Главная // Актуальные документы // Методические рекомендацииСПРАВКА
Источник публикации
М.: ФГБУ "Информавтодор", 2022
Примечание к документу
Текст документа приведен в соответствии с публикацией на сайте https://rosavtodor.gov.ru/ по состоянию на 11.04.2022.
Документ рекомендован к применению с 11.09.2020
Распоряжением Росавтодора от 11.09.2020 N 2849-р.
Название документа
"ОДМ 218.2.110-2020. Отраслевой дорожный методический документ. Методические рекомендации по гидравлическим расчетам спиральновитых металлических гофрированных труб"
(издан на основании Распоряжения Росавтодора от 11.09.2020 N 2849-р)
"ОДМ 218.2.110-2020. Отраслевой дорожный методический документ. Методические рекомендации по гидравлическим расчетам спиральновитых металлических гофрированных труб"
(издан на основании Распоряжения Росавтодора от 11.09.2020 N 2849-р)
дорожного агентства
от 11 сентября 2020 г. N 2849-р
ОТРАСЛЕВОЙ ДОРОЖНЫЙ МЕТОДИЧЕСКИЙ ДОКУМЕНТ
МЕТОДИЧЕСКИЕ РЕКОМЕНДАЦИИ
ПО ГИДРАВЛИЧЕСКИМ РАСЧЕТАМ СПИРАЛЬНОВИТЫХ
МЕТАЛЛИЧЕСКИХ ГОФРИРОВАННЫХ ТРУБ
ОДМ 218.2.110-2020
1 РАЗРАБОТАН обществом с ограниченной ответственностью "Мегатех инжиниринг" (ООО "Мегатех инжиниринг") совместно с обществом с ограниченной ответственностью "ДорГеоТех" (ООО "ДорГеоТех").
2 ВНЕСЕН Управлением научно-технических исследований и информационного обеспечения Федерального дорожного агентства.
3 ИЗДАН на основании
распоряжения Федерального дорожного агентства от 11.09.2020 N 2849-р.
4 ИМЕЕТ РЕКОМЕНДАТЕЛЬНЫЙ ХАРАКТЕР.
5 ВВЕДЕН ВПЕРВЫЕ.
Настоящий отраслевой дорожный методический документ (далее - методический документ) распространяется на водопропускные трубы автомобильных дорог и содержит методику гидравлических расчетов водопропускных спиральновитых металлических гофрированных труб (СВМГТ) с размерами гофра 125 x 26 и 68 x 13 мм.
В настоящем методическом документе использованы нормативные ссылки на следующие документы:
Технический
регламент Таможенного союза "Безопасность автомобильных дорог" (ТР ТС 014/2011)
ГОСТ 32871-2014 Дороги автомобильные общего пользования. Трубы дорожные водопропускные. Технические требования
ГОСТ Р 58654-2019 Дороги автомобильные общего пользования. Трубы металлические гофрированные спиральновитые. Технические условия
СП 22.13330.2016 Основания зданий и сооружений (актуализированная редакция СНиП 2.02.01-83*)
СП 34.13330.2012 Автомобильные дороги (актуализированная редакция СНиП 2.05.02-85*)
СП 100.13330.2016 Мелиоративные системы и сооружения (актуализированная редакция СНиП 2.06.03-85)
В настоящем методическом документе применены следующие термины с соответствующими определениями:
3.1 гидравлические расчеты: Комплекс расчетных действий с целью определения основных конструктивных и геометрических характеристик водопропускного сооружения.
3.2 отверстие трубы: Диаметр по внутренней поверхности трубы.
3.3 гидрологические характеристики: Количественные оценки элементов гидрологического режима.
3.4 расчетный расход: Расход воды заданной вероятности превышения, принимаемый в качестве исходного значения для определения параметров проектируемого сооружения.
3.5 пропускная способность: Способность трубы пропустить расчетный расход.
3.6 подпор: Местное повышение уровня воды в реке вследствие стеснения потока водопропускным сооружением, изменяющего естественные условия протекания.
3.7 безнапорный режим: Движение потока жидкости со свободной поверхностью; определяется постоянным давлением на свободную поверхность, обычно равным атмосферному.
3.8 коэффициент шероховатости: Величина, численно характеризующая сопротивление, оказываемое поверхностью трубы протекающему потоку, интегральная характеристика гидравлических сопротивлений.
3.9 критическая глубина: Глубина потока, при которой удельная энергия сечения для заданного расхода достигает минимального значения.
3.10 нижний бьеф: Бьеф с низовой стороны водоподпорного сооружения (бьеф - часть водотока, примыкающая к водоподпорному сооружению).
4.1 Настоящий методический документ рекомендуется применять при проектировании нового строительства, реконструкции и ремонте водопропускных СВМГТ на автомобильных дорогах общего пользования.
4.2 В результате гидравлических расчетов водопропускных СВМГТ должны быть назначены основные размеры сооружения, обеспечивающие пропуск воды, надежность конструкции трубы, оголовков, русел и насыпи, реализация которых обеспечивает выполнение требований
ГОСТ 32871-2014,
ГОСТ Р 58654-2019,
ТР ТС 014/2011,
СП 35.13330.2011,
СП 34.13330.2012, а также рекомендаций
[1,
2].
4.3 Для водопропускных СВМГТ следует предусматривать безнапорный режим работы.
5 Классификация водопропускных труб на автомобильных дорогах общего пользования
Водопропускные трубы являются наиболее распространенным типом малых водопропускных сооружений. Ниже представлена классификация водопропускных СВМГТ
[3]:

по условиям гидравлической работы:
- равнинные трубы,
- косогорные трубы;

по характеру шероховатости внутренней поверхности:
- с гладким лотком,
- гофрированные, без лотка;

по влиянию длины трубы на пропускную способность:
- "короткие" в гидравлическом отношении,
- "длинные" в гидравлическом отношении.
6 Гидравлические расчеты равнинных труб
Для проведения гидравлических расчетов необходимы следующие исходные данные:
- расчетный расход;
- объем стока для гидрографа с наибольшим расходом;
- топографический план и поперечный профиль автомобильной дороги в месте проектируемой водопропускной трубы;
- информация о наличии существующих водопропускных сооружений на рассматриваемом водотоке.
- для автомобильных дорог категории I - 1%;
- категорий II, III, III-п, III-с и городских дорог - 2%;
- категорий IV, IV-п, V и внутренних хозяйственных дорог - 3%.
В районах с развитой сетью автомобильных дорог для труб при технико-экономическом обосновании вероятность превышения допускается принимать 2% вместо 1%, 3% вместо 2%, 5% вместо 3%, а для труб на дорогах категорий II-с и III-с - 10%.
Возвышение высшей точки внутренней поверхности трубы в любом поперечном сечении над поверхностью воды в трубе при максимальном расходе расчетного паводка и безнапорном режиме работы должно быть в свету согласно
СП 35.13330.2011 в круглых трубах высотой до 3,0 м - не менее 1/4 высоты трубы, свыше 3,0 м - не менее 0,75 м.
При определении глубины размыва и размеров укреплений расчетные расходы (для учета флуктуации исходных данных) увеличиваются на 30%.
6.2.1 Минимальный диаметр трубы D
, м, определяется по следующей формуле
[4]:

(1)
где Qр - расчетный расход принятой вероятности превышения, м3/с;
П
Q - параметр расхода, принимаемый по
таблице 1;
g - ускорение свободного падения, м/с2.
Параметр расхода П
Q выбирается из
таблицы 1 для соотношения

(условие безнапорного режима работы) в зависимости от принятого типа оголовка.
Таблица 1
Значение параметра расхода труб
Формула параметра расхода ПQ | Заполнение входного сечения  | Значение параметра расхода труб при типах входных оголовков |
Без оголовка (вертикальный срез) | Без оголовка (срез параллельно откосу) | Портальный с конусами |
| 0,75 | 0,275 | 0,355 | 0,275 |
1,0 | 0,415 | - | 0,440 |
Вычисленный по
формуле (1) диаметр D округляется в

сторону до 0,1 и принимается с учетом требований
СП 35.13330.2011 о минимальном отверстии трубы.
6.2.2 В зависимости от принятого диаметра уточняется параметр расхода по формуле

(2)
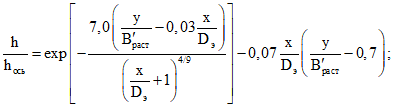
6.2.3 Глубина воды на входе в трубу определяется по графику на рисунке 1.
1 - труба без оголовка с вертикальным срезом;
2 - то же, без оголовка со срезом параллельно откосу насыпи
Рисунок 1 - График для определения глубины потока
на входе в трубу
6.2.4 Для определения типа трубы в гидравлическом отношении необходимо найти критический уклон по формуле

(3)
где

- площадь живого сечения потока, м
2, при критической глубине h
к, м;
| | ИС МЕГАНОРМ: примечание. Текст дан в соответствии с официальным текстом документа. | |
b
к - средняя ширина потока, м, при критической глубине h
к определяется по графику на
рисунке 2,

;
Rк - гидравлический радиус сечения потока при критической глубине hк, м;
- коэффициент Кориолиса, принимаемый равным 1,1;

- смоченный периметр сечения потока при критической глубине h
к, м;
Cк - коэффициент Шези, определяемый по формуле Павловского,

(4)

(5)
где n
- коэффициент шероховатости, принимаемый по
таблице 2.
Рисунок 2 - График для определения средней ширины потока
в сечении с критической глубиной в СВМГТ
Таблица 2
Коэффициенты шероховатости СВМГТ
Размер гофра СВМГТ, мм | 125 x 26 | 68 x 13 | Другие |
Коэффициент шероховатости | 0,0254 | 0,0203 | 0,030 |
При наличии гладкого лотка коэффициент шероховатости определяется по формуле

(6)
где

,
- части смоченного периметра сечения трубы, занимаемые соответственно лотковой частью и гофром, м;
n
лот, n
- коэффициент шероховатости материала соответственно лотка (n
лот = 0,015) и трубы (см.
таблицу 2).
Критическая глубина потока определяется по графику на
рисунке 3.
Рисунок 3 - График для определения
критической глубины потока
6.2.5 В зависимости от влияния длины трубы на пропускную способность различают "короткие" и "длинные" трубы. У "коротких" труб сжатое сечение не затоплено hс < hк, и общая длина их не оказывает влияния на пропускную способность. В "длинных" трубах сжатое сечение затоплено hс > hк, и на протяжении всей длины трубы сохраняется спокойный поток, вследствие чего сопротивления по длине трубы влияют на пропускную способность (рисунок 4):
- при i
т >= i
кр, а также с некоторым приближением при i
т < i
кр в случае, если

, труба считается гидравлически "короткой";
- при i
т < i
кр в случае, если

, труба считается гидравлически "длинной".
H - подпор; hт - высота трубы; hвх - глубина воды на входе;
hс - глубина в сжатом сечении; iт - уклон трубы;

- длина трубы
Рисунок 4 - Схема протекания воды в трубе
при безнапорном режиме
6.2.6 Подпор перед гидравлически "короткой" трубой Hкор, м, определяется по формуле

(7)
где m - коэффициент расхода при совершенном сжатии потока на входе, m = 0,33.
Значение коэффициента расхода, указанное выше, приведено для уклона трубы iт = 0,01. При уклоне, отличном от 0,01, для более точного расчета значение m следует увеличивать при iт > 0,01 или уменьшать при iт < 0,01 на 2% на каждую 0,01 уклона.
6.2.7 Подпор перед гидравлически "длинной" трубой в безнапорном режиме Hдл, м, определяется по формуле

(8)
6.2.8 Выполняются следующие проверки уровня подпора:
- возвышение бровки земляного полотна по продольному профилю трассы в границах бассейна водосбора: не менее чем на 0,5 м;
- отсутствие перелива воды в соседний бассейн - проверяется по поперечному профилю земляного полотна автодороги в местах водоразделов;
- при наличии вблизи труб инженерных сооружений, зданий и сельскохозяйственных угодий необходимо проверить их безопасность от подтопления вследствие подпора воды перед сооружением, при этом целесообразно проверить влияние повышенного уровня грунтовых вод;
- при наличии в непосредственной близости автомобильной или железной дороги с водопропускным сооружением, расположенным на том же водотоке, следует оценить взаимное влияние уровней подпертых вод на режим работы соседнего сооружения. Расчет взаимного влияния труб, расположенных каскадом, приведен в
разделе 9.
В случае невыполнения проверок производится увеличение отверстия трубы, и расчет повторяется.
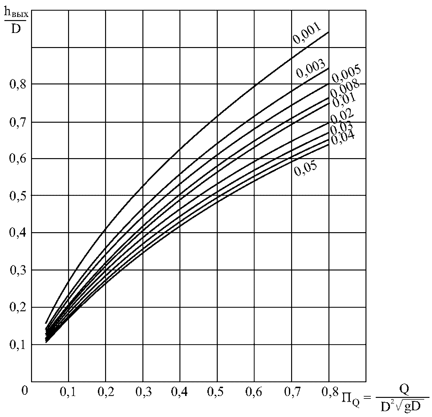
6.2.9 Глубина воды на выходе из трубы определяется по следующей формуле либо по графику
(рисунок 5):

(9)
Рисунок 5 - График для определения глубины потока
на выходе из трубы
(цифры на кривых соответствуют уклону трубы)
6.2.10 Скорости на выходе из труб

, м/с, вычисляются по формуле

(10)
где Q - расчетный расход, м3/с;

- площадь живого сечения потока на выходе из трубы, м
2.
6.2.11 Пропускную способность гофрированных многоочковых труб при условии их раздвижки на величину не менее 0,25D определяют как сумму отдельно работающих одноочковых труб. Расчет многоочковых труб аналогичен расчету одноочковых, при этом расход каждой трубы принимают

, где N
т - число труб.
7 Гидравлические расчеты косогорных труб
7.1 К косогорным относятся трубы, устраиваемые при пересечении дорогами логов и водотоков со средним уклоном на участке трубы от 0,02 и более. Укладку металлических гофрированных труб рекомендуется производить с уклонами не более 0,03. Для обоснования индивидуальных проектных решений по увеличению уклона СВМГТ свыше 0,03 до 0,05 необходимо выполнять технико-экономические расчеты. Уклон по лотку СВМГТ не должен превышать 0,05
[1].
7.2 На косогорах СВМГТ надлежит укладывать на естественное основание с уклоном, близким уклону лога, либо на отсыпке земляного полотна из скального грунта, устойчивого против выветривания в теле насыпи, с расположением выхода из трубы выше дна лога с устройством бермы из скального грунта.
7.3 Исходя из этого, возможны несколько вариантов проектирования косогорных труб:
- трубы уложены на местности с уклоном более 0,02 до 0,03, на входе в которые поток находится в спокойном состоянии. Это возможно либо при отсутствии подводящих быстротоков, либо при наличии за быстротоком перед трубой водоприемного колодца. Для такого типа косогорных труб пропускная способность определяется как для равнинных (см.
раздел 6);
- при больших уклонах лога трубы укладывают на подсыпку со сбросом потока на укрепленные откосы насыпи или на отсыпку из камня, расположенную в низовой части насыпи. Пропускная способность определяется как для равнинных труб (см.
раздел 6). Отличие заключается в расчетах нижнего бьефа (
подраздел 8.6).
8 Гидравлические расчеты нижнего бьефа
8.1 Классификация выходных русел и принципы их расчета
8.1.1 Под расчетами нижнего бьефа дорожных водопропускных сооружений понимают расчет комплекса устройств, находящихся за выходными оголовками труб. Эти устройства будут в дальнейшем определены как выходные русла в отличие от естественного выходного лога. Выходные русла включают укрепления с концевыми частями, гасители и каменную наброску
[4].
8.1.2 При расчете нижних бьефов могут встретиться два основных случая:
- выходное русло размываемое, т.е. сопряжение его с бытовым логом происходит с образованием воронки размыва в конце сравнительно короткого укрепления;
- выходное русло неразмываемое на всем протяжении потока до створа с бытовыми характеристиками. В этом случае за выходным сечением сооружения устраивают укрепленный канал.
Наиболее распространенным в практике проектирования является размываемое выходное русло.
8.1.3 Выходные русла, которые используются или могут быть использованы в малых дорожных водопропускных сооружениях, по характеру связи между элементами делят на две основные группы:
- с укреплениями из связанных между собой элементов;
- из не связанных между собой элементов.
В свою очередь, по возможности деформаций под воздействием потока выходные русла первой группы подразделяются на выходные русла с жесткими (недеформируемыми) и с гибкими (деформируемыми) укреплениями.
В качестве примеров выходных русел из связанных между собой элементов с жесткими недеформируемыми укреплениями можно привести выходные русла из монолитного бетона, омоноличенных бетонных или железобетонных плит, блоков и мощения. Примером выходных русел той же группы, но с гибкими деформируемыми укреплениями могут служить габионные конструкции.
Выходные русла из не связанных между собой элементов в основном имеют укрепления из каменной наброски, состоящей как из однородных, так и неоднородных элементов. Можно также использовать и специально изготовленные не связанные между собой элементы из достаточно прочных морозостойких материалов. К ним же относятся выходные русла без укреплений.
8.1.4 Для расчета все выходные русла, приведенные в классификации, должны быть отнесены к определенному типу, позволяющему конкретизировать расчетную схему, устанавливать гидравлические характеристики (глубины и скорости) и определять возможность деформаций укрепления и глубину размыва за ним.
8.1.5 Для защиты нижних бьефов от размыва при применении выходных русел из связанных между собой элементов с жесткими укреплениями рекомендуется использовать следующие три основных типа, которые приведены на
рисунке 6. Они в основном и применяются в практике дорожного строительства [
4,
5].
а - тип 1; б - тип 2; в - тип 3;
1 - укрепление; 2 - предохранительный откос;
3 - вертикальная стенка; 4 - ребро в конце укрепления;
5 - каменная наброска;
Dэ - эквивалентный диаметр; B - общая длина укрепления;
L - длина укрепления до концевой части
Рисунок 6 - Типы выходных русел
8.1.6 Для расчета выходных русел с укреплениями, состоящими из не связанных между собой элементов, рекомендуются три типа выходных русел, которые даны на
рисунке 7 [
4,
6].
а - тип I; б - тип II; в - тип III; 1 - укрепление
из наброски; 2 - щебеночная подготовка; 3 - обратная
засыпка грунта; 4 - рисберма;

- толщина наброски;
hук - глубина заложения укрепления; hрисб - высота рисбермы;
B1, B2 и Bук - ширина соответственно в начале, в конце
и у концевой части укрепления
Рисунок 7 - Типы выходных русел из каменной наброски
Последовательность применения выходных русел, представленных на
рисунке 7, также соответствует нумерации I, II и III. При этом выходное русло типа I используют, если глубина размыва не превышает толщины укрепления (толщины слоя наброски). В противном случае уменьшают глубину размыва размещением за укреплением каменной наброски из более мелкого материала, чем камень укрепления, т.е. применяют выходное русло типа II. При этом вновь добиваются условия, чтобы глубина размыва не превышала толщины укрепления. Если и в этом случае указанное условие не выдержано, то применяют выходное русло типа III.
Обычно эта группа выходных русел используется при скоростях течения на выходе из труб

.
8.1.7 Исходными данными для расчетов нижних бьефов СВМГТ являются:
- характеристики водопропускного сооружения (отверстие, тип выходного оголовка, уклон лотка);
- расходы воды в сооружении;
- гидравлические характеристики на выходе из сооружений (глубины и скорости потока);
- характеристика бытового лога - форма сечения, уклон, грунты (связные или несвязные); для связных приводится величина сцепления, для несвязных - гранулометрический состав; пробы грунтов должны обеспечить получение указанных выше грунтовых характеристик по всей глубине, но не менее 2 м;
- наличие нижерасположенных сооружений на соседних дорогах или на других объектах, влияющих на гидравлическую работу рассчитываемых сооружений;
- другие данные, оказывающие влияние на гидравлический расчет сооружений.
8.1.8 Расчеты нижних бьефов водопропускных СВМГТ для принятого типа выходных русел включают следующее:
- определение гидравлических характеристик потока в выходных руслах и за ними: глубин, скоростей и характера растекания потока на укреплении;
- оценку устойчивости укреплений и величину их деформаций (для выходных русел из не связанных между собой элементов);
- нахождение глубин размыва за укреплениями;
- определение размеров укреплений и глубин заложения их концевых частей.
8.2 Определение гидравлических характеристик потока на укреплении
8.2.1 При уклонах лога i
л <= 0,02 гидравлические характеристики потока на укреплении определяют по следующим зависимостям.
Максимальную скорость на укреплении принимают по формуле

. (11)
Средние глубины потока в конце укрепления длиной L = (2 - 6)Dэ вычисляют по формуле
где D
э - эквивалентный диаметр (эквивалентное отверстие), м, представляющий собой диаметр круга, равновеликого по площади поперечному сечению сооружения

, м
2, для многоочковых труб эквивалентный диаметр определяют по суммарной площади очков

.
Ширину растекания потока Bраст, м, на укреплении в створе, расположенном на расстоянии x от конца оголовка (при безоголовочном исполнении от конца трубы), находят по зависимости

(13)
где bр - ширина оголовка в конце, м;
z - показатель степени

(14)
K
- коэффициент формы воронки размыва, определяемый по графику на
рисунке 8;
Qк - эталонный расход, м3/с,

.
1 - L/Дэ = 1; 2 - L/Дэ = 2; 3 - L/Дэ = 4;
4 - L/Дэ = 10
Рисунок 8 - График для определения коэффициента
формы воронки размыва K
Приближенно в средних условиях при K = 0,8 и

показатель степени можно вычислить по формуле

(15)
8.2.2 Гидравлические характеристики потока на укреплении при уклонах лога i
л > 0,02 определяют по приводимым ниже формулам лишь при коэффициенте шероховатости укрепления n
укр = 0,013 - 0,016. В остальных случаях расчет следует проводить с помощью программных средств, основанных на математической модели протекания потока, приведенной в пособии
[4].
Принимают максимальную скорость на укреплении

. (16)
Скорости

на укреплении определяют из уравнения

(17)
где

- скорость на оси потока на расстоянии x от конца оголовка, м/с;
у - расстояние от оси потока (середины укрепления) до данной точки, м;

- половина ширины растекания, м.
Осевая скорость задается соотношением

(18)
Глубины на укреплении при

определяют из формул

(19)

(20)
Для упрощения расчетов величины

, h(x, y) можно определять по графикам. Графики для определения глубины потока h и глубин по оси потока h
ось на укреплении приведены на рисунках 9 и
10, скоростей потока

- на
рисунке 11.
Рисунок 9 - График для определения глубины потока h
на укреплении
(цифры на кривых соответствуют отношению x/Dэ)
Рисунок 10 - График для определения глубин
по оси потока hось на укреплении
(цифры на кривых соответствуют уклону лога)
Рисунок 11 - График для определения скоростей
потока

на укреплении
(цифры на кривых соответствуют отношению y/Bраст)
Ширина растекания потока на укреплении определяется по формуле
где M и N - параметры

(22)

(23)
Cукр - коэффициент Шези на укреплении

(24)
h
укр(к) - средняя глубина потока в конце укрепления, принимаемая по
формуле (12), м.
Для упрощения расчетов
формулу (21) можно записать следующим образом:

(25)
nд - коэффициент шероховатости дна;
0,015 - принятый в графике коэффициент шероховатости.
Рисунок 12 - График для определения параметра

(цифры на кривых соответствуют отношению iт/iл)
Рисунок 13 - График для определения параметра N
(цифры на кривых соответствуют параметру расхода)
Таблица 3
Поправочный коэффициент К
м
Dэ | Поправочный коэффициент Км при ПQ, равном |
0,1 | 0,2 | 0,4 | 0,8 |
1,00 | 0,91 | 0,93 | 0,96 | 0,99 |
1,25 | 1,12 | 1,14 | 1,18 | 1,22 |
1,50 | 1,32 | 1,34 | 1,39 | 1,44 |
2,00 | 1,72 | 1,75 | 1,81 | 1,87 |
2,50 | 2,11 | 2,16 | 2,23 | 2,30 |
3,00 | 2,49 | 2,55 | 2,63 | 2,71 |
3,50 | 2,87 | 2,93 | 3,02 | 3,12 |
4,00 | 3,24 | 3,32 | 3,42 | 3,52 |
4,50 | 3,61 | 3,69 | 3,81 | 3,93 |
5,00 | 3,98 | 4,06 | 4,20 | 4,33 |
8.3.1 Поток, попадая с укрепления на размываемый грунт лога, образует в нем воронку, приближенно имеющую в плане форму эллипса, в пространстве - эллиптического конуса (
рисунок 14а). Высота этого конуса, равная максимальной глубине размыва

за данное время, зависит от уклона, формы и размеров трубы; величины и продолжительности паводка; уклона, формы и характеристик грунтов лога. С увеличением продолжительности паводка

возрастает, достигая своей предельной величины

лишь за бесконечно большое время.
а - поверхностный режим протекания потока; б - то же,
донный; 1 - контур воронки размыва; 2 - контур канавы;
3 - границы растекания
Рисунок 14 - Характер деформаций и режимы протекания потока
в нижних бьефах труб
В настоящем методическом документе

является основной расчетной величиной, определяющей тип и размеры укреплений, а

используется как параметр в формуле для нахождения
.
8.3.2 В ряде случаев при уклонах лога i
л > 0,02 за воронкой размыва ниже по течению возможно образование промоины (канавы), которое приводит к увеличению глубины размыва на величину, равную глубине канавы на ее входе (
рисунок 14б). В зависимости от гидравлических характеристик потока, уклона и грунтов лога промоина может иметь либо ограниченный характер, либо развиваться на всем протяжении лога. В последнем случае необходимы специальные меры защиты, так как это угрожает сохранности водопропускного сооружения.
8.3.3 В воронке размыва возможны два режима протекания потока: поверхностный (см.
рисунок 14а) и донный (см.
рисунок 14б).
Донный режим характеризуется наличием поверхностного вальца и донного транзитного потока. Глубина размыва при этом режиме наибольшая.
Поверхностный режим характеризуется наличием донного вальца и поверхностного транзитного потока. Размыв при этом режиме существенно (в 1,5 - 2 раза) меньше, чем при донном. Устойчивый поверхностный режим может быть обеспечен лишь специальными устройствами, к числу которых относятся ребро в конце укрепления и гасители.
8.3.4 Для защиты нижнего бьефа от размывов рекомендуются три основных типа выходных русел, представленных на
рисунке 6. Тип 1 - это укрепление с концевой частью в виде предохранительного откоса, тип 2 - то же, с вертикальной стенкой, тип 3 отличается от типа 1 наличием ребра в конце укрепления.
Во всех типах выходных русел эффективно применение каменной наброски в концевых частях. Соответствующие номера типов выходных русел помечены индексом "к".
8.3.5 Максимальные глубины размыва при уклонах лога i
л <= 0,02 определяют по формулам:
а) в выходных руслах без каменной наброски

(26)
б) в выходных руслах с каменной наброской

(27)
где

и
- соответственно предельная и максимальная глубины размыва в заданном выходном русле при отсутствии каменной наброски (

указан в
пункте 8.3.7), м;

- коэффициент, учитывающий время прохождения паводка
(пункт 8.3.9);

- удельный объем каменной наброски на единицу ширины укрепления, м
3/м, со средним диаметром камня d
н, мм;
A - коэффициент, принимаемый в выходных руслах с вертикальной стенкой или предохранительным откосом в конце укрепления равным 0,13, в выходных руслах без них - 0,5;
Для эффективной работы камня в наброске объем его следует задавать в пределах

, а крупность - не менее полученной из выражения

(28)
Минимальный

и максимальный

удельные объемы камня определяют по формулам

(29)

(30)
При

расчет размыва следует производить без учета наброски.
При

глубину размыва вычисляют по формуле

(31)
8.3.6 Максимальные глубины размыва при уклонах лога iл > 0,02 определяют по формулам:
- в выходных руслах без каменной наброски

(32)
- в выходных руслах с каменной наброской

(33)
где

- глубина размыва выходного лога за счет возможного образования пробоины (канавы) в ее начале (
пункты 8.3.10 -
8.3.14), м.
При i
л > 0,02 минимальный объем камня в рисберме вычисляют по
формуле (29); поправку на избыток камня не вводят.
8.3.7 Предельные глубины размыва определяют по формуле

(34)
L - длина укрепления, м;
b - ширина отверстия сооружения; для одноочковых труб равна диаметру, для многоочковых труб - сумме отверстий очков, м;

- масштабный коэффициент; D
0 = 1 м;

- эталонный расход;

- коэффициент, учитывающий тип концевой части выходных русел; при наличии предохранительного откоса

, при наличии вертикальной стенки

, для выходных русел с ребром

независимо от наличия стенки, для укреплений в виде каменной наброски

;
r, S - соответственно коэффициент и показатель степени, значения которых для различных типов выходных русел приведены в
таблице 4;
S1 - показатель степени, равный 1, - для выходных русел из связных между собой элементов, 5/2 - для недеформируемых русел и 10/3 - для деформируемых и самоотмосток.
Таблица 4
Значения коэффициента r и показателя степени S
для различных типов выходных русел
Тип выходного русла | Коэффициент r | Показатель степени S | Относительный граничный расход (Q/Qк)гр |
1, 1к | 0,9 | 0,6 | Без ограничений |
2, 2к | 0,9 | 0,6 | То же |
3, 3к | 0,6 | 0,4 | 1,0 |
I, II, III | 1,0 | 0,6 | Без ограничений |
В последнем столбце
таблицы 4 даны граничные значения (Q/Q
к)
гр, при превышении которых в
формулу (34) вместо Q/Q
к должны подставляться эти значения.
8.3.8 При расчете размывов грунты в логе подразделяются на связные и несвязные. К несвязным грунтам относятся крупнообломочные и песчаные грунты, не обладающие свойством пластичности (раскатывания).
К связным относятся глинистые, суглинистые и супесчаные грунты с числом пластичности более 0,01, а также глинистые и песчаные грунты при степени заторфованности (содержании растительных остатков) более 10%.
Расчетный диаметр частиц однородного несвязного грунта d, мм, определяют по формуле

(35)
где Pi - содержание i-й фракции со средним диаметром частиц di, % по массе.
К однородным несвязным следует относить грунты, удовлетворяющие условию dmax/d <= 2, где dmax - средний диаметр крупных частиц, которые составляют 5% от массы грунта, или диаметр самой крупной фракции, если она составляет не менее 5% от массы грунта.
Расчетный диаметр связного грунта определяют по формуле
d = 7,5(0,1 + 100C
р), (36)
где C
р - расчетное сцепление, МПа, которое определяют на основании стандартных методов испытаний образцов в состоянии капиллярного водонасыщения при полной влагоемкости с учетом возможного (вероятного) отклонения значения сил сцепления от нормативных; для предварительных расчетов значение C
р для глинистых грунтов можно принимать по данным
СП 22.13330.2016, а для торфов - по таблице 5 пособия
[4].
8.3.9 Коэффициент

в
формуле (26) при пропуске постоянного расхода Q в течение времени рассчитывают по следующей формуле:

(37)
где

(38)
Причем в случае наличия гасителей граничные значения Q/Q
к находят по
таблице 4.
Для реальных гидрографов расчетное время определяется зависимостью
где W - объем стока за время паводка, м3.
Для более точного учета фактора времени, особенно при гидрографах сложной формы (многопиковых и т.п.), рекомендуется пользоваться методикой расчета, изложенной в приложении 7.3 пособия
[4].
Для определения значения

наряду с
формулой (37) можно пользоваться графиком, представленным на рисунке 15. Для приближенных расчетов можно принимать для несвязных грунтов

; для связных -

.
Рисунок 15 - График для определения относительной
глубины размыва
8.3.10 Глубину промоины определяют в такой последовательности. Вычисляют ширину потока B
нр, м, при которой скорость в логе равна неразмывающей, по формуле

(40)
Коэффициент шероховатости лога n
л определяют по
приложению М СП 100.13330.2016.
Для одернованных логов принимают

, а во всех остальных случаях вычисляют по следующей зависимости:

(41)
где d
э - эквивалентный диаметр грунта лога (см.
пункт 8.3.8), мм.
Величину Bнр сравнивают с шириной лога bл (для явно выраженного лога) либо с предельной шириной растекания потока на наклонной плоскости по формуле
Bраст(пр) = M + bр, (42)
Если Bнр > bл либо Bнр > Bраст(пр), то размыв дна лога может происходить на большой длине и сопровождаться значительным понижением отметок, в том числе и у концевой части укрепления.
В этом случае необходимо принимать специальные меры защиты: устраивать перепады, укреплять лог до его подошвы или на значительном протяжении.
В противном случае определяют положение створа x = Xнр, в котором прекращается размыв, и глубину потока hнр в нем

(43)

(44)

(45)
8.3.11 Производят расчет параметров (ширины и глубины потока) на входе в канаву. Вначале определяют максимальную глубину размыва

для случая отсутствия промоины (канавы) по
формуле (26). Затем находят (в первом приближении) расстояние от выхода из трубы до входа в канаву по формуле

(46)
где m - коэффициент заложения откоса укрепления.
Если X
кан > X
нр, то полагают

.
Вычисляют ширину растекания B
раст(кан) в створе начала канавы B
раст(кан) = B
раст(Xкан) по
формулам (21) -
(23).
Находят ширину bкан, м, и глубину hкан, м, потока на входе в канаву при стабилизации размыва по формулам

(47)

(48)
Если B
раст(кан) < b
кан, то принимают b
кан = B
раст(кан), а h
кан вычисляют по формуле (48), в противном случае к расчету принимают b
кан и h
кан, вычисленные по
формулам (47) и
(48).
8.3.12 Определяют среднюю глубину потока в канаве по формуле

(49)
8.3.13 Затем вычисляют глубину размыва канавы по формуле

(50)
где C - коэффициент Шези, который определяют при h = hкан(ср)

(51)
Коэффициент шероховатости канавы n
кан находят по
приложению М СП 100.13330.2016.
8.3.14 Вычисляют уточненное расстояние от выхода из трубы до входа в канаву по формуле

(52)
Если

, то заменяют X
кан на

и производят повторный расчет канавы.
Если

, то увеличивают отверстие сооружения либо принимают специальные меры защиты (устраивают перепады, консольные сбросы и т.п.).
8.4 Назначение основных размеров выходных русел
8.4.1 Исходными данными для назначения основных размеров выходных русел являются гидравлические характеристики потока в нижнем бьефе (глубины, скорости и границы растекания) и глубины размыва. В результате расчетов определяют длину и ширину укрепления на выходе из трубы, глубину заложения концевой части, мероприятия по уменьшению размывов за укреплением (гасители, размер каменной рисбермы и т.д.).
8.4.2 Расчет основных размеров выходных русел выполняют в такой последовательности.
1 Предварительно назначают тип выходного русла из числа рекомендованных (см.
рисунок 6) исходя из следующих соображений:

для полностью загруженных труб (т.е. работающих при расчетных заполнениях) рекомендуются типы 1к и 2к;

для недогруженных труб применяют типы 1 или 2;

в качестве вариантов для труб при расчетном заполнении и особенно при больших уклонах лога (i
л > 0,05) применяют типы 3 (3к).
2 Определяют глубины и скорости потока на выходе из труб и на укреплении согласно рекомендациям
главы 6.
3 Назначают тип и длину укреплений, принимая ее равной (из конструктивных соображений) L = (1,5 - 2,0)Dэ.
4 Определяют глубину размыва на выходе из труб. При глубине размыва

переходят на другой тип выходного русла, обеспечивающий снижение размыва, и расчет повторяют. При

увеличивают отверстие сооружения либо принимают специальные меры защиты.
5 Устанавливают глубину заделки концевой части.
6 Определяют ширину растекания потока.
7 Находят ширину укреплений и определяют их окончательные размеры.
8.4.3 Тип и материал укреплений устанавливают по величине максимальной скорости на укреплении, сравнивая ее с допускаемыми скоростями для укреплений, приведенными в таблице 2.9 пособия
[4].
8.4.4 Глубину заложения концевой части укрепления

, м, определяют по формуле

(53)
где
- максимальная глубина размыва в заданном выходном русле без учета размыва канавы применительно к конкретным гидравлическим условиям (характеру растекания, наличию каменной наброски, влиянию ширины лога), м;
m - коэффициент заложения откоса (для вертикальной стенки m = 0).
При

изменяют тип выходных русел.
8.4.6 Ширину укрепления на всей длине, за исключением концевой части (длину ее принимают равной 1 м), устанавливают по ширине растекания потока с запасом 1 м в каждую сторону.
Разрешается уменьшать ширину укрепления из жестких бетонных элементов, ограничив ее либо изолиниями скоростей на укреплении, равных допускаемым скоростям для грунтов выходного лога, либо заменив часть укрепления наброской из щебня или камня определенной крупности на участке, где скорости потока не превышают допускаемых для указанного материала. Такое сокращение ширины укрепления предусматривается на всей его длине, за исключением концевой части.
В качестве расчетной ширины укрепления в концевой его части принимают

из величин: ширину растекания B
раст в конце укрепления и B
min, определяемую по формуле

(54)
где Bmin - минимальная ширина укрепления, соответствующая ширине воронки размыва в створе конца укрепления;
K - коэффициент формы воронки размыва (см.
рисунок 8);

- коэффициент,

при предохранительном откосе и

при концевой части в виде вертикальной стенки.
После назначения ширины укрепления производят окончательную ее корректировку. Форма укрепления в плане может быть прямоугольной или трапецеидальной, причем с прямоугольными или ступенчатыми границами.
8.4.7 В выходных руслах с каменной наброской камень укладывают по всей ширине укрепления в приготовленный котлован так, чтобы верх его находился не менее чем на 0,5 м ниже поверхности земли. При уклонах лога iл > 0,02 и возможности образования промоины в выходном логе камень следует укладывать на 0,5 м ниже дна промоины у концевой части.
При назначении удельного объема камня в рисберме следует учесть, что за счет его варьирования можно существенно сократить глубину размыва.
8.4.8 Рациональные типы и размеры укреплений выбирают на основе технико-экономического сравнения вариантов выходных русел.
8.5 Особенности гидравлического расчета выходных русел с укреплениями из каменной наброски
8.5.1 Гидравлические расчеты выходных русел с укреплениями из каменной наброски включают:

оценку однородности каменного материала;

определение минимальной крупности однородного камня или проверку устойчивости неоднородной наброски по ее гранулометрическому составу;

нахождение толщины наброски - для недеформируемых выходных русел;

определение деформаций укреплений и установление на их основе минимальных плановых размеров укреплений для деформируемых выходных русел.
Дальнейшие расчеты выходных русел с укреплениями из каменной наброски (установление глубин размыва за укреплениями, глубин заложения их концевых частей, а также окончательное определение ширины укрепления) являются общими для всех типов выходных русел и были описаны в
подразделе 8.3. Однако в связи с некоторой спецификой указанных расчетов для выходных русел из каменной наброски они рассматриваются и в настоящем разделе с акцентированием на особенности расчета и ссылкой на общие формулы.
8.5.2 Рекомендуемые типы выходных русел с укреплениями из каменной наброски рассмотрены выше и изображены на
рисунке 7.
8.5.3 Гидравлические расчеты указанных выходных русел, общие для всех типов, выполняют в изложенной ниже последовательности. Специфические особенности каждого из типов описаны в соответствующих пунктах.
1 Устанавливают, является ли наброска однородной в отношении размыва из условия

(55)
где dн(max) - средний диаметр крупных частиц, которые составляют не менее 5% массы наброски, м;
dн - средний диаметр частиц наброски, м.
При несоблюдении
условия (55) каменная наброска неоднородна.
2 Для однородной наброски определяют минимальный диаметр ее частиц dн(доп), м, при котором укрепление будет устойчивым от размыва по формуле

(56)
3 Для неоднородной наброски, заданной своим гранулометрическим составом, устанавливают, будут ли устойчивы ее частицы под воздействием потока исходя из любого из двух приведенных ниже условий:

(57)

(58)
где Q - расход потока в сооружении, м3/с;
Q
пр,

- соответственно предельный расход, м
3/с, и предельная скорость, м/с, при которой наброска сохраняет устойчивость против размыва;
K - показатель степени,

;
Kог(Q) = 1,95 - коэффициент, учитывающий влияние на величину предельного расхода, при котором сохраняется устойчивость наброски;
Kнр - коэффициент неоднородности грунта, учитывающий влияние гранулометрического состава наброски на ее устойчивость,

(59)
d
н(м) и

- соответственно диаметр частиц, м, и весовое содержание самой мелкой фракции, которой в наброске содержится не менее 10%, т.е.

.
В случае если содержание мелкой фракции составляет менее 10%, под d
н(м) понимают средний диаметр частиц смеси, состоящей из самой мелкой фракции и последующих фракций, дополняющих ее до 10%, т.е.
;

(60)
где

, d
н(i) _ соответственно весовая доля и средний диаметр, м, фракций, дополняющих мелкую фракцию до 10%.
Если по
формуле (59) получают K
нр < 1, то принимают K
нр = 1.
При соблюдении
условий (57) и
(58) укрепление из неоднородной наброски будет устойчивым и неразмываемым. В противном случае укрепление будет размываемым и для определения его устойчивости выполняют дополнительные расчеты.
4 Определяют минимально допустимый диаметр частиц наброски d
н(доп) по
формуле (56), считая ее однородной.
5 Сравнивают полученный диаметр частиц наброски dн(доп) со средним диаметром частиц наиболее крупной фракции dн(max), содержащейся в ней.
При d
н(max) > d
н(доп) укрепление может работать как самоотмостка, а возможность применения его для заданного сооружения может быть определена специальным расчетом для данного типа укреплений
(пункт 8.5.7).
При dн(max) < dн(доп) наброска неустойчива и не может быть использована для защиты выходных русел сооружения от размыва. Ее требуется заменить наброской с частицами большей крупности или другим типом выходных русел.
8.5.4 Толщину слоя наброски

, м, при которой укрепление будет недеформируемым, определяют по формулам:
а) для наброски, состоящей из нескольких фракций,

(61)
где

- коэффициент, учитывающий влияние оголовка на глубину деформации наброски,

.
При

наброску считают однородной со средним диаметром частиц d
н(м), для чего в
формуле (61) условно принимают

;
б) для наброски, состоящей из одной фракции,

(62)
Для несвязных грунтов средний диаметр частиц отдельной фракции d, мм, определяют по формуле

(63)
где Pi - весовая доля фракции, %.
Для связных грунтов расчетный диаметр d, мм, определяют по
формуле (36).
Для наброски, состоящей из нескольких слоев различного гранулометрического состава (например, при наличии щебеночной подготовки), вместо dн подставляют эквивалентный диаметр

(64)
где d
н(1) и

, d
н(2) и

, ..., d
н(n) и

- соответственно средний диаметр и толщина первого, второго и n-го слоя наброски, м.
Полная толщина всех слоев наброски

.
По этой же
формуле (64) вычисляют для каждого слоя средний диаметр мелкой фракции d
нм(э), м.
8.5.5 Определяют размеры укрепления:
1) длину укрепления согласно рекомендациям (см.
пункт 8.4.2) по формуле
L = (1,5 - 2)Dэ;
3) размеры укрепления в плане, м, с учетом принятой длины укрепления:
- в створе на выходе из оголовка
B1 = bр + 2;
- в конце укрепления
B2 = bраст + 1;
где 2 м и 1 м - запас в ширине укрепления, назначаемый соответственно по 1 и 0,5 м с каждой стороны укрепления.
Далее определяют глубину размыва, глубину заложения концевой части и назначают ширину укрепления в этом месте согласно рекомендациям, изложенным ниже в
пункте 8.5.8.
8.5.6 Предельную глубину деформации укрепления

, м, на неразмываемых деформируемых выходных руслах за счет выноса грунта из-под него определяют по формулам:
а) для наброски, состоящей из нескольких фракций,

(65)
При

считают наброску однородной со средним диаметром частиц d
р(м), для чего в
формуле (65) условно принимают

;
б) для однородной наброски

(66)
При наличии в наброске слоев разного гранулометрического состава в
формулу (65) вместо d
н и d
н(м) подставляют d
н(э) и d
нм(э), определяемые по
формуле (64).
Толщиной слоя наброски

задаются, принимая ее равной не менее 2d
н.
Расстояние

, м, от выхода из трубы до месторасположения предельной глубины деформации укрепления вычисляют по формуле

(67)
Устанавливают предельную глубину деформации укрепления

, м, у выходного сечения сооружения по формуле

(68)
При

либо изменяют параметры укрепления из каменной наброски (толщину слоя, крупность камня и т.п.), либо применяют иной тип укрепления.
Определяют минимальные размеры укрепления (длину и ширину) в плане исходя из размеров воронки деформаций по формуле

(69)
Длину укрепления L, вычисленную по
формуле (69), принимают для дальнейшего расчета.
Назначают ширину укрепления, м:
а) в конце оголовка труб
B1 = bр + 2; (70)
б) в конце укрепления при

принимают B
2 по большему из значений B
1 и B, определяемую по
формуле (69); при

принимают B
2 по большему из значений B и B
раст, вычисляемую по
формуле (13) или
(21), но не менее B
1.
8.5.7 Последовательность расчетов выходных русел самоотмосток следующая.
1 Вычисляют параметр Nрасч по формуле

(71)
где

(72)

.
По гранулометрическому составу наброски вычисляют сначала средний диаметр первой (самой крупной) фракции (причем ее должно быть больше 5%, т.е.

), принимая его за d
от.
Сравнивают

с N
расч.
Если

, то в расчет включают следующую фракцию (или ее часть) и так продолжают до тех пор, пока не будет соблюдено условие

с точностью до 5%.
Если

для всех фракций, то отмостка не образуется и предельные глубины деформации определяют как для однородного грунта по
формуле (34), принимая

, а максимальные глубины - по
формулам (26),
(33).
Если для частиц самой крупной фракции, которых в наброске более 5%,

, то эти частицы определяют отмостку.
2 Находят максимальную глубину размыва в неоднородной наброске по формуле

(73)
где

- максимальная глубина размыва в наброске, м, со средним диаметром частиц d
от, определяемая по одной из
формул (27) или
(33) при

;

- предельная глубина размыва в наброске со средним диаметром частиц d
от, м, определяемая по
формуле (34) при

.
3 Принимают толщину слоя

, м, наброски в укреплении
При значительных глубинах размыва в выходном сечении сооружения

, вычисленных по
формуле (68), целесообразно выходные русла самоотмостки заменять на иные типы выходных русел.
8.5.8 Расчеты размыва за укреплениями, определение их размеров и глубины заделки концевых частей в выходных руслах из каменной наброски выполняют в следующей последовательности.
1 Определяют предельную глубину размыва в грунте лога за укреплением

по
формуле (34).
3 Сравнивают толщину наброски

с максимальной глубиной размыва

.
При

назначают выходное русло типа I (см.
рисунок 7), для которого принимается глубина заложения концевой части

, и дальнейший расчет ведут начиная с
номера 8 настоящего пункта.
При

за укреплением предполагают рисберму из камня размером

(выходное русло типа II) и продолжают расчет.
4 Определяют максимальную глубину размыва за укреплением при наличии рисбермы из каменной наброски по
формулам (31),
(33). При этом принимают удельный объем камня в рисберме

(исходя из крутизны откосов рисбермы: верхового 1:1, низового 1:1,5 и глубины

)
.
5 Сравнивают

с

. При

выходное русло типа II принято правильно, и глубина заложения концевой части укрепления равна
.
При

указанный тип выходного русла будет неустойчив, и его заменяют выходным руслом типа III.
6 Для случая

(выходное русло типа II) пересчитывают глубину рисбермы h
рисб, м, при глубине ее заложения

по формуле

(74)
Дальнейший расчет для этого типа русел ведут начиная с
номера 8 настоящего пункта.
7 Для случая

(выходное русло типа III) глубину заложения концевой части укрепления h
ук > h
рисб находят из уравнения

(75)
где M и N - коэффициенты

(76)

(77)
8 Рассчитывают ширину воронки размыва B
min в конце укрепления для всех типов выходных русел по
формуле (54) при

.
9 Сравнивают ширину воронки размыва B
min с шириной в конце укрепления B
1 (см.
пункт 8.5.6) и в качестве расчетной ширины укрепления в концевой его части B
ук принимают большее из этих значений.
Протяженность концевой части укрепления по длине (участок, имеющий ширину Bук) принимают равной 1 м.
При длине оставшейся части укрепления (без концевой части) менее 1 м назначают укрепление трапецеидальной формы в плане шириной на выходе из трубы B1 и в конце укрепления - Bук.
8.6 Выходные русла гофрированных труб, расположенных на подсыпке
8.6.1 Поток, выходящий из гофрированных труб, расположенных на подсыпке, сбрасывается либо на низовой откос, либо за ее подошву путем устройства консольного сброса (или, как вариант, рассеивающего трамплина), либо в нижний бьеф путем устройства шахтного сброса.
Расчет консольных сбросов и рассеивающих трамплинов приведен в главе 4 пособия
[4], а определение гидравлических характеристик потока в нижних бьефах шахтных сбросов может выполняться по тем же зависимостям, что и для укреплений за трубами, изложенным выше в настоящем разделе.
Особенности определения гидравлических характеристик потока при сбросе воды на низовой откос насыпи приведены ниже.
8.6.2 Возможны следующие варианты сброса потока на низовой откос насыпи:
а) непосредственно на укрепленный монолитным бетоном или омоноличенными плитами (
рисунок 16а);
б) на отсыпку из камня, расположенную в низовой части насыпи (
рисунок 16б).
а - при сбросе потока на укрепленный монолитным бетоном
или омоноличенными плитами откос; б - то же, на отсыпку
из камня, расположенную в низовой части насыпи;
1 - укрепленный откос; 2 - рисберма; 3 - каменная отсыпка
Рисунок 16 - Схемы укладки гофрированных косогорных труб
на насыпной грунт в теле насыпи
При сбросе потока на укрепленный откос насыпи или на отсыпку из камня для снижения динамического воздействия потока устраивают берму.
8.6.3 При сбросе потока на укрепленные откосы насыпи расчеты выполняют в следующей последовательности.
1 Определяют минимальный размер бермы вдоль потока Lб(min), м, по формуле, полученной из уравнения свободного падения тела,

(78)
где 1,2 - коэффициент запаса.
2 Находят ширину растекания потока на берме (эта ширина сохраняется на откосе насыпи) по формуле

(79)
где Bраст(б) - ширина растекания потока на берме в створе, проекция расстояния которого от выхода из трубы равна x, м;
D - диаметр трубы, м;
Lб - длина бермы вдоль потока, м;

, эталонный расход, т.е. расход, при прохождении которого критическая глубина в сооружении равна 0,75D
.
Ширину растекания потока на берме можно также определить по
зависимости (21), соответствующей уклону лога i
л > 0,02, так как на берме, за которой следует откос насыпи, водоотводные зоны, сжимающие поток, не образуются и кинематика потока соответствует указанному случаю.
По ширине растекания назначают ширину укрепления бермы.
3 Определяют скорости и глубины потока на сходе его с бермы по
зависимостям (17) -
(19) и назначают по этим характеристикам тип укрепления (таблица 2.9 пособия
[4]).
4 Находят глубины и скорости потока у подошвы откоса h
пд, м, либо на основе математической модели, либо с некоторым приближением вычисляют среднюю глубину потока по уравнению неравномерного движения (глава 2 пособия
[4]), считая ширину потока на откосе равной ширине растекания на сходе с бермы B
раст(б). Можно также (дополнительно) принять среднюю глубину потока у подошвы откоса равной нормальной глубине, считая сечение потока прямоугольным,

(80)
где n - коэффициент шероховатости укрепленного откоса.
При расчете средних глубин у подошвы откоса по уравнению неравномерного или равномерного движения скорости

, м/с, у подошвы откоса определяют по формуле

(81)
5 По скоростям и глубинам у подошвы откоса назначают тип укрепления откоса (таблица 2.9 пособия
[4]).
8.6.4 При отводе воды на берму и откос насыпи, отсыпанной из камня, гидравлические характеристики потока определяют, рассматривая подсыпку как фильтрующую насыпь, через которую сбрасывается поток в нижний бьеф
(рисунок 17). Расчет ведут в следующем порядке.
1 Определяют скорости на выходе из трубы

согласно рекомендациям
раздела 6.
2 Устанавливают, является ли наброска однородной или нет, и определяют ее устойчивость от размыва согласно
п. 8.5.3 по
формулам (55) -
(60).
3 Определяют минимальный размер бермы вдоль потока, при котором поток, вытекающий из трубы, не попадает непосредственно на откос, по
формуле (78).
4 Вычисляют ширину растекания потока на берме B
раст(б) по
формуле (79) с введением в нее понижающего коэффициента 0,6, учитывающего особенности работы каменной наброски по сравнению с бетонным укреплением. На откосе эта ширина сохраняется. Можно также определить ширину растекания потока на основе двухмерной математической модели или по
формуле (80).
1 - фильтрующий поток; 2 - поверхность воды для случая,
когда весь расход фильтруется через подсыпку; 3 - то же,
когда часть расхода сливается по откосу подсыпки;
4 - обратный фильтр; 5 - рисберма; 6 - экран
Рисунок 17 - Расчетная схема нижнего бьефа гофрированной
трубы, уложенной на подсыпке, при сбросе потока
непосредственно на каменную наброску
5 Назначают протяженность участка насыпи, отсыпанного из камня, - ширину фильтрующей части подсыпки bф. В первом приближении принимают bф = Bраст(б).
Далее каменная наброска рассматривается как фильтрующая насыпь (переливаемая или непереливаемая).
6 Определяют нормальную глубину фильтрационного потока h0, м, принимая его сечение прямоугольным и предполагая, что весь расход профильтруется через подсыпку по формуле

(82)
где mот(кос) - коэффициент заложения откоса косогора;
Kф - коэффициент фильтрации наброски.
Для однородной наброски коэффициент фильтрации K
ф определяют по таблице 8.1 пособия
[4], для неоднородной - по формуле

(83)
где Kф(одн) - коэффициент фильтрации для однородной наброски, имеющей диаметр частиц dн, равный среднему диаметру частиц неоднородной наброски;

,

- пористость соответственно однородной и неоднородной наброски.
Средний диаметр частиц наброски составляет:
где dн(i) - средний диаметр частиц отдельной фракции, м;
Pi - весовая доля фракции.
7 Находят глубину фильтрационного потока H в створе конца трубы (см.
рисунок 17) из уравнения

(84)
где

- проекция расстояния от конца трубы до точки пересечения откосов отсыпки и косогора в случае отсутствия подтопления со стороны нижнего бьефа или до створа, проходящего через урез воды в нижнем бьефе, при подтоплении;
, 
- функции относительных глубин соответственно в створе конца трубы

и конца подсыпки
, определяемые при прямоугольном сечении наброски по таблице 8.4 пособия
[4]; иные формы сечений приводят к прямоугольным (h
нб - глубина в нижнем бьефе в конце подсыпки).
При отсутствии подтопления со стороны нижнего бьефа (h
нб = 0)
уравнение (84) имеет вид

(85)
8 Определяют устойчивость низового откоса подсыпки из условия
где z - разность отметок уровней в створах конца трубы и конца подсыпки;
zпр - предельная разность, при превышении которой нарушается устойчивость откоса подсыпки.
В свою очередь

(87)

(88)
где

- угол естественного откоса каменной наброски, равный 35° - 36°;

;

- угол наклона низового откоса к горизонту, град.
При соблюдении
условия (86) расчет заканчивают, в противном случае уполаживают откос, вновь производят проверку
условия (86) и так продолжают до его удовлетворения.
9 Проверяют устойчивость основания насыпи от размыва при ламинарной фильтрации. Для этого сравнивают глубину H с предельной глубиной Hпр, обеспечивающей устойчивость против ламинарной фильтрации, которую определяют по формуле

(89)
где

- коэффициент, определяемый по таблице 8.2 пособия
[4].
При H < Hпр устойчивость против ламинарной фильтрации обеспечена, в противном случае увеличивают ширину фильтрующей прослойки bф и повторяют расчет или устраивают в основании обратный фильтр.
10 Сравнивают глубину потока H с толщиной подсыпки в сечении, проходящем через конец лотка трубы на выходе

. При

весь поток профильтрует внутрь подсыпки, при

часть расхода попадет на откос подсыпки.
11 Для случая

устанавливают, не выходит ли поток на откос подсыпки. Для этого делят расстояние

на четыре-пять равных частей и в конце каждой из них (считая от конца подсыпки) определяют глубину потока h
0 по
формуле (84) или
(85), подставляя вместо

расстояния

от конца подсыпки в
формулу (84) до рассматриваемых створов. Затем в каждом из сечений определяют толщину подсыпки

. При однообразном уклоне косогора для этой цели можно воспользоваться следующей формулой:

(90)
где mот(под) - коэффициент заложения низового откоса подсыпки.
При этом возможны два случая:
-

- весь поток фильтрует через подсыпку (безнапорная фильтрующая подсыпка);
-

- часть потока выходит на поверхность откоса (напорная фильтрующая подсыпка).
1) Рассмотрим первый случай
.
Находят расчетную глубину фильтрационного потока hр, м, определяющую максимальные скорости турбулентной фильтрации:
а) при отсутствии подтопления со стороны нижнего бьефа по формуле

(91)
где

- коэффициент кинетической энергии;
;

- пористость наброски;

- коэффициент, учитывающий образование в порах каменной наброски застоя воды;

;
б) при наличии подтопления
hр = hнб.
Определяют максимальную скорость турбулентной фильтрации

по формуле

(92)
Сравнивают

с допускаемыми скоростями для грунтов основания насыпи

.
При

устойчивость основания от турбулентной фильтрации обеспечивается, в противном случае - нет. Для достижения устойчивости делают вырезку грунта и заменяют его грунтом с

. Толщина вырезки должна обеспечить возможность укладки не менее трех слоев общей толщиной не менее 8 - 10 см.
Устраивают обратный фильтр у подошвы подсыпки высотой не менее hр.
2) Рассмотрим второй случай

.
Устанавливают расстояние от конца подсыпки до места выклинивания потока на откос

, м, по формуле

(93)
Определяют толщину фильтрующей подсыпки

, равную глубине фильтрации потока h
р1, в месте выклинивания потока на откос по формуле

(94)
Делят расстояние

на три-четыре равные части и в конце каждого сечения подсыпки (считая от ее конца) определяют фильтрационный расход Q
1(i), м
3/с, по формуле

(95)
где

- толщина подсыпки в рассматриваемом створе, м;
Q - полный расход сооружения, м3/с.
Определяют средние скорости турбулентной фильтрации по формуле

(96)
Вычисляют максимальную скорость турбулентной фильтрации

, м/с, по формуле

(97)
Сравнивают

с допускаемыми скоростями для грунтов основания подсыпки.
При

устойчивость основания подсыпки от турбулентной фильтрации обеспечивается, в противном случае - нет.
Для обеспечения устойчивости требуется произвести вырезку грунта и заменить его грунтом с

. Толщина вырезки должна быть не менее трех слоев грунта общей толщиной не менее 8 - 10 см.
12 Устанавливают расход потока Q2(i), протекающего на откосе подсыпки в различных сечениях на участке от места выклинивания потока до конца подсыпки, по формуле
13 Определяют глубину потока на откосе подсыпки hотк(i), м, из уравнения Шези при C = 1/n (как для быстроточного режима) по формуле

(99)
где n - коэффициент шероховатости откоса.
При n = 0,05 (для камня) вычисляют глубину потока на откосе подсыпки по формуле

(100)
14 Вычисляют скорость потока на откосе по формуле

(101)
15 Определяют допускаемые скорости потока для камней наброски на откосе подсыпки по формулам
пункта 8.5.3:
а) при однородной наброске по формуле

(102)
б) при неоднородной наброске по формуле

(103)
где kот - коэффициент, учитывающий снижение устойчивости камней на откосе,

(104)
mот - коэффициент заложения откоса;
m
0 - коэффициент естественного заложения откоса; для камня

, причем меньшее значение относится к грубооколотым камням, большее - к окатанным.
16 Определяют устойчивость каменной наброски на откосе подсыпки по формуле

(105)
При несоблюдении
условия (105) крупность камня на поверхности откоса увеличивают, причем укладывают не менее трех слоев требуемой крупности.
17 Назначают конструктивно обратный фильтр у подошвы откоса высотой 0,5 м и шириной понизу 1 м.
18 Назначают у подошвы откоса укрепление из каменной наброски, размеры которого приведены в
подразделе 8.5. При этом вычисляют глубины размыва, принимая длину укрепления равной сумме длин откоса подсыпки, укрепления у ее подошвы и ширины бермы.
9 Гидравлические расчеты труб, расположенных каскадом
При выполнении расчета равнинных труб в соответствии с алгоритмом, изложенным в
разделе 6, возможен случай расположения труб на одном водотоке. При этом необходимо учесть взаимное влияние гидравлической работы труб, выполнив расчет в указанном ниже порядке. Расчет начинается с низовой трубы.
В соответствии с
разделом 6 определяются все расчетные характеристики низовой трубы, в том числе и подпор перед трубой и соответствующая ему отметка ПУВВ.
При расчете верховой трубы выполняется проверка условия безнапорного протекания по отметке ПУВВ низовой трубы. При невыполнении проверки отверстие верховой трубы увеличивают.
Во избежание заиливания низовой трубы выполняется проверка минимального расстояния

, м, между концом укрепления верховой трубы и началом низовой по формуле

(106)
где

- максимальная глубина размыва на выходе из верхового сооружения (см.
раздел 8), м;
mот - заложение предохранительного откоса укрепления верхового сооружения;
m
вн - заложение низового откоса воронки размыва верхового сооружения, которое определяется по
таблице 5;
hп - предельная глубина потока в нижнем бьефе верхового сооружения, м;
hнб - глубина потока в нижнем бьефе верхового сооружения, м.
Таблица 5
Заложение низового откоса воронки размыва
верхового сооружения
hнб/0,85hп | mвн |
1 | 2,0 |
2 | 5,5 |
3 | 5,5 |
4 | 4,5 |
6 | 3,5 |
8 | 3,0 |
10 | 2,7 |
>= 15 | 2,0 |
При невозможности выполнения данного условия устраивается укрепление всего русла на участке сопряжения верховой и низовой труб.
ПРИМЕР НАЗНАЧЕНИЯ ОТВЕРСТИЯ И ОПРЕДЕЛЕНИЯ ПРОПУСКНОЙ
СПОСОБНОСТИ СПИРАЛЬНОВИТЫХ МЕТАЛЛИЧЕСКИХ ГОФРИРОВАННЫХ ТРУБ
А.1 Исходные данные
Спиральновитая металлическая гофрированная труба без оголовков (с вертикальным срезом), высота насыпи Hнас = 3,5 м, ширина поверху bнас = 6,5 м, заложение откосов 1:1,5, уклон лотка трубы соответствует уклону лога iт = 0,03, расчетный расход Qр = 3,0 м3/с.
Требуется подобрать отверстие трубы и определить подпертые глубины, а также глубины и скорости на выходе из нее.
А.2 Решение
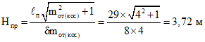
1 Определим длину трубы

.
2 Находим отверстие трубы.
Спиральновитые металлические гофрированные трубы должны пропускать расчетный расход при безнапорном режиме и иметь при этом заполнение на входе при пропуске расчетного расхода
.
По
таблице 1 принимаем параметр расхода для трубы без оголовка с вертикальным срезом, соответствующий указанному выше заполнению:
при

Зная параметры расхода, находим по ним минимальные диаметры трубы по
формуле (1)
Вычисленный диаметр D округляется в большую сторону до 0,1. Принимаем к расчету отверстие трубы D = 1,7 м и размер гофра принимаем 125 x 26 мм без гладкого лотка.
Уточняем параметр расхода для принятого диаметра по
формуле (2)
3 Устанавливаем, будет ли труба "длинной" или "короткой" в гидравлическом отношении. Для этого из
соотношения (3) определяем значение критического уклона
где Q - расчетный расход потока, м3/с;

- площадь живого сечения потока, м
2, при критической глубине h
к;
Rк - гидравлический радиус сечения потока, м;
Cк - коэффициент Шези, определяемый по формуле Павловского,
n = 0,0254 - коэффициент шероховатости поверхности (см.
таблицу 2);
Критическую глубину потока определяют для известных значений П
Q и D по графику на
рисунке 3.
hк = 0,49D = 0,49 x 1,7 = 0,83 м.
Отсюда

,

, R
к = 0,42 м, C
к = 31,95.
Получаем
Сравниваем уклон трубы iт с критическим iк
iк = 0,017 < iт = 0,03.
Следовательно, труба "короткая". Проверка по критерию относительной длины трубы не требуется.
4 Определяем подпертые глубины перед трубой по
формуле (7)
Предварительно находим b
к по графику на
рисунке 2.
При ПQ = 0,254 bк = 1,33 м;
5 Находим возвышение бровки полотна над подпертым уровнем

при высоте насыпи H
нас = 3,5 м
Требования технических условий выполнено.
6 Определяем глубины и скорости на выходе из трубы соответственно по
формулам (9) и
(10)
hвых = 0,34 x 1,7 = 0,58 м;
ПРИМЕР РАСЧЕТА ВЫХОДНОГО РУСЛА С УКРЕПЛЕНИЯМИ
ИЗ СВЯЗАННЫХ МЕЖДУ СОБОЙ ЭЛЕМЕНТОВ (БЕТОННЫХ)
Б.1 Исходные данные
Уклон лога iл = 0,02; спиральновитая металлическая гофрированная труба D = 1,5 м без оголовков (с вертикальным срезом) bр = 1,5 м расположена на автомобильной дороге; уклон трубы iт = 0,02, уклон лога iл = 0,01; расчетный расход в сооружении Qр = 2,3 м3/с; объем стока Wр = 21 x 103 м3; лог широкий в виде наклонной плоскости; грунты лога - пески со средним диаметром частиц d = 1 мм.
Требуется назначить тип выходного русла и определить размеры укреплений на выходе из трубы.
Б.2 Решение
1 Предварительно увеличиваем расчетный расход на 30% для учета возможной ошибки и обеспечения необходимого запаса
1,3Qр = 1,3 x 2,3 = 3,0 м3/с.
Расчет ведем на расход Q = 3,0 м3/с.
2 Назначаем тип выходного русла. Труба практически полностью загружена, согласно
пункту 8.4.2 назначаем выходное русло типа 1к.
3 Определяем глубину на выходе из трубы h
вых. Для этого находим параметр расхода по формуле

и по графику на
рисунке 5 находим

, откуда h
вых = 0,45 x 1,5 = 0,68 м.
4 Определяем скорости на выходе из трубы

по
формуле (10) 
. Максимальные скорости на укреплении

при i
т <= 0,02 согласно
пункту 8.2.1 принимаем равными

.
5 Назначаем тип укрепления по таблице 2.9 пособия
[4] при

, принимаем бетонное монолитное укрепление длиной L = 2D = 2 x 1,5 = 3 м (см.
пункт 8.4.2).
6 Определяем глубину размыва в принятом выходном русле в следующей последовательности:
а) вычисляем предельную глубину размыва по
формуле (34), для чего предварительно находим Q
к и

Для принятого выходного русла типа 1к

, и для него по
таблице 4 находим r = 0,9 и S = 0,6. Тогда
в) вычисляем эталонное время размыва по
формуле (38) при C
р = 0 (несвязные грунты)
г) определяем долю предельной глубины размыва, осуществляемую за время прохождения паводка, по
формуле (37)
е) назначаем расчетное значение удельного объема камня в рисберме исходя из условия

, для чего находим значения W
к(min) и

соответственно по
формулам (29) и
(30). В первом приближении размер камня при этом принимаем d
н = 0,1 м
принимаем

;
ж) уточняем принятый размер камня в рисберме исходя из
формулы (28)

, т.е.

следовательно, крупность камня dн = 0,1 м принята правильно;
и) определяем глубину размыва в принятом выходном русле по
формуле (27)
т.е. тип русла 1к принят правильно.
7 Назначаем глубину заделки концевой части укрепления для типа 1к - глубину заложения предохранительного откоса. Согласно указаниям
пункта 8.4.4 принимаем глубину заложения концевой части укрепления
8 Определяем ширину растекания потока. При i
л <= 0,02 расчет выполняем по
формуле (13), предварительно вычислив показатель степени
z по
формуле (14) и коэффициент K по графику на
рисунке 8.
При

и

K = 0,62;
Результаты расчета приведены в таблице Б.1.
Таблица Б.1
Результаты расчета
x, м | 0 | 1,0 | 2,0 | 3,0 |
x/D | 0 | 0,67 | 1,33 | 2,0 |
Bраст, м | 1,5 | 1,85 | 2,12 | 2,35 |
9 Определяем ширину укрепления. Расчет выполняем в такой последовательности:
а) назначаем ширину укрепления на всей ее длине, кроме концевой части, по ширине растекания с запасом, равным по 1 м с каждой стороны укрепления, т.е.
B = Bраст + 2,0 м;
б) находим ширину укрепления в его конце по
формуле (54) при

и

в) принимаем окончательные размеры укрепления в плане исходя из кратности их 0,5 м
(рисунок Б.1).
Рисунок Б.1 - Конструкция и размеры укреплений, полученные
в результате расчета нижнего бьефа трубы
ПРИМЕР РАСЧЕТА ВЫХОДНЫХ РУСЕЛ С УКРЕПЛЕНИЯМИ
ИЗ КАМЕННОЙ НАБРОСКИ
В.1 Исходные данные
Спиральновитая металлическая гофрированная труба D = 1 м без оголовков (с вертикальным срезом) bр = 1,0 м расположена на автомобильной дороге; сток снеговой - аккумуляция не учитывается; расчетный расход в сооружении Qр = 1,5 м3/с; грунты лога - пески со средним диаметром частиц d = 1 мм; уклон лога трубы iт = 0,01.
Требуется определить размеры неразмываемого недеформируемого выходного русла, изготавливаемого из однородного камня на щебеночной подготовке.
В.2 Решение
1 Определяем лимитирующий расход. Для обеспечения запаса устойчивости укрепления увеличиваем расчетный расход на 30%:

и принимаем этот расход для дальнейших расчетов.
2 Находим размеры укреплений:
а) определяем глубину на выходе из трубы h
вых. Для этого вычисляем параметр расхода по формуле

и по графику на
рисунке 5 находим

, откуда h
вых = 0,65 x 1,0 = 0,65 м;
б) вычисляем минимальный диаметр частиц наброски, при котором укрепление будет устойчивым от размыва. Для трубы без оголовка воспользуемся
формулой (56)
принимаем средний размер каменной наброски dн = 0,35 м;
в) определяем по
формуле (62) толщину слоя наброски, при которой укрепление будет недеформируемым (расчет вначале ведем без учета подсыпки),
При D
э = D = 1 м; d
н = 0,35 м; d = 0,001 м;

;

.
Подставив эти значения в формулу, получаем
Примем, что 20% этой глубины составит подготовка из щебня со средним размером частиц d
н(щ) = 0,05 м, и повторим расчет по той же формуле, подставив в нее вместо d
н значение d
н(э), определяемое по
формуле (64),
Тогда
Принимаем укрепление состоящим из каменной наброски толщиной

и щебеночной подготовки

;
г) принимаем длину укрепления L = 1,5Dэ = 1,5 x 1,0 = 1,5 м;
д) определяем ширину растекания потока в конце укрепления (X = L = 1,5 м) по
формуле (13)
предварительно вычислив эталонный расход Q
к и показатель степени z по
формуле (15),
Остальные входящие в
формулу (13) значения равны: b = D = 1,0 м; b
р = 1,0 м.
Тогда
е) назначаем ширину укрепления:
- в створе на выходе из оголовка:
B1 = bр + 2,0 = 1,0 + 2,0 = 3,0 м;
- в створе конца укрепления:
B2 = Bраст + 1,0 = 2,1 + 1,0 = 3,1 м = B1.
3 Выполняем расчеты размыва за укреплениями и определение размеров их концевых частей:
а) вычисляем глубину размыва в грунте лога за укреплениями по
формуле (34)
Находим величины, входящие в формулу.
Масштабный коэффициент

для трубы D = 1 м, по
таблице 4 S = 0,6 и r = 1,0; показатель степени для недеформируемых укреплений S
1 = 2,5 и коэффициент

(остальные значения определены выше).
Подставив все значения в формулу, получим
б) определяем максимальную глубину размыва за время паводка по
формуле (26)
Применяем выходное русло типа I. Концевая часть этого укрепления представляет собой часть наброски, уложенную за укреплением с откосом 1:1, глубиной

. Рисберма за укреплением в этом типе выходных русел не устраивается;
в) определяем ширину воронки размыва в конце укрепления по
формуле (54)
Предварительно определяем коэффициент K по графику на
рисунке 8.
При

и

K = 0,60,
откуда

.
Ввиду относительно малой длины укрепления L = 1,5 м не устраиваем на концевом участке его полосу длиной 1 м и шириной Bук, а назначаем укрепление прямоугольной формы шириной Bук = 4,8 м и длиной L = 1,5 м.
1 - каменная наброска; 2 - щебеночная подготовка
Рисунок В.1 - Основные размеры укреплений
из каменной наброски
ПРИМЕР РАСЧЕТА НИЖНЕГО БЬЕФА ГОФРИРОВАННЫХ ТРУБ,
РАСПОЛОЖЕННЫХ НА ПОДСЫПКЕ
Г.1 Исходные данные
Спиральновитая металлическая гофрированная косогорная труба расположена на автомобильной дороге; отверстие трубы D = 1,5 м; уклон лога iл = 0,25 (соответствует заложению откосов косогора mот(кос) = 4); высота насыпи по оси труб Hнас = 5,0 м; ширина насыпи поверху 6,5 м; верховой откос имеет крутизну 1:1,5; расход в сооружении Qр = 2,3 м3/с; подтопление со стороны нижнего бьефа отсутствует.
В основании насыпи залегают среднезернистые пески со средним диаметром частиц d = 0,5 мм.
Требуется назначить тип выходных русел указанной косогорной трубы и произвести соответствующие гидравлические расчеты.
Г.2 Решение
Так как труба расположена на крутом косогоре, укладываем ее в теле насыпи на подсыпку (рисунок Г.1). Уклон трубы iт назначаем равным 0,01. Откосы и берму насыпи отсыпаем из однородного камня. Низовой откос насыпи назначаем mот(под) = 2 (на рисунке Г.1 этот откос показан штриховой линией).
1 - экран; 2 - фильтрующий поток; 3 - обратный фильтр
высотой bф = 0,5 м; 4 - укрепление из каменной наброски;
5 - рисберма
Рисунок Г.1 - Нижний бьеф косогорной гофрированный трубы
при сбросе потока на каменную подсыпку
Расчет выполняем в соответствии с рекомендациями
пункта 8.6.4 применительно к рассматриваемому случаю.
Предварительно увеличиваем расчетный расход на 30% для учета возможной ошибки и обеспечения необходимого запаса
1,3Qр = 1,3 x 2,3 = 3,0 м3/с.
Расчет ведем на расход Q = 3,0 м3/с.
1 Определяем глубины на выходе из трубы по графику на
рисунке 5.
Предварительно находим параметр расхода:
Далее по ПQ и iт = 0,01 находим

и h
вых = 0,45 x 1,5 = 0,68 м.
2 Устанавливаем по
формуле (56) средний диаметр наброски, считая ее однородной,
Принимаем dн = 35 см.
Отсыпаем на берме и откосе три слоя камня крупностью dн = 35 см, остальную часть - из горной массы (средний диаметр частиц dн = 25 см) с содержанием мелких частиц 5 - 7%.
3 Определяем по
формуле (78) минимальный размер бермы вдоль потока, при котором поток, вытекающий из трубы, не попадает непосредственно на откос,
Принимает этот размер с запасом Lб = 3,0 м.
4 Определяем ширину растекания потока на берме по
формуле (79) с введением в нее понижающего коэффициента 0,6, учитывающего особенности каменной наброски по сравнению с бетонным укреплением (см.
пункт 8.6.4),
| | ИС МЕГАНОРМ: примечание. Текст дан в соответствии с официальным текстом документа. | |
при x = L
б = 3,0 м,

.
Отсюда

.
5 Назначаем длину участка насыпи, отсыпанной из камня, т.е. ширину фильтрующей прослойки b
ф насыпи
. Принимаем

.
Далее ведем расчет фильтрующей подсыпки как фильтрующей насыпи.
6 Определяем по
формуле (82) нормальную глубину фильтрационного потока, предполагая, что весь расход профильтрует через подсыпку.
Предварительно находим коэффициент фильтрации для горной массы K
ф(г) со средним размером камней d
н = 25 см. Расчет можно произвести по
формуле (83), но из-за отсутствия данных о пористости горной массы приближенно находим по таблица 8.1 пособия
[4] коэффициент фильтрации для однородной наброски и уменьшаем его на 25%
тогда
7 Определяем глубину фильтрационного потока H в створе, проходящем через конец трубы, из
уравнения (84). Подтопление снизу отсутствует. Предварительно находим проекцию расстояния от конца трубы до точки пересечения откосов отсыпки и косогора (см.
рисунок Г.1)

.
Затем вычисляем
Согласно таблице 8.4 пособия
[4] по

находим

и H = h
0 = 1,50 м.
8 Определяем устойчивость низового откоса подсыпки из
условия (86).
Предварительно находим разность отметок бьефов по
формуле (87)
Вычисляем z
пр по
формуле (88) при крутизне откосов подсыпки 1:2

, d
н = 0,35 м и

Следовательно, откос неустойчив и требуется сделать его положе.
Принимаем m
от(кос) = 2,25

и по
рисунку Г.1 находим

(откос 1:2,25 изображен сплошной линией).
Тогда
При этом

.
Следовательно, устойчивость низового откоса обеспечена.
9 Проверяем устойчивость основания насыпи от ламинарной фильтрации. Для этого определяем H
пр по
формуле (89), причем входящий в нее коэффициент

находим по таблице 8.2 пособия
[4]. Для зернистых песков, не защищенных обратным фильтром,

.
Отсюда

; H = 1,50 м < H
пр = 3,72 м.
Следовательно, устойчивость основания насыпи против ламинарной фильтрации обеспечена.
10 Сравниваем глубину потока H с толщиной подсыпки

в сечении, проходящем через конец лотка трубы на выходе. На
рисунке Г.1 
, т.е. весь поток, выходящий из трубы, профильтровывает через подсыпку.
11 Устанавливаем, не выходит ли поток в каком-либо из сечений подсыпки на поверхность. Для этого делим расстояние

на пять равных частей

и в конце каждой из них (считая от конца подсыпки) определяем глубину потока h
i из
уравнения (85). Затем в каждом из сечений устанавливаем толщину подсыпки

, для чего можно воспользоваться
формулой (90).
Сравниваем h
i с

и определяем, выйдет ли поток на откос. Это случится при
.
Расчет выполняем в табличной форме (таблица Г.1).
Таблица Г.1
Номер участка | Проекция расстояния от конца подсыпки до данного створа t, м | |  по таблице 8.4 пособия [4] |  , м | | | Вид потока |
1 | 5,80 | 1,00 | 0,96 | 1,43 | 1,13 | < 0 | Поверхностный |
2 | 11,60 | 2,00 | 1,00 | 1,48 | 2,25 | > 0 | Фильтрационный |
3 | 17,40 | 3,00 | 1,00 | 1,50 | 3,38 | > 0 |
4 | 23,10 | 3,98 | 1,00 | 1,50 | 4,48 | > 0 |
5 | 28,90 | 4,98 | 1,00 | 1,50 | 4,20 | > 0 |
Анализ результатов расчета показывает, что фильтрационный поток на части откоса выходит на поверхность.
Нанеся глубины фильтрационного потока на чертеж, устанавливаем, что поток выклинивается на откос на втором участке.
Определяем расстояние от конца подсыпки до места выклинивания потока по
формуле (93):
12 Вычисляем толщину подсыпки в этом сечении, равную глубине потока, по
формуле (94)
Выше этого сечения имеется лишь фильтрационный поток (безнапорная фильтрующая подсыпка), ниже его часть потока выходит на откос (напорная фильтрующая подсыпка).
13 Определяем фильтрационные расходы в различных створах напорной фильтрующей подсыпки. Для этого делим расстояние от конца подсыпки до сечения, где поток выклинивается на поверхность откоса, на три участка длиной

каждый и в конечном сечении каждого участка подсыпки (считая от ее конца) определяем фильтрационный расход по
формуле (95) при глубине потока

. Эту глубину можно вычислить по
формуле (94).
Расчет производим в табличной форме (таблица Г.2).
Таблица Г.2
Номер участка | Расстояние от конца подсыпки до заданного сечения  , м | | Фильтрационный расход  |
Подошва откоса | 0 | 0 | 0 |
1 | 2,37 | 0,46 | 1,0 |
2 | 4,74 | 0,92 | 2,0 |
3 | 7,10 | 1,37 | 3,0 |
14 Определяем средние скорости турбулентной фильтрации по
формуле (96)
15 Находим максимальную скорость турбулентной фильтрации по
формуле (97)
Пористость каменной наброски

, либо принимаем этот показатель по таблице 8.1 пособия
[4] для камня того же размера, что и однородный камень, но для круглых частиц, либо уменьшаем K
ф(доп) = 0,49 на 25%.
16 Сравниваем

с допускаемыми скоростями для среднезернистых песков. Для этого по таблице 2.7 пособия
[4] находим

;

. Следовательно, устойчивость основания подсыпки от турбулентной фильтрации не обеспечена.
Вырезаем грунт основания и заменяем его материалом, допускаемая скорость для которого больше или равна

. По таблице 2.7 пособия
[4] находим, что этому условию удовлетворяет галька (или щебень) с частицами размером зерен 1,5 - 2,0 см. Укладываем ее не менее чем в три слоя, поэтому вырезку надо делать на глубину 8 - 10 см.
17 Определяем расходы потока, протекающего по откосу подсыпки и в каждом из створов, по
формуле (98), а также глубины и скорости течения на откосе по
формулам (99) и
(101).
Затем сравниваем полученные скорости с допускаемыми для камня по
формуле (102) и устанавливаем его устойчивость. Расчет ведем в табличной форме (таблица Г.3) для тех же сечений, что и в
пункте 13, принимая установленный ранее размер камня на откосе d
н = 0,35 м.
Таблица Г.3
Номер участка | Расстояние от конца подсыпки, м | | |  , м 2 | | |
Подошва откоса | 0 | 3,0 | 0,083 | 0,83 | 3,61 | 3,65 |
1 | 2,37 | 2,0 | 0,063 | 0,63 | 3,17 | 3,65 |
2 | 4,74 | 1,0 | 0,040 | 0,40 | 2,50 | 3,66 |
3 | 7,10 | 0 | 0 | 0 | 0 | 3,65 |
Анализ результатов расчета показывает, что устойчивость камня размером dн = 0,35 м на откосе обеспечена.
18 Устраиваем конструктивно обратный фильтр подошвы откоса высотой 0,5 м и шириной понизу 1 м.
19 Назначаем у подошвы отсыпки недеформируемое выходное русло из каменной наброски, размеры которого определяем в соответствии с
пунктами 8.4.1,
8.4.2 с учетом специфических особенностей указанных типов выходных русел, изложенных в
пунктах 8.5.4,
8.5.5 и
8.5.8. Расчет ведем в следующей последовательности:
1) определяем толщину слоя однородной наброски, при которой укрепление будет недеформируемым, по
формуле (62)
2) определяем размеры укрепления:
а) назначаем длину укрепления за подошвой откоса согласно рекомендациям
пункта 8.5.5: L
' = (1,5 - 2,5)D
э. Принимаем L
' = 1,5D
э = 1,5 x 1,5 = 2,25 м;
б) определяем расчетную длину укрепления L, которая складывается из ширины бермы L
б = 3,0 м, длины откоса подсыпки

и длины укрепления у подошвы косогора L
' = 2,25 м,
в) вычисляем предельную глубину размыва в грунте лога по
формуле (34) с введением в нее коррективов согласно указаниям
пункта 8.5.5.
Предварительно вычисляем величины, входящие в эту формулу: находим при D
э = D = 1,50 м

,

, показатель степени s
1 для недеформируемых выходных русел из каменной наброски равен 5/2 = 2,5. По
таблице 4 для выходного русла (I, II или III) находим r = 1,0 и S = 0,6. Отверстие b = b
р = 1,5 м. Средний диаметр грунта d = 0,0005 м, эталонный расход Q
к = 1,6D
5/2 = 1,6 x 1,5
5/2 = 4,42 м
3/с.
Таким образом
Учитывая, что данные об объеме стока W отсутствуют, расчет ведем приближенно, принимая

(как для несвязных грунтов),
д) сравниваем толщину наброски

с максимальной глубиной размыва:

, следовательно, возможно назначить выходное русло типа I, для которого глубину заложения концевой части укрепления h
ук принимаем равной

;
е) определяем ширину воронки размыва B
min в конце укрепления по
формуле (54) при

Так как

, то принимаем
.
Тогда при
;
ж) сравниваем ширину воронки размыва Bmin с шириной растекания Bраст: Bmin = 12,8 > Bраст = 9,4 м и к расчету принимаем ширину укрепления Bукр = 12,24 м.
Результаты расчета нижнего бьефа гофрированной трубы с полученными размерами укреплений на подсыпке приведены на
рисунке Г.1.
| | Рекомендации по проектированию и строительству водопропускных сооружений из металлических гофрированных структур на автомобильных дорогах общего пользования с учетом региональных условий (дорожно-климатических зон) |
| | Рекомендации по проектированию и строительству водопропускных сооружений из спиральновитых металлических гофрированных труб |
| | Методические рекомендации по проведению гидравлических расчетов малых ИССО на автомобильных дорогах |
| | Пособие по гидравлическим расчетам малых искусственных сооружений, 1992 |
| | Методические рекомендации по определению деформаций дна и размеров укреплений за дорожными водопропускными трубами, 1987 |
| | Рекомендации по расчету выходных русел дорожных водопропускных труб с укреплениями из каменной наброски, 1980 |
|
Ключевые слова: малые искусственные сооружения, водопропускные трубы, гидравлические расчеты, спиральновитые металлические гофрированные трубы |
Руководитель организации-разработчика
ООО "Мегатех инжиниринг"
Генеральный директор _______________________ А.Н. Девятилов