Главная // Актуальные документы // Методические рекомендацииСПРАВКА
Источник публикации
М., 2008
Примечание к документу
Документ утратил силу в связи с изданием
Распоряжения Росавтодора от 05.05.2022 N 1414-р.
Рекомендован к применению с 01.06.2008 (
Распоряжение Росавтодора от 30.05.2008 N 203-р).
Название документа
"ОДМ 218.5.002-2008. Методические рекомендации по применению полимерных геосеток (георешеток) для усиления слоев дорожной одежды из зернистых материалов"
(утв. Распоряжением Росавтодора от 30.05.2008 N 203-р)
"ОДМ 218.5.002-2008. Методические рекомендации по применению полимерных геосеток (георешеток) для усиления слоев дорожной одежды из зернистых материалов"
(утв. Распоряжением Росавтодора от 30.05.2008 N 203-р)
от 30 мая 2008 г. N 203-р
ОТРАСЛЕВОЙ ДОРОЖНЫЙ МЕТОДИЧЕСКИЙ ДОКУМЕНТ
МЕТОДИЧЕСКИЕ РЕКОМЕНДАЦИИ
ПО ПРИМЕНЕНИЮ ПОЛИМЕРНЫХ ГЕОСЕТОК (ГЕОРЕШЕТОК)
ДЛЯ УСИЛЕНИЯ СЛОЕВ ДОРОЖНОЙ ОДЕЖДЫ
ИЗ ЗЕРНИСТЫХ МАТЕРИАЛОВ
ОДМ 218.5.002-2008
1. Разработаны специалистами ФГУП "РосдорНИИ" (канд. техн. наук Ю.Р. Перков, А.П. Фомин, А.Е. Мерзликин, инженеры Е.В. Никанычева, О.Б. Коренков, О.В. Труфанова, Ю.И. Косарев, Н.Д. Еременко) и ООО НТЦ "Геотехнологии" (канд. техн. наук С.О. Гунин, Г.В. Киселев, А.В. Стрельцов). При разработке рекомендаций учтены результаты исследований, выполненных СПб. ВИТУ и ОАО "СоюздорНИИ". В качестве основы методики проектирования армированных дорожных одежд принята методика расчета ООО НТЦ "Геотехнологии".
2. Внесены Управлением строительства и проектирования автомобильных дорог Федерального дорожного агентства Министерства транспорта РФ.
3. Изданы
Распоряжением Федерального дорожного агентства от 30.05.2008 N 203-р.
4. Введены впервые.
5. Имеют рекомендательный характер.
Настоящие Рекомендации предназначены для нормирования применения полимерных геосеток (георешеток) для усиления несущих оснований нежестких дорожных одежд автомобильных дорог общего пользования или переходного типа покрытий, устраиваемых из необработанных зернистых материалов. Они могут быть также использованы при регламентации усиления дорожных одежд других объектов транспортного строительства, в частности, городских дорог, автомобильных дорог промышленных и сельскохозяйственных предприятий, временных автомобильных дорог, подъездных путей, площадок для остановки и стоянки автомобилей и т.д.
Рекомендации дополняют положения действующих документов, касающихся проектирования нежестких дорожных одежд
(ОДН 218.046-01) и применения геосинтетических материалов
(2.16), в части нормирования применения геосеток (георешеток) для усиления дорожных одежд. ОДМ рекомендуется использовать при:
- проектировании дорожных одежд строящихся автомобильных дорог;
- проектировании дорожных одежд участков уширения существующих автомобильных дорог;
- выполнении ремонтных работ на отдельных ослабленных участках существующих автомобильных дорог, если предусмотрена замена дорожной одежды.
Рекомендации содержат методику проектирования армированных дорожных одежд и технологию производства работ. Применение армирования слоев дорожных одежд из зернистых материалов позволяет продлить сроки службы, повысить эксплуатационную надежность дорожных конструкций, уменьшить толщины слоев дорожной одежды.
В настоящем методическом документе использованы ссылки на следующие нормативно-технические документы:
2.2.
ГОСТ Р 50277-92. Материалы геотекстильные. Метод определения поверхностной плотности
2.3.
ГОСТ 9.049-91. Единая система защиты от старения. Материалы полимерные и их компоненты. Методы лабораторных испытаний к воздействию плесневых грибов
2.4.
ГОСТ 2678-94. Материалы рулонные кровельные и гидроизоляционные. Методы испытаний
2.5.
ГОСТ 8267-93. Щебень и гравий из плотных горных пород для строительных работ. Технические условия
2.6.
ГОСТ 12020-72. Пластмассы. Методы определения стойкости к действию химических сред
2.7.
ГОСТ 25607-94. Смеси щебеночно-гравийно-песчаные для покрытий и оснований автомобильных дорог и аэродромов. Технические условия
2.12.
ВСН 8-89. Инструкция по охране природной среды при строительстве, ремонте и содержании автомобильных дорог
2.13.
ВСН 19-89. Правила приемки работ при строительстве и ремонте автомобильных дорог
2.14.
ВСН 37-84. Инструкция по организации движения и ограждению мест производства работ
2.16.
Рекомендации по применению геосинтетических материалов при строительстве и ремонте автомобильных дорог (взамен ВСН 49-86). ФГУП "Информавтодор", - М., 2003
2.17.
Руководство по строительству оснований и покрытий автомобильных дорог из щебеночных и гравийных материалов. СоюздорНИИ. - М., 1999.
Примечание. При пользовании настоящими Рекомендациями целесообразно проверить действие ссылочных стандартов, классификаторов и других документов в информационной системе общего пользования - на официальном сайте национального органа Российской Федерации по стандартизации в сети Интернет или по ежегодно издаваемому информационному указателю "Национальные стандарты", который опубликован по состоянию на 1 января текущего года, и по соответствующим ежемесячно издаваемым информационным указателям, опубликованным в текущем году, или по другим источникам. Если ссылочный документ заменен (изменен), то при пользовании настоящими Рекомендациями следует руководствоваться замененным (измененным) документом. Если ссылочный документ отменен без замены, то положение, в котором дана ссылка на него, применяется в части, не затрагивающей эту ссылку.
В настоящем документе применены следующие термины с соответствующими определениями.
3.1. Термины, определяющие вид материала:
георешетка: плоский полимерный материал жесткой сетчатой структуры, жестко скрепленный в узлах с образованием ячеек размерами, большими, чем размеры ребер (выделяется также по параметрам "относительный показатель деформативности в плоскости георешетки" и "относительная прочность узлов" -
таблица 5.1 и
Приложение Б.2);
геосетка: плоский полимерный материал, состоящий из параллельных рядов ребер, перекрытых и сплетенных, как правило, элементами той же структуры под различными углами с образованием эластичной сетчатой структуры (выделяется также по параметрам "относительный показатель деформативности в плоскости георешетки" и "относительная прочность узлов" -
таблица 5.1 и
Приложение Б.2);
геосетка (георешетка) одноосноориентированная: геосетка (георешетка), имеющая повышенные показатели механических свойств в одном направлении - продольном (направлении раскатки рулона);
геосетка (георешетка) двухосноориентированная: геосетка (георешетка), имеющая близкие (отличающиеся не более чем на 20%) механические свойства в продольном и поперечном направлениях;
ребра геосетки (георешетки): основные элементы геосетки (георешетки) в виде плоских пластин, объединяемых в узлах с образованием ячеек;
узлы геосетки (георешетки): места объединения ребер, имеющие (для георешеток) повышенную по отношению к ребрам толщину;
ориентирование: технологический процесс, позволяющий повысить механические свойства полимера;
экструзия: процесс плавления и выдавливания под давлением термопластического полимера с рядом добавок со специальными функциями;
геокомпозит: многослойный материал из скрепленных в плоскости слоев (не менее двух слоев) геосетки (георешетки) и нетканого материала.
3.2. Термины и условные обозначения, определяющие геометрические параметры геосеток (георешеток) - см. также
п. Г.1 Приложения Г:
размер ячейки в продольном (поперечном) направлении

(

): расстояние между осями ребер в направлении длины (ширины) материала;
ширина ребер в продольном (поперечном) направлении

(

): минимальная ширина ребер, расположенных в направлении длины (ширины) материала;
толщина ребер в продольном (поперечном) направлении

(

): минимальная толщина ребер, расположенных в направлении длины (ширины) материала;

- толщина узлов;

- ширина рулона;

- длина рулона;

(

) - площадь сечения ребер, расположенных в направлении длины (ширины) материала.
3.3. Термины и условные обозначения, определяющие основные механические свойства геосеток (георешеток):
прочность при растяжении в продольном (поперечном) направлении

(

): максимальное растягивающее усилие при одноосном растяжении образца в направлении длины (ширины) материала с постоянной скоростью растяжения, отнесенное к ширине образца (выражается в кН/м, определяется по методике
п. Б.1 Приложения Б);

(

) - относительная деформация в продольном (поперечном) направлении при разрыве (см.
Приложение Б.1);

(

) - относительная деформация при максимальном растягивающем усилии в направлении длины (ширины) материала, %;

и

- усилие в образце в направлении длины (ширины) материала, отнесенное к ширине образца, возникающее при определенной относительной деформации

(как правило,

= 2% и

= 5%, см.
Приложение Б.1), кН/м;

и

- условный показатель деформативности в направлении длины (ширины) материала, определяемый при фиксированном значении относительной деформации по
Приложению Б.1, кН/м;

- относительная прочность узлов сетки, определяемая по
Приложению Б.2 (в % к

или

);

(

) - условный показатель жесткости в плоскости материала по направлению его длины (ширины), определяемый по
Приложению Б.2 (в % к

или

);

(

) - условный показатель сопротивляемости местным повреждениям в направлении длины (ширины) материала, определяемый по
Приложению Б.3 (в % к

или

).
3.4. Термины и условные обозначения, определяющие дополнительные механические свойства геосеток (георешеток), не регламентируемые требованиями
раздела 5 (определяются по методике
Приложения Б.1):

- условное значение модуля упругости для геосетки (георешетки), МПа;

,

- условное значение модуля упругости для ребра сетки, МПа;

,

- показатель деформативности материала, Н.
3.5. Термины, определяющие отдельные показатели геосеток (георешеток), не упомянутые в
пп. 2.2,
2.3:
поверхностная плотность

- отношение массы образца определенного размера к его площади, определяемая по
ГОСТ Р 50277 (г/м2);
стойкость к агрессивным воздействиям - группа показателей, характеризуемая в
разделе 5;

(

) - число ребер геосетки (георешетки) на 1 пог. м материала по направлению длины (ширины). Может определяться нецелым числом (с точностью до десятых долей).
4.1. Введение в конструкцию дорожной одежды георешетки (геосетки) позволяет усилить дорожную одежду и предупредить взаимопроникновение материалов контактирующих слоев. Усиление достигается благодаря совместной работе георешетки (геосетки) с зернистым материалом основания (покрытия переходного типа), приводящей к блокировке (ограничению перемещений) отдельных зерен этого материала в ячейках геосетки (георешетки). Образованный композитный слой "зернистый материал + георешетка" обладает лучшими механическими свойствами, прежде всего, повышенной устойчивостью к воздействию динамических нагрузок.
4.2. С позиций критериев расчета на прочность
ОДН 218.046-01 наибольшее влияние образование композитного слоя (армирование) оказывает на величину активных напряжений сдвига, возникающих в грунтовом слое, расположенном непосредственно под композитным слоем основания.
4.3. Область рационального использования георешеток (геосеток) с учетом положений
пп. 4.1, 4.2:
- дорожная одежда имеет в своем составе слой несущего основания из неукрепленных зернистых материалов (щебень, гравий, щебеночно-гравийно-песчаные смеси, шлак и др.) или имеет покрытие переходного типа из таких материалов;
- определяющим критерием при расчете дорожной одежды является условие сдвигоустойчивости грунта дополнительного слоя основания или грунта рабочего слоя земляного полотна при его отсутствии, то есть
условие (3.11) ОДН 218.046-01. Этот критерий является, как правило, определяющим при расположении под несущим основанием песчаного слоя (непылеватые пески), а также при проектировании дорожных одежд под расчетные нагрузки групп А2, А3.
4.4. Выбор армирующего материала и получаемый в результате армирования эффект зависит от свойств армирующего материала и материала основания. Они должны отвечать требованиям
раздела 5 настоящих Рекомендаций.
4.5. Проектирование нежестких дорожных одежд постоянных автомобильных дорог с армированными основаниями выполняют в соответствии с
разделом 6. Применяемый при проектировании полуэмпирический метод расчета справедлив при следующих условиях:
- для армирования используются георешетки в определении
п. 3.1 настоящих Рекомендаций с размерами ячеек в пределах 33 - 41 мм;
- несущий слой основания создается из зернистых материалов с максимальной крупностью зерен до 80 мм.
4.6. Проектирование дорожных одежд временных дорог может выполняться в соответствии с
Приложением А.
4.7. Получаемый в результате армирования оснований (покрытий переходного типа) эффект выражается в:
- продлении сроков службы, повышении эксплуатационной надежности дорожных конструкций, улучшении транспортно-эксплуатационных показателей автомобильных дорог;
- возможности уменьшения толщин слоев дорожной одежды, материалоемкости, транспортных расходов, сроков строительства.
4.8. Выбор конструкций дорожных одежд выполняют на основе технико-экономического сопоставления вариантов. При этом следует учитывать возникающий в сопоставлении с традиционными решениями технический эффект, связанный с повышением надежности дорожных конструкций, качества строительства, долговечности, что не всегда может быть точно оценено количественно. При строительстве и ремонте автомобильных дорог, особенно высоких технических категорий, а также в сложных погодно-климатических и грунтово-гидрологических условиях, наличие такого эффекта при его надлежащем техническом обосновании может оказаться более существенным с точки зрения работоспособности, транспортно-эксплуатационных качеств дорожной конструкции, чем получение единовременной экономии средств по другим из сопоставляемых вариантов.
4.9. Отдельные положения настоящих Рекомендаций могут уточняться на основе опыта строительства, новых данных исследований, обобщенных применительно к конкретным разновидностям и маркам армирующих материалов в соответствующих технических документах, утвержденных в установленном порядке.
5. Требования к материалам
5.1. Дополнительные требования к материалам дорожных одежд не предъявляются, однако рекомендуется соблюдать определенные соотношения между крупностью зерен материала армируемого основания и размером ячеек георешеток (геосеток), обеспечивающие совместность их работы.
Для зернистых фракционированных материалов должны соблюдаться следующие соотношения:
0,5(d + D) > 0,7A, (5.1)
D <= 2,0A,
d >= 0,5A,
где d и D - наименьшие и наибольшие номинальные размеры зерен материала основания;
A - средний размер ячейки (среднее между значениями

и

в определении
п. 3.2).
5.2. При армировании оснований георешетками (геосетками) с размерами ячейки в пределах 33 - 41 мм допустимо применение в качестве материала оснований фракционированного щебня по
ГОСТ 8267 фракций 20 - 40 мм, 40 - 70 (80) мм или готовых щебеночно-песчаных, гравийно-песчаных и щебеночно-гравийно-песчаных смесей С4 и С5 по
ГОСТ 25607.
5.3. Применяемые для армирования дорожных одежд постоянных автомобильных дорог георешетки (геосетки) должны отвечать требованиям по наличию технической документации
(п. 5.4) и параметрам, определяющим технологичность применения
(п. 5.5), долговечность
(п. 5.6), возможность применения
(п. 5.7) и эффективность применения
(п. 5.8). Перечень и общая характеристика параметров по
пп. 5.5 -
5.8 представлены в таблице 5.1.
Таблица 5.1
и общая характеристика регламентируемых параметров
полимерных армирующих материалов при применении
в конструкциях постоянных автомобильных дорог
┌───┬───────────────┬───────────────────────┬─────────────────────────────┐
│ N │ Параметр │ Характеристика │ Регламентация │
│п/п│ │ параметра │ │
├───┼───────────────┼───────────────────────┼─────────────────────────────┤
│ 1 │ 2 │ 3 │ 4 │
├───┼───────────────┴───────────────────────┴─────────────────────────────┤
│ 1 │ Параметры, определяющие стойкость к различным │
│ │ агрессивным воздействиям │
├───┼───────────────┬───────────────────────┬─────────────────────────────┤
│1.1│Состав сырья │Определяет стойкость к │Ограничение по применению │
│ │ │биологическим, │полиэфирных материалов при │
│ │ │химическим, │pH >= 9, повышенные │
│ │ │температурным │требования к упаковке и │
│ │ │воздействиям │хранению для полипропиленовых│
│ │ │ │материалов │
├───┼───────────────┼───────────────────────┼─────────────────────────────┤
│1.2│Химическая │Метод 2
ГОСТ 12020 │Снижение прочности не более │
│ │стойкость │ │10% │
├───┼───────────────┼───────────────────────┼─────────────────────────────┤
│1.3│Биологическая │Грибоустойчивость │Подтверждение характеристики │
│ │стойкость │по
ГОСТ 9.049 │по грибоустойчивости - │
│ │ │ │не выше ПГ │
│ │ │ │ 113 │
├───┼───────────────┼───────────────────────┼─────────────────────────────┤
│1.4│Температурные │Гибкость при │Обеспечение гибкости при │
│ │воздействия │отрицательных │температуре -30° и радиусе │
│ │ │температурах │закругления 50 - 80 мм │
├───┼───────────────┼───────────────────────┼─────────────────────────────┤
│1.5│Технологические│Метод
Приложения Б.3 │Снижение прочности не более │
│ │воздействия │ │10%. Для полиэфирных │
│ │ │ │материалов - отсутствие │
│ │ │ │повреждений защитного │
│ │ │ │покрытия (дополнительно) │
├───┼───────────────┴───────────────────────┴─────────────────────────────┤
│ 2 │ Геометрические параметры и вес рулона │
├───┼───────────────┬───────────────────────┬─────────────────────────────┤
│2.1│Ширина │Определяет │Возможность изменения в │
│ │ │технологичность │диапазоне 2 - 4 м с │
│ │ │применения и отсутствие│кратностью не выше 0,5 м, │
│ │ │перерасхода материала │возможность поставки шириной │
│ │ │ │более 3,5 м │
├───┼───────────────┼───────────────────────┼─────────────────────────────┤
│2.2│Вес рулона │Определяет │Вес рулона - в пределах │
│ │ │технологичность │60 - 70 кг │
│ │ │применения │ │
├───┼───────────────┼───────────────────────┼─────────────────────────────┤
│2.3│Размер ячейки │Определяет │Для наиболее распространенных│
│ │геосетки │эффективность │материалов оснований (фракции│
│ │(георешетки) │применения, зависит от │20 - 40 мм, 40 - 70 мм, смеси│
│ │ │гранулометрии материала│С4, С5) размер ячейки для │
│ │ │армирующего основания │геосеток 25 - 40 мм, для │
│ │ │ │георешеток 33 - 40 мм │
├───┼───────────────┴───────────────────────┴─────────────────────────────┤
│3 │ Механические свойства │
├───┼───────────────┬───────────────────────┬─────────────────────────────┤
│ │растяжении │(определяет сохранность│ │
│ │R (R ) │материала при укладке) │ │
│ │ LR TR │ │ │
├───┼───────────────┼───────────────────────┼─────────────────────────────┤
│ │деформация при │(определяет сохранность│до 30 кН/м не ниже 10% │
│ │разрыве │материала при укладке) │ │
│ │эпсилон │ │ │
│ │ LRmax │ │ │
│ │(эпсилон ) │ │ │
│ │ TRmax │ │ │
├───┼───────────────┼───────────────────────┼─────────────────────────────┤
│ │деформация при │(может влиять на │ │
│ │максимальной │эффективность │ │
│ │нагрузке │применения) │ │
│ │эпсилон │ │ │
│ │ LRR │ │ │
│ │(эпсилон ) │ │ │
│ │ TRR │ │ │
├───┼───────────────┼───────────────────────┼─────────────────────────────┤
│ │показатель │(определяет │ R │
│ │деформативности│эффективность │эпсилон = 2% │
│ │E' (E' ) при │применения) │ │
│ │ LR TR │ │ │
│ │деформации │ │ │
│ │эпсилон │ │ │
├───┼───────────────┼───────────────────────┼─────────────────────────────┤
│ │прочность │(идентификационный │ R │
│ │узловых │параметр) │ │
│ │соединений R │ │ │
│ │ jR │ │ │
├───┼───────────────┼───────────────────────┼─────────────────────────────┤
│ │показатель │(идентификационный │ R(эпсилон) │
│ │деформативности│параметр, влияющий │ │
│ │в плоскости │на эффективность │ │
│ │материала G │применения) │ │
│ │ R │ │ │
└───┴───────────────┴───────────────────────┴─────────────────────────────┘
Примечание. Условные обозначения по
разделу 2 Рекомендаций.
5.4. Применение армирующих материалов возможно при наличии:
5.4.1. Стандартов организаций на армирующий материал, содержащих область применения, нормативные ссылки, термины и определения (рекомендуется придерживаться терминологии, представленной в
разделе 3), технические требования (рекомендуется характеризовать все параметры по
пп. 5.5 -
5.8, в том числе не определяемые при текущем контроле производителем), требования безопасности, охраны окружающей среды, правила приемки, методы контроля (рекомендуется применение методов контроля по
таблице 5.1), правила транспортирования и хранения (рекомендуется учитывать положения
п. 5.6), указания по эксплуатации, гарантии изготовителя;
5.4.2. Документов, регламентирующих область применения материала конкретной марки, составляемых на основе оценки параметров свойств по пп. 5.5 -
5.8, разработанных или согласованных организациями, представляющими отрасль потребителя (заключения, рекомендации по применению и др.);
5.4.3. Сертификатов соответствия, выданных с учетом положений документов по п. 5.4.2 и протоколов испытаний организаций, представляющих отрасль потребителя.
5.5. Форма поставки армирующих материалов должна обеспечивать возможность немеханизированной их укладки на объекте строительства и отсутствие или минимальный перерасход материалов. Возможность соблюдения этого условия обеспечивается регламентацией параметров по
пп. 2.1,
2.2 таблицы 5.1.
5.6. Применяемые в дорожных конструкциях постоянных автомобильных дорог армирующие материалы должны иметь срок службы, превышающий срок службы дорожных одежд. Возможность соблюдения этого условия косвенно обеспечивается регламентацией параметров по
пп. 1.1,
1.2,
1.3 таблицы 5.1, а также учетом положений п. 5.7.
5.7. Возможность применения армирующих материалов определяется их сохранностью при укладке на контакте зернистый материал - грунт при воздействии нагрузок от занятой на строительстве техники (стойкостью к технологическим воздействиям, которые обычно превышают эксплуатационные). Соблюдение этого условия обеспечивается регламентацией параметров по
пп. 1.5,
3.1,
3.3.
5.8. Эффективность применения определяется показателями, характеризующими деформативность армирующих материалов (
пп. 3.3,
3.4,
3.6 таблицы 5.1) и структурные особенности (
пп. 2.3,
3.5 таблицы 5.1). Регламентация этих параметров выполнена в
таблице 5.1 в минимальной степени, поскольку выбор армирующего материала определяется эффектом применения в конкретном проектном решении (
раздел 6 Рекомендаций).
5.9. При проектировании армированных дорожных одежд рекомендуется использовать значения показателей механических свойств, представленные в
Приложении Г или документах по
пп. 5.4.1,
5.4.2.
6. Методика проектирования
6.1. Конструктивные решения
Армирование применяют при новом строительстве и в случаях, когда предусмотрена замена существующей дорожной одежды
(рисунок 6.1, а), а также на участках уширения автомобильных дорог
(рисунок 6.1, б). Георешетку (геосетку) располагают на контакте между несущим слоем основания из необработанных зернистых материалов и песчаным дополнительным слоем основания или грунтом земляного полотна при его отсутствии в дорожных одеждах с усовершенствованными типами покрытия
(рисунок 6.1, в). Для дорожных одежд с переходным типом покрытия георешетку (геосетку) располагают под покрытием из зернистых материалов
(рисунок 6.1, г).
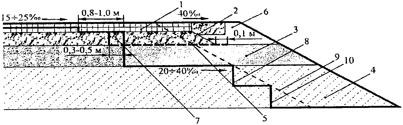
Рисунок 6.1. Армирование оснований дорожных одежд при новом
строительстве (а), выполнении работ по уширению (б)
и конструкции армированных дорожных одежд
усовершенствованного (в) и переходного (г) типов:
1 - асфальтобетонное покрытие; 2 - щебеночное основание;
3 - песчаный дренирующий слой; 4 - грунт земляного полотна;
5 - георешетка; 6 - связный грунт на обочине;
7 - подломка края основания; 8 - контур уширения;
9 - контур старого откоса; 10 - уступы
Решение по армированию принимают с учетом области рационального использования георешеток (геосеток) по
п. 4.3 и следующих дополнительных положений:
- рекомендуется применение георешеток (геосеток) под несущими основаниями капитальных дорожных одежд для дорог с тяжелым и интенсивным движением;
- рекомендуется применение георешеток (геосеток) в дорожных одеждах переходного типа как первоочередной конструкции стадийного строительства.
В этих случаях определяющим фактором для принятия решения о применении георешеток (геосеток) может оказаться выполнение ими не только армирующих функций, но и функций разделения (предотвращение взаимопроникновения материалов смежных слоев, ведущего к снижению долговечности конструкции).
Выбор материалов выполняют с учетом требований
раздела 5, назначение толщин слоев дорожной одежды - на основе расчета по п. 6.2.
6.2.1. Расчет армированных дорожных одежд выполняют по
ОДН 218.046-01 с введением коэффициентов усиления, зависящих от деформативных свойств георешеток, толщин слоев, механических свойств материалов дорожных одежд и грунтов рабочего слоя земляного полотна. Приводимые коэффициенты усиления справедливы для материалов, отвечающих требованиям
п. 4.5 и
раздела 5.
6.2.2. Коэффициенты усиления вводятся при расчете дорожных одежд по критерию упругого прогиба (пп. 6.2.3,
6.2.6), критерию сдвигоустойчивости грунта, подстилающего зернистое основание (
пп. 6.2.4,
6.2.7), и критерию сопротивления материалов монолитных слоев возникающим в них растягивающим напряжениям
(п. 6.2.5).
6.2.3. Расчет армированных дорожных одежд капитального и облегченного типов по допускаемому упругому прогибу (расчетная схема по рисунку 6.2).
Рисунок 6.2. Расчетная схема дорожной одежды капитального
и облегченного типов, армированной георешеткой
Конструкция дорожной одежды в целом удовлетворяет требованиям прочности и надежности по величине упругого прогиба при условии

, (6.1)
где

- расчетный общий модуль упругости неармированной конструкции определяется по
п. 3.27 [2.15] либо вычисляется по формуле (6.2) послойно, снизу вверх, начиная с рабочего слоя:

, (6.2)
где

- общий модуль упругости полупространства, подстилающего i-й слой, МПа;
i - номер рассматриваемого слоя дорожной одежды (i = 1, ..., n);

- модуль упругости i-го слоя дорожной конструкции, МПа;

- минимальный требуемый общий модуль упругости конструкции (определяется по
п. 3.25 [2.15]), МПа;

- требуемый коэффициент прочности дорожной одежды по критерию упругого прогиба (определяемого по
п. 3.6 [2.15]);
h - толщина i-го слоя дорожной одежды, м;

- эквивалентная толщина слоя дорожной одежды, м,

;
| | ИС МЕГАНОРМ: примечание. Текст дан в соответствии с официальным текстом документа. | |

- требуемый коэффициент прочности дорожной одежды по критерию упругого прогиба (определяемого по
п. 3.6 [2.15]);

- коэффициент усиления (коэффициент увеличения общего модуля упругости армированной дорожной конструкции), определяемый по уравнению

, (6.3)
где

- отношение суммарной толщины монолитных слоев покрытия (

) к диаметру отпечатка колеса расчетного автомобиля (D)
(рисунок 6.2);

- отношение суммарной толщины несущих слоев основания дорожной одежды (

) к диаметру отпечатка колеса расчетного автомобиля (D)
(рисунок 6.2);

- отношение средневзвешенного значения модуля упругости монолитных слоев покрытия (

) к условному модулю упругости композитного слоя "зернистый материал + георешетка" (

). Величина

принимается по
таблице Д.7;

- отношение средневзвешенного значения модуля упругости несущих слоев основания (

) к условному модулю упругости композитного слоя "зернистый материал + георешетка" (

);

- отношение общего модуля упругости основания (

), подстилающего композитный слой "зернистый материал + георешетка", к условному модулю упругости композитного слоя "зернистый материал + георешетка" (

);

,

,

,

,

,

,

,

,

,

,

,

,

,

,

,

,

,

,

,

,

- коэффициенты уравнения, принимаемые по
таблице Д.1.

, МПа, (6.4)
где c - эмпирический коэффициент, зависящий от расчетной нагрузки на ось;

- суммарное число приложений расчетной нагрузки за срок службы дорожной одежды.
6.2.4. Расчет по условию сдвигоустойчивости грунта, подстилающего композитный слой "зернистый материал + георешетка".
Сдвигоустойчивость (отсутствие накопления недопустимых деформаций сдвига) при динамическом воздействии нагрузки для дорожной одежды с армированным основанием обеспечивается при соблюдении условия

. (6.5)
Сдвигоустойчивость (отсутствие накопления недопустимых деформаций сдвига) при статическом воздействии нагрузки для дорожной одежды с армированным основанием обеспечивается при соблюдении условия

, (6.6)
где T - активное расчетное напряжение сдвига (принимается по
п. 3.34 [2.15]);

- предельная величина активного напряжения сдвига (определяется по
п. 3.35 [2.15]);

- требуемый коэффициент прочности (принимается по
п. 3.6 [2.15]);

,

- коэффициенты усиления (коэффициенты снижения активных напряжений сдвига), определяемые по уравнению вида (6.7) при значениях коэффициентов уравнения для различных значений угла внутреннего трения основания, представленных в
таблице Д.2.

. (6.7)

, (6.8)
где

- удельное сцепление в грунте земляного полотна (промежуточном песчаном слое), принимаемое с учетом повторности нагрузки, МПа;

- коэффициент, учитывающий особенности работы конструкции на границе песчаного слоя с нижним слоем несущего основания, а также на границе грунта земляного полотна (при отсутствии песчаного слоя) - с нижним слоем несущего основания. Принимается по
п. 3.35 [2.15]. При укладке георешетки на границе песчаного слоя (грунта земляного полотна) и нижнего слоя несущего основания

= 2;
z - глубина расположения поверхности слоя (от верха конструкции), проверяемого на сдвигоустойчивость, м;

- средневзвешенный удельный вес конструктивных слоев одежды, расположенных выше проверяемого слоя, МН/м3.
6.2.5. Расчет конструкции на сопротивление монолитных слоев усталостному разрушению от растяжения при изгибе (обозначения - по
ОДН 218.046-01).
В монолитных слоях дорожной одежды напряжения, возникающие при прогибе одежды под действием повторных кратковременных нагрузок, не должны в течение заданного срока службы приводить к образованию трещин от усталостного разрушения. Для этого должно быть обеспечено условие:
- для неармированных конструкций

, (6.9)
- для конструкций, армированных георешеткой

, (6.10)
где

- требуемый коэффициент прочности по данному критерию;

- прочность материала слоя на растяжение при изгибе с учетом усталостных явлений;

,

- наибольшие растягивающие напряжения в рассматриваемых слоях.
Наибольшие растягивающие напряжения при изгибе в монолитном слое неармированной конструкции от единичной нагрузки -

, либо армированной конструкции -

определяются по
рис. 3.4 [2.15] либо по формулам (6.11), (6.12) после приведения реальной конструкции к двухслойной модели:

, (6.11)

, (6.12)
где

- суммарная толщина монолитных слоев покрытия, м;
D - расчетный диаметр отпечатка колеса, м;

- средневзвешенный модуль упругости монолитных слоев покрытия, МПа;

- эквивалентная толщина искусственного основания, м. Значение

вычисляется по формулам:
- при определении

;
- при определении

;

- общий модуль упругости неармированного основания, подстилающего рассматриваемый монолитный слой, МПа;

- общий модуль упругости армированного основания, подстилающего рассматриваемый монолитный слой, МПа.
При армировании несущего слоя основания георешеткой общий модуль основания определяется по выражению:

, (6.13)
где

- общий модуль упругости основания, подстилающего покрытие, МПа;

- коэффициент усиления (коэффициент увеличения общего модуля упругости основания армированной дорожной конструкции), определяемый по уравнению:

. (6.14)
Наибольшее растягивающее напряжение

определяется по формуле:

, (6.15)
где

- растягивающее напряжение в монолитном слое от единичной нагрузки;
p - давление колеса расчетного автомобиля на покрытие, МПа;

- коэффициент, учитывающий особенности напряженного состояния покрытия конструкции под спаренным баллоном,

= 0,85 (при расчете под однобаллонное колесо

= 1,00).
Прочность материала монолитного слоя при многократном воздействии нагрузок определяется по формуле:

, (6.16)
где

- нормативное значение предельного сопротивления растяжению при изгибе в условиях расчетной весенней температуры и однократного приложения нагрузки, МПа (см.
табл. 1 прил. 3
[2.15]);

- коэффициент, учитывающий снижение прочности материалов вследствие усталостных явлений при многократных нагружениях, определяемый по
формуле (6.17);

- коэффициент, учитывающий снижение прочности во времени от воздействия погодно-климатических факторов, определяемый по
табл. 3.6 [2.15];

- коэффициент вариации прочности материала на растяжение (см.
прил. 4 [2.15]);
Коэффициент

, отражающий влияние усталостных процессов на прочность материалов, вычисляется по формуле

, (6.17)
где

- расчетное суммарное число приложений расчетной нагрузки за срок службы монолитного покрытия с учетом числа расчетных суток за срок службы;
m - показатель, зависящий от свойств материала рассчитываемого монолитного слоя (см.
табл. 1 прил. 3
[2.15]);

- коэффициент, учитывающий различие в реальном и лабораторном режимах растяжения повторной нагрузкой, а также вероятность совпадения во времени расчетной температуры покрытия и расчетного состояния грунта рабочего слоя по влажности (см.
табл. 1 прил. 3
[2.15]).
6.2.6. Расчет армированных дорожных одежд переходного и низшего типов по допускаемому упругому прогибу.
Конструкция дорожной одежды в целом удовлетворяет требованиям прочности и надежности по величине упругого прогиба при условии

, (6.18)
где

- требуемый коэффициент прочности;

- коэффициент усиления (коэффициент увеличения общего модуля упругости армированной дорожной конструкции), определяемый по уравнению

, (6.19)
где

- отношение суммарной толщины слоев дорожной одежды, расположенных над георешеткой (

), к диаметру отпечатка колеса расчетного автомобиля (D)
(рисунок 6.3);

- отношение значения общего модуля упругости основания (

), подстилающего композитный слой "зернистый материал + георешетка", к условному модулю упругости композитного слоя "зернистый материал + георешетка" (

). Величина

принимается по
таблице Д.7;

- отношение средневзвешенного модуля упругости слоев дорожной одежды, расположенных над георешеткой (

), к условному модулю упругости композитного слоя "зернистый материал + георешетка" (

);

,

,

,

,

,

,

,

,

,

- коэффициенты уравнения, принимаемые по
таблице Д.5.
Рисунок 6.3. Расчетная схема дорожной одежды переходного
и низшего типов, армированной георешеткой
6.2.7. Расчет по условию сдвигоустойчивости грунта, подстилающего композитный слой "зернистый материал + георешетка".
Сдвигоустойчивость (отсутствие накопления недопустимых деформаций сдвига) при воздействии нагрузки для дорожных одежд с армированными основаниями обеспечивается при соблюдении условия:

, (6.20)
где T - активное расчетное напряжение сдвига (принимается по
п. 3.34 [2.15]);

- предельная величина активного напряжения сдвига (определяется по
п. 3.35 [2.15]);

- требуемый коэффициент прочности (принимается по
п. 3.6 [2.15]);

- коэффициент усиления (коэффициент снижения активных напряжений сдвига), определяемый по уравнению

. (6.21)
Здесь обозначения те же, что и в
выражении (6.19). Коэффициенты уравнения для различных значений угла внутреннего трения основания принимаются по
таблице Д.6.
6.2.8. Оценка срока службы армированных дорожных одежд. Расчеты по
пп. 6.2.3,
6.2.6 приводят к снижению толщин слоев дорожной одежды или к увеличению срока ее службы. При сохранении толщин слоев армированной дорожной одежды без изменения при выполнении условия прочности по сопротивлению материалов монолитных конструктивных слоев возникающим в них растягивающим напряжениям при изгибе, соответствующий увеличенный срок службы может быть определен по зависимости

, (6.22)
где

- суммарное расчетное число приложений нагрузки за расчетный срок службы для армированной дорожной одежды, определяемое по
рисунку 6.4 при значении

(см.
п. 6.2.3) или исходя из
зависимости 3.10 [2.15];
Рисунок 6.4. Зависимость общего расчетного модуля упругости
конструкции

от суммарного расчетного числа приложений
нагрузки за расчетный срок службы,

, Q - нормативная
статическая нагрузка на ось расчетного автомобиля
6.2.9. Общий порядок расчета может быть принят в соответствии с примером расчета, представленным в
Приложении В.
7. Особенности технологии производства работ
7.1. Технология и организация строительного процесса при применении армирования, включая подготовку объекта, схему организации рабочей зоны в период производства работ, организацию труда, контроль качества и техники безопасности, подчиняются общим правилам при производстве земляных работ и работ по устройству дорожной одежды. При производстве работ следует руководствоваться требованиями
СНиП 2.05.02-85*,
СНиП 3.06.03-85,
СНиП 12-03-2001,
СНиП 12-04-2002,
ВСН 8-89,
ВСН 19-89,
ВСН 37-84, а также положениями Рекомендаций (
пп. 2.16,
2.17).
7.2. Особенности технологии производства работ связаны с введением дополнительной операции по укладке георешетки (геосетки) и введением дополнительных требований к выполнению работ по устройству слоя основания, расположенного непосредственно над георешеткой. Общая технологическая схема производства работ представлена на рисунке 7.1.
Рисунок 7.1. Технология производства работ:
а - при новом строительстве; б - при уширении; в - схема
расположения анкеров; г - конструкция анкера
7.3. Укладку георешетки выполняют на выровненном и уплотненном грунтовом основании (песчаном дополнительном слое основания) путем раскатки рулона с периодическим (через 10 - 15 м) выравниванием полотна и легким его натяжением без образования складок
(рисунок 7.2, а). Как правило, крепления георешетки к нижележащему слою не требуется и нежелательно, поскольку препятствует натяжению полотна при образовании "волны" в процессе отсыпки вышележащего слоя (
рисунок 7.2, г,
п. 7.4).
Рисунок 7.2. Отдельные рабочие операции при армировании
дорожных одежд:
а - укладка георешетки; б - отсыпка материала несущего
основания; в - разравнивание материала по способу
"от себя"; г - образование "волны" перед
разравниваемым слоем
Однако в отдельных случаях для сохранения проектного положения георешеток при возможном воздействии технологических нагрузок, возникающих при отсыпке и разравнивании вышележащего слоя (начало рулона, отсыпка материала основания с существующего покрытия при уширении), а также при сильных ветровых воздействиях, георешетка может крепиться анкерами по
рисунку 7.1, г. Расположение анкеров при разных способах устройства вышележащего слоя показано на
рисунке 7.1, в (анкера располагаются через 10 - 15 м по длине со снижением этого расстояния в случае устройства уширения до 6 м у края полотна, ближайшего к направлению отсыпки вышележащего слоя; в начале рулона и в местах перекрытия рулонов устанавливаются 3 анкера по ширине, в других местах - 2 анкера по ширине).
Перекрытие полотен по длине и по ширине не менее 30 см. Направление перекрытия назначают с учетом направления отсыпки и разравнивания материала вышележащего слоя для исключения "задирания" полотна на перекрытии (при отсыпке по способу "от себя" конец полотна засыпаемого слоя располагается над началом следующего полотна; при отсыпке с существующего покрытия в случае устройства уширения ближайшее к стороне отсыпки полотно располагают выше).
Георешетка (геосетка) укладывается на ширину слоя основания с запасом не менее толщины слоя зернистого материала плюс 0,1 м в каждую сторону.
7.4. Отсыпку на уложенную георешетку крупнофракционного материала основания выполняют по способу "от себя" (
рисунок 7.2, б,
в). Основные условия устройства слоя основания - недопущение заезда построечного транспорта на открытую поверхность полотна, постепенное разравнивание отсыпанного материала основания за несколько проходов с последовательной надвижкой материала основания на георешетку. При образовании волны
(рисунок 7.2, г) следует выполнять натяжение геосетки (георешетки). В процессе надвижки рекомендуется по возможности соблюдать минимальное расстояние по потоку между операциями по устройству слоя основания и раскатке рулонов (но не ближе 20 м) для обеспечения

возможностей по натяжению геосетки (георешетки). Материал основания должен быть отсыпан на георешетку в течение рабочей смены.
7.5. При выполнении работ по
пп. 7.3,
7.4 визуально оценивается качество укладываемых полотен. Фиксируются дефекты внешнего вида (разрывы, вырывы, другие нарушения сплошности ребер и узлов, перекос ячеек, наличие включений, загрязнений, наличие перегибов или следов перегибов на ребрах, ровность кромок). Также фиксируется величина перекрытия смежных полотен по ширине и длине, длина материала в рулоне и ширина, их соответствие документации (маркировке на рулонах, данным паспорта на партию материала). По результатам контроля составляется акт на скрытые работы.
ОСОБЕННОСТИ ПРИМЕНЕНИЯ ПОЛИМЕРНЫХ ГЕОРЕШЕТОК
ПРИ СТРОИТЕЛЬСТВЕ ВРЕМЕННЫХ ДОРОГ
1. Положения настоящего Приложения могут быть применены для проектирования временных автомобильных дорог со сроком службы, не превышающим трех лет при значении модуля деформации на поверхности грунта, подстилающего армирующий материал, не ниже 8 МПа.
2. При строительстве временных дорог требования к армирующим материалам могут быть приняты по
разделу 5 Рекомендаций с учетом следующих уточнений:
- параметры по
пп. 1.2,
1.3,
1.4 (в части дополнительных требований к полиэфирным материалам) таблицы 5.1 не регламентируются;
- при возможности возникновения на поверхности создаваемого покрытия в период строительства или в начальный период эксплуатации деформаций (колейности), превышающих 10 см, должна быть выполнена пробная укладка армирующих материалов на объекте для уточнения возможности их применения, исходя из технологических воздействий (визуальная оценка состояния армирующего материала после снятия уложенного и уплотненного материала покрытия; при наличии повреждений - также оценка механических свойств отобранных образцов с учетом регламентации по
п. 1.5 таблицы 5.1).
3. Конструктивные решения для временных автомобильных дорог аналогичны представленным конструкциям дорожных одежд с переходным типом покрытия
(рис. 6.1). Назначение дорожных одежд выполняют на основе расчета по допустимой величине деформации покрытия (п. 4), допустимому давлению на поверхности грунтового основания
(п. 5) и допустимой относительной деформации армирующего материала
(п. 6).
4. Расчет по допустимой величине деформации покрытия. Конструкция дорожной одежды удовлетворяет требованиям прочности и надежности при соблюдении условия

, (А.1)
где

- расчетный эквивалентный модуль деформации на поверхности покрытия, МПа;

- требуемый модуль деформации на поверхности покрытия с учетом допустимой величины деформации покрытия, МПа.
Требуемый модуль деформации дорожной одежды определяется из условия, чтобы накапливающаяся под действием повторных нагрузок деформация S не превысила нормированную величину. Требуемый модуль деформации назначается по зависимости:

, (А.2)
где P - удельное давление на покрытие от расчетной нагрузки, МПа;
D - диаметр отпечатка колеса расчетного автомобиля, м;
S - допускаемая вертикальная осадка поверхности покрытия, м;
k - коэффициент, отражающий агрессивность повторных нагрузок, вызывающих нарастание остаточных деформаций;

, (А.3)
где

- число проходов (воздействий) расчетной нагрузки в грузовом направлении за расчетный период.
Независимо от результатов расчета

>= 30 МПа.
Расчетный эквивалентный модуль деформации на поверхности покрытия

определяется послойно снизу вверх, начиная с грунта земляного полотна, по зависимости (А.4):

, (А.4)
где

- модуль деформации грунтового основания, МПа;

- средневзвешенный модуль деформации слоев дорожной одежды, МПа;

- общая толщина слоев дорожной одежды, м.
Эквивалентный модуль деформации армированной дорожной конструкции определяется по зависимости:

, (А.5)
где

- эквивалентный модуль деформации армированной дорожной конструкции, МПа;

- эквивалентный модуль деформации неармированной дорожной конструкции, МПа.
Значения коэффициентов упрочнения

определяются с помощью выражений (А.6 -
А.8):
- для георешеток типа СД-20:

, (А.6)
- для георешеток типа СД-30:

, (А.7)
- для георешеток типа СД-40:

. (А.8)
5. Расчет дорожных одежд по допустимому давлению на поверхность грунтового основания. Конструкция дорожной одежды удовлетворяет требованиям прочности при соблюдении условия:

, (А.9)
где

- вертикальные напряжения, возникающие в грунте с учетом распределяющей способности дорожной одежды, МПа;

- максимальное допускаемое напряжение в грунте, при котором сохраняется линейная зависимость между давлением и осадкой, МПа.
Действующие вертикальные напряжения определяются по зависимости:

, (А.10)
где P - давление на покрытие от расчетной нагрузки, МПа;

- коэффициент, характеризующий убывание вертикальных напряжений в дорожной одежде и определяемый по зависимости:

, (А.11)
где a = 1,7; 1,8; 1,9 - для дорожных одежд, армированных георешетками СД-20, СД-30, СД-40 с условными показателями деформативности

350, 525, 700 кН/м, соответственно, отвечающих также требованиям
пп. 3.5,
3.6 таблицы 5.1;
a = 1,0 - для неармированных дорожных одежд;

- эквивалентная толщина слоев дорожной одежды, м, определяемая по зависимости:

,
где

- общая толщина слоев дорожной одежды, м;

- модуль деформации i-го слоя дорожной одежды, МПа;

- модуль деформации грунтового основания, МПа.
Допускаемые напряжения

определяются по зависимости:

, (А.12)
где c - удельное сцепление грунта основания, МПа;

- угол внутреннего трения грунта основания, град;

- средневзвешенный удельный вес слоев дорожной одежды, МН/м3.
6. Расчет по допустимой относительной деформации армирующего материала. Для исключения возникновения пластических деформаций армирующих материалов должно выполняться условие:

, (А.13)
где

- относительная деформация геосетки (георешетки) в конструкции;

- предельная относительная деформация георешетки, равная 0,1 (10%) для полипропиленовых материалов.
Значение относительной деформации

определяется по формуле:

, (А.14)
где

- деформация, возникающая в период строительства (

= 0,015);

- эквивалентная толщина слоев дорожной одежды, м.
Остальные обозначения - по
п. 4 Приложения А.1.
7. Общий порядок расчета может быть принят в соответствии с примером расчета, представленным в
Приложении Е. Ориентировочные значения модулей деформации материалов в конструкциях дорожной одежды представлены в таблице А.1.
Таблица А.1
Ориентировочные значения модулей деформации материалов
в конструкциях дорожных одежд
┌────┬──────────────────────────────────────┬────────────────────┐
│ N │ Наименование дорожно-строительных │ Расчетные модули │
│п.п.│ материалов │деформаций E , МПа │
│ │ │ од │
├────┼──────────────────────────────────────┼────────────────────┤
│1 │Пески мелкие │ 15 - 20 │
├────┼──────────────────────────────────────┼────────────────────┤
│2 │Пески средние │ 25 - 30 │
├────┼──────────────────────────────────────┼────────────────────┤
│3 │Пески крупные │ 35 - 40 │
├────┼──────────────────────────────────────┼────────────────────┤
│4 │Дресва горных пород │ 35 - 45 │
├────┼──────────────────────────────────────┼────────────────────┤
│5 │Горные породы отвалов │ 50 - 60 │
├────┼──────────────────────────────────────┼────────────────────┤
│6 │Пакеляж из каменных пород │ 80 │
├────┼──────────────────────────────────────┼────────────────────┤
│7 │Гравий крупных фракций и гравий │ 60 - 90 │
│ │карьерный без подбора состава, ПГС │ │
├────┼──────────────────────────────────────┼────────────────────┤
│8 │Грунтощебень (щебня 60%) без вяжущего │ 60 │
├────┼──────────────────────────────────────┼────────────────────┤
│9 │Щебень несортированный из каменных │ 80 │
│ │горных пород не ниже 3 марки │ │
├────┼──────────────────────────────────────┼────────────────────┤
│10 │Известковый щебень │ 110 │
├────┼──────────────────────────────────────┼────────────────────┤
│11 │Щебень из каменных пород 3 марки, │ 110 │
│ │укладываемый по принципу заклинки │ │
├────┼──────────────────────────────────────┼────────────────────┤
│12 │Гранитный щебень │ 130 │
├────┼──────────────────────────────────────┼────────────────────┤
│13 │Щебень из каменных пород 1 - 2 марки, │ 130 │
│ │укладываемый по принципу заклинки │ │
└────┴──────────────────────────────────────┴────────────────────┘
Примечание. Уточнение модулей деформации местных дорожно-строительных материалов возможно на основе выполнения послойных штамповых испытаний.
8. Технология производства работ при строительстве временных дорог может быть принята по
разделу 7 настоящих Рекомендаций с учетом следующих особенностей:
- предпочтительный способ укладки георешетки - поперек оси земляного полотна с перекрытием соседних полотен не менее чем на 30 см. Допустима укладка вдоль оси земляного полотна при увеличении перекрытия соседних полотен (не менее 50 см);
- рекомендуется производить распределение зернистого материала над георешеткой бульдозером легкого и среднего типа с постепенным перемещением под углом к оси дороги по способу "от себя".
ОСНОВНЫЕ ПОЛОЖЕНИЯ МЕТОДОВ ОЦЕНКИ
МЕХАНИЧЕСКИХ СВОЙСТВ ГЕОРЕШЕТОК (ГЕОСЕТОК),
ПРИМЕНЯЕМЫХ ДЛЯ АРМИРОВАНИЯ
ЗЕРНИСТЫХ МАТЕРИАЛОВ
Б.1. Метод испытаний на растяжение (испытания по "схеме 1")
Сущность метода испытания состоит в одноосном растяжении образцов геосетки с постоянной скоростью деформирования 20 мм/мин до их разрыва (допускаемая скорость при текущем контроле производителя 20 - 50 мм/мин при обязательном указании принимаемой скорости). Схема испытаний - по рисунку Б.1, б.
Рисунок Б.1. Испытания по "схеме 1"
Применяемые образцы - прямоугольные размером 200 мм (ширина b) на 100 мм ("рабочая" длина в направлении растяжения l), содержащие не менее 5 ребер геосетки по ширине и не менее одного ребра по длине, не считая ребер, расположенных под зажимами установки для растяжения (допустимо испытание одного ребра при текущем контроле производителя, допустимо испытание образца из двух ребер по ширине при размере ячеек материала выше 75 мм). Количество образцов - не менее 5 в каждом направлении (по длине рулона, по ширине рулона).
Применяемое оборудование должно обеспечивать получение полной диаграммы деформирования образцов при погрешности измерения нагрузки и удлинения не более 1% от измеряемой величины.

, (Б.1)
где

- растягивающее усилие на 1 пог. м материала, кН/м;

- количество ребер на 1 пог. м материала;

- количество ребер по ширине b испытываемого образца;

- усилие по направлению растяжения, кН.

, (Б.2)
где

- относительная деформация образца (

- начальная длина образца,

- длина образца после приложения нагрузки

), отн. ед. или %.
Оцениваемые параметры свойств:

- прочность при кратковременном растяжении в направлении длины (ширины) материала - максимальное зафиксированное в испытаниях значение

, кН/м;

- относительная деформация при разрыве, %;

- относительная деформация при максимальном растягивающем усилии;

и

- усилие

в направлении длины или ширины материала при определенной деформации

(определяется при деформации 2%, 5% или дополнительно при другом технически обоснованном значении

);

- условный показатель деформативности в направлении длины материала (оценивается при значении

= 2% или при другом технически обоснованном значении).

. (Б.3)

, МПа (условное значение модуля упругости в направлении длины материала,

- толщина ребра);

, МПа (условное значение модуля упругости для ребра материала в направлении его длины,

- площадь поперечного сечения ребра,

- число ребер, отнесенное на единицу длины материала);

, Н (условный показатель жесткости материала).
Показатели

в направлении ширины материала определяются аналогично.
При текущем контроле производителя могут оцениваться только показатели

и

.
Б.2. Метод испытаний на диагональное растяжение (метод РосдорНИИ, испытания по "схеме 2")
Сущность метода - по
п. Б.1. Схема испытаний - по рисунку Б.2, б.
Рисунок Б.2. Испытания по "схеме 2"
Применяемые образцы - ячейка геосетки, закрепляемая в зажимах (при размере ячейки менее 35 мм испытывается большее количество ячеек, расстояние между зажимами при закреплении образца - не менее 50 мм).
Применяемое оборудование - по
п. Б.1.
Результирующая зависимость представлена на рисунке Б.2, а.

- усилие при растяжении, кН;

- максимальное усилие при растяжении, кН;
Оцениваемые параметры свойств:
- относительная прочность узлов:

или

, (Б.4)
- условный показатель деформативности в плоскости материала:

или

, (Б.5)

,

- усилие в образце, отнесенное к ширине образца при испытаниях по "схеме 1", возникающее при относительной деформации 10%.
Принимается минимальное из значений

и

. Метод может не применяться при текущем контроле производителя.
Б.3. Метод испытаний по оценке показателя сопротивляемости местным повреждениям (испытания по "схеме 3")
Сущность метода испытаний состоит в моделировании в лабораторных условиях технологических воздействий на образец материала, заключенный между слоем крупнофракционного материала (слой 1 на
рисунке Б.3) и слоем песка (слой 2 на
рисунке Б.3). Испытания выполняются в соответствии с вышеуказанной методикой Приложения Г
[2.16].
Рисунок Б.3. Испытания по "схеме 3"
Методика оценки показателя сопротивляемости местным повреждениям состоит в следующем:
- в лабораторных условиях в жесткой обойме создают трехслойную модель, верхний слой которой - крупнофракционированный материал, средний - образец георешетки, нижний - грунт. Размер фракций и толщина материала верхнего слоя, вид и состояние (плотность, влажность грунта нижнего слоя) должны отвечать конкретным условиям строительства. Стандартные испытания предусматривают использование гранитного щебня фракций 20 - 40 мм в качестве материала верхнего слоя и мелкозернистого песка с коэффициентом уплотнения 0,86 - 0,88 в качестве материала нижнего слоя. Толщина верхнего слоя - не менее 1,5 размеров наиболее крупной фракции, толщина нижнего слоя - не менее 10 см. Размер обоймы - не менее 10 x 20 см, но более 3-х размеров наиболее крупной фракции, размер образца георешетки - не менее 20 x 20 см для оценки прочности;
- через штамп размером более 5 x 10 см, установленный на поверхности модели, прикладывают нагрузку (P), создающую давление 1,5 МПа. Общее количество циклов нагружения - 60 с выдержкой расчетной нагрузки в течение 30 с и последующей разгрузкой;
- образец георешетки извлекают из модели и визуально оценивают степень его повреждения. При отсутствии явно выраженных нарушений структуры образцы испытывают по
методу Б.1;
- оцениваемые параметры (

и

по
рисунку Б.3) и параметр

:

, (Б.6)

- условный показатель деформативности после испытаний по
методу Б.1 образца, извлеченного из обоймы после испытаний по "схеме 3" (значения

= 2%, 5%).
ПРИМЕРЫ РАСЧЕТА АРМИРОВАННЫХ ДОРОЖНЫХ ОДЕЖД
В.1. Исходные данные для расчета
1. Категория дороги - III;
2. Дорожно-климатическая зона - II;
3. Расчетный срок службы дорожной одежды

= 16 лет;
4. Заданная надежность

= 0,95;
5. Тип нагрузки -

(нагрузка на одиночную ось F = 100 кН, P = 0,6 МПа);
6. Интенсивность движения на конец срока службы

= 3200 авт./сут; приращение интенсивности движения q = 1,02;
7. Грунт рабочего слоя земляного полотна - песок пылеватый,

= 48 МПа (

= 0,90), c = 0,003 МПа,

= 8°,

= 33°;
8. Схема увлажнения рабочего слоя земляного полотна - 3;
9. Материалы искусственного основания: несущий слой - щебень изверженных пород фр. 20 - 40 мм, М 1000 I класса прочности по
ГОСТ 8267-93*, дополнительный слой - песок средней крупности по
ГОСТ 8736-93*.
В.2.1. Вычисляется суммарное количество приложений расчетных нагрузок за срок службы по
формуле (3.7) [2.15]:

,
где

= 18,64;

= 125 дней;

= 1,38.
В.2.2. Предварительно назначается следующая конструкция дорожной одежды: покрытие - 2 слоя асфальтобетона; верхний слой искусственного основания - фракционированный гранитный щебень фракции 20 - 40 мм, укладываемый по методу заклинки; нижний слой искусственного основания - песок средней крупности.
┌───────────────────────┬──┬─────────────────┬───────────────────┐
│ Материал слоя │h,│Модуль упругости │ Расчет монолитных │
│ │см│ E, МПа, при │слоев на растяжение│
│ │ │ расчете │ при изгибе │
│ │ ├────────┬────────┼────┬───┬─────┬────┤
│ │ │по допу-│по сдви-│ E, │R ,│альфа│ m │
│ │ │стимому │гоустой-│МПа │ 0 │ │ │
│ │ │упругому│чивости │ │МПа│ │ │
│ │ │прогибу │ │ │ │ │ │
├───────────────────────┼──┼────────┼────────┼────┼───┼─────┼────┤
│Асфальтобетон плотный │7 │ 3200 │ 1800 │4500│9,8│ 5,2 │5,5 │
│на битуме марки │ │ │ │ │ │ │ │
│БНД 60/90 │ │ │ │ │ │ │ │
├───────────────────────┼──┼────────┼────────┼────┼───┼─────┼────┤
│Асфальтобетон пористый │12│ 2000 │ 1200 │2800│8,0│ 5,9 │4,3 │
│на битуме марки │ │ │ │ │ │ │ │
│БНД 60/90 │ │ │ │ │ │ │ │
├───────────────────────┼──┼────────┼────────┼────┼───┼─────┼────┤
│Щебень изверженных │28│ 350 │ 350 │350 │ - │ - │ - │
│пород фр. 20 - 40 мм │ │ │ │ │ │ │ │
├───────────────────────┼──┼────────┼────────┼────┼───┼─────┼────┤
│Песок средней крупности│55│ 120 │ 120 │120 │ - │ - │ - │
└───────────────────────┴──┴────────┴────────┴────┴───┴─────┴────┘
В.2.3. Требуемые коэффициенты прочности проектируемой дорожной одежды, соответствующие коэффициенту надежности 0,95 для дороги III категории:
- по допустимому упругому прогибу

= 1,17;
- по сдвигоустойчивости грунта и слабосвязных слоев

= 1,00;
- по усталостному разрушению монолитных материалов от растяжения при изгибе

= 1,0.
В.2.4. Расчет по допускаемому упругому прогибу
Расчет ведется послойно, начиная с подстилающего грунта (

= 48 МПа).
Общий модуль упругости на поверхности слоя песка:

;

.
Общий модуль упругости на поверхности слоя щебня:

;

.
Общий модуль упругости на поверхности нижнего слоя асфальтобетона:

;

;

.
Общий модуль упругости на поверхности покрытия:

;

.
Таким образом,

~= 420,3 МПа.

.
Проверка выполнения условия прочности:

.
Условие прочности выполнено.
В.2.5. Расчет конструкции по условию сдвигоустойчивости грунта

.
Для определения

предварительно назначенная дорожная конструкция приводится к двухслойной расчетной модели. В качестве ее нижнего слоя принимается грунт (песок пылеватый) со следующими характеристиками (

= 5351355 авт.):
Средневзвешенный модуль упругости верхнего слоя

= 425,49 МПа.
По отношениям

и

и при

= 8° с помощью номограммы
рисунка 3.2 [2.15] находится единичное активное напряжение сдвига:

= 0,01088, тогда T = 0,01088 x 0,6 = 0,00653 МПа.
Предельное активное напряжение сдвига

в грунте рабочего слоя:

.
Проверка выполнения условия прочности по сдвигоустойчивости грунта:

.
Условие прочности выполнено.
В.2.6. Расчет конструкции по условию сдвигоустойчивости слоя песка
Действующие в слое песка активные напряжения сдвига вычисляются по
формуле (3.13) [2.15]. Для определения

предварительно назначенная дорожная конструкция приводится к двухслойной расчетной модели.
Нижнему слою модели присваиваются следующие характеристики:

= 105,09 МПа (общий модуль упругости на поверхности песчаного слоя),

;

= 27°; c = 0,002 МПа.
Средневзвешенный модуль упругости верхнего слоя

= 782,98 МПа.
По отношениям

,

и при

= 27° с помощью номограммы
рисунка 3.2 [2.15] находится единичное активное напряжение сдвига:

= 0,0234, тогда T = 0,0234 x 0,6 = 0,01405 МПа.
Предельное активное напряжение сдвига

в слое песка:

.
Проверка выполнения условия прочности по сдвигоустойчивости слоя песка:

.
Условие прочности выполнено.
В.2.7. Расчет конструкции на сопротивление монолитных слоев усталостному разрушению от растяжения при изгибе
Расчет выполняется в следующем порядке:
а) Конструкция приводится к двухслойной модели, в которой нижний слой - часть конструкции, расположенная ниже пакета асфальтобетонных слоев, т.е. слои основания и грунт рабочего слоя. Модуль нижнего слоя определяется как общий модуль слоев основания и грунта рабочего слоя.
Общий модуль упругости нижнего слоя

= 172,23 МПа.
К верхнему слою относятся все асфальтобетонные слои.
Модуль упругости верхнего слоя

.
б) По отношениям

и

определяется

= 1,61718.

.
при

= 8,0 МПа;

= 0,1; t = 1,71; a = 5,9; m = 4,3;

;
| | ИС МЕГАНОРМ: примечание. В официальном тексте документа, видимо, допущена опечатка: пункт 57 отсутствует. Возможно, имеется в виду таблица 3.6 [2.15]. | |

.
Проверка выполнения условия прочности по сопротивлению монолитных слоев усталостному разрушению от растяжения при изгибе:

.
В.2.8. Коэффициенты прочности по критериям сдвига в слое песка и усталостному разрушению монолитного слоя от растяжения при изгибе имеют наименьшие значения, значит уменьшение толщины любого слоя дорожной одежды приведет к невыполнению, в первую очередь, данных критериев прочности.
В.3. Расчет армированной дорожной конструкции в соответствии с
подразделом 6.2 настоящих Рекомендаций
В.3.1. Исходные данные те же (по
п. В.1). Требуется запроектировать дорожную одежду с учетом того, что слой щебня армируется георешеткой Славрос СД-20.
Предварительно назначается следующая конструкция дорожной одежды: покрытие - 2 слоя асфальтобетона; верхний слой искусственного основания - фракционированный гранитный щебень фракции 20 - 40 мм, георешетка Славрос СД-20, нижний слой искусственного основания - песок средней крупности. При этом снижаем толщину слоя щебня с 28 см до 18 см.
┌───────────────────────┬──┬─────────────────┬───────────────────┐
│ Материал слоя │h,│Модуль упругости │ Расчет монолитных │
│ │см│ E, МПа, при │слоев на растяжение│
│ │ │ расчете │ при изгибе │
│ │ ├────────┬────────┼────┬───┬─────┬────┤
│ │ │по допу-│по сдви-│ E, │R ,│альфа│ m │
│ │ │стимому │гоустой-│МПа │ 0 │ │ │
│ │ │упругому│чивости │ │МПа│ │ │
│ │ │прогибу │ │ │ │ │ │
├───────────────────────┼──┼────────┼────────┼────┼───┼─────┼────┤
│Асфальтобетон плотный │7 │ 3200 │ 1800 │4500│9,8│ 5,2 │5,5 │
│на битуме марки │ │ │ │ │ │ │ │
│БНД 60/90 │ │ │ │ │ │ │ │
├───────────────────────┼──┼────────┼────────┼────┼───┼─────┼────┤
│Асфальтобетон пористый │12│ 2000 │ 1200 │2800│8,0│ 5,9 │4,3 │
│на битуме марки │ │ │ │ │ │ │ │
│БНД 60/90 │ │ │ │ │ │ │ │
├───────────────────────┼──┼────────┼────────┼────┼───┼─────┼────┤
│Щебень изверженных - │18│ 350 │ 350 │350 │ - │ - │ - │
│пород фр. 20 - 40 мм │ │ │ │ │ │ │ │
│Георешетка │ │ │ │ │ │ │ │
│Славрос СД-20 │ │ │ │ │ │ │ │
├───────────────────────┼──┼────────┼────────┼────┼───┼─────┼────┤
│Песок средней крупности│55│ 120 │ 120 │120 │ - │ - │ - │
└───────────────────────┴──┴────────┴────────┴────┴───┴─────┴────┘
В.3.2. Расчет по допускаемому упругому прогибу
Расчет ведется послойно, начиная с подстилающего грунта.
Общий модуль упругости неармированной конструкции составит

= 371,05 МПа.
Армирование слоя щебня георешеткой Славрос СД-20 увеличивает общий модуль упругости дорожной конструкции
(п. 6.2.3):

,
где

- коэффициент увеличения общего модуля упругости дорожной конструкции, принимаемый в соответствии с
выражением (6.3):

,
где

;

;

;

;

;

;

,

,

,

,

,

,

,

,

,

,

,

,

,

,

,

,

,

,

,

,

- коэффициенты уравнения, принимаемые по
таблице Д.1.
Таким образом, общий модуль упругости армированной дорожной конструкции равен:

.
Проверка выполнения критерия прочности по упругому прогибу:

.
Условие прочности выполнено.
В.3.3. Расчет конструкции по условию сдвигоустойчивости грунта
Расчет аналогичен расчету
п. В.2.5 (повторяется для пониженной толщины слоя щебня).
Средневзвешенный модуль упругости верхнего слоя

= 433,70 МПа.
По отношениям

и

и при

= 8° с помощью номограммы
рисунка 3.2 [2.15] находится единичное активное напряжение сдвига:

~= 0,01255, тогда T = 0,01255 x 0,6 = 0,00753 МПа.
Предельное активное напряжение сдвига

в грунте рабочего слоя:

.
Проверка выполнения условия прочности по сдвигоустойчивости грунта:

.
Условие прочности выполнено.
В.3.4. Расчет конструкции по условию сдвигоустойчивости в слое песка
Действующие в грунте активные напряжения сдвига вычисляются по
формуле (3.13) [2.15]. Для определения

предварительно назначенная дорожная конструкция приводится к двухслойной расчетной модели.
Нижнему слою модели присваиваются следующие характеристики:

= 91,33 МПа,

= 27°, c = 0,002 МПа.
Средневзвешенный модуль упругости верхнего слоя

= 900 МПа.
По отношениям

,

и при

= 27° с помощью номограммы
рисунка 3.2 [2.15] находится единичное активное напряжение сдвига:

= 0,03098, тогда T = 0,03098 x 0,6 ~= 0,01859 МПа.
При армировании щебня георешеткой Славрос СД-20 при динамическом воздействии нагрузки величина активных напряжений сдвига в слое песка уменьшится в

раз, т.е.:

,
где

;

;

;

;

;

;

= 1100 МПа - для георешетки Славрос СД-20;

,

,

,

,

,

,

,

,

,

,

,

,

,

,

,

,

,

,

,

,

- коэффициенты уравнения при

= 27°, принимаемые по
таблице Д.3.
Предельное активное напряжение сдвига

в слое песка:

.
Проверка выполнения условия прочности по сдвигоустойчивости слоя песка:

.
Условие прочности выполнено.
В.3.5. Расчет армированной конструкции на сопротивление монолитных слоев усталостному разрушению от растяжения при изгибе
Расчет выполняется в следующем порядке:
а) Конструкция приводится к двухслойной модели, в которой нижний слой - часть конструкции, расположенная ниже пакета асфальтобетонных слоев, т.е. слои основания и грунт рабочего слоя. Модуль нижнего слоя определяется как общий модуль слоев основания и грунта рабочего слоя.
Общий модуль упругости нижнего слоя

,
где

- модуль упругости нижнего слоя без учета эффекта армирования несущего слоя основания георешеткой.

.

,
где

;

;

;

;

;

;

;

,

,

,

,

,

,

,

,

,

,

,

,

,

,

,

,

,

,

,

,

- коэффициенты уравнения, принимаемые по
таблице Д.2.
Таким образом, общий модуль упругости основания армированной дорожной конструкции равен:

.
К верхнему слою относятся все асфальтобетонные слои.
Модуль упругости верхнего слоя

= 3426,32 МПа.
б) По отношениям

и

определяется

~= 1,619.
Расчетное растягивающее напряжение вычисляется по формуле:

.
при

= 8,0 МПа;

= 0,1; t = 1,71;

= 5,9; m = 4,3;

;

.
Проверка выполнения условия прочности по сопротивлению монолитных слоев усталостному разрушению от растяжения при изгибе:

.
Условие прочности выполнено.
В.3.6. Таким образом, армирование слоя щебня георешеткой в данном случае позволило снизить толщину щебня с 28 см до 18 см, т.е. примерно на 36%. Конструкция дорожной одежды должна отвечать требованиям по морозоустойчивости.
В.4. Исходные данные для расчета
1. Категория дороги - IV;
2. Дорожно-климатическая зона - II, Московская обл.;
3. Расчетный срок службы дорожной одежды

= 5 лет;
4. Заданная надежность

= 0,80;
5. Тип нагрузки -

(нагрузка на одиночную ось F = 100 кН, P = 0,6 МПа);
6. Интенсивность движения на конец срока службы

= 200 авт./сут; приращение интенсивности движения q = 1,01;
7. Грунт рабочего слоя земляного полотна - суглинок легкий,

= 34 МПа (

= 0,75), c = 0,005 МПа,

= 5°,

= 15°;
8. Схема увлажнения рабочего слоя земляного полотна - 3;
9. Материалы искусственного основания: несущий слой - щебень изверженных пород фр. 20 - 40 мм, М 1000 I класса прочности по
ГОСТ 8267-93*, дополнительный слой - песок средней крупности по
ГОСТ 8736-93*.
| | ИС МЕГАНОРМ: примечание. Нумерация пунктов дана в соответствии с официальным текстом документа. | |
В.4.1. Вычисляется суммарное количество приложений расчетных нагрузок за срок службы по
формуле (3.7) [2.15]:

,
где

= 5,10;

= 125 дней;

= 1,16.
В.4.2. Предварительно назначается следующая конструкция дорожной одежды: покрытие - ЩГПС оптимального состава, обработанная органическим вяжущим; верхний слой искусственного основания - фракционированный гранитный щебень фракции 20 - 40 мм, укладываемый по методу заклинки; нижний слой искусственного основания - песок средней крупности.
Материал слоя | h, см | Модуль упругости E, МПа, при расчете |
по допустимому упругому прогибу | по сдвиго- устойчи- вости |
ЩГПС оптимального состава, обработанная органическим вяжущим | 10 | 450 | 450 |
Щебень изверженных пород фр. 20 - 40 мм, устроенный с заклинкой мелким щебнем | 38 | 350 | 350 |
Песок средней крупности | 40 | 120 | 120 |
В.4.3. Требуемые коэффициенты прочности проектируемой дорожной одежды, соответствующие коэффициенту надежности 0,80 для дороги IV категории:
- по допустимому упругому прогибу

= 1,02;
- по сдвигоустойчивости грунта и слабосвязных слоев

= 0,87.
В.4.4. Расчет по допускаемому упругому прогибу
Расчет ведется послойно, начиная с подстилающего грунта (

= 34 МПа).
Общий модуль упругости на поверхности слоя песка:

;

.
Общий модуль упругости на поверхности слоя щебня:

;

.
Общий модуль упругости на поверхности покрытия:

;

.
Таким образом,

= 214,93 МПа.

.
Проверка выполнения условия прочности:

.
Условие прочности выполнено.
В.4.5. Расчет конструкции по условию сдвигоустойчивости грунта

.
Для определения

предварительно назначенная дорожная конструкция приводится к двухслойной расчетной модели. В качестве ее нижнего слоя принимается грунт (суглинок легкий) со следующими характеристиками (

= 101997 авт.):
Средневзвешенный модуль упругости верхнего слоя

= 256,82 МПа.
По отношениям

и

и при

= 5° с помощью номограммы
рисунка 3.2 [2.15] находится единичное активное напряжение сдвига:

= 0,0164, тогда T = 0,0164 x 0,6 ~= 0,00984 МПа.
Предельное активное напряжение сдвига

в грунте рабочего слоя:

.
Проверка выполнения условия прочности по сдвигоустойчивости грунта:

.
Условие прочности выполнено.
В.4.6. Расчет конструкции по условию сдвигоустойчивости слоя песка
Действующие в слое песка активные напряжения сдвига вычисляются по
формуле (3.13) [2.15]. Для определения

предварительно назначенная дорожная конструкция приводится к двухслойной расчетной модели.
Нижнему слою модели присваиваются следующие характеристики:

= 72,03 МПа,

= 28°; c = 0,003 МПа.
Средневзвешенный модуль упругости верхнего слоя

= 370,83 МПа.
По отношениям

,

и при

= 28° с помощью номограммы
рисунка 3.2 [2.15] находится единичное активное напряжение сдвига:

= 0,0307, тогда T = 0,0307 x 0,6 ~= 0,01842 МПа.
Предельное активное напряжение сдвига

в слое песка:

.
Проверка выполнения условия прочности по сдвигоустойчивости слоя песка:

.
Условие прочности выполнено.
В.5. Расчет армированной дорожной конструкции в соответствии с
подразделом 6.2 настоящих Рекомендаций
В.5.1. Исходные данные те же (по
п. В.4). Требуется запроектировать дорожную одежду с учетом того, что слой щебня армируется георешеткой Славрос СД-30.
Предварительно назначается следующая конструкция дорожной одежды: покрытие - ЩГПС оптимального состава, обработанная органическим вяжущим; верхний слой искусственного основания - фракционированный гранитный щебень фракции 20 - 40 мм, укладываемый по методу заклинки, георешетка Славрос СД-30, нижний слой искусственного основания - песок средней крупности. При этом снижаем толщину слоя щебня с 38 см до 28 см и увеличиваем толщину песка с 40 до 50 см.
Материал слоя | h, см | Модуль упругости E, МПа, при расчете |
по допустимо- му упругому прогибу | по сдви- гоустой- чивости |
ЩГПС оптимального состава, обработанная органическим вяжущим | 10 | 450 | 450 |
Щебень изверженных пород фр. 20 - 40 мм с заклинкой мелким щебнем Георешетка Славрос СД-30 | 25 | 450 | 450 |
Песок средней крупности | 40 | 120 | 120 |
В.5.2. Расчет по допускаемому упругому прогибу
Расчет ведется послойно, начиная с подстилающего грунта.
Общий модуль упругости неармированной конструкции составит

= 197,54 МПа.
Армирование слоя щебня георешеткой Славрос СД-30 увеличивает общий модуль упругости дорожной конструкции
(п. 6.2.6):

,
где

- коэффициент увеличения общего модуля упругости дорожной конструкции, принимаемый в соответствии с
выражением (6.19):

,
где

;

;

;

;

;

;

,

,

,

,

,

,

,

,

,

- коэффициенты уравнения, принимаемые по
таблице Д.5.
Таким образом, общий модуль упругости армированной дорожной конструкции равен:

.
Проверка выполнения критерия прочности по упругому прогибу:

.
Условие прочности выполнено.
В.5.3. Расчет конструкции по условию сдвигоустойчивости грунта
Расчет аналогичен расчету
п. В.4.5 (повторяется для пониженной толщины слоя щебня).
Средневзвешенный модуль упругости верхнего слоя

= 230,68 МПа.
По отношениям

и

и при

= 5° с помощью номограммы
рисунка 3.2 [2.15] находится единичное активное напряжение сдвига:

= 0,01753, тогда T = 0,01753 x 0,6 = 0,01052 МПа.
Предельное активное напряжение сдвига

в грунте рабочего слоя:

.
Проверка выполнения условия прочности по сдвигоустойчивости грунта:

.
Условие прочности выполнено.
В.5.4. Расчет конструкции по условию сдвигоустойчивости слоя песка
Действующие в грунте активные напряжения сдвига вычисляются по
формуле (3.13) [2.15]. Для определения

предварительно назначенная дорожная конструкция приводится к двухслойной расчетной модели.
Нижнему слою модели присваиваются следующие характеристики:

= 79,14 МПа,

= 28°; c = 0,003 МПа.
Средневзвешенный модуль упругости верхнего слоя

= 376,32 МПа.
По отношениям

,

и при

= 28° с помощью номограммы
рисунка 3.2 [2.15] находится единичное активное напряжение сдвига:

~= 0,0472, тогда T = 0,0472 x 0,6 ~= 0,02833 МПа.
При армировании щебня георешеткой Славрос СД-30 величина активных напряжений сдвига в слое песка при

= 28° уменьшится в

раз, т.е.:

.

,
где

;

;

;

;

,

,

,

,

,

,

,

,

,

- коэффициенты уравнения при

= 28°, принимаемые по
таблице Д.6.
Предельное активное напряжение сдвига

в слое песка:

.
Проверка выполнения условия прочности по сдвигоустойчивости слоя песка:

.
Условие прочности выполнено.
В.5.5. Таким образом, армирование слоя щебня георешеткой в данном случае позволило снизить толщину щебня с 38 см до 28 см. Конструкция дорожной одежды должна отвечать требованиям по морозоустойчивости.
ХАРАКТЕРИСТИКИ РАЗНОВИДНОСТЕЙ ДВУХОСНЫХ ГЕОРЕШЕТОК
Г.1. Принятые условные обозначения, характеризующие геометрические параметры
Г.2. Георешетки Славрос СД. Сырье - полипропилен. Производитель - ООО "НПО Протэкт", Россия (начало серийного производства - 2006 г.), СТО 218.3.003-2006.
Г.2.1. Основные геометрические размеры по СТО (возможно производство с другими геометрическими размерами)
┌───────────────────────────────┬─────┬──────────────────────────┐
│ Характеристики │ Ед. │ Геосетка Славрос СД │
│ │изм. ├──────┬──────┬──────┬─────┤
│ │ │ 20 │ 30 │ 40 │ 45 │
├───────────────────────────────┼─────┼──────┼──────┼──────┼─────┤
│Ширина рулона, не более │ см │ 400 │ 400 │ 400 │ 400 │
├───────────────────────────────┼─────┼──────┼──────┼──────┼─────┤
│Длина рулона стандартная +/- 1%│ м │ 50 │ 50 │ 30 │ 30 │
├───────────────────────────────┴─────┴──────┴──────┴──────┴─────┤
│Размер ячейки: │
├───────────────────────────────┬─────┬──────┬──────┬──────┬─────┤
│A +/- 2 мм │ мм │ 39 │ 35 │ 35 │ 35 │
│ T │ │ │ │ │ │
├───────────────────────────────┼─────┼──────┼──────┼──────┼─────┤
│A +/- 2 мм │ мм │ 39 │ 35 │ 35 │ 35 │
│ L │ │ │ │ │ │
├───────────────────────────────┼─────┼──────┼──────┼──────┼─────┤
│Перекос ячеек │град.│+/- 3 │+/- 3 │+/- 2 │+/- 2│
└───────────────────────────────┴─────┴──────┴──────┴──────┴─────┘
Г.2.2. Основные физико-механические свойства
Условное обозначение геосетки | Нагрузка при растяжении, не менее, кН/м | Относительное удлинение при максимальной нагрузке, не более, % | Поверх- ностная плотность, г/м2, +/- 10% |
при разрыве | при отно- сительном удлинении 5% |
вдоль | поперек | вдоль | поперек |
Славрос СД-20 | 20 | 20 | 10 | 18 | 15 | 220 |
Славрос СД-30 | 30 | 30 | 15 | 18 | 15 | 330 |
Славрос СД-40 | 40 | 40 | 17 | 18 | 15 | 530 |
Славрос СД-45 | 45 | 45 | 22 | 18 | 15 | 600 |
┌────────┬───────────┬─────────────┬────────────┬──────┬──────┬──────┬──────────┬───────────┬───────────┬───────────┐
│\Показа-│ R (2%) │ R (5%) │ E' (2%) │ W │ t │ F │ K │E'' (2%) │E''' (2%)│E''' x F ,│
│ \ тель │ LR │ LR │ LR │ LR │ LR │ LR │ LR │ LR │ LR │ R R │
│ \ │ │ │ │ │ │ │ │ │ │ Н │
│ \ │(R (2%)),│ (R (5%)), │(E' (2%)),│(W ),│(t ),│(F ),│ (K ), │E'' (2%),│ (E''' ), │ │
│ \ │ TR │ TR │ TR │ TR │ TR │ TR │ TR │ TR │ TR │ │
│Марка\ │ кН/м │ кН/м │ кН/м │ мм │ мм │ мм2 │ реб./п.м │ МПа │ МПа │ │
├────────┼───────────┼─────────────┼────────────┼──────┼──────┼──────┼──────────┼───────────┼───────────┼───────────┤
│СД-20 │ 7
<*> │ 10 14
<*> │ 350 │ 3,5 │ 1,4 │ 4,9 │28,57 (25)│ 250 (318) │2500 (2960)│ 12250 │
│ │ (7)
<*> │(10) (15)
<*>│ (350) │(4,3) │(1,1) │(4,73)│ │ │ │ (14000) │
├────────┼───────────┼─────────────┼────────────┼──────┼──────┼──────┼──────────┼───────────┼───────────┼───────────┤
│СД-30 │ 10 │ 15 │ 525 │ - │ - │ - │28,57 (25)│ - │ - │ - │
│ │ (11) │ (15) │ (525) │ - │ - │ - │ │ - │ - │ - │
├────────┼───────────┼─────────────┼────────────┼──────┼──────┼──────┼──────────┼───────────┼───────────┼───────────┤
│СД-40 │ 13 │ 17 23 <*> │650 700 <*> │ 3,3 │ 2,5 │ 8,25 │28,57 (25)│ 260 (441) │2758 (4304)│ 22753 │
│ │ (15) │(17) (29) <*>│ (750) │(4,1) │(1,7) │(6,97)│ │ │ │ (30000) │
└────────┴───────────┴─────────────┴────────────┴──────┴──────┴──────┴──────────┴───────────┴───────────┴───────────┘
--------------------------------
Примечание. <*> Фактические значения.
ЗНАЧЕНИЯ РЕГРЕССИОННЫХ КОЭФФИЦИЕНТОВ К РАСЧЕТУ ПО
П. 6.2
(ПРИ ПРОМЕЖУТОЧНЫХ ЗНАЧЕНИЯХ УСЛОВНОГО ПОКАЗАТЕЛЯ
ДЕФОРМАТИВНОСТИ ГЕОРЕШЕТКИ

ЗНАЧЕНИЯ КОЭФФИЦИЕНТОВ
УСИЛЕНИЯ

ПРИНИМАЮТ ПО ИНТЕРПОЛЯЦИИ РАССЧИТЫВАЕМЫХ
ГРАНИЧНЫХ ЗНАЧЕНИЙ; ПРИ РАЗЛИЧАЮЩИХСЯ ЗНАЧЕНИЯХ

В НАПРАВЛЕНИИ ДЛИНЫ И ШИРИНЫ ПРИНИМАЮТ
МИНИМАЛЬНОЕ ЗНАЧЕНИЕ)
Таблица Д.1
Регрессионные коэффициенты для определения коэффициента
увеличения общего модуля упругости дорожных одежд
капитального и облегченного типов

┌────┬────────┬────────┬────────┬────────────┬────────┬────────┬──────────┬─────────┬──────────┬─────────┬─────────┐
│E', │ a │ a │ a │ a │ a │ a │ a │ a │ a │ a │ a │
│ R │ 0 │ 1 │ 2 │ 3 │ 4 │ 5 │ 11 │ 12 │ 13 │ 14 │ 15 │
│кН/м│ │ │ │ │ │ │ │ │ │ │ │
├────┼────────┼────────┼────────┼────────────┼────────┼────────┼──────────┼─────────┼──────────┼─────────┼─────────┤
│350 │0,4681 │0,297014│0,317073│0,0000587499│0,578882│0,241811│-0,0419037│-0,128847│0,00714644│-0,192632│0,0805874│
├────┼────────┼────────┼────────┼────────────┼────────┼────────┼──────────┼─────────┼──────────┼─────────┼─────────┤
│525 │0,40315 │0,342141│0,38859 │-0,00972858 │0,751536│0,331084│-0,057222 │-0,172348│0,0130781 │-0,23503 │0,176815 │
├────┼────────┼────────┼────────┼────────────┼────────┼────────┼──────────┼─────────┼──────────┼─────────┼─────────┤
│700 │0,377313│0,356396│0,419174│-0,0141902 │0,849793│0,401742│-0,0576744│-0,184731│0,0145969 │-0,262471│0,207398 │
└────┴────────┴────────┴────────┴────────────┴────────┴────────┴──────────┴─────────┴──────────┴─────────┴─────────┘
┌────┬───────────┬───────────┬─────────┬──────────┬───────────┬──────────┬──────────┬──────────┬─────────┬─────────┐
│E', │ a │ a │ a │ a │ a │ a │ a │ a │ a │ a │
│ R │ 22 │ 23 │ 24 │ 25 │ 33 │ 34 │ 35 │ 44 │ 45 │ 55 │
│кН/м│ │ │ │ │ │ │ │ │ │ │
├────┼───────────┼───────────┼─────────┼──────────┼───────────┼──────────┼──────────┼──────────┼─────────┼─────────┤
│350 │-0,0504734 │-0,00411185│-0,193294│0,180797 │0,000800262│-0,0049009│-0,0115489│-0,11354 │-0,239919│-1,28997 │
├────┼───────────┼───────────┼─────────┼──────────┼───────────┼──────────┼──────────┼──────────┼─────────┼─────────┤
│525 │-0,0701658 │-0,00438 │-0,265413│0,334672 │0,00349358 │-0,0110322│-0,0284386│-0,190371 │-0,576825│-2,32033 │
├────┼───────────┼───────────┼─────────┼──────────┼───────────┼──────────┼──────────┼──────────┼─────────┼─────────┤
│700 │-0,0799938 │-0,00411783│-0,308414│0,412162 │0,00518766 │-0,0152776│-0,0386188│-0,242746 │-0,81648 │-2,99514 │
└────┴───────────┴───────────┴─────────┴──────────┴───────────┴──────────┴──────────┴──────────┴─────────┴─────────┘
Таблица Д.2
Регрессионные коэффициенты для определения коэффициентов
увеличения общего модуля упругости оснований дорожных одежд
капитального и облегченного типов

┌────┬────────┬────────┬────────┬────────────┬────────┬────────┬──────────┬─────────┬─────────┬─────────┬──────────┐
│E', │ a │ a │ a │ a │ a │ a │ a │ a │ a │ a │ a │
│ R │ 0 │ 1 │ 2 │ 3 │ 4 │ 5 │ 11 │ 12 │ 13 │ 14 │ 15 │
│кН/м│ │ │ │ │ │ │ │ │ │ │ │
├────┼────────┼────────┼────────┼────────────┼────────┼────────┼──────────┼─────────┼─────────┼─────────┼──────────┤
│350 │0,4631 │0,260404│0,31696 │0,00674461 │0,587569│0,117273│-0,0375468│-0,120848│0,0115589│-0,171093│0,00483881│
├────┼────────┼────────┼────────┼────────────┼────────┼────────┼──────────┼─────────┼─────────┼─────────┼──────────┤
│525 │0,400385│0,293118│0,392489│0,00222776 │0,763158│0,11074 │-0,045318 │-0,160266│0,0201339│-0,208067│0,0286778 │
├────┼────────┼────────┼────────┼────────────┼────────┼────────┼──────────┼─────────┼─────────┼─────────┼──────────┤
│700 │0,372916│0,30567 │0,4254 │-0,000616895│0,860117│0,123736│-0,0451754│-0,173431│0,0241955│-0,233803│0,0218932 │
└────┴────────┴────────┴────────┴────────────┴────────┴────────┴──────────┴─────────┴─────────┴─────────┴──────────┘
┌──────┬──────────┬───────────┬─────────┬────────┬─────────────┬───────────┬──────────┬─────────┬─────────┬────────┐
│E', │ a │ a │ a │ a │ a │ a │ a │ a │ a │ a │
│ R │ 22 │ 23 │ 24 │ 25 │ 33 │ 34 │ 35 │ 44 │ 45 │ 55 │
│кН/м │ │ │ │ │ │ │ │ │ │ │
├──────┼──────────┼───────────┼─────────┼────────┼─────────────┼───────────┼──────────┼─────────┼─────────┼────────┤
│350 │-0,0491358│-0,00540936│-0,200493│0,221904│-0,0000961688│-0,00977898│0,00485237│-0,112294│-0,160675│-1,19848│
├──────┼──────────┼───────────┼─────────┼────────┼─────────────┼───────────┼──────────┼─────────┼─────────┼────────┤
│525 │-0,0717243│-0,00677973│-0,27729 │0,395693│0,000888756 │-0,0183142 │0,016406 │-0,189182│-0,465042│-1,72162│
├──────┼──────────┼───────────┼─────────┼────────┼─────────────┼───────────┼──────────┼─────────┼─────────┼────────┤
│700 │-0,0824429│-0,00720558│-0,323806│0,510236│0,00163147 │-0,0242719 │0,0315105 │-0,234296│-0,703582│-2,30287│
└──────┴──────────┴───────────┴─────────┴────────┴─────────────┴───────────┴──────────┴─────────┴─────────┴────────┘
Таблица Д.3
Регрессионные коэффициенты для определения коэффициентов
снижения касательных напряжений в слабосвязных слоях
оснований дорожных одежд капитального и облегченного
типов при статическом воздействии нагрузки -

┌─────┬────┬─────────┬────────┬───────────┬────────────┬────────┬───────┬──────────┬─────────┬─────────┬──────────┬──────────┐
│ фи, │E', │ a │ a │ a │ a │ a │ a │ a │ a │ a │ a │ a │
│град.│ R │ 0 │ 1 │ 2 │ 3 │ 4 │ 5 │ 11 │ 12 │ 13 │ 14 │ 15 │
│ │кН/м│ │ │ │ │ │ │ │ │ │ │ │
├─────┼────┼─────────┼────────┼───────────┼────────────┼────────┼───────┼──────────┼─────────┼─────────┼──────────┼──────────┤
│ 1 │ 2 │ 3 │ 4 │ 5 │ 6 │ 7 │ 8 │ 9 │ 10 │ 11 │ 12 │ 13 │
├─────┼────┼─────────┼────────┼───────────┼────────────┼────────┼───────┼──────────┼─────────┼─────────┼──────────┼──────────┤
│2 │350 │0,247687 │0,265337│0,150175 │0,00265156 │0,76133 │2,66668│-0,0472131│-0,114597│0,0279513│-0,169484 │-0,0959767│
│ ├────┼─────────┼────────┼───────────┼────────────┼────────┼───────┼──────────┼─────────┼─────────┼──────────┼──────────┤
│ │525 │0,194775 │0,285833│0,165517 │-0,00647825 │0,945339│3,71794│-0,0585793│-0,138224│0,0274962│-0,192275 │-0,125301 │
│ ├────┼─────────┼────────┼───────────┼────────────┼────────┼───────┼──────────┼─────────┼─────────┼──────────┼──────────┤
│ │700 │0,165348 │0,309011│0,163378 │-0,00960703 │1,00993 │4,44826│-0,0623171│-0,148965│0,0494776│-0,218075 │-0,130972 │
├─────┼────┼─────────┼────────┼───────────┼────────────┼────────┼───────┼──────────┼─────────┼─────────┼──────────┼──────────┤
│3 │350 │0,245266 │0,26364 │0,145143 │0,00316558 │0,763177│2,68732│-0,0468229│-0,114696│0,0283098│-0,168238 │-0,0981471│
│ ├────┼─────────┼────────┼───────────┼────────────┼────────┼───────┼──────────┼─────────┼─────────┼──────────┼──────────┤
│ │525 │0,194112 │0,282772│0,159308 │-0,00615906 │0,94529 │3,74164│-0,0582328│-0,138176│0,027998 │-0,189469 │-0,122886 │
│ ├────┼─────────┼────────┼───────────┼────────────┼────────┼───────┼──────────┼─────────┼─────────┼──────────┼──────────┤
│ │700 │0,16479 │0,306115│0,157045 │-0,00907793 │1,00934 │4,47607│-0,0616325│-0,148951│0,0502862│-0,215225 │-0,136441 │
├─────┼────┼─────────┼────────┼───────────┼────────────┼────────┼───────┼──────────┼─────────┼─────────┼──────────┼──────────┤
│4 │350 │0,243785 │0,261903│0,139977 │0,00370341 │0,765063│2,70869│-0,0464235│-0,1148 │0,0286788│-0,166959 │-0,100401 │
│ ├────┼─────────┼────────┼───────────┼────────────┼────────┼───────┼──────────┼─────────┼─────────┼──────────┼──────────┤
│ │525 │0,193179 │0,279556│0,15364 │-0,0059008 │0,946334│3,76259│-0,0573202│-0,13781 │0,0283725│-0,187069 │-0,12733 │
│ ├────┼─────────┼────────┼───────────┼────────────┼────────┼───────┼──────────┼─────────┼─────────┼──────────┼──────────┤
│ │700 │0,164494 │0,302996│0,149789 │-0,00857664 │1,00847 │4,51049│-0,0609584│-0,148544│0,0511455│-0,212733 │-0,142296 │
├─────┼────┼─────────┼────────┼───────────┼────────────┼────────┼───────┼──────────┼─────────┼─────────┼──────────┼──────────┤
│5 │350 │0,242242 │0,260125│0,134674 │0,00426641 │0,76699 │2,73081│-0,0460147│-0,114909│0,0290585│-0,165647 │-0,102742 │
│ ├────┼─────────┼────────┼───────────┼────────────┼────────┼───────┼──────────┼─────────┼─────────┼──────────┼──────────┤
│ │525 │0,192117 │0,276352│0,147298 │-0,00544299 │0,947209│3,79475│-0,0566018│-0,137387│0,0287822│-0,184241 │-0,136576 │
│ ├────┼─────────┼────────┼───────────┼────────────┼────────┼───────┼──────────┼─────────┼─────────┼──────────┼──────────┤
│ │700 │0,16397 │0,29974 │0,142937 │-0,00798563 │1,00759 │4,53941│-0,0603279│-0,148147│0,0518398│-0,209072 │-0,147932 │
├─────┼────┼─────────┼────────┼───────────┼────────────┼────────┼───────┼──────────┼─────────┼─────────┼──────────┼──────────┤
│6 │350 │0,239633 │0,258306│0,12923 │0,00485604 │0,768956│2,75372│-0,0455964│-0,115025│0,0294494│-0,1643 │-0,105175 │
│ ├────┼─────────┼────────┼───────────┼────────────┼────────┼───────┼──────────┼─────────┼─────────┼──────────┼──────────┤
│ │525 │0,19112 │0,273225│0,140761 │-0,00514606 │0,948199│3,822 │-0,0565056│-0,1369 │0,0292889│-0,181381 │-0,13818 │
│ ├────┼─────────┼────────┼───────────┼────────────┼────────┼───────┼──────────┼─────────┼─────────┼──────────┼──────────┤
│ │700 │0,163411 │0,296706│0,135596 │-0,00727617 │1,00621 │4,58006│-0,059857 │-0,148018│0,052818 │-0,205712 │-0,15595 │
├─────┼────┼─────────┼────────┼───────────┼────────────┼────────┼───────┼──────────┼─────────┼─────────┼──────────┼──────────┤
│7 │350 │0,236954 │0,256444│0,123641 │0,00547386 │0,770963│2,77746│-0,0451684│-0,115146│0,0298518│-0,162918 │-0,107705 │
│ ├────┼─────────┼────────┼───────────┼────────────┼────────┼───────┼──────────┼─────────┼─────────┼──────────┼──────────┤
│ │525 │0,190369 │0,270308│0,133636 │-0,00482458 │0,948536│3,84593│-0,0557334│-0,13674 │0,0296473│-0,179029 │-0,143695 │
│ ├────┼─────────┼────────┼───────────┼────────────┼────────┼───────┼──────────┼─────────┼─────────┼──────────┼──────────┤
│ │700 │0,162914 │0,293173│0,128095 │-0,00660761 │1,00577 │4,60935│-0,0589423│-0,147727│0,0538557│-0,202677 │-0,163714 │
├─────┼────┼─────────┼────────┼───────────┼────────────┼────────┼───────┼──────────┼─────────┼─────────┼──────────┼──────────┤
│8 │350 │0,235203 │0,25454 │0,117904 │0,00612154 │0,773011│2,80206│-0,0447306│-0,115274│0,0302661│-0,1615 │-0,110336 │
│ ├────┼─────────┼────────┼───────────┼────────────┼────────┼───────┼──────────┼─────────┼─────────┼──────────┼──────────┤
│ │525 │0,189289 │0,266888│0,127075 │-0,00438937 │0,948734│3,87597│-0,0553447│-0,136383│0,0301765│-0,175501 │-0,149115 │
│ ├────┼─────────┼────────┼───────────┼────────────┼────────┼───────┼──────────┼─────────┼─────────┼──────────┼──────────┤
│ │700 │0,162262 │0,289543│0,120733 │-0,00595688 │1,00511 │4,64299│-0,0580943│-0,14754 │0,0547944│-0,199377 │-0,168523 │
├─────┼────┼─────────┼────────┼───────────┼────────────┼────────┼───────┼──────────┼─────────┼─────────┼──────────┼──────────┤
│9 │350 │0,232374 │0,252592│0,112016 │0,00680087 │0,7751 │2,82756│-0,044283 │-0,115409│0,0306927│-0,160045 │-0,113075 │
│ ├────┼─────────┼────────┼───────────┼────────────┼────────┼───────┼──────────┼─────────┼─────────┼──────────┼──────────┤
│ │525 │0,188306 │0,262971│0,119845 │-0,00412725 │0,94976 │3,90559│-0,0541711│-0,135905│0,0306597│-0,172675 │-0,155417 │
│ ├────┼─────────┼────────┼───────────┼────────────┼────────┼───────┼──────────┼─────────┼─────────┼──────────┼──────────┤
│ │700 │0,161624 │0,285914│0,112917 │-0,00539567 │1,00438 │4,68163│-0,0573546│-0,147168│0,0557733│-0,195963 │-0,174947 │
├─────┼────┼─────────┼────────┼───────────┼────────────┼────────┼───────┼──────────┼─────────┼─────────┼──────────┼──────────┤
│10 │350 │0,230463 │0,2506 │0,105971 │0,00751376 │0,777229│2,85401│-0,0438253│-0,115552│0,031132 │-0,158551 │-0,115926 │
│ ├────┼─────────┼────────┼───────────┼────────────┼────────┼───────┼──────────┼─────────┼─────────┼──────────┼──────────┤
│ │525 │0,187037 │0,259909│0,112654 │-0,00358142 │0,949971│3,93619│-0,0538519│-0,13595 │0,0311849│-0,169378 │-0,159993 │
│ ├────┼─────────┼────────┼───────────┼────────────┼────────┼───────┼──────────┼─────────┼─────────┼──────────┼──────────┤
│ │700 │0,160864 │0,2823 │0,104988 │-0,00441595 │1,0025 │4,72125│-0,0563868│-0,147112│0,056737 │-0,192143 │-0,182048 │
├─────┼────┼─────────┼────────┼───────────┼────────────┼────────┼───────┼──────────┼─────────┼─────────┼──────────┼──────────┤
│11 │350 │0,227466 │0,248564│0,0997668 │0,00826227 │0,779399│2,88146│-0,0433575│-0,115703│0,0315843│-0,157019 │-0,118897 │
│ ├────┼─────────┼────────┼───────────┼────────────┼────────┼───────┼──────────┼─────────┼─────────┼──────────┼──────────┤
│ │525 │0,185466 │0,256273│0,10592 │-0,00308592 │0,950562│3,97252│-0,0530973│-0,135577│0,0317068│-0,166239 │-0,168216 │
│ ├────┼─────────┼────────┼───────────┼────────────┼────────┼───────┼──────────┼─────────┼─────────┼──────────┼──────────┤
│ │700 │0,160029 │0,27871 │0,0968514 │-0,003528 │1,00157 │4,7607 │-0,0554892│-0,146962│0,0577656│-0,188681 │-0,192327 │
├─────┼────┼─────────┼────────┼───────────┼────────────┼────────┼───────┼──────────┼─────────┼─────────┼──────────┼──────────┤
│12 │350 │0,225377 │0,246484│0,0933993 │0,00904861 │0,781609│2,90994│-0,0428796│-0,115863│0,0320502│-0,155446 │-0,121992 │
│ ├────┼─────────┼────────┼───────────┼────────────┼────────┼───────┼──────────┼─────────┼─────────┼──────────┼──────────┤
│ │525 │0,184416 │0,252526│0,0980641 │-0,002567 │0,950544│4,00068│-0,0527333│-0,135201│0,0322826│-0,162576 │-0,170195 │
│ ├────┼─────────┼────────┼───────────┼────────────┼────────┼───────┼──────────┼─────────┼─────────┼──────────┼──────────┤
│ │700 │0,15938 │0,274699│0,0883005 │-0,00258284 │0,999712│4,79804│-0,0546239│-0,146711│0,0590325│-0,184619 │-0,201652 │
├─────┼────┼─────────┼────────┼───────────┼────────────┼────────┼───────┼──────────┼─────────┼─────────┼──────────┼──────────┤
│13 │350 │0,222192 │0,244358│0,0868645 │0,00987515 │0,783859│2,93951│-0,0423914│-0,116031│0,0325301│-0,153833 │-0,125221 │
│ ├────┼─────────┼────────┼───────────┼────────────┼────────┼───────┼──────────┼─────────┼─────────┼──────────┼──────────┤
│ │525 │0,18303 │0,248394│0,0904869 │-0,00214825 │0,951128│4,03417│-0,0515231│-0,135079│0,032868 │-0,159481 │-0,175404 │
│ ├────┼─────────┼────────┼───────────┼────────────┼────────┼───────┼──────────┼─────────┼─────────┼──────────┼──────────┤
│ │700 │0,158265 │0,270282│0,0800541 │-0,00162863 │0,998298│4,84959│-0,0533725│-0,146352│0,0601088│-0,180636 │-0,208942 │
├─────┼────┼─────────┼────────┼───────────┼────────────┼────────┼───────┼──────────┼─────────┼─────────┼──────────┼──────────┤
│14 │350 │0,218904 │0,242187│0,0801587 │0,0107445 │0,786148│2,97023│-0,0418931│-0,11621 │0,0330244│-0,152178 │-0,128589 │
│ ├────┼─────────┼────────┼───────────┼────────────┼────────┼───────┼──────────┼─────────┼─────────┼──────────┼──────────┤
│ │525 │0,181498 │0,24467 │0,0823195 │-0,00157934 │0,951469│4,07395│-0,0510878│-0,134633│0,033494 │-0,155953 │-0,183719 │
│ ├────┼─────────┼────────┼───────────┼────────────┼────────┼───────┼──────────┼─────────┼─────────┼──────────┼──────────┤
│ │700 │0,157434 │0,266737│0,0707434 │-0,000497795│0,996651│4,8922 │-0,0528622│-0,146033│0,0612768│-0,177112 │-0,218926 │
├─────┼────┼─────────┼────────┼───────────┼────────────┼────────┼───────┼──────────┼─────────┼─────────┼──────────┼──────────┤
│15 │350 │0,216507 │0,239971│0,0732781 │0,0116593 │0,788474│3,00215│-0,0413845│-0,1164 │0,0335336│-0,15048 │-0,132106 │
│ ├────┼─────────┼────────┼───────────┼────────────┼────────┼───────┼──────────┼─────────┼─────────┼──────────┼──────────┤
│ │525 │0,179651 │0,24047 │0,0748979 │-0,000889154│0,951494│4,11509│-0,0500938│-0,134069│0,0339006│-0,152133 │-0,190322 │
│ ├────┼─────────┼────────┼───────────┼────────────┼────────┼───────┼──────────┼─────────┼─────────┼──────────┼──────────┤
│ │700 │0,156138 │0,262799│0,062268 │0,000631175 │0,994324│4,93876│-0,0521424│-0,146067│0,062466 │-0,172426 │-0,224655 │
├─────┼────┼─────────┼────────┼───────────┼────────────┼────────┼───────┼──────────┼─────────┼─────────┼──────────┼──────────┤
│16 │350 │0,212995 │0,237709│0,066219 │0,0126225 │0,790838│3,03534│-0,0408658│-0,116601│0,0340581│-0,148738 │-0,13578 │
│ ├────┼─────────┼────────┼───────────┼────────────┼────────┼───────┼──────────┼─────────┼─────────┼──────────┼──────────┤
│ │525 │0,178035 │0,23677 │0,0663287 │-0,000176171│0,951613│4,14914│-0,0497963│-0,13378 │0,0345783│-0,148711 │-0,196465 │
│ ├────┼─────────┼────────┼───────────┼────────────┼────────┼───────┼──────────┼─────────┼─────────┼──────────┼──────────┤
│ │700 │0,155241 │0,257941│0,0527975 │0,00212428 │0,991916│4,98569│-0,0508104│-0,145642│0,0637065│-0,167975 │-0,233784 │
├─────┼────┼─────────┼────────┼───────────┼────────────┼────────┼───────┼──────────┼─────────┼─────────┼──────────┼──────────┤
│17 │350 │0,21036 │0,235403│0,0589777 │0,0136375 │0,793237│3,06986│-0,0403369│-0,116815│0,0345986│-0,146951 │-0,13962 │
│ ├────┼─────────┼────────┼───────────┼────────────┼────────┼───────┼──────────┼─────────┼─────────┼──────────┼──────────┤
│ │525 │0,176005 │0,232624│0,0579974 │0,000437476 │0,951981│4,1948 │-0,048545 │-0,133722│0,03524 │-0,145075 │-0,208441 │
│ ├────┼─────────┼────────┼───────────┼────────────┼────────┼───────┼──────────┼─────────┼─────────┼──────────┼──────────┤
│ │700 │0,153863 │0,254141│0,0434956 │0,00333942 │0,989301│5,04115│-0,0502225│-0,145646│0,0650078│-0,163868 │-0,243905 │
├─────┼────┼─────────┼────────┼───────────┼────────────┼────────┼───────┼──────────┼─────────┼─────────┼──────────┼──────────┤
│18 │350 │0,206594 │0,233052│0,0515508 │0,0147075 │0,79567 │3,10578│-0,0397982│-0,117043│0,0351554│-0,145118 │-0,143636 │
│ ├────┼─────────┼────────┼───────────┼────────────┼────────┼───────┼──────────┼─────────┼─────────┼──────────┼──────────┤
│ │525 │0,174048 │0,228525│0,0492647 │0,00116811 │0,952009│4,23992│-0,0484292│-0,133366│0,0360071│-0,141037 │-0,21157 │
│ ├────┼─────────┼────────┼───────────┼────────────┼────────┼───────┼──────────┼─────────┼─────────┼──────────┼──────────┤
│ │700 │0,152478 │0,249725│0,0338625 │0,00465058 │0,98712 │5,0957 │-0,0491613│-0,145361│0,0663859│-0,15937 │-0,257289 │
├─────┼────┼─────────┼────────┼───────────┼────────────┼────────┼───────┼──────────┼─────────┼─────────┼──────────┼──────────┤
│19 │350 │0,20189 │0,230657│0,043935 │0,0158364 │0,798135│3,14318│-0,0392497│-0,117285│0,0357291│-0,143238 │-0,14784 │
│ ├────┼─────────┼────────┼───────────┼────────────┼────────┼───────┼──────────┼─────────┼─────────┼──────────┼──────────┤
│ │525 │0,17182 │0,224135│0,0405076 │0,0020401 │0,951932│4,28526│-0,0471916│-0,133225│0,0366201│-0,137115 │-0,22197 │
│ ├────┼─────────┼────────┼───────────┼────────────┼────────┼───────┼──────────┼─────────┼─────────┼──────────┼──────────┤
│ │700 │0,151234 │0,245004│0,0234497 │0,00613384 │0,984304│5,15088│-0,0481839│-0,145013│0,0678683│-0,154958 │-0,266368 │
├─────┼────┼─────────┼────────┼───────────┼────────────┼────────┼───────┼──────────┼─────────┼─────────┼──────────┼──────────┤
│20 │350 │0,199638 │0,228219│0,036127 │0,0170281 │0,80063 │3,18213│-0,0386918│-0,117543│0,0363203│-0,141311 │-0,152243 │
│ ├────┼─────────┼────────┼───────────┼────────────┼────────┼───────┼──────────┼─────────┼─────────┼──────────┼──────────┤
│ │525 │0,169337 │0,220007│0,0319054 │0,00292608 │0,951208│4,33512│-0,0465679│-0,133014│0,0372875│-0,133041 │-0,230054 │
│ ├────┼─────────┼────────┼───────────┼────────────┼────────┼───────┼──────────┼─────────┼─────────┼──────────┼──────────┤
│ │700 │0,14912 │0,240691│0,013993 │0,00806115 │0,981885│5,21438│-0,0471878│-0,14511 │0,0691881│-0,150198 │-0,277092 │
├─────┼────┼─────────┼────────┼───────────┼────────────┼────────┼───────┼──────────┼─────────┼─────────┼──────────┼──────────┤
│21 │350 │0,196198 │0,225739│0,0281241 │0,0182871 │0,803151│3,22273│-0,0381247│-0,117818│0,0369294│-0,139336 │-0,156858 │
│ ├────┼─────────┼────────┼───────────┼────────────┼────────┼───────┼──────────┼─────────┼─────────┼──────────┼──────────┤
│ │525 │0,167288 │0,214897│0,0221834 │0,00386553 │0,95068 │4,38448│-0,0456377│-0,13234 │0,0381004│-0,129051 │-0,238135 │
│ ├────┼─────────┼────────┼───────────┼────────────┼────────┼───────┼──────────┼─────────┼─────────┼──────────┼──────────┤
│ │700 │0,147535 │0,236184│0,00370255 │0,00961456 │0,977829│5,27479│-0,0463111│-0,145004│0,0706537│-0,145227 │-0,288116 │
├─────┼────┼─────────┼────────┼───────────┼────────────┼────────┼───────┼──────────┼─────────┼─────────┼──────────┼──────────┤
│22 │350 │0,19205 │0,223218│0,0199237 │0,0196181 │0,805695│3,26506│-0,0375488│-0,118111│0,037557 │-0,137311 │-0,161698 │
│ ├────┼─────────┼────────┼───────────┼────────────┼────────┼───────┼──────────┼─────────┼─────────┼──────────┼──────────┤
│ │525 │0,164152 │0,210513│0,0135717 │0,00500168 │0,950341│4,44028│-0,0449047│-0,132201│0,0388411│-0,12431 │-0,247773 │
│ ├────┼─────────┼────────┼───────────┼────────────┼────────┼───────┼──────────┼─────────┼─────────┼──────────┼──────────┤
│ │700 │0,145731 │0,231127│-0,00706058│0,0115491 │0,97444 │5,33965│-0,0451276│-0,144844│0,0723252│-0,140224 │-0,29864 │
├─────┼────┼─────────┼────────┼───────────┼────────────┼────────┼───────┼──────────┼─────────┼─────────┼──────────┼──────────┤
│23 │350 │0,187492 │0,220659│0,0115235 │0,0210261 │0,808258│3,30923│-0,0369647│-0,118425│0,0382037│-0,135235 │-0,166779 │
│ ├────┼─────────┼────────┼───────────┼────────────┼────────┼───────┼──────────┼─────────┼─────────┼──────────┼──────────┤
│ │525 │0,161806 │0,205704│0,00314625 │0,00609601 │0,949065│4,49086│-0,0439308│-0,13211 │0,0396534│-0,120127 │-0,254978 │
│ ├────┼─────────┼────────┼───────────┼────────────┼────────┼───────┼──────────┼─────────┼─────────┼──────────┼──────────┤
│ │700 │0,143386 │0,226705│-0,0174279 │0,0138408 │0,970500│5,40693│-0,0441751│-0,145009│0,0737984│-0,135209 │-0,312326 │
├─────┼────┼─────────┼────────┼───────────┼────────────┼────────┼───────┼──────────┼─────────┼─────────┼──────────┼──────────┤
│24 │350 │0,182743 │0,218063│0,00292192 │0,0225168 │0,810836│3,35534│-0,036373 │-0,118761│0,0388700│-0,133109 │-0,172117 │
│ ├────┼─────────┼────────┼───────────┼────────────┼────────┼───────┼──────────┼─────────┼─────────┼──────────┼──────────┤
│ │525 │0,158596 │0,201014│-0,00617547│0,00734736 │0,947887│4,54943│-0,0433364│-0,131862│0,0404727│-0,115285 │-0,264552 │
│ ├────┼─────────┼────────┼───────────┼────────────┼────────┼───────┼──────────┼─────────┼─────────┼──────────┼──────────┤
│ │700 │0,141066 │0,221623│-0,0280790 │0,0159684 │0,965622│5,48177│-0,0431265│-0,144692│0,0755863│-0,129825 │-0,328733 │
├─────┼────┼─────────┼────────┼───────────┼────────────┼────────┼───────┼──────────┼─────────┼─────────┼──────────┼──────────┤
│25 │350 │0,177787 │0,215434│-0,00588228│0,0240962 │0,813423│3,40351│-0,0357745│-0,119121│0,0395565│-0,130931 │-0,17773 │
│ ├────┼─────────┼────────┼───────────┼────────────┼────────┼───────┼──────────┼─────────┼─────────┼──────────┼──────────┤
│ │525 │0,155221 │0,196722│-0,0162426 │0,008477 │0,947296│4,61292│-0,0430846│-0,131524│0,0413863│-0,110857 │-0,27699 │
│ ├────┼─────────┼────────┼───────────┼────────────┼────────┼───────┼──────────┼─────────┼─────────┼──────────┼──────────┤
│ │700 │0,138805 │0,216413│-0,0393713 │0,0182827 │0,960871│5,55454│-0,0420263│-0,144666│0,077354 │-0,124055 │-0,341562 │
├─────┼────┼─────────┼────────┼───────────┼────────────┼────────┼───────┼──────────┼─────────┼─────────┼──────────┼──────────┤
│26 │350 │0,171912 │0,212774│-0,0148896 │0,0257710 │0,816013│3,45385│-0,0351699│-0,119506│0,0402637│-0,1287 │-0,183636 │
│ ├────┼─────────┼────────┼───────────┼────────────┼────────┼───────┼──────────┼─────────┼─────────┼──────────┼──────────┤
│ │525 │0,151854 │0,191379│-0,0264049 │0,00997539 │0,945316│4,67367│-0,0417314│-0,131269│0,0421803│-0,106199 │-0,288043 │
│ ├────┼─────────┼────────┼───────────┼────────────┼────────┼───────┼──────────┼─────────┼─────────┼──────────┼──────────┤
│ │700 │0,136117 │0,211633│-0,0508731 │0,0209023 │0,955804│5,63472│-0,0412472│-0,144713│0,0791713│-0,11877 │-0,354654 │
├─────┼────┼─────────┼────────┼───────────┼────────────┼────────┼───────┼──────────┼─────────┼─────────┼──────────┼──────────┤
│27 │350 │0,166200 │0,210088│-0,0240998 │0,0275483 │0,818599│3,50651│-0,0345604│-0,119921│0,0409921│-0,126417 │-0,189857 │
│ ├────┼─────────┼────────┼───────────┼────────────┼────────┼───────┼──────────┼─────────┼─────────┼──────────┼──────────┤
│ │525 │0,147805 │0,186567│-0,0366603 │0,0114890 │0,943867│4,75061│-0,0409051│-0,131098│0,0430703│-0,101243 │-0,30193 │
│ ├────┼─────────┼────────┼───────────┼────────────┼────────┼───────┼──────────┼─────────┼─────────┼──────────┼──────────┤
│ │700 │0,133170 │0,206171│-0,0622083 │0,0238111 │0,949722│5,72034│-0,0400623│-0,144662│0,0810942│-0,112699 │-0,369306 │
├─────┼────┼─────────┼────────┼───────────┼────────────┼────────┼───────┼──────────┼─────────┼─────────┼──────────┼──────────┤
│28 │350 │0,159535 │0,20738 │-0,0335116 │0,0294361 │0,821173│3,56163│-0,0339473│-0,120366│0,0417423│-0,12408 │-0,196417 │
│ ├────┼─────────┼────────┼───────────┼────────────┼────────┼───────┼──────────┼─────────┼─────────┼──────────┼──────────┤
│ │525 │0,143686 │0,181272│-0,0466785 │0,0132145 │0,941212│4,82205│-0,0400779│-0,13123 │0,0440888│-0,0955899│-0,311241 │
│ ├────┼─────────┼────────┼───────────┼────────────┼────────┼───────┼──────────┼─────────┼─────────┼──────────┼──────────┤
│ │700 │0,130016 │0,200983│-0,0742097 │0,0269671 │0,943251│5,81311│-0,0390287│-0,144655│0,0831103│-0,106856 │-0,388839 │
├─────┼────┼─────────┼────────┼───────────┼────────────┼────────┼───────┼──────────┼─────────┼─────────┼──────────┼──────────┤
│29 │350 │0,153596 │0,204655│-0,0431228 │0,0314429 │0,823725│3,61937│-0,0333319│-0,120846│0,0425147│-0,121689 │-0,203339 │
│ ├────┼─────────┼────────┼───────────┼────────────┼────────┼───────┼──────────┼─────────┼─────────┼──────────┼──────────┤
│ │525 │0,139419 │0,17608 │-0,0571292 │0,0148584 │0,938957│4,89199│-0,039222 │-0,131006│0,0450669│-0,0905867│-0,324646 │
│ ├────┼─────────┼────────┼───────────┼────────────┼────────┼───────┼──────────┼─────────┼─────────┼──────────┼──────────┤
│ │700 │0,126291 │0,196017│-0,0856187 │0,030326 │0,936616│5,90532│-0,0380318│-0,144999│0,0850175│-0,100934 │-0,404372 │
├─────┼────┼─────────┼────────┼───────────┼────────────┼────────┼───────┼──────────┼─────────┼─────────┼──────────┼──────────┤
│30 │350 │0,147363 │0,201921│-0,0529297 │0,0335782 │0,826244│3,6799 │-0,032716 │-0,121363│0,0433098│-0,119245 │-0,210652 │
│ ├────┼─────────┼────────┼───────────┼────────────┼────────┼───────┼──────────┼─────────┼─────────┼──────────┼──────────┤
│ │525 │0,134370 │0,171369│-0,0677317 │0,0168643 │0,93529 │4,98174│-0,038742 │-0,130962│0,0460837│-0,085394 │-0,340423 │
│ ├────┼─────────┼────────┼───────────┼────────────┼────────┼───────┼──────────┼─────────┼─────────┼──────────┼──────────┤
│ │700 │0,122662 │0,190477│-0,0978959 │0,0339016 │0,929062│6,00499│-0,0371749│-0,144926│0,0872823│-0,0947273│-0,420567 │
├─────┼────┼─────────┼────────┼───────────┼────────────┼────────┼───────┼──────────┼─────────┼─────────┼──────────┼──────────┤
│31 │350 │0,139814 │0,199184│-0,0629274 │0,0358525 │0,828718│3,7434 │-0,0321016│-0,121921│0,0441281│-0,116746 │-0,218387 │
│ ├────┼─────────┼────────┼───────────┼────────────┼────────┼───────┼──────────┼─────────┼─────────┼──────────┼──────────┤
│ │525 │0,129147 │0,166092│-0,0783953 │0,0190262 │0,932143│5,06644│-0,0378242│-0,131066│0,0470536│-0,0797852│-0,351266 │
│ ├────┼─────────┼────────┼───────────┼────────────┼────────┼───────┼──────────┼─────────┼─────────┼──────────┼──────────┤
│ │700 │0,118417 │0,185116│-0,1098930 │0,0377652 │0,920943│6,11317│-0,0362234│-0,145065│0,0895573│-0,0883324│-0,440543 │
├─────┼────┼─────────┼────────┼───────────┼────────────┼────────┼───────┼──────────┼─────────┼─────────┼──────────┼──────────┤
│32 │350 │0,132922 │0,196453│-0,0731089 │0,0382771 │0,831133│3,81008│-0,0314911│-0,122525│0,0449699│-0,114193 │-0,226578 │
│ ├────┼─────────┼────────┼───────────┼────────────┼────────┼───────┼──────────┼─────────┼─────────┼──────────┼──────────┤
│ │525 │0,123771 │0,160624│-0,0897326 │0,0213409 │0,928174│5,15575│-0,0369512│-0,131023│0,0482614│-0,0742922│-0,367733 │
│ ├────┼─────────┼────────┼───────────┼────────────┼────────┼───────┼──────────┼─────────┼─────────┼──────────┼──────────┤
│ │700 │0,11395 │0,179737│-0,12215 │0,0419952 │0,911112│6,22667│-0,0350925│-0,145438│0,091819 │-0,0817545│-0,460848 │
├─────┼────┼─────────┼────────┼───────────┼────────────┼────────┼───────┼──────────┼─────────┼─────────┼──────────┼──────────┤
│33 │350 │0,12566 │0,193739│-0,0834652 │0,0408646 │0,833472│3,88015│-0,0308872│-0,123179│0,0458354│-0,111587 │-0,235261 │
│ ├────┼─────────┼────────┼───────────┼────────────┼────────┼───────┼──────────┼─────────┼─────────┼──────────┼──────────┤
│ │525 │0,117578 │0,155687│-0,100416 │0,0237677 │0,923529│5,25578│-0,0365177│-0,13099 │0,0494007│-0,0684513│-0,386363 │
│ ├────┼─────────┼────────┼───────────┼────────────┼────────┼───────┼──────────┼─────────┼─────────┼──────────┼──────────┤
│ │700 │0,108936 │0,174433│-0,134197 │0,046537 │0,901457│6,34087│-0,034283 │-0,145854│0,0941929│-0,074795 │-0,481319 │
├─────┼────┼─────────┼────────┼───────────┼────────────┼────────┼───────┼──────────┼─────────┼─────────┼──────────┼──────────┤
│34 │350 │0,117996 │0,191053│-0,0939849 │0,0436289 │0,835716│3,95388│-0,0302931│-0,123889│0,0467249│-0,108928 │-0,244479 │
│ ├────┼─────────┼────────┼───────────┼────────────┼────────┼───────┼──────────┼─────────┼─────────┼──────────┼──────────┤
│ │525 │0,110858 │0,150605│-0,111083 │0,0264124 │0,91799 │5,36148│-0,0360282│-0,131119│0,0505298│-0,0623964│-0,402985 │
│ ├────┼─────────┼────────┼───────────┼────────────┼────────┼───────┼──────────┼─────────┼─────────┼──────────┼──────────┤
│ │700 │0,103473 │0,168965│-0,146573 │0,0518004 │0,889738│6,47055│-0,0333266│-0,146193│0,096618 │-0,0678343│-0,501799 │
├─────┼────┼─────────┼────────┼───────────┼────────────┼────────┼───────┼──────────┼─────────┼─────────┼──────────┼──────────┤
│35 │350 │0,108897 │0,18841 │-0,104654 │0,0465856 │0,837844│4,03151│-0,0297125│-0,12466 │0,0476383│-0,106216 │-0,254278 │
│ ├────┼─────────┼────────┼───────────┼────────────┼────────┼───────┼──────────┼─────────┼─────────┼──────────┼──────────┤
│ │525 │0,103825 │0,145346│-0,12223 │0,0293635 │0,912155│5,47081│-0,0352573│-0,131444│0,0518173│-0,0563794│-0,421877 │
│ ├────┼─────────┼────────┼───────────┼────────────┼────────┼───────┼──────────┼─────────┼─────────┼──────────┼──────────┤
│ │700 │0,0972653│0,163874│-0,15881 │0,0573109 │0,878227│6,61043│-0,0326338│-0,146729│0,0991682│-0,060531 │-0,528262 │
├─────┼────┼─────────┼────────┼───────────┼────────────┼────────┼───────┼──────────┼─────────┼─────────┼──────────┼──────────┤
│36 │350 │0,099324 │0,185826│-0,1154563 │0,0497517 │0,839831│4,11336│-0,0291498│-0,125500│0,0485758│-0,103453 │-0,264709 │
│ ├────┼─────────┼────────┼───────────┼────────────┼────────┼───────┼──────────┼─────────┼─────────┼──────────┼──────────┤
│ │525 │0,0959012│0,140475│-0,132808 │0,0325478 │0,905462│5,58697│-0,0349774│-0,131763│0,0530574│-0,0501361│-0,440612 │
│ ├────┼─────────┼────────┼───────────┼────────────┼────────┼───────┼──────────┼─────────┼─────────┼──────────┼──────────┤
│ │700 │0,0905606│0,158694│-0,170821 │0,0633383 │0,864528│6,75693│-0,0318389│-0,147487│0,101873 │-0,0530701│-0,554259 │
├─────┼────┼─────────┼────────┼───────────┼────────────┼────────┼───────┼──────────┼─────────┼─────────┼──────────┼──────────┤
│37 │350 │0,090235 │0,183321│-0,126363 │0,0531464 │0,841648│4,19975│-0,02861 │-0,126416│0,0495368│-0,100639 │-0,275833 │
│ ├────┼─────────┼────────┼───────────┼────────────┼────────┼───────┼──────────┼─────────┼─────────┼──────────┼──────────┤
│ │525 │0,0875282│0,135275│-0,143727 │0,0360999 │0,897219│5,71268│-0,0340488│-0,132298│0,0543632│-0,043776 │-0,465105 │
│ ├────┼─────────┼────────┼───────────┼────────────┼────────┼───────┼──────────┼─────────┼─────────┼──────────┼──────────┤
│ │700 │0,0831639│0,15367 │-0,182759 │0,0699908 │0,849669│6,91405│-0,0311755│-0,148325│0,10464 │-0,0454064│-0,581893 │
├─────┼────┼─────────┼────────┼───────────┼────────────┼────────┼───────┼──────────┼─────────┼─────────┼──────────┼──────────┤
│38 │350 │0,079582 │0,180915│-0,137354 │0,0567911 │0,843263│4,29104│-0,0280991│-0,127418│0,050521 │-0,0977768│-0,287714 │
│ ├────┼─────────┼────────┼───────────┼────────────┼────────┼───────┼──────────┼─────────┼─────────┼──────────┼──────────┤
│ │525 │0,0775638│0,13121 │-0,153538 │0,0400717 │0,888768│5,85355│-0,0341142│-0,133084│0,055637 │-0,0370872│-0,48866 │
│ ├────┼─────────┼────────┼───────────┼────────────┼────────┼───────┼──────────┼─────────┼─────────┼──────────┼──────────┤
│ │700 │0,0749802│0,148826│-0,194443 │0,0773012 │0,833241│7,08299│-0,0306129│-0,14933 │0,107506 │-0,0375069│-0,611581 │
├─────┼────┼─────────┼────────┼───────────┼────────────┼────────┼───────┼──────────┼─────────┼─────────┼──────────┼──────────┤
│39 │350 │0,0690598│0,178326│-0,148557 │0,0607222 │0,844084│4,38579│-0,0275592│-0,128426│0,0515455│-0,0945235│-0,299013 │
│ ├────┼─────────┼────────┼───────────┼────────────┼────────┼───────┼──────────┼─────────┼─────────┼──────────┼──────────┤
│ │525 │0,0676363│0,125937│-0,164185 │0,0442968 │0,87871 │5,99924│-0,0335355│-0,133648│0,0570533│-0,0300677│-0,510629 │
│ ├────┼─────────┼────────┼───────────┼────────────┼────────┼───────┼──────────┼─────────┼─────────┼──────────┼──────────┤
│ │700 │0,0659051│0,144223│-0,205768 │0,0853526 │0,815045│7,26515│-0,0301725│-0,150529│0,1104700│-0,0293567│-0,643585 │
├─────┼────┼─────────┼────────┼───────────┼────────────┼────────┼───────┼──────────┼─────────┼─────────┼──────────┼──────────┤
│40 │350 │0,05704 │0,176042│-0,159505 │0,0649338 │0,845866│4,49214│-0,0267965│-0,129598│0,0525282│-0,0919093│-0,314159 │
│ ├────┼─────────┼────────┼───────────┼────────────┼────────┼───────┼──────────┼─────────┼─────────┼──────────┼──────────┤
│ │525 │0,056223 │0,121916│-0,173547 │0,0489477 │0,867199│6,15499│-0,033539 │-0,134606│0,0584124│-0,0230317│-0,538659 │
│ ├────┼─────────┼────────┼───────────┼────────────┼────────┼───────┼──────────┼─────────┼─────────┼──────────┼──────────┤
│ │700 │0,055816 │0,13993 │-0,216609 │0,0942424 │0,79485 │7,46218│-0,029880 │-0,151955│0,113532 │-0,0209374│-0,678221 │
└─────┴────┴─────────┴────────┴───────────┴────────────┴────────┴───────┴──────────┴─────────┴─────────┴──────────┴──────────┘
┌───────┬────┬───────────┬───────────┬───────────┬─────────┬────────────┬──────────┬────────────┬──────────┬────────┬────────┐
│ фи, │E', │ a │ a │ a │ a │ a │ a │ a │ a │ a │ a │
│ град. │ R │ 22 │ 23 │ 24 │ 25 │ 33 │ 34 │ 35 │ 44 │ 45 │ 55 │
│ │кН/м│ │ │ │ │ │ │ │ │ │ │
├───────┼────┼───────────┼───────────┼───────────┼─────────┼────────────┼──────────┼────────────┼──────────┼────────┼────────┤
│ 1 │ 2 │ 3 │ 4 │ 5 │ 6 │ 7 │ 8 │ 9 │ 10 │ 11 │ 12 │
├───────┼────┼───────────┼───────────┼───────────┼─────────┼────────────┼──────────┼────────────┼──────────┼────────┼────────┤
│2 │350 │-0,0131822 │-0,00662403│-0,0401167 │-0,201643│0,00186969 │-0,0206528│0,013298 │-0,0854486│-2,31645│-2,86357│
│ ├────┼───────────┼───────────┼───────────┼─────────┼────────────┼──────────┼────────────┼──────────┼────────┼────────┤
│ │525 │0,000594042│-0,00368904│-0,0379416 │-0,448605│0,00267448 │-0,022901 │0,0211805 │-0,147642 │-4,04554│-4,18881│
│ ├────┼───────────┼───────────┼───────────┼─────────┼────────────┼──────────┼────────────┼──────────┼────────┼────────┤
│ │700 │0,0101802 │-0,00143866│-0,0497323 │-0,515211│0,00708352 │-0,0508029│0,0389494 │-0,138649 │-5,26221│-7,20936│
├───────┼────┼───────────┼───────────┼───────────┼─────────┼────────────┼──────────┼────────────┼──────────┼────────┼────────┤
│3 │350 │-0,0116604 │-0,00708052│-0,0359395 │-0,205573│0,00186174 │-0,0209905│0,0132191 │-0,0861067│-2,33307│-2,86881│
│ ├────┼───────────┼───────────┼───────────┼─────────┼────────────┼──────────┼────────────┼──────────┼────────┼────────┤
│ │525 │0,00289396 │-0,00423315│-0,0319487 │-0,455816│0,0026938 │-0,0230656│0,0211266 │-0,148159 │-4,06746│-4,1953 │
│ ├────┼───────────┼───────────┼───────────┼─────────┼────────────┼──────────┼────────────┼──────────┼────────┼────────┤
│ │700 │0,012314 │-0,00235604│-0,0432087 │-0,520833│0,00723129 │-0,0515368│0,0386508 │-0,138816 │-5,28247│-7,23276│
├───────┼────┼───────────┼───────────┼───────────┼─────────┼────────────┼──────────┼────────────┼──────────┼────────┼────────┤
│4 │350 │-0,0100961 │-0,00755132│-0,0316457 │-0,209648│0,00185203 │-0,0213407│0,0131296 │-0,0867671│-2,3501 │-2,87488│
│ ├────┼───────────┼───────────┼───────────┼─────────┼────────────┼──────────┼────────────┼──────────┼────────┼────────┤
│ │525 │0,00453265 │-0,00468279│-0,0257375 │-0,463668│0,00274367 │-0,02344 │0,0205912 │-0,149676 │-4,08683│-4,1324 │
│ ├────┼───────────┼───────────┼───────────┼─────────┼────────────┼──────────┼────────────┼──────────┼────────┼────────┤
│ │700 │0,0147291 │-0,00314944│-0,035727 │-0,527708│0,0072797 │-0,0518933│0,0377082 │-0,139483 │-5,3066 │-7,30128│
├───────┼────┼───────────┼───────────┼───────────┼─────────┼────────────┼──────────┼────────────┼──────────┼────────┼────────┤
│5 │350 │-0,00848804│-0,00803699│-0,0272317 │-0,213875│0,00184042 │-0,021704 │0,0130287 │-0,0874288│-2,36756│-2,88186│
│ ├────┼───────────┼───────────┼───────────┼─────────┼────────────┼──────────┼────────────┼──────────┼────────┼────────┤
│ │525 │-0,00516277│0,00662189 │-0,0196543 │-0,470376│0,00273947 │-0,0237281│0,020404 │-0,151204 │-4,10247│-4,19192│
│ ├────┼───────────┼───────────┼───────────┼─────────┼────────────┼──────────┼────────────┼──────────┼────────┼────────┤
│ │700 │0,01713400 │0,00415118 │-0,028932 │-0,535662│0,00742925 │-0,0524209│0,0371955 │-0,140247 │-5,32414│-7,3158 │
├───────┼────┼───────────┼───────────┼───────────┼─────────┼────────────┼──────────┼────────────┼──────────┼────────┼────────┤
│6 │350 │-0,00683483│-0,00853813│-0,0226938 │-0,21826 │0,00182673 │-0,022081 │0,0129153 │-0,0880908│-2,38545│-2,88982│
│ ├────┼───────────┼───────────┼───────────┼─────────┼────────────┼──────────┼────────────┼──────────┼────────┼────────┤
│ │525 │0,00887459 │-0,00574921│-0,0133874 │-0,47830 │0,00279762 │-0,0241053│0,0199982 │-0,152676 │-4,12488│-4,17215│
│ ├────┼───────────┼───────────┼───────────┼─────────┼────────────┼──────────┼────────────┼──────────┼────────┼────────┤
│ │700 │0,0196817 │-0,00497021│-0,0213408 │-0,54600 │0,00737897 │-0,0531014│0,0361817 │-0,140261 │-5,34465│-7,41136│
├───────┼────┼───────────┼───────────┼───────────┼─────────┼────────────┼──────────┼────────────┼──────────┼────────┼────────┤
│7 │350 │-0,00513518│-0,00905535│-0,0180282 │-0,222811│0,00181079 │-0,0224722│0,0127882 │-0,0887517│-2,40379│-2,89885│
│ ├────┼───────────┼───────────┼───────────┼─────────┼────────────┼──────────┼────────────┼──────────┼────────┼────────┤
│ │525 │0,011215 │-0,00623308│-0,00638554│-0,483482│0,0028308 │-0,0243544│0,0197435 │-0,153627 │-4,14579│-4,15286│
│ ├────┼───────────┼───────────┼───────────┼─────────┼────────────┼──────────┼────────────┼──────────┼────────┼────────┤
│ │700 │0,0222751 │-0,00604983│-0,0137337 │-0,553278│0,00745583 │-0,0535973│0,0352228 │-0,141266 │-5,36952│-7,39311│
├───────┼────┼───────────┼───────────┼───────────┼─────────┼────────────┼──────────┼────────────┼──────────┼────────┼────────┤
│8 │350 │-0,00338774│-0,00958932│-0,013231 │-0,227536│0,00179241 │-0,0228783│0,0126461 │-0,0894103│-2,42258│-2,90904│
│ ├────┼───────────┼───────────┼───────────┼─────────┼────────────┼──────────┼────────────┼──────────┼────────┼────────┤
│ │525 │0,0134207 │-0,00674107│0,000380062│-0,495705│0,00281487 │-0,0246666│0,019866 │-0,154723 │-4,1664 │-4,13642│
│ ├────┼───────────┼───────────┼───────────┼─────────┼────────────┼──────────┼────────────┼──────────┼────────┼────────┤
│ │700 │0,0247394 │-0,00705707│-0,0057681 │-0,560814│0,00758915 │-0,0543984│0,0350536 │-0,142608 │-5,38664│-7,44874│
├───────┼────┼───────────┼───────────┼───────────┼─────────┼────────────┼──────────┼────────────┼──────────┼────────┼────────┤
│9 │350 │-0,00159111│-0,0101407 │-0,00829805│-0,232444│0,00177136 │-0,0233000│0,0124876 │-0,0900649│-2,44184│-2,92049│
│ ├────┼───────────┼───────────┼───────────┼─────────┼────────────┼──────────┼────────────┼──────────┼────────┼────────┤
│ │525 │0,0158243 │-0,00726011│0,00723883 │-0,504239│0,00289606 │-0,0250684│0,0190569 │-0,156135 │-4,18715│-4,12022│
│ ├────┼───────────┼───────────┼───────────┼─────────┼────────────┼──────────┼────────────┼──────────┼────────┼────────┤
│ │700 │0,0273975 │-0,00805077│0,00220213 │-0,57015 │0,0077276 │-0,054824 │0,0332815 │-0,143628 │-5,41192│-7,49511│
├───────┼────┼───────────┼───────────┼───────────┼─────────┼────────────┼──────────┼────────────┼──────────┼────────┼────────┤
│10 │350 │0,000256133│-0,0107103 │-0,00322516│-0,237544│0,00174742 │-0,0237381│0,0123112 │-0,0907139│-2,46157│-2,93329│
│ ├────┼───────────┼───────────┼───────────┼─────────┼────────────┼──────────┼────────────┼──────────┼────────┼────────┤
│ │525 │0,0183677 │-0,00790204│0,0145876 │-0,512941│0,00289136 │-0,0253563│0,0190916 │-0,157455 │-4,20695│-4,12854│
│ ├────┼───────────┼───────────┼───────────┼─────────┼────────────┼──────────┼────────────┼──────────┼────────┼────────┤
│ │700 │0,0301604 │-0,00902374│0,0106292 │-0,580962│0,00765166 │-0,0555154│0,0324833 │-0,143464 │-5,43163│-7,56491│
├───────┼────┼───────────┼───────────┼───────────┼─────────┼────────────┼──────────┼────────────┼──────────┼────────┼────────┤
│11 │350 │0,00215544 │-0,0112989 │0,00199202 │-0,242844│0,00172035 │-0,0241932│0,012115 │-0,0913553│-2,48178│-2,94757│
│ ├────┼───────────┼───────────┼───────────┼─────────┼────────────┼──────────┼────────────┼──────────┼────────┼────────┤
│ │525 │0,0204609 │-0,00854783│0,0219717 │-0,521307│0,00290496 │-0,0256208│0,0184282 │-0,158889 │-4,22959│-4,15241│
│ ├────┼───────────┼───────────┼───────────┼─────────┼────────────┼──────────┼────────────┼──────────┼────────┼────────┤
│ │700 │0,0329601 │-0,0101476 │0,0190334 │-0,589029│0,0076508 │-0,0559833│0,0308139 │-0,144803 │-5,44841│-7,63104│
├───────┼────┼───────────┼───────────┼───────────┼─────────┼────────────┼──────────┼────────────┼──────────┼────────┼────────┤
│12 │350 │0,0041083 │-0,0119072 │0,00735796 │-0,248356│0,00168987 │-0,0246663│0,0118974 │-0,0919871│-2,50248│-2,96344│
│ ├────┼───────────┼───────────┼───────────┼─────────┼────────────┼──────────┼────────────┼──────────┼────────┼────────┤
│ │525 │0,0230585 │-0,00916388│0,0300729 │-0,53102 │0,00291282 │-0,0259796│0,0181803 │-0,160152 │-4,2506 │-4,12363│
│ ├────┼───────────┼───────────┼───────────┼─────────┼────────────┼──────────┼────────────┼──────────┼────────┼────────┤
│ │700 │0,0359521 │-0,0113573 │0,0278942 │-0,599344│0,00767481 │-0,0566484│0,0291442 │-0,14507 │-5,46891│-7,63745│
├───────┼────┼───────────┼───────────┼───────────┼─────────┼────────────┼──────────┼────────────┼──────────┼────────┼────────┤
│13 │350 │0,00611623 │-0,0125361 │0,0128773 │-0,25409 │0,00165569 │-0,0251581│0,0116561 │-0,0926071│-2,52368│-2,98105│
│ ├────┼───────────┼───────────┼───────────┼─────────┼────────────┼──────────┼────────────┼──────────┼────────┼────────┤
│ │525 │0,0257577 │-0,0098348 │0,0374516 │0,541517 │0,00296667 │-0,0264399│0,0182714 │-0,161023 │-4,26922│-4,13459│
│ ├────┼───────────┼───────────┼───────────┼─────────┼────────────┼──────────┼────────────┼──────────┼────────┼────────┤
│ │700 │0,0387336 │-0,012566 │0,0369261 │-0,610894│0,00776922 │-0,0574959│0,0274985 │-0,145674 │-5,4889 │-7,79800│
├───────┼────┼───────────┼───────────┼───────────┼─────────┼────────────┼──────────┼────────────┼──────────┼────────┼────────┤
│14 │350 │0,00818073 │-0,0131866 │0,0185548 │-0,260058│0,00161749 │-0,0256696│0,0113889 │-0,0932125│-2,5454 │-3,00053│
│ ├────┼───────────┼───────────┼───────────┼─────────┼────────────┼──────────┼────────────┼──────────┼────────┼────────┤
│ │525 │0,0284985 │-0,0105043 │0,0459126 │-0,552023│0,00298847 │-0,0268696│0,016846 │-0,162726 │-4,28846│-4,16203│
│ ├────┼───────────┼───────────┼───────────┼─────────┼────────────┼──────────┼────────────┼──────────┼────────┼────────┤
│ │700 │0,0419763 │-0,0139086 │0,046603 │-0,618815│0,00769951 │-0,0581189│0,0279622 │-0,146543 │-5,50718│-7,90063│
├───────┼────┼───────────┼───────────┼───────────┼─────────┼────────────┼──────────┼────────────┼──────────┼────────┼────────┤
│15 │350 │0,0103034 │-0,0138597 │0,0243955 │-0,266271│0,00157493 │-0,0262016│0,0110933 │-0,0938006│-2,56763│-3,02204│
│ ├────┼───────────┼───────────┼───────────┼─────────┼────────────┼──────────┼────────────┼──────────┼────────┼────────┤
│ │525 │0,0307156 │-0,0112114 │0,0541811 │-0,562351│0,00300113 │-0,0271964│0,0165953 │-0,16406 │-4,30819│-4,22518│
│ ├────┼───────────┼───────────┼───────────┼─────────┼────────────┼──────────┼────────────┼──────────┼────────┼────────┤
│ │700 │0,0449897 │-0,0152298 │0,0557726 │-0,63182 │0,00774252 │-0,0587861│0,0248371 │-0,146397 │-5,52371│-7,97824│
├───────┼────┼───────────┼───────────┼───────────┼─────────┼────────────┼──────────┼────────────┼──────────┼────────┼────────┤
│16 │350 │0,0124857 │-0,0145564 │0,0304043 │-0,272743│0,00152764 │-0,0267552│0,0107664 │-0,0943683│-2,5904 │-3,04576│
│ ├────┼───────────┼───────────┼───────────┼─────────┼────────────┼──────────┼────────────┼──────────┼────────┼────────┤
│ │525 │0,0337249 │-0,0120097 │0,0626126 │-0,571388│0,00299951 │-0,0276301│0,0158721 │-0,164921 │-4,32868│-4,20252│
│ ├────┼───────────┼───────────┼───────────┼─────────┼────────────┼──────────┼────────────┼──────────┼────────┼────────┤
│ │700 │0,0481552 │-0,0165184 │0,0658285 │-0,640795│0,00755269 │-0,0594875│0,0217765 │-0,147106 │-5,53647│-8,08618│
├───────┼────┼───────────┼───────────┼───────────┼─────────┼────────────┼──────────┼────────────┼──────────┼────────┼────────┤
│17 │350 │0,0147293 │-0,0152777 │0,0365865 │-0,279489│0,00147521 │-0,0273314│0,0104053 │-0,0949121│-2,61369│-3,07188│
│ ├────┼───────────┼───────────┼───────────┼─────────┼────────────┼──────────┼────────────┼──────────┼────────┼────────┤
│ │525 │0,0365554 │-0,0127929 │0,0715681 │-0,582086│0,00302745 │-0,0279779│0,0153217 │-0,166694 │-4,34915│-4,26594│
│ ├────┼───────────┼───────────┼───────────┼─────────┼────────────┼──────────┼────────────┼──────────┼────────┼────────┤
│ │700 │0,0515002 │-0,0180582 │0,0759598 │0,65288 │0,00755323 │-0,0599571│0,0209742 │-0,147266 │-5,54826│-8,2811 │
├───────┼────┼───────────┼───────────┼───────────┼─────────┼────────────┼──────────┼────────────┼──────────┼────────┼────────┤
│18 │350 │0,0170358 │-0,016025 │0,0429475 │-0,286522│0,00141718 │-0,0279313│0,0100064 │-0,0954282│-2,63753│-3,10058│
│ ├────┼───────────┼───────────┼───────────┼─────────┼────────────┼──────────┼────────────┼──────────┼────────┼────────┤
│ │525 │0,0396342 │-0,0135825 │0,0805376 │-0,597117│0,00303035 │-0,0285201│0,0139726 │-0,16799 │-4,36561│-4,32523│
│ ├────┼───────────┼───────────┼───────────┼─────────┼────────────┼──────────┼────────────┼──────────┼────────┼────────┤
│ │700 │0,0546812 │-0,019367 │0,0865282 │0,664424 │0,00751214 │0,0608067 │0,0178993 │-0,14802 │-5,5664 │-8,40317│
├───────┼────┼───────────┼───────────┼───────────┼─────────┼────────────┼──────────┼────────────┼──────────┼────────┼────────┤
│19 │350 │0,0194066 │-0,0167995 │0,0494928 │-0,293859│0,00135309 │-0,0285561│0,00956589 │-0,0959124│-2,66192│-3,1321 │
│ ├────┼───────────┼───────────┼───────────┼─────────┼────────────┼──────────┼────────────┼──────────┼────────┼────────┤
│ │525 │0,0425308 │-0,0143651 │0,0900362 │-0,607724│0,00300971 │-0,0289685│0,013118 │-0,169298 │-4,38622│-4,35973│
│ ├────┼───────────┼───────────┼───────────┼─────────┼────────────┼──────────┼────────────┼──────────┼────────┼────────┤
│ │700 │0,0585032 │-0,020973 │0,0972616 │-0,677524│0,00743461 │0,0615043 │0,0158215 │-0,148247 │-5,5765 │-8,55879│
├───────┼────┼───────────┼───────────┼───────────┼─────────┼────────────┼──────────┼────────────┼──────────┼────────┼────────┤
│20 │350 │0,0218434 │-0,0176025 │0,0562282 │-0,301517│0,00128241 │-0,0292069│0,00907963 │-0,0963601│-2,68687│-3,16667│
│ ├────┼───────────┼───────────┼───────────┼─────────┼────────────┼──────────┼────────────┼──────────┼────────┼────────┤
│ │525 │0,0454456 │-0,0152486 │0,0996044 │-0,622771│0,00299843 │-0,0293602│0,0126215 │-0,17011 │-4,40183│-4,43809│
│ ├────┼───────────┼───────────┼───────────┼─────────┼────────────┼──────────┼────────────┼──────────┼────────┼────────┤
│ │700 │0,0617581 │-0,0226398 │0,108523 │-0,693442│0,00724442 │-0,0624189│0,0136013 │-0,149133 │5,5931 │-8,7477 │
├───────┼────┼───────────┼───────────┼───────────┼─────────┼────────────┼──────────┼────────────┼──────────┼────────┼────────┤
│21 │350 │0,0243477 │-0,0184354 │0,0631593 │-0,309514│0,00120455 │-0,0298852│0,00854288 │-0,0967661│-2,71237│-3,20455│
│ ├────┼───────────┼───────────┼───────────┼─────────┼────────────┼──────────┼────────────┼──────────┼────────┼────────┤
│ │525 │0,0486847 │-0,0161846 │0,109751 │-0,633639│0,0029777 │-0,0298201│0,011859 │-0,171046 │-4,42326│-4,51879│
│ ├────┼───────────┼───────────┼───────────┼─────────┼────────────┼──────────┼────────────┼──────────┼────────┼────────┤
│ │700 │0,0652800 │-0,0242826 │0,120306 │-0,705432│0,00716601 │-0,0629817│0,0109214 │-0,149163 │-5,59911│-8,95404│
├───────┼────┼───────────┼───────────┼───────────┼─────────┼────────────┼──────────┼────────────┼──────────┼────────┼────────┤
│22 │350 │0,0269208 │-0,0193 │0,0702924 │-0,317871│0,00111891 │-0,0305921│0,0079504 │-0,0971247│-2,73844│-3,24603│
│ ├────┼───────────┼───────────┼───────────┼─────────┼────────────┼──────────┼────────────┼──────────┼────────┼────────┤
│ │525 │0,0516014 │-0,0171942 │0,119708 │-0,649671│0,00293782 │-0,0302607│0,0103022 │-0,172809 │-4,43577│-4,62011│
│ ├────┼───────────┼───────────┼───────────┼─────────┼────────────┼──────────┼────────────┼──────────┼────────┼────────┤
│ │700 │0,0690974 │-0,0259606 │0,131666 │-0,718565│0,00693646 │-0,0638128│0,00805336 │-0,149073 │-5,60458│-9,19436│
├───────┼────┼───────────┼───────────┼───────────┼─────────┼────────────┼──────────┼────────────┼──────────┼────────┼────────┤
│23 │350 │0,0295643 │-0,0201977 │0,0776334 │-0,326609│0,00102478 │-0,0313291│0,00729631 │-0,0974297│-2,76507│-3,29141│
│ ├────┼───────────┼───────────┼───────────┼─────────┼────────────┼──────────┼────────────┼──────────┼────────┼────────┤
│ │525 │0,0552274 │-0,0180913 │0,130678 │-0,661936│0,00289185 │-0,0307799│0,00854467 │-0,173301 │-4,4522 │-4,68786│
│ ├────┼───────────┼───────────┼───────────┼─────────┼────────────┼──────────┼────────────┼──────────┼────────┼────────┤
│ │700 │0,0727039 │-0,0278416 │0,143867 │-0,731324│0,00665569 │-0,0644617│0,00297631 │0,149393 │-5,60813│-9,41836│
├───────┼────┼───────────┼───────────┼───────────┼─────────┼────────────┼──────────┼────────────┼──────────┼────────┼────────┤
│24 │350 │0,0322795 │-0,0211306 │0,0851888 │-0,335751│0,000921435 │-0,0320977│0,00657407 │-0,0976743│-2,79227│-3,34104│
│ ├────┼───────────┼───────────┼───────────┼─────────┼────────────┼──────────┼────────────┼──────────┼────────┼────────┤
│ │525 │0,0583383 │-0,0191435 │0,141377 │-0,676847│0,00283617 │-0,0312631│0,00705043 │-0,173972 │-4,46794│-4,79557│
│ ├────┼───────────┼───────────┼───────────┼─────────┼────────────┼──────────┼────────────┼──────────┼────────┼────────┤
│ │700 │0,0763876 │-0,0298977 │0,156529 │-0,748354│0,00645884 │-0,0650747│-0,000300089│-0,148635 │-5,61334│-9,67211│
├───────┼────┼───────────┼───────────┼───────────┼─────────┼────────────┼──────────┼────────────┼──────────┼────────┼────────┤
│25 │350 │0,0350676 │-0,0221004 │0,0929649 │-0,345321│0,00080805 │-0,0328994│0,00577635 │-0,0978508│-2,82004│-3,39529│
│ ├────┼───────────┼───────────┼───────────┼─────────┼────────────┼──────────┼────────────┼──────────┼────────┼────────┤
│ │525 │0,061799 │-0,0201864 │0,152476 │-0,692839│0,00280475 │-0,0317226│0,00605103 │-0,175739 │-4,48005│-4,93981│
│ ├────┼───────────┼───────────┼───────────┼─────────┼────────────┼──────────┼────────────┼──────────┼────────┼────────┤
│ │700 │0,0803196 │-0,0317732 │0,169513 │-0,763196│0,00612842 │0,0656739 │-0,00417108 │-0,14917 │-5,61091│-9,94821│
├───────┼────┼───────────┼───────────┼───────────┼─────────┼────────────┼──────────┼────────────┼──────────┼────────┼────────┤
│26 │350 │0,0379297 │-0,0231094 │0,100968 │-0,355347│0,000683732 │-0,0337358│0,00489491 │-0,0979507│-2,84836│-3,45455│
│ ├────┼───────────┼───────────┼───────────┼─────────┼────────────┼──────────┼────────────┼──────────┼────────┼────────┤
│ │525 │0,0653201 │-0,0213592 │0,164305 │-0,71059 │0,00272851 │-0,0321981│0,00378147 │-0,176372 │-4,48901│-5,03134│
│ ├────┼───────────┼───────────┼───────────┼─────────┼────────────┼──────────┼────────────┼──────────┼────────┼────────┤
│ │700 │0,0843618 │-0,0339122 │0,183388 │-0,779652│0,00576393 │-0,0665045│-0,00727477 │-0,149257 │-5,60896│-10,2939│
├───────┼────┼───────────┼───────────┼───────────┼─────────┼────────────┼──────────┼────────────┼──────────┼────────┼────────┤
│27 │350 │0,0408667 │-0,0241598 │0,109206 │-0,365858│0,000547502 │-0,0346087│0,0039205 │-0,0979648│-2,87724│-3,51928│
│ ├────┼───────────┼───────────┼───────────┼─────────┼────────────┼──────────┼────────────┼──────────┼────────┼────────┤
│ │525 │0,0687373 │-0,0224814 │0,176336 │-0,725978│0,00263681 │-0,0327774│0,00208089 │-0,177356 │-4,50133│-5,27317│
│ ├────┼───────────┼───────────┼───────────┼─────────┼────────────┼──────────┼────────────┼──────────┼────────┼────────┤
│ │700 │0,0882625 │-0,0361466 │0,197087 │-0,795145│0,00536572 │-0,0672451│-0,0150091 │-0,148117 │-5,60482│-10,6453│
├───────┼────┼───────────┼───────────┼───────────┼─────────┼────────────┼──────────┼────────────┼──────────┼────────┼────────┤
│28 │350 │0,0438794 │-0,0252541 │0,117685 │-0,376886│0,000398285 │-0,0355198│0,00284269 │-0,0978829│-2,90667│-3,58995│
│ ├────┼───────────┼───────────┼───────────┼─────────┼────────────┼──────────┼────────────┼──────────┼────────┼────────┤
│ │525 │0,0723163 │-0,0238342 │0,188568 │-0,744576│0,00252427 │-0,0332086│-0,000367904│-0,17793 │-4,50882│-5,4593 │
│ ├────┼───────────┼───────────┼───────────┼─────────┼────────────┼──────────┼────────────┼──────────┼────────┼────────┤
│ │700 │0,0926365 │-0,0385419 │0,21123 │-0,814152│0,00483171 │-0,067847 │-0,020992 │-0,147661 │-5,58651│-11,0547│
├───────┼────┼───────────┼───────────┼───────────┼─────────┼────────────┼──────────┼────────────┼──────────┼────────┼────────┤
│29 │350 │0,0469684 │-0,0263952 │0,126412 │-0,388467│0,000234902 │-0,0364709│0,00164973 │-0,0976936│-2,93663│-3,66711│
│ ├────┼───────────┼───────────┼───────────┼─────────┼────────────┼──────────┼────────────┼──────────┼────────┼────────┤
│ │525 │0,0757692 │-0,0250971 │0,201262 │-0,76149 │0,00244365 │-0,0337836│-0,00269165 │-0,178623 │-4,51387│-5,60885│
│ ├────┼───────────┼───────────┼───────────┼─────────┼────────────┼──────────┼────────────┼──────────┼────────┼────────┤
│ │700 │0,0965641 │-0,0409174 │0,225812 │-0,830901│0,00426986 │-0,068558 │-0,026634 │-0,146944 │-5,57205│-11,4845│
├───────┼────┼───────────┼───────────┼───────────┼─────────┼────────────┼──────────┼────────────┼──────────┼────────┼────────┤
│30 │350 │0,0501337 │-0,0275859 │0,135394 │-0,400637│0,0000560543│-0,0374639│0,000328299 │-0,0973844│-2,9671 │-3,75132│
│ ├────┼───────────┼───────────┼───────────┼─────────┼────────────┼──────────┼────────────┼──────────┼────────┼────────┤
│ │525 │0,079454 │-0,0264334 │0,214639 │-0,784192│0,00228640 │-0,0341895│-0,00651643 │-0,178437 │-4,51518│-5,87694│
│ ├────┼───────────┼───────────┼───────────┼─────────┼────────────┼──────────┼────────────┼──────────┼────────┼────────┤
│ │700 │0,100863 │-0,0435336 │0,241387 │-0,849927│0,00362547 │-0,0690075│-0,0338472 │-0,146576 │-5,55322│-11,9525│
├───────┼────┼───────────┼───────────┼───────────┼─────────┼────────────┼──────────┼────────────┼──────────┼────────┼────────┤
│31 │350 │0,0533754 │-0,0288296 │0,144638 │-0,413438│-0,000139687│-0,0385007│-0,00113669 │-0,0969415│-2,99808│-3,84325│
│ ├────┼───────────┼───────────┼───────────┼─────────┼────────────┼──────────┼────────────┼──────────┼────────┼────────┤
│ │525 │0,0831447 │-0,0279098 │0,228143 │-0,803213│0,00213076 │-0,034765 │-0,00890042 │-0,179257 │-4,51365│-6,16716│
│ ├────┼───────────┼───────────┼───────────┼─────────┼────────────┼──────────┼────────────┼──────────┼────────┼────────┤
│ │700 │0,10509 │-0,0462639 │0,257178 │-0,872193│0,00295325 │-0,0695507│-0,0425504 │-0,146128 │-5,52131│-12,4859│
├───────┼────┼───────────┼───────────┼───────────┼─────────┼────────────┼──────────┼────────────┼──────────┼────────┼────────┤
│32 │350 │0,0566927 │-0,0301298 │0,154153 │-0,426918│-0,000353899│-0,0395834│-0,0027624 │-0,0963496│-3,02952│-3,94358│
│ ├────┼───────────┼───────────┼───────────┼─────────┼────────────┼──────────┼────────────┼──────────┼────────┼────────┤
│ │525 │0,0872777 │-0,0294686 │0,242118 │-0,825131│0,00192757 │-0,0352822│-0,0122894 │-0,178939 │-4,51089│-6,43033│
│ ├────┼───────────┼───────────┼───────────┼─────────┼────────────┼──────────┼────────────┼──────────┼────────┼────────┤
│ │700 │0,109438 │-0,0491703 │0,273494 │-0,892261│0,00215688 │-0,0698208│-0,0511862 │-0,144174 │-5,4864 │-13,0844│
├───────┼────┼───────────┼───────────┼───────────┼─────────┼────────────┼──────────┼────────────┼──────────┼────────┼────────┤
│33 │350 │0,0600847 │-0,0314905 │0,163946 │-0,441126│-0,000588322│-0,040714 │-0,00456839 │-0,0955917│-3,0614 │-4,05312│
│ ├────┼───────────┼───────────┼───────────┼─────────┼────────────┼──────────┼────────────┼──────────┼────────┼────────┤
│ │525 │0,0907826 │-0,0310411 │0,257076 │-0,847945│0,00174539 │-0,0357304│-0,0171061 │-0,179451 │-4,50329│-6,76021│
│ ├────┼───────────┼───────────┼───────────┼─────────┼────────────┼──────────┼────────────┼──────────┼────────┼────────┤
│ │700 │0,113703 │-0,0522405 │0,29021 │-0,914546│0,00132642 │-0,0701729│-0,0618159 │-0,143432 │-5,44494│-13,6543│
├───────┼────┼───────────┼───────────┼───────────┼─────────┼────────────┼──────────┼────────────┼──────────┼────────┼────────┤
│34 │350 │0,0635497 │-0,0329163 │0,174023 │-0,456119│-0,000844884│-0,0418945│-0,00657701 │-0,0946492│-3,09368│-4,1727 │
│ ├────┼───────────┼───────────┼───────────┼─────────┼────────────┼──────────┼────────────┼──────────┼────────┼────────┤
│ │525 │0,0945992 │-0,0327915 │0,271834 │-0,873389│0,00154885 │-0,0361824│-0,0218353 │-0,178442 │-4,49516│-7,11471│
│ ├────┼───────────┼───────────┼───────────┼─────────┼────────────┼──────────┼────────────┼──────────┼────────┼────────┤
│ │700 │0,118112 │-0,0555249 │0,307719 │-0,938716│0,000235671 │-0,0704522│-0,0732788 │-0,141076 │-5,3935 │-14,3757│
├───────┼────┼───────────┼───────────┼───────────┼─────────┼────────────┼──────────┼────────────┼──────────┼────────┼────────┤
│35 │350 │0,0670852 │-0,0344119 │0,184395 │-0,471961│-0,00112572 │-0,0431271│-0,0088139 │-0,0935014│-3,12632│-4,30331│
│ ├────┼───────────┼───────────┼───────────┼─────────┼────────────┼──────────┼────────────┼──────────┼────────┼────────┤
│ │525 │0,098572 │-0,034643 │0,287503 │-0,896516│0,00127477 │-0,0365942│-0,0261979 │-0,178558 │-4,47494│-7,54508│
│ ├────┼───────────┼───────────┼───────────┼─────────┼────────────┼──────────┼────────────┼──────────┼────────┼────────┤
│ │700 │0,122448 │-0,0590606 │0,325885 │0,962773 │-0,000845159│-0,0706046│-0,0851315 │-0,140274 │-5,33746│-15,1766│
├───────┼────┼───────────┼───────────┼───────────┼─────────┼────────────┼──────────┼────────────┼──────────┼────────┼────────┤
│36 │350 │0,0706879 │-0,0359828 │0,195067 │-0,488721│-0,00143321 │-0,0444138│-0,0113086 │-0,0921253│-3,15924│-4,44598│
│ ├────┼───────────┼───────────┼───────────┼─────────┼────────────┼──────────┼────────────┼──────────┼────────┼────────┤
│ │525 │0,102265 │-0,0365471 │0,303625 │-0,924567│0,000996508 │-0,0370853│-0,0323252 │-0,177944 │-4,45176│-7,95738│
│ ├────┼───────────┼───────────┼───────────┼─────────┼────────────┼──────────┼────────────┼──────────┼────────┼────────┤
│ │700 │0,126789 │-0,0627911 │0,344803 │-0,99107 │-0,00212451 │-0,0704777│-0,0998328 │-0,138387 │-5,26581│-16,0083│
├───────┼────┼───────────┼───────────┼───────────┼─────────┼────────────┼──────────┼────────────┼──────────┼────────┼────────┤
│37 │350 │0,0743535 │-0,0376353 │0,20605 │-0,506478│-0,00176999 │-0,0457565│-0,0140951 │-0,0904957│-3,1924 │-4,6019 │
│ ├────┼───────────┼───────────┼───────────┼─────────┼────────────┼──────────┼────────────┼──────────┼────────┼────────┤
│ │525 │0,106287 │-0,0386235 │0,320441 │-0,953572│0,000638565 │-0,0372487│-0,0386824 │-0,177042 │-4,42169│-8,43568│
│ ├────┼───────────┼───────────┼───────────┼─────────┼────────────┼──────────┼────────────┼──────────┼────────┼────────┤
│ │700 │0,131087 │-0,0667972 │0,364355 │-1,01983 │-0,00355395 │-0,0702245│-0,116179 │-0,136363 │-5,18389│-16,9386│
├───────┼────┼───────────┼───────────┼───────────┼─────────┼────────────┼──────────┼────────────┼──────────┼────────┼────────┤
│38 │350 │0,0780764 │-0,0393763 │0,217351 │-0,525324│-0,00213902 │-0,0471572│-0,017213 │-0,0885842│-3,2257 │-4,77239│
│ ├────┼───────────┼───────────┼───────────┼─────────┼────────────┼──────────┼────────────┼──────────┼────────┼────────┤
│ │525 │0,109795 │-0,0408709 │0,337508 │-0,984546│0,000258726 │-0,0376358│-0,0461776 │-0,175924 │-4,38625│-9,03156│
│ ├────┼───────────┼───────────┼───────────┼─────────┼────────────┼──────────┼────────────┼──────────┼────────┼────────┤
│ │700 │0,135316 │-0,0711008 │0,384686 │-1,05073 │-0,00515996 │-0,0697433│-0,134738 │-0,134133 │-5,08856│-17,9643│
├───────┼────┼───────────┼───────────┼───────────┼─────────┼────────────┼──────────┼────────────┼──────────┼────────┼────────┤
│39 │350 │0,0818997 │-0,0412342 │0,228939 │-0,544757│-0,00256165 │-0,0485821│-0,0204462 │-0,0859944│-3,25952│-4,95259│
│ ├────┼───────────┼───────────┼───────────┼─────────┼────────────┼──────────┼────────────┼──────────┼────────┼────────┤
│ │525 │0,113699 │-0,0431889 │0,355777 │-1,01828 │-0,000169508│-0,0379147│-0,0551023 │-0,175057 │-4,33835│-9,64798│
│ ├────┼───────────┼───────────┼───────────┼─────────┼────────────┼──────────┼────────────┼──────────┼────────┼────────┤
│ │700 │0,139442 │-0,0757385 │0,405859 │-1,08413 │-0,00696473 │-0,0689873│-0,155878 │-0,131698 │-4,97803│-19,0963│
├───────┼────┼───────────┼───────────┼───────────┼─────────┼────────────┼──────────┼────────────┼──────────┼────────┼────────┤
│40 │350 │0,085671 │-0,0431783 │0,24109 │-0,56732 │-0,00297666 │-0,0501276│-0,0247347 │-0,0840624│-3,29246│-5,17334│
│ ├────┼───────────┼───────────┼───────────┼─────────┼────────────┼──────────┼────────────┼──────────┼────────┼────────┤
│ │525 │0,117116 │-0,0457759 │0,374295 │-1,05342 │-0,000645437│-0,0379661│-0,0635605 │-0,173064 │-4,2875 │-10,3197│
│ ├────┼───────────┼───────────┼───────────┼─────────┼────────────┼──────────┼────────────┼──────────┼────────┼────────┤
│ │700 │0,143423 │-0,0807535 │0,427948 │-1,12044 │-0,00899395 │-0,0678998│-0,180039 │-0,129069 │-4,85024│-20,3471│
└───────┴────┴───────────┴───────────┴───────────┴─────────┴────────────┴──────────┴────────────┴──────────┴────────┴────────┘
Таблица Д.4
Регрессионные коэффициенты для определения коэффициентов
снижения касательных напряжений в слабосвязных слоях
оснований дорожных одежд капитального и облегченного
типов при статическом воздействии нагрузки

┌─────┬────┬─────────┬───────────┬───────────┬───────────┬────────┬───────┬────────────┬────────────┬────────────┬────────────┬──────────┐
│ фи, │E', │ a │ a │ a │ a │ a │ a │ a │ a │ a │ a │ a │
│град.│ R │ 0 │ 1 │ 2 │ 3 │ 4 │ 5 │ 11 │ 12 │ 13 │ 14 │ 15 │
│ │кН/м│ │ │ │ │ │ │ │ │ │ │ │
├─────┼────┼─────────┼───────────┼───────────┼───────────┼────────┼───────┼────────────┼────────────┼────────────┼────────────┼──────────┤
│ 1 │ 2 │ 3 │ 4 │ 5 │ 6 │ 7 │ 8 │ 9 │ 10 │ 11 │ 12 │ 13 │
├─────┼────┼─────────┼───────────┼───────────┼───────────┼────────┼───────┼────────────┼────────────┼────────────┼────────────┼──────────┤
│2 │350 │0,320092 │0,158986 │0,11254 │-0,00439596│0,777016│2,52413│-0,0264147 │-0,0570487 │-0,000225527│-0,0828183 │-0,0793855│
│ ├────┼─────────┼───────────┼───────────┼───────────┼────────┼───────┼────────────┼────────────┼────────────┼────────────┼──────────┤
│ │525 │0,234776 │0,209738 │0,103754 │0,00298351 │0,966567│3,64691│-0,0402673 │-0,0838959 │-0,0283306 │-0,0891273 │-0,172354 │
│ ├────┼─────────┼───────────┼───────────┼───────────┼────────┼───────┼────────────┼────────────┼────────────┼────────────┼──────────┤
│ │700 │0,199682 │0,232503 │0,113117 │0,0285113 │1,05542 │4,21581│-0,046592 │-0,096613 │-0,0462738 │-0,0945102 │-0,192481 │
├─────┼────┼─────────┼───────────┼───────────┼───────────┼────────┼───────┼────────────┼────────────┼────────────┼────────────┼──────────┤
│3 │350 │0,317659 │0,155633 │0,108846 │-0,00457327│0,779796│2,54522│-0,0258418 │-0,0560166 │-0,000107315│-0,0805849 │-0,082452 │
│ ├────┼─────────┼───────────┼───────────┼───────────┼────────┼───────┼────────────┼────────────┼────────────┼────────────┼──────────┤
│ │525 │0,234746 │0,205408 │0,0983185 │-0,00297585│0,968013│3,6749 │-0,0398621 │-0,0820512 │-0,0263728 │-0,0858288 │-0,179368 │
│ ├────┼─────────┼───────────┼───────────┼───────────┼────────┼───────┼────────────┼────────────┼────────────┼────────────┼──────────┤
│ │700 │0,199731 │0,22778 │0,106782 │0,02659670 │1,0563 │4,24513│-0,0457111 │-0,0949901 │-0,0455004 │-0,090393 │-0,200156 │
├─────┼────┼─────────┼───────────┼───────────┼───────────┼────────┼───────┼────────────┼────────────┼────────────┼────────────┼──────────┤
│4 │350 │0,315165 │0,152183 │0,105057 │-0,00475174│0,782642│2,56711│-0,0252522 │-0,054953 │0,0000177598│-0,0782934 │-0,0856443│
│ ├────┼─────────┼───────────┼───────────┼───────────┼────────┼───────┼────────────┼────────────┼────────────┼────────────┼──────────┤
│ │525 │0,234041 │0,201073 │0,0927203 │-0,00375279│0,969842│3,70516│-0,0392793 │-0,080332 │-0,0259351 │-0,082421 │-0,18603 │
│ ├────┼─────────┼───────────┼───────────┼───────────┼────────┼───────┼────────────┼────────────┼────────────┼────────────┼──────────┤
│ │700 │0,199623 │0,223142 │0,100947 │0,0211257 │1,05683 │4,28026│-0,0448153 │-0,0932842 │-0,0441627 │-0,0865705 │-0,211396 │
├─────┼────┼─────────┼───────────┼───────────┼───────────┼────────┼───────┼────────────┼────────────┼────────────┼────────────┼──────────┤
│5 │350 │0,313106 │0,148633 │0,101170 │-0,00493112│0,785552│2,58982│-0,0246454 │-0,0538568 │0,000150146 │-0,0759424 │-0,088969 │
│ ├────┼─────────┼───────────┼───────────┼───────────┼────────┼───────┼────────────┼────────────┼────────────┼────────────┼──────────┤
│ │525 │0,233846 │0,195918 │0,0871731 │-0,00707156│0,970417│3,73585│-0,0382121 │-0,0785678 │-0,0241163 │-0,0789122 │-0,191294 │
│ ├────┼─────────┼───────────┼───────────┼───────────┼────────┼───────┼────────────┼────────────┼────────────┼────────────┼──────────┤
│ │700 │0,199338 │0,21831 │0,0952117 │0,017177 │1,0583 │4,31408│-0,0440513 │-0,091142 │-0,0431415 │-0,0828554 │-0,221438 │
├─────┼────┼─────────┼───────────┼───────────┼───────────┼────────┼───────┼────────────┼────────────┼────────────┼────────────┼──────────┤
│6 │350 │0,310979 │0,144981 │0,0971824 │-0,00511115│0,788529│2,61339│-0,0240209 │-0,0527269 │0,000290324 │-0,0735303 │-0,0924329│
│ ├────┼─────────┼───────────┼───────────┼───────────┼────────┼───────┼────────────┼────────────┼────────────┼────────────┼──────────┤
│ │525 │0,233138 │0,191482 │0,0817568 │-0,0128801 │0,972787│3,77214│-0,0371455 │-0,0770238 │-0,0239005 │-0,0752636 │-0,201984 │
│ ├────┼─────────┼───────────┼───────────┼───────────┼────────┼───────┼────────────┼────────────┼────────────┼────────────┼──────────┤
│ │700 │0,199523 │0,212762 │0,088909 │0,0123327 │1,05829 │4,34679│-0,0430316 │-0,0890626 │-0,0427932 │-0,0780202 │-0,22601 │
├─────┼────┼─────────┼───────────┼───────────┼───────────┼────────┼───────┼────────────┼────────────┼────────────┼────────────┼──────────┤
│7 │350 │0,30868 │0,141223 │0,0930932 │-0,0052915 │0,791572│2,63786│-0,0233782 │-0,051562 │0,000438812 │-0,0710556 │-0,0960431│
│ ├────┼─────────┼───────────┼───────────┼───────────┼────────┼───────┼────────────┼────────────┼────────────┼────────────┼──────────┤
│ │525 │0,232789 │0,186131 │0,0753766 │-0,0145597 │0,974326│3,80166│-0,0364468 │-0,0748601 │-0,0219912 │-0,0719522 │-0,204445 │
│ ├────┼─────────┼───────────┼───────────┼───────────┼────────┼───────┼────────────┼────────────┼────────────┼────────────┼──────────┤
│ │700 │0,199198 │0,207899 │0,0822373 │0,00816643 │1,06054 │4,3845 │-0,0425694 │-0,0870296 │-0,0405791 │-0,0750554 │-0,231484 │
├─────┼────┼─────────┼───────────┼───────────┼───────────┼────────┼───────┼────────────┼────────────┼────────────┼────────────┼──────────┤
│8 │350 │0,306504 │0,137355 │0,088900 │-0,00547183│0,794683│2,66329│-0,0227167 │-0,0503611 │0,000596166 │-0,0685168 │-0,0998075│
│ ├────┼─────────┼───────────┼───────────┼───────────┼────────┼───────┼────────────┼────────────┼────────────┼────────────┼──────────┤
│ │525 │0,232667 │0,180349 │0,068916 │-0,0192444 │0,975575│3,83976│-0,0354516 │-0,07261 │-0,0194302 │-0,0680222 │-0,213922 │
│ ├────┼─────────┼───────────┼───────────┼───────────┼────────┼───────┼────────────┼────────────┼────────────┼────────────┼──────────┤
│ │700 │0,19959 │0,201638 │0,0753569 │0,0030636 │1,06001 │4,42204│-0,0411037 │-0,0848437 │-0,0383297 │-0,070188 │-0,243105 │
├─────┼────┼─────────┼───────────┼───────────┼───────────┼────────┼───────┼────────────┼────────────┼────────────┼────────────┼──────────┤
│9 │350 │0,304148 │0,133375 │0,0846008 │-0,00565172│0,797861│2,68972│-0,0220359 │-0,0491227 │0,000762984 │-0,0659124 │-0,103734 │
│ ├────┼─────────┼───────────┼───────────┼───────────┼────────┼───────┼────────────┼────────────┼────────────┼────────────┼──────────┤
│ │525 │0,231427 │0,175797 │0,0635444 │-0,0216593 │0,977581│3,87435│-0,0348547 │-0,071036 │-0,0177745 │-0,0643086 │-0,223288 │
│ ├────┼─────────┼───────────┼───────────┼───────────┼────────┼───────┼────────────┼────────────┼────────────┼────────────┼──────────┤
│ │700 │0,199455 │0,195986 │0,0686431 │-0,00250205│1,06039 │4,46277│-0,0401588 │-0,082447 │-0,0373089 │-0,0659046 │-0,251927 │
├─────┼────┼─────────┼───────────┼───────────┼───────────┼────────┼───────┼────────────┼────────────┼────────────┼────────────┼──────────┤
│10 │350 │0,301706 │0,129279 │0,0801936 │-0,00583074│0,801108│2,7172 │-0,0213351 │-0,0478457 │0,000939911 │-0,0632408 │-0,107832 │
│ ├────┼─────────┼───────────┼───────────┼───────────┼────────┼───────┼────────────┼────────────┼────────────┼────────────┼──────────┤
│ │525 │0,231294 │0,169895 │0,0567768 │-0,0268563 │0,978326│3,91361│-0,0337809 │-0,068753 │-0,0167657 │-0,060066 │-0,229574 │
│ ├────┼─────────┼───────────┼───────────┼───────────┼────────┼───────┼────────────┼────────────┼────────────┼────────────┼──────────┤
│ │700 │0,199441 │0,189808 │0,0618823 │-0,0100284 │1,06078 │4,50846│-0,0390497 │-0,0803058 │-0,0337739 │-0,0612295 │-0,262987 │
├─────┼────┼─────────┼───────────┼───────────┼───────────┼────────┼───────┼────────────┼────────────┼────────────┼────────────┼──────────┤
│11 │350 │0,299173 │0,125063 │0,0756765 │-0,00600837│0,804423│2,74579│-0,0206138 │-0,0465286 │0,00112764 │-0,0605005 │-0,112111 │
│ ├────┼─────────┼───────────┼───────────┼───────────┼────────┼───────┼────────────┼────────────┼────────────┼────────────┼──────────┤
│ │525 │0,230291 │0,164596 │0,0504658 │-0,0285092 │0,979844│3,94972│-0,0330125 │-0,0665769 │-0,0161023 │-0,0560162 │-0,237653 │
│ ├────┼─────────┼───────────┼───────────┼───────────┼────────┼───────┼────────────┼────────────┼────────────┼────────────┼──────────┤
│ │700 │0,199171 │0,183444 │0,0546539 │-0,0131802 │1,06147 │4,55008│-0,0378741 │-0,0777642 │-0,0324959 │-0,0565052 │-0,270252 │
├─────┼────┼─────────┼───────────┼───────────┼───────────┼────────┼───────┼────────────┼────────────┼────────────┼────────────┼──────────┤
│12 │350 │0,296544 │0,120723 │0,0710478 │-0,00618406│0,807807│2,77555│-0,0198713 │-0,0451702 │0,00132692 │-0,0576899 │-0,11658 │
│ ├────┼─────────┼───────────┼───────────┼───────────┼────────┼───────┼────────────┼────────────┼────────────┼────────────┼──────────┤
│ │525 │0,229689 │0,158772 │0,0436796 │-0,03442 │0,981232│3,99293│-0,0318641 │-0,0647456 │-0,0128403 │-0,0523622 │-0,247713 │
│ ├────┼─────────┼───────────┼───────────┼───────────┼────────┼───────┼────────────┼────────────┼────────────┼────────────┼──────────┤
│ │700 │0,199061 │0,177618 │0,0466867 │-0,0177064 │1,0613 │4,59961│-0,0372975 │-0,0751948 │-0,0306143 │-0,0518929 │-0,28038 │
├─────┼────┼─────────┼───────────┼───────────┼───────────┼────────┼───────┼────────────┼────────────┼────────────┼────────────┼──────────┤
│13 │350 │0,293512 │0,116256 │0,066306 │-0,00635716│0,811258│2,80653│-0,0191072 │-0,0437689 │0,00153856 │-0,0548075 │-0,12125 │
│ ├────┼─────────┼───────────┼───────────┼───────────┼────────┼───────┼────────────┼────────────┼────────────┼────────────┼──────────┤
│ │525 │0,228917 │0,152349 │0,0372176 │-0,0394708 │0,982515│4,03517│-0,0305818 │-0,0623147 │-0,00986034 │-0,0482399 │-0,258431 │
│ ├────┼─────────┼───────────┼───────────┼───────────┼────────┼───────┼────────────┼────────────┼────────────┼────────────┼──────────┤
│ │700 │0,198687 │0,171316 │0,0395538 │-0,0225747 │1,06084 │4,64205│-0,0360265 │-0,0728302 │-0,0284503 │-0,0473304 │-0,296043 │
├─────┼────┼─────────┼───────────┼───────────┼───────────┼────────┼───────┼────────────┼────────────┼────────────┼────────────┼──────────┤
│14 │350 │0,290672 │0,111657 │0,0614496 │-0,00652696│0,814777│2,83882│-0,0183208 │-0,0423233 │0,00176343 │-0,0518517 │-0,126132 │
│ ├────┼─────────┼───────────┼───────────┼───────────┼────────┼───────┼────────────┼────────────┼────────────┼────────────┼──────────┤
│ │525 │0,2281 │0,146132 │0,0300534 │-0,0434284 │0,98408 │4,07893│-0,0297681 │-0,0599669 │-0,00748895 │-0,0434542 │-0,266779 │
│ ├────┼─────────┼───────────┼───────────┼───────────┼────────┼───────┼────────────┼────────────┼────────────┼────────────┼──────────┤
│ │700 │0,198222 │0,164481 │0,0319086 │-0,0274196 │1,06128 │4,69246│-0,0347993 │-0,0702191 │-0,0252749 │-0,0421308 │-0,308733 │
├─────┼────┼─────────┼───────────┼───────────┼───────────┼────────┼───────┼────────────┼────────────┼────────────┼────────────┼──────────┤
│15 │350 │0,286916 │0,106923 │0,0564776 │-0,00669266│0,818363│2,87247│-0,0175114 │-0,0408318 │0,00200248 │-0,048821 │-0,131239 │
│ ├────┼─────────┼───────────┼───────────┼───────────┼────────┼───────┼────────────┼────────────┼────────────┼────────────┼──────────┤
│ │525 │0,227047 │0,140128 │0,0226477 │-0,0461684 │0,985538│4,12409│-0,0287891 │-0,0577252 │-0,00590587 │-0,0395569 │-0,273633 │
│ ├────┼─────────┼───────────┼───────────┼───────────┼────────┼───────┼────────────┼────────────┼────────────┼────────────┼──────────┤
│ │700 │0,197813 │0,157518 │0,0240719 │-0,0337555 │1,06167 │4,74656│-0,0333422 │-0,0676383 │-0,0227793 │-0,037416 │-0,320261 │
├─────┼────┼─────────┼───────────┼───────────┼───────────┼────────┼───────┼────────────┼────────────┼────────────┼────────────┼──────────┤
│16 │350 │0,284236 │0,10205 │0,0513889 │-0,00685336│0,822014│2,90758│-0,0166785 │-0,039293 │0,00225672 │-0,0457139 │-0,136584 │
│ ├────┼─────────┼───────────┼───────────┼───────────┼────────┼───────┼────────────┼────────────┼────────────┼────────────┼──────────┤
│ │525 │0,225821 │0,13288 │0,0160759 │-0,0497503 │0,986372│4,1742 │-0,0273573 │-0,0551215 │-0,00221067 │-0,0348788 │-0,285038 │
│ ├────┼─────────┼───────────┼───────────┼───────────┼────────┼───────┼────────────┼────────────┼────────────┼────────────┼──────────┤
│ │700 │0,197193 │0,150783 │0,0161147 │-0,0374818 │1,06085 │4,80151│-0,032645 │-0,0649525 │-0,019571 │-0,0324778 │-0,32878 │
├─────┼────┼─────────┼───────────┼───────────┼───────────┼────────┼───────┼────────────┼────────────┼────────────┼────────────┼──────────┤
│17 │350 │0,280824 │0,0970329 │0,0461831 │-0,00700805│0,825728│2,94422│-0,0158214 │-0,0377051 │0,00252725 │-0,0425291 │-0,14218 │
│ ├────┼─────────┼───────────┼───────────┼───────────┼────────┼───────┼────────────┼────────────┼────────────┼────────────┼──────────┤
│ │525 │0,224564 │0,126267 │0,00841888 │-0,0532601 │0,987324│4,22787│-0,0262132 │-0,0527064 │0,00101848 │-0,0305958 │-0,296964 │
│ ├────┼─────────┼───────────┼───────────┼───────────┼────────┼───────┼────────────┼────────────┼────────────┼────────────┼──────────┤
│ │700 │0,196987 │0,142767 │0,00777758 │-0,0447771 │1,06004 │4,85989│-0,030984 │-0,0617987 │-0,0155929 │-0,0271218 │-0,344984 │
├─────┼────┼─────────┼───────────┼───────────┼───────────┼────────┼───────┼────────────┼────────────┼────────────┼────────────┼──────────┤
│18 │350 │0,277272 │0,091868 │0,0408599 │-0,00715561│0,829504│2,98249│-0,0149397 │-0,0360666 │0,00281527 │-0,0392651 │-0,148042 │
│ ├────┼─────────┼───────────┼───────────┼───────────┼────────┼───────┼────────────┼────────────┼────────────┼────────────┼──────────┤
│ │525 │0,223423 │0,119246 │0,00047191 │-0,0578992 │0,988193│4,28497│-0,0253277 │-0,0498933 │0,00462665 │-0,0256199 │-0,307203 │
│ ├────┼─────────┼───────────┼───────────┼───────────┼────────┼───────┼────────────┼────────────┼────────────┼────────────┼──────────┤
│ │700 │0,196123 │0,135514 │-0,00066737│-0,0483853 │1,05955 │4,91925│-0,0297907 │-0,0589199 │-0,0130949 │-0,0217257 │-0,35788 │
├─────┼────┼─────────┼───────────┼───────────┼───────────┼────────┼───────┼────────────┼────────────┼────────────┼────────────┼──────────┤
│19 │350 │0,273537 │0,086551 │0,0354197 │-0,00729475│0,833339│3,02247│-0,0140327 │-0,0343758 │0,00312208 │-0,0359206 │-0,154187 │
│ ├────┼─────────┼───────────┼───────────┼───────────┼────────┼───────┼────────────┼────────────┼────────────┼────────────┼──────────┤
│ │525 │0,221692 │0,112103 │-0,00699105│-0,0599051 │0,98943 │4,33939│-0,0238688 │-0,0472254 │0,00750765 │-0,0212879 │-0,322433 │
│ ├────┼─────────┼───────────┼───────────┼───────────┼────────┼───────┼────────────┼────────────┼────────────┼────────────┼──────────┤
│ │700 │0,195596 │0,127042 │-0,00941483│-0,0538162 │1,05868 │4,98436│-0,0282711 │-0,0558381 │-0,00612233 │-0,0167885 │-0,370164 │
├─────┼────┼─────────┼───────────┼───────────┼───────────┼────────┼───────┼────────────┼────────────┼────────────┼────────────┼──────────┤
│20 │350 │0,269707 │0,0810776 │0,0298632 │-0,00742407│0,837229│3,06429│-0,0130999 │-0,032631 │0,00344908 │-0,0324944 │-0,160632 │
│ ├────┼─────────┼───────────┼───────────┼───────────┼────────┼───────┼────────────┼────────────┼────────────┼────────────┼──────────┤
│ │525 │0,220649 │0,104389 │-0,0151215 │-0,0657877 │0,989774│4,39125│-0,0227164 │-0,0442473 │0,0119428 │-0,0166176 │-0,330794 │
│ ├────┼─────────┼───────────┼───────────┼───────────┼────────┼───────┼────────────┼────────────┼────────────┼────────────┼──────────┤
│ │700 │0,1946 │0,119793 │-0,0180744 │-0,0596908 │1,05732 │5,0492 │-0,0273746 │-0,0527722 │-0,0035015 │-0,0112308 │-0,386129 │
├─────┼────┼─────────┼───────────┼───────────┼───────────┼────────┼───────┼────────────┼────────────┼────────────┼────────────┼──────────┤
│21 │350 │0,265572 │0,0754434 │0,0241919 │-0,00754196│0,841171│3,10806│-0,0121408 │-0,0308305 │0,0037978 │-0,0289854 │-0,167394 │
│ ├────┼─────────┼───────────┼───────────┼───────────┼────────┼───────┼────────────┼────────────┼────────────┼────────────┼──────────┤
│ │525 │0,218695 │0,0966267 │-0,0233258 │-0,0678752 │0,990145│4,46127│-0,0214499 │-0,0413926 │0,0161715 │-0,0114234 │-0,344334 │
│ ├────┼─────────┼───────────┼───────────┼───────────┼────────┼───────┼────────────┼────────────┼────────────┼────────────┼──────────┤
│ │700 │0,193475 │0,111603 │-0,0269269 │-0,065271 │1,05572 │5,12304│-0,0260536 │-0,0494523 │0,00051294 │-0,00558261 │-0,401714 │
├─────┼────┼─────────┼───────────┼───────────┼───────────┼────────┼───────┼────────────┼────────────┼────────────┼────────────┼──────────┤
│22 │350 │0,261352 │0,069644 │0,018408 │-0,00764662│0,845159│3,15389│-0,011155 │-0,0289726 │0,00416989 │-0,0253926 │-0,174494 │
│ ├────┼─────────┼───────────┼───────────┼───────────┼────────┼───────┼────────────┼────────────┼────────────┼────────────┼──────────┤
│ │525 │0,216469 │0,0892346 │-0,0311541 │-0,0704305 │0,990575│4,52727│-0,0206407 │-0,0383649 │0,0202374 │-0,00663237 │-0,357971 │
│ ├────┼─────────┼───────────┼───────────┼───────────┼────────┼───────┼────────────┼────────────┼────────────┼────────────┼──────────┤
│ │700 │0,192281 │0,102958 │-0,0359858 │-0,0697262 │1,05408 │5,19835│-0,0247298 │-0,046038 │0,0065499 │-0,000318449│-0,416421 │
├─────┼────┼─────────┼───────────┼───────────┼───────────┼────────┼───────┼────────────┼────────────┼────────────┼────────────┼──────────┤
│23 │350 │0,256734 │0,0636753 │0,0125147 │-0,00773603│0,849188│3,20192│-0,010142 │-0,0270554 │0,00456716 │-0,0217152 │-0,181953 │
│ ├────┼─────────┼───────────┼───────────┼───────────┼────────┼───────┼────────────┼────────────┼────────────┼────────────┼──────────┤
│ │525 │0,214662 │0,0807394 │-0,0398768 │-0,0752219 │0,990579│4,59926│-0,0188837 │-0,0351149 │0,0249615 │-0,00173242 │-0,376679 │
│ ├────┼─────────┼───────────┼───────────┼───────────┼────────┼───────┼────────────┼────────────┼────────────┼────────────┼──────────┤
│ │700 │0,191174 │0,0936688 │-0,0452253 │-0,074186 │1,05119 │5,27263│-0,0229723 │-0,0425376 │0,0122817 │0,00566704 │-0,43344 │
├─────┼────┼─────────┼───────────┼───────────┼───────────┼────────┼───────┼────────────┼────────────┼────────────┼────────────┼──────────┤
│24 │350 │0,252202 │0,057533 │0,00651594 │-0,00780791│0,853251│3,25231│-0,00910156 │-0,0250773 │0,00499158 │-0,0179525 │-0,189793 │
│ ├────┼─────────┼───────────┼───────────┼───────────┼────────┼───────┼────────────┼────────────┼────────────┼────────────┼──────────┤
│ │525 │0,212569 │0,0715458 │-0,0485435 │-0,0776249 │0,990716│4,66982│-0,0170484 │-0,0318105 │0,0310603 │0,00311307 │-0,388303 │
│ ├────┼─────────┼───────────┼───────────┼───────────┼────────┼───────┼────────────┼────────────┼────────────┼────────────┼──────────┤
│ │700 │0,189782 │0,0842248 │-0,0547694 │-0,0786467 │1,04841 │5,35828│-0,0214526 │-0,0389092 │0,0190727 │0,011673 │-0,449201 │
├─────┼────┼─────────┼───────────┼───────────┼───────────┼────────┼───────┼────────────┼────────────┼────────────┼────────────┼──────────┤
│25 │350 │0,24694 │0,051213 │0,000417225│-0,00785969│0,857338│3,3052 │-0,00803343 │-0,0230366 │0,00544531 │-0,0141041 │-0,198041 │
│ ├────┼─────────┼───────────┼───────────┼───────────┼────────┼───────┼────────────┼────────────┼────────────┼────────────┼──────────┤
│ │525 │0,210097 │0,0628308 │-0,0567436 │-0,0829625 │0,990382│4,7493 │-0,0159647 │-0,0286923 │0,0380194 │0,00862302 │-0,403171 │
│ ├────┼─────────┼───────────┼───────────┼───────────┼────────┼───────┼────────────┼────────────┼────────────┼────────────┼──────────┤
│ │700 │0,188093 │0,0750935 │-0,0644016 │-0,0830131 │1,04535 │5,44654│-0,0202155 │-0,0351266 │0,0263773 │0,017174 │-0,470965 │
├─────┼────┼─────────┼───────────┼───────────┼───────────┼────────┼───────┼────────────┼────────────┼────────────┼────────────┼──────────┤
│26 │350 │0,24113 │0,0447115 │-0,00577471│-0,00788849│0,861441│3,36079│-0,00693751 │-0,0209317 │0,00593067 │-0,0101699 │-0,206722 │
│ ├────┼─────────┼───────────┼───────────┼───────────┼────────┼───────┼────────────┼────────────┼────────────┼────────────┼──────────┤
│ │525 │0,207063 │0,0541269 │-0,0655127 │-0,0832489 │0,989297│4,83623│-0,014633 │-0,0250847 │0,0426441 │0,0138373 │-0,420027 │
│ ├────┼─────────┼───────────┼───────────┼───────────┼────────┼───────┼────────────┼────────────┼────────────┼────────────┼──────────┤
│ │700 │0,18613 │0,0652165 │-0,0738546 │-0,0873222 │1,04156 │5,53995│-0,0185885 │-0,0312748 │0,0343303 │0,0226904 │-0,490206 │
├─────┼────┼─────────┼───────────┼───────────┼───────────┼────────┼───────┼────────────┼────────────┼────────────┼────────────┼──────────┤
│27 │350 │0,2350553│0,0380246 │-0,0120514 │-0,00789102│0,865547│3,41925│-0,00581385 │-0,0187609 │0,00645023 │-0,00614998 │-0,215865 │
│ ├────┼─────────┼───────────┼───────────┼───────────┼────────┼───────┼────────────┼────────────┼────────────┼────────────┼──────────┤
│ │525 │0,204011 │0,0453115 │-0,0740057 │-0,0871386 │0,988327│4,92091│-0,013406 │-0,0219873 │0,0500143 │0,0190333 │-0,435808 │
│ ├────┼─────────┼───────────┼───────────┼───────────┼────────┼───────┼────────────┼────────────┼────────────┼────────────┼──────────┤
│ │700 │0,183714 │0,0558002 │-0,0835473 │-0,0917029 │1,03803 │5,64281│-0,0172941 │-0,0273622 │0,0408789 │0,0282651 │-0,508275 │
├─────┼────┼─────────┼───────────┼───────────┼───────────┼────────┼───────┼────────────┼────────────┼────────────┼────────────┼──────────┤
│28 │350 │0,229086 │0,0311491 │-0,0184024 │-0,00786359│0,869644│3,4808 │-0,00466265 │-0,0165227 │0,00700681 │-0,00204479 │-0,225502 │
│ ├────┼─────────┼───────────┼───────────┼───────────┼────────┼───────┼────────────┼────────────┼────────────┼────────────┼──────────┤
│ │525 │0,200777 │0,0350841 │-0,0828865 │-0,0885291 │0,986572│5,01406│-0,011395 │-0,0180271 │0,0568488 │0,0242915 │-0,45471 │
│ ├────┼─────────┼───────────┼───────────┼───────────┼────────┼───────┼────────────┼────────────┼────────────┼────────────┼──────────┤
│ │700 │0,181554 │0,0449039 │-0,0932312 │-0,0957299 │1,03225 │5,74675│-0,015479 │-0,0232284 │0,0508071 │0,0340381 │-0,527535 │
├─────┼────┼─────────┼───────────┼───────────┼───────────┼────────┼───────┼────────────┼────────────┼────────────┼────────────┼──────────┤
│29 │350 │0,222204 │0,0240818 │-0,0248149 │-0,00780198│0,873714│3,54567│-0,00348435 │-0,0142157 │0,00760347 │0,00214478 │-0,235666 │
│ ├────┼─────────┼───────────┼───────────┼───────────┼────────┼───────┼────────────┼────────────┼────────────┼────────────┼──────────┤
│ │525 │0,196915 │0,0258839 │-0,091708 │-0,0891361 │0,984254│5,11302│-0,0103496 │-0,0145466 │0,064649 │0,0298171 │-0,473999 │
│ ├────┼─────────┼───────────┼───────────┼───────────┼────────┼───────┼────────────┼────────────┼────────────┼────────────┼──────────┤
│ │700 │0,178568 │0,0345757 │-0,103079 │-0,0970877 │1,02726 │5,85917│-0,0141428 │-0,0190067 │0,0597346 │0,039979 │-0,548531 │
├─────┼────┼─────────┼───────────┼───────────┼───────────┼────────┼───────┼────────────┼────────────┼────────────┼────────────┼──────────┤
│30 │350 │0,216182 │0,0168204 │-0,0312735 │-0,00770144│0,87774 │3,61412│-0,00227965 │-0,0118388 │0,00824361 │0,00641737 │-0,246395 │
│ ├────┼─────────┼───────────┼───────────┼───────────┼────────┼───────┼────────────┼────────────┼────────────┼────────────┼──────────┤
│ │525 │0,192841 │0,015349 │-0,100598 │-0,0894304 │0,981949│5,21865│-0,00885522 │-0,0102174 │0,0737607 │0,0350012 │-0,492997 │
│ ├────┼─────────┼───────────┼───────────┼───────────┼────────┼───────┼────────────┼────────────┼────────────┼────────────┼──────────┤
│ │700 │0,175459 │0,0233214 │-0,112871 │-0,100118 │1,02047 │5,98223│-0,0120828 │-0,014805 │0,0703244 │0,0459826 │-0,574744 │
├─────┼────┼─────────┼───────────┼───────────┼───────────┼────────┼───────┼────────────┼────────────┼────────────┼────────────┼──────────┤
│31 │350 │0,209588 │0,00936286 │-0,0377595 │-0,00755653│0,8817 │3,68644│-0,00104955 │-0,00939098 │0,00893093 │0,0107711 │-0,25773 │
│ ├────┼─────────┼───────────┼───────────┼───────────┼────────┼───────┼────────────┼────────────┼────────────┼────────────┼──────────┤
│ │525 │0,188258 │0,00457075 │-0,108728 │-0,0903137 │0,978643│5,33052│-0,00721581 │-0,00624119 │0,0833733 │0,0406327 │-0,512363 │
│ ├────┼─────────┼───────────┼───────────┼───────────┼────────┼───────┼────────────┼────────────┼────────────┼────────────┼──────────┤
│ │700 │0,172027 │0,0122714 │-0,122695 │-0,102453 │1,01269 │6,11243│-0,0108528 │-0,0101081 │0,0814776 │0,0516658 │-0,597917 │
├─────┼────┼─────────┼───────────┼───────────┼───────────┼────────┼───────┼────────────┼────────────┼────────────┼────────────┼──────────┤
│32 │350 │0,20199 │0,00170811 │-0,0442502 │-0,00736104│0,885568│3,76293│0,000204521 │-0,00687144 │0,00966953 │0,0152035 │-0,269713 │
│ ├────┼─────────┼───────────┼───────────┼───────────┼────────┼───────┼────────────┼────────────┼────────────┼────────────┼──────────┤
│ │525 │0,183433 │-0,00616453│-0,11799 │-0,0900345 │0,974622│5,45381│-0,00557891 │-0,00215476 │0,0935564 │0,0458374 │-0,535193 │
│ ├────┼─────────┼───────────┼───────────┼───────────┼────────┼───────┼────────────┼────────────┼────────────┼────────────┼──────────┤
│ │700 │0,167943 │0,000349717│-0,132104 │-0,102228 │1,00387 │6,25078│-0,00909827 │-0,00544162 │0,0947866 │0,0574929 │-0,623725 │
├─────┼────┼─────────┼───────────┼───────────┼───────────┼────────┼───────┼────────────┼────────────┼────────────┼────────────┼──────────┤
│33 │350 │0,19415 │-0,00614403│-0,0507187 │-0,00710788│0,889314│3,84395│0,0014807 │-0,00427984 │0,0104639 │0,0197113 │-0,282393 │
│ ├────┼─────────┼───────────┼───────────┼───────────┼────────┼───────┼────────────┼────────────┼────────────┼────────────┼──────────┤
│ │525 │0,177893 │-0,017055 │-0,126136 │-0,0898246 │0,969602│5,58161│-0,00445879 │0,00207862 │0,105326 │0,0513927 │-0,558392 │
│ ├────┼─────────┼───────────┼───────────┼───────────┼────────┼───────┼────────────┼────────────┼────────────┼────────────┼──────────┤
│ │700 │0,16335 │-0,011676 │-0,141386 │-0,102278 │0,994132│6,39934│-0,00764926 │-0,000693044│0,109356 │0,0631828 │-0,649042 │
├─────┼────┼─────────┼───────────┼───────────┼───────────┼────────┼───────┼────────────┼────────────┼────────────┼────────────┼──────────┤
│34 │350 │0,18615 │-0,0141925 │-0,0571326 │-0,00678889│0,892904│3,9299 │0,0027765 │-0,00161623 │0,0113192 │0,0242904 │-0,295823 │
│ ├────┼─────────┼───────────┼───────────┼───────────┼────────┼───────┼────────────┼────────────┼────────────┼────────────┼──────────┤
│ │525 │0,171714 │-0,0288116 │-0,134397 │-0,0858667 │0,963354│5,71926│-0,00232718 │0,0062944 │0,117118 │0,056803 │-0,5834 │
│ ├────┼─────────┼───────────┼───────────┼───────────┼────────┼───────┼────────────┼────────────┼────────────┼────────────┼──────────┤
│ │700 │0,158088 │-0,0238235 │-0,150639 │-0,0991611 │0,982658│6,56147│-0,0061637 │0,00414244 │0,123843 │0,0690486 │-0,676457 │
├─────┼────┼─────────┼───────────┼───────────┼───────────┼────────┼───────┼────────────┼────────────┼────────────┼────────────┼──────────┤
│35 │350 │0,177350 │-0,0224349 │-0,0634531 │-0,00639469│0,896296│4,02122│0,00408877 │0,00111877 │0,0122408 │0,0289359 │-0,310061 │
│ ├────┼─────────┼───────────┼───────────┼───────────┼────────┼───────┼────────────┼────────────┼────────────┼────────────┼──────────┤
│ │525 │0,165142 │-0,0404041 │-0,142455 │-0,0850301 │0,956438│5,86869│-0,0011387 │0,0108789 │0,13089 │0,0621936 │-0,608674 │
│ ├────┼─────────┼───────────┼───────────┼───────────┼────────┼───────┼────────────┼────────────┼────────────┼────────────┼──────────┤
│ │700 │0,15213 │-0,036528 │-0,159312 │-0,096683 │0,970281│6,73576│-0,00448877 │0,00924187 │0,140195 │0,0740947 │-0,705935 │
├─────┼────┼─────────┼───────────┼───────────┼───────────┼────────┼───────┼────────────┼────────────┼────────────┼────────────┼──────────┤
│36 │350 │0,167594 │-0,0308584 │-0,0696744 │-0,00569987│0,899388│4,11931│0,00528061 │0,00400595 │0,0131505 │0,0337823 │-0,32356 │
│ ├────┼─────────┼───────────┼───────────┼───────────┼────────┼───────┼────────────┼────────────┼────────────┼────────────┼──────────┤
│ │525 │0,157484 │-0,0528488 │-0,14996 │-0,0789981 │0,948528│6,02826│0,000786659 │0,0155364 │0,145565 │0,0671516 │-0,637011 │
│ ├────┼─────────┼───────────┼───────────┼───────────┼────────┼───────┼────────────┼────────────┼────────────┼────────────┼──────────┤
│ │700 │0,145524 │-0,0497863 │-0,167448 │-0,0926105 │0,955292│6,9271 │-0,0028526 │0,0144592 │0,159068 │0,0794345 │-0,738464 │
├─────┼────┼─────────┼───────────┼───────────┼───────────┼────────┼───────┼────────────┼────────────┼────────────┼────────────┼──────────┤
│37 │350 │0,157708 │-0,0390518 │-0,0757596 │-0,00537781│0,902018│4,22132│0,00640673 │0,00680944 │0,0142309 │0,0386318 │-0,342759 │
│ ├────┼─────────┼───────────┼───────────┼───────────┼────────┼───────┼────────────┼────────────┼────────────┼────────────┼──────────┤
│ │525 │0,148451 │-0,0646749 │-0,155957 │-0,072221 │0,938878│6,20505│0,00186303 │0,0199596 │0,161728 │0,07248 │-0,66505 │
│ ├────┼─────────┼───────────┼───────────┼───────────┼────────┼───────┼────────────┼────────────┼────────────┼────────────┼──────────┤
│ │700 │0,137914 │-0,063234 │-0,174929 │-0,0859752 │0,938371│7,13365│-0,00137407 │0,0197942 │0,179279 │0,084498 │-0,77102 │
├─────┼────┼─────────┼───────────┼───────────┼───────────┼────────┼───────┼────────────┼────────────┼────────────┼────────────┼──────────┤
│38 │350 │0,146819 │-0,048262 │-0,0815461 │-0,00459344│0,904987│4,33258│0,00805434 │0,00982692 │0,0154029 │0,0433005 │-0,358419 │
│ ├────┼─────────┼───────────┼───────────┼───────────┼────────┼───────┼────────────┼────────────┼────────────┼────────────┼──────────┤
│ │525 │0,138976 │-0,077467 │-0,162028 │-0,0646172 │0,92705 │6,39729│0,00313808 │0,0248734 │0,180013 │0,0776874 │-0,696114 │
│ ├────┼─────────┼───────────┼───────────┼───────────┼────────┼───────┼────────────┼────────────┼────────────┼────────────┼──────────┤
│ │700 │0,129225 │-0,0770173 │-0,181528 │-0,0769231 │0,918974│7,35949│0,0000189737│0,0252535 │0,201574 │0,0893021 │-0,80539 │
├─────┼────┼─────────┼───────────┼───────────┼───────────┼────────┼───────┼────────────┼────────────┼────────────┼────────────┼──────────┤
│39 │350 │0,135331 │-0,0572216 │-0,0867211 │-0,00381978│0,906793│4,45138│0,0094038 │0,0127334 │0,016726 │0,0480389 │-0,376487 │
│ ├────┼─────────┼───────────┼───────────┼───────────┼────────┼───────┼────────────┼────────────┼────────────┼────────────┼──────────┤
│ │525 │0,128094 │-0,0907004 │-0,166964 │-0,0531575 │0,91391 │6,60195│0,00473086 │0,0298618 │0,199141 │0,0819786 │-0,726018 │
│ ├────┼─────────┼───────────┼───────────┼───────────┼────────┼───────┼────────────┼────────────┼────────────┼────────────┼──────────┤
│ │700 │0,119275 │-0,0911181 │-0,187004 │-0,0649602 │0,8967 │7,60752│0,00129409 │0,0308263 │0,226216 │0,0937922 │-0,841731 │
├─────┼────┼─────────┼───────────┼───────────┼───────────┼────────┼───────┼────────────┼────────────┼────────────┼────────────┼──────────┤
│40 │350 │0,12274 │-0,0663169 │-0,0916614 │-0,00284537│0,908281│4,57869│0,0107119 │0,0157862 │0,0180883 │0,0528959 │-0,395885 │
│ ├────┼─────────┼───────────┼───────────┼───────────┼────────┼───────┼────────────┼────────────┼────────────┼────────────┼──────────┤
│ │525 │0,115927 │-0,104356 │-0,170494 │-0,0393843 │0,89771 │6,82781│0,00627003 │0,0347276 │0,220897 │0,0870734 │-0,760589 │
│ ├────┼─────────┼───────────┼───────────┼───────────┼────────┼───────┼────────────┼────────────┼────────────┼────────────┼──────────┤
│ │700 │0,107843 │-0,105512 │-0,191055 │-0,0494698 │0,871065│7,88127│0,00241277 │0,0364981 │0,253513 │0,0979058 │-0,880232 │
└─────┴────┴─────────┴───────────┴───────────┴───────────┴────────┴───────┴────────────┴────────────┴────────────┴────────────┴──────────┘
┌─────┬──────┬────────────┬───────────┬───────────┬───────────┬──────────────┬─────────────┬────────────┬──────────┬──────────┬──────────┐
│ фи, │E', │ a │ a │ a │ a │ a │ a │ a │ a │ a │ a │
│град.│ R │ 22 │ 23 │ 24 │ 25 │ 33 │ 34 │ 35 │ 44 │ 45 │ 55 │
│ │кН/м │ │ │ │ │ │ │ │ │ │ │
├─────┼──────┼────────────┼───────────┼───────────┼───────────┼──────────────┼─────────────┼────────────┼──────────┼──────────┼──────────┤
│ 1 │ 2 │ 3 │ 4 │ 5 │ 6 │ 7 │ 8 │ 9 │ 10 │ 11 │ 12 │
├─────┼──────┼────────────┼───────────┼───────────┼───────────┼──────────────┼─────────────┼────────────┼──────────┼──────────┼──────────┤
│2 │350 │-0,00807595 │0,00497645 │-0,0741239 │-0,0836995 │-0,000320824 │0,00102886 │0,0146725 │-0,129447 │-2,20944 │-3,14956 │
│ ├──────┼────────────┼───────────┼───────────┼───────────┼──────────────┼─────────────┼────────────┼──────────┼──────────┼──────────┤
│ │525 │0,0242508 │0,044838 │-0,110619 │-0,204807 │-0,0784146 │0,023565 │0,154212 │-0,210205 │-3,83334 │-6,2252 │
│ ├──────┼────────────┼───────────┼───────────┼───────────┼──────────────┼─────────────┼────────────┼──────────┼──────────┼──────────┤
│ │700 │0,0269868 │0,0462734 │-0,124325 │-0,24764 │-0,134798 │0,0414778 │0,143237 │-0,262802 │-4,88585 │-8,37121 │
├─────┼──────┼────────────┼───────────┼───────────┼───────────┼──────────────┼─────────────┼────────────┼──────────┼──────────┼──────────┤
│3 │350 │-0,00738764 │0,00498443 │-0,0714464 │-0,0864634 │-0,000291236 │0,00106694 │0,0144381 │-0,130484 │-2,22611 │-3,15831 │
│ ├──────┼────────────┼───────────┼───────────┼───────────┼──────────────┼─────────────┼────────────┼──────────┼──────────┼──────────┤
│ │525 │0,0254095 │0,046419 │-0,10679 │-0,208261 │-0,0695641 │0,0227264 │0,149884 │-0,210744 │-3,85323 │-6,26138 │
│ ├──────┼────────────┼───────────┼───────────┼───────────┼──────────────┼─────────────┼────────────┼──────────┼──────────┼──────────┤
│ │700 │0,0287911 │0,0467989 │-0,119535 │-0,252626 │-0,1345 │0,0430434 │0,140231 │-0,26477 │-4,90835 │-8,38854 │
├─────┼──────┼────────────┼───────────┼───────────┼───────────┼──────────────┼─────────────┼────────────┼──────────┼──────────┼──────────┤
│4 │350 │-0,0066811 │0,00499201 │-0,0686953 │-0,089347 │-0,0002611 │0,00110227 │0,0141859 │-0,131523 │-2,24323 │-3,168 │
│ ├──────┼────────────┼───────────┼───────────┼───────────┼──────────────┼─────────────┼────────────┼──────────┼──────────┼──────────┤
│ │525 │0,0269723 │0,0460154 │-0,102655 │-0,213446 │-0,0683585 │0,0237246 │0,132757 │-0,212491 │-3,87543 │-6,25499 │
│ ├──────┼────────────┼───────────┼───────────┼───────────┼──────────────┼─────────────┼────────────┼──────────┼──────────┼──────────┤
│ │700 │0,0303599 │0,0483401 │-0,115308 │-0,262724 │-0,125588 │0,0418475 │0,138357 │-0,264172 │-4,93237 │-8,4001 │
├─────┼──────┼────────────┼───────────┼───────────┼───────────┼──────────────┼─────────────┼────────────┼──────────┼──────────┼──────────┤
│5 │350 │-0,00595593 │0,00499912 │-0,0658685 │-0,092357 │-0,000230421 │0,00113453 │0,0139144 │-0,132563 │-2,2608 │-3,17872 │
│ ├──────┼────────────┼───────────┼───────────┼───────────┼──────────────┼─────────────┼────────────┼──────────┼──────────┼──────────┤
│ │525 │0,0283549 │0,0466969 │-0,0986192 │-0,221404 │-0,0668809 │0,0253611 │0,136129 │-0,212668 │-3,89391 │-6,29767 │
│ ├──────┼────────────┼───────────┼───────────┼───────────┼──────────────┼─────────────┼────────────┼──────────┼──────────┼──────────┤
│ │700 │0,031476 │0,0500301 │-0,11058 │-0,267438 │-0,122202 │0,0424909 │0,127075 │-0,26594 │-4,95756 │-8,42356 │
├─────┼──────┼────────────┼───────────┼───────────┼───────────┼──────────────┼─────────────┼────────────┼──────────┼──────────┼──────────┤
│6 │350 │-0,00521174 │0,00500567 │-0,0629637 │-0,0955008 │-0,000199206 │0,00116336 │0,0136223 │-0,133603 │-2,27883 │-3,19056 │
│ ├──────┼────────────┼───────────┼───────────┼───────────┼──────────────┼─────────────┼────────────┼──────────┼──────────┼──────────┤
│ │525 │0,0295636 │0,0478153 │-0,0944276 │-0,225787 │-0,0557437 │0,0251889 │0,127003 │-0,214532 │-3,91749 │-6,34397 │
│ ├──────┼────────────┼───────────┼───────────┼───────────┼──────────────┼─────────────┼────────────┼──────────┼──────────┼──────────┤
│ │700 │0,0331003 │0,0508874 │-0,105793 │-0,275575 │-0,11368 │0,0447263 │0,123716 │-0,266901 │-4,97484 │-8,46869 │
├─────┼──────┼────────────┼───────────┼───────────┼───────────┼──────────────┼─────────────┼────────────┼──────────┼──────────┼──────────┤
│7 │350 │-0,00444812 │0,00501156 │-0,0599787 │-0,0987862 │-0,000167465 │0,00118839 │0,013308 │-0,13464 │-2,29734 │-3,2036 │
│ ├──────┼────────────┼───────────┼───────────┼───────────┼──────────────┼─────────────┼────────────┼──────────┼──────────┼──────────┤
│ │525 │0,0313068 │0,0480262 │-0,090107 │-0,232484 │-0,0551326 │0,0260288 │0,119901 │-0,215424 │-3,93906 │-6,35429 │
│ ├──────┼────────────┼───────────┼───────────┼───────────┼──────────────┼─────────────┼────────────┼──────────┼──────────┼──────────┤
│ │700 │0,0348789 │0,0518116 │-0,100883 │-0,281816 │-0,108192 │0,0454789 │0,10596 │-0,269265 │-4,99695 │-8,53146 │
├─────┼──────┼────────────┼───────────┼───────────┼───────────┼──────────────┼─────────────┼────────────┼──────────┼──────────┼──────────┤
│8 │350 │-0,00366472 │0,00501666 │-0,0569111 │-0,102222 │-0,000135211 │0,00120921 │0,0129696 │-0,135671 │-2,31635 │-3,21796 │
│ ├──────┼────────────┼───────────┼───────────┼───────────┼──────────────┼─────────────┼────────────┼──────────┼──────────┼──────────┤
│ │525 │0,0328297 │0,0496143 │-0,0855755 │-0,239 │-0,0495885 │0,0255413 │0,10707 │-0,216045 │-3,95955 │-6,40848 │
│ ├──────┼────────────┼───────────┼───────────┼───────────┼──────────────┼─────────────┼────────────┼──────────┼──────────┼──────────┤
│ │700 │0,0366049 │0,0527047 │-0,0954041 │-0,28815 │-0,100894 │0,0438875 │0,106244 │-0,268691 │-5,01975 │-8,59697 │
├─────┼──────┼────────────┼───────────┼───────────┼───────────┼──────────────┼─────────────┼────────────┼──────────┼──────────┼──────────┤
│9 │350 │-0,00286117 │0,00502086 │-0,0537585 │-0,105817 │-0,000102461 │0,00122536 │0,0126053 │-0,136694 │-2,33585 │-3,23374 │
│ ├──────┼────────────┼───────────┼───────────┼───────────┼──────────────┼─────────────┼────────────┼──────────┼──────────┼──────────┤
│ │525 │0,0339971 │0,0497687 │-0,0806934 │-0,245053 │-0,0458802 │0,0243252 │0,0998352 │-0,217353 │-3,98324 │-6,42648 │
│ ├──────┼────────────┼───────────┼───────────┼───────────┼──────────────┼─────────────┼────────────┼──────────┼──────────┼──────────┤
│ │700 │0,0381924 │0,0550476 │-0,0901278 │-0,298941 │-0,0948066 │0,0456068 │0,0979594 │-0,269378 │-5,04142 │-8,63668 │
├─────┼──────┼────────────┼───────────┼───────────┼───────────┼──────────────┼─────────────┼────────────┼──────────┼──────────┼──────────┤
│10 │350 │-0,00203714 │0,00502401 │-0,0505183 │-0,109581 │-0,0000692332 │0,00123638 │0,0122131 │-0,137706 │-2,35588 │-3,25106 │
│ ├──────┼────────────┼───────────┼───────────┼───────────┼──────────────┼─────────────┼────────────┼──────────┼──────────┼──────────┤
│ │525 │0,0355717 │0,0515364 │-0,0758791 │-0,251957 │-0,0404323 │0,0262687 │0,100097 │-0,217961 │-4,00668 │-6,51474 │
│ ├──────┼────────────┼───────────┼───────────┼───────────┼──────────────┼─────────────┼────────────┼──────────┼──────────┼──────────┤
│ │700 │0,0397491 │0,056404 │-0,0844757 │-0,30629 │-0,0824803 │0,0465234 │0,0867275 │-0,270491 │-5,06326 │-8,74342 │
├─────┼──────┼────────────┼───────────┼───────────┼───────────┼──────────────┼─────────────┼────────────┼──────────┼──────────┼──────────┤
│11 │350 │-0,00119233 │0,00502594 │-0,0471881 │-0,113525 │-0,0000355521 │0,00124173 │0,0117907 │-0,138703 │-2,37643 │-3,27006 │
│ ├──────┼────────────┼───────────┼───────────┼───────────┼──────────────┼─────────────┼────────────┼──────────┼──────────┼──────────┤
│ │525 │0,0371365 │0,0517644 │-0,0711074 │-0,259168 │-0,0387263 │0,0259882 │0,100142 │-0,218601 │-4,02972 │-6,54577 │
│ ├──────┼────────────┼───────────┼───────────┼───────────┼──────────────┼─────────────┼────────────┼──────────┼──────────┼──────────┤
│ │700 │0,0416126 │0,0572335 │-0,079064 │-0,315435 │-0,0781592 │0,046069 │0,0778487 │-0,271258 │-5,08301 │-8,81117 │
├─────┼──────┼────────────┼───────────┼───────────┼───────────┼──────────────┼─────────────┼────────────┼──────────┼──────────┼──────────┤
│12 │350 │-0,000326475│0,00502647 │-0,043765 │-0,11766 │-0,00000144594│0,00124084 │0,0113357 │-0,139682 │-2,39752 │-3,29088 │
│ ├──────┼────────────┼───────────┼───────────┼───────────┼──────────────┼─────────────┼────────────┼──────────┼──────────┼──────────┤
│ │525 │0,0388406 │0,0532859 │-0,0661266 │-0,266771 │-0,0297297 │0,0254042 │0,0798954 │-0,219064 │-4,04722 │-6,59961 │
│ ├──────┼────────────┼───────────┼───────────┼───────────┼──────────────┼─────────────┼────────────┼──────────┼──────────┼──────────┤
│ │700 │0,0435587 │0,0588744 │-0,0724104 │-0,32147 │-0,0711135 │0,0451049 │0,0551337 │-0,271744 │-5,10542 │-8,94573 │
├─────┼──────┼────────────┼───────────┼───────────┼───────────┼──────────────┼─────────────┼────────────┼──────────┼──────────┼──────────┤
│13 │350 │0,000560655 │0,00502539 │-0,0402466 │-0,122 │0,0000330513 │0,00123312 │0,0108453 │-0,140638 │-2,41916 │-3,31367 │
│ ├──────┼────────────┼───────────┼───────────┼───────────┼──────────────┼─────────────┼────────────┼──────────┼──────────┼──────────┤
│ │525 │0,0403967 │0,0529853 │-0,0610207 │-0,275233 │-0,021506 │0,0265135 │0,0730689 │-0,219574 │-4,0724 │-6,64774 │
│ ├──────┼────────────┼───────────┼───────────┼───────────┼──────────────┼─────────────┼────────────┼──────────┼──────────┼──────────┤
│ │700 │0,0453376 │0,0591993 │-0,0665125 │-0,32962 │-0,0636258 │0,04658 │0,0533709 │-0,271369 │-5,12433 │-8,97677 │
├─────┼──────┼────────────┼───────────┼───────────┼───────────┼──────────────┼─────────────┼────────────┼──────────┼──────────┼──────────┤
│14 │350 │0,00146922 │0,00502245 │-0,0366298 │-0,126557 │0,0000678996 │0,00121788 │0,0103167 │-0,141567 │-2,44137 │-3,33861 │
│ ├──────┼────────────┼───────────┼───────────┼───────────┼──────────────┼─────────────┼────────────┼──────────┼──────────┼──────────┤
│ │525 │0,0421155 │0,0541878 │-0,0554944 │-0,283371 │-0,016778 │0,0252996 │0,0718475 │-0,220994 │-4,09258 │-6,72815 │
│ ├──────┼────────────┼───────────┼───────────┼───────────┼──────────────┼─────────────┼────────────┼──────────┼──────────┼──────────┤
│ │700 │0,0472017 │0,0606723 │-0,0604346 │-0,339151 │-0,0568061 │0,0453168 │0,0401254 │-0,271895 │-5,14415 │-9,07696 │
├─────┼──────┼────────────┼───────────┼───────────┼───────────┼──────────────┼─────────────┼────────────┼──────────┼──────────┼──────────┤
│15 │350 │0,00239934 │0,00501739 │-0,032912 │-0,131346 │0,000103052 │0,00119441 │0,00974668 │-0,142464 │-2,46416 │-3,36588 │
│ ├──────┼────────────┼───────────┼───────────┼───────────┼──────────────┼─────────────┼────────────┼──────────┼──────────┼──────────┤
│ │525 │0,043967 │0,0547546 │-0,0498124 │-0,28882 │-0,0135143 │0,0254299 │0,06136 │-0,221511 │-4,117 │-6,82511 │
│ ├──────┼────────────┼───────────┼───────────┼───────────┼──────────────┼─────────────┼────────────┼──────────┼──────────┼──────────┤
│ │700 │0,0492216 │0,0624102 │-0,0543578 │-0,351157 │-0,0466993 │0,0449069 │0,0211922 │-0,272327 │-5,16489 │-9,19116 │
├─────┼──────┼────────────┼───────────┼───────────┼───────────┼──────────────┼─────────────┼────────────┼──────────┼──────────┼──────────┤
│16 │350 │0,00335102 │0,0050099 │-0,0290901 │-0,136384 │0,000138455 │0,00116193 │0,00913171 │-0,143322 │-2,48754 │-3,39569 │
│ ├──────┼────────────┼───────────┼───────────┼───────────┼──────────────┼─────────────┼────────────┼──────────┼──────────┼──────────┤
│ │525 │0,0453425 │0,055238 │-0,044188 │-0,299777 │-0,00932595 │0,0250077 │0,0524811 │-0,221612 │-4,13833 │-6,89969 │
│ ├──────┼────────────┼───────────┼───────────┼───────────┼──────────────┼─────────────┼────────────┼──────────┼──────────┼──────────┤
│ │700 │0,0510999 │0,0632048 │-0,0471886 │-0,359683 │-0,041798 │0,0442649 │0,00614126 │-0,271983 │-5,17982 │-9,36649 │
├─────┼──────┼────────────┼───────────┼───────────┼───────────┼──────────────┼─────────────┼────────────┼──────────┼──────────┼──────────┤
│17 │350 │0,00432421 │0,00499963 │-0,0251612 │-0,141688 │0,000174044 │0,0011196 │0,00846794 │-0,144136 │-2,51152 │-3,42826 │
│ ├──────┼────────────┼───────────┼───────────┼───────────┼──────────────┼─────────────┼────────────┼──────────┼──────────┼──────────┤
│ │525 │0,0472631 │0,0563072 │-0,0380742 │-0,310334 │-0,00562324 │0,0252652 │0,0341572 │-0,221824 │-4,1603 │-6,98846 │
│ ├──────┼────────────┼───────────┼───────────┼───────────┼──────────────┼─────────────┼────────────┼──────────┼──────────┼──────────┤
│ │700 │0,0530486 │0,0647195 │-0,0403648 │-0,370381 │-0,0289548 │0,0444849 │-0,016527 │-0,27163 │-5,19541 │-9,50262 │
├─────┼──────┼────────────┼───────────┼───────────┼───────────┼──────────────┼─────────────┼────────────┼──────────┼──────────┼──────────┤
│18 │350 │0,00531873 │0,00498618 │-0,0211222 │-0,147278 │0,000209746 │0,0010665 │0,00775113 │-0,144899 │-2,53611 │-3,46383 │
│ ├──────┼────────────┼───────────┼───────────┼───────────┼──────────────┼─────────────┼────────────┼──────────┼──────────┼──────────┤
│ │525 │0,0492427 │0,057027 │-0,0319457 │-0,319798 │0,00239013 │0,0238837 │0,0136701 │-0,222125 │-4,17962 │-7,13614 │
│ ├──────┼────────────┼───────────┼───────────┼───────────┼──────────────┼─────────────┼────────────┼──────────┼──────────┼──────────┤
│ │700 │0,0551369 │0,0658635 │-0,0331893 │-0,382065 │-0,0239705 │0,0425505 │-0,0242912 │-0,271435 │-5,21342 │-9,66274 │
├─────┼──────┼────────────┼───────────┼───────────┼───────────┼──────────────┼─────────────┼────────────┼──────────┼──────────┼──────────┤
│19 │350 │0,00633427 │0,00496911 │-0,0169699 │-0,153175 │0,000245476 │0,00100164 │0,00697658 │-0,145602 │-2,56132 │-3,50269 │
│ ├──────┼────────────┼───────────┼───────────┼───────────┼──────────────┼─────────────┼────────────┼──────────┼──────────┼──────────┤
│ │525 │0,0510059 │0,0568206 │-0,025656 │-0,330141 │0,00453898 │0,022787 │0,0139681 │-0,222366 │-4,19898 │-7,24074 │
│ ├──────┼────────────┼───────────┼───────────┼───────────┼──────────────┼─────────────┼────────────┼──────────┼──────────┼──────────┤
│ │700 │0,0573266 │0,0669657 │-0,0258833 │-0,394517 │-0,0188446 │0,0423242 │-0,0571733 │-0,271104 │-5,22502 │-9,83764 │
├─────┼──────┼────────────┼───────────┼───────────┼───────────┼──────────────┼─────────────┼────────────┼──────────┼──────────┼──────────┤
│20 │350 │0,00737038 │0,00494791 │-0,0127012 │-0,159401 │0,000281136 │0,000923964 │0,00613914 │-0,146236 │-2,58717 │-3,54512 │
│ ├──────┼────────────┼───────────┼───────────┼───────────┼──────────────┼─────────────┼────────────┼──────────┼──────────┼──────────┤
│ │525 │0,0528203 │0,0585636 │-0,0189676 │-0,341109 │0,0125527 │0,0211049 │0,0049286 │-0,221661 │-4,21939 │-7,32517 │
│ ├──────┼────────────┼───────────┼───────────┼───────────┼──────────────┼─────────────┼────────────┼──────────┼──────────┼──────────┤
│ │700 │0,0593305 │0,0682444 │-0,0179839 │-0,406885 │-0,00675289 │0,0413575 │-0,0646334 │-0,270468 │-5,23855 │-10,0322 │
├─────┼──────┼────────────┼───────────┼───────────┼───────────┼──────────────┼─────────────┼────────────┼──────────┼──────────┼──────────┤
│21 │350 │0,00842641 │0,00492199 │-0,00831264│-0,165983 │0,000316613 │0,000832303 │0,00523309 │-0,146793 │-2,61365 │-3,59145 │
│ ├──────┼────────────┼───────────┼───────────┼───────────┼──────────────┼─────────────┼────────────┼──────────┼──────────┼──────────┤
│ │525 │0,0549561 │0,0582723 │-0,0122561 │-0,353202 │0,0172172 │0,0203064 │-0,0229925 │-0,221282 │-4,24079 │-7,5029 │
│ ├──────┼────────────┼───────────┼───────────┼───────────┼──────────────┼─────────────┼────────────┼──────────┼──────────┼──────────┤
│ │700 │0,061453 │0,0695331 │-0,0101998 │-0,420426 │0,0045103 │0,0395574 │-0,0967021 │-0,268601 │-5,25407 │-10,2565 │
├─────┼──────┼────────────┼───────────┼───────────┼───────────┼──────────────┼─────────────┼────────────┼──────────┼──────────┼──────────┤
│22 │350 │0,00950151 │0,00489068 │-0,00380099│-0,172949 │0,000351778 │0,000725413 │0,00425208 │-0,147261 │-2,64079 │-3,64204 │
│ ├──────┼────────────┼───────────┼───────────┼───────────┼──────────────┼─────────────┼────────────┼──────────┼──────────┼──────────┤
│ │525 │0,0566597 │0,0584499 │-0,00541932│-0,364265 │0,0216531 │0,0191284 │-0,0403883 │-0,220687 │-4,25949 │-7,66408 │
│ ├──────┼────────────┼───────────┼───────────┼───────────┼──────────────┼─────────────┼────────────┼──────────┼──────────┼──────────┤
│ │700 │0,0635757 │0,0703505 │-0,00189882│-0,434393 │0,00965021 │0,0397849 │-0,121478 │-0,26823 │-5,26001 │-10,5161 │
├─────┼──────┼────────────┼───────────┼───────────┼───────────┼──────────────┼─────────────┼────────────┼──────────┼──────────┼──────────┤
│23 │350 │0,0105946 │0,00485323 │0,000837219│-0,180329 │0,00038648 │0,000601942 │0,00318909 │-0,147629 │-2,66858 │-3,69729 │
│ ├──────┼────────────┼───────────┼───────────┼───────────┼──────────────┼─────────────┼────────────┼──────────┼──────────┼──────────┤
│ │525 │0,0587762 │0,058822 │0,00228343 │-0,378226 │0,0294867 │0,0183203 │-0,0518614 │-0,220203 │-4,27784 │-7,84866 │
│ ├──────┼────────────┼───────────┼───────────┼───────────┼──────────────┼─────────────┼────────────┼──────────┼──────────┼──────────┤
│ │700 │0,0657422 │0,0708874 │0,00678722 │-0,447465 │0,0181287 │0,0372923 │-0,145433 │-0,266057 │-5,26309 │-10,7585 │
├─────┼──────┼────────────┼───────────┼───────────┼───────────┼──────────────┼─────────────┼────────────┼──────────┼──────────┼──────────┤
│24 │350 │0,0117042 │0,00480877 │0,00560549 │-0,188159 │0,000420549 │0,000460436 │0,00203625 │-0,147882 │-2,69703 │-3,75763 │
│ ├──────┼────────────┼───────────┼───────────┼───────────┼──────────────┼─────────────┼────────────┼──────────┼──────────┼──────────┤
│ │525 │0,0607977 │0,0591879 │0,00968109 │-0,391062 │0,0330378 │0,0158053 │-0,077597 │-0,218944 │-4,29584 │-8,0278 │
│ ├──────┼────────────┼───────────┼───────────┼───────────┼──────────────┼─────────────┼────────────┼──────────┼──────────┼──────────┤
│ │700 │0,068035 │0,0719895 │0,0157729 │-0,465813 │0,0243613 │0,034601 │-0,173843 │-0,26414 │-5,26411 │-11,0723 │
├─────┼──────┼────────────┼───────────┼───────────┼───────────┼──────────────┼─────────────┼────────────┼──────────┼──────────┼──────────┤
│25 │350 │0,0128286 │0,00475631 │0,0105074 │-0,196477 │0,000453788 │0,000299321 │0,000784832 │-0,148006 │-2,72614 │-3,82355 │
│ ├──────┼────────────┼───────────┼───────────┼───────────┼──────────────┼─────────────┼────────────┼──────────┼──────────┼──────────┤
│ │525 │0,0627116 │0,0594719 │0,0174371 │-0,408569 │0,0417954 │0,014347 │-0,0991425 │-0,218131 │-4,31045 │-8,23652 │
│ ├──────┼────────────┼───────────┼───────────┼───────────┼──────────────┼─────────────┼────────────┼──────────┼──────────┼──────────┤
│ │700 │0,0702637 │0,072594 │0,0250289 │-0,481292 │0,0306253 │0,0336004 │-0,203569 │-0,262102 │-5,26495 │-11,3977 │
├─────┼──────┼────────────┼───────────┼───────────┼───────────┼──────────────┼─────────────┼────────────┼──────────┼──────────┼──────────┤
│26 │350 │0,0139656 │0,00469469 │0,0155466 │-0,205326 │0,00048597 │0,000116907 │-0,000574976│-0,147985 │-2,75591 │-3,89558 │
│ ├──────┼────────────┼───────────┼───────────┼───────────┼──────────────┼─────────────┼────────────┼──────────┼──────────┼──────────┤
│ │525 │0,0646845 │0,0593476 │0,0256399 │-0,423775 │0,0444653 │0,0118345 │-0,129841 │-0,216309 │-4,32088 │-8,51051 │
│ ├──────┼────────────┼───────────┼───────────┼───────────┼──────────────┼─────────────┼────────────┼──────────┼──────────┼──────────┤
│ │700 │0,0724734 │0,0723821 │0,0347087 │-0,500283 │0,0403849 │0,0312633 │-0,2418 │-0,259085 │-5,26095 │-11,7382 │
├─────┼──────┼────────────┼───────────┼───────────┼───────────┼──────────────┼─────────────┼────────────┼──────────┼──────────┼──────────┤
│27 │350 │0,0151126 │0,00462262 │0,0207269 │-0,214754 │0,000516835 │-0,0000886314│-0,00205417 │-0,1478 │-2,78633 │-3,97432 │
│ ├──────┼────────────┼───────────┼───────────┼───────────┼──────────────┼─────────────┼────────────┼──────────┼──────────┼──────────┤
│ │525 │0,0666362 │0,0591664 │0,0339529 │-0,439826 │0,051436 │0,0102841 │-0,157639 │-0,214711 │-4,332 │-8,7581 │
│ ├──────┼────────────┼───────────┼───────────┼───────────┼──────────────┼─────────────┼────────────┼──────────┼──────────┼──────────┤
│ │700 │0,07466 │0,0732337 │0,0446698 │-0,520561 │0,0510456 │0,0272315 │-0,280251 │-0,256415 │-5,2521 │-12,1772 │
├─────┼──────┼────────────┼───────────┼───────────┼───────────┼──────────────┼─────────────┼────────────┼──────────┼──────────┼──────────┤
│28 │350 │0,0162663 │0,00453857 │0,0260521 │-0,224814 │0,000546084 │-0,000319251 │-0,00366512 │-0,147431 │-2,8174 │-4,06044 │
│ ├──────┼────────────┼───────────┼───────────┼───────────┼──────────────┼─────────────┼────────────┼──────────┼──────────┼──────────┤
│ │525 │0,0686207 │0,0589926 │0,042688 │-0,46004 │0,0545079 │0,00782312 │-0,181155 │-0,212101 │-4,34117 │-9,03728 │
│ ├──────┼────────────┼───────────┼───────────┼───────────┼──────────────┼─────────────┼────────────┼──────────┼──────────┼──────────┤
│ │700 │0,0768457 │0,0727182 │0,055293 │-0,541802 │0,0582216 │0,0254878 │-0,31767 │-0,252136 │-5,2366 │-12,6184 │
├─────┼──────┼────────────┼───────────┼───────────┼───────────┼──────────────┼─────────────┼────────────┼──────────┼──────────┼──────────┤
│29 │350 │0,0174228 │0,0044408 │0,0315262 │-0,235569 │0,000573372 │-0,000577055 │-0,00542182 │-0,146854 │-2,84911 │-4,15466 │
│ ├──────┼────────────┼───────────┼───────────┼───────────┼──────────────┼─────────────┼────────────┼──────────┼──────────┼──────────┤
│ │525 │0,07074 │0,0572017 │0,0520843 │-0,478948 │0,0591215 │0,00542777 │-0,221904 │-0,209602 │-4,34755 │-9,34656 │
│ ├──────┼────────────┼───────────┼───────────┼───────────┼──────────────┼─────────────┼────────────┼──────────┼──────────┼──────────┤
│ │700 │0,0790416 │0,0722261 │0,0661269 │-0,562714 │0,0612176 │0,0234693 │-0,36579 │-0,249244 │-5,22086 │-13,1029 │
├─────┼──────┼────────────┼───────────┼───────────┼───────────┼──────────────┼─────────────┼────────────┼──────────┼──────────┼──────────┤
│30 │350 │0,0185775 │0,00432729 │0,0371533 │-0,247086 │0,000598304 │-0,000864294 │-0,00734012 │-0,146045 │-2,88144 │-4,25781 │
│ ├──────┼────────────┼───────────┼───────────┼───────────┼──────────────┼─────────────┼────────────┼──────────┼──────────┼──────────┤
│ │525 │0,0726528 │0,0558956 │0,0613639 │-0,499868 │0,0621376 │0,00137165 │-0,254521 │-0,206352 │-4,34959 │-9,70957 │
│ ├──────┼────────────┼───────────┼───────────┼───────────┼──────────────┼─────────────┼────────────┼──────────┼──────────┼──────────┤
│ │700 │0,0812455 │0,0715256 │0,0775832 │-0,587925 │0,0708554 │0,019249 │-0,418577 │-0,244177 │-5,19364 │-13,6445 │
├─────┼──────┼────────────┼───────────┼───────────┼───────────┼──────────────┼─────────────┼────────────┼──────────┼──────────┼──────────┤
│31 │350 │0,0197246 │0,0041957 │0,0429377 │-0,259443 │0,000620419 │-0,00118337 │-0,00943805 │-0,144974 │-2,91436 │-4,37081 │
│ ├──────┼────────────┼───────────┼───────────┼───────────┼──────────────┼─────────────┼────────────┼──────────┼──────────┼──────────┤
│ │525 │0,0742189 │0,054422 │0,0713185 │-0,524028 │0,0666347 │-0,000483052 │-0,297998 │-0,20292 │-4,35296 │-10,079 │
│ ├──────┼────────────┼───────────┼───────────┼───────────┼──────────────┼─────────────┼────────────┼──────────┼──────────┼──────────┤
│ │700 │0,0832156 │0,070807 │0,0897533 │-0,613581 │0,0770569 │0,0169607 │-0,472793 │-0,23904 │-5,1592 │-14,2807 │
├─────┼──────┼────────────┼───────────┼───────────┼───────────┼──────────────┼─────────────┼────────────┼──────────┼──────────┼──────────┤
│32 │350 │0,0208573 │0,00404329 │0,0488839 │-0,272729 │0,000639187 │-0,00153684 │-0,0117362 │-0,143609 │-2,94784 │-4,4947 │
│ ├──────┼────────────┼───────────┼───────────┼───────────┼──────────────┼─────────────┼────────────┼──────────┼──────────┼──────────┤
│ │525 │0,0763487 │0,0533106 │0,0818094 │-0,548962 │0,0688644 │-0,00474826 │-0,339653 │-0,198769 │-4,34516 │-10,5438 │
│ ├──────┼────────────┼───────────┼───────────┼───────────┼──────────────┼─────────────┼────────────┼──────────┼──────────┼──────────┤
│ │700 │0,0851737 │0,0683216 │0,102394 │-0,642639 │0,0802571 │0,0130037 │-0,537422 │-0,233252 │-5,11291 │-14,9556 │
├─────┼──────┼────────────┼───────────┼───────────┼───────────┼──────────────┼─────────────┼────────────┼──────────┼──────────┼──────────┤
│33 │350 │0,0219674 │0,00386688 │0,0549966 │-0,287046 │0,000653993 │-0,00192743 │-0,0142582 │-0,141916 │-2,98185 │-4,63064 │
│ ├──────┼────────────┼───────────┼───────────┼───────────┼──────────────┼─────────────┼────────────┼──────────┼──────────┼──────────┤
│ │525 │0,077927 │0,0509389 │0,0924836 │-0,575512 │0,0735044 │-0,00775877 │-0,395858 │-0,194173 │-4,33196 │-11,0048 │
│ ├──────┼────────────┼───────────┼───────────┼───────────┼──────────────┼─────────────┼────────────┼──────────┼──────────┼──────────┤
│ │700 │0,0870286 │0,0661241 │0,115455 │-0,674923 │0,0849931 │0,00860061 │-0,614694 │-0,2264 │-5,06358 │-15,6592 │
├─────┼──────┼────────────┼───────────┼───────────┼───────────┼──────────────┼─────────────┼────────────┼──────────┼──────────┼──────────┤
│34 │350 │0,0230452 │0,00366276 │0,0612811 │-0,302512 │0,000664122 │-0,00235798 │-0,0170313 │-0,139853 │-3,01633 │-4,77994 │
│ ├──────┼────────────┼───────────┼───────────┼───────────┼──────────────┼─────────────┼────────────┼──────────┼──────────┼──────────┤
│ │525 │0,0795956 │0,0479214 │0,104149 │-0,605162 │0,0725773 │-0,012674 │-0,454668 │-0,188168 │-4,31768 │-11,514 │
│ ├──────┼────────────┼───────────┼───────────┼───────────┼──────────────┼─────────────┼────────────┼──────────┼──────────┼──────────┤
│ │700 │0,0888058 │0,063479 │0,129541 │-0,709456 │0,0818961 │0,00577913 │-0,689627 │-0,219423 │-5,00172 │-16,5102 │
├─────┼──────┼────────────┼───────────┼───────────┼───────────┼──────────────┼─────────────┼────────────┼──────────┼──────────┼──────────┤
│35 │350 │0,024079 │0,00342654 │0,0677428 │-0,319261 │0,000668738 │-0,00283149 │-0,0200871 │-0,137377 │-3,05121 │-4,94408 │
│ ├──────┼────────────┼───────────┼───────────┼───────────┼──────────────┼─────────────┼────────────┼──────────┼──────────┼──────────┤
│ │525 │0,0810895 │0,0448616 │0,116248 │-0,638484 │0,0764976 │-0,0150614 │-0,510821 │-0,182605 │-4,29756 │-12,0981 │
│ ├──────┼────────────┼───────────┼───────────┼───────────┼──────────────┼─────────────┼────────────┼──────────┼──────────┼──────────┤
│ │700 │0,0903514 │0,059261 │0,144508 │-0,748857 │0,086923 │0,00151188 │-0,786988 │-0,211941 │-4,92599 │-17,4053 │
├─────┼──────┼────────────┼───────────┼───────────┼───────────┼──────────────┼─────────────┼────────────┼──────────┼──────────┼──────────┤
│36 │350 │0,0250906 │0,00315641 │0,0743796 │-0,337649 │0,000617954 │-0,00333294 │-0,0242603 │-0,134486 │-3,08602 │-5,12707 │
│ ├──────┼────────────┼───────────┼───────────┼───────────┼──────────────┼─────────────┼────────────┼──────────┼──────────┼──────────┤
│ │525 │0,0824262 │0,0401773 │0,129051 │-0,674089 │0,0739106 │-0,0201455 │-0,574611 │-0,17634 │-4,26297 │-12,7593 │
│ ├──────┼────────────┼───────────┼───────────┼───────────┼──────────────┼─────────────┼────────────┼──────────┼──────────┼──────────┤
│ │700 │0,0915977 │0,0543325 │0,160238 │-0,791885 │0,0865473 │-0,00170367 │-0,88496 │-0,202856 │-4,8364 │-18,4417 │
├─────┼──────┼────────────┼───────────┼───────────┼───────────┼──────────────┼─────────────┼────────────┼──────────┼──────────┼──────────┤
│37 │350 │0,0259877 │0,00288942 │0,081262 │-0,356898 │0,000660677 │-0,00394402 │-0,0267 │-0,130932 │-3,12016 │-5,32429 │
│ ├──────┼────────────┼───────────┼───────────┼───────────┼──────────────┼─────────────┼────────────┼──────────┼──────────┼──────────┤
│ │525 │0,0831512 │0,0346366 │0,142151 │-0,716025 │0,0724499 │-0,0247152 │-0,660637 │-0,16854 │-4,22422 │-13,4791 │
│ ├──────┼────────────┼───────────┼───────────┼───────────┼──────────────┼─────────────┼────────────┼──────────┼──────────┼──────────┤
│ │700 │0,0925906 │0,048062 │0,17704 │-0,840091 │0,0840351 │-0,00496179 │-1,00058 │-0,1931 │-4,72926 │-19,585 │
├─────┼──────┼────────────┼───────────┼───────────┼───────────┼──────────────┼─────────────┼────────────┼──────────┼──────────┼──────────┤
│38 │350 │0,0268254 │0,00248309 │0,088444 │-0,378823 │0,000639633 │-0,00458989 │-0,0316179 │-0,127203 │-3,15866 │-5,53813 │
│ ├──────┼────────────┼───────────┼───────────┼───────────┼──────────────┼─────────────┼────────────┼──────────┼──────────┼──────────┤
│ │525 │0,0837584 │0,0288447 │0,156696 │-0,761136 │0,0691252 │-0,0285021 │-0,754975 │-0,160153 │-4,17426 │-14,2976 │
│ ├──────┼────────────┼───────────┼───────────┼───────────┼──────────────┼─────────────┼────────────┼──────────┼──────────┼──────────┤
│ │700 │0,0932155 │0,0402792 │0,195017 │-0,894397 │0,0789783 │-0,00772921 │-1,13251 │-0,182373 │-4,60242 │-20,8645 │
├─────┼──────┼────────────┼───────────┼───────────┼───────────┼──────────────┼─────────────┼────────────┼──────────┼──────────┼──────────┤
│39 │350 │0,0274457 │0,00204168 │0,0955041 │-0,402685 │0,000609687 │-0,00521796 │-0,0359782 │-0,122219 │-3,19281 │-5,78667 │
│ ├──────┼────────────┼───────────┼───────────┼───────────┼──────────────┼─────────────┼────────────┼──────────┼──────────┼──────────┤
│ │525 │0,0841167 │0,0204485 │0,172028 │-0,813653 │0,0630061 │-0,0326829 │-0,854101 │-0,150875 │-4,10912 │-15,1907 │
│ ├──────┼────────────┼───────────┼───────────┼───────────┼──────────────┼─────────────┼────────────┼──────────┼──────────┼──────────┤
│ │700 │0,0933842 │0,0306654 │0,214346 │-0,956002 │0,070814 │-0,00972676 │-1,28397 │-0,170631 │-4,4526 │-22,3000 │
├─────┼──────┼────────────┼───────────┼───────────┼───────────┼──────────────┼─────────────┼────────────┼──────────┼──────────┼──────────┤
│40 │350 │0,027981 │0,0015448 │0,10297 │-0,428854 │0,000567988 │-0,00595327 │-0,0411516 │-0,116775 │-3,22801 │-6,05582 │
│ ├──────┼────────────┼───────────┼───────────┼───────────┼──────────────┼─────────────┼────────────┼──────────┼──────────┼──────────┤
│ │525 │0,083821 │0,0112103 │0,188213 │-0,870489 │0,0531716 │-0,0362503 │-0,969327 │-0,140282 │-4,03119 │-16,1996 │
│ ├──────┼────────────┼───────────┼───────────┼───────────┼──────────────┼─────────────┼────────────┼──────────┼──────────┼──────────┤
│ │700 │0,0929874 │0,0188255 │0,235242 │-1,02641 │0,0588217 │-0,0105824 │-1,45897 │-0,157839 │-4,27584 │-23,9151 │
└─────┴──────┴────────────┴───────────┴───────────┴───────────┴──────────────┴─────────────┴────────────┴──────────┴──────────┴──────────┘
Таблица Д.5
Регрессионные коэффициенты для определения коэффициентов
увеличения общего модуля упругости дорожных одежд
переходного и низшего типов

┌────┬────────┬────────┬───────┬────────┬──────────┬────────┬─────────┬────────┬─────────┬─────────┐
│E', │ a │ a │ a │ a │ a │ a │ a │ a │ a │ a │
│ R │ 0 │ 1 │ 2 │ 3 │ 11 │ 12 │ 13 │ 22 │ 23 │ 33 │
│кН/м│ │ │ │ │ │ │ │ │ │ │
├────┼────────┼────────┼───────┼────────┼──────────┼────────┼─────────┼────────┼─────────┼─────────┤
│350 │0,410036│0,392461│0,32715│0,837741│-0,0724632│0,243104│-0,340423│-2,16618│-0,226336│-0,262463│
├────┼────────┼────────┼───────┼────────┼──────────┼────────┼─────────┼────────┼─────────┼─────────┤
│525 │0,29605 │0,532388│1,15677│0,994127│-0,120644 │0,132781│-0,461062│-7,56537│-0,415504│-0,33236 │
├────┼────────┼────────┼───────┼────────┼──────────┼────────┼─────────┼────────┼─────────┼─────────┤
│700 │0,269527│0,577307│1,45522│1,10571 │-0,137039 │0,160554│-0,52458 │-10,9436│-0,546724│-0,417964│
└────┴────────┴────────┴───────┴────────┴──────────┴────────┴─────────┴────────┴─────────┴─────────┘
Таблица Д.6
Регрессионные коэффициенты для определения коэффициентов
снижения касательных напряжений в слабосвязных слоях
основания дорожной одежды переходного и низшего
типов при статическом воздействии нагрузки

┌─────┬────┬─────────┬───────────┬────────┬────────┬───────────┬─────────┬───────────┬────────┬────────┬───────────┐
│ фи, │E', │ a │ a │ a │ a │ a │ a │ a │ a │ a │ a │
│град.│ R │ 0 │ 1 │ 2 │ 3 │ 11 │ 12 │ 13 │ 22 │ 23 │ 33 │
│ │кН/м│ │ │ │ │ │ │ │ │ │ │
├─────┼────┼─────────┼───────────┼────────┼────────┼───────────┼─────────┼───────────┼────────┼────────┼───────────┤
│ 1 │ 2 │ 3 │ 4 │ 5 │ 6 │ 7 │ 8 │ 9 │ 10 │ 11 │ 12 │
├─────┼────┼─────────┼───────────┼────────┼────────┼───────────┼─────────┼───────────┼────────┼────────┼───────────┤
│2 │350 │0,24564 │0,244522 │3,03889 │0,762415│-0,0557769 │-0,34172 │-0,106096 │-4,20402│-2,35868│-0,0732168 │
│ ├────┼─────────┼───────────┼────────┼────────┼───────────┼─────────┼───────────┼────────┼────────┼───────────┤
│ │525 │0,0942014│0,369654 │4,98025 │1,00821 │-0,09664 │-0,777692│0,15363 │-11,0939│-4,24417│0,184946 │
│ ├────┼─────────┼───────────┼────────┼────────┼───────────┼─────────┼───────────┼────────┼────────┼───────────┤
│ │700 │0,0601152│0,399458 │5,67064 │1,08894 │-0,109101 │-0,895937│0,162462 │-14,8514│-5,18275│0,244362 │
├─────┼────┼─────────┼───────────┼────────┼────────┼───────────┼─────────┼───────────┼────────┼────────┼───────────┤
│3 │350 │0,247119 │0,23696 │3,06917 │0,759267│-0,0536777 │-0,353452│-0,100443 │-4,21243│-2,38215│-0,0714221 │
│ ├────┼─────────┼───────────┼────────┼────────┼───────────┼─────────┼───────────┼────────┼────────┼───────────┤
│ │525 │0,0954506│0,361591 │5,02219 │1,00561 │-0,0943549 │-0,789268│0,147536 │-11,1619│-4,28211│-0,183161 │
│ ├────┼─────────┼───────────┼────────┼────────┼───────────┼─────────┼───────────┼────────┼────────┼───────────┤
│ │700 │0,0618729│0,391202 │5,70571 │1,08301 │-0,106849 │-0,905233│-0,155802 │-14,8157│-5,23011│-0,236779 │
├─────┼────┼─────────┼───────────┼────────┼────────┼───────────┼─────────┼───────────┼────────┼────────┼───────────┤
│4 │350 │0,248476 │0,229055 │3,1 │0,756887│-0,0515871 │-0,361352│-0,0947011 │-4,21944│-2,40992│-0,0699569 │
│ ├────┼─────────┼───────────┼────────┼────────┼───────────┼─────────┼───────────┼────────┼────────┼───────────┤
│ │525 │0,0970778│0,352984 │5,0626 │1,0013 │-0,0919267 │-0,802099│-0,140522 │-11,1672│-4,32431│0,179531 │
│ ├────┼─────────┼───────────┼────────┼────────┼───────────┼─────────┼───────────┼────────┼────────┼───────────┤
│ │700 │0,0636206│0,382418 │5,74978 │1,07757 │-0,104336 │-0,92033 │-0,148251 │-14,8144│-5,28025│0,231482 │
├─────┼────┼─────────┼───────────┼────────┼────────┼───────────┼─────────┼───────────┼────────┼────────┼───────────┤
│5 │350 │0,249876 │0,220881 │3,13217 │0,754391│-0,0494172 │-0,369672│-0,0887623 │-4,22718│-2,43868│-0,0684169 │
│ ├────┼─────────┼───────────┼────────┼────────┼───────────┼─────────┼───────────┼────────┼────────┼───────────┤
│ │525 │0,0987546│0,34409 │5,10479 │0,996787│-0,0894091 │-0,815559│0,133269 │-11,1743│-4,36783│0,175747 │
│ ├────┼─────────┼───────────┼────────┼────────┼───────────┼─────────┼───────────┼────────┼────────┼───────────┤
│ │700 │0,0654208│0,373342 │5,79581 │1,0719 │-0,101732 │-0,936145│0,140441 │-14,8155│-5,33187│0,225974 │
├─────┼────┼─────────┼───────────┼────────┼────────┼───────────┼─────────┼───────────┼────────┼────────┼───────────┤
│6 │350 │0,251324 │0,212426 │3,16574 │0,751771│-0,0471643 │-0,378441│-0,082618 │-4,23569│-2,46847│-0,0667972 │
│ ├────┼─────────┼───────────┼────────┼────────┼───────────┼─────────┼───────────┼────────┼────────┼───────────┤
│ │525 │0,100483 │0,334897 │5,14886 │0,992073│-0,086798 │-0,829692│0,125763 │-11,1833│-4,41275│-0,171799 │
│ ├────┼─────────┼───────────┼────────┼────────┼───────────┼─────────┼───────────┼────────┼────────┼───────────┤
│ │700 │0,0672751│0,363963 │5,84391 │1,06597 │-0,0990317 │-0,952727│-0,13236 │-14,8191│-5,385 │0,220242 │
├─────┼────┼─────────┼───────────┼────────┼────────┼───────────┼─────────┼───────────┼────────┼────────┼───────────┤
│7 │350 │0,25282 │0,203679 │3,20081 │0,749018│-0,0448243 │-0,38769 │-0,0762591 │-4,24506│-2,49934│-0,065092 │
│ ├────┼─────────┼───────────┼────────┼────────┼───────────┼─────────┼───────────┼────────┼────────┼───────────┤
│ │525 │0,102264 │0,325392 │5,19493 │0,987141│-0,084089 │-0,844543│0,117995 │-11,1944│-4,45911│0,167678 │
│ ├────┼─────────┼───────────┼────────┼────────┼───────────┼─────────┼───────────┼────────┼────────┼───────────┤
│ │700 │0,0691853│0,354268 │5,8942 │1,05978 │-0,0962315 │-0,970127│0,123995 │-14,8256│-5,43972│0,214274 │
├─────┼────┼─────────┼───────────┼────────┼────────┼───────────┼─────────┼───────────┼────────┼────────┼───────────┤
│8 │350 │0,254366 │0,194627 │3,23745 │0,746125│-0,0423927 │-0,397457│-0,0696754 │-4,25532│-2,53134│-0,0632953 │
│ ├────┼─────────┼───────────┼────────┼────────┼───────────┼─────────┼───────────┼────────┼────────┼───────────┤
│ │525 │0,1041 │0,315563 │5,24312 │0,981979│-0,0812774 │-0,860162│0,109952 │-11,2078│-4,50699│0,163373 │
│ ├────┼─────────┼───────────┼────────┼────────┼───────────┼─────────┼───────────┼────────┼────────┼───────────┤
│ │700 │0,0711532│0,344244 │5,94683 │1,05331 │-0,0933264 │-0,988401│0,115333 │-14,8353│-5,49609│-0,208056 │
├─────┼────┼─────────┼───────────┼────────┼────────┼───────────┼─────────┼───────────┼────────┼────────┼───────────┤
│9 │350 │0,255965 │0,185256 │3,27578 │0,743079│-0,0398649 │-0,407779│-0,0628563 │-4,26655│-2,56455│-0,0614003 │
│ ├────┼─────────┼───────────┼────────┼────────┼───────────┼─────────┼───────────┼────────┼────────┼───────────┤
│ │525 │0,105992 │0,305395 │5,29356 │0,97657 │-0,0783585 │-0,876606│0,101621 │-11,2237│-4,55645│0,158872 │
│ ├────┼─────────┼───────────┼────────┼────────┼───────────┼─────────┼───────────┼────────┼────────┼───────────┤
│ │700 │0,0731807│0,333878 │6,00193 │1,04654 │-0,0903115 │-1,00761 │0,106359 │-14,8483│-5,55417│-0,201572 │
├─────┼────┼─────────┼───────────┼────────┼────────┼───────────┼─────────┼───────────┼────────┼────────┼───────────┤
│10 │350 │0,257618 │0,175551 │3,31589 │0,739871│-0,0372359 │-0,418699│-0,0557907 │-4,27881│-2,59901│-0,0593998 │
│ ├────┼─────────┼───────────┼────────┼────────┼───────────┼─────────┼───────────┼────────┼────────┼───────────┤
│ │525 │0,107944 │0,294874 │5,3464 │0,970898│-0,0753268 │-0,893934│0,0929875 │-11,2422│-4,60757│-0,154162 │
│ ├────┼─────────┼───────────┼────────┼────────┼───────────┼─────────┼───────────┼────────┼────────┼───────────┤
│ │700 │0,0752696│0,323155 │6,05968 │1,03945 │-0,0871816 │-1,02783 │0,0970601 │-14,8652│-5,61402│-0,194808 │
├─────┼────┼─────────┼───────────┼────────┼────────┼───────────┼─────────┼───────────┼────────┼────────┼───────────┤
│11 │350 │0,25933 │0,165498 │3,3579 │0,736489│-0,0345004 │-0,430264│-0,0484662 │-4,29219│-2,63479│-0,0572856 │
│ ├────┼─────────┼───────────┼────────┼────────┼───────────┼─────────┼───────────┼────────┼────────┼───────────┤
│ │525 │0,109956 │0,283986 │5,40179 │0,964946│-0,0721768 │-0,912212│0,0840369 │-11,2637│-4,66042│-0,14923 │
│ ├────┼─────────┼───────────┼────────┼────────┼───────────┼─────────┼───────────┼────────┼────────┼───────────┤
│ │700 │0,0774219│0,312061 │6,12024 │1,03201 │-0,0839312 │-1,04912 │0,0874183 │-14,8861│-5,67573│-0,187744 │
├─────┼────┼─────────┼───────────┼────────┼────────┼───────────┼─────────┼───────────┼────────┼────────┼───────────┤
│12 │350 │0,261101 │0,155081 │3,40193 │0,73292 │-0,0316528 │-0,442524│-0,04087 │-4,30675│-2,67198│-0,0550491 │
│ ├────┼─────────┼───────────┼────────┼────────┼───────────┼─────────┼───────────┼────────┼────────┼───────────┤
│ │525 │0,11203 │0,272714 │5,45991 │0,958694│-0,0689028 │-0,931514│0,0747532 │-11,2883│-4,71509│-0,144061 │
│ ├────┼─────────┼───────────┼────────┼────────┼───────────┼─────────┼───────────┼────────┼────────┼───────────┤
│ │700 │0,0796396│0,300579 │6,1838 │1,02421 │-0,0805544 │-1,07157 │0,0774165 │-14,9114│-5,73938│-0,180363 │
├─────┼────┼─────────┼───────────┼────────┼────────┼───────────┼─────────┼───────────┼────────┼────────┼───────────┤
│13 │350 │0,262935 │0,144282 │3,44812 │0,729148│-0,0286869 │-0,455537│-0,0329882 │-4,32258│-2,71065│-0,0526803 │
│ ├────┼─────────┼───────────┼────────┼────────┼───────────┼─────────┼───────────┼────────┼────────┼───────────┤
│ │525 │0,11417 │0,261042 │5,52093 │0,95212 │-0,0654984 │-0,951919│0,0651192 │-11,3164│-4,77167│-0,138637 │
│ ├────┼─────────┼───────────┼────────┼────────┼───────────┼─────────┼───────────┼────────┼────────┼───────────┤
│ │700 │0,0819246│0,288694 │6,25056 │1,01602 │-0,0770449 │-1,09527 │0,0670362 │-14,9417│-5,80506│-0,172643 │
├─────┼────┼─────────┼───────────┼────────┼────────┼───────────┼─────────┼───────────┼────────┼────────┼───────────┤
│14 │350 │0,264834 │0,133083 │3,49662 │0,725159│-0,0255962 │-0,469364│-0,0248058 │-4,33977│-2,75089│-0,0501686 │
│ ├────┼─────────┼───────────┼────────┼────────┼───────────┼─────────┼───────────┼────────┼────────┼───────────┤
│ │525 │0,116376 │0,248951 │5,58506 │0,945202│-0,0619569 │-0,973516│0,0551162 │-11,3483│-4,83026│-0,13294 │
│ ├────┼─────────┼───────────┼────────┼────────┼───────────┼─────────┼───────────┼────────┼────────┼───────────┤
│ │700 │0,0842791│0,276387 │6,32076 │1,00742 │-0,0733963 │-1,12031 │0,0562572 │-14,9772│-5,87285│-0,16456 │
├─────┼────┼─────────┼───────────┼────────┼────────┼───────────┼─────────┼───────────┼────────┼────────┼───────────┤
│15 │350 │0,266803 │0,121466 │3,54758 │0,720934│-0,0223738 │-0,484075│-0,0163067 │-4,3584 │-2,79279│-0,0475021 │
│ ├────┼─────────┼───────────┼────────┼────────┼───────────┼─────────┼───────────┼────────┼────────┼───────────┤
│ │525 │0,118652 │0,236424 │5,65252 │0,937913│-0,0582712 │-0,996403│0,0447245 │-11,3842│-4,89097│-0,126951 │
│ ├────┼─────────┼───────────┼────────┼────────┼───────────┼─────────┼───────────┼────────┼────────┼───────────┤
│ │700 │0,0867051│0,263641 │6,39462 │0,998368│-0,0696015 │-1,14681 │0,0450577 │-15,0185│-5,94287│-0,156091 │
├─────┼────┼─────────┼───────────┼────────┼────────┼───────────┼─────────┼───────────┼────────┼────────┼───────────┤
│16 │350 │0,268843 │0,10941 │3,60119 │0,716453│-0,0190121 │-0,499747│-0,00747355│-4,37856│-2,83646│-0,0446676 │
│ ├────┼─────────┼───────────┼────────┼────────┼───────────┼─────────┼───────────┼────────┼────────┼───────────┤
│ │525 │0,121 │0,22344 │5,72355 │0,930225│-0,0544339 │-1,02069 │0,0339224 │-11,4244│-4,95392│-0,120648 │
│ ├────┼─────────┼───────────┼────────┼────────┼───────────┼─────────┼───────────┼────────┼────────┼───────────┤
│ │700 │0,0892047│0,250436 │6,47243 │0,988836│-0,0656532 │-1,17489 │0,0334143 │-15,0661│-6,01522│-0,147207 │
├─────┼────┼─────────┼───────────┼────────┼────────┼───────────┼─────────┼───────────┼────────┼────────┼───────────┤
│17 │350 │0,27096 │0,0968924 │3,65763 │0,711697│-0,0155031 │-0,516463│0,00171246 │-4,40036│-2,882 │0,0416504 │
│ ├────┼─────────┼───────────┼────────┼────────┼───────────┼─────────┼───────────┼────────┼────────┼───────────┤
│ │525 │0,123421 │0,209978 │5,79842 │0,922107│-0,0504368 │-1,04649 │0,0226865 │-11,4694│-5,01924│-0,114005 │
│ ├────┼─────────┼───────────┼────────┼────────┼───────────┼─────────┼───────────┼────────┼────────┼───────────┤
│ │700 │0,09178 │0,236751 │6,55448 │0,978787│-0,0615433 │-1,20468 │0,0213016 │-15,1206│-6,09003│-0,137877 │
├─────┼────┼─────────┼───────────┼────────┼────────┼───────────┼─────────┼───────────┼────────┼────────┼───────────┤
│18 │350 │0,273156 │0,0838904 │3,71712 │0,706639│-0,011838 │-0,53432 │0,0112717 │-4,4239 │-2,92956│0,0384342 │
│ ├────┼─────────┼───────────┼────────┼────────┼───────────┼─────────┼───────────┼────────┼────────┼───────────┤
│ │525 │0,125919 │0,196017 │5,87741 │0,913524│-0,0462713 │-1,07394 │0,0109914 │-11,5195│-5,08707│-0,106996 │
│ ├────┼─────────┼───────────┼────────┼────────┼───────────┼─────────┼───────────┼────────┼────────┼───────────┤
│ │700 │0,0944331│0,222567 │6,64108 │0,96818 │-0,0572636 │-1,23633 │0,00869186 │-15,1825│-6,16743│-0,128069 │
├─────┼────┼─────────┼───────────┼────────┼────────┼───────────┼─────────┼───────────┼────────┼────────┼───────────┤
│19 │350 │0,274799 │0,0709979 │3,7923 │0,701938│-0,00820046│-0,553565│0,0205204 │-4,54235│-2,97673│-0,035125 │
│ ├────┼─────────┼───────────┼────────┼────────┼───────────┼─────────┼───────────┼────────┼────────┼───────────┤
│ │525 │0,128445 │0,181593 │5,96329 │0,904654│-0,0420447 │-1,09968 │0,00124443 │-11,6396│-5,15556│-0,100442 │
│ ├────┼─────────┼───────────┼────────┼────────┼───────────┼─────────┼───────────┼────────┼────────┼───────────┤
│ │700 │0,0968873│0,208044 │6,73495 │0,958906│-0,0528248 │-1,27214 │0,00435992 │-15,2875│-6,2468 │-0,121478 │
├─────┼────┼─────────┼───────────┼────────┼────────┼───────────┼─────────┼───────────┼────────┼────────┼───────────┤
│20 │350 │0,277982 │0,0561332 │3,84926 │0,693978│-0,00398122│-0,573174│0,0318944 │-4,4982 │-3,0329 │0,0296504 │
│ ├────┼─────────┼───────────┼────────┼────────┼───────────┼─────────┼───────────┼────────┼────────┼───────────┤
│ │525 │0,131269 │0,166522 │6,04906 │0,894151│-0,0375154 │-1,13394 │0,0144553 │-11,6253│-5,23677│-0,0910451 │
│ ├────┼─────────┼───────────┼────────┼────────┼───────────┼─────────┼───────────┼────────┼────────┼───────────┤
│ │700 │0,100178 │0,192313 │6,82658 │0,944615│-0,0480691 │-1,30487 │0,0187594 │-15,3332│-6,32705│-0,106651 │
├─────┼────┼─────────┼───────────┼────────┼────────┼───────────┼─────────┼───────────┼────────┼────────┼───────────┤
│21 │350 │0,28045 │0,0413933 │3,9205 │0,68829 │0,000390219│-0,594436│0,0419331 │-4,5234 │-3,08819│0,0257219 │
│ ├────┼─────────┼───────────┼────────┼────────┼───────────┼─────────┼───────────┼────────┼────────┼───────────┤
│ │525 │0,133659 │0,150944 │6,15019 │0,884683│-0,0326304 │-1,16884 │0,0269819 │-11,7554│-5,3137 │0,0827429 │
│ ├────┼─────────┼───────────┼────────┼────────┼───────────┼─────────┼───────────┼────────┼────────┼───────────┤
│ │700 │0,103314 │0,176625 │6,91602 │0,931498│-0,0433592 │-1,34081 │0,0328602 │-15,2654│-6,41599│-0,0946706 │
├─────┼────┼─────────┼───────────┼────────┼────────┼───────────┼─────────┼───────────┼────────┼────────┼───────────┤
│22 │350 │0,282856 │0,0262033 │3,99361 │0,68269 │0,00466061 │-0,617981│0,054117 │-4,54479│-3,14936│0,0229368 │
│ ├────┼─────────┼───────────┼────────┼────────┼───────────┼─────────┼───────────┼────────┼────────┼───────────┤
│ │525 │0,136833 │0,134674 │6,23876 │0,872911│-0,0277348 │-1,20454 │0,0412046 │-11,7429│-5,38618│-0,0736575 │
│ ├────┼─────────┼───────────┼────────┼────────┼───────────┼─────────┼───────────┼────────┼────────┼───────────┤
│ │700 │0,105851 │0,160337 │7,03856 │0,920043│-0,0381762 │-1,3841 │0,0467993 │-15,5117│-6,50522│-0,0844229 │
├─────┼────┼─────────┼───────────┼────────┼────────┼───────────┼─────────┼───────────┼────────┼────────┼───────────┤
│23 │350 │0,285536 │0,0106204 │4,06889 │0,675651│0,00912986 │-0,643563│0,0656518 │-4,57136│-3,20183│-0,0185582 │
│ ├────┼─────────┼───────────┼────────┼────────┼───────────┼─────────┼───────────┼────────┼────────┼───────────┤
│ │525 │0,139546 │0,117764 │6,3458 │0,863149│-0,0225194 │-1,24054 │0,0555162 │-11,8948│-5,46163│-0,067167 │
│ ├────┼─────────┼───────────┼────────┼────────┼───────────┼─────────┼───────────┼────────┼────────┼───────────┤
│ │700 │0,109146 │0,143061 │7,14901 │0,904808│-0,0329673 │-1,42746 │0,0636667 │-15,5258│-6,61089│-0,0700912 │
├─────┼────┼─────────┼───────────┼────────┼────────┼───────────┼─────────┼───────────┼────────┼────────┼───────────┤
│24 │350 │0,288323 │-0,00569828│4,1595 │0,666897│0,0138527 │-0,670441│0,0781109 │-4,67348│-3,26504│-0,0126404 │
│ ├────┼─────────┼───────────┼────────┼────────┼───────────┼─────────┼───────────┼────────┼────────┼───────────┤
│ │525 │0,142516 │0,100557 │6,45478 │0,850689│-0,0172207 │-1,28506 │0,0706558 │-11,9223│-5,54914│-0,0573195 │
│ ├────┼─────────┼───────────┼────────┼────────┼───────────┼─────────┼───────────┼────────┼────────┼───────────┤
│ │700 │0,11202 │0,125882 │7,27794 │0,889934│-0,0276032 │-1,4755 │0,0792957 │-15,7098│-6,70937│-0,0557037 │
├─────┼────┼─────────┼───────────┼────────┼────────┼───────────┼─────────┼───────────┼────────┼────────┼───────────┤
│25 │350 │0,291063 │-0,0231397 │4,24417 │0,660817│0,0192486 │-0,704759│0,0906374 │-4,64742│-3,33017│-0,00946061│
│ ├────┼─────────┼───────────┼────────┼────────┼───────────┼─────────┼───────────┼────────┼────────┼───────────┤
│ │525 │0,146005 │0,0817492 │6,57955 │0,836235│-0,0114513 │-1,32536 │0,0870254 │-12,0943│-5,64576│-0,0456821 │
│ ├────┼─────────┼───────────┼────────┼────────┼───────────┼─────────┼───────────┼────────┼────────┼───────────┤
│ │700 │0,115517 │0,10699 │7,41319 │0,87265 │-0,0217419 │-1,52595 │0,0975969 │-15,9098│-6,80591│-0,0412057 │
├─────┼────┼─────────┼───────────┼────────┼────────┼───────────┼─────────┼───────────┼────────┼────────┼───────────┤
│26 │350 │0,294241 │-0,0414981 │4,33711 │0,651845│0,0247704 │-0,736203│0,104184 │-4,66713│-3,40364│0,00329069 │
│ ├────┼─────────┼───────────┼────────┼────────┼───────────┼─────────┼───────────┼────────┼────────┼───────────┤
│ │525 │0,148566 │0,0634212 │6,70571 │0,824869│-0,00567742│-1,37552 │0,102871 │-12,1475│-5,75281│0,0362423 │
│ ├────┼─────────┼───────────┼────────┼────────┼───────────┼─────────┼───────────┼────────┼────────┼───────────┤
│ │700 │0,11874 │0,0882494 │7,55408 │0,855578│-0,0157391 │-1,58441 │0,114478 │-16,0407│-6,90258│0,0253583 │
├─────┼────┼─────────┼───────────┼────────┼────────┼───────────┼─────────┼───────────┼────────┼────────┼───────────┤
│27 │350 │0,297344 │-0,0601432 │4,44678 │0,641355│0,0302568 │-0,771798│0,118944 │-4,75189│-3,4836 │0,00401697 │
│ ├────┼─────────┼───────────┼────────┼────────┼───────────┼─────────┼───────────┼────────┼────────┼───────────┤
│ │525 │0,152553 │0,0432665 │6,83465 │0,807066│0,000676794│-1,42661 │0,120538 │-12,2251│-5,84772│0,0205882 │
│ ├────┼─────────┼───────────┼────────┼────────┼───────────┼─────────┼───────────┼────────┼────────┼───────────┤
│ │700 │0,121939 │0,068755 │7,69163 │0,839169│-0,00960724│-1,64051 │0,132738 │-16,0916│-7,01722│0,0107523 │
├─────┼────┼─────────┼───────────┼────────┼────────┼───────────┼─────────┼───────────┼────────┼────────┼───────────┤
│28 │350 │0,300119 │-0,0789915 │4,54404 │0,633977│0,0358184 │-0,808045│0,133609 │-4,75198│-3,55697│0,00742987 │
│ ├────┼─────────┼───────────┼────────┼────────┼───────────┼─────────┼───────────┼────────┼────────┼───────────┤
│ │525 │0,15578 │0,0233484 │6,97356 │0,791067│0,00691001 │-1,48185 │0,138595 │-12,3106│-5,94808│0,00787868 │
│ ├────┼─────────┼───────────┼────────┼────────┼───────────┼─────────┼───────────┼────────┼────────┼───────────┤
│ │700 │0,125329 │0,0480101 │7,86067 │0,820148│-0,00303967│-1,70215 │0,152966 │-16,4226│-7,13024│0,00458591 │
├─────┼────┼─────────┼───────────┼────────┼────────┼───────────┼─────────┼───────────┼────────┼────────┼───────────┤
│29 │350 │0,304175 │-0,100093 │4,66538 │0,620108│0,0423899 │-0,850776│0,149262 │-4,82405│-3,63854│0,0178021 │
│ ├────┼─────────┼───────────┼────────┼────────┼───────────┼─────────┼───────────┼────────┼────────┼───────────┤
│ │525 │0,159187 │0,00185036 │7,13499 │0,773591│0,0138097 │-1,54537 │0,158125 │-12,4702│-6,06322│0,00668454 │
│ ├────┼─────────┼───────────┼────────┼────────┼───────────┼─────────┼───────────┼────────┼────────┼───────────┤
│ │700 │0,12929 │0,0263274 │8,03252 │0,796856│0,00392514 │-1,77649 │0,17458 │-16,5564│-7,25058│0,0261382 │
├─────┼────┼─────────┼───────────┼────────┼────────┼───────────┼─────────┼───────────┼────────┼────────┼───────────┤
│30 │350 │0,30802 │-0,121784 │4,79022 │0,607053│0,0490457 │-0,893936│0,166078 │-4,90078│-3,72512│0,0265131 │
│ ├────┼─────────┼───────────┼────────┼────────┼───────────┼─────────┼───────────┼────────┼────────┼───────────┤
│ │525 │0,162589 │-0,0205069 │7,31514 │0,755374│0,0210677 │-1,61276 │0,178391 │-12,74 │-6,18222│0,0198305 │
│ ├────┼─────────┼───────────┼────────┼────────┼───────────┼─────────┼───────────┼────────┼────────┼───────────┤
│ │700 │0,133152 │0,00373606 │8,21149 │0,774219│0,0113249 │-1,85115 │0,196332 │-16,7385│-7,37022│0,0456945 │
├─────┼────┼─────────┼───────────┼────────┼────────┼───────────┼─────────┼───────────┼────────┼────────┼───────────┤
│31 │350 │0,311394 │-0,14395 │4,92522 │0,59579 │0,0559224 │-0,944808│0,183383 │-4,9377 │-3,82793│0,0337646 │
│ ├────┼─────────┼───────────┼────────┼────────┼───────────┼─────────┼───────────┼────────┼────────┼───────────┤
│ │525 │0,166745 │-0,043958 │7,48446 │0,733692│0,0285785 │-1,68364 │0,200744 │-12,8048│-6,3054 │0,0373567 │
│ ├────┼─────────┼───────────┼────────┼────────┼───────────┼─────────┼───────────┼────────┼────────┼───────────┤
│ │700 │0,136698 │-0,0194014 │8,42871 │0,749452│0,0188257 │-1,9343 │0,219707 │-17,1456│-7,52365│0,0690469 │
├─────┼────┼─────────┼───────────┼────────┼────────┼───────────┼─────────┼───────────┼────────┼────────┼───────────┤
│32 │350 │0,315626 │-0,167126 │5,06688 │0,580317│0,0628984 │-0,998339│0,202417 │-4,99423│-3,92518│0,0437627 │
│ ├────┼─────────┼───────────┼────────┼────────┼───────────┼─────────┼───────────┼────────┼────────┼───────────┤
│ │525 │0,170703 │-0,068429 │7,68936 │0,709684│0,0366541 │-1,76401 │0,223493 │-13,0939│-6,43405│0,0577076 │
│ ├────┼─────────┼───────────┼────────┼────────┼───────────┼─────────┼───────────┼────────┼────────┼───────────┤
│ │700 │0,140949 │-0,0438525 │8,63506 │0,721232│0,0267804 │-2,0233 │0,245298 │-17,2902│-7,66533│0,0938205 │
├─────┼────┼─────────┼───────────┼────────┼────────┼───────────┼─────────┼───────────┼────────┼────────┼───────────┤
│33 │350 │0,320293 │-0,192536 │5,22556 │0,562833│0,071145 │-1,06172 │0,221858 │-5,03812│-4,03438│0,0560605 │
│ ├────┼─────────┼───────────┼────────┼────────┼───────────┼─────────┼───────────┼────────┼────────┼───────────┤
│ │525 │0,17483 │-0,0933565 │7,89445 │0,684806│0,0445838 │-1,85268 │0,248909 │-13,1895│-6,5826 │0,0768113 │
│ ├────┼─────────┼───────────┼────────┼────────┼───────────┼─────────┼───────────┼────────┼────────┼───────────┤
│ │700 │0,144928 │-0,0691556 │8,86525 │0,693179│0,0353304 │-2,12437 │0,270871 │-17,5263│-7,82024│0,118566 │
├─────┼────┼─────────┼───────────┼────────┼────────┼───────────┼─────────┼───────────┼────────┼────────┼───────────┤
│34 │350 │0,324563 │-0,218286 │5,39254 │0,546233│0,0792207 │-1,12699 │0,243151 │-5,08104│-4,15353│0,0665768 │
│ ├────┼─────────┼───────────┼────────┼────────┼───────────┼─────────┼───────────┼────────┼────────┼───────────┤
│ │525 │0,178739 │-0,119833 │8,12627 │0,65937 │0,0535149 │-1,95055 │0,273942 │-13,3965│-6,74146│0,0978321 │
│ ├────┼─────────┼───────────┼────────┼────────┼───────────┼─────────┼───────────┼────────┼────────┼───────────┤
│ │700 │0,149013 │-0,0952844 │9,11736 │0,661086│0,0439428 │-2,23289 │0,299306 │-17,8231│-7,98054│0,146367 │
├─────┼────┼─────────┼───────────┼────────┼────────┼───────────┼─────────┼───────────┼────────┼────────┼───────────┤
│35 │350 │0,329442 │-0,245838 │5,5779 │0,526393│0,0880921 │-1,20211 │0,265752 │-5,13086│-4,28243│0,079842 │
│ ├────┼─────────┼───────────┼────────┼────────┼───────────┼─────────┼───────────┼────────┼────────┼───────────┤
│ │525 │0,183068 │-0,147531 │8,37686 │0,629638│0,0627881 │-2,05897 │0,301879 │-13,5989│-6,90994│0,121781 │
│ ├────┼─────────┼───────────┼────────┼────────┼───────────┼─────────┼───────────┼────────┼────────┼───────────┤
│ │700 │0,153267 │-0,122748 │9,3941 │0,62589 │0,0531807 │-2,35513 │0,329592 │-18,1321│-8,15981│0,177338 │
├─────┼────┼─────────┼───────────┼────────┼────────┼───────────┼─────────┼───────────┼────────┼────────┼───────────┤
│36 │350 │0,334096 │-0,274439 │5,78355 │0,506059│0,0974158 │-1,28728 │0,289657 │-5,19922│-4,42081│0,0929313 │
│ ├────┼─────────┼───────────┼────────┼────────┼───────────┼─────────┼───────────┼────────┼────────┼───────────┤
│ │525 │0,187571 │-0,176556 │8,65113 │0,596722│0,0726004 │-2,17995 │0,331919 │-13,8087│-7,09365│0,148343 │
│ ├────┼─────────┼───────────┼────────┼────────┼───────────┼─────────┼───────────┼────────┼────────┼───────────┤
│ │700 │0,153636 │-0,151427 │9,69709 │0,587074│0,062916 │-2,49136 │0,362175 │-18,4588│-8,35485│0,211498 │
├─────┼────┼─────────┼───────────┼────────┼────────┼───────────┼─────────┼───────────┼────────┼────────┼───────────┤
│37 │350 │0,340309 │-0,30574 │6,00336 │0,479141│0,107764 │-1,38046 │0,315836 │-5,22169│-4,58003│0,112174 │
│ ├────┼─────────┼───────────┼────────┼────────┼───────────┼─────────┼───────────┼────────┼────────┼───────────┤
│ │525 │0,192273 │-0,207021 │8,95256 │0,560084│0,0830048 │-2,31562 │0,364374 │-14,0227│-7,29546│0,177981 │
│ ├────┼─────────┼───────────┼────────┼────────┼───────────┼─────────┼───────────┼────────┼────────┼───────────┤
│ │700 │0,157129 │-0,181407 │10,0302 │0,544039│0,0731912 │-2,64399 │0,397395 │-18,8000│-8,56881│0,249403 │
├─────┼────┼─────────┼───────────┼────────┼────────┼───────────┼─────────┼───────────┼────────┼────────┼───────────┤
│38 │350 │0,34596 │-0,33758 │6,24351 │0,452516│0,118211 │-1,48878 │0,344265 │-5,1966 │-4,74926│0,129294 │
│ ├────┼─────────┼───────────┼────────┼────────┼───────────┼─────────┼───────────┼────────┼────────┼───────────┤
│ │525 │0,197207 │-0,23906 │9,28537 │0,519049│0,0940646 │-2,46865 │0,399629 │-14,2359│-7,51903│0,211278 │
│ ├────┼─────────┼───────────┼────────┼────────┼───────────┼─────────┼───────────┼────────┼────────┼───────────┤
│ │700 │0,157563 │-0,212789 │10,398 │0,496042│0,084057 │-2,81595 │0,435674 │-19,1513│-8,80569│0,29175 │
├─────┼────┼─────────┼───────────┼────────┼────────┼───────────┼─────────┼───────────┼────────┼────────┼───────────┤
│39 │350 │0,352886 │-0,373476 │6,52684 │0,419281│0,13053 │-1,61141 │0,375364 │-5,28227│-4,94021│0,152593 │
│ ├────┼─────────┼───────────┼────────┼────────┼───────────┼─────────┼───────────┼────────┼────────┼───────────┤
│ │525 │0,202421 │-0,27284 │9,65477 │0,472767│0,105858 │-2,64237 │0,438171 │-14,4407│-7,76914│0,248979 │
│ ├────┼─────────┼───────────┼────────┼────────┼───────────┼─────────┼───────────┼────────┼────────┼───────────┤
│ │700 │0,153563 │-0,245699 │10,8064 │0,442146│0,0955745 │-3,01095 │0,477541 │-19,5045│-9,07085│0,33943 │
├─────┼────┼─────────┼───────────┼────────┼────────┼───────────┼─────────┼───────────┼────────┼────────┼───────────┤
│40 │350 │0,361301 │-0,411832 │6,31793 │0,381548│0,14363 │-1,75007 │0,409505 │-5,18805│-5,14776│0,177682 │
│ ├────┼─────────┼───────────┼────────┼────────┼───────────┼─────────┼───────────┼────────┼────────┼───────────┤
│ │525 │0,207986 │-0,308573 │10,0672 │0,420146│0,118482 │-2,84102 │0,480624 │-14,6255│-8,05213│0,292046 │
│ ├────┼─────────┼───────────┼────────┼────────┼───────────┼─────────┼───────────┼────────┼────────┼───────────┤
│ │700 │0,151568 │-0,280295 │11,2623 │0,381161│0,107821 │-3,23369 │0,523677 │-19,8476│-9,37139│0,393588 │
└─────┴────┴─────────┴───────────┴────────┴────────┴───────────┴─────────┴───────────┴────────┴────────┴───────────┘
Таблица Д.7
Расчетные значения условного модуля упругости
композитного слоя "зернистый материал + георешетка"
┌─────────────────────────────────┬──────────────────────────────┐
│ E' , кН/м │ E , E , МПа │
│ R │ 4 3 │
├─────────────────────────────────┼──────────────────────────────┤
│ 350 │ 1100 │
├─────────────────────────────────┼──────────────────────────────┤
│ 525 │ 1550 │
├─────────────────────────────────┼──────────────────────────────┤
│ 700 │ 1800 │
└─────────────────────────────────┴──────────────────────────────┘
ПРИМЕРЫ РАСЧЕТА ДОРОЖНЫХ ОДЕЖД ВРЕМЕННЫХ ДОРОГ
Пример N 1. Требуется запроектировать конструкцию дорожной одежды с покрытием из щебня для технологической дороги горнообогатительного комбината, возводимой во II дорожно-климатической зоне.
Исходные данные: местность по условиям увлажнения относится к 3-му типу; грунт земляного полотна - песок пылеватый

= 8 МПа, c = 0,007 МПа,

= 33°; материал покрытия - гранитный щебень, укладываемый по принципу заклинки,

= 130 МПа,

= 0,018 МН/м3.
Расчетная интенсивность движения

= 1500 автомобилей за расчетный период. Марка автомобиля - БелАЗ-7513 со следующими параметрами: давление на покрытие P = 0,6 МПа, расчетный диаметр следа колеса движущегося автомобиля D = 1,38 м.
1.1. Расчет дорожной одежды по величине деформации

,
где S - допускаемая вертикальная осадка поверхности покрытия, S = 0,06 x D = 0,06 x 1,38 ~= 0,083 м (допускаемая вертикальная деформация покрытия после 1500 проходов транспортного средства);
k - коэффициент, отражающий агрессивность повторных нагрузок, вызывающих нарастание колеи:

.
Значение требуемого модуля деформации выше минимально допустимого значения модуля деформации

= 30 МПа.
Принимается

= 40 МПа.
В первом приближении намечается однослойное покрытие из щебня толщиной, равной величине диаметра отпечатка задних колес (пневматиков) транспортного средства -

= 1,38 м.
Определение эквивалентного модуля деформации неармированной слоистой конструкции производится по
зависимости (А.4).

.
Примечание. Множитель

введен с целью перевода градусов в радианы.
Проверка выполнения условия прочности:

.
Полученный модуль

= 38 МПа ниже требуемого значения

= 40 МПа, поэтому необходимо изменить толщину покрытия, в данном случае увеличить ее.
Принимаем толщину дорожной одежды

= 1,60 м.

,

.
Условие прочности выполнено.
1.2. Расчет дорожной одежды по величине вертикального
давления на поверхность грунтового основания

,

,
где P - давление на покрытие от колеса, МПа;

- коэффициент, характеризующий убывание вертикальных напряжений в покрытии и определяемый по
зависимости (А.11).

,
где a = 1,0 - для неармированных дорожных одежд.
Допускаемые напряжения на поверхности грунтового основания для неармированной дорожной одежды определяются по
зависимости (А.12).

.
Действующие вертикальные напряжения на поверхности грунтового основания меньше допускаемых напряжений.
Проверка выполнения условия прочности:

.
Условие прочности выполнено.
Таким образом, требуемая толщина щебеночного покрытия

составляет 1,60 м.
Пример N 2. Исходные данные те же, что в
примере N 1. Требуется определить толщину дорожной одежды, если применить в конструкции в качестве материала армирования полипропиленовые двухосноориентированные георешетки СД-40 (прочность на разрыв не менее 40 кН/м).
2.1. Расчет дорожной одежды по величине деформации
Предварительно принимаем толщину армированной дорожной одежды из щебня

= 0,80 м.
Определение эквивалентного модуля деформации армированной дорожной одежды производится по
зависимости (А.5).

.

.
Проверка выполнения условия прочности:

.
Условие прочности выполнено.
Таким образом, по итогам расчета дорожной одежды по величине деформации применение георешетки СД-40 позволяет снизить толщину щебеночного покрытия с 1,60 м до 0,80 м.
2.2. Расчет дорожной одежды по величине вертикального
давления на поверхность грунтового основания
(при армировании георешеткой)

,
где

,

.
Проверка выполнения условия прочности:

.
Условие прочности выполнено.
Таким образом, действующие напряжения на поверхности грунта не превышают допускаемых напряжений.
2.3. Расчет армированной дорожной одежды по величине
относительной деформации георешетки
Значение относительной деформации георешеток

в конструкции определяется по
формуле (А.14).

.
Проверка выполнения условия прочности:

.
Относительная деформация георешетки СД-40 менее допустимого значения.
Условие прочности выполнено.
Выводы: определяющим критерием для выбора толщины дорожной одежды в данном примере явилась величина допускаемой деформации. Таким образом, принимается толщина покрытия из щебня 1,60 м и 0,80 м - без армирования и с армированием георешеткой СД-40 соответственно.
Пример N 3. Требуется запроектировать конструкцию дорожной одежды с покрытием из щебня для временной автомобильной дороги, возводимой во II дорожно-климатической зоне. Исходные данные: местность по условиям увлажнения относится к 3-му типу; грунт земляного полотна - суглинки тяжелые пылеватые

= 9 МПа, c = 0,007 МПа,

= 15°; материал покрытия - гранитный щебень, укладываемый по принципу заклинки,

= 130 МПа,

= 0,018 МН/м3.
Расчетная интенсивность движения 1000 авт. за расчетный период. Марка автомобиля МАЗ 500 со следующими параметрами: давление на покрытие P = 0,6 МПа, расчетный диаметр следа колеса движущегося автомобиля D = 0,37 м.
3.1. Расчет дорожной одежды по величине деформации

,
где S - допускаемая вертикальная осадка поверхности покрытия, S = 0,054 x D (допускаемая вертикальная деформация покрытия после 1000 проходов транспортного средства - S ~= 0,02 м);
k - коэффициент, отражающий агрессивность повторных нагрузок, вызывающих нарастание колеи.

.
Значение требуемого модуля деформации выше минимально допустимого значения модуля деформации

= 30 МПа.
Принимается

~= 43 МПа.
В первом приближении намечается однослойное покрытие из щебня гранитного

= 0,42 м.
Определение эквивалентного модуля деформации неармированной слоистой конструкции производится по
зависимости (А.4).

.
Примечание. Множитель

введен с целью перевода градусов в радианы.
Проверка выполнения условия прочности:

.
Условие прочности выполнено.
Принимаем толщину дорожной одежды

= 0,42 м.
3.2. Расчет дорожной одежды по величине вертикального
давления на поверхность грунтового основания

,

,
где a = 1,0 - для неармированных дорожных одежд.
Допускаемые напряжения на поверхность грунтового основания для неармированной дорожной одежды определяются по
зависимости (А.12):

.
Проверка выполнения условия прочности:

.
Действующие вертикальные напряжения на поверхности грунтового основания и допускаемые напряжения практически равны между собой.
Условие прочности выполнено.
Таким образом, толщина дорожной одежды

= 0,42 м удовлетворяет всем критериям прочности.
Пример N 4. Исходные данные те же, что в
примере N 3. Требуется определить толщину дорожной одежды, если применить в конструкции в качестве материала армирования полипропиленовые двухосноориентированные георешетки СД-30 (прочность на разрыв не менее 30 кН/м).
4.1. Расчет дорожной одежды по величине деформации
Принимаем толщину армированной дорожной одежды

= 0,20 м.
Определение эквивалентного модуля деформации армированной дорожной одежды производится по
зависимости (А.5).

.

.
Проверка выполнения условия прочности;

.
Условие прочности выполнено.
Таким образом, по итогам расчета дорожной одежды по величине деформации применение георешетки СД-30 позволяет снизить толщину щебеночного покрытия с 0,42 м до 0,20 м.
4.2. Расчет дорожной одежды по величине вертикального
давления на поверхность грунтового основания

,

,

.
Проверка выполнения условия прочности:

.
Условие прочности не выполнено.
Увеличиваем толщину щебеночного слоя до 0,32 м и применяем в конструкции дорожной одежды георешетку СД-40.

;

;

.
Проверка выполнения условия прочности:

.
Условие прочности выполнено.
4.3. Расчет армированной дорожной одежды по величине
относительной деформации георешетки
Значение относительной деформации георешеток

в конструкции определяется по
формуле (А.14).

.
Проверка выполнения условия прочности:

.
Относительная деформация СД-40 менее допустимого значения, равного 0,1.
Условие прочности выполнено.
Выводы по
примеру 4: определяющим критерием для выбора толщины дорожной одежды в данном примере явилась величина допускаемых напряжений в грунте. Таким образом, принимается покрытие из щебня толщиной 0,32 м с армированием георешеткой СД-40 (георешетка укладывается между щебеночным слоем и подстилающим грунтом).
Пример N 5. Исходные данные те же, что в
примере N 1, за исключением расчетной интенсивности движения, которая равна 500 авт. за расчетный период. Требуется определить толщину дорожной одежды, если применить в конструкции в качестве материала армирования полипропиленовые двухосноориентированные георешетки СД-40 (прочность на разрыв не менее 40 кН/м).
5.1 Расчет дорожной одежды по величине деформации

,

.
Принимаем

= 36 МПа.
Рассмотрим двухслойную конструкцию дорожной одежды. Верхний слой покрытия - ПГС (

= 90 МПа,

= 0,018 МН/м3); нижний слой - щебень (

= 130 МПа,

= 0,018 МН/м3), армированный георешеткой СД-40 (георешетка укладывается между слоем щебня и подстилающим грунтом). С целью экономии гранитного щебня назначаем толщину щебеночного слоя

= 0,15 м, а толщину слоя из ПГС -

= 0,40 м.
В первую очередь определим модуль деформации дорожной одежды как средневзвешенный модуль деформации двухслойной системы:

.
Определение эквивалентного модуля деформации армированной дорожной одежды производится по
зависимости (А.5).

.

.
Проверка выполнения условия прочности:

.
Условие прочности выполнено.
5.2. Расчет дорожной одежды по величине вертикального
давления на поверхность грунтового основания

.

.

.
Проверка выполнения условия прочности:

.
Таким образом, действующие напряжения на поверхности грунта превышают допускаемые напряжения. Условие прочности не выполнено.
Увеличим толщину ПГС -

= 0,51 м и произведем перерасчет.

.

.

.
Проверка выполнения условия прочности:

.
Условие прочности выполнено.
Следовательно, общая толщина дорожной одежды должна быть не менее 0,66 м, исходя из выполнения условий двух критериев прочности.
5.3. Расчет армированной дорожной одежды по величине
относительной деформации георешетки
Значение относительной деформации георешеток

в конструкции определяется по
формуле (А.14).

.
Проверка выполнения условия прочности:

.
Относительная деформация менее допустимого значения, равного 0,1.
Условие прочности выполнено.
Выводы по
примеру 5: определяющим критерием для выбора толщины дорожной одежды в данном примере явилась величина допускаемых напряжений в грунте. Таким образом, принимается двухслойная дорожная одежда (верхний слой ПГС - 0,51 м, нижний слой щебень - 0,15 м, георешетка СД-40).
Пример N 6. Требуется запроектировать конструкцию дорожной одежды с покрытием из карьерного гравия без подбора состава для технологической (временной) дороги.
Исходные данные: местность по условиям увлажнения относится к 3-му типу; грунт земляного полотна - суглинки тяжелые пылеватые

= 8 МПа, c = 0,007 МПа,

= 15°, материал покрытия - карьерный гравий без подбора состава,

= 80 МПа,

= 0,018 МН/м3.
Расчетная интенсивность движения - 500 авт. за расчетный период. Марка автомобиля - МАЗ 500 - со следующими параметрами: давление на покрытие P = 0,6 МПа, расчетный диаметр следа колеса движущегося автомобиля D = 0,37 м.
6.1. Расчет дорожной одежды по величине деформации

,
где S - допускаемая вертикальная осадка поверхности покрытия,

(допускается вертикальная деформация покрытия после 500 проходов транспортного средства ~= 2,2 см);
k - коэффициент, отражающий агрессивность повторных нагрузок, вызывающих нарастание колеи:

.
Значение требуемого модуля деформации выше минимально допустимого значения модуля деформации

= 30 МПа.
Принимается

= 36 МПа.
В первом приближении намечается однослойное покрытие

= 0,50 м.
Определение эквивалентного модуля деформации неармированной конструкции производится по
зависимости (А.4).

.
Примечание. Множитель

введен с целью перевода градусов в радианы.
Проверка выполнения условия прочности:

.
Условие прочности выполнено.
6.2. Расчет дорожной одежды по величине вертикального
давления на поверхность грунтового основания

.
Коэффициент

, характеризующий убывание вертикальных напряжений в покрытии, определяется по
зависимости (А.11).

,
где a = 1,0 - для неармированных дорожных одежд.
Допускаемые напряжения на поверхности грунтового основания для неармированной дорожной одежды определяются по
зависимости (А.12).

.
Проверка выполнения условия прочности:

.
Действующие вертикальные напряжения на поверхности грунтового основания меньше допускаемых напряжений.
Условие прочности выполнено.
Таким образом, требуемая толщина покрытия

составляет 0,50 м.
Пример N 7. Исходные данные те же, что в
примере N 6. Требуется определить толщину дорожной одежды, если применить в конструкции в качестве армирующего материала полипропиленовые двуосноориентированные георешетки СД-30 (прочность на разрыв не менее 30 кН/м). Так как в качестве материала покрытия выбран карьерный гравий без подбора состава, то необходимо в конструкции дорожной одежды под георешеткой расположить полотнища геотекстиля плотностью не менее 200 г/м2 (на подстилающий грунт укладывается сначала геотекстиль, а далее - георешетка).
7.1. Расчет дорожной одежды по величине деформации
Принимаем толщину армированной дорожной одежды

= 0,30 м.
Определение эквивалентного модуля деформации армированной дорожной одежды производится по
зависимости (А.5).

.
Коэффициент упрочнения следует определять по
зависимости (А.7), уменьшив его значение на 10%.

.
Проверка выполнения условия прочности:

.
Условие прочности выполнено.
Таким образом, по итогам расчета дорожной одежды по величине деформации применение георешетки СД-30 позволяет снизить толщину щебеночного покрытия с 0,50 м до 0,30 м.
7.2. Расчет дорожной одежды по величине вертикального
давления на поверхность грунтового основания

.

.

.
Проверка выполнения условия прочности:

.
Условие прочности не выполнено.
Увеличиваем толщину щебеночного слоя до 0,365 м и применяем в конструкции дорожной одежды георешетку СД-40.

.

.

.
Проверка выполнения условия прочности:

.
Условие прочности выполнено.
7.3. Расчет армированной дорожной одежды по величине
относительной деформации георешетки
Значение относительной деформации георешеток

в конструкции определяется по
формуле (А.14).

.
Проверка выполнения условия прочности:

.
Относительная деформация СД-40 менее допустимого значения, равного 0,1.
Условие прочности выполнено.
Выводы по
примеру 7: определяющим критерием для выбора толщины дорожной одежды в данном примере явилась величина допускаемых напряжений в грунте.
Таким образом, принимается толщина покрытия 0,36 м, георешетка СД-40 и геотекстиль плотностью не менее 200 г/м2.