Главная // Актуальные документы // ГрафикСПРАВКА
Источник публикации
М., 1987
Примечание к документу
Название документа
"Методические рекомендации по определению деформаций дна и размеров укреплений за дорожными водопропускными трубами"
(утв. Минтрансстроем СССР 07.05.1987)
"Методические рекомендации по определению деформаций дна и размеров укреплений за дорожными водопропускными трубами"
(утв. Минтрансстроем СССР 07.05.1987)
Зам. директора института
Г.Д.ХАСХАЧИХ
7 мая 1987 года
Одобрены
Главтранспроектом
МЕТОДИЧЕСКИЕ РЕКОМЕНДАЦИИ
ПО ОПРЕДЕЛЕНИЮ ДЕФОРМАЦИЙ ДНА И РАЗМЕРОВ УКРЕПЛЕНИЙ
ЗА ДОРОЖНЫМИ ВОДОПРОПУСКНЫМИ ТРУБАМИ
В настоящих Методических рекомендациях излагаются методы определения деформаций дна и размеров укреплений на выходах из равнинных и косогорных дорожных водопропускных труб.
Методические рекомендации позволяют определить глубины и скорости потока на выходах из труб и на укреплениях, выбрать рациональные типы выходных русл, рассчитать максимальные глубины размыва в нижних бьефах, определить размеры укреплений и глубины заделки их концевых частей при различных гидрологических, гидравлических и грунтовых условиях.
Методические рекомендации разработаны в лаборатории мостовой гидравлики и гидрологии ЦНИИСа кандидатами техн. наук Г.Я. Волченковым, В.Ш. Цыпиным и инж. В.В. Беликовым при участии канд. техн. наук Ю.Л. Пейча (МИИТ) и инж. А.Ю. Семенова (Институт общей физики АН СССР).
Зав. отделением изысканий
и проектирования железных дорог
А.М.КОЗЛОВ
1.1. Расчеты выходных русл
<1> равнинных и косогорных водопропускных труб с жесткими (недеформируемыми) укреплениями включают:
определение глубин и скоростей на выходе из труб;
назначение типов выходных русл;
вычисление глубин, скоростей и ширины растекания потока на укреплении;
определение глубин размыва за укреплениями;
определение размеров укреплений и глубины заделки их концевых частей.
--------------------------------
<1> Под выходными руслами понимают комплекс устройств, находящихся за выходными оголовками труб (укрепление с концевыми частями, гасители, каменная наброска).
1.2. Гидравлические характеристики потока на выходах из труб любого поперечного сечения, уложенных с уклонами

, находят на основе эмпирических соотношений, при

их определяют, исходя из установления в выходном сечении трубы нормальной глубины

.
1.3. Типы выходных русл назначают из числа приведенных в Методических рекомендациях по величине расходов воды в сооружении Q, скоростей на выходах из труб и крупности грунтов выходного лога.
1.4. Гидравлические характеристики потока на укреплениях за трубами в зависимости от требуемой точности расчетов и степени приближения принятых условий к реальным определяют:
а) на основе решения двумерных уравнений гидравлики по разработанной в ЦНИИСе программе для ЭВМ, обеспечивающей построение детального плана течения на укреплении, в том числе при различных уклонах трубы и лога, переменной шероховатости, сложной форме поперечного сечения и планового очертания выходного лога, переменных расходах воды, наличии подтопления нижнего бьефа и т.п.;
б) с помощью эмпирических зависимостей, основанных на результатах физического и математического моделирования и позволяющих получить глубины, скорости и ширины растекания потока на укреплении для принятых (наиболее характерных) условий, оговоренных ниже.
1.5. При гидравлическом расчете укреплений по эмпирическим зависимостям принят наиболее распространенный случай свободного протекания воды, при котором глубина потока в выходном логе (в бытовых условиях) не оказывает существенного влияния на течение на укреплении. Расчет нижних бьефов дорожных водопропускных труб при несвободном протекании может производиться на основе математической модели либо по Руководству [
1, гл. VI].
1.6. При гидравлическом расчете укреплений по эмпирическим зависимостям их вид различен при различных уклонах выходного лога

, что объясняется отличиями в характере растекания потока: при

наблюдаются течения с водоворотными зонами, которые сужают ("поджимают") транзитную струю; при

истечение из трубы происходит в так называемое "сухое" русло, а водоворотные зоны отсутствуют. Эти типы растекания называют соответственно затопленными и незатопленными. При расчете на основе математической модели вид растекания получается автоматически.
1.7. При уклонах трубы

и выходного лога

гидравлические характеристики потока в нижних бьефах дорожных водопропускных труб могут также определяться по зависимостям, изложенным в [
1, гл. VI].
1.8. Деформации дна в нижних бьефах труб определяют по эмпирическим зависимостям для гидравлически однородных грунтов выходного лога. Расчеты при неоднородных грунтах выполняются по методике [
1, гл. VI].
1.9. Размеры укрепления и глубину заделки его концевой части определяют, исходя из ширины растекания потока и величины воронки размыва.
1.10. Расчеты выходных русл с укреплениями из каменной наброски <1> выполняют по методике, изложенной в
[2].
--------------------------------
<1> Все физические величины в Методических рекомендациях представлены в Международной системе единиц СИ. Если употребляются рекомендуемые СТ СЭВ 1052-78 "Метрология. Единицы физических величин" дольные от указанных единиц (например, крупность частиц грунта в мм) или допускаемые к применению единицы, не входящие в СИ, то они записываются непосредственно после значения физической величины.
1.11. Расчеты нижних бьефов труб на железных дорогах выполняют на два расхода
[3]: расчетный и наибольший, а труб на автомобильных дорогах - только на расчетный. При этом допускаемые скорости для укреплений при прохождении наибольшего расхода повышаются на 35%, глубины размыва при пропуске расчетного расхода для обеспечения запаса увеличиваются на 20%.
2. ОПРЕДЕЛЕНИЕ ГИДРАВЛИЧЕСКИХ ХАРАКТЕРИСТИК ПОТОКА
Глубины и скорости на выходе из труб
2.1. Режим протекания потока в трубах при определении гидравлических характеристик на выходах из них устанавливают согласно [
1, гл. VI].
2.2. Глубины потока

на выходе из дорожных технически гладких (негофрированных) водопропускных труб различных поперечных сечений при безнапорном и полунапорном режимах протекания и параметрах расхода

, меньших или равных граничным значениям

, определяют из выражения

, (1)
где

- критическая глубина в трубе (см.
п. 2.7).
Функцию уклона

находят по формуле

, (2)
а коэффициент

и граничные значения параметра расхода для разных типов труб - по табл. 1.
Таблица 1
───────────────────────┬─────────────────────────┬─────────────────────────
Тип трубы │ Граничные значения │ Коэффициент A
│ параметра расхода П │ к
│ Q(гр)│
───────────────────────┼─────────────────────────┼─────────────────────────
Круглая │ 1,2 │ 0,93
Овоидальная │ 1,2 │ 0,79
Прямоугольная │ 0,8 │ 0,88
2.3. Параметр расхода

определяют по формулам:
для круглых, овоидальных и труб с подобными им поперечными сечениями, очерченными кривыми линиями

; (3)
для прямоугольных

, (4)
где b,

- соответственно ширина и высота прямоугольной трубы;

- эквивалентный диаметр трубы

. (5)
Здесь

- площадь поперечного сечения трубы (для круглых труб

равен диаметру трубы).
2.4. При параметрах расхода

глубины на выходе из труб определяют через относительные глубины потока по формуле

. (6)
Величина коэффициентов

, показателей степени S и диапазон возможного изменения параметров расходов в зависимости от типа труб и режимов протекания приведены в табл. 2.
Таблица 2
─────────────┬──────────────┬───────────────────┬───────────────┬──────────
Тип трубы │ Режим │Параметр расхода П │Коэффициент A │Показатель
│ протекания │ Q│ т │степени S
─────────────┼──────────────┼───────────────────┼───────────────┼──────────
Круглая │Любой, кроме │ П <= 0,8 │ 0,93 │ 0,50
│напорного │ Q │ │
│ │ │ │
│ │ 0,8 < П <= 1,6 │ 0,88 │ 0,25
│ │ Q │ │
─────────────┼──────────────┼───────────────────┼───────────────┼──────────
Овоидальная │ То же │ П <= 0,8 │ 0,80 │ 0,55
│ │ Q │ │
│ │ │ │
│ │ 0,8 < П <= 1,6 │ 0,75 │ 0,25
│ │ Q │ │
─────────────┼──────────────┼───────────────────┼───────────────┼──────────
Прямоугольная│Любой, кроме │ П <= 0,8 │ 0,88 │ 0,667
│напорного │ Q │ │
│ │ │ │
│Безнапорный │ 0,8 < П <= 1,6 │ 0,88 │ 0,667
│ │ Q │ │
│ │ │ │
│Полунапорный │ 0,8 < П <= 1,6 │ 0,83 │ 0,25
│ │ Q │ │
2.5. При напорном режиме глубины на выходе из технически гладких труб принимают равными

. (7)
2.6. Глубины на выходе из гофрированных труб с коэффициентом шероховатости

определяют по формулам
[4]:
при


; (8)
при


; (9)
при

принимают

. (10)
При параметрах расхода

глубины на выходе из гофрированных труб можно также определять по формулам для круглых труб.
2.7. Критические глубины в трубах

определяют по формулам:
при


; (11)
при


; (12)
для овоидальных труб
при


; (13)
при


; (14)
для прямоугольных труб

. (15)
Здесь

- коэффициент кинетической энергии, значение которого для труб

, при этом

, (16)
где

- удельный расход в трубе.
2.8. Для упрощения и ускорения расчетов глубин на выходе и критических глубин рекомендуется пользоваться графиками, приведенными в рекомендуемом
Приложении 1.
2.9. При уклонах труб

допустимо принимать глубины на выходе из труб равными нормальным глубинам. Графики определения нормальных глубин в технически гладких трубах даны в рекомендуемом
Приложении 2.
2.10. Для труб с повышенной шероховатостью, создаваемой за счет ступенчатой укладки звеньев, при средних уклонах

глубины на выходе принимают равными нормальным глубинам и вычисляют по [
1, гл. X] либо по графикам, приведенным ниже.
Для круглых труб пользуются графиком (рис. 1), где по оси абсцисс отложен параметр

. Приведенную повышенную шероховатость

определяют по графику
рис. 2, а (где

- высота ступеней), а при h/D < 0,225 она корректируется путем умножения на коэффициент

, который находится по графику
рис. 2, б.
Рис. 1. График для определения нормальных глубин

в круглых трубах при ступенчатой укладке звеньев
Рис. 2. График для определения коэффициента приведенной
повышенной шероховатости в круглых трубах:
а -

при h/D >= 0,225;
б - поправочный коэффициент

Для прямоугольных труб пользуются графиком рис. 3, где по оси абсцисс отложен параметр

(l - длина ступеней).
Рис. 3. График для определения нормальных глубин
в прямоугольных трубах при ступенчатой укладке звеньев
2.11. Скорости на выходе из труб определяют по формуле

, (17)
где

- площадь живого сечения потока на выходе из трубы.
Для прямоугольных труб

; (18)
для круглых и овоидальных труб относительную величину

определяют соответственно табл. 3.
Таблица 3
──────────────────┬────────────────────────────────────────────────────────
│ 2
Относительная │Относительная площадь живого сечения потока омега /D
глубина потока │ вых э
h/D ├────────────────────────────────────────────────────────
э │ Сотые доли
├──────────┬──────────┬──────────┬──────────┬────────────
│ 0 │ 2 │ 4 │ 6 │ 8
──────────────────┴──────────┴──────────┴──────────┴──────────┴────────────
Для круглых труб
0,0 │ 0,000 │ 0,004 │ 0,010 │ 0,019 │ 0,029
0,1 │ 0,041 │ 0,053 │ 0,067 │ 0,081 │ 0,096
0,2 │ 0,112 │ 0,128 │ 0,145 │ 0,162 │ 0,170
0,3 │ 0,198 │ 0,217 │ 0,235 │ 0,255 │ 0,274
0,4 │ 0,293 │ 0,313 │ 0,333 │ 0,352 │ 0,373
0,5 │ 0,393 │ 0,413 │ 0,433 │ 0,453 │ 0,472
0,6 │ 0,492 │ 0,512 │ 0,531 │ 0,550 │ 0,569
0,7 │ 0,587 │ 0,605 │ 0,623 │ 0,640 │ 0,657
0,8 │ 0,674 │ 0,689 │ 0,704 │ 0,719 │ 0,732
0,9 │ 0,745 │ 0,756 │ 0,766 │ 0,775 │ 0,782
Для овоидальных труб
0,0 │ 0,00 │ 0,002 │ 0,012 │ 0,022 │ 0,037
0,1 │ 0,052 │ 0,07 │ 0,085 │ 0,102 │ 0,132
0,2 │ 0,137 │ 0,157 │ 0,180 │ 0,200 │ 0,220
0,3 │ 0,240 │ 0,262 │ 0,280 │ 0,302 │ 0,322
0,4 │ 0,340 │ 0,362 │ 0,282 │ 0,400 │ 0,422
0,5 │ 0,437 │ 0,457 │ 0,477 │ 0,492 │ 0,510
0,6 │ 0,527 │ 0,542 │ 0,562 │ 0,580 │ 0,595
0,7 │ 0,612 │ 0,625 │ 0,640 │ 0,655 │ 0,670
0,8 │ 0,680 │ 0,692 │ 0,707 │ 0,722 │ 0,735
0,9 │ 0,745 │ 0,757 │ 0,767 │ 0,777 │ 0,782
С целью упрощения расчетов в рекомендуемом
Приложении 3 приводятся графики для определения скоростей на выходах из круглых труб.
Расчет гидравлических характеристик потока
на укреплении на основе математической модели
2.12. Математическая модель, описывающая течения в нижних бьефах водопропускных труб при фиксированной (неизменной во времени) поверхности дна, состоит из системы уравнений двумерной (плановой) гидравлики (уравнений мелкой воды с трением) и граничных условий, соответствующих реальным условиям протекания.
2.13. Уравнения, записанные в форме интегральных законов сохранения, имеют вид:

; (19)

, (20)
где G - область течения в плане;

- глубина потока;

- радиус-вектор в горизонтальной плоскости;
t - время;

- вектор средней по глубине скорости течения, лежащий в горизонтальной плоскости;

- граница области G;

- векторный элемент границы

;

- единичный вектор внешней нормали к границе;
g - ускорение свободного падения;

- поверхность дна;

- дифференциальный оператор Гамильтона, действующий в горизонтальной плоскости;

- коэффициент гидравлического трения, вычисляемый по формуле Маннинга

.
Граничные условия для наиболее характерного для нижних бьефов труб случая, когда число Фруда на выходе из трубы больше единицы

имеют вид:
где

- часть границы

, соответствующая выходному отверстию трубы;

- твердые (непроницаемые) стенки или берега лога;

- нормальная к границе компонента скорости.
2.14. Система
уравнений (19),
(20) с граничными условиями (21) решается численно, методом конечных разностей на регулярной сетке, состоящей из прямоугольных или выпуклых четырехугольных ячеек. Применяются схемы сквозного счета первого и второго порядков точности, основанные на использовании аналитического решения задачи о распаде гидродинамического разрыва [
5 -
8]:

; (22)

. (23)
Схемы (22), (23) записаны для произвольной четырехугольной ячейки. Нижним индексом "0" отмечены сеточные величины, отнесенные к центру ячейки, индексом i - величины отнесенные к i-й стороне ячейки (i = 1, 2, 3, 4). Символом

обозначены величины на верхнем и нижнем слоях по времени;

- шаг по времени;

- площадь ячейки;

- аппроксимация члена

.
Способы вычисления величин

,

,

для схем первого и второго порядков точности, а также эффективные алгоритмы расчета распада гидродинамического разрыва подробно описаны в работах [
5,
6,
8]. Там же рассмотрены вопросы постановки разностных аналогов
граничных условий (21).
2.15. На основе разработанных алгоритмов в лаборатории мостовой гидравлики и гидрологии ЦНИИСа создана и эксплуатируется программа WASSER на языке фортран для ЭВМ серии ЕС. Программа позволяет рассчитывать гидравлические характеристики потока в каждой точке укрепления при различных уклонах трубы и лога, различных коэффициентах шероховатости n и параметрах расхода

с учетом влияния формы воронки размыва и условий протекания в выходном логе. Примеры расчета нижнего бьефа по программе приведены в [
6,
7], примеры расчета других гидравлических задач - в [
5,
6]. Общая последовательность расчетов такова:
а) на плане нижнего бьефа водопропускной трубы строится разностная сетка, учитывающая реальные очертания выходного лога, расположение и диаметр трубы, длину и ширину укрепленной части, размеры воронки размыва;
б) в узлах сетки задаются реальные отметки дна на укреплении и в выходном логе (с учетом ямы размыва), а также коэффициенты шероховатости и начальные значения скорости и глубины в нижнем бьефе (обычно они принимаются бытовыми);
г) производится расчет по программе до нахождения стационарного решения, когда поля скоростей и глубин на укреплении на нескольких последовательных шагах по времени практически совпадают. При определенных условиях стационарное решение может не существовать (сбойность течения). Тогда необходимо анализировать результаты на различные моменты времени.
Пример разностной сетки и результатов расчета по программе приведен в справочном
Приложении 4.
Расчет глубин, скоростей и ширины растекания потока
на укреплении на основе эмпирических зависимостей
2.16. Гидравлические характеристики потока на укреплении при уклонах лога

определяют согласно Руководству
[1].
Максимальную скорость на укреплении принимают

, (24)
где

- скорость на выходе из трубы (см.
п. 2.11).
Средние глубины

потока в конце укрепления длиной

вычисляют по формуле

. (25)
Ширину растекания потока на укреплении в створе, расположенном на расстоянии x от конца оголовка, находят по зависимости

, (26)
где

- ширина оголовка в конце его;

, (27)
где K - коэффициент формы воронки размыва, определяемый по графику рис. 4;

- максимальная глубина размыва на данное время (см.
разд. 3);

- эталонный расход.
Рис. 4. График для определения
коэффициента K формы воронки размыва
Приближенно в средних условиях показатель степени можно определять по формуле

, (28)
полученной из
(27) при K = 0,8 и

.
2.17. Гидравлические характеристики потока на укреплении при уклонах лога

определяют по приводимым ниже формулам лишь при коэффициенте шероховатости укрепления

. В остальных случаях расчет следует проводить по программе, основанной на математической модели протекания (см.
п. 2.2).
Максимальную скорость на укреплении принимают

. (29)
Скорости V на укреплении определяют по формуле

, (30)
где y - расстояние от оси потока (середины укрепления) до данной точки;

- половина ширины растекания;

- скорость на оси потока на расстоянии x от конца оголовка.
Осевая скорость задается соотношением

. (31)
Глубины на укреплении при

определяют по формулам

; (32)

. (33)
Ширину растекания потока на укреплении определяют по формуле

. (34)
Здесь M и N параметры, определяемые соотношениями:

; (35)

, (36)
где

- коэффициент Шези на укреплении

. (37)
Здесь

- средняя глубина потока в конце укрепления, принимаемая по
формуле (25).
Для упрощения расчетов величины V (x, y), h (x, y) можно определять по графикам рекомендуемого
Приложения 5.
2.18. В выходных руслах с гасителями
(п. 3.4) глубины, скорости и границы растекания потока определяют следующим образом:
а) при применении гасителей в виде ребра и стенки в раструбном оголовке (типы выходных русл 3 и 4) с некоторым приближением можно пользоваться рекомендациями для выходных русл без гасителей;
б) при применении гасителя в виде водобойной стенки характеристики на выходах из сооружений определяют в соответствии с методикой, изложенной в [
1, гл. X]. С некоторым приближением для назначения типа укрепления можно принять расчетные скорости на укреплении равными 6 м/с при расчетном расходе и 8 м/с - при наибольшем. Ширину растекания на укреплении определяют по формулам [
1, гл. X]. При гасителе в виде расширяющегося колодца с водобойной стенкой (тип 5)

; (38)
при гасителе с двумя водобойными стенками (гаситель ЦНИИС, тип 6)

, (39)
где

- ширина выхода из гасителя;

- уклон дна гасителя.
3. ОПРЕДЕЛЕНИЕ ДЕФОРМАЦИЙ ДНА В НИЖНИХ БЬЕФАХ ТРУБ
Характер деформаций и режимы протекания в размываемом логе
3.1. Поток, попадая с укрепления на размываемый грунт лога, образует в нем воронку, приближенно имеющую в плане форму эллипса, в пространстве - форму эллиптического конуса (рис. 5, а). Высота этого конуса, равная максимальной глубине размыва

за данное время, зависит от уклона, формы и размеров трубы: величины и продолжительности паводка; уклона, формы и характеристик грунтов лога. С увеличением продолжительности паводка

возрастает, достигая своей предельной величины

лишь за бесконечно большое время.
Рис. 5. Характер деформаций и режимы
протекания в нижних бьефах труб:
а - поверхностный; б - донный;
1 - контур воронки размыва; 2 - контур канавы;
3 - границы растекания
В настоящих Методических рекомендациях

является основной расчетной величиной, определяющей тип и размеры укреплений, а

используется как параметр в формуле для нахождения

.
3.2. В ряде случаев при уклонах лога

за воронкой размыва ниже по течению возможно образование промоины (канавы), которое приводит к увеличению глубины размыва на величину, равную глубине канавы на ее входе (
рис. 5, б). В зависимости от гидравлических характеристик потока, уклона и грунтов лога промоина может иметь либо ограниченный характер, либо развиваться на всем протяжении лога. В последнем случае необходимы специальные меры защиты, так как это угрожает сохранности водопропускного сооружения.
3.3. В воронке размыва возможны два режима протекания потока - поверхностный (см.
рис. 5, а) и донный (см.
рис. 5, б).
Донный режим характеризуется наличием поверхностного гидравлического прыжка и донного транзитного потока. Глубина размыва при этом режиме наибольшая.
Поверхностный режим характеризуется наличием донного вальца и поверхностного транзитного потока. Размыв при этом режиме существенно (в 1,5 - 2 раза) меньше, чем при донном. Устойчивый поверхностный режим может быть обеспечен лишь специальными устройствами, к числу которых относится ребро в конце укрепления и гасители.
3.4. Для защиты нижнего бьефа от размывов рекомендуются следующие 6 основных типов выходных русл
(рис. 6). Тип 1 представляет собой укрепление с концевой частью в виде предохранительного откоса, тип 2 - то же с вертикальной стенкой. Тип 3 отличается от типа 1 наличием ребра в конце укрепления, тип 4 - сочетанием стенки в раструбном оголовке с ребром в конце укрепления. Тип 5 представляет собой расширяющийся водобойный колодец с одной стенкой, а тип 6 - с двумя стенками (гаситель ЦНИИС). Типы 5а, 6а отличаются от типов 5, 6 наличием вертикальной стенки вместо предохранительного откоса.
Рис. 6. Типы выходных русл:
1 - укрепление; 2 - предохранительный откос;
3 - вертикальная стенка; 4 - стенка в конце укрепления;
5 - стенка в раструбе; 6 - каменная наброска;
7 - стенка в расширяющемся раструбе; 8 - стенка
на выходе из расширяющегося раструба
Во всех типах выходных русл эффективно применение каменной наброски в концевых частях. Соответствующие номера типов выходных русл помечены индексом "к".
Типы 5 (5а, 5ак) и 6 (6а и 6ак), как правило, используют для труб, укладываемых с большими уклонами (косогорных). Геометрические размеры и гидравлические характеристики в нижних бьефах труб с выходными руслами этих типов определяют в соответствии с рекомендациями, изложенными в Руководстве [
1, гл. X].
Максимальные глубины размыва
3.5. Максимальные глубины размыва при уклонах лога

определяют по формулам:
а) в выходных руслах без каменной наброски

; (40)
б) в выходных руслах с каменной наброской

, (41)
где

и

- соответственно предельная и максимальная глубины размыва в заданном выходном русле при отсутствии каменной наброски (

см.
п. 3.7);

- коэффициент, учитывающий время прохождения паводка (см.
п. 3.9);

- удельный объем каменной наброски на единицу ширины укрепления со средним диаметром камня

;
A - коэффициент, принимаемый в выходных руслах с вертикальной стенкой или предохранительным откосом в конце укрепления равным 0,13, в выходных руслах без них - 0,5;
d - расчетный диаметр частиц грунта (см.
п. 3.8).
Для эффективной работы камня в наброске объем его следует задавать в пределах

, а крупность - не менее полученной из выражения

. (42)
Минимальный

и максимальный

удельные объемы камня определяют по формулам

(43)

. (44)
При

расчет размыва следует производить без учета наброски.
При

глубину размыва определяют по формуле

. (45)
3.6. Максимальные глубины размыва при уклонах лога

определяют по формулам:
а) в выходных руслах без каменной наброски

; (46)
б) в выходных руслах с каменной наброской

, (47)
где

- глубины размыва выходного лога за счет возможного образования промоины (канавы) в ее начале (см.
пп. 3.10 -
3.14).
При

минимальный объем камня в рисберме определяют по
формуле (43); поправку на избыток камня не вводят.
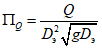
3.7. Предельные глубины размыва определяют по формуле

, (48)
где Q - максимальный расход регламентируемого нормами паводка (расчетного или наибольшего);
L - длина укрепления, м;
b - ширина отверстия, равная наибольшему горизонтальному размеру поперечного сечения сооружения, м;

- масштабный коэффициент;

;

- коэффициент, учитывающий тип концевой части выходных русл; при наличии предохранительного откоса

, при наличии вертикальной стенки

, для выходных русл с ребром

независимо от наличия стенки;
r, S - коэффициент и показатель степени, значения которых для различных типов выходных русл приведены в табл. 4.
─────────────────────┬──────────────┬────────────────────┬─────────────────
Тип выходного русла │Коэффициент r │Показатель степени S│ Относительный
│ │ │граничный расход
│ │ │ (Q/Q )
│ │ │ к гр
─────────────────────┼──────────────┼────────────────────┼─────────────────
1, 1к │ 0,9 │ 0,6 │ Без ограничений
2, 2к │ 0,9 │ 0,6 │ То же
3, 3к │ 0,6 │ 0,4 │ 1,0
4, 4к, 5, 5к, 5а, 5ак│ 1,0 │ 1,0 │ 0,5
6, 6к, 6а, 6ак │ 1,0 │ 1,0 │ 0,3
В последнем столбце
табл. 4 выписаны граничные значения

, при превышении которых в
формулу (48) вместо

должны подставляться эти значения.
3.8. При расчете размывов грунты в логе подразделяются на связные и несвязные. К несвязным грунтам относятся крупнообломочные и песчаные грунты, не обладающие свойством пластичности (раскатывания).
К связным относятся глинистые, суглинистые и супесчаные грунты с числом пластичности более 0,01, а также глинистые и песчаные грунты при степени заторфованности (содержании растительных остатков) более 10%.
Расчетный диаметр частиц однородного несвязного грунта определяют по формуле

, (49)
где

- содержание по массе в процентах i-й фракции со средним диаметром частиц

.
К однородным несвязным следует относить грунты, удовлетворяющие условию

, где

- средний диаметр крупных частиц, которые составляют 5% от массы грунта или диаметр самой крупной фракции, если она составляет не менее 5% от массы грунта.
Расчетный диаметр связного грунта d, мм, определяют по формуле

, (50)
где

- расчетное сцепление, Па, которое определяют на основании стандартных методов испытаний образцов в состоянии капиллярного водонасыщения при полной влагоемкости с учетом возможного (вероятного) отклонения значения сил сцепления от нормативных; для предварительных расчетов значение

для глинистых грунтов можно принимать по данным
СНиП 2.02.01-83 [9], а для торфов - по табл. 5.
Таблица 5
──────────────────────────────────────────────────────┬────────────────────
Характеристика заторфованного грунта │Расчетное сцепление
─────────────────────────────────┬────────────────────┤ 5
Содержание растительных остатков │ Вид торфа │С , кгс/см2 = 10 Па
в грунте, % │ │ р
─────────────────────────────────┼────────────────────┼────────────────────
> 60 │Древесный │ 0,005
│Хвощевый │ 0,025
─────────────────────────────────┼────────────────────┼────────────────────
60 - 40 │Осоковогипновый │ 0,025
│Сфагновый │ 0,04
─────────────────────────────────┼────────────────────┼────────────────────
40 - 25 │Осоковогипновый │ 0,075
│Сфагновый │ 0,10
При наличии в логе засоленных и мерзлых <1> связных грунтов расчетный их диаметр определяют по
формуле (50) с введением в нее коэффициента

.
--------------------------------
<1> Под мерзлыми понимают грунты, в которых после промерзания (при оттаивании) нарушены структурные связи.
Коэффициент

принимают по табл. 6 в зависимости от состава породы и содержания льда, которые определяют криогенную текстуру, т.е. совокупность признаков сложения мерзлого грунта, обусловленную ориентировкой, относительным расположением и распределением различных по форме и размерам ледяных включений и льда-цемента.
Таблица 6
────────────────────────┬────────────────────────┬─────────────────────────
Криогенная структура │ Содержание льда, % │ Коэффициент бета
│ │ t
────────────────────────┼────────────────────────┼─────────────────────────
Атакситовая │ > 50 │ 0 - 0,12
Сетчатая │ 50 - 30 │ 0,12 - 0,25
Слоистая │ 40 - 25 │ 0,25 - 1
Массивная и корковая для│ < 25 │ 1
сыпучемерзлых грунтов │ │
При содержании легкорастворимых солей до 3% коэффициент принимают по табл. 7.
Таблица 7
─────────────────────┬────────┬─────┬─────┬─────┬─────┬─────┬──────┬───────
Расчетное сцепление │<= 0,005│0,01 │0,02 │0,03 │0,04 │0,05 │0,075 │>= 0,1
5 │ │ │ │ │ │ │ │
С , 10 Па │ │ │ │ │ │ │ │
р │ │ │ │ │ │ │ │
─────────────────────┼────────┼─────┼─────┼─────┼─────┼─────┼──────┼───────
Коэффициент бета │ 0,85 │0,80 │0,64 │0,56 │0,52 │0,45 │ 0,40 │ 0,35
c │ │ │ │ │ │ │ │
При

содержании солей в грунте коэффициент

устанавливается на основании специальных исследований.
Для несвязных грунтов температурный режим не оказывает влияния на их размываемость, и поэтому следует принимать

. При содержании в несвязных грунтах легкорастворимых солей средний диаметр частиц определяют по
формуле (49) с коэффициентом 0,85.
3.9. Коэффициент

в
формуле (40) при пропуске постоянного расхода Q в течение времени t рассчитывают по формулам:

; (51)

, (52)
причем в случае наличия гасителей граничные значения

определяют по
табл. 4 (см.
п. 3.7).
Для реальных гидрографов, форма которых регламентирована
[10] (показательного, треугольного, трапециевидного), расчетное время определяется зависимостью
где W - объем стока за время паводка.
Для более точного учета фактора времени, особенно при гидрографах сложной формы (многопиковых и т.п.), рекомендуется пользоваться методикой расчета, изложенной в рекомендованном
Приложении 6.
Для определения величины

наряду с
формулой (51) можно пользоваться графиком (рис. 7).
Рис. 7. График для определения
относительной глубины размыва
Глубина промоины в выходном логе
3.10. Глубину промоины определяют в такой последовательности.
Вычисляют ширину потока

, при которой скорость в логе равна неразмывающей

. (54)
Здесь для одернованных логов принимают

, а во всех остальных случаях

, (55)
где d - эквивалентный диаметр грунта лога (см.
п. 3.8).
Величину

сравнивают с шириной лога

(для явно выраженного лога) либо с предельной шириной растекания потока на наклонной плоскости

, (56)
Если

либо

, то размыв дна лога может происходить на большой длине и сопровождаться значительным понижением отметок, в том числе и у концевой части укрепления. В этом случае необходимо принимать специальные меры защиты: устраивать перепады, укреплять лог до его подошвы или на значительном протяжении.
В противном случае определяют положение створа

, в котором прекращается размыв, и глубину потока в нем - по формулам:

; (57)

, (58)

. (59)
3.11. Производят расчет параметров (ширины и глубины потока) на входе в канаву. Вначале определяют максимальную глубину размыва

для случая отсутствия промоины (канавы) по
формуле (40). Затем находят (в первом приближении) расстояние от выхода из трубы до входа в канаву

, (60)
где m - коэффициент заложения откоса укрепления. Если

, то полагают

.
Находят ширину

и глубину

потока на входе в канаву при стабилизации размыва:

; (61)

. (62)
Если

, то принимают

, а

вычисляют по формуле (62), в противном случае к расчету принимают

и

, вычисленные по формулам (61) и (62).
3.12. Определяют среднюю глубину потока в канаве

. (63)
3.13. Определяют глубину размыва канавы по формуле

, (64)
где коэффициент Шези C определяют при

по формуле

. (65)
3.14. Определяют уточненное расстояние от выхода из трубы до входа в канаву

. (66)
Если

, то заменяют

на

и производят повторный расчет канавы.
Если

, то либо увеличивают отверстие сооружения, либо принимают специальные меры защиты (устраивают перепады, консольные сбросы и т.п.).
4. НАЗНАЧЕНИЕ ОСНОВНЫХ РАЗМЕРОВ ВЫХОДНЫХ РУСЛ
4.1. Исходными данными для назначения основных размеров выходных русл являются гидравлические характеристики потока в нижнем бьефе (глубины, скорости и границы растекания) и глубины размыва. В результате расчетов определяют длину и ширину укрепления на выходе из трубы, глубину заложения концевой части, мероприятия по уменьшению размывов за укреплением (гасители, размер каменной рисбермы и т.д.).
4.2. Расчет основных размеров выходных русл выполняют в такой последовательности:
1. Предварительно назначают тип выходного русла из числа рекомендованных (см.
рис. 6), исходя из следующих соображений:
а) для полностью загруженных труб (т.е. работающих при расчетных заполнениях) рекомендуются типы 1к и 2к, причем при значительных уклонах сооружений

применяют ступенчатую укладку звеньев труб;
б) для недогруженных труб применяют типы 1 или 2;
в) в качестве вариантов для труб при расчетном заполнении и особенно при больших уклонах труб и лога (

и

больших 0,05) применяют типы 3 (3к) - 4 (4к) и 5 (5а, 5к, 5ак), 6 (6а, 6к, 6ак), рассматривая при этом случай укладки труб без ступеней.
2. Определяют глубины и скорости потока на выходе из труб и на укреплении согласно рекомендациям
разд. 2.
3. Назначают тип и длину укреплений, принимая ее равной (из конструктивных соображений) L = (1,5 - 2).
4. Определяют глубину размыва на выходе из труб. При глубине размыва

переходят на другой тип выходного русла, обеспечивающий снижение размыва, и расчет повторяют. При

увеличивают отверстие сооружения либо принимают специальные меры защиты.
5. Определяют глубину заделки концевой части.
6. Определяют ширину растекания потока.
7. Определяют ширину укреплений и устанавливают их окончательные размеры.
8. При использовании выходных русл типов 5 (5а) и 6 (6а) определяют размеры гасителей согласно Руководству [
1, гл. X].
4.3. Тип и материал укреплений устанавливают по величине максимальной скорости на укреплении, сравнивая ее с допускаемыми скоростями для укреплений, приведенными в [
1, табл. П-6, стр. 28].
4.4. Глубину заложения концевой части укрепления определяют по формуле

, (67)
где m - коэффициент заложения откоса (для вертикальной стенки m = 0); в качестве искомой выбирают максимальную из двух глубин

при наибольшем расходе и при расчетном, причем последнюю величину умножают (для обеспечения необходимого запаса) на коэффициент 1,2, при

изменяют тип выходных русл.
4.6. Ширину укрепления на всей длине, за исключением концевой части (длину ее принимают равной 1 м), устанавливают по ширине растекания потока с запасом в 1 м в каждую сторону.
Допускается уменьшать ширину укрепления из жестких бетонных элементов, ограничив ее либо изолиниями скоростей на укреплении, равных допускаемым скоростям для грунтов выходного лога, либо заменив часть укрепления наброской из щебня или камня определенной крупности на участке, где скорости потока не превышают допускаемых для указанного материала. Такое сокращение ширины укрепления допускается на всей длине его, за исключением концевой части.
В качестве расчетной ширины укрепления в концевой его части принимают большую из величин: ширину растекания

в конце укрепления и

, определяемую по формуле

, (68)
где

- минимальная ширина укрепления, соответствующая ширине воронки размыва в створе конца укрепления;
K - коэффициент формы воронки размыва (см.
рис. 4);

- коэффициент,

при предохранительном откосе и

- при концевой части в виде вертикальной стенки.
После назначения ширины укрепления производят окончательную ее корректировку. Форма укрепления в плане может быть прямоугольной или трапецеидальной, причем с прямоугольными или ступенчатыми границами.
4.7. В выходных руслах с каменной наброской камень укладывают по всей ширине укрепления в приготовленный котлован так, чтобы верх его находился не менее чем на 0,5 м ниже поверхности земли. При уклонах лога

и возможности образования промоины в выходном логе камень следует укладывать на 0,5 м ниже дна промоины у концевой части.
При назначении удельного объема камня в рисберме следует учесть, что за счет его варьирования можно существенно сократить глубину размыва.
4.8. Рациональные типы и размеры укреплений выбирают на основе технико-экономического сравнения вариантов выходных русл.
4.9. Примеры расчетов основных размеров выходных русл приведены в рекомендуемом
Приложении 7.
Рекомендуемое
ДЛЯ ОПРЕДЕЛЕНИЯ ГЛУБИН НА ВЫХОДЕ
ИЗ ТРУБ

И КРИТИЧЕСКИХ ГЛУБИН

В ТРУБАХ
а)
б)
в)
г)
Рис. 1. График для определения глубин на выходе из труб:
а - круглых; б - прямоугольных, работающих при

при полунапорном режиме; в - овоидальных;
г - гофрированных с учетом их возможной "зарядки"
Рис. 2. График для определения
критической глубины в трубах:

- круглых;

- овоидальных
Рекомендуемое
ДЛЯ ОПРЕДЕЛЕНИЯ НОРМАЛЬНЫХ ГЛУБИН

В ТЕХНИЧЕСКИ ГЛАДКИХ ТРУБАХ
Рис. 1. График для определения нормальных глубин

и соответствующих им скоростей

в круглых трубах:
1. Пояснения к пользованию графиком (см. рис. 1).
При коэффициенте шероховатости n, отличном от n = 0,015, относительные нормальные глубины в круглых трубах определяют при параметре расхода, приведенном к фактическому значению n
| | ИС МЕГАНОРМ: примечание. Формула дана в соответствии с официальным текстом документа. | |

.
2. Пример расчета. Дано D = 1 м; Q = 1,4 м3/с;

; n = 0,013.
По графику находим

,

и

,

.
Рис. 2. График для определения нормальных глубин
в прямоугольных трубах
Пример расчета (см. рис. 2). Дано: b = 2,0 м, n = 0,015, Q = 12,6 м3/с;

.
Расчет:

;

;

и по нижней и левой части графика находим

и

.
Рекомендуемое
ДЛЯ ОПРЕДЕЛЕНИЯ СКОРОСТЕЙ НА ВЫХОДЕ ИЗ КРУГЛЫХ ТРУБ
Рис. 1. График для определения скоростей
на выходе из круглых технически гладких труб
Рис. 2. График для определения скоростей на выходе

из гофрированных труб с учетом возможной их зарядки
Справочное
РАЗНОСТНАЯ СЕТКА И ПРИМЕРЫ РАСЧЕТОВ
ГИДРАВЛИЧЕСКИХ ХАРАКТЕРИСТИК ПОТОКА В НИЖНЕМ БЬЕФЕ
ВОДОПРОПУСКНОЙ ТРУБЫ НА ОСНОВЕ МАТЕМАТИЧЕСКОЙ МОДЕЛИ
Рис. 1. Вариант неравномерной разностной сетки
для расчета растекания потока в логе с прямолинейными
боковыми стенками (в силу симметрии области течения
относительно оси трубы сетка построена
для половины области)
Рис. 2. Глубины и скорости потока при истечении его в лог
шириной 1,8 м с плоским бетонным наклонным дном (

,

) из круглой трубы диаметром D = 0,1 м, скоростью
и глубиной на выходе

,

,
приведенной шириной выхода

;
а - эпюры скоростей; б - эпюры глубин;

- расчет;

- эксперимент;

- границы растекания в эксперименте
Рис. 3. Глубины (а) и скорости (б) потока
при истечении его в лог с уклоном дна

(остальные параметры те же, что и на
рис. 2):

- векторы скорости; 7 - 175 - их абсолютные
значения;

- линия нулевых скоростей
Рекомендуемое
ДЛЯ ОПРЕДЕЛЕНИЯ ШИРИНЫ РАСТЕКАНИЯ ПОТОКА

,
ГЛУБИН h И СКОРОСТЕЙ V ПОТОКА НА УКРЕПЛЕНИИ
ПРИ УКЛОНЕ ВЫХОДНОГО ЛОГА


,
где M, N и

- параметры, определяемые соответственно по рис. 1,
рис. 2 и
таблице данного приложения;

- коэффициент шероховатости дна;
0,015 - принятый в графике коэффициент шероховатости.
Рис. 1. График для определения параметра

Рис. 2. График для определения параметра N
Значения поправочного коэффициента

для определения ширины растекания на укреплении
─────────┬─────────────────────────────────────────────────────────────────
D , м │ Коэффициент K при П , равном
э │ м Q
├──────────┬──────────┬──────────┬──────────┬──────────┬──────────
│ 0,1 │ 0,2 │ 0,4 │ 0,8 │ 1,2 │ 1,6
─────────┼──────────┼──────────┼──────────┼──────────┼──────────┼──────────
1,0 │ 0,91 │ 0,93 │ 0,96 │ 0,99 │ 1,01 │ 1,02
1,25 │ 1,12 │ 1,14 │ 1,18 │ 1,22 │ 1,24 │ 1,25
1,50 │ 1,32 │ 1,34 │ 1,39 │ 1,44 │ 1,46 │ 1,48
2,00 │ 1,72 │ 1,75 │ 1,81 │ 1,87 │ 1,91 │ 1,93
2,50 │ 2,11 │ 2,16 │ 2,23 │ 2,30 │ 2,34 │ 2,37
3,00 │ 2,49 │ 2,55 │ 2,63 │ 2,71 │ 2,77 │ 2,79
3,50 │ 2,87 │ 2,93 │ 3,02 │ 3,12 │ 3,18 │ 3,21
4,00 │ 3,24 │ 3,32 │ 3,42 │ 3,52 │ 3,60 │ 3,63
4,50 │ 3,61 │ 3,69 │ 3,81 │ 3,93 │ 4,01 │ 4,05
5,00 │ 3,98 │ 4,06 │ 4,20 │ 4,33 │ 4,41 │ 4,46
Графики для определения глубины потока h и глубин по оси потока

на укреплении даны на рис. 3 и
4, скоростей потока V - на
рис. 5 настоящего приложения.
Рис. 3. График для определения
глубины потока h на укреплении
Рис. 4. График для определения глубин
по оси потока

на укреплении
Рис. 5. График для определения
скоростей потока V на укреплении
Рекомендуемое
РАСЧЕТ МАКСИМАЛЬНОЙ ГЛУБИНЫ РАЗМЫВА
С УЧЕТОМ ГИДРОГРАФА ПАВОДКА ПРОИЗВОЛЬНОЙ ФОРМЫ
При формах гидрографа паводка, не поддающихся введенной в
п. 3.9 схематизации (например, многопиковой), расчет

непосредственно по
формулам (40),
(48),
(51) -
(53) может привести к заметным погрешностям. В этом случае применяется следующий алгоритм расчета:
1. Гидрограф заменяют ступенчатым, т.е. представляют в виде последовательности пар чисел

, j = 1,... N, где

,

- соответственно расход на j-й ступени и ее продолжительность; N - число ступеней, выбираемое из условия обеспечения необходимой точности расчетов (обычно N >= 10).
2. Задают начальную глубину размыва

(обычно

) и полагают j = 0.
3. Увеличивают j на 1 (j = j + 1); если j > N - расчет завершен.
4. Рассчитывают

по
формуле (48) при

. Если

, полагают

и переходят к п. 3 алгоритма.
5.
Уравнение (40) с учетом
(51),
(52) и величины

разрешают относительно t при

и находят

- время, за которое постоянный расход

размоет дно на глубину

(т.е. на начало j-й ступени):

, (1)

. (2)

, (3)
после чего переходят к
п. 3 алгоритма.
По описанному алгоритму в ЦНИИСе разработана и эксплуатируется программа для расчета

при пропуске гидрографов типовой или произвольной формы при любых рекомендуемых типах выходных русл.
Рекомендуемое
ПРИМЕРЫ РАСЧЕТА НИЖНЕГО БЬЕФА ТРУБ
Пример 1. (уклон лога

).
Исходные данные
Круглая железобетонная труба D = 1,5 м без конических звеньев с раструбным оголовком

расположена на автомобильной дороге. Уклон трубы

, уклон лога

. Расчетный расход в сооружении

. Объем стока

. Лог широкий в виде наклонной плоскости. Грунты лога - пески со средним диаметром частиц d = 1 мм. Требуется назначить тип выходного русла и определить размеры укреплений на выходе из трубы.
Расчет
1. Назначаем тип выходного русла. Труба практически полностью загружена, так как согласно [
1, табл. 1, 2] расход в указанной трубе при расчетном заполнении равен

, что близко к

; согласно указаний
разд. 4 назначаем выходное русло типа 1к.
2. Определяем скорости на выходе из трубы

. Для этого по
формуле (3) определяем параметр расхода

и по графику
рис. 1 Приложения 3 находим

и

. Максимальные скорости на укреплении

при

согласно
п. 2.17 принимают равными

.
3. Назначаем тип укрепления. По [
1, табл. П-6] при

принимаем бетонное монолитное укрепление длиной L = 2D = 2 x 1,5 = 3 м (см.
п. 4.3).
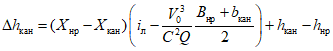
4. Определяем глубину размыва в принятом выходном русле в такой последовательности:
а) вычисляем предельную глубину размыва по
формуле (48), для чего предварительно вычисляем

и

(см. пояснения соответственно к
формулам (27) и
(48)):

;

.
Для принятого выходного русла 1к

и для него по
табл. 4 находим r = 0,9 и S = 0,6.
Тогда имеем

;

;
в) определяем эталонное время размыва по
формуле (52) при

(несвязные грунты)

;
г) определяем долю предельной глубины размыва, осуществляемую за время прохождения паводка, по
формуле (51)

;
е) назначаем расчетное значение удельного объема камня в рисберме, исходя из условия

, для чего находим величины

и

соответственно по
формулам (43) и
(44). В первом приближении крупность камня при этом принимаем равным

.

.
Принимаем

;
ж) уточняем принятую крупность камня в рисберме, исходя из
формулы (42)

, т.е.

.
Следовательно, крупность камня

м принята правильно;
з) определяем глубину размыва в принятом выходном русле по
формуле (41)
т.е. тип выходного русла 1к назначен правильно.
5. Назначаем глубину заделки концевой части укрепления для типа 1к - глубину заложения предохранительного откоса. Согласно указаниям
п. 4.4 принимаем глубину заложения концевой части укрепления равной

.
6. Определяем ширину растекания потока. При

расчет выполняем по
формуле (26), предварительно вычислив показатель степени S по
формуле (27) и коэффициент K по графику (см.
рис. 4).

;

.
Результаты расчетов приведены в табличной форме.
────────────────────────┬────────────────────────┬─────────────────────────
x, м │ x/D │ B , м
│ │ раст
────────────────────────┼────────────────────────┼─────────────────────────
0 │ 0 │ 3,2
1,0 │ 0,67 │ 4,2
2,0 │ 1,35 │ 5,0
3,0 │ 3,00 │ 5,5
7. Определяем ширину укрепления. Расчет выполняем в такой последовательности:
а) назначаем ширину укрепления на всей ее длине, кроме концевой части, по ширине растекания с запасом, равным по 1 м с каждой стороны укрепления

;
б) находим ширину укрепления в конце его по
формуле (67) при

и


;
в) принимаем окончательные размеры укрепления в плане, исходя из кратности их 0,5 м, приведенные на рис. 1.
Рис. 1. Конструкция и размеры укреплений,
полученные в результате расчета нижнего бьефа трубы
при

: 1 - граница растекания,
2 - контур воронки размыва
Пример 2. (уклон лога

).
Исходные данные
Прямоугольная типовая железобетонная труба отверстием

с раструбным оголовком

расположена на железной дороге в средней полосе страны. Уклон трубы

. Труба запроектирована со ступенчатой укладкой звеньев, со ступенями высотой

и длиной l = 2,0 м.
Уклон и коэффициент шероховатости лога соответственно равны

,

. Расчетный расход в сооружении

, наибольший

. В результате гидравлического расчета установлено, что расчетный и наибольший расходы проходят при безнапорном режиме. Объем стока: при расчетном паводке

, при наибольшем

. Лог широкий в виде наклонной плоскости, грунт лога - глины с расчетным сцеплением

.
Требуется назначить тип выходного русла и определить размеры укреплений на выходе из трубы.
Расчет
1. Назначаем тип выходного русла. Труба практически полностью загружена и имеет большой уклон. Согласно рекомендациям
разд. 4 назначаем выходное русло типа 1к.
2. Определяем глубины и скорости на выходе из трубы при ступенчатой укладке звеньев и на укреплении в следующем порядке:
а) вычисляем параметр

(см.
п. 2.10);
при

;
при

;
б) по графику (см.
рис. 3) находим:
при

;
при

;
г) максимальные скорости на укреплении

согласно
п. 2.17 принимают

.
Следовательно,
при

;
при

.
| | ИС МЕГАНОРМ: примечание. В официальном тексте документа, видимо, допущена опечатка: пункт 1.13 отсутствует. | |
Так как

, а допускаемые скорости при прохождении наибольшего расхода можно повышать на 35% (см. п. 1.13), то к расчету принимаем максимальную скорость при расчетном расходе

.
3. Назначаем тип укрепления по [
1, табл. П-6]; при

принимаем бетонное монолитное укрепление. Предварительно определяем эквивалентный диаметр сооружения по
формуле (5)

.
Согласно
п. 4.3 длина укрепления L = 1,5

.
4. Определяем глубину размыва в принятом выходном русле в такой последовательности:

;

.
Расчетный диаметр грунтов при

равен

.
Для принятого выходного русла 1к имеем

, а величины r = 0,9 и S = 0,6 находим по
табл. 4. Тогда получим:
при

при


;
при

;
при

;
при

при


;
г) определяем долю предельной глубины размыва за время прохождения паводка по
формуле (51):
при

при

при

;
при

.
Так как глубины размыва как при

, так и при

оказались менее 2,0 м, то корректируем тип выходного русла и принимаем в качестве расчетного выходное русло типа 1, т.е. отказываемся от каменной наброски.
В связи с тем, что выходной лог имеет уклон

, то определяем основные размеры промоины.
При неявно выраженном логе расчет промоины ведем в такой последовательности.
1. Вычисляем по
формуле (54) ширину потока

, при которой скорость в логе равна неразмывающей скорости, предварительно вычисленной по
формуле (55)

.
Тогда имеем:
при


;
при


.
2. Определяем ширину створа предельного растекания по
формуле (56) при N = 1, предварительно установив параметры расхода по
формуле (4), параметры M и

соответственно по
рис. 1 и
таблице Приложения 5 и по
формуле, приведенной в том же Приложении 5.
При

и

по графику (см.
рис. 1 Приложения 5) для

и

находим M = 18,1, по
таблице при

и

находим

и по формуле

.
Тогда

.
При

;
3. Сравниваем

с

:
при

;
при

.
Следовательно, промоина имеет ограниченное протяжение.
4. Определяем положение створа, в котором прекращается размыв по
формуле (57), предварительно вычислив N по
формуле (50):
при

;

;
при

;

.
5. Определяем глубину потока в створе прекращения размыва по
формуле (58):
при

;
при

.
6. Определяем ширину растекания потока в створе на входе в канаву

по
формуле (34) при

, предварительно вычислив

по
формуле (60) и определив параметр N по графику (
рис. 2 Приложения 5) (параметры M вычислены ранее):
при

и по величинам

и

находим N = 0,32, а затем

.
При

. По

и

находим N = 0,36, а затем

.
7. Находим

и глубину потока

на входе в канаву при стабилизации размыва по
формулам (61) и
(62):
при

| | ИС МЕГАНОРМ: примечание. Расчет дан в соответствии с официальным текстом документа. | |
и к расчету принимаем

;

;
при

и к расчету принимаем

;

.
8. Определяем среднюю глубину потока в канаве по
формуле (63) при

:

;
при


.
при

при


.
10. Уточняем расстояние до входа в канаву по
формуле (66) при m = 1,5:
при


- корректировка

не требуется;
при


- корректировка

не требуется. Вычисленные значения

принимаются к расчету.
11. Определяем глубину заложения концевой части укрепления по
формуле (67), причем при

увеличиваем на 20%:
при


;
при


;
для расчета принимаем

.
12. Определяем ширину растекания потока на укреплении при n = 0,015. При

расчет выполняем по
формуле (34) при x = 1, 2 и 3 м, предварительно вычислив параметр

по графику (см.
рис. 1) и
формуле Приложения 5 и параметр N по графику (см.
рис. 2) того же Приложения. Расчет ведем в табличной форме.
─────┬─────┬───────────────────────────────────────────────────────────────
x, м │ x/D │ Расчетные параметры и ширина растекания при пропуске расходов
│ э├───────────────────────────────┬───────────────────────────────
│ │ расчетного (П = 0,68) │ наибольшего (П = 0,87)
│ │ Q │ Q
│ ├───────┬───────┬───────┬───────┼───────┬───────┬───────┬───────
│ │ │ │ _ │ │ │ │ _ │
│ │ K │ N │ NMK │ B │ K │ N │ NMK │ B
│ │ м │ │ м │ раст │ м │ │ м │ раст
─────┼─────┼───────┼───────┼───────┼───────┼───────┼───────┼───────┼───────
1,0 │ 0,5 │ 1,86 │ 0,080 │ 2,8 │ 6,5 │ 1,88 │ 0,105 │ 3,7 │ 7,4
2,0 │ 1,0 │ 1,86 │ 0,155 │ 5,4 │ 9,1 │ 1,88 │ 0,170 │ 6,0 │ 9,7
3,0 │ 1,5 │ 1,86 │ 0,210 │ 7,3 │ 11,0 │ 1,88 │ 0,230 │ 8,1 │ 11,8
Для расчета принимаем величину растекания при наибольшем расходе.
13. Определяем ширину укрепления. Расчет выполняем в такой последовательности:
а) назначаем ширину укрепления на всей его длине, кроме концевой части длиной 1 м, по ширине растекания с запасом по 1 м с каждой стороны укрепления

.
Результаты расчета приведены ниже.
────────────────┬────────────────┬────────────────┬───────────────
x, м │ 0 │ 1,0 │ 2,0
────────────────┼────────────────┼────────────────┼───────────────
B, м │ 5,7 │ 9,4 │ 11,7
────────────────┴────────────────┴────────────────┴───────────────
б) находим ширину воронки размыва в конце укрепления

по
формуле (68) при

(концевая часть с предохранительным откосом), определив коэффициент формы воронки размыва по графику
рис. 4 при

.
При

; K = 0,62;

.
При

; K = 0,80;

.
Следовательно, ширина укрепления на всем его протяжении определяется шириной растекания, которая оказалась весьма значительной.
Для сокращения ширины укрепления ограничим его изолиниями, соответствующими неразмывающей скорости потока для грунтов лога, определенной выше и равной

.
Для этого воспользуемся графиком (
рис. 5 Приложения 5), предварительно заменив скорость V на

при

, при

.
По графику (см.
рис. 5 Приложения 5) находим величину относительной граничной ширины растекания

в каждом створе, ограничивающей область, за пределами которой скорости потока на укреплении не будут превосходить неразмывающих, и определим размеры укрепления, соответствующие этой ширине

с запасом по 1 м в каждую сторону.
Результаты расчета приведены ниже в табличной форме.
──────┬──────┬─────────────────────────────────────────────────────────────
x │ x/D │ Относительная и абсолютная граничная ширина растекания
│ э │ и ширина укрепления при пропуске расходов
│ ├──────────────────────────────┬──────────────────────────────
│ │ расчетного │ наибольшего
│ ├─────────┬─────────┬──────────┼─────────┬─────────┬──────────
│ │y/B' раст│ B , м │ B, м │y/B раст │ B , м │ B, м
│ │ │ гр │ │ │ гр │
──────┼──────┼─────────┼─────────┼──────────┼─────────┼─────────┼──────────
0 │ 0 │ 0,55 │ 3,7 │ 5,7 │ 0,56 │ 3,7 │ 5,7
1,0 │ 0,5 │ 0,56 │ 3,7 │ 5,7 │ 0,57 │ 4,2 │ 6,2
2,0 │ 1,0 │ 0,57 │ 5,2 │ 7,2 │ 0,575 │ 5,6 │ 7,6
3,0 │ 1,5 │ 0,575 │ 6,3 │ 8,3 │ 0,58 │ 6,8 │ 8,8
Ширину укрепления в конце его, необходимую при пропуске наибольшего расхода

, сравниваем с

.

- для расчета принимаем

и корректируем размеры укрепления из конструктивных соображений, принимая их кратными 0,5 м. Результаты расчета приведены на рис. 2.
Рис. 2. Конструкция и размеры укреплений,
полученные в результате расчета нижнего бьефа трубы
при уклоне выходного лога

1. Руководство по гидравлическим расчетам малых искусственных сооружений. М., Транспорт, 1974
2. Рекомендации по расчету выходных русл дорожных водопропускных труб с укреплениями из каменной наброски. М., ЦНИИС, 1980
3. Строительные нормы и правила. Мосты и трубы.
СНиП 2.05.03-84. М., Госстрой СССР, 1985
4. Методические рекомендации по гидравлическому расчету металлических гофрированных труб. М., ЦНИИС, 1979
5. Семенов А.Ю. Применение метода Годунова к уравнениям мелкой воды с учетом рельефа дна. "Труды 8 конф. молодых ученых Московского физико-технического института, Долгопрудный, 27 марта - 7 апреля 1983, ч. 1". М., МФТИ, N 5927-83 ДЕП
6. Беликов В.В., Семенов А.Ю. Метод Годунова с модификацией Колгана для численного решения двумерных уравнений мелкой воды. "Труды 10 конф. молодых ученых Московского физико-технического института, Долгопрудный, 23 марта - 7 апреля 1985, ч. 1". М., МФТИ, N 598
3-85 ДЕП
7. Беликов В.В., Семенов А.Ю. Применение метода Годунова с модификацией Колгана к расчету планов течений в нижних бьефах водопропускных труб. В сб. "Гидравлика дорожных водопропускных сооружений". Саратов, СПИ, 1985
8. Беликов В.В. Безытерационный алгоритм расчета распада разрыва для уравнений мелкой воды. В сб. "Пути повышения производительности труда, сокращения сроков проектирования и строительства транспортных сооружений". М., ЦНИИС, 1986
9. Строительные нормы и правила. Основания зданий и сооружений.
СНиП 2.02.01-83. М., Стройиздат, 1985
10. Строительные нормы и правила. Определение расчетных гидрологических характеристик.
СНиП 2.01.14-83. М., Стройиздат, 1985.