Главная // Актуальные документы // Методические рекомендацииСПРАВКА
Источник публикации
М., 2017
Примечание к документу
Название документа
"Методические рекомендации по разработке и реализации мероприятий по организации дорожного движения. Повышение эффективности использования кольцевых развязок"
"Методические рекомендации по разработке и реализации мероприятий по организации дорожного движения. Повышение эффективности использования кольцевых развязок"
Заместитель Министра транспорта
Российской Федерации
Н.А.АСАУЛ
2 июля 2017 года
Одобрено
Научно-технический совет
открытого акционерного общества
"Научно-исследовательский институт
автомобильного транспорта",
Протокол N 2 от 25 апреля 2017 года
Секция "Государственная
политика в области автомобильного
и городского пассажирского транспорта"
Научно-технического совета
Министерства транспорта
Российской Федерации,
Протокол N 54 от 9 декабря 2016 года
МЕТОДИЧЕСКИЕ РЕКОМЕНДАЦИИ
ПО РАЗРАБОТКЕ И РЕАЛИЗАЦИИ МЕРОПРИЯТИЙ
ПО ОРГАНИЗАЦИИ ДОРОЖНОГО ДВИЖЕНИЯ
ПОВЫШЕНИЕ ЭФФЕКТИВНОСТИ ИСПОЛЬЗОВАНИЯ КОЛЬЦЕВЫХ РАЗВЯЗОК
Повышение эффективности использования кольцевых развязок.
Методическое руководство
1. Настоящее Методическое руководство по повышению эффективности использования кольцевых развязок (далее - Методическое руководство) предназначено для использования органами государственной власти субъектов Российской Федерации, органов исполнительной власти муниципальных образований, осуществляющими полномочия и функции в сфере организации дорожного движения на территории субъекта Российской Федерации, муниципальных образований.
2. Методическое руководство разработано в соответствии с
постановлением Правительства Российской Федерации от 03.10.2013 N 864 "О Федеральной целевой программе "Повышение безопасности дорожного движения в 2013 - 2020 годах", действующей Транспортной
стратегией Российской Федерации до 2030 года,
Положением о Министерстве транспорта Российской Федерации, на которое возложены функции по разработке государственной политики в сфере организации дорожного движения.
3. Цель руководства - дать полный и систематизированный обзор эффективности различных мероприятий по совершенствованию условий дорожного движения при проектировании мероприятий по организации дорожного движения.
4. Целью применения настоящего Методического руководства является снижение числа конфликтных ситуаций в дорожном движении, предотвращение ДТП и снижение тяжести их последствий на кольцевых развязках.
5. В настоящем Методическом руководстве используются термины и определения в значениях, установленных законодательством Российской Федерации, документами технического регулирования и рекомендательными документами Министерства транспорта Российской Федерации. Документы технического регулирования и термины приведены в
Приложении 7 к настоящему Методическому руководству.
6.
Приложения 1 -
6 Методического руководства содержат информацию об условиях применения кольцевых пересечений, особенностях их функционирования в зависимости от конфигурации и геометрических параметров, принципиальных решениях по достижению необходимой пропускной способности и требуемой безопасности движения, их обустройства в зависимости от условий применения.
7. Приведены таблицы и номограммы, исходные и иные данные, граничные значения, обеспечивающие необходимую простоту и удобство выбора вариантов узлов и их применения без использования сложных расчетов.
8. Даны описания алгоритма, методов и порядка моделирования при проектировании организации движения на кольцевых пересечениях с учетом требований минимизации задержек, предотвращения заторов и достижения предельно целесообразных уровней обслуживания участников дорожного движения.
ОБЩИЕ УСЛОВИЯ ПРИМЕНЕНИЯ КОЛЬЦЕВЫХ ПЕРЕСЕЧЕНИЙ
1. Функциональное назначение кольцевых пересечений.
1.1. Функциональное назначение кольцевых пересечений:
- распределение транспортных потоков в узлах со сложной планировкой и большим количеством пересекающихся дорог;
- повышение пропускной способности;
- повышение безопасности движения;
- "успокоение" движения;
- создание определенного архитектурного стиля городской среды;
- внедрение удобных форм организации движения для левоповоротных и возвратных транспортных потоков;
- снижение транспортного шума и скоростей движения при размещении узлов в непосредственной близости к медицинским и образовательным учреждениям;
- перераспределение транспортных потоков при близком расположении двух пересечений обычного типа.
1.2. Тип кольцевого пересечения, конструкция и геометрические параметры в первую очередь определяются функциональным назначением узла, а также расчетными значениями интенсивности и скорости движения, обеспечения пропускной способности, требуемого уровня безопасности движения.
1.3. Условия, ограничивающие применение кольцевых пересечений:
- на участках дорог с продольными уклонами более 4%;
- в начале и в конце участков дорог с затяжными спусками и подъемами;
- в непосредственной близости к железнодорожным переездам;
- при наличии в транспортном потоке крупногабаритных автомобилей и автобусов свыше 25%.
2. Преимущества и недостатки кольцевых пересечений.
2.1. Преимущества кольцевых пересечений:
- возможность организации движения без светофорного регулирования при меняющихся соотношениях интенсивности движения по направлениям;
- достижение более эффективной организации движения при пересечении в узле 4-х и более дорог;
- формирование наиболее простых, удобных и понятных водителям транспортных средств условий дорожного движения;
- снижение капитальных затрат по сравнению со строительством транспортных развязок в разных уровнях;
- повышение архитектурно-планировочных качеств пересечений за счет использования малых архитектурных форм и озеленения;
- повышение в 1,5 - 3 раза уровня безопасности движения по сравнению с иными видами пересечений в одном уровне.
- устройство кольцевых пересечений способствует изменению состояния аварийности и снижению тяжести последствий ДТП. Их применение приводит к общему снижению ДТП на 35%. На 90% сокращается количество ДТП со смертельным исходом, на 75% - ДТП с ранеными, на 35% - число происшествий, связанных с наездами на пешеходов, и на 10% с наездами на велосипедистов.
- по показателю тяжести последствий ДТП кольцевые пересечения наиболее эффективны на внегородских автомобильных дорогах, где регистрируется снижение числа погибших на пересечениях в одном уровне более чем в 2 раза. На городских кольцевых пересечениях данный показатель составляет 18 - 20%.
2.2. Недостатки кольцевых пересечений
- необходимость в больших площадях;
- снижение средней скорости движения;
- сложность в организации пропуска пешеходов и велосипедистов;
- сложности координированного управления дорожным движением, организации приоритетного пропуска маршрутных автобусов, в т.ч. троллейбусов;
- необходимость формирования достаточно сложной системы информационного обеспечения водителей об условиях дорожного движения.
2.3. Во многих случаях в условиях сложившейся городской застройки или при ограничении в использовании земельных участков, в узлах со сложной планировкой организуют круговое движение относительно размещаемого центрального направляющего островка различной формы. Такие пересечения следует считать, как транспортные площади с круговым движением.
3. Конфигурации кольцевых пересечений и их характеристика
3.1. Для обеспечения единого подхода к назначению, области применения, геометрическим параметрам, проектированию и организации движения, кольцевые пересечения в настоящем Методическим руководстве классифицированы следующим образом (таблицы 1.1 -
1.3).
Таблица 1.1
Характеристика типов кольцевых пересечений
Категория узла | Краткая характеристика |
Iб | Большие кольцевые пересечения. Применяют преимущественно на внегородских автомобильных дорогах, с большими расчетными скоростями. |
IIа | Средние кольцевые пересечения. Наиболее распространенный тип пересечения для городских и внегородских дорог. Обладает достаточно высокой пропускной способностью при небольшой площади узла |
IIб |
IIIа | Малые кольцевые пересечения. За рубежом этот тип пересечений называют компактным. Рекомендуется применять в узлах местной улично-дорожной сети и магистральной улично-дорожной сети районного значения. |
IIIб |
IVа | Мини-кольцевые пересечения. Используются на улично-дорожной сети местного значения для целей успокоения движения |
Vа | Простые узлы с круговой схемой движения. Нерегулируемые пересечения и примыкания дорог местного значения обустроены только центральным направляющим островком особо малого диаметра без изменения геометрических параметров узла. Движение в узле осуществляется по кругу с приоритетом движения по кольцу. Применяются в населенных пунктах преимущественно для целей успокоения движения. Допускают применение проезжаемых центральных направляющих островков |
VIа | Площади с круговой схемой движения. Узлы, сформировавшиеся в процессе исторического развития и обустроенные для организации кругового движения |
VIIа | Вспомогательные и неполные кольцевые пересечения. К этой категории относятся узлы с элементами кругового движения, узлы с перекрестно-круговой схемой движения |
VIIб |
VIIIа | Кольцевые пересечения со сложной (нестандартной) планировкой. Турбо-кольцевые пересечения, пересечения с двойным (двухочковым) центральным направляющим островком, пересечения с мини-островками у въездов, пересечения с разрезными и секторальными центральными направляющими островками |
Примечание: индекс "а" обозначает применение узлов преимущественно в населенных пунктах, индекс "б" - за пределами населенных пунктов.
3.2. Выбор типа кольцевого пересечения определяется техническими характеристиками пересекающихся дорог, их функциональной и административной классификацией. Суммарная интенсивность движения на подходе к пересечению является одним из основных критериев выбора типа кольцевого пересечения. Окончательное планировочное решение узла
(таблица 1.2) принимают на основе оценки пропускной способности и требований по обеспечению безопасности движения.
3.3. Выбор типа кольцевого пересечения с учетом
таблицы 1.3 осуществляется на основе:
- анализа значений суточной интенсивности и объема левоповоротного движения с учетом рекомендаций, приведенных на графике
(рисунок 1.1) и данных в
таблице 1.2;
- интенсивности движения на въездах и распределение интенсивности движения между выездами (структура матрицы корреспонденций);
- состава транспортных потоков и скорости движения на подходах к узлу;
- характеристики пешеходных потоков и параметров велосипедного движения;
- категории и статуса пересекающихся дорог;
- наличие свободных площадей.
Рисунок 1.1 - Предварительный выбор количества
полос движения на кольцевой проезжей части
для мини-кольцевых пересечений, кольцевых
пересечений малого и среднего диаметра
Таблица 1.2
Категории и параметры узлов с круговой схемой движения
Параметры узлов | Категория узла |
Iб | IIа | IIб | IIIа | IIIб | IVа | Vа | VIа | VIIа | VIIб | VIIIа |
Размер и форма центрального островка | Круглой формы большого диаметра, в форме эллипса, овала большого размера | В форме круга, овала, эллипса, ромба, треугольника со средним размером | В форме круга, овала, эллипса, со средним размером | Круглой формы диаметром 20 - 25 м | Круглой формы диаметром 6 - 19 м | Чаще круглой формы с диаметром до 6 м | Среднего или большого размера любой формы | Малого, среднего и большого размера, чаще круглой формы | Сложной формы, особо малого, малого и среднего размеров |
Количество сходящихся лучей | <= 4 | <= 5 | <= 4 | <= 4 | <= 4 | >= 3 | <= 5 | <= 5 |
Расчетная интенсивность, ед/ч (ед/сутки) | до 70 тыс. ед/сутки | 35 - 40 тыс. ед/сутки | 20 - 25 тыс. ед/сутки | 15 - 20 тыс. ед/сутки. При доле грузовых автомобилей и автобусов в левоповоротном потоке не более 10% | не более 15 тыс. ед/сутки | до 60 тыс. ед/сутки | до 50 тыс. ед/сутки | 15 тыс - 50 тыс. ед/сутки |
Расчетная скорость, км/ч | 50 | 40 | 35 | 25 | 15 - 25 | 10 - 15 | 20 - 40 | 15 - 30 | 10 - 20 |
Количество полос при въезде/выезде | 2/2 - 3/3 | 2/2 - 3/3 | 2/2 | 1/1 | 1/1 | 1/1 | 1/1 - 3/3 | 1/1 - 3/3 | 1/1 - 3/3 |
Количество полос на кольцевой проезжей части | 2 - 3 | 2 - 3 | 2 | 1 | 1 | 1 | 2 - 3 | 1 - 3 | 1 - 3 |
Схема организации движения | Круговая | Круговая, перекрестно-круговая |
Таблица 1.3
Классификация кольцевых пересечений по ключевым признакам
Классификационный признак | Характеристика | Графическая интерпретация |
Количество сходящихся улиц | Трехлучевые | | | |
Четырехлучевые | | | | |
Многолучевые | | | |
Расположение въездов | Симметричные | | |
Полусимметричные | | | | |
Асимметричные | | |
Тип пересечения | Разветвление кольцевого типа | |
Примыкание кольцевого типа | |
Косоугольное пересечение кольцевого типа | |
Сдвинутое пересечение кольцевого типа | | |
Прямоугольное пересечение кольцевого типа | |
Транспортная площадь с круговым движением | |
4. Элементы кольцевых пересечений
4.1. К конструктивным элементам кольцевых пересечений относятся: центральный направляющий островок, устьевые направляющие островки, кольцевая проезжая часть, внутреннее кольцо, въезды и выезды, специальная правоповоротная полоса, разделительная полоса, островок безопасности.
4.2. Геометрические параметры конструктивных элементов кольцевых пересечений представлены на рисунке 1.2.
Рисунок 1.2 - Геометрические
параметры элементов кольцевых пересечений
5. Параметры элементов кольцевых пересечений
5.1. Центральный направляющий островок
5.1.1. Размер центрального направляющего островка при его круглой форме определяется диаметром. В иных случаях он устанавливается по занимаемой площади и величине периметра.
5.1.2. К малым центральным направляющим островкам относятся островки с диаметром менее 25 м (P < 78 м, S < 490 м2), к средним - островки с диаметром менее 80 м (P < 251 м, S < 5000 м2), к большим - островки с диаметром более 80 м (P > 251 м, S > 5000 м2).
5.1.3. Форма центрального островка главным образом зависит от конфигурации узла и относительного значения пересекающихся дорог. Наиболее распространенными являются круглые, квадратные, ромбические, эллиптические, овальные островки (рисунок 1.3).
Рисунок 1.3 - Центральные
направляющие островки нестандартной формы
5.1.4. При преобладании интенсивности движения в одном направлении центральный островок назначают в форме овала или прямоугольника.
5.1.5. При разветвлениях дорог устраивается островок треугольной формы.
5.1.6. В условиях города, особенно при недостатке свободных площадей, центральный островок может быть нестандартной геометрической формы. Как правило, в таких случаях следует отдавать предпочтение применению эллиптического островка, обеспечивая необходимую длину участка переплетения.
5.1.7. Устройство эллиптического островка способствует рассредоточению опасных точек пересечения и уменьшению углов между пересекающимися транспортными потоками. При определенных условиях, когда наличие застройки ограничивает возможность для размещения классического кольцевого пересечения, целесообразно использование пересечения с центральным направляющим островком в форме восьмерки, что обеспечивает развитие узла только в двух диагонально расположенных квадратах, а также с разрезанием узла для пропуска иных видов транспортных средств (рисунок 1.4).
Рисунок 1.4 - Разрезные (секторальные и сегментные
(сложные)) центральные направляющие островки
5.2.1. Конфигурации въездов и сопряжений с кольцевой проезжей частью должны обеспечивать оптимальные углы переплетения транспортных потоков (углы встречи), оптимальная величина которых составляет около 7° (рисунок 1.5).
Рисунок 1.5 - Виды въездов (выездов) кольцевых пересечений
5.2.2. Необходимо обеспечить максимальное совпадение скоростей движения транспортных потоков, двигающихся по кольцевой проезжей части, въезжающих и съезжающих с нее. При этом наиболее целесообразной является разница в скоростях движения не более 20%.
5.2.3. Наименьшая задержка движения на участке переплетения наблюдается при разнице скоростей кольцевого и въезжающего потоков близкой к нулю. Если скорость въезжающего потока превышает скорость движения кольцевого, то допускается применение методов "успокоения" движения при въезде, для снижения скорости движения до расчетных значений.
5.2.4. Допускается уменьшение ширины проезжей части на подходах к кольцевой проезжей части, в зоне пешеходного перехода. Это способствует снижению скорости движения до расчетных значений и обеспечению необходимой безопасности движения пешеходов.
5.2.5. Ширина проезжей части однополосных въездов должна составлять 4,2 - 5,5 м. Большие значения принимают при наличии в составе транспортных потоков грузовых автомобилей и автобусов. Для двухполосных выездов ширину проезжей части назначают в пределах 7,5 - 9,0 м, трехполосных - 11,0 - 14,0 м. Изменение ширины выезда регламентируется длиной линии отгона или линии уширения (15 - 60 м) с величиной отгона 1:15 - 1:20.
5.3. Устьевой направляющий островок
5.3.1. Направляющий островок поднимают над проезжей частью, если его площадь превышает 5 м2. Между направляющим островком и проезжей частью, тротуаром и проезжей частью должны быть предусмотрены полосы безопасности шириной 0,3 - 1,0 м. Углы направляющих островков скругляют (рисунок 1.6).
Рисунок 1.6 - Варианты направляющих островков
5.3.2. Устьевые направляющие островки и направляющие островки других форм должны быть расположены таким образом, чтобы продолжение левых кромок участков въезда и выезда были касательными к внешней кромке центрального направляющего островка, а правые кромки въезда и выезда были бы сопряжены с внешней кромкой кольцевой проезжей части (рисунки 1.7,
1.8).
Рисунок 1.7 - Виды, формы и элементы
устьевых направляющих островков
Рисунок 1.8 - Геометрические параметры
устьевых направляющих островков
5.4. Участок переплетения
5.4.1. Длина участка переплетения должна соответствовать пропускной способности узла. Эффективное и безопасное сплетение транспортных потоков в первую очередь зависит от величины временных граничных интервалов между транспортными средствами сходящихся (переплетающихся) транспортных потоков. Размер центрального направляющего островка должен обеспечивать необходимую длину участка переплетения с учетом принимаемого значения расчетной скорости движения. Выбор минимально необходимой длины участка переплетения определяется по номограммам, исходя из значений объемов движения входящего и кольцевого потоков (рисунки 1.9 -
1.11).
Рисунок 1.9 - Номограмма выбора минимально необходимой длины
участка переплетения при расчетной скорости движения 20 км/ч
Рисунок 1.10 - Номограмма выбора минимально
необходимой длины участка переплетения
при расчетной скорости движения 30 км/ч
Рисунок 1.11 - Номограмма выбора минимально
необходимой длины участка переплетения
при расчетной скорости движения 40 км/ч
5.5. Кольцевая проезжая часть
Форма кольцевой проезжей части может изменяться в зависимости от параметров узла и центрального направляющего островка (рисунок 1.12).
Рисунок 1.12 - Формы и виды кольцевой проезжей части
5.6. Специальная правоповоротная полоса
5.6.1. Выделение специальной правоповоротной полосы предусматривается при интенсивности движения правоповоротного потока более 200 ед/ч, исходя из реальных значений транспортной загрузки пересечений (таблица 1.4).
Таблица 1.4
Границы целесообразного применения специальных
правоповоротных полос для кольцевых пересечений
Интенсивность движения кольцевого потока, ед/ч | Интенсивность движения правоповоротного потока, ед/ч |
Малые и мини-кольцевые пересечения |
- | Доля правоповоротного потока не менее 40% от интенсивности движения въезжающего потока |
Средние и большие кольцевые пересечения |
200 <= Qк < 400 | Qпв > 600 |
400 <= Qк < 600 | 400 <= Qпв < 600 |
600 <= Qпв < 800 |
Nпв >= 800 |
Qк > 600 | 200 <= Qпв < 400 |
400 <= Qпв < 600 |
600 <= Qпв < 800 |
Qпв >= 800 |
5.6.2. Правоповоротную полосу располагают в пределах проезжей части въезда и кольцевой проезжей части с выделением дорожной разметкой, разделительной полосой или выполняют в виде обособленной полосы движения (рисунки 1.13 -
1.15). Конфигурация разделительной полосы в этом случае должна исключать возможность проезда узла в прямом направлении.
Рисунок 1.13 - Варианты устройства
специальных правоповоротных полос
Рисунок 1.14 - Кольцевое пересечение со специальной
правоповоротной полосой и переходно-скоростной полосой
Рисунок 1.15 - Варианты размещения
специальных правоповоротных полос
5.6.3. Для пешеходов и велосипедистов (на отделенной от кольцевой проезжей части правоповоротной полосы) на разделительных островках обособленного правоповоротного съезда следует устраивать зоны ожидания. Скорость движения по дополнительным правоповоротным полосам нормируется, исходя из необходимости предупреждения наездов на пешеходов и велосипедистов, а также снижения тяжести последствий ДТП.
5.6.4. При размещении специальной правоповоротной полосы в пределах кольцевой проезжей части, ее выделяют разметкой или островками с учетом рекомендаций, приведенных на
рисунках 1.14 - 1.16.
Рисунок 1.16 - Варианты размещения
специальных правоповоротных полос
5.6.5. Конструктивное решение специальной правоповоротной полосы может предусматривать наличие переходно-скоростных полос на участках въезда и выезда
(рисунок 1.14).
6. Технические параметры основных типов кольцевых пересечений в населенных пунктах
6.1. Большие кольцевые пересечения применяют преимущественно на внегородских автомобильных дорогах, с большими расчетными скоростями (до 50 км/ч). Данный тип кольцевых пересечений также встречается в исторически сложившейся застройке современных городов. Центральный направляющий островок выполняют круглой формы большого диаметра (100 - 120 м), в форме эллипса, овала большого размера. Расчетная пропускная способность достигает 70 тыс. ед/сутки. Количество полос движения на кольцевой проезжей части может достигать 3.
6.2. На кольцевых пересечениях со средним размером центрального направляющего островка (25 - 80 м) проезжая часть, в большинстве случаев, имеет две полосы движения, въезды и выезды могут быть как однополосными, так и двухполосными с уширением по линии сопряжения с кольцевой проезжей частью. Ключевые параметры узлов представлены в таблице 1.5.
Таблица 1.5
Параметры средних кольцевых пересечений
Внешний диаметр кольцевой проезжей части, м | Диаметр центрального направляющего островка, м | Минимальная ширина кольцевой проезжей части, м |
45 | 25,4 | 9,8 |
50 | 31,4 | 9,3 |
55 | 36,8 | 9,1 |
60 | 41,8 | 9,1 |
65 | 47,6 | 8,7 |
70 | 52,6 | 8,7 |
| | ИС МЕГАНОРМ: примечание. Нумерация пунктов дана в соответствии с официальным текстом документа. | |
6.2. Под малыми кольцевыми пересечениями понимаются узлы со следующими характеристиками (рисунок 1.17):
Рисунок 1.17 - Планировка малого
кольцевого пересечения (пример)
- внешний диаметр кольцевой проезжей части не более 30 м;
- диаметр центрального направляющего островка 20 - 25 м.
- однополосная проезжая часть шириной 4,5 - 5,5 м;
- в узле сходятся дороги, как правило, с двухполосной проезжей частью.
6.3. Пропускная способность малых кольцевых пересечений составляет 2100 - 2300 ед/ч. Рекомендуется применять на местной и магистральной улично-дорожной сети районного значения.
7. Мини-кольцевые пересечения
| | ИС МЕГАНОРМ: примечание. В официальном тексте документа, видимо, допущена опечатка: имеется в виду рисунок 1.18, а не рисунок 1.1718. | |
7.1. Мини-кольцевые пересечения (радиус внешней кромки кольцевой проезжей части от 13 до 18 м) устраиваются на пересечениях дорог, скорость движения по которым не превышает 30 км/ч, как правило, в жилых микрорайонах города, на участках принудительного снижения скорости (см. рисунки 1.1718 -
1.20) при интенсивности движения от 1500 до 2300 авт/ч или до 20 тыс. ед/сутки.
Рисунок 1.18 - План и параметры узла
Рисунок 1.19 - Параметры и схема устройства краевых полос
Рисунок 1.20 - План и параметры узла с объезжаемым островком
7.2. При радиусе внешней кромки кольцевой проезжей части от 7 до 13 м область применения - от 1000 до 1200 авт./ч (таблица 1.6).
Таблица 1.6
Геометрические параметры мини-кольцевых пересечений
Rвн, м | Bпр, м | Bвнутр, м | Bвх, м | Bвых, м | Rвх, м | Rвых, м | B, м | L, м |
7 - 8 | 4,5 | - | 3 | 3,25 | 8 | 9 | - | - |
9 - 11 | 4,25 | - | 3 - 3,25 | 3,5 | 8 - 10 | 10 - 12 | 1 - 2 | 5 - 9 |
12 | 4 | - | 3,5 | 3,5 | 10 | 12 | 2 | 10 |
13 | 7,5 | 3 | 3,5 | 3,5 | 10 | 12 | >= 2 | >= 9 |
14 | 7,25 | 2,9 | 3,5 | 3,75 | 11 | 12 | >= 2 | >= 10 |
15 | 7 | 2,8 | 3,5 | 3,75 | 12 | 14 | >= 2 | >= 10 |
16 - 18 | 6,75 | 2,7 | 3,5 | 3,75 | 12 | 14 | >= 2,5 | >= 12 |
13 - 18 | 7,5 | 3 | 3,5 | 3,5 | 10 | 12 | >= 2 | >= 9 |
7.3. При доле грузовых автомобилей и автобусов в левоповоротном потоке более 10% диаметр центрального направляющего островка принимается равным не менее 14 м. При меньших диаметрах устраивают дополнительные краевые полосы (вдоль внутренней и внешней кромок кольцевой проезжей части) для проезда крупногабаритного транспорта
(рисунок 1.19).
7.4. При наличии сочлененных автобусов, диаметр внешней кромки кольцевой проезжей части должен быть не менее 25 м, а диаметр центрального направляющего островка не менее 11 м.
7.5. Внедрение мини-кольцевых пересечений невозможно, если хотя бы одно сочетание интенсивностей движения сходящихся транспортных потоков лежит в зоне N 5 (рисунок 1.21). При использовании иных критериев (например, по функциональности) допускается их применение при пересечении значений интенсивности движения, характерных для зон N 1. Максимальный эффект от применения мини-кольцевых пересечений достигается при параметрах всех въездов, соответствующих значениям для зон N 3 (для узлов с радиусом внешней кромки кольцевой проезжей части от 13 до 18 м) и для зоны N 2 (для узлов с радиусом внешней кромки кольцевой проезжей части менее 13 м).
Рисунок 1.21 - Пределы эффективного
применения малых кольцевых пересечений
8. Простые узлы с круговой схемой движения
8.1. На улично-дорожной сети местного значения, где устройство полноценных пересечений не представляется возможным, рекомендуется применение узлов с круговой схемой движения в интересах обеспечения саморегулирования процесса движения с использованием ряда организационных решений. Примеры такого способа организации движения даны на рисунках 1.22,
1.23, и в
таблице 1.7.
Рисунок 1.22 - Геометрические параметры пересечения
Рисунок 1.23 - Реализация круговой
схемы движения на сдвинутом пересечении
Таблица 1.7
Геометрические параметры простых
узлов с круговой схемой движения
Ширина проезжей части пересекающихся улиц (A), м | Радиус поворота (B), м | Диаметр центрального направляющего островка (D), м | Смещение центрального направляющего островка относительно кромки проезжей части пересекающихся улиц (C), м | Ширина проезжей части пересечения (E), м |
7,2 | < 3,6 | < 3,9 | 1,65 | 4,8 |
3,6 | 3,9 | 1,5 | 5,1 |
4,5 | 4,2 | 1,35 | 5,4 |
6 | 4,5 | 1,2 | 5,7 |
7,5 | 5,1 | 1,05 | 6,0 |
9 | 3,0 | 5,7 | 1,65 | 4,8 |
3,6 | 6,0 | 1,5 | 5,1 |
4,5 | 6,0 | 1,35 | 5,4 |
6,0 | 6,6 | 1,2 | 5,7 |
7,5 | 7,2 | 1,05 | 6,0 |
10,8 | 3,0 | 7,8 | 1,65 | 4,8 |
3,6 | 7,8 | 1,5 | 5,1 |
4,5 | 8,1 | 1,35 | 5,4 |
6,0 | 8,7 | 1,2 | 5,7 |
7,5 | 9,9 | 1,05 | 6,0 |
8.2. Сложности в организации движения на таких пересечениях возникают при проезде длиннобазовых грузовых автомобилей и больших автобусов. В таких случаях центральный направляющий островок обозначают только разметкой. Из-за стесненных условий допускается отсутствие устьевых направляющих островков.
8.3. Центральный направляющий островок может быть проезжаемым (обозначенным разметкой, выполненным из цветного или крупнозернистого асфальтобетона, брусчатки, булыжного камня, колотого камня, а также в специальном конструктивном исполнении для сквозного проезда через островок автобусов и грузовых автомобилей) или приподнятым над проезжей частью.
У четырехлучевых пересечений диаметр центрального направляющего островка должен быть не менее 4 м, у трехлучевых может быть уменьшен до 2 - 3 м. Цветом и разметкой выделяют островки диаметром менее 4 м. Островки, диаметром более 4 м, при необходимости выполняют приподнятыми над кольцевой проезжей частью с учетом обеспечения проезда крупногабаритных транспортных средств во всех направлениях (проезжаемые островки). Для этого внешнюю кромку центрального направляющего островка приподнимают над кольцевой проезжей частью на 4 - 5 см, центр островка - на 12 - 20 см с уклоном 2 - 3%.
9. Площади с круговой схемой движения
9.1. Транспортные площади, при организации на них кругового движения, не поддаются систематизации и классификации (рисунки 1.24,
1.25). Параметры таких пересечений определяются расчетными методами или методами моделирования. Основными исходными данными в данном случае служат размеры площади, интенсивность и состав транспортных потоков, матрица корреспонденций, схемы организации движения на сходящихся улицах.
Рисунок 1.24 - Площадь с круговым движением
Рисунок 1.25 - Площадь с круговым движением
9.2. Величина пропускной способности площади должна быть сопоставима с пропускной способностью средних и больших кольцевых пересечений, что объясняется многополосной кольцевой проезжей частью и длинными участками переплетения.
10. Вспомогательные и неполные кольцевые пересечения
Данный тип пересечений проектируется в составе транспортных развязок (рисунок 1.26). Тип и параметры кольцевого пересечения зависят от функции узла, перспективной интенсивности движения и состава транспортных потоков.
Рисунок 1.26 - Применение кольцевых пересечений
в качестве составляющих транспортных развязок
11. Кольцевые пересечения со сложной (нестандартной) планировкой
11.1. Данный тип пересечений представляют собой узлы канализированного типа с разрезными и секторальными направляющими островками, турбо-кольцевые пересечения (
рисунки 1.27 -
1.29).
| | ИС МЕГАНОРМ: примечание. Нумерация рисунков дана в соответствии с официальным текстом документа. | |
Рисунок 1.26 - Типы турбо-кольцевых пересечений
Рисунок 1.27 - Типы турбо-кольцевых пересечений
Рисунок 1.28 - Типы турбо-кольцевых пересечений
Рисунок 1.29 - Пересечения канализированного типа
со сложной планировкой и элементами кругового движения
11.2. Турбо-кольцевые пересечения - пересечения с несколькими полосами движения, размеченными (выделенными низким бордюрным камнем) по спирали. Они формируются путем устройства центрального направляющего островка особой сложной формы и канализированием движения. Их применение обусловлено необходимостью исключения дополнительных конфликтных точек при пересечении траекторий движения транспортных средств при двухполосной кольцевой проезжей части. Пропускная способность турбо-кольцевых пересечений составляет от 3 до 5 тыс. ед./ч.
11.3. Особенности турбо-кольцевых пересечений:
- полосы движения на подходах к узлу четко разделены по направлениям;
- в пределах узла недопустимо перестроение транспортных средств и переплетение транспортных потоков;
- резко уменьшается число конфликтов, снижается риск возникновения ДТП;
- используются преимущественно на трех- и четырехлучевых узлах с числом полос на кольцевой проезжей части не менее 2-х.
ОРГАНИЗАЦИЯ ДВИЖЕНИЯ НА КОЛЬЦЕВЫХ ПЕРЕСЕЧЕНИЯХ
1. Основные схемы организации движения
1.1. Различают следующие принципиальные схемы организации движения на кольцевых пересечениях:
Кольцевое саморегулируемое движение. Принцип саморегулирования заключается в маневрировании движением и остановками автомобилей по усмотрению самих водителей в соответствии с Правилами дорожного движения.
Кольцевое преимущественно саморегулируемое движение. Отличие от саморегулируемого в том, что применяются светофоры для пропуска пешеходов.
Кольцевое регулируемое движение транспортных средств. Применяется для разделения транспортных потоков, движущихся по кольцевому пересечению, во времени. Использование светофорного регулирования - исходя из необходимости повышения безопасности движения или наличием трамвайного-троллейбусного движения через узел.
Перекрестно-кольцевое регулируемое движение транспортных средств. Применяется вследствие преобладания транспортных средств в одном из пересекающихся направлений с устройством разрезного центрального направляющего островка.
1.2. На наиболее распространенных трех и четырехлучевых кольцевых пересечениях возможны три варианта организации саморегулируемого движения:
а) С предоставлением преимущественного права проезда транспортным средствам, движущимся по кольцевой проезжей части;
б) С предоставлением преимущественного права проезда транспортным средствам, движущимся по одной из пересекающихся дорог;
в) Изменение направления движения по главной дороге.
2. Саморегулируемое движение транспортных средств обеспечивается наличием в приоритетном потоке граничных интервалов между транспортными средствами, достаточных для въезда автомобилей со второстепенного направления (рисунок 2.1).
Рисунок 2.1 - Номограмма для назначения варианта
организации движения на кольцевом пересечении
3. Организация движения грузовых автомобилей.
3.1. Сложности в организации движения длиннобазовых грузовых автомобилей при проезде кольцевых пересечений обусловлены геометрическими размерами малых кольцевых пересечений и условиями маневрирования грузовых автомобилей на участках переплетения и пересечения.
3.2. Для обеспечения необходимых условий проезда предусматривают устройство краевых полос по внутренней и внешней кромке кольцевой проезжей части, проезжаемых центральных островков, выделяют обособленные полосы движения при наличии многополосной проезжей части въезда и интенсивного движения грузовых автомобилей (рисунки 2.2,
2.3).
Рисунок 2.2 - Выделение обособленной полосы
для грузовых автомобилей при въезде для исключения
маневра перестроения на кольцевой проезжей части
Рисунок 2.3 - Динамические коридоры движения грузовых
автомобилей, обуславливающие геометрические параметры узла
4. Организация движения пешеходов и велосипедистов
4.1. При организации движения пешеходов и велосипедистов, исходя из требований обеспечения их безопасного и удобного движения без снижения эффективности функционирования узла, целесообразно устройство, как наземных, так и внеуличных подземных или надземных переходов через проезжую часть, к конструктивным элементам которых предъявляются особые требования (таблица 2.1).
Таблица 2.1
Инфраструктурные требования к элементам пешеходных переходов
Параметры | Свойства |
Тротуары и пешеходные дорожки |
Поверхность | ровная, нескользкая, без швов; тактильное покрытие; яркая окраска (желтый, оранжевый, красный). |
Водоприемники, решетки | размещают перпендикулярно направлению движения; шаг ребер решеток не более 1,3 см. |
Уклоны | продольный не более 5%; поперечный не более 1 - 2%. |
Пересечение пешеходных путей | в одном уровне |
Оборудование | заниженный бордюр; пандусы; поручни; флажки - поручни; места отдыха (скамьи на расстоянии 300 м друг от друга). |
Информационное обеспечение | знаки, разметка, пиктограммы, информационные табло. |
Технические средства |
Светофоры | кнопки вызова; "специальные" режимы регулирования; звуковые сигналы. |
Информационное обеспечение | знаки, сигналы, информационное табло международного образца. |
Технологические приборы и устройства | при расположении сбоку от посетителя - не выше 1,4 м и не ниже 0,3 м, при фронтальном подходе - от 0,4 до 1,2 м. |
Поручни |
Длина | должны превышать длину лестничного марша на 300 мм сверху и 300 мм снизу. |
Сечение поручня | круглое (30 мм для детей и 50 мм для взрослых); прямоугольное - от 25 мм до 30 мм. |
Высота охватываемой поверхности | для верхнего поручня - 900 мм (поручень для взрослых), для нижнего поручня - 700 - 750 мм (поручень для подростков и детей); для детей дошкольного возраста - 500 мм. |
Лестницы |
Ступени лестниц | ровные; поверхность шероховатая; закругленное ребро, радиусом не более 5 см. |
Ширина проступней | наружные лестницы - 40 см; внутренние лестницы - 30 см. |
Высота подъемов ступеней | наружные лестницы - 12 см; внутренние лестницы - 15 см. |
Окраска | контрастная - светлые проступи и темные подступенки; тактильная поверхность. |
Оборудование | ограждения с поручнями. |
Пандусы |
Условия устройства пандусов | перепад уровня поверхностей, превышающий 4 см |
Высота подъема пандуса | не более 0,8 м |
Уклоны | продольный не более 1:12, поперечный не более 1:50 |
Ширина пандуса | 900 - 1000 мм |
Оборудование | поручни (при уклоне более 5%) на высоте 0,5 м, 0,7 м и 0,9 м; бортики по внешним краям пандуса для предотвращения соскальзывания коляски; дополнительные ограждения на горизонтальных площадках пандуса. |
Кнопки вызова |
Расположение | высота от 0,85 до 1 м, на расстоянии не менее 0,4 м от выступающих частей |
Оборудование | пиктограммы, звуковая система |
Лифты и подъемники |
Ширина платформы | не менее 0,9 м |
Глубина | не менее 1,2 м |
Ширина лестницы, вдоль которой перемещается подъемник | 1500 мм |
Оборудование | поручни, тактильное покрытие, кнопки вызова |
4.2. При выборе конструкции пешеходного перехода следует рассматривать три принципиально различных варианта: устройство отдельных проходов под каждой улицей, устройство общего вестибюля с подходами к нему от угловых участков пересекающихся улиц (рисунок 2.4), комбинированные решения. Применение той или иной схемы определяется технико-экономическим обоснованием.
Рисунок 2.4 - Подземный пешеходный переход
с устройством общего вестибюля
4.3. Если строительство пешеходного перехода в разных уровнях нецелесообразно, пешеходные переходы в одном уровне должны быть удалены от кольцевой проезжей части на расстояние, при котором влияние пешеходного движения на условия функционирования кольцевого пересечения будет минимизировано (рисунки 2.5 -
2.6).
Рисунок 2.5 - Номограмма выбора расстояния
удаления саморегулируемого пешеходного
перехода от кольцевой проезжей части
Рисунок 2.6 - Номограмма выбора расстояния
удаления регулируемого пешеходного перехода
от кольцевой проезжей части
4.4. При информационном обеспечении и инженерном обустройстве узлов следует предусматривать комплекс мер по предотвращению несанкционированного движения пешеходов через проезжую часть.
4.5. Тротуары и пешеходные дорожки следует проектировать с учетом передвижения маломобильных пешеходов
(СП 59.13330.2012). Они, как правило, отделяются от кольцевой проезжей части полосой безопасности шириной 0,6 - 1,5 м. Конструктивное решение полосы безопасности должно препятствовать выходу пешеходов на проезжую часть.
4.6. При наличии пешеходных переходов в устьях сходящихся улиц, направляющие островки выполняют функции островков безопасности. В этом случае, они должны предусматривать площадку для кратковременного ожидания пешеходами достаточных и безопасных интервалов в транспортном потоке. Зона ожидания должна быть расположена на расстоянии не менее 6 м от границы внешней кромки кольцевой проезжей части.
4.7. Организация движения велосипедистов через кольцевое пересечение может быть выполнена двумя способами:
а) смешанное движение - велосипедисты движутся вместе с транспортным потоком по кольцевой проезжей части в нужном направлении;
б) обособленные (огибающие) велосипедные дорожки, которые огибают кольцевое пересечение на расстоянии 1 - 2 м от кольцевой проезжей части и пересекают въезды (выезды) параллельно пешеходному переходу.
4.8. Не рекомендуется устраивать велосипедные дорожки у кромки кольцевой проезжей части вследствие высокой вероятности пересечения велосипедистами кольцевой проезжей части в опасных участках въезда и выезда.
5. Организация движения общественного транспорта
5.1. К основным задачам организации движения транспортных средств общего пользования относят: размещение остановочных пунктов, обеспечение приоритетного движения автобусов и троллейбусов.
5.2. Важнейшее значение имеет расположение маршрутного транспортного средства при посадке и высадке пассажиров. Общая зона влияния на траекторию движения транспортных средств составляет более 150 м, место остановки автобуса (троллейбуса) должно быть смещено от смежной полосы движения не менее чем на 1,5 м путем устройства заездного кармана шириной 4,2 м. В исключительных случаях допускается устройство уширений типа полукарманов.
5.3. Рекомендуется отнесение мест остановки с учетом рекомендаций, представленных на номограммах (рисунки 2.7 -
2.9,
2.15,
2.16). Не рекомендуется размещать остановочный пункт общественного транспорта непосредственно на кольцевой проезжей части. В таких случаях целесообразно совместить удаленный пешеходный переход с удаленным остановочным пунктом.
Рисунок 2.7 - Номограмма выбора расстояния
удаления остановочного пункта (с одним местом
для маршрутных транспортных средств)
Рисунок 2.8 - Номограмма выбора расстояния
удаления остановочного пункта (с двумя местами
для маршрутных транспортных средств)
Рисунок 2.9 - Номограмма выбора расстояния
удаления остановочного пункта (с тремя местами
для маршрутных транспортных средств)
5.4. Основная задача методов организации приоритетного движения транспортных средств общего пользования заключается в том, чтобы автобус (троллейбус), миновав очередь из транспортных средств перед кольцевым пересечением, был первым в очереди на движение по кольцевой проезжей части. Это условие выполнимо при выделении приоритетной полосы по всей улице, подходящей к узлу, или непосредственно перед въездом в узел (рисунки 2.10 -
2.13).
Рисунок 2.10 - Выделение приоритетной полосы по всей улице
Рисунок 2.11 - Выделение приоритетного участка
непосредственно перед въездом на кольцевое пересечение
Рисунок 2.12 - Вариант организации приоритетного
проезда узла при выделении обособленной полосы
Рисунок 2.13 - Организация приоритетного проезда
пересечения методом разнесенных стоп-линий
Рисунок 2.14 - Варианты организации светофорного
регулирования при прохождении трамвайных
маршрутов через кольцевое пересечение
Рисунок 2.15 - Выделение отдельной сигнальной группы
для беспрепятственного движения автобусов и троллейбусов
Рисунок 2.16 - Выделение обособленной фазы
для приоритетного движения транспортных средств
общего пользования во всех направлениях
5.5. При разработке схем организации приоритетного движения транспортных средств общего пользования целесообразно предусматривать совместное применение методов организации приоритета на перегоне и на кольцевом пересечении. Выбор конкретного метода организации приоритетного движения должен учитывать местные дорожные и транспортные условия.
5.6. Методы организации приоритетного движения в узлах с круговой системой движения должны выбираться исходя из:
- наличия или отсутствия, а также расположения обособленных полос для движения автобусов и троллейбусов на перегонах до и после узла;
- геометрических характеристик пересечения;
- направлений движения транспортных средств общего пользования по территории кольцевого пересечения;
- наличия или отсутствия в узле светофорной сигнализации;
- уровня загрузки пересечения движением.
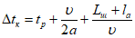
5.7. Расстояние между стоп-линиями (длина шлюза) рассчитывается по формуле:

, (2.1)
где Tц - длительность цикла, с;
t1 - длительность основного такта первой фазы, с;
Nа - интенсивность движения автобусов на данном подходе, физ. ед/ч;
lа - средняя габаритная длина автобуса, м;
l0 - зазор безопасности между транспортными средствами (1 м);
n - общее число полос движения на подходе к перекрестку;
Rn - наименьший радиус поворота автобуса основной марки по колее наружного переднего колеса, м;
Bа - габаритная ширина автобуса, м.
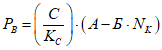
5.8. Величину опережения для включения разрешающего сигнала на дополнительном светофоре по отношению к основному следует определять так:

, (2.2)
где Lш - длина шлюза, м;
aр - величина ускорения при разгоне, м/с2 (допускается использовать усредненное значение aр = 2 м/с2).
5.9. Для освобождения шлюза от неприоритетных транспортных средств запрещающий сигнал на дополнительном светофоре должен включаться раньше (с опережением), чем на основном. Величину этого опережения можно посчитать следующим образом:

, (2.3)
где tр - время реакции водителя, с (допускается принять равным 1 с);

- скорость движения на подходе к перекрестку, м/с;
a - величина замедления при остановке перед стоп-линией, м/с2 (допускается принять равной 2 м/с2).
5.10. Область целесообразного применения этих методов следует устанавливать по критериям, указанным в методических рекомендациях по организации приоритетного движения транспорта общего пользования в городах.
5.11. Конструктивные особенности троллейбусов не влияют на методы решения рассматриваемых задач. При прохождении троллейбусных маршрутов через кольцевые пересечения с центральным направляющим островком сложной формы могут возникать сложности слияния и разветвления контактных линий. Ввиду большого радиуса разворота троллейбусный маршрут не должен пересекать кольцевое пересечение с центральным островком малого размера.
5.12. Наличие трамвайного движения сопряжено с пересечением трамвайными путями основных элементов кольцевых пересечений. Движение трамвая осуществляется в приоритетном порядке. При интенсивном движении трамваев узел переводят в категорию регулируемых. Принципиальные схемы расположения светофоров показаны на
рисунке 2.14.
6. Организация светофорного регулирования
6.1. Применение светофорного регулирования для кольцевых пересечений может быть обусловлено интенсивным движением пешеходов, высоким уровнем аварийности, формированием заторовых и предзаторовых ситуаций при въездах в узел и непосредственно на кольцевой проезжей части, наличием трамвайного движения, условиями организации движения на прилегающих к узлу участках дорог.
6.2. При работе с кольцевыми пересечениями следует применять классическую теорию организации светофорного регулирования. Организация светофорного регулирования в узле предусматривает назначение схемы пофазных разъездов, расчет длительности и структуры цикла светофорного регулирования, оптимизацию параметров светофорного регулирования. Эффективным методом решения этих задач следует считать моделирование. При этом введение светофорного регулирования в узлах с круговой схемой движения следует считать, как исключительную и временную меру.
6.3. Среди методов организации светофорного регулирования при разделении транспортных потоков во времени, необходимо выделить следующие:
- "Зеленая турбина". При этой схеме поочередно пропускаются транспортные потоки каждого въезда. После включения зеленого сигнала светофора транспортные средства, въехавшие в узел, могут беспрепятственно двигаться по всему периметру.
- "Классический". Представляет собой известную в большинстве случаев двух- или многофазную схему регулирования.
- "Смешанный". Имеет признаки нескольких методов.
- "Ramp metering". Применение технологий управления въездами предусматривает поиск разрыва в транспортном потоке. Данный метод относится к категории адаптивных методов управления.
6.4. В рассматриваемых методах исключается остановка транспортного средства на кольцевой проезжей части. Выбор схемы пофазных разъездов (рисунки 2.17 -
2.19) определяется структурой матрицы корреспонденций, количества полос при въезде на кольцевое пересечение, абсолютных значений объемов движения на въезде, размера центрального направляющего островка (
рисунки 2.20 и
2.21).
Рисунок 2.17 - Метод организации
светофорного регулирования "Зеленая турбина"
Рисунок 2.18 - Метод организации
светофорного регулирования "Классический"
Рисунок 2.19 - Метод организации
светофорного регулирования "Смешанный"
Рисунок 2.20 - Зависимость геометрической
задержки транспортного средства от диаметра
центрального направляющего островка
Рисунок 2.21 - Номограмма выбора
длительности основного такта
| | ИС МЕГАНОРМ: примечание. Нумерация пунктов дана в соответствии с официальным текстом документа. | |
6.6. Если введение светофорного регулирования обусловлено только необходимостью безопасного пропуска пешеходов через проезжую часть пересекающихся дорог, то решение задачи сводится не только к оптимизации параметров регулирования для безопасного и комфортного движения пешеходов.
Расположение регулируемых пешеходных переходов непосредственно при выезде (въезде) приводит к ситуации, когда транспортные средства, останавливаясь перед пешеходным переходом на запрещающий сигнал светофора, выстраиваются в очередь, распространяющуюся на кольцевую проезжую часть, и препятствуют движению транспорта в других направлениях. Выходом из ситуации может быть отнесение регулируемых пешеходных переходов от кольцевой проезжей части.
6.7. В том случае, если нет возможности отнести регулируемый пешеходный переход, разрешать движение пешеходам можно только через некоторое время после остановки транспортных средств на всех въездах. Это время необходимо для того, чтобы транспортные средства, въехавшие в узел, покинули его и не препятствовали движению пешеходов. Значение этого периода совпадает с величиной геометрической задержки возвратного потока.
6.8. Реализация светофорного регулирования на кольцевых пересечениях и площадях с круговой системой движения требует дополнительного канализирования движения и информационного обеспечения при въездах в узел. При классическом и смешанном способах светофорного регулирования секции светофоров должны размещаться над каждой полосой при въезде в узел.
7. Организация движения при производстве дорожных работ
7.1. Дорожные работы в узлах с круговой схемой движения могут быть обусловлены текущим содержанием дорог, капитальным ремонтом, реконструкцией или краткосрочными работами по нанесению дорожной разметки и др.
7.2. Производство дорожных работ на пересечениях и примыканиях автомобильных дорог создает значительные трудности во время разъезда транспортных средств (рисунки 2.22 -
2.24). Для повышения безопасности движения в узле, работы рекомендуется выполнять в определенной последовательности.
Рисунок 2.22 Схема организации движения
при реконструкции кольцевого пересечения
(этап N 1 - устройство пешеходных дорожек)
Рисунок 2.23 - Схема организации движения
при реконструкции кольцевого пересечения
(этап N 2 - устройство кольцевой проезжей части)
Рисунок 2.24 - Схема организации движения
при реконструкции кольцевого пересечения
(этап N 3 - устройство направляющих островков)
7.3. Разработка полного комплекса типовых решений по организации движения в узлах при производстве дорожных работ затруднена многообразием пересечений и примыканий, сложными условиями маневрирования транспорта в узле, необходимостью пропуска транспорта во всех разрешенных направлениях, размещением участка дорожных работ в границах узла, ограниченной площадью узла.
7.4. Специальные меры для выбора рациональных решений при организации движения в узлах на период производства работ:
Изменение существующего варианта организации движения. Допускается менять приоритетные направления для обеспечения более безопасных условий проезда узла и повышения его пропускной способности.
Ограничение движения. Запрет проезда узла для определенных типов и категорий транспортных средств.
Распределение транспортных потоков на подходах к узлу. Если в результате производства работ пропускная способность пересечения снижена, то достаточно эффективной мерой будет распределение избыточного транспортного потока по сети с рекомендациями путей объезда "узкого" места.
Приоритет движению общественного транспорта. Может быть временно исключен на период проведения работ.
Светофорное регулирование. Допускается изменение режима работы светофорной сигнализации.
Применение регулировщиков. Определяется необходимостью предупреждения возникновения ДТП и обеспечения соблюдения временно установленных режимов движения.
Полный запрет движения. Применяется в исключительных случаях с обязательным предупреждением населения о принимаемых решениях.
8. Применение технических средств организации движения
| | ИС МЕГАНОРМ: примечание. В официальном тексте документа, видимо, допущена опечатка: ГОСТ Р 50597-93 имеет название "Автомобильные дороги и улицы. Требования к эксплуатационному состоянию, допустимому по условиям обеспечения безопасности дорожного движения". | |
8.1. Информационное обеспечение и инженерное обустройство кольцевых пересечений и узлов с круговой системой движения должно осуществляться в соответствии с требованиями следующих нормативных документов:
ГОСТ Р 51256 "Разметка дорожная",
ГОСТ Р 52290-2004 "Технические средства организации дорожного движения. Знаки дорожные. Общие технические требования",
ГОСТ Р 52289-2004 "Технические средства организации дорожного движения. Правила применения дорожных знаков, разметки, светофоров, дорожных ограждений и направляющих устройств",
ГОСТ Р 50597-93 "Автомобильные дороги и улицы. Требования к эксплуатационному состоянию, допустимому по условиям эксплуатации", Методические
указания по проектированию кольцевых пересечений автомобильных дорог,
Правила дорожного движения Российской Федерации.
8.2. Кольцевые пересечения со всех въездов должны быть обозначены
знаками 4.3 "Круговое движение". В створе каждого въезда должны устанавливаться
знаки 1.34.1,
1.34.2 "Направление поворота". Эта мера практически исключает случаи наезда на центральный направляющий островок, особенно в условиях недостаточной видимости.
8.3. Рекомендуется все сложные въезды на кольцевые пересечения оборудовать
знаками 5.15.1,
5.15.2 "Направление движения по полосам". Они могут быть установлены на растяжке или стационарной П-образной опоре, но обязательно над каждой полосой проезжей части въезда. Кроме основных должны устанавливаться и предварительные знаки.
8.4. Если узел с круговой системой движения расположен за пределами населенного пункта или сразу при въезде, то кроме
знака 4.3 устанавливают
знак 1.7 "Круговое движение".
8.5. Непосредственно перед въездом в узел (со всех его направлений) размещают знаки приоритета
2.1 "Главная дорога",
2.4 "Уступи дорогу",
2.5 "Движение без остановки запрещено" с табличками
8.13 "Направление главной дороги".
Знак 2.5 применяют только в условиях ограниченной видимости слева. Отображение направления главной дороги на табличках
8.13 должно соответствовать фактической конфигурации кольцевой проезжей части. Если по направлению движения к кольцевому пересечению главная дорога меняет свое направление, то за 25 м и 50 - 100 м до пересечения устанавливают основной и предварительный
знак 2.2 "Конец главной дороги". По ходу движения при въезде все вершины устьевого направляющего островка должны быть оборудованы
знаками 4.2.1 "Объезд препятствия справа" с табличкой
8.22.1 "Препятствие". В некоторых случаях перед вершинами устьевых направляющих островков устанавливают водоналивные дорожные барьеры с маской в виде
знака 4.2.1.
8.6. Для информационного обеспечения и зрительного ориентирования водителей, особенно при проезде узлов со сложной конфигурацией,
знаки 6.9.1 "Предварительный указатель направлений" устанавливают предварительно и непосредственно перед каждым въездом на кольцевое пересечение (
рисунки 2.25,
2.26). Для эффективного зрительного ориентирования водителей очень важно, чтобы схема направления движения на знаке соответствовала конфигурации центрального направляющего островка. Подобные знаки допустимо не устанавливать перед мини-кольцевыми пересечениями, заменяя их
знаками 6.10.1 "Указатель направлений".
Центральный, устьевые направляющие островки, разделительные и островки безопасности следует обозначать вертикальной
разметкой 2.7.
8.7. Все островки по периметру обозначают
разметкой 1.1. Для улучшения восприятия, зрительного ориентирования и предотвращения наезда на островок допускается дублировать
разметку 1.1 светоотражающими элементами.
8.8. Линия въезда (граница проезжей части въезда и кольцевой проезжей части) обозначается
разметкой 1.13 для каждой полосы обособленно. Для обозначения полос движения на кольцевой проезжей части применяют
разметку 1.7.
8.9. Примеры применения технических средств организации движения приведены на рисунках 2.25,
2.26.
Рисунок 2.25 - Пример применения технических
средств организации движения на площади
с элементами кругового движения
Рисунок 2.26 - Пример применения технических средств
организации движения на кольцевом пересечении
ОЦЕНКА ХАРАКТЕРИСТИК ТРАНСПОРТНЫХ ПОТОКОВ, ПРОПУСКНОЙ
СПОСОБНОСТИ И УСЛОВИЙ ФУНКЦИОНИРОВАНИЯ КОЛЬЦЕВЫХ ПЕРЕСЕЧЕНИЙ
1. Обследование транспортных потоков на кольцевых пересечениях.
1.1. Характеристики транспортных потоков (интенсивность движения, состав транспортного потока, коэффициенты неравномерности, скорость движения, время задержки, время стоянки, длина очереди) служат начальными сведениями для принятия решений при разработке схем, вариантов и проектов организации движения на кольцевых пересечениях. Характеристики транспортных потоков получают путем натурных исследований и методами прогнозирования (расчетными методами, методами моделирования). Натурные исследования выполняют автоматизированными средствами (транспортными детекторами, передвижными дорожными лабораториями), с использованием средств видеофиксации и при помощи наблюдателей.
1.2. Базовыми характеристиками служат интенсивность движения и состав транспортного потока. При регистрации состава транспортного потока выделяют следующие типы транспортных средств: мотоциклы (включая мотороллеры и мопеды), легковые автомобили (в том числе автомобили с прицепом), грузовые автомобили (с грузоподъемностью до 2 т (с учетом грузопассажирских автомобилей, легких грузовых автомобилей и автофургонов), с грузоподъемностью до 5 т, с грузоподъемностью до 8 т и свыше 8 т, автопоезда с грузоподъемностью до 12 т и свыше), автобусы (особо малой и малой вместимости, средней и большой вместимости (в том числе троллейбусы), особо большой вместимости (включая сочлененные автобусы и троллейбусы)). Бланки учета интенсивности движения и состава транспортного потока приведен в
приложении 4.
1.3. При оценке характеристик транспортных потоков на существующих узлах, ведут работу по восстановлению матрицы корреспонденций. Матрица корреспонденций - это таблица, отражающая распределение интенсивности движения в узле между въездами и выездами. Матрицы корреспонденций являются важнейшей информацией, характеризующей распределение транспортных потоков. Восстановить матрицу корреспонденций - значит найти такую матрицу, которая будет соответствовать фактической с необходимой точностью. Матрицы корреспонденций получают по данным натурных обследований. Различают несколько методов оценки матриц корреспонденций: метод цветных бирок, метод записи номерных знаков, метод одного наблюдателя, методы широкоугольного или панорамного и воздушного видеомониторинга.
1.4. Метод одного наблюдателя. Для обследования корреспонденций достаточно будет одного наблюдателя. В соответствии с методическими рекомендациями назначается период наблюдения, в течение которого наблюдатель регистрирует корреспонденции между пунктом отправления и назначения. Этот период выбирается в зависимости от интенсивности въезжающего транспортного потока и требуемой точности (рисунок 3.1,
3.2). Под визуальным контролем наблюдателя находятся автомобили, последовательно въезжающие в узел со стороны одного въезда. Наблюдатель следит за маршрутом движения въехавшего автомобиля. Как только он понимает пункт его назначения, делает отметку в бланке. Затем выбирает следующий автомобиль в любой полосе движения и выполняет то же самое в течение всего периода наблюдения. Соотнеся полученные абсолютные значения количества автомобилей в каждом направлении с интенсивностью движения на въезде, получает долю транспортных средств в определенном направлении. Точность этих значений будет соответствовать величине, назначенной при выборе периода наблюдения. Наблюдатель не должен контролировать маршруты движения абсолютно всех автомобилей. Структура матрицы корреспонденций проявляется даже при выборочном контроле за маршрутами движения транспортных средств и не меняется в течение длительных промежутков времени. При этом следует помнить, что структура матрицы корреспонденций меняется в течение суток. В результате наблюдатель получает относительное распределение объемов движения между каждым въездом и всеми выездами. Используя фактические значения интенсивности движения на каждом въезде, восстанавливают матрицу распределения интенсивности движения в узле (матрицу корреспонденций).

Рисунок 3.1 - Определение минимального времени
регистрации интенсивности движения при восстановлении
матриц корреспонденций для 4-х лучевых узлов
Рисунок 3.2 - Определение минимального времени
регистрации интенсивности движения при восстановлении
матриц корреспонденций для 3-х лучевых узлов
2. Продолжительность обследования интенсивности движения
2.1. При организации обследования интенсивности движения необходимо учитывать колебания интенсивности движения внутри пикового периода, поскольку кратковременные превышения интенсивности над пропускной способностью могут вызвать образование затора. Пиковая интенсивность движения может устанавливаться несколькими способами (рисунок 3.3).
Рисунок 3.3 - Методы измерения
пиковой интенсивности движения
2.2. Метод "A". Длительность исследуемого периода T составляет 15 минут, (т.е. 0,25 часа). В этом случае часовая пиковая интенсивность и приведенная пиковая интенсивность, полученная в интервале протяженностью 15 минут, связаны зависимостью PHF

, (3.1)
где V - пиковая интенсивность движения за час пик, прив. ед/ч; vр - приведенная пиковая интенсивность прибытия транспортных средств на подходе (полосе) к регулируемому пересечению, измеренная в течение 15-минутного интервала, прив. ед./15 мин; PHF - коэффициент часовой неравномерности (при отсутствии данных принимается равным PHF = 0,92).
2.3. Метод "B". Измерение выполняется в течение всего периода T (в течение часа). Недостатком метода "B" является то, что не учитывается эффект неравномерности внутри пикового часа, когда в течение некоторых интервалов времени интенсивность может превысить пропускную способность.
2.4. Метод "C". Исследование проводится в течение всего периода T (в течение часа), но при этом разделено на 15-минутные интервалы времени.
2.5. В результате, если выявлены интервалы, когда интенсивность прибытия превышает пропускную способность, то обеспечивается более точная оценка качества организации дорожного движения (т.е. величин задержек и очередей транспортных средств на рассматриваемом подходе к регулируемому пересечению).
2.6. В случаях, когда отношение интенсивности движения v к пропускной способности c (v/c-отношение - уровень загрузки) больше, чем 0,9, период измерений желательно продлять до момента пока интенсивность движения остается постоянной.
2.7. Если в течение анализируемого периода уровень загрузки (v/c-отношение) превышает значение 1,0, то обследование продлевается до момента снижения величины уровня загрузки ниже значения 1,0.
2.8. В случае использования метода "C" определяется коэффициент внутричасовой неравномерности PHF:

, (3.2)
где n60 - количество транспортных средств на подходе (полосе), проехавших пересечение в течение часа, авт./ч; n15 - количество транспортных средств на подходе (полосе), проехавших пересечение в течение 15-минутного интервала, авт./15 мин.
3. Формирование матрицы корреспонденций
3.1. Матрицу корреспонденций строят по данным абсолютных и относительных значений интенсивности движения. Ввиду неравномерности распределения объемов движения по направлениям во времени, матрицы корреспонденций составляют для каждого характерного периода буднего и выходного дня. Для построения матрицы корреспонденций по данным относительных значений используют интенсивность движения, приведенную к легковому автомобилю. При составлении матриц корреспонденций по абсолютным значениям интенсивности движения, таблицы строят для каждого типа транспортных средств обособленно.
3.2. По данным матрицы корреспонденций строят цифрограмму, картограмму, эпюру и контурную диаграмму (
рисунки 3.6 -
3.9).
3.3. Сумма значений каждого столбца матрицы соответствует интенсивности движения выходящего потока на соответствующем выезде, сумма значений каждой строки соответствует интенсивности движения входящего потока на соответствующих въездах (рисунок 3.3). Для вычисления значений интенсивности движения кольцевых потоков, пересекающихся потоков необходимо сложить значения интенсивности, отмеченные в матрице (
рисунки 3.4,
3.5).
| | ИС МЕГАНОРМ: примечание. Нумерация рисунков дана в соответствии с официальным текстом документа. | |
Рисунок 3.3 - Схема для определения интенсивности
движения входящих (въезжающих) и выходящих
(выезжающих) транспортных потоков
Рисунок 3.4 - Схема для определения интенсивности
движения кольцевых транспортных потоков
Рисунок 3.5 - Схема для определения интенсивности движения
пересекающихся (переплетающихся) транспортных потоков
3.4. На рисунках 3.6 -
3.9 индексами обозначены корреспонденции между соответствующими въездами и выездами.
Рисунок 3.6 - Вид эпюры интенсивности
движения на кольцевом пересечении
Рисунок 3.7 - Изображение распределения
интенсивности движения на кольцевом пересечении
с помощью контурной диаграммы
Рисунок 3.8 - Варианты цифрограмм интенсивности
движения на кольцевом пересечении
Рисунок 3.9 - Способы изображения картограмм
интенсивности движения на кольцевом пересечении
3.5. Распределение интенсивности движения по матрице корреспонденций и вычисление интенсивности движения на участках переплетения (пересечения), для трехлучевых и многолучевых кольцевых пересечений, выглядят аналогично.
3.6. Характеристику состава транспортных потоков приводят для узла целиком или для каждого направления с указанием распределения интенсивности движения по типам транспортных средств. Скорость движения на участках кольцевой проезжей части определяют по параметрам центрального направляющего островка (Dцно), длины участка переплетения (Lп) и интенсивности движения по кольцевой проезжей части (Qп) (таблица 3.1).
Таблица 3.1
Определение скорости движения по кольцевой
проезжей части от диаметра центрального
направляющего островка и длины участка переплетения
Интенсивность движения по полосе, ед/ч | Средняя скорость движения транспортного потока на участке переплетения |
200 | V = 12,81·ln(Lп) - 17 | V = -0,0004·d2 + 0,27·d + 15 |
300 | V= 14,13·ln(Lп) - 22 | V = -0,0005·d2 + 0,29·d + 14 |
400 | V = 14,27·ln(Lп) - 23 | V = -0,0005·d2 + 0,29·d + 13 |
500 | V = 15,8·ln(Lп) - 30 | V = -0,0006·d2 + 0,31·d + 11 |
600 | V = 14,61·ln(Lп) - 25 | V = -0,0007·d2 + 0,35·d + 7 |
700 | V = 16,4·ln(Lп) - 37 | V = -0,0007·d2 + 0,37·d + 4 |
800 | V = 15,1·ln(Lп) - 36 | V = -0,0006·d2 + 0,38·d |
d - диаметр центрального направляющего островка, м; Lп - длина участка переплетения, м
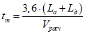
4. Расчет пропускной способности
4.1. В соответствии с действующими нормативно-методическими документами, пропускная способность кольцевого пересечения определяется следующим образом (
таблицы 3.2 -
3.5):

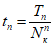
, (3.3)
где C - коэффициент, характеризующий диаметр центрального направляющего островка; KC - коэффициент, учитывающий состав транспортного потока; А и Б - коэффициенты, характеризующие планировку въезда; NK - объем движения кольцевого потока, ед/ч

, (3.4)
где
mi - доля
i-го типа транспортных средств;

- коэффициент приведения
i-й группы транспортных средств;
n - количество типов транспортных средств.
4.2. Коэффициенты приведения к легковым автомобилям для кольцевых пересечений отличаются от коэффициентов приведения для линейных участков. Это связано с иными законами движения транспортных средств в узлах с кольцевой системой
(таблица 3.3).
4.3. Практическая пропускная способность въезда:

(3.5)
4.4. Для расчета полной пропускной способности кольцевого пересечения необходимо определить коэффициент запаса пропускной способности на каждом въезде, который характеризует насколько может увеличиться интенсивность на въезде до достижения пропускной способности.
Таблица 3.2
Сводная таблица расчетных параметров
n1 | n2 | NK, ед/ч | А | Б |
1 | 1 | < 2240 | 1500 | 0,67 |
2 | 2 | < 2530 | 2630 | 1,04 |
1 | 2 | <= 1400 | 1800 | 0,45 |
1 | 2 | > 1400 | 2630 | 1,04 |
1 | 3 | <= 1600 | 1800 | 0,31 |
1 | 3 | > 1600 | 3200 | 1,18 |
2 | 3 | <= 1100 | 2900 | 0,91 |
2 | 3 | > 1100 | 3200 | 0,18 |
n1 - количество полос на подходе к узлу; n2 - количество полос при въезде на кольцевое пересечение.
Таблица 3.3
Тип транспортного средства |
Легковой | Грузовой < 2 т | Грузовой 2..5 т | Грузовой > 5 т | Автобусы | Мотоциклы |
Коэффициент приведения |
1,0 | 1,4 | 1,7 | 2,3 | 2,9 | 0,5 |
Таблица 3.4
Коэффициенты влияния диаметра центрального направляющего
островка на пропускную способность кольцевого пересечения
C | 0,94 | 1,0 | 0,9 | 0,84 | 0,79 | 0,75 |
Д, м | 15 - 20 | 40 - 50 | 80 | 125 | 160 | 200 |

, (3.6)
где z - уровень загрузки; x рассчитывается для каждого въезда.
Таким образом, пропускная способность кольцевых пересечений определяется:

, (3.7)
где NBi - интенсивность движения на i-м въезде, ед/ч.
4.5. Для расчета пропускной способности кольцевого пересечения с центральным направляющим островком малого размера применяют метод, также основанный на расчете пропускной способности въезда на кольцевое пересечение (
таблицы 3.5,
3.6):
L = A - B·qk, (3.8)
где L - пропускная способность въезда, ед/ч; A, B - параметры, характеризующие количество полос при въезде на кольцевое пересечение; qk - интенсивность движения кольцевого потока, ед/ч.
Таблица 3.5
Параметры, характеризующие пропускную способность въезда
Количество полос | Значение параметров |
При въезде | На кольцевой проезжей части | A | B |
1 | 1 | 1,218 | 0,74 |
1 | 2 - 3 | 1,250 | 0,53 |
2 | 2 | 1,380 | 0,5 |
2 | 3 | 1,404 | 0,42 |
Таблица 3.6
Значения коэффициентов влияния пешеходного движения
на пропускную способность въезда кольцевого пересечения
Интенсивность движения на кольцевой проезжей части, ед/ч | Одна полоса движения на кольцевой проезжей части | Две полосы движения на кольцевой проезжей части |
Интенсивность движения пешеходного потока, пеш/ч |
100 | 200 | 300 | 400 | 100 | 200 | 300 | 400 |
100 | 0,99 | 0,93 | 0,87 | 0,82 | 0,89 | 0,87 | 0,84 | 0,81 |
200 | 0,99 | 0,94 | 0,88 | 0,83 | 0,90 | 0,87 | 0,84 | 0,81 |
300 | 0,99 | 0,94 | 0,89 | 0,84 | 0,91 | 0,88 | 0,85 | 0,82 |
400 | 0,99 | 0,95 | 0,90 | 0,86 | 0,92 | 0,89 | 0,86 | 0,83 |
500 | 0,99 | 0,95 | 0,91 | 0,88 | 0,94 | 0,90 | 0,87 | 0,84 |
600 | 0,99 | 0,96 | 0,93 | 0,90 | 0,95 | 0,91 | 0,88 | 0,84 |
700 | 0,99 | 0,97 | 0,95 | 0,93 | 0,96 | 0,93 | 0,89 | 0,85 |
800 | 0,99 | 0,98 | 0,97 | 0,96 | 0,98 | 0,99 | 0,90 | 0,86 |
900 | 0,99 | 1,00 | 1,00 | 1,00 | 1,00 | 0,96 | 0,91 | 0,87 |
1000 | 1,00 | 1,00 | 1,00 | 1,00 | 1,00 | 0,97 | 0,93 | 0,89 |
1100 | | | | | 1,00 | 0,99 | 0,95 | 0,90 |
1200 | | | | | 1,00 | 1,00 | 0,96 | 0,91 |
1300 | | | | | 1,00 | 1,00 | 0,98 | 0,93 |
1400 | | | | | 1,00 | 1,00 | 1,00 | 0,95 |
4.6. Для учета влияния на пропускную способность пешеходов и велосипедистов при имеющихся наземных пешеходных переходах в устьях сходящихся улиц
(таблица 3.6), используют следующее выражение:
L' = L·fg, (3.9)
где L' - пропускная способность въезда с учетом влияния пешеходного перехода, ед/ч; L - пропускная способность въезда, ед/ч; fg - коэффициент влияния интенсивности движения пешеходов на пропускную способность кольцевого пересечения.
4.7. Пропускная способность кольцевого пересечения будет определяться как сумма значений и пропускных способностей выездов:

, (3.10)
где PКП - пропускная способность кольцевого пересечения, ед/ч; n - количество въездов; L'(L) - пропускная способность въездов с учетом влияния пешеходных переходов (и без учета влияния переходов), авт/ч.
4.8. Расчет пропускной способности кольцевого пересечения с центральным направляющим островком малого размера для российских условий эксплуатации осуществляется по методу Д.Ю. Чумакова:

, (3.11)
где
PМКП - пропускная способность малого кольцевого пересечения, ед/ч;

- пропускная способность въезда на кольцевое пересечение с учетом влияния интенсивности движения пешеходов, авт/ч;
k - количество въездов на кольцевое пересечение;

, (3.12)
где

- пропускная способность въезда с учетом влияния пешеходного перехода, ед/ч;
qВ - пропускная способность въезда без учета влияния пешеходного перехода, ед/ч;
KП - коэффициент влияния пешеходного перехода;

, (3.13)
где
PВ - пропускная способность въезда на кольцевое пересечение без учета пешеходного перехода, авт/ч;

- приведенная интенсивность движения кольцевого потока, ед/ч;
tп - "полезный" временной интервал между двумя транспортными средствами, с;
tт - средний интервал между транспортными средствами, с;

, (3.14)
где Tп - "полезное" время, используемое транспортными средствами, с;

(3.15)

, (3.16)
где Lа - длина легкового автомобиля, м; Lд - безопасная дистанция между автомобилями, м; Vрасч - расчетная скорость для проектируемого малого кольцевого пересечения, км/ч;

, (3.17)
где
g - ускорение свободного падения, м/с
2;

- коэффициент сцепления;
tр - время реакции водителя, с.
4.9. Альтернативой аналитическим методам расчета пропускной способности кольцевых пересечений можно считать методы моделирования. Функциональные возможности современных программных комплексов позволяют получать графоаналитические зависимости основных характеристик транспортных потоков. При этом ограничений, связанных с конфигурацией узла, практически нет. Методы моделирования дают возможность более развернуто подойти к характеристике пропускной способности узла, определить скорость, при которой достигается пропускная способность, охарактеризовать факторы, ограничивающие данный параметр. Имеется возможность учесть состав потока, фактическое распределение объемов движения по направлениям, конфигурацию въездов, размеры и форму центрального направляющего островка, оценить эффективность мер повышения пропускной способности.
4.10. Оценка пропускной способности мини-кольцевых пересечений, малых кольцевых пересечений, кольцевых пересечений среднего размера может осуществляться и альтернативным способом:

(3.18)
где c - пропускная способность въезда на кольцевое пересечение, ед/ч;
vс - интенсивность движения кольцевого потока в створе въезда, ед/ч.
Для оценки пропускной способности двухполосного въезда на двухполосное кольцевое пересечение используется аналогичная регрессионная модель:

(3.19)
где c - пропускная способность въезда на кольцевое пересечение, ед/ч;
vс - интенсивность движения кольцевого потока в створе въезда, ед/ч.
| | ИС МЕГАНОРМ: примечание. Нумерация пунктов дана в соответствии с официальным текстом документа. | |
4.12. Расчет пропускной способности мини-кольцевых пересечений, малых кольцевых пересечений, кольцевых пересечений среднего размера в городских условиях, может быть выполнен так:

(3.20)
где c - пропускная способность въезда на пересечение, авт/ч;

- доля свободной части транспортного потока главного направления;
qp - интенсивность движения кольцевого потока, авт/с;
tc - критический временной интервал, с;

- параметр распределения временных интервалов в транспортном потоке главного направления;
tm - минимальный временной интервал между транспортными средствами главного направления
(таблица 3.7), с;
tf - временной интервал следования из очереди для транспортного потока второстепенного направления, с.

(3.21)

(3.22)
Таблица 3.7
Значения параметров дихотомического распределения
Параметр | Характер въезда транспортных средств в узел |
Случайное | Пачкообразное |
A | 2 | 4 |
tm, с | 1,5 | 1,8 |
5. Оценка времени задержки и уровня обслуживания
5.1. Характеристика уровня обслуживания кольцевого пересечения базируется на определении среднего времени задержки (таблица 3.8), которое складывается из геометрической задержки, эксплуатационной задержки и задержки при въезде в узел.
Таблица 3.8
Критерии оценки уровня обслуживания
для кольцевых пересечений по значению среднего
времени задержки автомобиля в узле
Значение времени задержки, с/авт | Уровень обслуживания |
0 - 10 | A |
10 - 15 | B |
15 - 25 | C |
25 - 35 | D |
35 - 50 | E |
> 50 | F |

(3.23)
где

- полное среднее время задержки одного автомобиля в узле, с;

- среднее значение геометрической задержки в узле, с;

- среднее значение задержки при въезде в узел, с;

- среднее значение эксплуатационной задержки в узле, с
5.2. Геометрическая задержка формируется ввиду большой площади узла и наличия центрального направляющего островка. Транспортные средства вынуждены его огибать, двигаясь в любом из направлений (таблица 3.9).
Таблица 3.9
Аналитические зависимости времени геометрической задержки
от диаметра центрального направляющего островка
Вид маневра | Аналитическое выражение |
Правый поворот | tгзро = 4·e0,0633·d |
Движение прямо | tгзпм = 8,9·e0,0591·d |
Левый поворот | tгзл = 13,9·e0,0578·d |
Разворот | tгзв = 18,8·e0,0572·d |
d - диаметр центрального направляющего островка, м.
5.3. Задержка при въезде в узел образуется из-за торможения, ожидания въезда и разгона.
5.4. Эксплуатационная задержка образуется от взаимодействия автомобилей на участках переплетения и пересечения при перестроении в процессе движения по кольцевой проезжей части (таблица 3.10).
Таблица 3.10
Аналитические выражения для расчета
времени эксплуатационной задержки
Интенсивность движения, приведенная к полосе, ед/ч | Эксплуатационная задержка, с/авт |
200 | tзкпч = 0,46·d0,5997 |
300 | tзкпч = 0,57·d0,5589 |
400 | tзкпч = 0,65·d0,54 |
500 | tзкпч = 1,36·d0,3966 |
600 | tзкпч = 2,58·d0,2688 |
d - диаметр центрального направляющего островка, м.

(3.24)
Qпрj Qпмj Qлj Qвj - интенсивность движения соответственно правоповоротного потока, потока прямого направления, левоповоротного потока, возвратного потока для j-го въезда, ед/ч;
tгзпрj tгзпмj tгзлj tгзвj - среднее значение геометрической задержки одного автомобиля соответственно правоповоротного потока, потока прямого направления, левоповоротного потока, возвратного потока для j-го въезда, с;
Qвхj - интенсивность движения на j-ом въезде, ед/ч;
M - количество въездов

(3.25)
tзожвj - среднее время задержки одного автомобиля от ожидания возможности въезда в узел для j-го направления, с;
tзожртj - среднее время задержки одного автомобиля от ожидания разгона и торможения при въезде в узел для j-го направления, с;
m - количество въездов
Рисунок 3.10 - Изменение времени задержки автомобиля
при ожидании возможности въезда на кольцевое пересечение
5.5. Величина эксплуатационной задержки второстепенного направления от ожидания приемлемого временного интервала в кольцевом потоке для въезда на кольцевое пересечение зависит так, как показано на
рисунках 3.10, 3.11.
Рисунок 3.11 - Изменение суммарной задержки от ожидания
торможения и разгона при въезде на кольцевое пересечение

(3.26)
tзкпчi - среднее время задержки одного автомобиля при движении по участку кольцевой проезжей части, с
Qкпчi - интенсивность движения на i-ом участке кольцевой проезжей части, ед/ч
n - количество участков переплетения (пересечения)
5.6. Для расчета интенсивности движения на участках кольцевой проезжей части необходимо восстановить матрицу корреспонденций в узле.
6.1. Степень опасности существующего кольцевого пересечения определяется величиной коэффициента относительной аварийности
(таблица 3.11), характеризующего количество происшествий на 10 млн. автомобилей, прошедших через узел.

, (3.27)
G - количество ДТП за год;
Kг - коэффициент годовой неравномерности интенсивности движения;
Qвхi - интенсивность движения входящего потока на i-м въезде, авт./сутки;
n - количество въездов.
Таблица 3.11
Характеристика степени опасности кольцевого пересечения
Kа | <= 3 | 3,1 - 8,0 | 8,1 - 12 | > 12 |
Степень опасности пересечения | Неопасное | Малоопасное | Опасное | Очень опасное |
6.2. Для снижения количества ДТП на кольцевых пересечениях необходимо совершенствовать их информационное обеспечение и инженерное обустройство при разработке и внедрении современные методы организации движения с учетом их эффективного применения в конкретных дорожных условиях.
Рисунок 3.12 - Виды ДТП на кольцевых пересечениях
1. Боковое столкновение при въезде в узел
2. Наезд на бордюрный камень внешней кромки кольцевой проезжей части
3. Наезд на центральный направляющий островок
4. Попутное столкновение автомобилей при въезде на кольцевое пересечение
5. Боковое столкновение при выезде из узла
6. Наезд на пешехода на пешеходном переходе
7. Наезд на вершину устьевого направляющего островка
8. Боковое столкновение при въезде (выезде)
9. Попутное столкновение на кольцевой проезжей части
10. Попутное столкновение при выезде в зоне пешеходного перехода
11. Наезд на велосипедиста при въезде в узел
12. Наезд на велосипедиста при выезде из узла
13. Боковое столкновение на кольцевой проезжей части
14. Встречное столкновение на кольцевой проезжей части
15. Наезд на пешехода на кольцевой проезжей части
16. Наезд на пешехода при выезде из узла
7. Моделирование движения на кольцевых пересечениях
7.1. Организация работы по моделированию движения
7.1.1. Для организации работы по моделированию движения, необходим единый подход для решения практических задач (таблица 3.12).
Таблица 3.12
Порядок выполнения работ по моделированию
в составе проекта организации дорожного движения
N п/п | Наименование этапа | Содержание работ | Результат |
1 | Определение целей и задач моделирования | Формулирование целей и задач моделирования. Определение зоны моделирования и временного отрезка функционирования объекта моделирования. Разработка плана сбора экспериментальных данных, возможных альтернативных вариантов моделирования | Цель и задачи моделирования. Программа сбора экспериментальных данных. Описание альтернативных вариантов. План разработки модели, включая дополнительные приложения |
2 | Сбор экспериментальных данных | Разработка методики сбора экспериментальных данных. Разработка требований к полноте и достоверности информации, требований к созданию базы данных | Отчет о результатах сбора данных |
3 | Разработка модели | Создание модели сети, технических средств организации дорожного движения, данных транспортного спроса | Первичный вариант модели заданного объекта в программно-моделирующем комплексе |
4 | Выявление ошибок | Выявление ошибок геометрических параметров сети, матриц корреспонденций, противоречий между исходными данными, ошибок поведения модели путем визуализации | Модель заданного объекта в программно-моделирующем комплексе |
5 | Калибровка модели | Проверка и подбор параметров модели для получения результатов, соответствующих экспериментальным данным | Результаты калибровки |
6 | Использование модели | Моделирование заданных вариантов. Подготовка расчетных данных | Результаты моделирования |
7 | Подготовка заключительного отчета | Анализ полученных результатов. Оценка эффективности предложенных мероприятий по совершенствованию организации дорожного движения | Заключительный отчет. Техническая документация |
7.1.2. Рассматривая непосредственно различные направления моделирования при совершенствовании организации дорожного движения, следует выделять следующие типы задач:
оперативные решения организации движения;
решения, связанные с реконструкцией кольцевых пересечений;
планирование развития кольцевых пересечений.
7.2. Выбор метода моделирования
7.2.1. Различают следующие подходы и модели анализа транспортной ситуации при решении задач организации дорожного движения:
- аналитические детерминированные модели, входящие в нормативные и методические документы для решения относительно простых задач прогнозирования транспортной нагрузки, пропускной способности;
- модели транспортного спроса для транспортного планирования при разработке проектов развития узлов;
- микромодели для воспроизведения режимов движения каждого автомобиля в потоке с учетом геометрических характеристик дороги, параметров автомобиля, косвенным учетом типа вождения.
7.2.2. На выбор метода моделирования влияют следующие основные факторы:
- характеристики и тип кольцевого пересечения;
- наличие баз данных по характеристикам транспортных потоков и дорожной сети;
- методы и средства организации дорожного движения;
- задачи проектирования;
- ресурсы.
7.3. Выбор программного обеспечения. Рекомендуется к применению программное обеспечение по моделированию движения на микроуровне для решения различных задач, используя при этом как собственные модели и программы моделирования, так и интегрированные коммерческие программные продукты (AIMSUN, VISSIM, PARAMICS, CORSIM, AVENUE).
7.4. Сбор и подготовка данных для моделирования
7.4.1. Перечень исходных данных зависит от целей и задач моделирования, объекта моделирования, применяемых моделей и программного обеспечения. В общем случае типы исходных данных можно представить следующим образом:
- геометрические характеристики узла (длина линейных участков, число полос, ширина полос, радиус кривых, продольный уклон, дислокация остановочных пунктов общественного транспорта и пешеходных переходов);
- организация дорожного движения (размещение светофорных объектов, параметры светофорного регулирования, алгоритмы регулирования, дорожные знаки, участки ограничения скорости);
- транспортный спрос (интенсивность движения на входах в зону моделирования, матрицы корреспонденций, состав потока, интенсивность движения общественного транспорта);
- данные для калибровки (интенсивность движения в контрольных точках, скорость, длина очереди). В зависимости от типа применяемых методов моделирования при калибровке модели могут также использоваться параметры, отражающие некоторые свойства автомобиля и водителя (длина автомобиля, максимальное ускорение и замедление, максимальная скорость, время реакции водителя и т.д.).
7.4.2. Основные характеристики узла при моделировании включают:
- категории пересекающихся дорог;
- характеристики поперечного сечения дороги - число полос, ширина полос, назначение полос движения, наличие разделительной полосы и ее ширина, дополнительная полоса, конфигурация пересечения;
- велосипедные дорожки, тротуары;
- полосы общественного транспорта (расположение, тип, остановочные пункты);
- условия доступа к узлу;
- длина линейных участков узла, продольные уклоны, радиусы кривых.
7.4.3. Все данные о дорожной сети на участке моделирования должны быть проверены путем натурных обследований.
7.4.4. Исходные данные о параметрах схемы организации дорожного движения включают:
- данные скоростных режимов - скорость свободного движения, средняя скорость, скорость на отдельных участках;
- установленные ограничения скорости;
- дорожные знаки, разметка;
- дислокация транспортных детекторов;
- параметры светофорного регулирования;
- методы и алгоритмы управления движением;
- ограничения на движения автомобилей.
7.4.5. Исходные данные транспортного спроса должны характеризоваться следующей совокупностью данных:
- интенсивность движения транспортных потоков на всех входах/выходах в зоне моделирования;
- состав потока;
- матрицы корреспонденций для различных временных периодов и состава транспортного потока в соответствии с динамикой изменения транспортного спроса;
- пропускная способность и потоки насыщения;
- длина очереди на наиболее загруженных пересечениях;
- интенсивность пешеходного движения;
- интенсивность велосипедного движения;
- данные по движению общественного транспорта - тип транспортных средств, маршруты движения, интервалы для каждого маршрута, среднее время нахождения транспортного средства на остановке.
7.4.6. При моделировании транспортный спрос может задаваться как матрицей корреспонденций, так и данными, указывающими долю поворотного движения на каждом въезде/выезде. Если при моделировании будут решаться задачи перераспределения транспортных потоков или выбора маршрутов движения, то в этом случае транспортный спрос должен быть обязательно представлен матрицей корреспонденций.
Поскольку при калибровке данных используются такие параметры как пропускная способность участков сети, интенсивность движения, скорость движения, время задержки, длина очереди, желательно, чтобы все эти данные были получены одновременно, поскольку в этом случае обеспечивается сопоставимость результатов измерений.
7.4.7. Значения пропускной способности и потоков насыщения, полученные по результатам измерений, должны быть проверены на реалистичность при сравнении с рекомендуемыми значениями нормативных источников. Дополнительному анализу должны подвергаться результаты, отличающиеся более чем на 25% от нормативных.
7.4.8. Рекомендуется также провести визуальную оценку ситуации именно в тот период времени, который будет рассматриваться при моделировании. Такой вид наблюдений позволяет более объективно интерпретировать данные, полученные в результате измерений. Кроме того, такая оценка ситуации позволяет скорректировать дислокацию пунктов сбора информации и помочь в выявлении потенциальных ошибок при сборе данных.
8. Создание базовой модели
8.1. Первым шагом при создании модели является построение в выбранном программно-моделирующем комплексе узла в соответствии с ранее определенными пространственными размерами модели.
В модели транспортный спрос задается количеством транспортных средств определенного типа, совершающих поездку из одного въезда во все выезды в заданный период времени. Поэтому необходимо составлять матрицы корреспонденций как для разных типов транспортных средств, так и для разных периодов времени. Также задаются маршруты и графики движения рейсовых автобусов, объемы велосипедного и пешеходного движения.
8.2. При создании модели данные, характеризующие водителя, являются необходимыми при калибровке модели. Поведение водителей в модели можно регулировать за счет следующих параметров:
- изменение времени реакции водителей. Может устанавливаться как фиксированное время реакции, так и изменяющееся по вероятностным законам. Кроме того, можно устанавливать отдельно время реакции при движении и при торможении;
- определение отношения водителей к уровню ограничения скорости на базе специальных опросов;
- чувствительность водителя ведомого автомобиля для оценки уровня замедления лидирующего автомобиля;
- условия выполнения обгона и возвращения на более медленную полосу.
8.3. Дополнительно к стратегиям управления движением имеется необходимость моделирования специальных событий:
- закрытие для движения отдельных полос;
- снижение пропускной способности.
8.4. Для выполнения процедуры моделирования задаются следующие параметры:
- продолжительность моделирования;
- время "прогрева" модели;
- перечень параметров моделирования для конкретных участков;
- промежутки времени для вывода результатов моделирования;
- вид отчетных данных (таблицы, графики, анимация);
- перечень расчетных параметров моделирования для объекта в целом;
- параметры оценки качества организации дорожного движения.
8.5. Создание модели завершается проведением полной проверкой для выявления возможных потенциальных ошибок и допущенных неточностей.
9.1. Калибровка - это процесс нахождения таких значений параметров, которые будут обеспечивать работоспособность модели в конкретных условиях.
Калибровка включает в себя анализ и корректировку параметров модели, каждый из которых влияет на результаты моделирования, и, при этом, необходимо учитывать влияние этих параметров друг на друга. В этих условиях рекомендуется все параметры калибровки разбить на две группы:
- параметры, которые не оказывают существенного влияния на поведение модели данного объекта и которые не подлежат корректировке;
- параметры, регулировка которых позволит обеспечить приближение модели к реальным условиям.
9.2. Общим правилом является сведение к минимуму возможного числа калибровочных параметров второй группы.
10. Оценка достоверности модели
10.1. Оценка достоверности заключается в проверке соответствия результатов моделирования по откалиброванной модели фактическим данным. При проверке могут использоваться следующие статистические оценки:
- среднеквадратическая ошибка;
- нормализованная среднеквадратическая ошибка;
- коэффициент корреляции;
- коэффициент Зейла.
10.2. Наиболее распространенным критерием расхождений между результатами моделирования и фактическими данными является средний квадрат ошибки. Нормализованная среднеквадратическая ошибка определяет отклонение в процентах данных моделирования от экспериментальных данных. Значение нормализованной среднеквадратической ошибки, не превышающее 0,15 является удовлетворительным результатом калибровки модели.
10.3. Значения главной статистики Зейла, превышающие 0,2 свидетельствуют о существенных отклонениях между результатами моделирования и фактическими данными и калибровку модели необходимо продолжить.
10.4. Расчетная пропускная способность не должна отличаться от фактической более чем на 10%. По длине очереди, расчетные и фактические данные должны отличаться не более, чем на 20%. Задержки в узле не должны иметь отклонение между расчетными и фактическими данными более 15%.
11. Анализ проектных решений
11.1. Анализ проектных решений может состоять из различных сценариев: моделирование условий движения при совершенствовании организации дорожного движения и существующем транспортном спросе, прогнозирование перспективного транспортного спроса при существующей схеме организации дорожного движения, развитие транспортной инфраструктуры и т.д. Для каждого из этих сценариев необходимо осуществить несколько прогонов моделирования, произвести статистическую обработку данных моделирования, провести анализ параметров эффективности и сделать выводы по проектным решениям.
11.2. Моделирование альтернативных проектных решений состоит из нескольких этапов:
- разработка альтернативных проектных решений;
- прогнозирование транспортного спроса для различных проектных решений;
- выбор параметров эффективности;
- моделирование сценариев;
- статистическая обработка результатов;
- оценка эффективности проектных решений.
11.3. Результаты моделирования представляются в табличном, графическом виде (графики зависимостей, гистограммы), в виде визуализации.
4.1. БЛАНК УЧЕТА ИНТЕНСИВНОСТИ ДВИЖЕНИЯ, СОСТАВА ТРАНСПОРТНОГО ПОТОКА, СТРУКТУРЫ МАТРИЦЫ КОРРЕСПОНДЕНЦИЙ
Дата __________ Время __________ Период наблюдения ___________, мин
Адрес _____________________ Ф.И.О наблюдателя ________________
Тип транспортного средства <*> | Номер въезда |
1 | 2 | 3 | 4 |
Направление движения |
ПВ | ПМ | Л | Р | ПВ | ПМ | Л | Р | ПВ | ПМ | Л | Р | ПВ | ПМ | Л | Р |
Распределение интенсивности движения по въездам и направлениям, авт/ч (ед/ч) |
| | | | |
| | | | | | | | | | | | | | | |
| | | | |
| | | | | | | | | | | | | | | |
| | | | |
| | | | | | | | | | | | | | | |
| | | | |
| | | | | | | | | | | | | | | |
| | | | |
| | | | | | | | | | | | | | | |
| | | | |
| | | | | | | | | | | | | | | |
| | | | |
| | | | | | | | | | | | | | | |
--------------------------------
<*> - тип транспортного средства назначается наблюдателем
4.2. Рабочий бланк регистрации интенсивности движения
БЛАНК РЕГИСТРАЦИИ ИНТЕНСИВНОСТИ ДВИЖЕНИЯ, СОСТАВА ТРАНСПОРТНОГО ПОТОКА, СТРУКТУРЫ МАТРИЦЫ КОРРЕСПОНДЕНЦИЙ
Дата __________ Время __________ Период наблюдения ___________, мин
Адрес _____________________ Ф.И.О наблюдателя ________________
Тип транспортного средства <*> | Номер въезда |
|
Направление движения |
ПВ | ПМ | Л | Р |
Распределение интенсивности движения по въездам и направлениям, авт/ч (ед/ч) |
| |
| | | |
| |
| | | |
| | | |
| |
| | | |
| | | |
| |
| | | |
Итого | |
--------------------------------
<*> - тип транспортного средства назначается наблюдателем
(справочное)
МИНИМАЛЬНЫЕ ПОВОРОТНЫЕ ТРАЕКТОРИИ
5.1. Минимальные поворотные траектории для расчетного легкового автомобиля
5.2. Минимальные поворотные траектории для расчетного городского автобуса
5.3. Минимальные поворотные траектории для расчетного пригородного автобуса
5.4. Минимальные поворотные траектории для расчетного сочлененного автобуса
5.5. Минимальные поворотные траектории для расчетного грузового автомобиля
5.6. Минимальные поворотные траектории для расчетного автопоезда
5.7. Минимальные поворотные траектории для расчетного автопоезда
(справочное)
6.1 Пример расчета пропускной способности кольцевого пересечения
I. Исходные данные:
1. Геометрические параметры
а) Dцно = 30 м;
б) Rвн = 26,25 м;
в) Bпр = 11,25 м
г) Bвх1 = Bвых1 = 7 м; Bвх2 = Bвых2 = 7 м; Bвх3 = Bвых3 = 3,5 м; Bвх4 = Bвых4 = 3,5 м
д) Rвх = Rвых = 16,5 м;
е) Число полос n1 = 2; n2 = 2; n3 = 1; n4 = 1.
2. Структура матрицы корреспонденций
Таблица 6.1
Структура матрицы корреспонденции, %
| 1 | 2 | 3 | 4 |
1 | 1 | 43 | 33 | 23 |
2 | 26 | 2 | 19 | 53 |
3 | 53 | 20 | 3 | 24 |
4 | 18 | 48 | 33 | 1 |
3. Характеристики транспортных потоков на въездах
Qвх1 = 460 ед/ч; Qвх2 = 660 ед/ч; Qвх3 = 430 ед/ч; Qвх4 = 530 ед/ч
II. Решение:
1. Вычислим матрицу абсолютных значений интенсивности движения (таблица 6.2).
Таблица 6.2
Матрица корреспонденции, ед/ч
| 1 | 2 | 3 | 4 |
1 | 5 | 198 | 152 | 106 |
2 | 172 | 13 | 125 | 350 |
3 | 228 | 86 | 13 | 103 |
4 | 95 | 254 | 175 | 6 |
2. По сумме столбцов матрицы абсолютных значений определим интенсивность движения на выездах из кольцевого пересечения:
Qвых1 = 500 ед/ч; Qвых2 = 551 ед/ч; Qвых3 = 465 ед/ч; Qвых4 = 565 ед/ч.
3. Построим эпюру объемов движения и картограмму интенсивности движения в узле. Эпюра приведена на рисунке 6.1. Картограммы показаны на
рисунке 6.2,.
Рисунок 6.1 - Эпюра интенсивности движения в узле
Рисунок 6.2. Картограммы интенсивности движения по въездам
4. Расчет пропускной способности кольцевого пересечения:
Пропускная способность узла вычисляется следующим образом:
n - количество въездов;
Nвi - интенсивность движения на i-том въезде, ед/ч;
Pкп - пропускная способность кольцевого пересечения;
Kс - коэффициент, учитывающий состав потока;
Nвi - интенсивность движения на въезде, ед/ч;
Nкi - интенсивность кольцевого потока, ед/ч;
А, С, Б - коэффициент, учитывающий планировку кольцевого пересечения
Z - уровень загрузки i-го въезда;
Zпр - уровень загрузки соответствующей проектной пропускной способности.
| | ИС МЕГАНОРМ: примечание. В официальном тексте документа, видимо, допущена опечатка: раздел 5.4 отсутствует. | |
По справочным таблицам, представленным в разделе 5.4, определим частные коэффициенты:
Kс = 1; С = 0,97; А = 2630 (для 1 и 2 въезда); А = 1500 (для 3 и 4 въездов); Б = 1,04 (для 1 и 2 въезда); Б = 0,67 (для 3 и 4 въездов).
Значение Nкi определим по приведенным выше картограммам и эпюре интенсивности движения:
Nк1 = 611 ед/ч; Nk2 = 450 ед/ч; Nk3 = 573 ед/ч; Nk4 = 506 ед/ч.
Определим уровень загрузки каждого въезда, как отношение интенсивности движения и пропускной способности:
Вычислим коэффициент снижения пропускной способности, и выберем минимальное значение.
Таким образом, пропускная способность узла составит:
Pкп = 1,88(460 + 660 + 430 + 530) = 3910 ед/ч
6.2 Пример оценки времени задержки на кольцевом пересечении
I. Исходные данные:
а) Dцно = 40 м;
б) Интенсивность движения задана матрицей корреспонденций (таблица 6.3).
Таблица 6.3
Матрица корреспонденций, ед/ч
| 1 | 2 | 3 | 4 |
1 | 5 | 198 | 152 | 106 |
2 | 172 | 13 | 125 | 350 |
3 | 228 | 86 | 13 | 103 |
4 | 95 | 254 | 175 | 6 |
По данным матрицы определяем:
Qвх1 = 460 ед/ч; Qвх2 = 660 ед/ч; Qвх3 = 430 ед/ч; Qвх4 = 530 ед/ч;
Qкпч1 = 1110 ед/ч; Qкпч2 = 1103 ед/ч; Qкпч3 = 1036 ед/ч; Qкпч4 = 1071 ед/ч;
Qк1 = 611 ед/ч; Qк2 = 550 ед/ч; Qк3 = 673 ед/ч; Qк4 = 506 ед/ч
II. Решение:
Определим среднее время задержки автомобиля при въезде в узел:
tзожвj - среднее время задержки одного автомобиля от ожидания возможности въезда в узел для j-го направления, с;
tзожртj - среднее время задержки одного автомобиля от ожидания разгона и торможения при въезде в узел для j-го направления, с;
Qвхj - интенсивность движения на j-ом въезде, ед/ч;
m - количество въездов.
Среднее время задержки одного автомобиля от ожидания возможности въезда в узел и среднее время задержки одного автомобиля от ожидания разгона и торможения при въезде в узел определим по графикам на рисунках 6.3 и
6.4, сопоставив интенсивность движения въезжающего и кольцевого потоков.
Рисунок 6.3 - Изменение времени задержки автомобиля
при ожидании возможности въезда на кольцевое пересечение
Рисунок 6.4 - Изменение суммарной задержки от ожидания
торможения и разгона при въезде на кольцевое пересечение
Среднее время задержки автомобиля при въезде в узел составит:
Среднее время эксплуатационной задержки вычислим следующим способом:
tзкпчi - среднее время задержки одного автомобиля при движении по участку кольцевой проезжей части, с;
Qкпчi - интенсивность движения на i-ом участке кольцевой проезжей части, ед/ч;
n - количество участков переплетения (пересечения).
Частные значения tзкпчi определим по таблице 6.4.
Таблица 6.4
Аналитические выражения для расчета времени эксплуатационной
задержки на участках кольцевой проезжей части
Интенсивность движения, приведенная к полосе, ед/ч | Эксплуатационная задержка, с/авт |
200 | tзкпч = 0,46·d0,5997 |
300 | tзкпч = 0,57·d0,5589 |
400 | tзкпч = 0,65·d0,54 |
500 | tзкпч = 1,36·d0,3966 |
600 | tзкпч = 2,58·d0,2688 |
d - диаметр центрального направляющего островка, м.
Среднее время эксплуатационной задержки автомобиля при проезде узла составит:
НОРМАТИВНЫЕ ССЫЛКИ. ТЕРМИНЫ И ОПРЕДЕЛЕНИЯ
1. В настоящем Методическом руководстве использованы ссылки на следующие документы:
ГОСТ Р 52131-2003. Средства отображения информации знаковые для инвалидов. Технические требования.
ГОСТ Р 52575-2006. Дороги автомобильные общего пользования. Материалы для дорожной разметки. Технические требования.
ГОСТ Р 52576-2006. Дороги автомобильные общего пользования. Материалы для дорожной разметки. Методы испытаний.
ГОСТ Р 52606-2006. Технические средства организации дорожного движения. Классификация дорожных ограждений.
ГОСТ Р 52607-2006. Технические средства организации дорожного движения. Ограждения дорожные удерживающие боковые для автомобилей. Общие технические требования.
Свод правил "
СП 59.13330.2012 "Доступность зданий и сооружений для маломобильных групп населения"
СП 42.13330.2011 "СНиП 2.07.01-89* "Градостроительство. Планировка и застройка городских и сельских поселений"
ГОСТ Р 50597-93. Автомобильные дороги и улицы. Требования к эксплуатационному состоянию, допустимому по условиям обеспечения безопасности дорожного движения.
ГОСТ Р 51256-2011. Технические средства организации дорожного движения. Разметка дорожная. Классификация. Технические требования.
ГОСТ Р 52289-2004. Технические средства организации дорожного движения. Правила применения дорожных знаков, разметки, светофоров, дорожных ограждений и направляющих устройств
ГОСТ Р 52290-2004. Технические средства организации дорожного движения. Знаки дорожные. Общие технические требования.
ГОСТ Р 50970-2011. Технические средства организации дорожного движения. Столбики сигнальные. Общие технические требования.
ГОСТ Р 50971-2011. Технические средства организации дорожного движения. Световозвращатели дорожные. Общие технические требования.
ГОСТ Р 52766-2007. Дороги автомобильные общего пользования. Элементы обустройства. Общие требования.
ГОСТ Р 52765-2007. Дороги автомобильные общего пользования. Элементы обустройства. Классификация.
ОСТ 218.1.002-2003. Автобусные остановки на автомобильных дорогах. Общие технические требования.
ОДМ 218.2.032-2013. Методические рекомендации по учету движения транспортных средств на автомобильных дорогах.
ОДМ 218.2.020-2012. Методические рекомендации по оценке пропускной способности автомобильных дорог.
| | ИС МЕГАНОРМ: примечание. В официальном тексте документа, видимо, допущена опечатка: имеется в виду ОДМ 218.2.071-2016, а не ОДМ 218.2.71-2016. | |
ОДМ 218.2.71-2016. Методические рекомендации по проектированию кольцевых пересечений при строительстве и реконструкции автомобильных дорог.
Организация дорожного движения в городах: Методическое пособие; Под общ. Ред. Ю.А. Шелкова/Научно-исследовательский центр ГАИ МВД России. - М.: 1995. - 143 с.
Рекомендации по обеспечению безопасности движения на автомобильных дорогах. - М., Минтранс РФ, 2002. - 110 с. - Введ. 01.07.2002
Рекомендации по проектированию улиц и дорог городов и сельских поселений. - М.: ЦНИИП градостроительства Минстроя России, 1992. - 88 с.
Методические
указания по проектированию кольцевых пересечений автомобильных дорог; Под общ. ред. В.В. Сильянова/Минавтодор РСФСР. - М.: Транспорт, 1980. - 76 с.
2. Термины и определения
Кольцевое пересечение - канализированное пересечение двух и более дорог в одном уровне с центральным направляющим островком, относительно которого организовано круговое движение против часовой стрелки.
Дорога - обустроенная или приспособленная и используемая для движения транспортных средств полоса земли либо поверхность искусственного сооружения. Дорога включает в себя одну или несколько проезжих частей, а также трамвайные пути, тротуары, обочины и разделительные полосы при их наличии.
Дорожно-транспортное происшествие (ДТП) - событие, возникшее в процессе движения по дороге транспортного средства и с его участием, при котором погибли или ранены люди, повреждены транспортные средства, сооружения, грузы либо причинен иной материальный ущерб.
Транспортная инфраструктура - совокупность путей сообщения, технологических сооружений и элементов обустройства, предназначенных для движения людей с использованием средств сообщения и без таковых.
Безопасность движения - состояние процесса дорожного движения, отражающее степень вовлечения участников движения в ДТП.
Улично-дорожная сеть (УДС) - территория общего пользования, предназначенная для обеспечения движения транспортных средств и пешеходов, обеспечения транспортными и пешеходными связями территорий населенных пунктов. К элементам УДС относятся: улицы, проспекты, переулки, проезды, набережные, площади, тротуары, пешеходные и велосипедные дорожки, искусственные сооружения, элементы обустройства.
Дорожное движение - комплекс общественных отношений, возникающий в процессе передвижения людей и грузов по автомобильным дорогам и в их пределах с использованием транспортных средств и без таковых.
БИБЛИОГРАФИЧЕСКИЙ СПИСОК
1. Косарева, М. Вокруг да около//Твоя дорога, N 4 2010. С. 62 - 67
2. Телегин В.Г., Бурдина С.Г., Клевеко В.И. Анализ возможности повышения безопасности дорожного движения на существующей развязке "сосновый бор" в городе Перми//Вестник Пермского национального исследовательского политехнического университета "Строительство и архитектура", 2015. N 1. С. 120 - 134
3. Stepanchuk O., Vasiukovych D. Road traffic safety on the roundabouts//Вiсник Нацiонального авiацiйного унiверситету, 2013. Т. 2. N 55. С. 68 - 74
4. Mandavilli S., Russell E.R., Rys M.J. Kansas Impact of Modern Roundabouts on Vehicular Emissions.
http://www.ctre.iastate.edu/pubs/midcon2003/MandavilliRoundabouts.pdf.
Viewed on 10.02.2016
5. Modern Roundabouts and the Environment//Road Commission of Washtenaw County. http://ourfiles.ifolder.ru/20495395. Viewed on 12.02.2016.
6. Поспелов П.И., Щит Б.А. Экологический аспект проектирования кольцевых пересечений в одном уровне//Сборник докладов V Всероссийской научно-практической конференции с международным участием. Санкт-Петербург, 2015. С. 117 - 124.
7. Смирнов, С. Заколдованный круг/С. Смирнов//За рулем. - 2011. - N 4. - С. 216
8. Поздняков, М.Н. Организация движения на кольцевых пересечениях: учебное пособие/М.Н. Поздняков. - Ростов н/Д: Рост. гос. строит. ун-т, 2010. - 132 с.
9. Современные кольцевые пересечения/А.В. Зедгенизов [и др.]//Иркутский государственный технический университет. - Иркутск, 2009. - 106 с. - Деп. в ВИНИТИ 24.12.2009, N 823
10. Джавадов А.А., Комаров Ю.Я., Грошев И.Ю. Основные этапы развития кольцевых пересечений//Молодой ученый. 2015. N 23 (103). С. 131 - 133.
11. Brilon W. Roundabouts: A State of the Art in Germany, 2011
12. Roundabouts: An Informational Guide//Publication No FHWA-RD-00-67, June 2000, 277 p
13. Roundabout accessibility summit. [Электронный ресурс]//Draft proceedings. Version 2.0 October 28 - 29, 2002 Location: Institute of Transportation Engineers Headquarters. Washington, DC Annotated with Attendee Comments.
14. Roundabouts: An Informational Guide. Second Edition [Text]//NCHRP Report 672. Transportation Research Board. National Research Council. Washington, D.C. 2010. - 115 p.
15. Wim van der Wijk. Turbo roundabouts a safe solution for Hungary/Wim van der Wijk//International Conference "Enhancement of Cooperation in Road Management", Budapest, 15 - 16 Oct. 2009 [Text]: The Hungarian Road Society. - Budapest, 2009.
16. Pellecuer, L., St-Jacques, M. Dernieres avancees sur les carrefoures giratoires [Text]//Canadian Journal of Civil Engineering. - May, 2008. - Vol. 35. - P. 542 - 553.
17. Roundabouts. WSDOT Design Manual M 22-01.06 [Text]. Washington: Administrative and Engineering Publication. - December, 2009. - Chapter 1320. - P. 50.
18. Kennedy J. Review of Accident Research at Roundabouts, Wokingham, Berkshire, Transport Research Laboratory (TRL Limited), 2005. - 14 p.
19. Brilon, W. Roundabouts: A State of the Art in Germany. Vail, Colorado 2005. - 16 p.
20. Flannery. A. Geometric Design and Safety aspects of Roundabouts. Washington, DC.: Transportation Research Board, National Research Council, 2001. - 104 p.
21. Рунэ Э. Справочник по безопасности дорожного движения/Эльвик Рунэ, Аннэ Боргер Мюсен, Ваа Трулс; Пер. с норвеж. под ред. В.В. Сильянова. М: МАДИ, 2001. 754 с.
22. Public Opinion and Traffic Flow Impouts of Newly Installed Modern Roundabouts in the United States/R.A. Petting [et al.]//ITE journal. - 2002. - September.
23. Немчинов Д.М. Турбокруговые пересечения - инструмент снижения аварийности на многополосных кругах//Автомобильные дороги, N 4, 2011. С. 87 - 92
24. Юсупова Ю.Х. Эволюция проектирования дорожных кольцевых пересечений//История науки и техники. 2012. N 10. С. 61 - 66
25. Юсупова, Ю.Х. Вариант организации движения транспортных потоков на турбо-кольцевых пересечениях/Ю.Х. Юсупова//Организация и безопасность дорожн. движения в крупных городах: сб. докл. 10-й междунар. конф. "Организация и безопасность дорожного движения в крупных городах. Инновации: ресурс и возможности". СПбГАСУ. - СПб., 2012. - С. 196 - 198
26. Юсупова, Ю.Х. Опыт оценки потребительских характеристик турбо-кольцевых пересечений/Ю.Х. Юсупова/Проектирование автомобильных дорог: сб. науч. тр./МАДИ. - М., 2011. - С. 97 - 100.
27. Поспелов П.И., Щит Б.А. Повышение транспортно-эксплуатационных качеств пересечений на улично-дорожной сети населенных мест//Инженерные сооружения: профессиональный журнал ОАО "Мосинжпроект", 2014. N 1(3). С. 60 - 74
28. Pospelov P.I., Shevyakov A.P., Shchit B.A. The specifics of the diamond interchanges designing//Наука и техника в дорожной отрасли. 2013. N 3 (66). С. 11 - 13.
29. Поспелов П.И., Щит Б.А. Повышение транспортно-эксплуатационных качеств пересечений в одном уровне//Промышленное и гражданское строительство. 2013. N 7. С. 81 - 84.
30. Липницкий, А.С. Повышение эффективности организации дорожного движения на основе применения компактных кольцевых пересечений: дис. канд. техн. наук: 05.22.10. - Иркутск, 2010. - 223 с.
31. Липницкий А.С. Исследование эффективности применения мини-колец и компактных колец при организации дорожного движения//Вестник Иркутского государственного технического университета. 2009. N 3 (39). С. 57 - 61.
32. Чумаков Д.Ю., Девятов М.М. Классификация малых кольцевых пересечений на автомобильных дорогах в городских условиях//Вестник Волгоградского государственного архитектурно-строительного университета. Серия: Строительство и архитектура. 2004. N 4. С. 52 - 58.
33. Щит Б.А., Поспелов П.И.В., Федотов Г.А., Шевяков А.П. Проблемы проектирования кольцевых пересечений в одном уровне//Наука и техника в дорожной отрасли. 2012. N 3. С. 3а - 6.
34. Елугачев П.А., Катасонов М.А., Елугачев М.А. Обоснование ширины и количества полос движения на кольцевых пересечениях автомобильных дорог//САПР и ГИС автомобильных дорог. 2013. N 1 (1). С. 24 - 28
35. Поспелов П.И., Шевяков А.П., Щит Б.А. Методическое обеспечение проектирования кольцевых пересечений//Вестник Московского автомобильно-дорожного государственного технического университета (МАДИ). 2013. N 1. С. 101 - 111.
36. Елугачёв П.А., Елугачёв М.А., Байгулов А.А. Кольцевые пересечения в двух уровнях. инструменты проектирования есть, а правил выполнения нет//САПР и ГИС автомобильных дорог. 2014. N 1 (2). С. 66 - 69.
37. Поспелов П.И., Щит Б.А., Овчинников М.А., Вершков А.А., Зобнин М.Н., Жуков А.В., Елугачев П.А., Катасонов М.А., Величко Г.В., Сикорская Л.И. Методическое обеспечение автоматизированного проектирования кольцевых пересечений//САПР и ГИС автомобильных дорог. 2014. N 2 (3). С. 46 - 56.
38. Елугачев П.А., Елугачев М.А. Исследование многообразия схем и нормативов кольцевых пересечений в разных уровнях//САПР и ГИС автомобильных дорог. 2015. N 1 (4). С. 60 - 63.
39. Чумаков Д.Ю., Девятов М.М. Классификация малых кольцевых пересечений на автомобильных дорогах в городских условиях//Вестник Волгоградского государственного архитектурно-строительного университета. Серия: Строительство и архитектура. 2004. N 4. С. 52 - 58.
40. Чумаков. Д.Ю. Проектирование элементов малых кольцевых пересечений в населенных пунктах: дис. канд. техн. наук: 05.23.11. - Волгоград, 2007. - 187 с.
41. Design of Mini-roundabouts. Design Manual for Roads and bridges. Road geometry. Volume 6, Section 2, Junctions, 2007. 31 p.
42. Roundabouts. Road planning and design manual [Text], Australia: Department of Main Roads. - Australia, 2006. - Chapter 14. - P. 101.
43. Fortuijn L.G. H. Turbo Roundabouts: Design Principles and Safety Performance//Transportation Research Record. - 2009. - No. 2096. - 12 p.
44. Лебедев Б.М. Проектирование кольцевых пересечений в одном уровне: автореф. дис.... канд. техн. наук. - М., 1972. - 33 с.
45. Влияние скорости на режим и безопасность движения. - М.: ВНИИБДД МВД СССР, 1980. - 129 с.
46. Катасонов М.А., Должиков А.И. Оценка пропускной способности кольцевых пересечений в одном уровне//Современные тенденции развития науки и производства. Сборник материалов II Международной научно-практической конференции. Западно-Сибирский научный центр. Кемерово, 2015. С. 98 - 103.
47. Маркуц В.М. Расчет скорости транспортных потоков в зоне их слияния//Международный журнал экспериментального образования. 2013. N 10-2. С. 370 - 375.
48. Юсупова Ю.Х. Имитационное моделирование транспортных потоков на кольцевых пересечениях с двухполосной проезжей частью и на кольцевых пересечениях с турбо-кольцевой схемой движения в одном уровне//Транспорт: наука, техника, управление. 2013. N 3. С. 67 - 69.
49. Иванченко Е.С., Тебеньков С.Е., Михайлов А.Ю. Измерение параметров транспортных потоков на кольцевых пересечениях//Известия Волгоградского государственного технического университета. 2013. Т. 6. N 10 (113). С. 60 - 62.
50. Юсупова Ю.Х. Имитационное моделирование транспортных потоков на кольцевых пересечениях//Наука и техника в дорожной отрасли. 2013. N 2 (65). С. 11 - 13.
51. Савин Ю.О. Определение пропускной способности городских пересечений кольцевого типа и предложения по их модернизации//Вестник Московского автомобильно-дорожного государственного технического университета (МАДИ). 2014. N 3 (38). С. 103 - 106.
52. Буй Ван Кхием. Характеристики потока пешеходов на кольцевом пересечении//Наука и техника в дорожной отрасли. 2014. N 1. С. 7 - 8.
53. Буй Ван Кхием. Методы расчета пропускной способности кольцевых пересечений//Наука и техника в дорожной отрасли. 2014. N 3. С. 23 - 25
54. Jovanovie G., Lavric D. Micro Simulation of Turbo Roundabouts/G. Jovanovie, D. Lavric//Budapest Conference and PTV Vision Workshops. - Budapest, 2007.
55. Yperman, I. Capacity of a turbo-roundabout determined by microsimulation/I. Yperman, L.H. Immers//Proceedings of the 10th World Congress on ITS. - Madrid, Spain, 2003.
56. Geometric Design of Roundabouts. Design Manual for Roads and bridges. Road geometry. Volume 6, Section 2, Junctions 2007, 51 p.
57. Design of Mini-roundabouts. Design Manual for Roads and bridges. Road geometry. Volume 6, Section 2, Junctions, 2007. 31 p.
58. Wang R., Ruskin H.J. Modeling traffic flow at a single-lane urban roundabout//Computer Physics Communications. - 2002. - Vol. 147, no. 1 - 2. - P. 570 - 576.
59. Fortuijn L.G.H. Turbo Roundabouts: Estimation of Capacity//Transportation Research Record. - 2009. - No. 2130. - P. 83 - 92.
60. Sisiopiku V.P., Heung-Un Oh. Evaluation of Roundabout performance using SIDRA. Of Transportation engineering, march/april, 2001.
61. Akcelik R. Estimating negotiation radius, distance and speed for vehicles using roundabouts. 24th Conference of Australian Institutes of Transport Research (CAITR 2002). - Sydney, 2002.
62. Modeling traffic flows and conflicts at roundabouts/R. Eugene [et al.] Mack-Blackwell rural Transportation Center University of Arkansas. Kansas State University City of Manhattan. - Kansas, 2000.
63. Khatib Z. Performance of a two-lane roundabout - a case study from Sharjah//TEC. - 2004. - N 4. - P. 45.
64. Нордин В.В., Харитошкин Н.В., Беликова А.О. Организация движения велосипедистов на кольцевом пересечении автомобильных дорог//Бюллетень транспортной информации. 2013. N 12 (222). С. 015 - 019.
65. Поздняков, М.Н. Совершенствование организации дорожного движения на кольцевых пересечениях: дис. канд. техн. наук: 05.22.10. - Ростов н/Д., 2005. - 164 с
66. Antoine D.: The safety of roundabouts and traffic lights in Belgium D.G.1 Department of Motorways and Highways, Walloon Ministry of Equipment and Transports, 2003. - 20 p.
67. Kuechler R. Entwurf und Berechnung von Kleinen Kreisverkehren//Status Report "Roundabouts". 2000. Vol. 35. N 5.
68. Roundabouts in signalized corridors: evaluation of traffic flow impacts/S.L. Hallmark, E.J. Fitzsimmons, H.N. Isebrands, K.L. Giese//Transportation Research Record. - 2010. - No. 2182. - P. 139 - 147.
69. Поздняков М.Н. Способы организации дорожного движения на участках переплетения автомобильных дорог//Известия РГСУ. - 2007. - N 11.
70. Курлова А.В., Поздняков М.Н. Адаптивное управление светофорной сигнализацией на кольцевых пересечениях автомобильных дорог//Молодежь и научно-технический прогресс в дорожной отрасли юга России: материалы II студ. науч.-техн. конф./Волгогр. гос. архит.-строит. ун-т. - Волгоград, 2008. - С. 19 - 24.
71. Stone John R. The Effects of Roundabouts on Pedestrian Safety/The Southeastern Transportation Center, 2002
72. Поздняков, М.Н. Организация движения на участках дорожных работ: учебное пособие/М.Н. Поздняков. - Ростов н/Д: Рост. гос. строит. ун-т, 2010. - 126 с.
73.
ОДМ 218.2.020-2012 Методические рекомендации по оценке пропускной способности автомобильных дорог. Отраслевой дорожный методический документ (ОДМ). Росавтодор. Введен 2012-17-02. - М.: Изд-во: ФГУП "ИНФОРМАВТОДОР". - 2012. - 143 с
74. Сильянов В.В. Транспортно-эксплуатационные качества автомобильных дорог и городских улиц. - М.: Академия, 2007. - 352 с.
75. Клинковштейн Г.И., Афанасьев М.Б. Организация дорожного движения. - М.: Транспорт, 2001. - 247 с.
76. Организация дорожного движения в городах: Методическое пособие; Под общ. Ред. Ю.А. Шелкова/Научно-исследовательский центр ГАИ МВД России. - М.: 1995. - 143 с.
77.
Рекомендации по обеспечению безопасности движения на автомобильных дорогах. - М., Минтранс РФ, 2002. - 110 с. - Введ. 01.07.2002
78.
Рекомендации по проектированию улиц и дорог городов и сельских поселений. - М.: ЦНИИП градостроительства Минстроя России, 1992. - 88 с.
79. Методические
указания по проектированию кольцевых пересечений автомобильных дорог; Под общ. ред. В.В. Сильянова/Минавтодор РСФСР. - М.: Транспорт, 1980. - 76 с.