество дежурных горелок и сигнализаторов погасания пламени, их место установки обосновываются в проектной документации;
предохранительными запорными клапанами (ПЗК) или другими автоматическими запорными устройствами, установленными на трубопроводах газообразного топлива к основным и дежурным горелкам дополнительно к общему отсекающему устройству на печь, срабатывающими при снижении давления газа ниже допустимого или при аварийной остановке печи.
Включение в работу указанных предохранительных устройств осуществляется только по месту их установки после выполнения всех подготовительных регламентированных операций по подготовке к пуску в работу (розжигу) печи (продувка топочного пространства печи паром или инертным газом, линий подачи газообразного топлива - инертным газом со сбросом на свечу).
Порядок пуска в работу (розжиг) печей, в том числе и после аварийной остановки, устанавливается в технологическом регламенте на производство продукции и инструкциях по пуску.
4.5.8.2. Противоаварийная автоматическая защита топочного пространства нагревательных печей обеспечивается:
системами регулирования заданного соотношения топлива, воздуха и водяного пара;
блокировками, прекращающими поступление газообразного топлива и воздуха при снижении их давления ниже установленных параметров (автономно), а также при прекращении электро- (пневмо-) снабжения контрольно-измерительных приборов и автоматики (далее - КИПиА);
средствами сигнализации о прекращении поступления топлива, а также воздуха при его принудительной подаче в топочное пространство;
средствами контроля за уровнем тяги и автоматического прекращения подачи топливного газа в зону горения при остановке дымососа или недопустимом снижении разрежения в печи, а при компоновке печных агрегатов с котлами-утилизаторами - системами по переводу на работу агрегатов без дымососов;
средствами автоматической подачи водяного пара или инертного газа в топочное пространство и в змеевики при прогаре труб, характеризующимися:
падением давления нагреваемого продукта на выходе из печи ниже регламентированного значения;
повышением температуры над перевальной стенкой;
изменением содержания кислорода в дымовых газах на выходе из печи относительно регламентированного.
Параметры срабатывания блокировки по аварийному включению подачи пара или инертного газа в змеевик определяются в проектной документации. Система противоаварийной автоматической защиты должна быть снабжена противоаварийной сигнализацией параметров и сигнализацией срабатывания исполнительных органов.
При осуществлении каталитических процессов, применяемых в нефтеперерабатывающих и нефтехимических производствах, подача пара в змеевики печей не допускается.
Технические решения по противоаварийной автоматической защите топочного пространства и змеевиков при прогаре труб нагревательных печей обосновываются в проектной документации.
4.5.8.3. Противоаварийная автоматическая защита нагреваемых элементов (змеевиков) нагревательных печей обеспечивается:
аварийным освобождением змеевиков печей от нагреваемого жидкого продукта при повреждении труб или прекращении его циркуляции;
блокировками по отключению подачи топлива к дежурным и основным горелкам при прекращении подачи сырья, превышении предельно допустимой температуры сырья на выходе из печи, срабатыванием прибора погасания пламени;
средствами автоматического отключения подачи сырья и топлива в случаях аварий в системах змеевиков;
средствами сигнализации о падении давления в системах подачи сырья.
4.5.8.4. Для изоляции печей с открытым огневым процессом от взрывоопасной среды, образующейся при авариях на наружных установках или в зданиях, печи должны быть оборудованы паровой завесой или завесой в виде струйной подачи инертных газов, включающейся автоматически или дистанционно и обеспечивающей предотвращение контакта взрывоопасной среды с огневым пространством печи.
При включении завесы должна срабатывать сигнализация по месту и на щите оператора.
(п. 4.5.8 в ред.
Приказа Ростехнадзора от 26.11.2015 N 480)
4.5.9. Топливный газ для нагревательных печей должен соответствовать регламентированным требованиям по содержанию в нем жидкой фазы, влаги и механических примесей. Жидкое топливо для обеспечения необходимой вязкости и отделения от механических примесей перед подачей в форсунку должно предварительно пройти подогреватель и фильтры.
(п. 4.5.9 в ред.
Приказа Ростехнадзора от 26.11.2015 N 480)
4.5.10. При организации теплообменных процессов с применением высокотемпературных органических теплоносителей (далее - ВОТ) предусматриваются системы удаления летучих продуктов, образующихся в результате частичного их разложения.
При ведении процесса вблизи верхнего допустимого предела применения ВОТ должен устанавливаться контроль за изменением состава теплоносителя; допустимые значения показателей состава ВОТ устанавливаются в технологическом регламенте на производство продукции.
4.5.11. Сушильный агент и режимы сушки выбираются с учетом взрывопожароопасных свойств высушиваемого материала, теплоносителя и возможности снижения взрывоопасности блока.
4.5.11.1. При проведении процесса сушки в атмосфере инертного газа необходимо предусматривать автоматический контроль содержания кислорода в инертном газе на входе и (или) выходе из сушилки (в зависимости от особенностей процесса).
На случай возможного превышения допустимой концентрации кислорода предусматривается автоматическая блокировка по остановке процесса сушки и разрабатываются другие меры, исключающие возможность образования взрывоопасных смесей в аппаратуре.
4.5.11.2. Сушка горючих материалов, способных образовывать взрывоопасные смеси с воздухом, должна осуществляться в атмосфере инертного газа.
При обоснованном техническом решении проведения процесса сушки в газовоздушной среде в сушильных агрегатах предусматриваются меры, исключающие поступление взрывоопасной смеси из сушилки в нагревательное устройство обратным ходом, и меры взрывопредупреждения процесса и взрывозащиты оборудования:
оснащение устройствами, исключающими искрообразование фрикционного (удар, трение) и электрического происхождения;
поддержание режима сушки, исключающего местные перегревы, образование застойных зон, увеличение времени нахождения высушиваемого материала в области высокой температуры и отложение продукта на стенках сушильных камер;
оснащение распылительных сушилок средствами автоматического отключения подачи высушиваемого материала и сушильного агента при прекращении поступления одного из них;
оснащение сушильных агрегатов средствами автоматического регулирования температуры высушиваемого материала и сушильного агента, а также блокировками, исключающими возможность повышения температуры выше допустимых значений (отключение подачи сушильного агента, включение подачи хладагента), в целях предупреждения термодеструкции и (или) загорания горючих продуктов;
осуществление подачи хладагента (холодного газа, воды) автоматически при достижении температуры высушиваемого материала выше допустимых значений.
4.5.12. При проведении процессов сушки горючих веществ под вакуумом предусматривается подача в рабочее пространство инертного газа (продувка инертным газом) перед пуском сушилки в работу, а также при ее остановке. Продолжительность подачи инертного газа определяется с учетом конкретных условий проведения технологического процесса и устанавливается в технологическом регламенте на производство продукции. Кроме того, сушильные агрегаты оснащаются системами автоматизации, исключающими возможность включения их обогрева при отсутствии или снижении вакуума в рабочем пространстве ниже допустимого.
4.5.13. Сушильные агрегаты для сушки горючих веществ оснащаются средствами пожаротушения. Способы пожаротушения должны исключать пылеобразование, выброс горючих продуктов в окружающую среду и образование взрывоопасных смесей как в аппаратуре, так и в рабочей зоне установки.
4.5.14. Сушильные установки, имеющие непосредственный контакт высушиваемого продукта с сушильным агентом, должны оснащаться устройствами очистки отработанного сушильного агента от пыли высушиваемого продукта и средствами контроля очистки. Способы очистки и периодичность контроля устанавливаются в инструкции по эксплуатации сушильных установок.
4.6. Химические реакционные процессы
4.6.1. Технологические системы, совмещающие несколько процессов (гидродинамические, тепломассообменные, реакционные), оснащаются приборами контроля регламентированных параметров. Средства управления, регулирования и противоаварийной защиты должны обеспечивать стабильность и взрывобезопасность процесса.
4.6.2. Технологическая аппаратура реакционных процессов для блоков любых категорий взрывоопасности оснащается средствами автоматического контроля, регулирования и защитными блокировками одного или группы параметров, определяющих взрывоопасность процесса (количество и соотношение поступающих исходных веществ, давление и температура среды, количество, расход и параметры теплоносителя). При этом технологическое оборудование, входящее в состав установки с технологическими блоками I категории взрывоопасности, оснащается не менее чем двумя датчиками на каждый опасный параметр (на зависимые параметры по одному датчику на каждый), средствами регулирования и противоаварийной автоматической защиты, а для обеспечения максимально возможного уровня эксплуатационной безопасности в отношении риска взрыва - указанными средствами, дублирующими системами управления и защиты.
(в ред.
Приказа Ростехнадзора от 26.11.2015 N 480)
4.6.3. Срабатывание автоматических систем противоаварийной защиты должно осуществляться по заданным программам (алгоритмам). При проектировании программного обеспечения должны быть учтены и максимально снижены риски, связанные с ошибками в программе (в алгоритме срабатывания).
4.6.4. В системах управления реакционными процессами в технологических блоках, имеющих

, разрешается использование средств ручного регулирования при условии автоматического контроля опасных параметров и сигнализации, срабатывающей при выходе их за допустимые значения.
4.6.5. При организации и осуществлении реакционных процессов, в которых возможно образование промежуточных перекисных соединений, побочных взрывоопасных продуктов осмоления и уплотнения (полимеризации, поликонденсации) и других нестабильных веществ с вероятным их отложением в аппаратуре и трубопроводах, предусматриваются и осуществляются:
контроль за содержанием в поступающем сырье примесей, способствующих образованию взрывоопасных веществ, а также за наличием в промежуточных продуктах нестабильных соединений и обеспечением заданного режима;
ввод ингибиторов, исключающих образование в аппаратуре опасных концентраций нестабильных веществ;
выполнение особых требований, предъявляемых к качеству применяемых конструкционных материалов и чистоте обработки поверхностей аппаратов, трубопроводов, арматуры, датчиков приборов, контактирующих с обращающимися в процессе продуктами;
непрерывная циркуляция продуктов, сырья в емкостной аппаратуре для предотвращения или снижения возможности отложения твердых взрывоопасных нестабильных продуктов;
вывод обогащенной опасными компонентами реакционной массы из аппаратуры;
обеспечение установленных режимов и времени хранения продуктов, способных полимеризоваться или осмоляться, включая сроки их транспортирования.
Выбор необходимых и достаточных условий организации процесса определяется разработчиком процесса.
Способы и периодичность контроля за содержанием примесей в сырье, нестабильных соединений в реакционной массе промежуточных и конечных продуктов, порядок вывода реакционной массы, содержащей опасные побочные вещества, режимы и время хранения продуктов устанавливаются разработчиком процесса, отражаются в проектной документации и технологическом регламенте на производство продукции.
4.6.6. При проведении реакционных процессов, в которых возможны отложения твердых продуктов на внутренних поверхностях оборудования и трубопроводов, их забивки, в том числе и устройств аварийного слива из технологических систем, предусматриваются и осуществляются контроль за наличием этих отложений и меры по их безопасному удалению, а при невозможности обеспечения безопасной эксплуатации указанными средствами предусматривается резервное оборудование.
4.6.7. При применении катализаторов, в том числе металлоорганических, которые при взаимодействии с кислородом воздуха и (или) водой обладают свойствами к самовозгоранию и (или) к взрывному разложению, необходимо предусматривать меры, исключающие возможность подачи в систему сырья, материалов и инертного газа, содержащих кислород и (или) влагу в количествах, превышающих предельно допустимые значения. Допустимые концентрации кислорода и влаги, способы и периодичность контроля за их содержанием в исходных продуктах определяются с учетом физико-химических свойств применяемых катализаторов, категории взрывоопасности технологического блока и устанавливаются в технологическом регламенте на производство продукции.
4.6.8. Дозировка компонентов в реакционных процессах должна контролироваться автоматически и осуществляться в последовательности, исключающей возможность образования внутри аппаратуры взрывоопасных смесей или неуправляемого хода реакций, что определяется разработчиком процесса и устанавливается в технологическом регламенте на производство продукции.
4.6.9. Для исключения возможности перегрева участвующих в процессе веществ, их самовоспламенения или термического разложения с образованием взрывопожароопасных продуктов, в том числе в результате контакта с нагретыми элементами аппаратуры, определяются и регламентируются температурные режимы, оптимальные скорости перемещения продуктов, предельно допустимое время пребывания их в зоне высокой температуры.
4.6.10. В целях исключения опасности возникновения и развития аварий, в том числе вследствие возникновения неуправляемого развития процесса, должны быть предусмотрены меры по стабилизации реакционных процессов, аварийному освобождению аппаратов и другие меры и способы устранения возможных аварийных ситуаций. Меры и способы устранения возможных аварийных ситуаций, указанные в технологическом регламенте на производство продукции, должны соответствовать и сочетаться с действиями по локализации и ликвидации аварий, предусмотренными ПМЛА.
(в ред.
Приказа Ростехнадзора от 26.11.2015 N 480)
4.6.11. Использование остаточного давления среды в реакторе периодического действия для передавливания реакционной массы в другой аппарат осуществляется только при обосновании данного решения в проектной документации, с учетом анализа эксплуатационных отказов для того, чтобы предотвратить возможность возникновения аварийных ситуаций.
4.6.12. Аппаратура для ведения жидкофазных процессов должна быть оснащена системами контроля и регулирования в ней уровня жидкости и (или) средствами автоматического отключения подачи этой жидкости в аппаратуру при превышении заданного уровня или другими средствами, исключающими возможность перелива.
4.6.13. Реакционные аппараты взрывоопасных технологических процессов с перемешивающими устройствами оснащаются средствами автоматического контроля за надежной работой и герметичностью уплотнений валов мешалок, а также блокировками, предотвращающими возможность загрузки в аппаратуру продуктов при неработающих перемешивающих устройствах в тех случаях, когда такая загрузка не предусмотрена проектом и технической документацией на техническое устройство организации-изготовителя.
4.6.14. Реакционная аппаратура, в которой отвод избыточного тепла реакции при теплопередаче через стенку осуществляется за счет испарения охлаждающей жидкости (хладагента), должна быть оснащена средствами автоматического контроля, регулирования и сигнализации уровня хладагента в теплообменных элементах.
4.6.15. В системах охлаждения реакционной аппаратуры сжиженными газами, где температура хладагента (температура кипения сжиженного газа) обеспечивается поддержанием равновесного давления, значение давления сжиженного газа должно поддерживаться (регулироваться) автоматически, должна исключаться возможность повышения давления выше допустимого при внезапном отключении холодильных агрегатов в системе охлаждения (при внезапном отключении системы охлаждения), а также должны быть предусмотрены меры, автоматически обеспечивающие освобождение (слив) хладагента из теплообменных элементов реакционной аппаратуры.
4.6.16. Разработка и проведение реакционных процессов при получении или применении продуктов, характеризующихся высокой взрывоопасностью (ацетилена, этилена при высоких параметрах, пероксидных, металлоорганических соединений), склонных к термическому разложению или самопроизвольной спонтанной полимеризации, саморазогреву, а также способных самовоспламеняться или взрываться при взаимодействии с водой, кислородом воздуха или друг с другом, должны осуществляться с учетом этих свойств и предусматривать дополнительные специальные меры безопасности.
Дополнительные специальные меры безопасности приводятся в исходных данных на проектирование, в проектной документации и технологическом регламенте на производство продукции (устанавливаются разработчиком процесса и проекта).
4.7. Процессы хранения и слива-налива сжиженных горючих
газов, легковоспламеняющихся и горючих жидкостей
4.7.1. Устройство и размещение складов, а также сливоналивных эстакад, резервуаров (сосудов) для хранения и перекачки СГГ, ЛВЖ и ГЖ должно соответствовать требованиям законодательства о градостроительной деятельности, проектной документации и Правил.
(п. 4.7.1 в ред.
Приказа Ростехнадзора от 26.11.2015 N 480)
4.7.2. Порядок выполнения технологических операций по хранению и перемещению горючих жидких веществ (СГГ, ЛВЖ и ГЖ), заполнению и опорожнению передвижных и стационарных резервуаров-хранилищ, выбор параметров процесса, определяющих взрывобезопасность этих операций (давление, скорости перемещения, предельно допустимые максимальные и минимальные уровни, способы снятия вакуума), должны осуществляться с учетом физико-химических свойств горючих веществ и регламентироваться.
4.7.3. Резервуары (сосуды) для хранения и сливоналивные эстакады СГГ, ЛВЖ и ГЖ должны быть оборудованы средствами контроля и управления опасными параметрами процесса, указанными в
подпункте 4.7.2 настоящих Правил.
(в ред.
Приказа Ростехнадзора от 26.11.2015 N 480)
4.7.4. При хранении СГГ, ЛВЖ и ГЖ и проведении сливоналивных операций стационарные и передвижные резервуары (сосуды) и сливоналивные устройства следует использовать только для тех продуктов, для которых они предназначены. При этом, в целях предотвращения недопустимого изменения физико-химических характеристик веществ, в том числе отражающих их пожаро-, взрывоопасные и токсические свойства, разрабатываются и осуществляются необходимые меры, исключающие возможность случайного смешивания продуктов на всех стадиях выполнения операций слива-налива.
При обосновании в технической документации (технологических регламентах и инструкциях) разрешается заполнение порожних специально подготовленных емкостей другими продуктами, сходными по физико-химическим характеристикам и показателям хранения с теми жидкими горючими продуктами, для которых они предназначены. В этих случаях должна исключаться возможность превышения допустимых для емкости давлений. Порядок подготовки емкостей к заполнению (освобождение от остатков ранее находившихся в них продуктов, промывка, очистка, обезвреживание емкостей) и проведение работ по переключению (подсоединению) трубопроводов, арматуры указываются в технической документации.
4.7.5. При хранении и проведении сливоналивных операций с веществами, способными в условиях хранения к образованию побочных химических нестабильных соединений, накоплению примесей, повышающих взрывоопасность основного продукта в проектной документации, технологических регламентах на производство продукции и инструкциях, должны предусматриваться меры, исключающие возможность или уменьшающие скорость образования и накопления примесей и побочных химических соединений, а также контроль за их содержанием в трубопроводах, стационарных, передвижных резервуарах и другом оборудовании и способы своевременного их удаления.
(в ред.
Приказа Ростехнадзора от 26.11.2015 N 480)
4.7.6. При подготовке к заполнению СГГ и ЛВЖ стационарных и (или) передвижных резервуаров после монтажа, ремонта, очистки и выполнения аналогичных работ должны предусматриваться меры, исключающие возможность взрыва в этом оборудовании. Порядок подготовки к наливу, контроль за концентрацией кислорода в оборудовании, а также за другими параметрами, определяющими взрывоопасность, указываются в технической документации.
4.7.7. Вместимость резервуаров (сосудов) СГГ, хранящихся под давлением, устанавливается с учетом энергетических показателей взрывоопасности и конкретных условий, в том числе с учетом опасности возникновения поражающих факторов при возможной аварии с разрушением резервуара и образованием "огненного шара".
(в ред.
Приказа Ростехнадзора от 26.11.2015 N 480)
4.7.8. Утратил силу. -
Приказ Ростехнадзора от 26.11.2015 N 480.
4.7.9. Конструкция резервуаров с плавающими крышами (понтонами), порядок проведения операций по их наполнению, освобождению и система отбора продукта должны исключать местные перегревы, искрообразование за счет трения перемещаемых деталей и их возможных соударений, а при неисправностях крыш (понтонов) предотвращать их разрушение и возможные взрывы в резервуарах.
4.7.10. Цистерны, предназначенные для перевозки по железным дорогам СГГ, ЛВЖ и ГЖ, должны оснащаться арматурой, средствами контроля, сливоналивными, защитными и другими устройствами, с учетом физико-химических свойств перевозимых продуктов и требований безопасности при перевозке опасных грузов железнодорожным транспортом.
4.7.11. Порядок установки (подачи) железнодорожных цистерн под слив-налив горючих продуктов должен обеспечивать безопасность проведения этих операций и соответствовать нормативно-техническим документам. При сливе-наливе железнодорожных цистерн должны предусматриваться и осуществляться меры, предотвращающие возможность самопроизвольного перемещения находящихся под сливом-наливом цистерн, разгерметизации сливоналивных устройств и выброса в атмосферу горючих продуктов, а также исключающие наличие постоянных или случайных источников зажигания (механического, электрического и другого происхождения) в зоне возможной загазованности.
(в ред.
Приказа Ростехнадзора от 26.11.2015 N 480)
4.7.12. Не допускается использовать железнодорожные цистерны с СГГ, ЛВЖ и ГЖ, находящиеся на железнодорожных путях, в качестве стационарных, складских (расходных) емкостей.
4.7.13. Слив из цистерн и налив в них СГГ, ЛВЖ и ГЖ должны осуществляться на сливоналивных эстакадах.
Для каждого вида наливаемого продукта, когда недопустимо его смешивание с другими продуктами, предусматриваются самостоятельные сливоналивные эстакады или отдельные сливные и/или наливные устройства на этих эстакадах.
Не допускается использовать наливные устройства для попеременного налива несовместимых между собой продуктов.
(п. 4.7.13 в ред.
Приказа Ростехнадзора от 26.11.2015 N 480)
4.7.14. На сливоналивных эстакадах должны предусматриваться специально оборудованные места для выполнения операций по аварийному освобождению неисправных цистерн. Меры безопасности при выполнении этих операций должны устанавливаться в проектной документации и инструкциях.
(п. 4.7.14 в ред.
Приказа Ростехнадзора от 26.11.2015 N 480)
4.7.15. Цистерны, резервуары, трубопроводы и другие технические устройства систем слива-налива СГГ, ЛВЖ и ГЖ должны быть надежными, простыми и удобными в эксплуатации. Их устройство должно исключать возможность проливов и не предусмотренного (проектной и технической документацией на данное устройство от организации-изготовителя) поступления горючих паров и газов в атмосферу при проведении сливоналивных операций.
4.7.16. В системах, предназначенных для слива - налива различных жидких веществ, не допускается применение устройств, изготовленных из нестойких к перекачиваемым средам материалов.
(п. 4.7.16 в ред.
Приказа Ростехнадзора от 26.11.2015 N 480)
4.7.17. Сливоналивные эстакады СГГ, ЛВЖ и ГЖ должны быть оборудованы надежными автоматическими устройствами, исключающими перелив цистерн.
(п. 4.7.17 в ред.
Приказа Ростехнадзора от 26.11.2015 N 480)
4.7.18. Сливоналивные эстакады, которые предназначены для проведения операций налива СГГ, ЛВЖ и ГЖ насосами, должны быть оборудованы средствами их дистанционного отключения.
(в ред.
Приказа Ростехнадзора от 26.11.2015 N 480)
Отключающие устройства должны быть расположены в легкодоступных и удобных для эксплуатации и обслуживания местах, которые выбираются с учетом требований по обеспечению безопасности.
4.7.19. На трубопроводах, по которым поступают на эстакаду СГГ, ЛВЖ и ГЖ, должны быть установлены быстродействующие запорные устройства или задвижки с дистанционным управлением для отключения этих трубопроводов на случай возникновения аварии на эстакаде.
Управление этими устройствами должно быть и по месту, и дистанционным (из безопасного места).
4.7.20. Для безопасного проведения операций налива (слива) сжиженных газов и низкокипящих горючих жидкостей (с температурой кипения ниже температуры окружающей среды) в цистерны (из цистерн) должны предусматриваться меры, исключающие возможность парообразования в трубопроводах, кавитации, гидравлических ударов и других явлений, способных привести к механическому разрушению элементов системы слива-налива.
4.7.21. При проектировании сливоналивных эстакад СГГ, ЛВЖ и ГЖ должны предусматриваться, а при проведении сливоналивных операций должны осуществляться меры защиты от атмосферного и статического электричества.
(в ред.
Приказа Ростехнадзора от 26.11.2015 N 480)
4.7.22. На сливоналивных эстакадах следует обеспечивать возможность подключения системы слива-налива к установкам организованного сбора и утилизации парогазовой фазы при необходимости освобождения системы от этих продуктов.
Для исключения образования взрывоопасных смесей в системах трубопроводов и коллекторов слива и налива необходимо предусматривать подвод к ним инертного газа и пара, а также возможность полного и надежного удаления из этих систем горючих веществ.
V. ТРЕБОВАНИЯ БЕЗОПАСНОСТИ К АППАРАТУРНОМУ ОБЕСПЕЧЕНИЮ
ТЕХНОЛОГИЧЕСКИХ ПРОЦЕССОВ
5.1.1. Выбор оборудования должен осуществляться в соответствии с исходными данными на проектирование, требованиями нормативных правовых актов в области промышленной безопасности и настоящих Правил, с учетом категории взрывоопасности технологических блоков.
5.1.2. Для технологического оборудования и трубопроводной арматуры устанавливается назначенный срок службы с учетом конкретных условий эксплуатации. Данные о сроке службы должны указываться организацией-изготовителем в паспортах оборудования и трубопроводной арматуры. Для технологических трубопроводов проектной организацией устанавливается назначенный срок эксплуатации, что должно быть отражено в проектной документации и внесено в паспорт трубопроводов.
Продление срока безопасной эксплуатации технологического оборудования, трубопроводной арматуры и трубопроводов, выработавших назначенный срок службы, осуществляется в порядке, установленном требованиями в области промышленной безопасности.
5.1.3. Для оборудования (аппаратов и трубопроводов), где невозможно исключить образование взрывоопасных сред и возникновение источников энергии, величина которой превышает минимальную энергию зажигания обращающихся в процессе веществ, предусматриваются методы и средства по взрывозащите и локализации пламени, а в обоснованных случаях - повышение механической прочности в расчете на полное давление взрыва.
Эффективность и надежность средств взрывозащиты, локализации пламени и других противоаварийных устройств должны подтверждаться организацией-изготовителем до начала их применения на ОПО испытанием промышленных образцов оборудования на взрывозащищенность.
5.1.4. Обеспечение оборудования противоаварийными устройствами не исключает необходимости разработки мер, направленных на предотвращение образования в нем источников зажигания.
5.1.5. Не допускается применять для изготовления оборудования и трубопроводов материалы, которые при взаимодействии с рабочей средой могут образовывать нестабильные соединения - инициаторы взрыва перерабатываемых продуктов.
5.1.6. Качество изготовления технологического оборудования и трубопроводов к нему должно соответствовать требованиям Технического
регламента Таможенного союза "О безопасности машин и оборудования", принятого решением Комиссии Таможенного союза от 18 октября 2011 года N 823 (Официальный сайт Комиссии Таможенного союза http://www.tsouz.ru/, 21.10.2011).
Устройство аппаратов, работающих под избыточным давлением, должно соответствовать требованиям нормативных правовых актов в области промышленной безопасности и настоящих Правил.
5.1.7. Монтаж технологического оборудования и трубопроводов должен производиться в соответствии с проектной и рабочей документацией, требованиями технических регламентов и других нормативных правовых актов в области промышленной безопасности.
Оборудование и трубопроводы, материалы и комплектующие изделия не могут быть допущены к монтажу при отсутствии документов, подтверждающих качество их изготовления и соответствие требованиям нормативно-технических документов.
5.1.8. В паспортах оборудования, трубопроводной арматуры, приборов контроля и средств автоматики должны указываться показатели надежности, предусмотренные техническими регламентами и другими нормативными документами.
(в ред.
Приказа Ростехнадзора от 26.11.2015 N 480)
5.1.9. На установках с технологическими блоками I категории взрывоопасности сварные соединения технологических трубопроводов I категории, транспортирующих взрывопожароопасные и токсичные или высокотоксичные вещества, подлежат 100-процентному контролю неразрушающими методами (ультразвуковая дефектоскопия, просвечивание проникающим излучением или другие равноценные методы).
Выбор методов неразрушающего контроля и объем контроля других категорий трубопроводов должны определяться проектной документацией и быть достаточными для обеспечения их безопасной эксплуатации.
5.1.10. Технологические системы должны быть герметичными.
В проектной документации обосновывается применение оборудования, в котором в соответствии с технической документацией организации-изготовителя указаны пределы возможных регламентированных утечек горючих веществ (с указанием допустимых величин этих утечек в рабочем режиме). В проектной документации должен быть определен порядок их сбора и отвода.
5.1.11. Для герметизации подвижных соединений технологического оборудования, работающих в контакте с ЛВЖ и СГГ, должны применяться уплотнения торцевого типа.
5.1.12. При необходимости устройства наружной теплоизоляции технологических аппаратов и трубопроводов должны предусматриваться меры защиты от попадания в нее горючих продуктов.
Температура наружных поверхностей оборудования и (или) кожухов теплоизоляционных покрытий не должна превышать температуры самовоспламенения наиболее взрывопожароопасного вещества, а в местах, доступных для обслуживающего персонала, должна быть не более 45 градусов Цельсия внутри помещений и 60 градусов Цельсия - на наружных установках.
5.1.13. Конструкция теплообменных устройств технологического оборудования должна исключать возможность взаимного проникновения теплоносителя и технологической среды.
При проектировании технологического оборудования с теплообменными устройствами должно обеспечиваться соответствие проекта требованиям нормативных технических документов для обеспечения безопасной работы оборудования во взрывоопасных средах.
Порядок испытаний, контроля за состоянием и эксплуатацией теплообменных устройств определяются технической документацией организации-изготовителя.
5.1.14. Для аппаратуры с газофазными процессами и газопроводов, в которых по условиям проведения технологического процесса происходит частичная конденсация паров, должны быть предусмотрены устройства для сбора и удаления жидкой фазы.
При невозможности или отсутствии необходимости установки устройства для сбора и удаления жидкой фазы принятые решения должны быть обоснованы в проектной документации.
5.1.15. Для проведения периодических, установленных регламентом работ по очистке технологического оборудования предусматриваются средства гидравлической, механической или химической чистки, исключающие пребывание людей внутри оборудования.
5.1.16. Аппараты с взрывопожароопасными веществами должны быть оборудованы устройствами для подключения линий воды, пара, инертного газа. При проектировании данного вида оборудования должны быть предусмотрены устройства для продувки аппаратов.
5.1.17. Для взрывопожароопасных технологических систем, оборудование и трубопроводы которых в процессе эксплуатации по роду работы подвергаются вибрации, должны предусматриваться меры и средства по исключению ее воздействия на уплотнительные элементы, а также снижению воздействия на смежные элементы технологической системы и строительные конструкции.
Предельные уровни вибрации для отдельных видов оборудования и его элементов (узлов и деталей), методы и средства контроля этих величин и способы снижения их значений должны соответствовать требованиям нормативных правовых актов в области промышленной безопасности и отражаться в технической документации на оборудование.
5.2. Размещение оборудования
5.2.1. Размещение технологического оборудования, трубопроводной арматуры в производственных зданиях и на открытых площадках должно обеспечивать удобство и безопасность их эксплуатации, возможность проведения ремонтных работ и принятия оперативных мер по предотвращению аварийных ситуаций или локализации аварий.
5.2.2. Размещение технологического оборудования и трубопроводов в помещениях, на наружных установках, а также трубопроводов на эстакадах должно осуществляться с учетом возможности проведения визуального контроля за их состоянием, выполнения работ по обслуживанию, ремонту и замене.
5.2.3. Технологическое оборудование взрывопожароопасных производств не должно размещаться:
над и под вспомогательными помещениями;
под эстакадами технологических трубопроводов с опасными веществами, кроме случаев, когда осуществляются специальные меры безопасности, исключающие попадание опасных веществ на оборудование, установленное под ними;
над площадками открытых насосных и компрессорных установок, кроме случаев применения герметичных насосов или когда осуществляются специальные меры безопасности, исключающие попадание взрывопожароопасных веществ на оборудование, установленное под ними.
(в ред.
Приказа Ростехнадзора от 26.11.2015 N 480)
Специальные меры безопасности должны обосновываться результатами анализа опасностей технологических процессов и количественным анализом риска аварий на ОПО в соответствии с
приложением N 1 к настоящим Правилам.
5.2.4. Оборудование, выведенное из действующей технологической системы, должно быть демонтировано, если оно расположено в одном помещении с технологическими блоками I и (или) II категории взрывоопасности, во всех остальных случаях оно должно быть изолировано от действующих технологических систем.
5.3. Меры антикоррозионной защиты аппаратуры
и трубопроводов
5.3.1. При эксплуатации технологического оборудования и трубопроводов на ОПО химической, нефтехимической и нефтегазоперерабатывающей промышленности, в которых обращаются коррозионно-активные вещества, должны предусматриваться методы их защиты с учетом скорости коррозионного износа применяемых конструкционных материалов.
5.3.2. Технологическое оборудование и трубопроводы, контактирующие с коррозионно-активными веществами, должны изготовляться из коррозионностойких металлических конструкционных материалов.
В обоснованных случаях для защиты оборудования и трубопроводов разрешено применение коррозионностойких неметаллических покрытий (фторопласт, полиэтилен). На установках с технологическими блоками III категории взрывоопасности разрешено использовать оборудование и трубопроводы из коррозионностойких неметаллических, в том числе и композиционных материалов (стекло, фарфор, фторопласт, полиэтилен) при соответствующем обосновании, подтвержденном результатами исследований, и разработке мер безопасности.
5.3.3. Порядок контроля за степенью коррозионного износа оборудования и трубопроводов с использованием неразрушающих методов, способы, периодичность и места проведения контрольных замеров должны определяться в эксплуатационной документации с учетом конкретных условий эксплуатации (для новых производств по результатам специальных исследований) и соответствовать требованиям технического регламента о безопасности оборудования для работы во взрывоопасных средах.
5.4. Применение насосов и компрессоров
на технологических объектах
5.4.1. При выборе насосов (насосные агрегаты) и компрессоров (компрессорные установки) для ОПО химических, нефтехимических и нефтегазоперерабатывающих производств должны учитываться технические требования к безопасности оборудования для работы во взрывоопасных средах и Правил. Насосы и компрессоры, используемые для перемещения горючих, сжатых и СГГ, ЛВЖ и ГЖ, по надежности и конструктивным особенностям выбираются с учетом физико-химических свойств перемещаемых продуктов и регламентированных параметров технологического процесса. При этом количество насосов и компрессоров определяется исходя из условия обеспечения непрерывности технологического процесса, в обоснованных случаях (подтвержденных расчетом обеспечения надежности) предусматривается их резервирование.
(п. 5.4.1 в ред.
Приказа Ростехнадзора от 26.11.2015 N 480)
5.4.2. Порядок срабатывания систем блокировок насосов и компрессоров определяется программой (алгоритмом) срабатывания системы ПАЗ технологической установки.
5.4.3. Запорная арматура, устанавливаемая на нагнетательном и всасывающем трубопроводах насоса или компрессора, должна быть к нему максимально приближена и находиться в зоне, удобной для обслуживания.
На нагнетательном трубопроводе предусматривается установка обратного клапана, если нет другого устройства, предотвращающего перемещение транспортируемых веществ обратным ходом.
5.4.4. Насосы и компрессоры технологических блоков взрывопожароопасных производств, остановка которых при падении напряжения или кратковременном отключении электроэнергии может привести к отклонениям технологических параметров процесса до критических значений и развитию аварий, должны выбираться с учетом возможности их повторного автоматического пуска и оснащаться системами самозапуска электродвигателей. Время срабатывания системы самозапуска должно быть меньше времени выхода параметров технологического процесса за предельно допустимые значения.
5.4.5. Компрессорные установки и насосные агрегаты взрывопожароопасных производств должны проходить испытания и приемку в соответствии с техническими требованиями к безопасности оборудования для работы во взрывоопасных средах, Правил и технической документации организации-изготовителя.
(п. 5.4.5 в ред.
Приказа Ростехнадзора от 26.11.2015 N 480)
5.4.6. Не допускается эксплуатация компрессорных установок и насосных агрегатов при отсутствии или неисправном состоянии средств автоматизации, контроля и системы блокировок, указанных в технической документации организации-изготовителя и предусмотренных конструкцией установки в соответствии с техническими требованиями к безопасности оборудования для работы во взрывоопасных средах и настоящих Правил.
(в ред.
Приказа Ростехнадзора от 26.11.2015 N 480)
5.4.7. Для нагнетания ЛВЖ и ГЖ должны применяться центробежные насосы бессальниковые с двойным торцевым, а в обоснованных случаях - с одинарным торцевым с дополнительным уплотнением. Для сжиженных углеводородных газов должны применяться центробежные герметичные (бессальниковые) насосы или центробежные насосы с двойным торцевым уплотнением типа тандем. В качестве затворной жидкости должны использоваться негорючие и (или) нейтральные к перекачиваемой среде жидкости.
При обосновании в проекте для нагнетания ЛВЖ и ГЖ при малых объемных скоростях подачи, в том числе в системах дозирования, разрешается применение поршневых насосов.
При выборе насосов должны учитываться технические требования к безопасности оборудования для работы во взрывоопасных средах и настоящих Правил, а также требования технических документов организации-изготовителя.
5.4.8. Центробежные насосы с двойным торцевым уплотнением должны оснащаться системами контроля и сигнализации утечки уплотняющей жидкости. При утечке уплотняющей жидкости последовательность операций по остановке насосов, переключению на резерв и необходимость блокировок, входящих в систему ПАЗ, определяется разработчиком проекта.
5.4.9. В установках с технологическими блоками I и II категории взрывоопасности центробежные компрессоры и насосы с торцевыми уплотнениями должны оснащаться системами контроля за состоянием подшипников по температуре с сигнализацией, срабатывающей при достижении предельных значений, и блокировками, входящими в систему ПАЗ, которые должны срабатывать при превышении этих значений. Последовательность операций по остановке компрессоров и насосов и переключению на резерв определяется разработчиком проекта.
Конструкция компрессоров и насосов должна предусматривать установку датчиков контроля температуры подшипников.
За уровнем вибрации должен быть установлен периодический или постоянный приборный контроль.
5.5. Трубопроводы и арматура
5.5.1. Изготовление, монтаж и эксплуатация трубопроводов и арматуры для горючих и взрывоопасных продуктов должны осуществляться с учетом физико-химических свойств и технологических параметров транспортируемых сред, а также технических требований к безопасности оборудования для работы во взрывоопасных средах и настоящих Правил.
5.5.2. Не допускается применять во взрывопожароопасных технологических системах гибкие шланги (резиновые, пластмассовые) в качестве стационарных трубопроводов для транспортирования СГГ, веществ в парогазовом состоянии, ЛВЖ и ГЖ. Для выполнения вспомогательных операций (продувка участков трубопроводов, насосов и оборудования, отвод отдувочных газов и паров, освобождение трубопроводов от остатков СГГ, ЛВЖ, ГЖ) должны использоваться специально для этого предназначенное оборудование и стационарные линии (коллекторы), на которых предусматриваются отводы (патрубки) с запорной арматурой и глухим фланцем, а при необходимости устанавливается обратный клапан. Для соединения оборудования и технологических трубопроводов со стационарными линиями используются съемные участки трубопроводов.
Применение труб из композитных материалов в качестве стационарных трубопроводов устанавливается в исходных данных и обосновывается в проектной документации с учетом физико-химических свойств перемещаемой среды и регламентированных параметров работы трубопровода.
Для проведения операций слива и налива в железнодорожные цистерны и другое нестационарное оборудование должны применяться гибкие шланги в соответствии с проектной документацией. Выбор шлангов осуществляется с учетом свойств транспортируемого продукта и параметров проведения процесса; срок службы шлангов устанавливается организацией-изготовителем и продлению не подлежит.
(п. 5.5.2 в ред.
Приказа Ростехнадзора от 26.11.2015 N 480)
5.5.3. Во взрывопожароопасных технологических системах, в которых при отклонениях от регламентированных параметров возможен детонационный взрыв в трубопроводах, должны приниматься меры по предупреждению детонационных явлений и предотвращению передачи взрыва в аппараты, связанные этими трубопроводами.
5.5.4. Прокладка трубопроводов должна обеспечивать наименьшую протяженность коммуникаций, исключать провисания и образование застойных зон.
5.5.5. При прокладке трубопроводов через строительные конструкции зданий и другие препятствия принимаются меры, исключающие возможность передачи дополнительных нагрузок на трубы.
5.5.6. Трубопроводы не должны иметь фланцевых или других разъемных соединений.
Фланцевые соединения допускаются только в местах установки арматуры или подсоединения трубопроводов к аппаратам, а также на тех участках, где по условиям технологии требуется периодическая разборка для проведения чистки и ремонта трубопроводов.
5.5.7. Фланцевые соединения размещаются в местах, открытых и доступных для визуального наблюдения, обслуживания, разборки, ремонта и монтажа. Не допускается располагать фланцевые соединения трубопроводов с пожаровзрывоопасными, токсичными и едкими веществами над местами, предназначенными для прохода людей, и рабочими площадками.
Материал фланцев, конструкция уплотнения принимаются в соответствии с нормативно-техническими документами с учетом условий эксплуатации. При выборе фланцевых соединений трубопроводов для транспортирования веществ в условиях, не указанных в этих документах, материал фланцев и конструкция уплотнения принимаются по рекомендациям проектных, конструкторских или научно-исследовательских организаций.
Для технологических трубопроводов со взрывоопасными продуктами на объектах, имеющих в своем составе технологические блоки I категории взрывоопасности, не допускается применение фланцевых соединений с гладкой уплотняющей поверхностью, за исключением случаев применения спирально навитых прокладок.
5.5.8. Конструкция уплотнения, материал прокладок и монтаж фланцевых соединений должны обеспечивать необходимую степень герметичности разъемного соединения в течение межремонтного периода эксплуатации технологической системы.
5.5.9. В местах подсоединения трубопроводов с горючими продуктами к коллектору предусматривается установка арматуры для их периодического отключения.
При подключении к коллектору трубопроводов технологических блоков I категории взрывоопасности в обоснованных случаях для повышения надежности предусматривается установка дублирующих отключающих устройств.
5.5.10. Утратил силу. -
Приказ Ростехнадзора от 26.11.2015 N 480.
5.5.11. В технологических системах с блоками I категории взрывоопасности должна применяться стальная запорная и запорно-регулирующая арматура.
В технологических системах с блоками II и III категории взрывоопасности должна применяться стальная арматура, стойкая к коррозионному воздействию рабочей среды в условиях эксплуатации и отвечающая требованиям технического регламента о безопасности оборудования для работы во взрывоопасных средах и настоящих Правил.
При обосновании в проектной документации в технологических блоках, имеющих

, разрешается применение арматуры из чугуна и неметаллических конструкционных материалов (пластических масс, стекла) при соответствующем обосновании (по результатам специальных исследований), разработке дополнительных мер безопасности в условиях эксплуатации. Меры безопасности разрабатываются с учетом анализа эксплуатационных отказов для того, чтобы предотвратить возможность возникновения аварии.
5.5.12. На трубопроводах для транспортирования взрывопожароопасных продуктов устанавливается арматура в соответствии с проектной документацией.
Класс герметичности затвора определяется в проектной документации исходя из физико-химических свойств перемещаемых продуктов и регламентированных параметров технологического процесса.
(п. 5.5.12 в ред.
Приказа Ростехнадзора от 26.11.2015 N 480)
5.5.13. На трубопроводах технологических блоков I категории взрывоопасности с давлением среды P > 2,5 МПа, температурой, равной температуре кипения среды, при регламентированном давлении для повышения надежности и плотности соединений следует применять арматуру под приварку.
5.6. Противоаварийные устройства
5.6.1. В технологических системах для предупреждения аварий, предотвращения их развития необходимо применять противоаварийные устройства: запорную и запорно-регулирующую арматуру, клапаны, отсекающие и другие отключающие устройства, предохранительные устройства от превышения давления, средства подавления и локализации пламени, автоматические системы подавления взрыва.
5.6.2. Выбор методов и средств системы защиты, разработка последовательности срабатывания элементов защиты, локализация и предотвращение развития аварий должны определяться в проектной документации по результатам анализа опасностей технологического процесса и оценки риска взрыва на основе анализа схем (сценариев) возможного развития этих аварий с учетом категории взрывоопасности технологических блоков, входящих в объект, и отражаться в технологическом регламенте на производство продукции.
При проектировании управляемого программным обеспечением оборудования должны учитываться риски, связанные с ошибками в программе.
5.6.3. В технологических блоках всех категорий взрывоопасности и во всех системах регулирования соотношения горючих сред с окислителями для аварийного отключения в качестве отсекающих устройств должна применяться запорно-регулирующая арматура, соответствующая требованиям по быстродействию и надежности.
5.6.4. Технические устройства (в том числе запорная арматура, клапаны, отсекатели), предназначенные для аварийного отключения блока, должны соответствовать требованиям к безопасности оборудования для работы во взрывоопасных средах, обеспечивать защиту технологических систем при аварийных режимах с заданным быстродействием срабатывания:
быстродействие отключающих устройств, устанавливаемых на трубопроводах теплоносителя, используемого для испарения горючей жидкости, устанавливается в проектной документации;
источники давления установок с технологическими блоками I и II категории взрывоопасности должны отключаться одновременно со срабатыванием отсекающей арматуры на линиях нагнетания, быстродействие которой определяется в проектной документации.
(в ред.
Приказа Ростехнадзора от 26.11.2015 N 480)
5.6.5. Технические устройства (в том числе арматура, клапаны), предназначенные для подачи в технологическую аппаратуру ингибирующих и инертных веществ, должны соответствовать требованиям к безопасности оборудования для работы во взрывоопасных средах, обеспечивать при аварийных режимах заданные параметры по производительности и быстродействию:
в системах подачи инертного газа в технологические блоки всех категорий взрывоопасности обеспечивать объемные скорости ввода инертного газа, исключающие образование взрывоопасных смесей во всех возможных случаях отклонений процесса от регламентированных значений;
в системах ввода ингибирующих веществ технологических блоков всех категорий взрывоопасности обеспечивать необходимые объемные скорости подачи ингибиторов для подавления неуправляемых экзотермических реакций;
на коммуникациях организованного сброса горючих парогазовых и жидких сред технологических блоков всех категорий взрывоопасности исключать возможность выброса этих сред в атмосферу.
5.6.6. При срабатывании средств защиты, устанавливаемых на оборудовании, должна быть предотвращена возможность травмирования обслуживающего персонала, выброса взрывоопасных продуктов в рабочую зону и окружающую среду.
5.6.7. Применяемая для взрывозащиты технологических систем арматура, предохранительные устройства, средства локализации пламени должны изготовляться в соответствии с техническими требованиями к безопасности оборудования для работы во взрывоопасных средах и требованиями, установленными в технической документации организации-изготовителя.
На ОПО применяются технические устройства, прошедшие испытания в установленном порядке и имеющие соответствующие разрешительные документы для их применения.
5.6.8. При выборе, расчете и эксплуатации средств защиты аппаратов и коммуникаций от превышения давления должны учитываться технические требования к безопасности оборудования для работы во взрывоопасных средах и технические требования, установленные нормативными документами, содержащими требования по выбору, расчету и эксплуатации средств защиты аппаратов и коммуникаций от превышения давления.
При установке предохранительных устройств на технологических аппаратах (трубопроводах) со взрывопожароопасными продуктами должны предусматриваться меры и средства (в том числе и автоматического регулирования процесса), обеспечивающие минимальную частоту их срабатывания.
5.6.9. Средства защиты от распространения пламени (огнепреградители, пламеотсекатели, жидкостные затворы) должны устанавливаться на дыхательных и стравливающих линиях аппаратов и резервуаров с ЛВЖ и ГЖ, а также на трубопроводах ЛВЖ и ГЖ, в которых возможно распространение пламени, в том числе работающих периодически или при незаполненном сечении трубопровода, на трубопроводах от оборудования с раскаленным катализатором, пламенным горением и другими источниками зажигания.
Средства защиты от распространения пламени не устанавливаются при условии подачи в эти линии инертных газов в количествах, исключающих образование в них взрывоопасных смесей. Порядок подачи инертных газов устанавливается в технологических регламентах на производство продукции.
Конструкция огнепреградителей и жидкостных предохранительных затворов должна обеспечивать надежную локализацию пламени с учетом условий эксплуатации.
5.6.10. Для огнепреградителей и жидкостных предохранительных затворов предусматриваются меры, обеспечивающие надежность их работы в условиях эксплуатации, в том числе при возможности кристаллизации, полимеризации и замерзания веществ в затворе.
Для огнепреградителей, устанавливаемых на дыхательных линиях резервуаров с ЛВЖ и ГЖ, где возможно отложение пыли вследствие поступления ее из атмосферного воздуха, предусматриваются меры по контролю состояния огнепреградителей (в том числе по контролю их пропускной способности) и предупреждению риска возникновения аварийных ситуаций.
5.6.11. В резервуары с ЛВЖ, работающие под давлением, при возникновении в них разрежения для его гашения и исключения образования в них взрывоопасной среды должна предусматриваться подача газа, инертного по отношению к находящейся в резервуаре среде.
Для резервуаров с ЛВЖ, работающих без давления, следует предусматривать меры, предотвращающие образование в них взрывоопасных смесей либо исключающие источники воспламенения.
5.6.12. Не допускается эксплуатация взрывопожароопасных технологических установок с неисправными или отключенными противоаварийными устройствами и системами подачи инертных и ингибирующих веществ.
Состояние средств противоаварийной защиты, систем подачи инертных и ингибирующих веществ должно периодически контролироваться.
Периодичность и методы контроля определяются в проектной документации и устанавливаются в технологическом регламенте на производство продукции.
VI. СИСТЕМЫ КОНТРОЛЯ, УПРАВЛЕНИЯ, СИГНАЛИЗАЦИИ
И ПРОТИВОАВАРИЙНОЙ АВТОМАТИЧЕСКОЙ ЗАЩИТЫ, ОБЕСПЕЧИВАЮЩИЕ
БЕЗОПАСНОСТЬ ВЕДЕНИЯ ТЕХНОЛОГИЧЕСКИХ ПРОЦЕССОВ
6.1.1. Системы контроля, автоматического и дистанционного управления и регулирования технологическими процессами (далее - системы управления), сигнализации и системы ПАЗ, а также системы связи и оповещения об аварийных ситуациях (далее - системы СиО), в том числе поставляемые комплектно с оборудованием, должны отвечать требованиям настоящих Правил, действующей нормативно-технической документации, проектам, технологическим регламентам на производство продукции и обеспечивать заданную точность поддержания технологических параметров, надежность и безопасность проведения технологических процессов.
6.1.2. Выбор систем контроля, управления и ПАЗ, а также системы СиО по показателям безопасности, надежности, быстродействию, допустимой погрешности измерительных систем и другим техническим характеристикам осуществляется с учетом особенностей технологического процесса в зависимости от категории взрывоопасности технологических блоков, входящих в объект.
6.1.3. Системы контроля, управления и ПАЗ должны проходить комплексное опробование по специальным программам.
(п. 6.1.3 в ред.
Приказа Ростехнадзора от 26.11.2015 N 480)
6.1.4. Размещение электрических средств и элементов систем контроля, управления и ПАЗ, а также связи и оповещения во взрывоопасных зонах производственных помещений и наружных установок, степень их взрывозащиты должны соответствовать требованиям нормативно-технических документов по устройству электроустановок.
6.1.5. Во взрывоопасных помещениях и вне их перед входными дверями предусматривается устройство световой и звуковой сигнализации загазованности воздушной среды.
6.1.6. Средства автоматики, используемые по ПМЛА, должны быть обозначены по месту их установки и указываются в технологическом регламенте на производство продукции и инструкциях.
(п. 6.1.6 в ред.
Приказа Ростехнадзора от 26.11.2015 N 480)
6.1.7. Системы контроля, управления и ПАЗ технологических процессов, а также системы СиО должны маркироваться с нанесением соответствующих надписей, четко отражающих их функциональное назначение, величины уставок защиты и регламентированные значения контролируемых параметров.
(в ред.
Приказа Ростехнадзора от 26.11.2015 N 480)
6.1.8. Размещение систем контроля, управления и ПАЗ, а также системы СиО осуществляется в местах удобных и безопасных для обслуживания, исключающих вибрацию, количественные характеристики которой превышают допустимые значения показателей вибрации для используемых технических средств, загрязнения веществами, обращающимися в технологическом процессе, механических и других вредных воздействий, влияющих на точность, надежность и быстродействие систем.
При этом должны предусматриваться меры и средства демонтажа систем и их элементов без разгерметизации оборудования и трубопроводов.
6.2. Системы управления технологическими процессами
6.2.1. ОПО, имеющие в своем составе объекты с технологическими блоками I и II категорий взрывоопасности, должны оснащаться автоматическими и (или) автоматизированными системами управления, построенными на базе электронных средств контроля и автоматики, включая средства вычислительной техники.
6.2.2. Автоматизированные системы управления технологическими процессами (далее - АСУТП) на базе средств вычислительной техники должны соответствовать требованиям технического задания и обеспечивать:
(в ред.
Приказа Ростехнадзора от 26.11.2015 N 480)
постоянный контроль за параметрами технологического процесса и управление режимами для поддержания их регламентированных значений;
регистрацию срабатывания и контроль за работоспособным состоянием средств ПАЗ;
постоянный контроль за состоянием воздушной среды в пределах объекта;
постоянный анализ изменения параметров в сторону критических значений и прогнозирование возможной аварии;
срабатывание средств управления и ПАЗ, прекращающих развитие опасной ситуации;
срабатывание средств локализации и ликвидации аварий, выбор и реализацию оптимальных управляющих воздействий;
проведение операций безаварийного пуска, остановки и всех необходимых для этого переключений;
выдачу информации о состоянии безопасности на объекте в вышестоящую систему управления.
6.2.3. В помещениях управления должна предусматриваться световая и звуковая сигнализация, срабатывающая при достижении предупредительных значений параметров процесса, определяющих его взрывоопасность.
6.3. Системы противоаварийной автоматической защиты
6.3.1. Системы ПАЗ должны обеспечивать защиту персонала, технологического оборудования и окружающей среды в случае возникновения на управляемом объекте нештатной ситуации, развитие которой может привести к аварии.
6.3.2. Системы ПАЗ функционируют независимо от системы управления технологическим процессом. Нарушение работы системы управления не должно влиять на работу системы ПАЗ.
6.3.3. Система ПАЗ выполняет следующие функции:
автоматическое обнаружение потенциально опасных изменений состояния технологического объекта или системы его автоматизации;
автоматическое измерение технологических переменных, важных для безопасного ведения технологического процесса (например, измерение переменных, значения которых характеризуют близость объекта к границам режима безопасного ведения процесса);
автоматическая (в режиме on-line) диагностика отказов, возникающих в системе ПАЗ и (или) в используемых ею средствах технического и программного обеспечения;
автоматическая предаварийная сигнализация, информирующая оператора технологического процесса о потенциально опасных изменениях, произошедших в объекте или в системе ПАЗ;
автоматическая защита от несанкционированного доступа к параметрам настройки и (или) выбора режима работы системы ПАЗ.
6.3.4. Системы ПАЗ для объектов, имеющих в составе технологические блоки I и II категорий взрывоопасности, при проектировании должны создаваться на базе логических контроллеров, способных функционировать по отказобезопасной структуре и проверенных на соответствие требованиям функциональной безопасности систем электрических, электронных, программируемых электронных, связанных с безопасностью.
(п. 6.3.4 в ред.
Приказа Ростехнадзора от 26.11.2015 N 480)
6.3.5. Методы создания систем ПАЗ должны определяться на стадии формирования требований при проектировании АСУ ТП на основании анализа опасности и работоспособности контуров безопасности с учетом риска, возникающего при отказе контура безопасности. Рациональный выбор средств для систем ПАЗ осуществляется с учетом их надежности, быстродействия в соответствии с их техническими характеристиками.
(в ред.
Приказа Ростехнадзора от 26.11.2015 N 480)
6.3.6. Для объектов, имеющих в составе технологические блоки I и II категорий взрывоопасности, не допускается использовать в качестве источников информации для систем ПАЗ одни и те же датчики, которые применяются в составе других подсистем АСУТП (например, в системе автоматического регулирования, в системе технологического или коммерческого учета).
6.3.7. Для объектов, имеющих в составе технологические блоки I и II категорий взрывоопасности, не допускается использовать в качестве исполнительных устройств систем ПАЗ одни и те же устройства, которые предусмотрены в составе другой подсистемы АСУТП (например, в системе автоматического регулирования).
6.3.8. Контроль за текущими показателями параметров, определяющими взрывоопасность технологических процессов с блоками I категории взрывоопасности, осуществляется не менее чем от двух независимых датчиков с раздельными точками отбора, логически взаимодействующих для срабатывания ПАЗ.
(в ред.
Приказа Ростехнадзора от 26.11.2015 N 480)
6.3.9. Утратил силу. -
Приказ Ростехнадзора от 26.11.2015 N 480.
6.3.10. Проектирование системы ПАЗ и выбор ее элементов осуществляются исходя из условий обеспечения работы системы в процессе эксплуатации, обслуживания и ремонта в течение всего жизненного цикла защищаемого объекта.
6.3.11. Показатели надежности, безопасности и быстродействия систем ПАЗ определяются разработчиками систем с учетом требований технологической части проекта. При этом учитываются категория взрывоопасности технологических блоков, входящих в объект, и время развития возможной аварии.
6.3.12. Время срабатывания системы защиты должно быть таким, чтобы исключалось опасное развитие возможной аварии.
6.3.13. К выполнению управляющих функций систем ПАЗ предъявляются следующие требования:
команды управления, сформированные алгоритмами защит (блокировок), должны иметь приоритет по отношению к любым другим командам управления технологическим оборудованием, в том числе к командам, формируемым оперативным персоналом АСУТП (если иное не оговорено в техническом задании (далее - ТЗ) на ее создание);
срабатывание одной системы ПАЗ не должно приводить к созданию на объекте ситуации, требующей срабатывания другой такой системы;
в алгоритмах срабатывания защит следует предусматривать возможность включения блокировки команд управления оборудованием, технологически связанным с аппаратом, агрегатом или иным оборудованием, вызвавшим такое срабатывание.
6.3.14. В системах ПАЗ и управления технологическими процессами любых категорий взрывоопасности должно быть исключено их срабатывание от кратковременных сигналов нарушения нормального хода технологического процесса, в том числе и в случае переключений на резервный или аварийный источник электропитания.
6.3.15. В проектной документации, технологических регламентах на производство продукции и перечнях систем ПАЗ взрывоопасных объектов наряду с уставками защиты по опасным параметрам должны быть указаны границы регламентированных значений параметров.
(в ред.
Приказа Ростехнадзора от 26.11.2015 N 480)
6.3.16. Значения уставок систем защиты определяются с учетом погрешностей срабатывания сигнальных устройств средств измерения, быстродействия системы, возможной скорости изменения параметров и категории взрывоопасности технологического блока. При этом время срабатывания систем защиты должно быть меньше времени, необходимого для перехода параметра от предупредительного до предельно допустимого значения.
Конкретные значения уставок приводятся в проекте и технологическом регламенте на производство продукции.
6.3.17. Для ОПО химической, нефтехимической и нефтегазоперерабатывающей промышленности предусматривается предаварийная сигнализация по предупредительным значениям параметров, определяющих взрывоопасность объектов.
6.3.18. В случае отключения электроэнергии или прекращения подачи сжатого воздуха для питания систем контроля и управления системы ПАЗ должны обеспечивать перевод технологического объекта в безопасное состояние. Необходимо исключить возможность случайных (незапрограммированных) переключений в этих системах при восстановлении питания. Возврат технологического объекта в рабочее состояние после срабатывания системы ПАЗ выполняется обслуживающим персоналом по инструкции.
(п. 6.3.18 в ред.
Приказа Ростехнадзора от 26.11.2015 N 480)
6.3.19. Исполнительные механизмы систем ПАЗ должны иметь указатели крайних положений непосредственно на этих механизмах, а также устройства, позволяющие выполнять индикацию крайних положений в помещении управления.
(п. 6.3.19 в ред.
Приказа Ростехнадзора от 26.11.2015 N 480)
6.3.20. Надежность систем ПАЗ обеспечивается аппаратурным резервированием различных типов (дублирование, троирование), временной и функциональной избыточностью и наличием систем диагностики с индикацией рабочего состояния и самодиагностики с сопоставлением значений технологических связанных параметров. Достаточность резервирования и его тип обосновываются разработчиком проекта.
6.3.21. Показатели надежности систем ПАЗ устанавливаются и проверяются не менее, чем для двух типов отказов данных систем: отказы типа "несрабатывание" и отказы типа "ложное срабатывание".
6.3.22. Технические решения по обеспечению надежности контроля параметров, имеющих критические значения, на объектах с технологическими блоками III категории взрывоопасности обосновываются разработчиком проекта.
6.3.23. Все программные средства вычислительной техники, предназначенные для применения в составе любой системы ПАЗ, подлежат обязательной проверке на соответствие требованиям, указанным в ТЗ, которая проводится их изготовителем или поставщиком по программе, согласованной с заказчиком системы ПАЗ.
6.3.24. Перечень контролируемых параметров, определяющих взрывоопасность процесса в каждом конкретном случае, составляется разработчиком процесса и указывается в исходных данных на проектирование.
6.3.25. На периоды пуска, останова и переключений технологических режимов установок при соответствующем обосновании в проектной документации и технологических регламентах на производство продукции должны быть предусмотрены специальные алгоритмы (сценарии) работы системы ПАЗ, при которых допускается ручное или автоматическое отключение отдельных блокировок. Контроль, индикация и регистрация параметров отключению не подлежат.
(п. 6.3.25 введен
Приказом Ростехнадзора от 26.11.2015 N 480)
6.4. Автоматические средства газового анализа
6.4.1. Для контроля загазованности по предельно допустимой концентрации и нижнему концентрационному пределу распространения пламени в производственных помещениях, рабочей зоне открытых наружных установок должны предусматриваться средства автоматического газового контроля и анализа с сигнализацией, срабатывающей при достижении предельно допустимых величин, и с выдачей сигналов в систему ПАЗ.
Места расположения и тип средств автоматического непрерывного газового контроля и анализа с сигнализацией для контроля загазованности в рабочей зоне открытых наружных установок устанавливаются и обосновываются в проектной документации в соответствии с техническими характеристиками средств (приборов), указанных в паспортах организации-изготовителя.
При этом все случаи загазованности должны регистрироваться приборами с автоматической записью и документироваться.
(п. 6.4.1 в ред.
Приказа Ростехнадзора от 26.11.2015 N 480)
6.4.2. Утратил силу. -
Приказ Ростехнадзора от 26.11.2015 N 480.
6.5. Энергетическое обеспечение систем контроля, управления
и противоаварийной автоматической защиты
6.5.1. Системы контроля, управления и ПАЗ объектов с технологическими блоками I категории взрывоопасности по обеспечению надежности электроснабжения относятся к особой группе электроприемников I категории в соответствии с требованиями нормативно-технических документов к устройству электроустановок.
Отнесение систем контроля, управления и ПАЗ объектов с технологическими блоками II и III категории взрывоопасности к особой группе электроприемников I категории должно определяться в проектной документации.
6.5.2. Мощность третьего независимого источника электроснабжения, предназначенного для питания систем контроля, управления и ПАЗ объектов с технологическими блоками I категории взрывоопасности, должна обеспечить работу всех элементов системы, задействованных в безаварийной остановке технологического объекта.
6.5.3. Для пневматических систем управления и ПАЗ должны предусматриваться сети сжатого воздуха, отдельные от сетей технологического воздуха.
(п. 6.5.3 в ред.
Приказа Ростехнадзора от 26.11.2015 N 480)
6.5.4. Воздух для воздушных компрессоров и систем КИПиА должен быть очищен от пыли, масла, влаги.
Качество сжатого воздуха должно соответствовать требованиям, установленным организацией-изготовителем в технической документации (паспортах) на системы и контрольно-измерительные приборы.
6.5.5. Системы обеспечения сжатым воздухом средств управления и ПАЗ должны иметь буферные емкости (реципиенты), обеспечивающие питание воздухом систем контроля, управления и ПАЗ при остановке компрессоров в течение времени, достаточного для безаварийной остановки объекта, что должно быть подтверждено расчетом. Не допускается использование сжатого воздуха для средств управления и ПАЗ не по назначению.
(в ред.
Приказа Ростехнадзора от 26.11.2015 N 480)
6.5.6. На линиях ввода сжатого воздуха в цех (технологическую установку) должны быть предусмотрены приборы или пробоотборные устройства для анализа загрязненности сжатого воздуха. Периодичность анализов должна быть определена в инструкции.
6.5.7. Помещения управления технологическими объектами и установки компримирования воздуха должны оснащаться световой и звуковой сигнализацией, срабатывающей при падении давления сжатого воздуха в сети до буферных емкостей (реципиентов).
6.5.8. Не допускается использование инертного газа для питания систем КИПиА.
6.6. Метрологическое обеспечение систем контроля,
управления и противоаварийной автоматической защиты
6.6.1. Организация, эксплуатирующая ОПО, должна иметь собственную метрологическую службу или договор с аккредитованными юридическими лицами или индивидуальными предпринимателями на выполнение работ в области обеспечения единства измерений технологических параметров в соответствии с требованиями Федерального
закона Российской Федерации от 26 июня 2008 г. N 102-ФЗ "Об обеспечении единства измерений" (Собрание законодательства Российской Федерации, 2008, N 26, ст. 3021; 2011, N 30 (ч. I), ст. 4590; N 49 (ч. I), ст. 7025; 2012, N 31, ст. 4322).
6.6.2. Средства измерения, входящие в систему контроля, управления и ПАЗ, и информационно-измерительные системы (далее - ИИС) должны иметь документальное подтверждение об утверждении типа средств измерений и документы о прохождении поверки.
(в ред.
Приказа Ростехнадзора от 26.11.2015 N 480)
6.7. Размещение и устройство помещений управления
и анализаторных помещений
6.7.1. Объемно-планировочные решения, конструкция зданий, помещений и вспомогательных сооружений для систем контроля, управления, ПАЗ и газового анализа, их размещение на территории ОПО химической, нефтехимической и нефтегазоперерабатывающей промышленности должны соответствовать проекту, требованиям технических регламентов, требованиям законодательства о градостроительной деятельности и настоящих Правил.
6.7.2. Помещения управления должны быть отдельно стоящими.
В отдельных случаях при соответствующем обосновании в проекте разрешено пристраивать их к зданиям. При этом не допускается:
размещение над (под) взрывопожароопасными помещениями, помещениями с химически активной и вредной средой, приточными и вытяжными венткамерами, помещениями с мокрыми процессами;
размещение в них оборудования и других устройств, не связанных с системой управления технологическим процессом;
транзитная прокладка трубопроводов, воздуховодов и кабелей через помещения управления;
устройство парового или водяного отопления;
ввод пожарных водопроводов, импульсных линий и других трубопроводов с горючими, взрывоопасными и вредными продуктами.
6.7.3. В помещениях управления следует предусматривать:
воздушное отопление и установки для кондиционирования воздуха (устройство водяного отопления в помещениях управления, не имеющих электронных приборов, обосновывается в проекте). Воздух, подаваемый в помещения управления, должен быть очищен от газов, паров и пыли и соответствовать требованиям по эксплуатации установленного оборудования и санитарным нормам;
теплые и неэлектропроводные полы, кабельные каналы и двойные полы, соответствующие требованиям законодательства о градостроительной деятельности;
средства или системы пожаротушения, соответствующие требованиям нормативно-технической документации;
световую и звуковую сигнализацию о загазованности производственных помещений и территории управляемого объекта.
6.7.4. Для систем ПАЗ в обоснованных случаях необходимо предусматривать щиты (или панели) с мнемосхемами структуры блокировок, которые должны оснащаться световыми устройствами, сигнализирующими о состоянии блокировок, источников энергопитания и исполнительных органов.
6.7.5. Размещение анализаторных помещений (зданий) на площадке технологической установки (цеха) обосновывается в проектной документации в соответствии с требованиями законодательства о градостроительной деятельности, настоящих Правил.
(в ред.
Приказа Ростехнадзора от 26.11.2015 N 480)
Абзац исключен. -
Приказ Ростехнадзора от 26.11.2015 N 480.
Объем анализаторного помещения и технические характеристики систем вентиляции должны определяться, исходя из условий, при которых в помещении в течение одного часа должна быть исключена возможность образования взрывоопасной концентрации анализируемых продуктов при полном разрыве газоподводящей трубки одного анализатора независимо от их числа в помещении при наличии ограничителей расхода и давления этих продуктов.
Кроме общеобменной вентиляции в помещении должна предусматриваться аварийная вентиляция, которая автоматически включается в случае, если концентрация обращающихся веществ в воздухе помещения достигает 20 процентов нижнего концентрационного предела распространения пламени.
6.7.6. В анализаторное помещение не должны вводиться пробоотборные трубки с давлением выше, чем это требуется для работы анализатора.
Ограничители расхода и давления на пробоотборных устройствах должны размещаться в безопасном месте вне анализаторного помещения.
Избыток анализируемого вещества после завершения анализа должен возвращаться в технологическую систему или утилизироваться.
6.7.7. Баллоны с поверочными газами и смесями, газами-носителями, эталонами должны отвечать требованиям нормативных документов по безопасной эксплуатации сосудов, работающих под давлением.
Места и порядок размещения, хранения и использования баллонов определяются проектом.
6.7.8. В анализаторных помещениях не допускается постоянное пребывание людей.
6.7.9. Анализаторы должны иметь защиту от распространения пламени по газовым (газоподводящим) линиям.
6.8. Системы связи и оповещения
6.8.1. Производства, имеющие в составе технологические блоки любых категорий взрывоопасности, должны быть оборудованы системами двусторонней громкоговорящей и телефонной связи между технологически связанными производственными участками, а также оборудованы телефонной связью с персоналом диспетчерских пунктов.
(в ред.
Приказа Ростехнадзора от 26.11.2015 N 480)
Объекты, имеющие в составе технологические блоки I категории взрывоопасности, должны быть оборудованы системами двусторонней громкоговорящей связи с персоналом диспетчерских пунктов, штабом гражданской обороны (далее - ГО) промышленного объекта, газоспасательной службой (далее - ГСС), пожарной частью (далее - ПЧ), сливоналивными пунктами, складами и насосными горючих, сжиженных и вредных продуктов.
Перечень производственных подразделений, с которыми устанавливается связь, вид связи определяются разработчиком проекта в зависимости от особенностей технологического процесса, условий производства с учетом категории взрывоопасности технологических блоков, входящих в них, и других факторов.
6.8.2. В технологических блоках всех категорий взрывоопасности должны быть предусмотрены технические средства, обеспечивающие в автоматическом режиме оповещение об обнаружении, локализации и ликвидации выбросов опасных веществ. Информация, включая данные прогнозирования о путях возможного распространения взрывоопасного (или вредного химического) облака, должна передаваться в газоспасательную службу промышленного объекта и диспетчеру организации, а также в вышестоящую систему управления.
6.8.3. В помещениях управления производствами, имеющими в составе блоки I категории взрывоопасности, на наружных установках, в помещении диспетчера предприятия, штабе ГО промышленного объекта и ближайшего населенного пункта предусматривается установка постов управления и технических средств для извещения об опасных выбросах химических веществ.
Средства оповещения по внешнему оформлению должны отличаться от аналогичных средств промышленного использования, их размещение и устройство должны исключать доступ посторонних лиц и возможность случайного использования. Сигнальные устройства систем оповещения пломбируются.
6.8.4. Организация и порядок оповещения производственного персонала и гражданского населения об аварии, ответственность за поддержание в состоянии готовности технических средств и соответствующих служб по ликвидации угрозы химического поражения определяются ПМЛА.
(в ред.
Приказа Ростехнадзора от 26.11.2015 N 480)
6.9. Эксплуатация систем контроля,
управления и противоаварийной автоматической защиты, связи
и оповещения
6.9.1. За правильностью эксплуатации систем контроля, управления и ПАЗ должен быть установлен контроль.
Объем контроля должен обеспечить надежную работу систем контроля, управления и ПАЗ.
6.9.2. Технологические процессы и работа оборудования не должны осуществляться с неисправными или отключенными системами контроля, управления и ПАЗ.
6.9.3. Для непрерывных процессов по письменному разрешению должностного лица организации допускается отключение защит (единовременно не более одного параметра) только в дневную смену либо при проведении работ в иные смены - обеспечить присутствие и контроль соответствующих служб. При этом разрабатываются организационно-технические мероприятия и план организации работ, обеспечивающие безопасность технологического процесса и производства работ. Продолжительность отключения должна определяться планом организации работ. Отключение предаварийной сигнализации в этом случае не допускается. Ручное деблокирование в системах автоматического управления технологическими процессами не допускается.
При этом предусматриваются устройства, регистрирующие все случаи отключений параметров защиты и их продолжительность.
(п. 6.9.3 в ред.
Приказа Ростехнадзора от 26.11.2015 N 480)
6.9.4. На период замены элементов системы контроля или управления должны быть предусмотрены меры и средства, обеспечивающие безопасное проведение процесса в ручном режиме.
В проекте, в технологическом регламенте на производство продукции и технологических инструкциях должны быть определены стадии процесса или отдельные параметры, управление которыми в ручном режиме не допускается.
6.9.5. Для объектов с технологическими блоками всех категорий взрывоопасности в системах контроля, управления и ПАЗ, СиО не должны применяться приборы, устройства и другие элементы, отработавшие свой назначенный срок службы.
6.9.6. Сменный технологический персонал в случае обнаружения неисправности прибора или средств автоматизации должен провести аварийные отключения вышедших из строя приборов и средств автоматизации в соответствии с требованиями инструкций по эксплуатации средств автоматизации. Организацию проведения ремонта отключенных приборов, наладку и ремонт систем контроля, управления и ПАЗ должны проводить работники службы КИПиА или специализированной организации при наличии документов на проведение работ по наладке и ремонту систем контроля, управления и ПАЗ на ОПО.
(п. 6.9.6 в ред.
Приказа Ростехнадзора от 26.11.2015 N 480)
6.10. Монтаж, наладка и ремонт систем контроля,
управления и противоаварийной автоматической защиты, связи
и оповещения
6.10.1. Запорная регулирующая арматура, исполнительные механизмы, участвующие в схемах контроля, управления и ПАЗ технологических процессов, после ремонта и перед установкой по месту должны проходить периодические испытания на быстродействие, прочность и плотность закрытия с оформлением актов или с записью в паспорте, журнале. Периодичность испытаний устанавливается требованиями в технической документации организации-изготовителя.
6.10.2. Работы по монтажу, наладке, ремонту, регулировке и испытанию систем контроля, управления и ПАЗ, СиО должны исключать искрообразование. На проведение таких работ во взрывоопасных зонах оформляется наряд-допуск, разрабатываются меры, обеспечивающие безопасность организации и проведения работ.
6.10.3. При снятии средств контроля, управления и ПАЗ, СиО для ремонта, наладки или поверки должна проводиться немедленная замена снятых средств на идентичные по всем параметрам.
6.10.4. Ремонт технических устройств систем измерения и автоматизации, выполненных во взрывозащищенном исполнении, должен осуществляться в соответствии с указаниями организации-изготовителя.
VII. ТРЕБОВАНИЯ К ЭЛЕКТРООБЕСПЕЧЕНИЮ И ЭЛЕКТРООБОРУДОВАНИЮ
ВЗРЫВООПАСНЫХ ТЕХНОЛОГИЧЕСКИХ СИСТЕМ
7.1. Устройство, монтаж, обслуживание и ремонт электроустановок должны соответствовать требованиям технических регламентов и настоящих Правил.
7.2. Электроснабжение объектов, имеющих в своем составе технологические блоки I категории взрывоопасности, должно осуществляться по I категории надежности. При этом должна быть обеспечена возможность безаварийного перевода технологического процесса в безопасное состояние во всех режимах функционирования производства, в том числе при одновременном прекращении подачи электроэнергии от двух независимых взаиморезервирующих источников питания.
7.3. Электроприемники технологических систем, имеющих в своем составе блоки II и III категории взрывоопасности, в зависимости от конкретных условий эксплуатации и особенностей технологического процесса по обеспечению надежности электроснабжения должны относиться к электроприемникам I или II категории.
7.4. Линии электроснабжения от внешних источников, независимо от класса напряжения, питающие потребителей особой группы I категории надежности электроснабжения, не должны оборудоваться устройствами автоматической частотной разгрузки (далее - АЧР).
7.5. Прокладку кабелей по территории предприятий и установок разрешается выполнять открыто: по эстакадам, в галереях и на кабельных конструкциях технологических эстакад.
Размещать кабельные сооружения на технологических эстакадах следует с учетом обеспечения возможности проведения монтажа и демонтажа трубопроводов в соответствии с требованиями нормативно-технических документов по устройству электроустановок.
Разрешается также прокладка кабелей в каналах, засыпанных песком, и траншеях.
Кабели, прокладываемые по территории технологических установок и производств, должны иметь изоляцию и оболочку из материалов, не распространяющих горение.
7.6. Электроосвещение наружных технологических установок должно иметь дистанционное включение из операторной и местное по зонам обслуживания.
7.7. При проведении ремонтных работ в условиях стесненности, возможной загазованности, в том числе внутри технологических аппаратов, освещение должно обеспечиваться с помощью переносных взрывозащищенных аккумуляторных светильников в исполнении, соответствующем среде, или переносных электросветильников во взрывобезопасном исполнении, отвечающих требованиям технических регламентов и других нормативно-технических документов по устройству электроустановок.
7.8. Электроснабжение аварийного освещения рабочих мест должно осуществляться по особой группе I категории надежности.
7.9. На высотных колоннах, аппаратах и другом технологическом оборудовании заградительные огни должны быть во взрывозащищенном исполнении.
7.10. Технологические установки и производства должны быть оборудованы стационарной сетью для подключения сварочного электрооборудования.
7.11. Для подключения сварочных аппаратов должны применяться коммутационные ящики (шкафы).
7.12. Сеть для подключения сварочных аппаратов до начала работ должна быть отключена. Подача напряжения в эту сеть и подключение сварочного электрооборудования должны выполняться в соответствии с требованиями технических регламентов и других нормативно-технических документов по безопасной эксплуатации электроустановок и пожарной безопасности.
7.13. Проведение электросварочных работ должно осуществляться в соответствии с инструкцией на выполнение огневых работ, утвержденной организацией, эксплуатирующей ОПО.
7.14. Устройства для подключения передвижного и переносного электрооборудования должны размещаться вне взрывоопасных зон.
VIII. ТРЕБОВАНИЯ К СИСТЕМАМ ОТОПЛЕНИЯ И ВЕНТИЛЯЦИИ
ВЗРЫВОПОЖАРООПАСНЫХ ПРОИЗВОДСТВ
8.1. Системы отопления и вентиляции по назначению, устройству, техническим характеристикам, исполнению, обслуживанию и условиям эксплуатации должны соответствовать требованиям технических регламентов, нормативных правовых актов и настоящих Правил.
8.2. Устройство систем вентиляции, в том числе аварийной, кратность воздухообмена должны определяться необходимостью обеспечения надежного и эффективного воздухообмена.
Для помещений с технологическими блоками любых категорий взрывоопасности оценка возможности использования всех видов вентиляции при аварийных, залповых максимально возможных выбросах горючих и токсичных продуктов из технологического оборудования в помещение должна осуществляться при проектировании и отражаться в эксплуатационной документации.
8.3. Порядок эксплуатации, обслуживания, ремонта, наладки и проведения инструментальной проверки на эффективность работы систем вентиляции должен быть определен инструкцией по эксплуатации промышленной вентиляции и соответствовать требованиям Федерального
закона от 30 декабря 2009 г. N 384-ФЗ "Технический регламент о безопасности зданий и сооружений" (Собрание законодательства Российской Федерации, 2010, N 1, ст. 5).
8.4. Воздухозабор для приточных систем вентиляции необходимо предусматривать из мест, исключающих попадание в систему вентиляции взрывоопасных и химически опасных паров и газов при всех режимах работы производства.
8.5. Устройство выбросов от систем общеобменной и аварийной вытяжной вентиляции должно обеспечивать эффективное рассеивание и исключать возможность взрыва в зоне выброса и образования взрывоопасных смесей над площадкой ОПО, в том числе у стационарных источников зажигания.
8.6. Система местных отсосов, удаляющая взрывопожароопасные пыль и газы, должна быть оборудована блокировками, исключающими пуск и работу конструктивно связанного с ней технологического оборудования при неработающем отсосе.
8.7. Системы аварийной вентиляции должны быть оснащены средствами их автоматического включения при срабатывании установленных в помещении сигнализаторов довзрывных концентраций или газоанализаторов при превышении предельно допустимых концентраций вредных веществ.
8.8. В системах вентиляции должны быть предусмотрены меры и средства, исключающие поступление взрывопожароопасных паров и газов по воздуховодам из одного помещения в другое.
8.9. Исполнение вентиляционного оборудования, воздуховодов, элементов для вытяжных вентиляционных систем (шиберы, заслонки, клапаны) должно предусматривать исключение источника зажигания механического (удар, трение) или электрического (статическое электричество) происхождения.
Вентиляторы должны соответствовать техническим требованиям к безопасности оборудования для работы во взрывоопасных средах, требованиям нормативных технических документов и документов организации-изготовителя.
(в ред.
Приказа Ростехнадзора от 26.11.2015 N 480)
8.10. Воздуховоды систем приточной вентиляции, места соединений их участков друг с другом и с вентиляторами должны быть герметичными и исключать поступление воздуха, содержащего взрывоопасные пары и газы, в систему приточной вентиляции.
8.11. Для вытяжных вентиляционных систем, на внутренних поверхностях воздуховодов и оборудования (вентиляторов) которых возможно образование (конденсация, осаждение) жидких или твердых взрывопожароопасных продуктов, должна быть предусмотрена и осуществлена очистка систем от этих продуктов с периодичностью, которая указывается в руководстве (инструкции) по эксплуатации. В случаях повышенного риска воспламенения отложений должны предусматриваться стационарные системы пожаротушения.
8.12. Электрооборудование вентиляционных систем, устанавливаемое в производственных помещениях, снаружи здания и в помещениях вентиляционного оборудования (вентиляционных камерах), по уровням и видам взрывозащиты, группам и температурным классам должно соответствовать техническим требованиям к безопасности оборудования для работы во взрывоопасных средах.
8.13. Все металлические воздуховоды и оборудование вентиляционных систем (приточных и вытяжных) необходимо заземлять согласно требованиям нормативно-технических документов по устройству электроустановок.
8.14. В помещениях управления и производственных помещениях должна быть предусмотрена сигнализация о неисправной работе вентиляционных систем.
8.15. В помещениях, имеющих взрывоопасные зоны, предусматривается воздушное отопление, совмещенное с приточной вентиляцией. Водяное или паровое отопление помещений применяется при условии, что обращающиеся в процессе вещества не образуют с водой взрывоопасных продуктов и подтверждается принятыми проектными техническими решениями. Максимальная температура поверхностей нагрева систем отопления не должна превышать 80 процентов температуры самовоспламенения вещества, имеющего самую низкую температуру самовоспламенения из обращающихся в процессе веществ.
8.16. Устройство систем отопления (водяного, парового), применяемые элементы и арматура, расположение их при прокладке над электропомещениями и помещениями КИПиА должны исключать попадание влаги в эти помещения при всех режимах эксплуатации и обслуживания этих систем.
8.17. Узел ввода теплоносителя располагается в:
помещениях систем приточной вентиляции (в вентиляционной камере);
самостоятельном помещении с отдельным входом с лестничной клетки или из невзрывопожароопасных производственных помещений;
производственных помещениях, в которых предусмотрено применение водяного или парового отопления.
IX. ТРЕБОВАНИЯ К СИСТЕМАМ ВОДОПРОВОДА И КАНАЛИЗАЦИИ
ВЗРЫВОПОЖАРООПАСНЫХ ПРОИЗВОДСТВ
9.1. Проектирование, строительство и эксплуатация систем водопровода и канализации взрывопожароопасных производств должны выполняться в соответствии с требованиями технических регламентов, законодательства о градостроительной деятельности и настоящих Правил.
Состав сбрасываемых с общезаводских очистных сооружений стоков устанавливается в технологических регламентах на производство продукции в соответствии с установленными требованиями.
9.2. По каждому технологическому объекту должны определяться возможные составы, температура и количество направляемых в канализацию промышленных стоков. Организация отвода стоков от различных объектов должна исключать образование осадков и забивку канализации, а при смешивании - возможность образования взрывоопасных продуктов и твердых частиц.
9.3. Обслуживание, ремонт и другие работы на системах водопровода и канализации, относящиеся к газоопасным, должны выполняться в соответствии с требованиями инструкций по организации безопасного проведения газоопасных работ.
9.4. Системы канализации технологических объектов должны обеспечивать удаление и очистку химически загрязненных технологических, смывных и других стоков, образующихся как при регламентированных режимах работы производства, так и в случаях аварийных выбросов.
Сброс указанных стоков в магистральную сеть канализации без предварительной очистки, за исключением случаев, когда магистральная сеть предназначена для приема таких стоков, не допускается.
9.5. Меры по очистке стоков и удалению взрывопожароопасных продуктов должны исключать возможность образования в системе канализации взрывоопасной концентрации паров и газов.
9.6. Технологические объекты должны иметь локальные очистные сооружения, необходимость которых обосновывается в проекте.
9.7. Сооружения локальной очистки на входе и выходе потоков сбросов должны оснащаться средствами контроля содержания взрывоопасных продуктов и сигнализации превышения допустимых значений.
9.8. Очистные сооружения объектов с технологическими блоками любых категорий взрывоопасности, где возможны залповые сбросы взрывопожароопасных продуктов в канализацию, должны быть оснащены средствами автоматического контроля и сигнализации за их содержанием в производственных стоках и наличием предельно допустимых концентраций и нижнего концентрационного предела распространения пламени в рабочей зоне наружных установок.
Средства контроля выбираются с учетом конкретных условий процессов очистки стоков, их состава и обосновываются в проектной документации.
(п. 9.8 в ред.
Приказа Ростехнадзора от 26.11.2015 N 480)
9.9. Колодцы на сетях канализации не допускается располагать под эстакадами технологических трубопроводов и в пределах отбортовок и обвалований оборудования наружных установок, содержащих взрывоопасные продукты.
9.10. Водоснабжение технологических объектов в каждом конкретном случае должно осуществляться с учетом особенностей технологического процесса и исключения аварий и выбросов взрывопожароопасных продуктов в окружающую среду.
Для объектов с технологическими блоками I категории взрывоопасности в зависимости от конкретных условий проведения процесса предусматриваются резервные источники водоснабжения с системой их автоматического включения.
9.11. Водоснабжение технологических систем должно осуществляться с использованием замкнутой системы водооборота.
Электроснабжение водооборотной системы должно обеспечиваться по той же категории надежности, как и технологических объектов потребителей оборотной воды.
Для технологических объектов с блоками всех категорий взрывоопасности и технологических объектов с повышенными требованиями по теплосъему (аппараты с экзотермическими процессами) оборотное водоснабжение должно осуществляться с использованием систем водоподготовки, исключающих снижение эффективности теплообмена и забивку теплообменной аппаратуры.
9.12. Системы оборотного водоснабжения технологических объектов должны оснащаться средствами контроля и сигнализации за наличием взрывопожароопасных и токсичных веществ в водооборотной системе на выходе из технологических аппаратов (на коллекторе). При этом должны быть приняты меры, исключающие попадание этих веществ в водооборотную систему.
9.13. Прямое соединение канализации химически загрязненных стоков с хозяйственно-бытовой канализацией без гидрозатворов не допускается. При возможности попадания в стоки взрывопожароопасных и токсичных веществ должны быть предусмотрены средства контроля и сигнализации за их содержанием на выходе с установок (на коллекторе), а также меры, исключающие попадание этих веществ в хозяйственно-бытовую канализацию.
X. ЗАЩИТА ПЕРСОНАЛА ОТ ТРАВМИРОВАНИЯ
10.1. Размещение предприятия, имеющего в своем составе взрывоопасные технологические объекты, планировка его территории, объемно-планировочные решения строительных объектов должны осуществляться в соответствии с требованиями законодательства о градостроительной деятельности.
10.2. На территории предприятия, имеющего в своем составе взрывопожароопасные производства, не допускается наличие природных оврагов, выемок, низин и устройство открытых траншей, котлованов, приямков, в которых возможно скопление взрывопожароопасных паров и газов. Траншейная и наземная прокладка трасс трубопроводов с СГГ, ЛВЖ и ГЖ в искусственных или естественных углублениях не допускается.
10.3. Технологические объекты, помещения производственного, административно-хозяйственного, бытового назначения и места постоянного или временного пребывания людей, находящиеся при аварии в пределах опасной зоны, должны оснащаться эффективными системами оповещения персонала об аварии на технологическом объекте.
ПМЛА должны предусматриваться меры по выводу в безопасное место людей, не занятых непосредственно выполнением работ по ликвидации аварии.
(в ред.
Приказа Ростехнадзора от 26.11.2015 N 480)
10.4. Для вновь проектируемых взрывопожароопасных и химически опасных производственных объектов должны быть выполнены следующие требования:
обеспечена защита персонала, постоянно находящегося в помещении управления (операторные), от воздействия ударной волны (травмирования) при возможных аварийных взрывах на технологических объектах с учетом зон разрушения, а также от термического воздействия;
обеспечено бесперебойное функционирование автоматизированных систем контроля, управления, ПАЗ для перевода технологических процессов в безопасное состояние и аварийного останова технологических объектов.
(п. 10.4 в ред.
Приказа Ростехнадзора от 26.11.2015 N 480)
10.5. Расчеты массы вещества, участвующей во взрыве, и радиусов зон разрушений должны проводиться в соответствии с
приложением N 3 к настоящим Правилам.
Для обоснования иных моделей, методов расчета и компьютерных программ, в том числе зарубежных, следует указать организацию, разработавшую их, принятые модели расчета, значения основных исходных данных, литературные ссылки на используемые материалы, в том числе сведения о верификации (сертификации) компьютерных программ, в том числе зарубежных, сравнении с другими моделями и фактическими данными по расследованию аварий и экспериментам, данные о практическом использовании методик и компьютерных программ, в том числе зарубежных, для других аналогичных объектов.
(в ред.
Приказа Ростехнадзора от 26.11.2015 N 480)
XI. ОБСЛУЖИВАНИЕ И РЕМОНТ ТЕХНОЛОГИЧЕСКОГО ОБОРУДОВАНИЯ
И ТРУБОПРОВОДОВ
11.1. Порядок организации и проведения работ по техническому обслуживанию и ремонту технологического оборудования должен быть определен в нормативных технических документах эксплуатирующей организации (стандарты, положения, инструкции) по техническому обслуживанию и ремонту технологического оборудования и технических устройств с учетом условий их эксплуатации, оценки вероятности и последствий отказа, требований нормативных документов, инструкций организаций-изготовителей.
(п. 11.1 в ред.
Приказа Ростехнадзора от 26.11.2015 N 480)
11.2. Ремонт технологического оборудования должен проводиться как при полностью остановленных технологических объектах (установках), так и при их эксплуатации в зависимости от вида оборудования, наличия резерва, продолжительности межремонтного пробега, вида и объема ремонта (в том числе и при устранении выявленных неполадок).
Продолжительность работы технологических объектов (установок) между остановками для ремонта оборудования и технических устройств должна быть установлена нормативными техническими документами эксплуатирующей организации (стандарты, положения) в соответствии с требованиями документации организаций - изготовителей оборудования.
(абзац введен
Приказом Ростехнадзора от 26.11.2015 N 480)
11.3. Проведение ремонта отдельных видов оборудования на объектах с технологическими блоками любых категорий взрывоопасности в условиях действующего производства должно осуществляться в соответствии с требованиями инструкций о порядке безопасного проведения работ повышенной опасности.
(в ред.
Приказа Ростехнадзора от 26.11.2015 N 480)
11.4. Оборудование к ремонту должно подготавливаться технологическим персоналом и сдаваться руководителю ремонтных работ с записью в журнале или акте сдачи оборудования в ремонт о выполненных подготовительных работах и мероприятиях с оформлением наряда-допуска.
11.5. Порядок подготовки оборудования к ремонту, оформление наряда-допуска, сдача в ремонт и приемка из ремонта оборудования должны осуществляться в соответствии с требованиями инструкции по подготовке оборудования к ремонту и безопасному проведению ремонтных работ, разработанной для каждого технологического объекта (цеха, установки) или группы объектов, утвержденной эксплуатирующей организацией.
Общий порядок подготовки оборудования к ремонту допускается устанавливать стандартами организации.
(п. 11.5 в ред.
Приказа Ростехнадзора от 26.11.2015 N 480)
11.6. Материалы и изделия, применяемые при ремонте оборудования и технических устройств, подлежат входному контролю. Порядок проведения и объем входного контроля материалов и изделий для ремонта оборудования и технических устройств должен быть установлен в нормативных документах эксплуатирующей организации (стандарты, положения, инструкции). При проведении входного контроля следует проверять наличие сопроводительных документов, удостоверяющих качество продукции и изделий (комплектность, упаковку, маркировку, внешний вид).
(п. 11.6 в ред.
Приказа Ростехнадзора от 26.11.2015 N 480)
11.7. Газоопасные работы, связанные с подготовкой оборудования к ремонту и проведением ремонта, должны производиться в соответствии с требованиями инструкции по организации газоопасных работ на опасном производственном объекте, разработанной и утвержденной эксплуатирующей организацией.
11.8. Ремонтные работы с применением открытого огня должны производиться в соответствии с требованиями Федерального
закона от 22 июля 2008 г. N 123-ФЗ "Технический регламент о требованиях пожарной безопасности" (Собрание законодательства Российской Федерации, 2008, N 30, ст. 3579; 2012, N 29, ст. 3997) и инструкцией по организации безопасного проведения огневых работ на взрывопожароопасных и химически опасных производственных объектах, разработанной и утвержденной эксплуатирующей организацией.
11.9. В процессе ремонта оборудования технологических блоков любых категорий взрывоопасности должны проводиться пооперационный контроль качества ремонтных работ, в том числе с применением методов технической диагностики, а также комплексные или индивидуальные испытания (опрессовка, обкатка). Результаты контроля и испытаний должны отражаться в соответствующих исполнительных, отчетных документах.
При положительных результатах испытаний (опрессовка, обкатка) оборудования и при соответствии исполнительной документации нормативным требованиям производятся оценка качества ремонта по каждой единице оборудования и пуск его в дальнейшую эксплуатацию.
(п. 11.9 в ред.
Приказа Ростехнадзора от 26.11.2015 N 480)
11.10. Оценка качества ремонта оборудования (кроме техобслуживания и текущего ремонта) должна определяться заказчиком и исполнителем ремонта с учетом требований нормативно-технических документов и указываться в акте сдачи оборудования из ремонта.
11.11. Отремонтированное оборудование допускается к эксплуатации при наличии положительной оценки качества ремонта в акте сдачи оборудования из ремонта и, если показатели технических параметров (разрешенное давление в аппарате, производительность и напор компрессора или насоса) и показатели надежности соответствуют паспортным данным, а также обеспечивается установленный для данного оборудования режим работы.
11.12. Объект (блок, установка), ремонт которого закончен, должен приниматься по акту и допускаться к эксплуатации после проверки сборки технологической схемы, снятия заглушек, испытания систем на герметичность, проверки работоспособности систем контроля, сигнализации, управления и ПАЗ, эффективности и времени срабатывания междублочных отключающих (отсекающих) устройств, наличия исправного состояния средств локализации пламени и предохранительных устройств, соответствия установленного электрооборудования требованиям нормативных технических документов по устройству электроустановок, исправного состояния и требуемой эффективности работы вентиляционных систем. Должны проверяться полнота и качество исполнительной ремонтной документации, состояние территории объекта и рабочих мест, готовность обслуживающего персонала к осуществлению своих основных обязанностей и другие требования, предусмотренные нормативно-технической документацией.
Акт о приемке из ремонта объекта, разрешающий его пуск в эксплуатацию, утверждается в установленном порядке.
11.13. Вывод установок из эксплуатации на длительный период и ввод этих установок в эксплуатацию после длительных остановок должны осуществляться в соответствии с нормативными правовыми актами, регламентирующими эти процедуры.
к Федеральным нормам и правилам
в области промышленной безопасности
"Общие правила взрывобезопасности
для взрывопожароопасных химических,
нефтехимических и нефтеперерабатывающих
производств", утвержденным приказом
Федеральной службы по экологическому,
технологическому и атомному надзору
от 11.03.2013 N 96
АНАЛИЗ ОПАСНОСТЕЙ ТЕХНОЛОГИЧЕСКИХ ПРОЦЕССОВ
| | Список изменяющих документов (в ред. Приказа Ростехнадзора от 26.11.2015 N 480) | |
Анализ опасностей технологических процессов, количественная оценка риска и иные методы анализа опасностей и оценки риска являются составной частью декларирования промышленной безопасности, обоснования безопасности ОПО, риск-менеджмента и системы управления промышленной безопасностью на ОПО.
Анализ опасностей технологических процессов - методология качественного анализа опасностей, применяемая с целью исследования возможных причин аварий и инцидентов, опасностей отказов технических устройств, отклонений технологических параметров от регламентных и разработки мер по предупреждению аварий и инцидентов.
Основными методами анализа опасностей технологических процессов являются:
1. метод идентификации опасностей;
2. метод анализа опасности и работоспособности (далее - АОР).
Указанные методы применяются для обоснования технических решений, при разработке эксплуатационной (при необходимости) и проектной документации на строительство и реконструкцию, документации на техническое перевооружение, капитальный ремонт, консервацию и ликвидацию ОПО или его составной части. Результаты анализа технических решений, принятых группой специалистов различного профиля (представители проектной, независимой экспертной и эксплуатирующей организаций), оформляются в виде отчета. Отчет оформляется с указанием даты и состава участников совещаний, на которых проводился анализ, методологии анализа опасностей, описанием анализируемого объекта, опасностей, возможных причин и последствий отказов технических устройств, отклонений параметров технологических процессов от проектных или регламентных значений и иных факторов риска, а также с указанием мер защиты и рекомендаций по уменьшению риска аварий.
Метод идентификации опасностей (или предварительный анализ опасностей) основан на анализе перечня нежелательных последствий возможных аварий и инцидентов и наиболее эффективен для предварительного выявления и описания опасностей на начальном этапе проектирования, при выборе оптимальных вариантов расположения производственной площадки, размещения технологических объектов, компоновки установок и оборудования.
Применение метода АОР предпочтительно на промежуточных и завершающих стадиях разработки проекта, на которых прорабатываются основные конструктивные и технологические решения. Методом АОР исследуются опасности отказов технических устройств, отклонений технологических параметров (температуры, давления, состава материальной среды) от регламентных режимов.
При характеристике отклонения используются ключевые слова и их комбинации "нет", "больше", "меньше", "так же, как", "другой", "иначе, чем", "обратный", "давление", "температура", "состав", "техническое обслуживание", "отказ". Применение ключевых слов помогает исполнителям выявить все возможные отклонения. Конкретное сочетание этих слов с технологическими параметрами определяется спецификой рассматриваемого объекта.
В процессе исследования методом АОР оформляются рабочие таблицы для каждой рассмотренной части технологической системы (объекта). Таблицы отражают результаты работы по выявлению всех отклонений от проектного режима работы технологической системы (объекта), возможных последствий отклонения, меры защиты и рекомендации по принятию технических решений при проектировании или дальнейшему исследованию выявленной проблемы.
При рассмотрении отклонения устанавливается приоритет или уровень критичности отклонений (высокий, средний, низкий), который определяет оперативность, форму и сроки реализации рекомендаций, в том числе при разработке:
проектной документации, направляемой на экспертизу;
рабочей проектной документации (до начала строительства объекта);
эксплуатационной документации (до ввода объекта в эксплуатацию).
к Федеральным нормам и правилам
в области промышленной безопасности
"Общие правила взрывобезопасности
для взрывопожароопасных химических,
нефтехимических и нефтеперерабатывающих
производств", утвержденным приказом
Федеральной службы по экологическому,
технологическому и атомному надзору
от 11.03.2013 N 96
КАТЕГОРИЙ ВЗРЫВООПАСНОСТИ ТЕХНОЛОГИЧЕСКИХ БЛОКОВ
| | Список изменяющих документов (в ред. Приказа Ростехнадзора от 26.11.2015 N 480) | |
ПГФ - парогазовая фаза;
ЖФ - жидкая фаза;
АРБ - аварийная разгерметизация блока.
НКПР - нижний концентрационный предел распространения пламени горючей смеси.
Обозначение параметра-символа одним штрихом соответствует парогазовым состояниям среды, двумя штрихами - жидким средам, например G' и G" - соответственно масса ПГФ и ЖФ.
E - общий энергетический потенциал взрывоопасности (полная энергия сгорания ПГФ, поступившей в окружающую среду при АРБ, плюс энергия адиабатического расширения ПГФ, находящейся в блоке);

- полная энергия, выделяемая при сгорании не испарившейся при АРБ массы ЖФ;

- энергия сгорания при АРБ ПГФ, непосредственно имеющейся в блоке и поступающей в него от смежных аппаратов и трубопроводов;

- энергия сгорания ПГФ, образующейся при АРБ из ЖФ, имеющейся в блоке и поступающей в него от смежных аппаратов и трубопроводов;
A,

- энергия сжатой ПГФ, содержащейся непосредственно в блоке и поступающей от смежных блоков, рассматриваемая как работа ее адиабатического расширения при АРБ;

,

- соответственно геометрические объемы ПГФ и ЖФ в системе, блоке;

- объем ПГФ, приведенный к нормальным условиям (

,

МПа);
P,

- соответственно регламентированное абсолютное и атмосферное (0,1 МПа) давления в блоке;

- удельный объем ПГФ (в реальных условиях);

,

- масса ПГФ и ЖФ, имеющихся непосредственно в блоке и поступивших в него при АРБ от смежных объектов;

- масса ЖФ, испарившейся за счет энергии перегрева и поступившей в окружающую среду при АРБ;

,

- удельная теплота сгорания соответственно ПГФ и ЖФ;

- суммарный тепловой эффект химической реакции;
T - абсолютная температура среды: ПГФ или ЖФ;

,

- абсолютная нормальная и регламентированная температуры ПГФ или ЖФ блока, K (

K);
t,

- регламентированная и нормальная температуры ПГФ и ЖФ блока (

°C);

,

- температура кипения горючей жидкости (K или °C);

,

- скорость истечения ПГФ и ЖФ в рассматриваемый блок из смежных блоков;

- площадь сечения, через которое возможно истечение ПГФ или ЖФ при АРБ;

- скорость теплопритока к ГЖ за счет суммарного теплового эффекта экзотермической реакции;

- скорость теплопритока к ЖФ от внешних теплоносителей;
K - коэффициент теплопередачи от теплоносителя к горючей жидкости;
F - площадь поверхности теплообмена;

- разность температур теплоносителей в процессе теплопередачи (через стенку);
r - удельная теплота парообразования горючей жидкости;

- удельная теплоемкость жидкой фазы;

,

- безразмерные коэффициенты, учитывающие давление (P) и показатель адиабаты (k) ПГФ блока;

- безразмерный коэффициент, учитывающий гидродинамику потока;

,

- плотность ПГФ или ЖФ при нормальных условиях (P = 0,1 МПа и

°C) в среднем по блоку и по i-м потокам, поступающим в него при АРБ;

- время с момента АРБ до полного срабатывания отключающей аварийный блок арматуры;

- время с момента АРБ до полного прекращения экзотермических процессов;

- время с момента АРБ до полного прекращения подачи теплоносителя к аварийному блоку (прекращение теплообменного процесса);

- разность температур ЖФ при регламентированном режиме и ее кипении при атмосферном давлении;

- масса ЖФ, испарившейся за счет теплопритока от твердой поверхности (пола, поддона, обвалования и т.п.);

- масса ЖФ, испарившейся за счет теплопередачи от окружающего воздуха к пролитой жидкости (по зеркалу испарения);

- суммарная масса ЖФ, испарившейся за счет теплопритока из окружающей среды;

- площадь поверхности зеркала жидкости;

- площадь контакта жидкости с твердой поверхностью розлива (площадь теплообмена между пролитой жидкостью и твердой поверхностью);

- коэффициент тепловой активности поверхности (поддона);

- коэффициент теплопроводности материала твердой поверхности (пола, поддона, земли и т.п.);

- удельная теплоемкость материала твердой поверхности;

- плотность материала твердой поверхности;

- интенсивность испарения;
M - молекулярная масса;
R - газовая постоянная ПГФ;

- безразмерный коэффициент;

- давление насыщенного пара при расчетной температуре;

- время контакта жидкости с поверхностью пролива, принимаемое в расчет.
1. Определение значений энергетических показателей
взрывоопасности технологического блока
1. Энергетический потенциал взрывоопасности E (кДж) блока определяется полной энергией сгорания парогазовой фазы, находящейся в блоке, с учетом величины работы ее адиабатического расширения, а также величины энергии полного сгорания испарившейся жидкости с максимально возможной площади ее пролива, при этом считается:
1) при аварийной разгерметизации аппарата происходит его полное раскрытие (разрушение);
2) площадь пролива жидкости определяется исходя из конструктивных решений зданий или площадки наружной установки;
3) время испарения (время контакта жидкости с поверхностью пролива, принимаемое в расчет) определяется по формуле (15) настоящего Приложения, но не менее 15 минут и не более 60 минут:
(пп. 3 в ред.
Приказа Ростехнадзора от 26.11.2015 N 480)
1.1.

- сумма энергий адиабатического расширения A (кДж) и сгорания ПГФ, находящейся в блоке, кДж:

;

(2)
Для практического определения энергии адиабатического расширения ПГФ можно воспользоваться формулой:

, (3)
где

.

, (4)
где

;

;

.
При избыточных значениях P < 0,07 МПа и

МПа·м3 энергию адиабатического расширения ПГФ (A) ввиду малых ее значений в расчет можно не принимать.
Для многокомпонентных сред значения массы и объема определяются с учетом процентного содержания и физических свойств составляющих эту смесь продуктов или по одному компоненту, составляющему наибольшую долю в ней.
1.2.

- энергия сгорания ПГФ, поступившей к разгерметизированному участку от смежных объектов (блоков), кДж:

(5)
Для i-го потока

, (6)
где

,
при избыточном

МПа

.
1.3.

- энергия сгорания ПГФ, образующейся за счет энергии перегретой ЖФ рассматриваемого блока и поступившей от смежных объектов за время

, кДж:

(7)
Количество ЖФ, поступившей от смежных блоков:

, (8)
где

- в зависимости от реальных свойств ЖФ и гидравлических условий принимается в пределах 0,4 - 0,8;

- избыточное давление истечения ЖФ.
Примечание. При расчетах скоростей истечения ПГФ и ЖФ из смежных систем к аварийному блоку можно использовать и другие расчетные формулы, учитывающие фактические условия действующего производства, в том числе гидравлическое сопротивление систем, из которых возможно истечение.
1.4.

- энергия сгорания ПГФ, образующейся из ЖФ за счет тепла экзотермических реакций, не прекращающихся при разгерметизации, кДж:

, (9)
где

- принимается для каждого случая исходя из конкретных регламентированных условий проведения процесса и времени срабатывания отсечной арматуры и средств ПАЗ, с.
1.5.

- энергия сгорания ПГФ, образующейся из ЖФ за счет теплопритока от внешних теплоносителей, кДж:

. (10)
Значение

(кДж/с) может определяться с учетом конкретного теплообменного оборудования и основных закономерностей процессов теплообмена (

) по разности теплосодержания теплоносителя на входе в теплообменный элемент (аппарат) и выходе из него:

или

,
где

- секундный расход греющего теплоносителя;

- удельная теплота парообразования теплоносителя, а также другими существующими способами.
1.6.

- энергия сгорания ПГФ, образующейся из пролитой на твердую поверхность (пол, поддон, грунт и т.п.) ЖФ за счет тепло- и массообмена с окружающей средой (с подстилающей поверхностью и воздухом), кДж:

, (11)
где

(12)

(13)
здесь

- температура подстилающей поверхности (пола, поддона, грунта и т.п.), K;

, (14)
где

,
где

- давление насыщенного пара при расчетной температуре

, в качестве которой принимается максимальная из двух температур - температуры воздуха и температуры жидкости в проливе, кПа.
Значение безразмерного коэффициента

, учитывающего влияние скорости и температуры воздушного потока над поверхностью (зеркало испарения) жидкости, принимается по
таблице N 1.
Значения коэффициента

(в ред.
Приказа Ростехнадзора от 26.11.2015 N 480)
Скорость воздушного потока над зеркалом испарения, м/с | Значение коэффициента  при температуре воздуха в помещении над зеркалом испарения t oc, °C |
10 | 15 | 20 | 30 | 35 |
0 | 1,0 | 1,0 | 1,0 | 1,0 | 1,0 |
0,1 | 3,0 | 2,6 | 2,4 | 1,8 | 1,6 |
0,2 | 4,6 | 3,8 | 3,5 | 2,4 | 2,3 |
0,5 | 6,6 | 5,7 | 5,4 | 3,6 | 3,2 |
1,0 | 10,0 | 8,7 | 7,7 | 5,6 | 4,6 |
Примечание: для скоростей ветра более 1 м/с величина

берется равной при 1 м/с, при температуре воздуха

над зеркалом испарения более 35 °C величина

берется равной при

°C, при температуре воздуха

над зеркалом испарения менее 10 °C величина

берется равной при

°C.
Время испарения (время контакта жидкости с поверхностью пролива, принимаемое в расчет) принимается равным максимальному значению путем сравнения двух величин - характерного времени формирования взрывоопасного облака (времени достижения максимальной массы во взрывоопасных пределах) и характерного времени формирования облака для кипящих жидкостей (это величина полагается равной утроенному времени выравнивания скоростей кипения и испарения за счет действия ветра) по формуле:
(в ред.
Приказа Ростехнадзора от 26.11.2015 N 480)

, (15)
(в ред.
Приказа Ростехнадзора от 26.11.2015 N 480)
где: L0,5НКПР - расстояние, на котором ПГФ, дрейфующая от пролива площадью Fж и скоростью эмиссии mи (рассчитанной по формуле (14)), рассеивается до концентрации 0,5НКПР, м, отсчитывается от надветренной стороны, м;
(в ред.
Приказа Ростехнадзора от 26.11.2015 N 480)
Uветра - скорость воздушного потока над зеркалом испарения, принимаемая равной 1 м/с.
(в ред.
Приказа Ростехнадзора от 26.11.2015 N 480)
Ориентировочно значение

может определяться по таблице N 2.
(в ред.
Приказа Ростехнадзора от 26.11.2015 N 480)
Зависимость массы ПГФ пролитой жидкости от температуры
ее кипения при

с
Значение температуры кипения жидкой фазы  , °C | Масса парогазовой фазы  , кг (при  = 50 м2) |
Выше 60 | < 10 |
От 60 до 40 | 10 - 40 |
От 40 до 25 | 40 - 85 |
От 25 до 10 | 85 - 135 |
От 10 до -5 | 135 - 185 |
От -5 до -20 | 185 - 235 |
От -20 до -35 | 235 - 285 |
От -35 до -55 | 285 - 350 |
От -55 до -80 | 350 - 425 |
Ниже -80 | > 425 |
Для конкретных условий, когда площадь твердой поверхности пролива жидкости окажется больше или меньше 50 м2 (

), производится пересчет массы испарившейся жидкости по формуле

. (16)
2. По значениям общих энергетических потенциалов взрывоопасности E определяются величины приведенной массы и относительного энергетического потенциала, характеризующих взрывоопасность технологических блоков.
2.1. Общая масса горючих паров (газов) взрывоопасного парогазового облака m, приведенная к единой удельной энергии сгорания, равной 46 000 кДж/кг:

. (17)
2.2. Относительный энергетический потенциал взрывоопасности

технологического блока находится расчетным методом по формуле

. (18)
По значениям относительных энергетических потенциалов

и приведенной массе парогазовой среды m устанавливаются категории взрывоопасности технологических блоков.
Показатели категорий взрывоопасности технологических блоков
Категория взрывоопасности | | m, кг |
I | > 37 | > 5000 |
II | 27 - 37 | 2000 - 5000 |
III | < 27 | < 2000 |
3. С учетом изложенных в данном приложении основных принципов могут разрабатываться методики расчетов и оценки уровней взрывоопасности блоков для типовых технологических линий или отдельных процессов.
к Федеральным нормам и правилам
в области промышленной безопасности
"Общие правила взрывобезопасности
для взрывопожароопасных химических,
нефтехимических и нефтеперерабатывающих
производств", утвержденным приказом
Федеральной службы по экологическому,
технологическому и атомному надзору
от 11.03.2013 N 96
ПОСЛЕДСТВИЙ ВЗРЫВА И КРИТЕРИИ ВЗРЫВОУСТОЙЧИВОСТИ ЗДАНИЙ
| | Список изменяющих документов (в ред. Приказа Ростехнадзора от 26.11.2015 N 480) | |
В целях обоснования безопасного размещения установок, зданий, сооружений на территории взрывопожароопасного производственного объекта следует проанализировать риск взрыва парогазовых сред, топливно-воздушных смесей (далее - ТВС), образующихся при аварийном выбросе сжиженных углеводородных газов, горючих и легковоспламеняющихся жидкостей, газоконденсата и иных опасных (горючих, воспламеняющихся) веществ. Риск взрыва является мерой опасности, характеризующей возможность и тяжесть последствий взрыва. Оценка риска взрыва является частью анализа риска аварии, в том числе применяемого для обоснования взрывоустойчивости зданий и сооружений на ОПО.
Результаты расчетов зон поражения, разрушения (последствий взрыва) и показателей риска взрыва необходимо применять при выборе технических мероприятий по взрывозащите объектов и персонала от ударно-волнового воздействия взрыва облаков ТВС, а также твердых и жидких химически нестабильных соединений (перекисные соединения, ацетилениды, нитросоединения различных классов, продукты осмоления, треххлористый азот), способных взрываться без смешения с воздухом.
Расчеты размеров зон поражения следует проводить по одной из двух методик:
1) методика оценки зон поражения, основанная на "тротиловом эквиваленте" взрыва опасных веществ;
2) методика, учитывающая тип взрывного превращения (детонация/дефлаграция) при воспламенении ТВС.
Расчет зон поражения при взрывах твердых и жидких химически нестабильных соединений, а также для приближенного расчета последствий взрыва ТВС внутри замкнутых объемов (помещений) следует проводить согласно методике, основанной на "тротиловом эквиваленте".
Расчеты зон поражения при взрывах ТВС на наружных установках следует проводить согласно методикам, учитывающим рассеивание (дрейф) облаков ТВС и тип взрывного превращения (детонация/дефлаграция) при воспламенении ТВС.
Источники воспламенения ТВС могут быть постоянные (печи, факелы, невзрывозащищенная электроаппаратура) или случайные (временные огневые работы, транспортные средства).
1. Методика оценки зон поражения, основанная на "тротиловом эквиваленте" взрыва опасных веществ.
1.1. Для оценки уровня воздействия взрыва может применяться "тротиловый эквивалент" взрыва Wт (кг), определяемый по условиям адекватности характера и степени разрушения при взрывах с участием иных веществ и смесей. Расчет проводится по формуле:

, (1)
где: Wk - масса твердых и жидких химически нестабильных соединений, определяемая по их содержанию в технологической системе, блоке, аппарате, кг;
qk - удельная энергия взрыва твердых и жидких химически нестабильных соединений, кДж/кг;
qT - удельная энергия взрыва тринитротолуола (далее - ТНТ), кДж/кг.
1.2. Для расчета последствий взрыва ТВС по "тротиловому эквиваленту" внутри замкнутых объемов (помещений) следует учитывать m' - приведенную массу горючих (парогазовых) веществ, участвующих во взрыве:
m' = zm, (2)
где: z - доля приведенной массы парогазовых веществ, участвующих во взрыве, принимаемая согласно таблице N 1;
m - масса горючих паров (газов), кг, определяемая по формуле (17), согласно подпункту 2.1 приложения N 2 к настоящим Правилам.
Величина m', кг, также может определяться по формуле (9) согласно подпункту 2.1 приложения N 3 к настоящим Правилам.
"Тротиловый эквивалент" взрыва Wт, кг, рассчитывается по формуле:

, (3)
где: 0,4 - доля энергии взрыва парогазовой среды, затрачиваемая непосредственно на формирование ударной волны;
0,9 - доля энергии взрыва ТНТ, затрачиваемая непосредственно на формирование ударной волны;
q' - удельная теплота сгорания парогазовой среды, равная 46 000 кДж/кг;
qТ - удельная энергия взрыва ТНТ, кДж/кг.
Значение z для замкнутых объемов (помещений)
Вид горючего вещества | z |
Водород | 1,0 |
Горючие газы | 0,5 |
Пары легковоспламеняющихся и горючих жидкостей | 0,3 |
1.3. Зоной разрушения считается площадь с границами, определяемыми радиусами R, центром которой являются рассматриваемый технологический блок или наиболее вероятное место разгерметизации технологической системы. Границы каждой зоны характеризуются значениями избыточных давлений на фронте падающей ударной волны

и соответственно безразмерным коэффициентом K.
Классификация зон разрушения приводится в таблице N 2.
Классификация зон разрушения типовых зданий и оборудования
Класс зоны разрушения | K |  , кПа | Возможные последствия, характер повреждений зданий и сооружений |
1 | 3,8 |  100 | Полное разрушение зданий с массивными стенами |
2 | 5,6 | 70 | Разрушение стен кирпичных зданий толщиной в 1,5 кирпича; перемещение цилиндрических резервуаров; разрушение трубопроводных эстакад |
3 | 9,6 | 28 | Разрушение перекрытий промышленных зданий; разрушение промышленных стальных несущих конструкций; деформации трубопроводных эстакад |
4 | 28 | 14 | Разрушение перегородок и кровли зданий; повреждение стальных конструкций каркасов, ферм |
5 | 56 | <= 2 | Граница зоны повреждений зданий; частичное повреждение остекления |
1.4. Радиус зоны разрушения, м, в общем виде определяется выражением:

, (4)
где: K - безразмерный коэффициент, характеризующий воздействие взрыва на объект.
При массе паров m более 5000 кг радиус зоны разрушения может определяться выражением:

. (5)
2. Методика, учитывающая тип взрывного превращения (детонация/дефлаграция) при воспламенении ТВС.
2.1. В данной методике учитывается дрейф и тип взрывного превращения (детонация/дефлаграция) при воспламенении облаков ТВС.
Для расчетов зон разрушения при взрывах ТВС следует использовать следующие соотношения.
Масса горючего вещества, способного участвовать во взрыве m
г (кг), определяется путем интегрирования концентрации выброшенного при аварии горючего вещества по пространству, ограниченному поверхностями

и

, по формуле:

, (6)
где: x, y, z - пространственные переменные;

и

- поверхности в пространстве достижения соответственно верхнего и нижнего концентрационных пределов; c(x, y, z, t
0) - распределение концентрации в момент времени t
0, кг/м3; t
0 - момент времени воспламенения, с.
Если в результате расчета по формуле (6) в первичном облаке во взрывоопасных пределах окажется масса больше 10% всей массы топлива, находящейся в первичном облаке, то масса топлива во взрывоопасных пределах первичного облака принимается равной 10% всей массы топлива, находящейся в первичном облаке.
Рассчитываются основные параметры воздушных ударных волн (избыточное давление

и импульс волны давления I) в зависимости от расстояния до центра облака (в том числе с учетом возможного дрейфа облака ТВС).
Для вычисления параметров воздушной ударной волны на заданном расстоянии R от центра облака при детонации облака ТВС предварительно рассчитывается соответствующее безразмерное расстояние по соотношению:
Rx = R / (E / P0)1/3, (7)
где: E - эффективный энергозапас ТВС, Дж (E = mгq, где q - теплота сгорания топлива в облаке, mг - масса сгораемого топлива); P0 - атмосферное давление, Па.
При расчете параметров взрыва облака, лежащего на поверхности земли, величина эффективного энергозапаса удваивается.
Далее рассчитываются безразмерное давление Px и безразмерный импульс фазы сжатия Ix.
2.1.1. В случае детонации облака газовой ТВС расчет производится по следующим формулам:

, (8)

. (9)
Зависимости (8) и (9) справедливы для значений Rx больших 0,2 и меньших 6,5. В случае Rx < 0,2 величина Px полагается равной 18, а в выражение (9) подставляется значение Rx = 0,142, где Rx - безразмерный радиус от центра ТВС.
В случае детонации облака гетерогенной ТВС расчет производится по следующим формулам:

, (10)

. (11)
Зависимости (10) и (11) справедливы для значений Rx больше величины 0,25. В случае если Rx < 0,25, величина Px полагается равной 18, а величина Ix = 0,16.
2.1.2. В случае дефлаграционного взрывного превращения облака ТВС к параметрам, влияющим на величины избыточного давления и импульса положительной фазы, добавляются скорость видимого фронта пламени V
г и степень расширения продуктов сгорания

. Для газовых смесей принимается

= 7, для гетерогенных -

= 4. Для расчета параметров ударной волны при дефлаграции гетерогенных облаков величина эффективного энергозапаса смеси домножается на коэффициент

. Величина V
г определяется исходя из взрывоопасных свойств горючего вещества и загроможденности окружающего пространства, влияющего на турбулизацию фронта пламени.
Безразмерные давление Px1 и импульс фазы сжатия Ix1 определяются по соотношениям:

, (12)

, (13)
где C0 - скорость звука в воздухе, м/с.
Последние два выражения справедливы для значений Rx больше величины 0,34, в противном случае Rx в соотношениях (12) и (13) полагается равным 0,34.
Далее вычисляются величины Px2 и Ix2, которые соответствуют режиму детонации и для случая детонации газовой смеси рассчитываются по соотношениям (8), (9), а для детонации гетерогенной смеси - по соотношениям (10), (11) (в формулах (8) - (11) величинам Px2 и Ix2 соответствуют величины Px и Ix). Окончательные значения Px и Ix выбираются из условий:
Px = min(Px1, Px2), Ix = min(Ix1, Ix2). (14)
После определения безразмерных величин давления и импульса фазы сжатия вычисляются соответствующие им размерные величины:

, (15)
I = Ix(P0)2/3E1/3/C0. (16)
2.2. Для расчета условной вероятности разрушения объектов и поражения людей ударными волнами используется пробит-функция, значение которой определяется следующим образом:
а) вероятность повреждений стен промышленных зданий, при которых возможно восстановление зданий без их сноса, может оцениваться по соотношению:

, (17)
где функция V1 определяется по следующей формуле:

,
где:

- избыточное давление, Па;
I - импульс, Па*с;
б) вероятность разрушений промышленных зданий, при которых здания подлежат сносу, оценивается по соотношениям:

, (18)
где функция

.
При взрывах ТВС внутри резервуаров, разрушении оборудования, содержащего газ под давлением, в общем случае следует учитывать опасность разлета осколков и последующее развитие аварии, сопровождаемое "эффектом домино", с распространением аварии на соседнее оборудование, если оно содержит опасные вещества;
в) вероятность длительной потери управляемости у людей (состояние нокдауна), попавших в зону действия ударной волны при взрыве облака ТВС, может быть оценена по величине пробит-функции:

, (19)
где функция

,

,

,
где mт - масса тела живого организма, кг;
г) вероятность разрыва барабанных перепонок у людей от уровня перепада давления в воздушной волне определяется по формуле:

. (20)
Вероятность отброса людей волной давления оценивается по величине пробит-функции:

, (21)
где функция

.
При использовании пробит-функций в качестве зон 100-процентного поражения принимаются зоны поражения, где значение пробит-функции достигает величины, соответствующей вероятности 90 процентов. В качестве зон, безопасных с точки зрения воздействия поражающих факторов, принимаются зоны поражения, где значение пробит-функции достигает величины, соответствующей вероятности 1 процента.
2.3. Для расчета условной вероятности гибели людей, находящихся в зданиях, используются данные о гибели людей при разрушении зданий при взрывах и землетрясениях. Исходя из типа зданий и избыточного давления ударной волны оценивается степень разрушения производственных и административных зданий. Данные приведены в
таблице N 3. Условная вероятность травмирования и гибели людей определяется по
таблице N 4.
Данные уточняются при их обосновании с указанием источника информации.
Данные о степени разрушения производственных,
административных зданий и сооружений, имеющих
разную устойчивость
Тип зданий, сооружений | Степень разрушения при избыточном давлении на фронте падающей ударной волны, кПа |
Слабое | Среднее | Сильное | Полное |
1 | 2 | 3 | 4 | 5 |
Промышленные здания с легким каркасом и бескаркасной конструкцией | 10 - 25 | 25 - 35 | 35 - 45 | > 45 |
Складские кирпичные здания | 10 - 20 | 20 - 30 | 30 - 40 | > 40 |
Одноэтажные складские помещения с металлическим каркасом и стеновым заполнением из листового металла | 5 - 7 | 7 - 10 | 10 - 15 | > 15 |
Бетонные и железобетонные здания и антисейсмические конструкции | 25 - 35 | 80 - 120 | 150 - 200 | > 200 |
Здания железобетонные монолитные повышенной этажности | 25 - 45 | 45 - 105 | 105 - 170 | 170 - 215 |
Котельные, регуляторные станции в кирпичных зданиях | 10 - 15 | 15 - 25 | 25 - 35 | 35 - 45 |
Деревянные дома | 6 - 8 | 8 - 12 | 12 - 20 | > 20 |
Подземные сети, трубопроводы | 400 - 600 | 600 - 1000 | 1000 - 1500 | > 1500 |
Трубопроводы наземные | 20 | 50 | 130 | - |
Кабельные подземные линии | до 800 | - | - | > 1500 |
Цистерны для перевозки нефтепродуктов | 30 - 50 | 50 - 70 | 70 - 80 | > 80 |
Резервуары и емкости стальные наземные | 35 - 55 | 55 - 80 | 80 - 90 | > 90 |
Подземные резервуары | 40 - 75 | 75 - 150 | 150 - 200 | > 200 |
Зависимость условной вероятности поражения человека
с разной степенью тяжести от степени разрушения здания
Тяжесть поражения | Степень разрушения |
Полное | Сильное | Среднее | Слабое |
1 | 2 | 3 | 4 | 5 |
Смертельное | 0,6 | 0,49 | 0,09 | 0 |
Тяжелые травмы | 0,37 | 0,34 | 0,1 | 0 |
Легкие травмы | 0,03 | 0,17 | 0,2 | 0,05 |
3. Критерии взрывоустойчивости зданий.
3.1. Взрывоустойчивость здания при внешнем взрыве обеспечивается, если выполняется условие, при котором здание находится вне возможных зон действия падающей ударной волны с амплитудой давления на фронте, превышающей предельное давление, на которое рассчитано здание:

, (22)
где: Pпр - предельное давление на фронте падающей ударной волны, на которое рассчитано рассматриваемое здание;

- давление на фронте падающей на здание ударной волны;
n - номер сценария (n = 1, 2, ..., N);
N - число сценариев со взрывом.
При отсутствии точных данных значение P
пр определяется по
таблице N 3, соответствующей нижнему значению средней степени разрушения здания с учетом его типа.
3.2. В случае невозможности выполнения условия (22) для обоснования взрывоустойчивости следует использовать результаты количественного анализа риска взрыва и критерий, согласно которому частота разрушения здания Rр в течение года не должна превышать допустимую величину Rдоп:
Rр < Rдоп. (23)
Величина Rдоп обосновывается в проектной документации или принимается согласно нормативным методическим документам.
Расчет риска разрушения здания Rр определяется по формуле:

, (24)
где: P(j) - расчетная частота достижения в j-ом сценарии параметров падающей ударной волны, приводящей к разрушению здания (определяется методами количественной оценки риска);
G - число сценариев, при которых реализуются условия разрушения здания.
При оценке риска взрыва следует использовать частоты разгерметизации типового оборудования согласно
таблицам N 5 -
8. Данные уточняются при их обосновании с указанием источника информации.
Частота разгерметизации технологических трубопроводов
Внутренний диаметр трубопровода | Частота разгерметизации, год-1 · м-1 |
Разрыв на полное сечение, истечение из двух концов трубы | Истечение через отверстие с эффективным диаметром 10 % от номинального диаметра трубы, но не больше 50 мм |
1 | 2 | 3 |
Менее 75 мм | 1 x 10-6 | 5 x 10-6 |
От 75 до 150 мм | 3 x 10-7 | 2 x 10-6 |
Более 150 мм | 1 x 10-7 | 5 x 10-7 |
Примечания. 1. Частоты приведены для технологических трубопроводов, не подверженных интенсивной вибрации, не работающих в агрессивной среде, при отсутствии эрозии, не подверженных циклическим тепловым нагрузкам. 2. При наличии указанных факторов частота повышается в 3 - 10 раз в зависимости от специфики условий. 3. Разгерметизация на фланцевых соединениях добавляется к разгерметизациям на трубопроводах. Одно фланцевое соединение по частоте разгерметизации приравнивается к 10 м трубопровода. 4. Длина трубопровода не менее 10 м. При меньшей длине она считается равной 10 м. |
Частота разгерметизации насосов
Тип насоса | Частота разгерметизации, год-1 |
Катастрофическое разрушение с эффективным диаметром отверстия, равным диаметру наибольшего трубопровода | Утечка через отверстие с номинальным диаметром 10 % от диаметра наибольшего трубопровода, но не больше 50 мм |
Насосы | 1 x 10-4 | 5 x 10-4 |
Корпусы насосов из кованой стали | 5 x 10-5 | 2,5 x 10-4 |
Герметичные насосы | 1 x 10-5 | 5 x 10-5 |
Частота разгерметизации сосудов под давлением
Тип оборудования | Частота разгерметизации, год-1 |
Полное разрушение, мгновенный выброс | Продолжительный выброс через отверстие диаметром 10 мм |
C1 | C2 |
1 | 2 | 3 |
Сосуды под давлением | 1 x 10-6 | 1 x 10-5 |
Технологические аппараты (ректификационные колонны, конденсаторы и фильтры) | 1 x 10-5 | 1 x 10-4 |
Химические реакторы | 1 x 10-5 | 1 x 10-4 |
Примечания. 1. Частота понижается, если при изготовлении сосуда использованы специальные технические решения, обеспечивающие снижение аварийности, однако частота полной разгерметизации (мгновенный выброс (C1)) не может быть ниже 1·10-7 1/год. 2. Частота разгерметизации повышается, если для сосуда обычные условия обеспечения целостности не выполняются либо имеются другие обстоятельства, приводящие к повышению частоты. Если внешние воздействия не могут быть исключены, то значение частоты полного разрушения увеличивается на величину 1·10-5 1/год для мгновенного выброса (C1). |
Частота разгерметизации резервуаров
и изотермических хранилищ
Тип оборудования | Частота разгерметизации, год-1 |
Полное разрушение | Продолжительный выброс в окружающую среду через отверстие диаметром 10 мм | Продолжительный выброс в межстенное пространство через отверстие диаметром 10 мм |
Мгновенный выброс всего объема в окружающую среду | Мгновенный выброс всего объема в межстенное пространство |
1 | 2 | 3 | 4 | 5 |
Одностенный резервуар <а> | 1 x 10-5 | - | 1 x 10-4 | - |
Резервуар с внешней защитной оболочкой <б> | 1 x 10-6 | 1 x 10-6 | - | 1 x 10-4 |
Резервуар с двумя оболочками <в> | 2,5 x 10-8 | 1 x 10-7 | - | 1 x 10-4 |
Резервуар полной герметизации <г> | 1 x 10-8 | - | | |
Заглубленный резервуар <д> | - | 1 x 10-8 | - | - |
| 1 x 10-8 | - | - | - |
Примечания: <а> имеется одна оболочка, предназначенная для хранения жидкости. Вторая (внешняя) оболочка может присутствовать, однако она обеспечивает защиту только от воздействия окружающей среды и при разрушении внутренней оболочки не может удерживать ни газ, ни жидкость; <б> имеются внутренняя оболочка для хранения жидкости и внешняя защитная оболочка, обеспечивающая удержание жидкости при утечке из внутренней оболочки, но не обеспечивающая удержание газа. Внешняя оболочка не обеспечивает защиту от внешних воздействий (взрыва, воздействия разлетающихся обломков и термического воздействия); <в> имеются первичная оболочка для жидкости и внешняя оболочка. Внешняя оболочка может удерживать пролитую жидкость и защищать от различных внешних воздействий, таких как взрывы, воздействие разлетающихся обломков и термическое воздействие, однако не предусматривает удержание газа (паров); <г> имеются внутренняя и внешняя оболочки. Внешняя оболочка обеспечивает удержание пролитой жидкости и пара и защищает от различных внешних воздействий, таких как взрывы, воздействие разлетающихся обломков и термическое воздействие; <д> уровень жидкости в хранилище находится ниже уровня земли; <е> хранилище полностью закрыто грунтом, уровень жидкости находится ниже уровня земли. |