Главная // Актуальные документы // КлассификаторСПРАВКА
Источник публикации
М.: Издательство стандартов, 1991
Примечание к документу
По информации, приведенной в Каталоге замененных нормативных документов в области метрологии (по состоянию на 01.03.2016), данный документ отменен без замены другим межотраслевым нормативным документом.
Взамен МИ 162-78.
Название документа
"МИ 2002-89. Рекомендация. Государственная система обеспечения единства измерений. Системы информационно-измерительные. Организация и порядок проведения метрологической аттестации"
(утв. и введена в действие НПО "Система" 01.01.1990)
"МИ 2002-89. Рекомендация. Государственная система обеспечения единства измерений. Системы информационно-измерительные. Организация и порядок проведения метрологической аттестации"
(утв. и введена в действие НПО "Система" 01.01.1990)
в действие
НПО "Система"
1 января 1990 года
РЕКОМЕНДАЦИЯ
ГОСУДАРСТВЕННАЯ СИСТЕМА ОБЕСПЕЧЕНИЯ ЕДИНСТВА ИЗМЕРЕНИЙ
СИСТЕМЫ ИНФОРМАЦИОННО-ИЗМЕРИТЕЛЬНЫЕ
ОРГАНИЗАЦИЯ И ПОРЯДОК ПРОВЕДЕНИЯ МЕТРОЛОГИЧЕСКОЙ
АТТЕСТАЦИИ
МИ 2002-89
Группа Т80
1. Разработана и внесена Государственным комитетом СССР по управлению качеством продукции и стандартам.
Разработчики:
Б.Д. Колпак, канд. техн. наук (руководитель темы); М.Ф. Наталюк; Л.А. Коломийцев; А.Д. Пинчевский, д-р техн. наук.
2. Утверждена и введена в действие НПО "Система" 01.01.90.
3. Зарегистрирована ВНИИМС 30.06.89.
4. Взамен МИ 162-78.
Настоящая рекомендация распространяется на информационно-измерительные системы (ИИС) и устанавливает организацию и порядок представления, проведения, оформления, рассмотрения результатов и планирования метрологической аттестации (далее - аттестация), а также функциональные обязанности органов и служб, проводящих метрологическую аттестацию.
| | ИС МЕГАНОРМ: примечание. ГОСТ 8.437-81 утратил силу с 1 марта 2003 года в связи с введением в действие ГОСТ Р 8.596-2002 (Постановление Госстандарта России от 30.09.2002 N 357-ст). | |
| | ИС МЕГАНОРМ: примечание. Взамен ГОСТ 8.326-89 на территории Российской Федерации с 1 декабря 2001 года введены в действие ПР 50.2.009-94 "ГСИ. Порядок проведения испытаний и утверждения типа средств измерений" (Постановление Госстандарта России от 27.09.2001 N 394-ст). | |
Рекомендация уточняет и дополняет ГОСТ 8.437-81 и ГОСТ 8.326-89.
Термины, применяемые в настоящей рекомендации, приведены в
Приложении 10.
1.1. В настоящей рекомендации организация и порядок проведения аттестации установлены для стандартизованных ИИС серийного производства и нестандартизованных ИИС единичного производства,
комплектуемых на объекте из серийных средств измерений системного применения (СИСП);
импортируемых в СССР;
находящихся в эксплуатации, но не прошедших аттестацию.
1.1.1. Организация и порядок проведения аттестации стандартизованных ИИС серийного производства рассмотрены в зависимости от способа их формирования как законченного изделия (у потребителя на объекте или на заводе-изготовителе) в виде первого (головного) образца и последующих образцов, аналогичных первому, используемых для нужд народного хозяйства, собственных нужд министерства и поставки на экспорт.
1.1.2. Организация и порядок проведения аттестации нестандартизованных ИИС рассмотрены:
для единичного производства (разового изготовления и повторяющегося единичного производства) в зависимости от их формирования как законченного изделия у потребителя на объекте или на заводе-изготовителе в виде одного изделия (партии), используемых для нужд народного хозяйства, собственных нужд министерства или собственных нужд предприятия-изготовителя ИИС, изготовляемых одновременно и не предусмотренных к повторному производству или изготовляемых периодически отдельными единицами;
для комплектуемых на объекте из серийных средств измерений системного применения в зависимости от их формирования как законченного изделия на объекте эксплуатации, а также от нужд использования (в народном хозяйстве, министерстве, на предприятии);
для импортируемых в СССР в зависимости от их ввоза - единичными экземплярами или партиями;
для находящихся в эксплуатации и не прошедших аттестацию в порядке, установленном ГОСТ 8.437-81 и ГОСТ 8.326-89, - в зависимости от их метрологического обеспечения и использования потребителем.
1.2. Для специальных ИИС, не указанных в
п. 1.1, организацию и порядок аттестации определяют в индивидуальном порядке головной (базовой) организацией министерства (отрасли) и согласовывают с головной организацией Госстандарта по аттестации ИИС - НПО "Система".
Примечание. Участие НПО "Система" и территориальных органов Госстандарта СССР в проведении аттестации специальных ИИС решают в порядке, регламентированном распорядительными документами министерства-заказчика и Госстандарта СССР.
1.3. ИИС допускают к применению после аттестации, основными задачами которой являются:
определение номенклатуры оценок метрологических характеристик (МХ) измерительных каналов (ИК) и их оценка;
установление соответствия метрологических характеристик требованиям технического задания или технических условий, или нормам точности измерения, заданным в стандартах;
установление номенклатуры метрологических характеристик измерительного канала, подлежащих контролю (поверке);
установление межповерочных интервалов измерительных каналов;
установление порядка надзора за ИИС;
выдача рекомендаций Госстандарту о целесообразности импорта ИИС;
выявление потребности в серийном выпуске ИИС единичного производства.
2. ОРГАНЫ И СЛУЖБЫ, ПРОВОДЯЩИЕ АТТЕСТАЦИЮ
2.1. Организацию и проведение аттестации обеспечивают Госстандарт СССР, республиканские управления, территориальные органы, ведомственные метрологические службы министерств (ведомств) и метрологические службы предприятий - потребителей ИИС.
Примечание. Территориальные органы Госстандарта и ведомственные метрологические службы потребителя ИИС проводят аттестацию ИИС на основании полномочий, выданных Госстандартом в установленном порядке.
2.2. Аттестацию ИИС по
п. 1.1.1 проводят с учетом следующего:
2.2.1. Аттестацию первых (головных) образцов ИИС, комплектуемых у потребителя на объектах эксплуатации (в том числе в составе автоматизированных систем управления технологическими процессами) из средств измерений системного применения, поставляемых разными (или одним) предприятиями, организациями и предназначенных для нужд народного хозяйства, проводит территориальный орган Госстандарта с привлечением метрологических служб разработчика и потребителя ИИС или ведомственная метрологическая служба потребителя ИИС по программам и методикам, разработанным разработчиком ИИС и согласованным с НПО "Система".
2.2.2. Аттестацию ИИС, однотипных с головными образцами по
п. 2.2.1, проводят территориальные органы Госстандарта с участием заинтересованных организаций, министерств (ведомств) в соответствии с планом государственной стандартизации по программам и методикам, разработанным для образцов, или метрологическая служба потребителя ИИС.
2.2.3. Аттестацию головных образцов ИИС, применяемых только в одном министерстве (ведомстве), проводят территориальные органы Госстандарта или ведомственные метрологические службы (головная или базовая организация) по программам и методикам, разработанным разработчиком и согласованным с ведомственной метрологической службой и утвержденным руководителем предприятия, проводящего аттестацию.
2.2.4. Аттестацию ИИС, однотипных с головным образцом, указанным в п. 2.2.3, проводит ведомственная метрологическая служба министерства (ведомства) по программам и методикам, разработанным для головного образца.
| | ИС МЕГАНОРМ: примечание. Взамен ГОСТ 8.001-80 на территории Российской Федерации с 1 декабря 2001 года введены в действие ПР 50.2.009-94 "ГСИ. Порядок проведения испытаний и утверждения типа средств измерений" (Постановление Госстандарта России от 27.09.2001 N 394-ст). | |
2.2.5. Аттестацию ИИС, комплектуемых на заводе-изготовителе и предназначенных для нужд разных отраслей народного хозяйства или поставки на экспорт, как правило, подвергают государственным испытаниям по ГОСТ 8.001-80.
Примечания:
1. По решению головной организации по метрологической аттестации допускается индивидуальная аттестация в порядке, указанном в
п.п. 2.2.1,
2.2.2.
2. Если рабочие условия применения однотипных ИИС
(п. 1.1.1) идентичны условиям применения головного образца (
п.п. 2.2.1,
2.2.3), то допускается аттестацию однотипных ИИС по
п.п. 2.2.2,
2.2.4 проводить по уточненной программе, разработанной для головного образца.
2.2.6. Аттестацию ИИС по
п. 1.1.2 проводят с учетом следующего:
2.2.6.1. Аттестацию ИИС единичного повторяющегося производства, предназначенных для нужд, указанных в
п. 1.1.2, и комплектуемых как законченное изделие на объекте эксплуатации, проводит ведомственная метрологическая служба министерства (ведомства) с участием метрологических служб предприятий-разработчиков, заказчика и территориальных органов Госстандарта по программам и методикам, разработанным разработчиком ИИС, согласованным с заказчиком и утвержденным организацией, проводящей метрологическую аттестацию.
2.2.6.2. Аттестацию ИИС единичного производства, комплектуемых (формируемых) на заводе-изготовителе, как правило, проводит метрологическая служба изготовителя ИИС с участием метрологической службы разработчика и потребителя ИИС.
Примечание. При отсутствии метрологической службы на заводе-изготовителе ИИС, имеющей право выполнения аттестации, аттестация может быть выполнена территориальными органами Госстандарта.
2.2.6.3. Аттестацию ИИС единичного производства разового изготовления, предназначенных для нужд народного хозяйства и собственных нужд министерства, комплектуемых на объекте эксплуатации или на заводе-изготовителе, проводят аналогично
п. 2.2.6.1.
2.2.6.4. Аттестацию ИИС единичного производства разового изготовления, предназначенных для собственных нужд предприятия или предприятия-изготовителя ИИС, проводит метрологическая служба предприятия по программам и методикам, согласованным главным метрологом и утвержденным руководителем предприятия.
Примечание. При аттестации ИИС, указанных в
п.п. 2.2.6.1,
2.2.6.2,
2.2.6.3, 2.2.6.4 в виде партии разового изготовления или повторяющегося единичного производства, допускается подвергать аттестации часть образцов ИИС по программе, приведенной в указанных пунктах, остальные ИИС из этой партии могут быть аттестованы по программе, уточненной по результатам аттестации образца.
| | ИС МЕГАНОРМ: примечание. ГОСТ 8.437-81 утратил силу с 1 марта 2003 года в связи с введением в действие ГОСТ Р 8.596-2002 (Постановление Госстандарта России от 30.09.2002 N 357-ст). | |
| | ИС МЕГАНОРМ: примечание. Взамен ГОСТ 8.326-89 на территории Российской Федерации с 1 декабря 2001 года введены в действие ПР 50.2.009-94 "ГСИ. Порядок проведения испытаний и утверждения типа средств измерений" (Постановление Госстандарта России от 27.09.2001 N 394-ст). | |
2.2.6.5. Аттестацию ИИС, комплектуемых из серийных средств измерений системного применения на объектах эксплуатации, в т.ч. в составе автоматизированных систем управления технологическими процессами (п. 4.5 ГОСТ 8.437-81), проводят по ГОСТ 8.326-89.
Примечание. Допускается аттестацию ИИС проводить в процессе аттестации методик выполнения измерений технологических параметров.
| | ИС МЕГАНОРМ: примечание. Взамен ГОСТ 8.001-80 на территории Российской Федерации с 1 декабря 2001 года введены в действие ПР 50.2.009-94 "ГСИ. Порядок проведения испытаний и утверждения типа средств измерений" (Постановление Госстандарта России от 27.09.2001 N 394-ст). | |
2.2.6.6. Аттестацию ИИС, импортируемых в СССР единичными экземплярами, проводят в соответствии с планом Государственной стандартизации организации (предприятия), определяемые Госстандартом. ИИС, импортируемые в СССР партиями, подлежат государственным испытаниям по ГОСТ 8.001-80.
2.2.6.7. Аттестацию ИИС
(п. 1.1.2), находящихся в эксплуатации (снятых с производства, ранее ввезенных из-за границы партиями или единичными экземплярами, содержащих нестандартизованные средства измерений и др.) и не прошедших метрологической аттестации в порядке, установленном ГОСТ 8.437-81 и ГОСТ 8.326-89, проводят метрологические службы предприятий по программам и методикам, согласованным с метрологической службой министерства (ведомства) и утвержденным руководителем предприятия.
2.2.7. Аттестацию ИИС
(п. 1.1.1) проводят, как правило, после государственных приемочных испытаний средств измерений, входящих в измерительные каналы по ГОСТ 8.001-80, или после их аттестации по ГОСТ 8.326-89.
Примечания:
1. В обоснованных случаях допускается совмещать аттестацию ИИС и средств измерений, входящих в измерительный канал по одной программе.
2. Аттестацию ИИС проводят только в тех случаях, когда условия эксплуатации удовлетворяют требованиям, установленным в НТД на средства измерений, входящие в измерительный канал и ИИС в целом.
2.2.8. Аттестацию ИИС проводят в рабочих условиях поканально или на представительных выборках измерительных каналов. Метрологические характеристики, как правило, устанавливают для канала в целом экспериментальным или расчетно-экспериментальным методом. При оценке метрологических характеристик расчетно-экспериментальным методом рекомендуется расчет выполнять по методике, изложенной в МИ 202-80, с учетом методического материала по применению
ГОСТ 8.009-84.
2.2.9. Положительные результаты метрологической аттестации являются основанием для:
ввода ИИС в эксплуатацию с установленными метрологическими характеристиками;
постановки ИИС (
п.п. 2.2.1,
2.2.3,
2.2.5) на производство по
ГОСТ 15.001-88 и допуска в обращение в стране по результатам индивидуальной аттестации каждого образца в порядке, установленном настоящими методическими указаниями;
выдачи рекомендаций Госстандарту о целесообразности импорта в СССР ИИС
(п. 2.2.6.6) партиями или единичными экземплярами;
выдачи потребителю (заказчику) организацией, проводящей аттестацию ИИС, свидетельства, удостоверяющего результаты аттестации.
2.2.10. После аттестации ИИС не допускается вносить изменения в ее измерительные каналы, а также в средства измерений, входящих в измерительный канал. В противном случае должна быть проведена переаттестация ИИС в порядке, установленном настоящей рекомендацией.
2.2.11. Расходы, связанные с проведением аттестации, оплачивают организации (предприятия), представляющие ИИС на аттестацию, в порядке и размерах, установленных на договорной основе.
3. ПОРЯДОК ПРЕДСТАВЛЕНИЯ ИИС НА АТТЕСТАЦИЮ
| | ИС МЕГАНОРМ: примечание. ГОСТ 8.437-81 утратил силу с 1 марта 2003 года в связи с введением в действие ГОСТ Р 8.596-2002 (Постановление Госстандарта России от 30.09.2002 N 357-ст). | |
3.3. ИИС по
п. 2.2.6.5 представляют на аттестацию в порядке, установленном ГОСТ 8.437-81.
3.4. ИИС по
п. 2.2.6.6 представляют на аттестацию организации, указанные в плане государственной стандартизации.
3.5. ИИС по
п. 2.2.6.7 представляют на аттестацию организации, эксплуатирующие ИИС.
3.6. Аттестацию ИИС проводят после их предварительной наработки не более 6 мес или других обоснованных сроков, указанных в технической документации.
3.7. ИИС представляют на аттестацию с документами, приведенными в
Приложении 1.
3.8. Предприятия (организации), эксплуатирующие ИИС, должны представить организации - разработчику программы аттестации справку, содержащую следующие основные данные:
краткие сведения об объекте эксплуатации ИИС;
проект перечня измерительных каналов, подлежащих экспериментальным исследованиям при метрологической аттестации;
номенклатуру влияющих величин, действующих на отдельные средства измерений системного применения, и их характеристики в виде таблиц, графиков, аналитических выражений и т.п.
Методика расчета метрологических характеристик измерительных каналов ИИС (
п.п. 2.2.1;
2.2.3;
2.2.5) по метрологическим характеристикам средств измерений, входящих в измерительный канал ИИС, должна быть представлена в виде отдельного документа или раздела технического описания ИИС.
4. ПОРЯДОК ПРОВЕДЕНИЯ АТТЕСТАЦИИ
4.1. Аттестацию проводят по программе и методике аттестации. Содержание и построение программы должно соответствовать требованиям
Приложения 2, а методики -
Приложений 3,
4,
5,
6.
4.2. Аттестацию проводят по следующим этапам:
представление и рассмотрение технической документации;
согласование и утверждение программы аттестации ИИС;
экспериментальные исследования измерительных каналов ИИС;
рассмотрение результатов аттестации и составление отчета или протокола об аттестации.
5. ОФОРМЛЕНИЕ РЕЗУЛЬТАТОВ АТТЕСТАЦИИ
| | ИС МЕГАНОРМ: примечание. Взамен ГОСТ 7.32-81 Постановлением Госстандарта СССР от 26.02.1991 N 175 с 1 июля 1992 года введен в действие ГОСТ 7.32-91. | |
| | ИС МЕГАНОРМ: примечание. Взамен ГОСТ 8.326-89 на территории Российской Федерации с 1 декабря 2001 года введены в действие ПР 50.2.009-94 "ГСИ. Порядок проведения испытаний и утверждения типа средств измерений" (Постановление Госстандарта России от 27.09.2001 N 394-ст). | |
5.1. По результатам аттестации ИИС, метрологические характеристики которой определяют аттестации МЕТОДИК ВЫПОЛНЕНИЯ ИЗМЕРЕНИЙ (МВИ) в рамках отдельных НИР, составляют отчет по требованиям ГОСТ 7.32-81, в других случаях - протокол по форме Приложения 2 ГОСТ 8.326-89.
5.2. Организация (предприятие), проводящая аттестацию, в течение месяца по окончании аттестации оформляет свидетельство по форме
Приложения 8.
5.3. Организации (предприятия), проводящие аттестацию ИИС, представляют сведения в НПО "Система" по форме
Приложения 9.
6. ФУНКЦИОНАЛЬНЫЕ ОБЯЗАННОСТИ ОРГАНОВ И СЛУЖБ,
ПРОВОДЯЩИХ АТТЕСТАЦИЮ
6.1. Головная организация по аттестации ИИС - НПО "Система":
осуществляет научно-методическое руководство проведением аттестации;
разрабатывает НТД, определяющие порядок проведения аттестации ИИС и средств системного применения и устанавливающие общие требования к аттестации, осуществляет научно-методическое руководство их разработкой;
проводит аттестацию, экспертизу и регистрирует типовые программы и методики, отраслевые стандарты аттестации ИИС;
осуществляет контроль за проведением аттестации и научно-методическое руководство головными и базовыми организациями министерства (ведомства), проводящими аттестацию ИИС;
выполняет работы по ведению справочно-информационного фонда по аттестованным ИИС;
проводит анализ ИИС и представляет в Госстандарт информацию о техническом уровне аттестованных ИИС;
утверждает (согласовывает), рецензирует, проводит метрологическую экспертизу НТД по аттестации ИИС, разрабатываемых министерствами (ведомствами) в рамках комплексных целевых программ.
6.2. Территориальные органы Госстандарта:
проводят аттестацию ИИС;
осуществляют научно-методическое руководство метрологическими службами предприятий (организаций), проводящих аттестацию;
осуществляют надзор за аттестованными ИИС;
проводят анализ эксплуатационных свойств аттестованных ИИС;
ведут работы по ведению справочно-информационного фонда по аттестованным метрологическими службами организаций и предприятий ИИС.
6.3. Министерства и ведомства:
проводят аттестацию согласно требованиям настоящей рекомендации;
| | ИС МЕГАНОРМ: примечание. Взамен ГОСТ 8.383-80 на территории Российской Федерации с 1 декабря 2001 года введены в действие ПР 50.2.009-94 "ГСИ. Порядок проведения испытаний и утверждения типа средств измерений" (Постановление Госстандарта России от 27.09.2001 N 394-ст). | |
представляют в Госстандарт на согласование проекты перспективных и годовых планов по разработке новых типов ИИС и сведения о сроках проведения их аттестации для включения этих сроков в план государственной стандартизации. Форма представления предложений к проекту плана аттестации ИИС - по ГОСТ 8.383-80;
осуществляют контроль за представлением ИИС организациями (предприятиями) министерств (ведомств) на аттестацию;
участвуют в проведении аттестации;
ведут работы по ведению справочно-информационного фонда.
Данные представляют в НПО "Система" и территориальные органы Госстандарта;
проводят анализ эксплуатируемых в министерстве (ведомстве) аттестованных ИИС;
осуществляют контроль за проведением аттестации и научно-методическое руководство метрологическими службами организаций (предприятий), проводящими аттестацию;
разрабатывают исходящую отраслевую НТД по аттестации ИИС.
6.4. Предприятия (организации), представляющие ИИС на аттестацию, подготавливают документацию, указанную в
Приложении 1.
6.5. Предприятия (организации), эксплуатирующие ИИС:
назначают приказом персонал, участвующий в проведении аттестации;
подготавливают вспомогательные, рабочие и образцовые средства измерений в соответствии с требованиями программ аттестации измерительных каналов ИИС, а также необходимую оснастку, оборудование, телефонную или другую связь с мест установки измерительных преобразователей до средств представления информации;
обеспечивают необходимые условия работ при проведении аттестации;
организовывают и проводят аттестацию ИИС.
Примечание. Персонал, проводящий аттестацию, допускается к работам в соответствии с принятым на предприятии (организации) порядком.
7. ПЛАНИРОВАНИЕ АТТЕСТАЦИИ ИИС
7.1. Планирование аттестации ИИС по
п. 1.1.1 с особенностями ИИС, указанными в
п.п. 2.2.1;
2.2.2;
2.2.5;
2.2.6, осуществляет Госстандарт в соответствии с предложениями министерств (ведомств) СССР и Советов Министров союзных республик. Предложения к плану с указанием сроков представления образцов ИИС на аттестацию представляют в Госстандарт по форме, приведенной в
Приложении 2.
7.2. Планирование аттестации ИИС по
п. 2.2.6.5 осуществляют по ГОСТ 8.437-81.
7.3. Планирование аттестации ИИС по
п. 1.1.2 с особенностями, указанными в
п.п. 2.2.6.1;
2.2.6.4;
2.2.6.7, осуществляют в соответствии с планами стандартизации министерств (ведомств) и предприятия.
Обязательное
ДОКУМЕНТЫ, ПРЕДСТАВЛЯЕМЫЕ НА АТТЕСТАЦИЮ ИИС
Перечень документов | Организации, представляющие ИИС на аттестацию |
Предприятие-разработчик | Предприятие-изготовитель | Эксплуатирующее предприятие |
Документация для ИИС, указанных в пунктах настоящей рекомендации |
| | | | | | |
Техническое задание | + | + | + | x | x | x | - |
Проект технических условий на ИИС в целом, в т.ч. на средства измерений, входящие в измерительный канал | + | + | П | + | + | П | - |
Техническое описание и инструкция по эксплуатации | + | + | О | + | + | О | О |
Проект программы метрологической аттестации ИИС | + | + | + | + | + | + | + |
Проект методики поверки | + | + | + | + | + | + | + |
Акт межведомственной комиссии по приемке ИИС | + | - | - | - | - | - | + |
Акт о вводе ИИС в опытную эксплуатацию | + | + | - | + | + | + | + |
Журнал опытной эксплуатации | + | + | - | + | + | + | + |
Свидетельства поверок средств измерений системного применения | - | - | - | + | + | + | + |
Специальные требования, предъявляемые к технике безопасности | + | + | + | + | + | + | + |
Методика расчета метрологических характеристик измерительных каналов | + | + | + | - | - | - | + |
Примечания:
1. Документы, представляемые на аттестацию ИИС по
п.п. 2.2.6.5;
2.2.6.6, должны соответствовать требованиям ГОСТ 8.437-81 и ГОСТ 8.326-89.
2. В таблице знак "+" означает наличие документа; знак "-" - отсутствие документа; знак "x" - НТД представляет разработчик ИИС по требованию организации, проводящей аттестацию; знак "О" - разрешается представление объединенного документа; "П" - потребитель системы.
Обязательное
ТИПОВАЯ ПРОГРАММА МЕТРОЛОГИЧЕСКОЙ АТТЕСТАЦИИ
ИНФОРМАЦИОННО-ИЗМЕРИТЕЛЬНЫХ СИСТЕМ
Требования к содержанию и построению
Типовая программа аттестации распространяется на ИИС, приведенные в настоящей рекомендации, и устанавливает основные требования к ее построению и содержанию.
Типовая программа содержит рекомендации по устранению:
продолжительности межповерочных интервалов;
объема представительной выборки;
количества исследуемых точек по диапазону измерений;
количества наблюдений в исследуемых точках измерения.
1. Требования к построению
Программа должна содержать следующие разделы:
1.1. Общие положения.
1.2. Измерительные каналы. Общие требования.
1.3. Образцовые и вспомогательные средства измерений.
1.4. Техническая документация.
1.5. Экспериментальные исследования измерительных каналов.
1.6. Методика проведения метрологической аттестации.
1.7. Организация и распределение работ.
2. Требования к содержанию
2.1. Раздел "Общие положения" должен содержать:
2.1.1. Сведения о назначении программы и об объекте аттестации.
2.1.2. Конечную цель.
2.1.3. Задачи:
определение номенклатуры оценок метрологических характеристик измерительных каналов и их оценка;
установление соответствия метрологических характеристик требованиям технического задания или технических условий или нормам точности измерений, заданным в стандартах;
установление номенклатуры метрологических характеристик измерительного канала, подлежащих контролю (поверке);
установление межповерочных интервалов измерительных каналов;
установление порядка надзора за ИИС;
выдача рекомендаций Госстандарту о целесообразности импорта ИИС;
выявление потребности в серийном выпуске ИИС единичного производства.
2.2. Раздел "Измерительные каналы. Общие требования" должен содержать:
2.2.1. Перечень ИК, подлежащих аттестации.
2.2.2. Структурные схемы формирования ИК при экспериментальных исследованиях и спецификацию к этим схемам.
2.2.3. Требования к подготовке ИК для экспериментальных исследований.
2.2.4. Требования к выбору способа и форм представления метрологических характеристик с учетом особенностей эксплуатации конкретных типов ИК ИИС (их выпуска с предприятия-изготовителя, монтажа на объекте, разнесенности в пространстве агрегатных средств измерений (АСИ) изменчивости в процессе эксплуатации ИК, доступности для метрологического контроля и т.п.).
2.3. Раздел "Образцовые и вспомогательные средства измерений" должен содержать:
2.3.1. Перечень (в виде таблицы) образцовых и вспомогательных средств измерений, необходимых для проведения аттестации, с указанием основных характеристик и документов, распространяющихся на них.
2.4. Раздел "Техническая документация" должен содержать:
| | ИС МЕГАНОРМ: примечание. В официальном тексте документа, видимо, допущена опечатка: пункт 2.8 в тексте документа отсутствует. | |
2.4.1. Перечень технической документации, предъявляемой при метрологической аттестации по п. 2.8 настоящей рекомендации.
2.4.2. Методику рассмотрения технической документации в соответствии с табл. 1.
Таблица 1
Содержание работ по рассмотрению технической документации | Указания по методике рассмотрения технической документации |
1. Анализ НТД, относящейся к установлению межповерочных интервалов ИК системы | Устанавливают продолжительность межповерочных интервалов ИК с учетом требований п. 2.4.1. Рекомендации по установлению продолжительности межповерочных интервалов приведены в Приложении 3 |
2. Оценка эксплуатационной документации с точки зрения удобства ее использования потребителем | Проверяют возможность ознакомления с установкой, наладкой, эксплуатацией и техническим обслуживанием ИИС по документации, указанной в п. 2.4.1 |
3. Предварительная оценка возможности метрологического обслуживания ИИС государственной (ведомственной) метрологической службой | Определяют полноту и правильность выбора метрологических характеристик, а также выбранных методов и средств исследований и поверки, четкость и полноту изложения операций, выполняемых при определении метрологических характеристик |
2.5. В разделе "Экспериментальные исследования ИК" отображают этапы работ, наименование и последовательность выполнения которых приведены в табл. 2.
Наименование этапов работ | Требования к методике выполнения этапов работ |
1. Установление объема выборки ИК | Объем выборки ИК, подлежащих исследованию, устанавливают с учетом структурных особенностей ИИС и с заданной доверительной вероятностью Рекомендации по установлению объема представительной выборки измерительных каналов приведены в Приложении 4 |
2. Установление числа исследуемых точек по диапазону измерений и способа аппроксимации результатов измерений | Число исследуемых точек по диапазону измерений и способ аппроксимации результатов измерений должны гарантировать оценку МХ с заданной доверительной вероятностью. Рекомендации по установлению числа исследуемых точек по диапазону измерений приведены в Приложении 5 |
3. Установление числа наблюдений в исследуемых точках диапазона измерения | Число наблюдений в исследуемых точках диапазона измерения должно гарантировать оценку МХ измерений с заданной доверительной вероятностью. Рекомендации по установлению числа наблюдений в исследуемых точках диапазона измерения приведены в Приложении 6 |
4. Установление требований к режиму измерений и к их последовательности во времени | Требования к режиму измерений и к их последовательности во времени должны быть установлены в соответствии с НТД, распространяющейся на конструкцию ИИС |
5. Установление исходных данных и условий для определения погрешности ИК | Должны быть указаны основные исходные данные: принятый способ выражения точности измерения и форма представления результатов измерений по МИ 1317-86; характеристики условий проведения аттестации; ожидаемый закон распределения случайной составляющей погрешности и вариации; уровень значимости, принятый для проверки статистических гипотез; номенклатура влияющих величин и характер их связей с погрешностью ИК; способ контроля влияющих величин; требования к учету влияющих величин; допускаемая погрешность репрезентативности; перечень МХ АСИ, подлежащих исследованию и позволяющих определить оценки МХ ИК в целом (если ИК исследуется по частям); характеристики неинформативных параметров входных и выходных сигналов; доверительная вероятность для оценки границ интервала, в котором находится погрешность ИК |
6. Аналитическое представление погрешности ИК в нормальных условиях | Должно быть приведено математическое выражение, определяющее зависимость между погрешностью ИК и ее составляющими в нормальных условиях |
7. Аналитическое представление погрешности ИК в рабочих условиях | Должно быть приведено математическое выражение, определяющее зависимость между погрешностью ИК в рабочих условиях и ее составляющими |
8. Определение погрешности ИК в нормальных условиях | Должна быть изложена процедура проведения экспериментальных исследований измерительного канала в нормальных условиях |
9. Определение погрешности ИК в рабочих условиях | Должна быть изложена процедура проведения экспериментальных исследований ИК в рабочих условиях |
10. Обработка результатов наблюдений | Должна быть изложена методика обработки результатов наблюдений и приведены формулы оценки характеристик погрешности ИК |
11. Установление межповерочных интервалов ИК ИИС | Рекомендации по установлению продолжительности межповерочных интервалов ИК ИИС приведены в Приложении 3 |
12. Анализ метрологического обеспечения ИИС по результатам аттестации | Должна быть учтена полнота и правильность выбранных методов и средств поверки (контроля), указаны критерии, определяющие годность (брак) ИК, а также способы достижения единых требований в части совместимостей по ГОСТ 22315-77, сделаны выводы о системе, формах, службах и органах метрологического надзора за ИК ИИС. Эти сведения должны найти отражение в техническом отчете по аттестации |
2.6. Раздел "Методика проведения аттестации" должен раскрывать содержание этапов работ, указанных в
табл. 2.
2.7. Раздел "Организация и распределение работ" должен содержать сведения об организации проведения исследований по программе и распределения работ между заказчиком и организацией, проводящей аттестацию, о сроках представления первичных (экспериментальных) данных для статистической обработки результатов наблюдений и особые требования к изменению (дополнению) программ.
Примечание. По согласованию с организацией, утверждающей программу, допускается исключение или объединение разделов.
3. Требования к оформлению результатов исследований
3.1. Результаты набора статистических данных по измерениям должны быть представлены исполнителями экспериментальных работ в организацию, проводящую обработку результатов измерений, в виде протокола, форма которого приведена в
Приложении 7.
Примечание. При исследовании ИК по частям результаты измерений должны быть представлены отдельно для каждой части ИК в виде протокола.
| | ИС МЕГАНОРМ: примечание. Взамен ГОСТ 8.326-89 на территории Российской Федерации с 1 декабря 2001 года введены в действие ПР 50.2.009-94 "ГСИ. Порядок проведения испытаний и утверждения типа средств измерений" (Постановление Госстандарта России от 27.09.2001 N 394-ст). | |
| | ИС МЕГАНОРМ: примечание. Взамен ГОСТ 7.32-81 Постановлением Госстандарта СССР от 26.02.1991 N 175 с 1 июля 1992 года введен в действие ГОСТ 7.32-91. | |
3.2. По результатам аттестации ИК ИИС должен быть составлен протокол по форме ГОСТ 8.326-89 или технический отчет в соответствии с требованиями ГОСТ 7.32-81, если аттестация ИИС проводилась в рамках НИР.
3.3. На основании результатов аттестации организация, проводящая ее, принимает решение о выдаче свидетельства об аттестации ИК в соответствии с требованиями настоящей рекомендации.
Справочное
УСТАНОВЛЕНИЕ ПРОДОЛЖИТЕЛЬНОСТИ МЕЖПОВЕРОЧНЫХ
ИНТЕРВАЛОВ ИК ИИС
Наиболее приемлемыми критериями для установления межповерочных интервалов являются критерии безотказной работы по метрологическим отказам и критерии скорости изменения погрешности.
Критерий безотказной работы по метрологическим отказам рекомендуют использовать в двух случаях:
при первоначальной оценке межповерочного интервала (t), когда была проведена опытная эксплуатация ИК;
когда требуется определить последующий межповерочный интервал по данным более длительной эксплуатации ИК.
В первом случае рекомендуется пользоваться формулой

, (1)
где

- вероятность безотказной работы по метрологическим отказам за время

;
Pм.з(t) - заданная вероятность безотказной работы по метрологическим отказам за межповерочный интервал, выбираемая из ряда 0,80; 0,85; 0,90; 0,95; 0,98; 0,99.
Статистической оценкой значения

за время

является доля ИК ИИС, не забракованных за период опытной эксплуатации.
Во втором случае рекомендуют пользоваться
формулой (1), приняв

и

за межповерочный интервал, или приближенной формулой
t = 1,2 Pм.з(t) Tн, (2)
где Тн - средняя наработка до скрытого метрологического отказа (считают, что скрытый метрологический отказ произошел в середине межповерочного интервала, в конце которого он обнаружен).
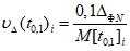
Критерий скорости изменения погрешности рекомендуют использовать при определении межповерочных интервалов ИК ИИС после аттестации.
При использовании критерия скорости изменения погрешности

за время, равное M[t
0,1]
i, i-ю оценку межповерочного интервала ИК Т
i определяют по формуле (3)

, (3)
где K1 - коэффициент интенсивности работы ИК, который при непрерывном цикле в течение 24 ч принимают равным 1, при периодическом цикле - 0,8 - 0,9;
K2 - коэффициент, учитывающий условия эксплуатации ИК, который при отсутствии повышенных вибраций и повышенной температуры окружающей среды от значений, заданных в эксплуатационной документации, принимают равным 1; при повышенных вибрациях и температуре окружающей среды относительно тех, которые указаны в НТД на АСИ, принимают равным 1,1 - 1,2;

- предел допускаемой погрешности измерения по аттестату методики выполнения измерений или по свидетельству об аттестации;

- погрешность измерения, соответствующая установленной норме точности ИК и указанная в конструкторской или технологической документации;

, (4)
где M[t
0,1]
i - математическое ожидание времени наработки ИК, в течение которого произошло изменение погрешности на 0,1 или 0,01

.
Для оценки изменения погрешности за определенный интервал времени M[t
0,1]
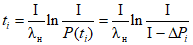
i предварительно необходимо найти интервалы времени t
i, через которые следует контролировать

. Продолжительность временных интервалов конкретных ИК t
1, t
2, ..., t
n рассчитывают по формуле

, (5)
где P(ti) - вероятность безотказной работы по метрологическим отказам за интервал [0, ti];
i - порядковый номер интервала;

- интенсивность метрологических отказов, рассчитываемая по формуле

, (6)
где N - общее число ИК представительной выборки;
М - число ИК, предел допускаемой погрешности в которых превысил

за период

;

- средняя продолжительность эксплуатации ИК.
Значения перечисленных величин получают из журналов эксплуатации и ремонта ИК ИИС.

- изменение вероятности безотказной работы по метрологическим отказам за интервал времени [t
k, t
k+1]

. (7)
Так как измерение проводят с заданной вероятностью P
м.з(t), например P
м.з(t) = 0,95, то

следует рассматривать в интервале [1, P
м.з(t)].
При определении

необходимо задаться погрешностью времени наступления метрологического отказа

. Так как функция P(t) экспоненциальная, то на различных ее участках приращению аргумента dt соответствуют различные приращения функция dP(t). Исходя из этого, целесообразно определить

и

на середине интервала [1, Р
м.з(t)], т.е. в точке P(t')

. (8)
По значениям Р(t') и

рассчитывают значение времени t', соответствующее данной точке, по формуле

. (9)
Интервал времени [t
k, t
k+1] определяют, исходя из значений

и

. При этом следует учитывать

.
Для каждого ti определяют:
а) разность

между наибольшим значением погрешности ИК

в момент времени t
i и пределом допускаемой погрешности

по формуле (10)

, (10)
б) время наработки ИК t
(0,1)i, в течение которого

изменилась на

или на

по формуле

; (11)
в) математическое ожидание M[t0,1]i, полученное по истечении временного интервала ti, по формуле

, (12)
где i - число временных интервалов ti (i = 1, ..., n).
За межповерочный интервал принимают

, если по истечении интервала

оценка допускаемой погрешности

или за межповерочный интервал принимают T = T
n, если по истечении временного интервала t
n оценка предела допускаемой погрешности

.
Пример. Требуется оценить интервал времени между поверками ИК температуры по следующим исходным данным:
диапазон измерения

;
норма точности по конструкторской документации ... +/- 6,0 °C;
предел допускаемой погрешности измерения при t = 0, ...,

;
число исследуемых ИК ... 1000;
число ИК, обладающих признаком несоответствия установленной норме точности ... 56;
средняя продолжительность эксплуатации ИК ... 10000 ч;
допускаемая погрешность определения времени наступления метрологического отказа ... 360 ч;
доверительная вероятность ... 0,95.

.
Дискретность изменения вероятности безотказной работы

за время (t
k, t
k+1) рассчитывают по
формуле (7)

.
Интервал времени (t
i), через который вероятность безотказной работы будет изменяться с дискретностью

, рассчитывают по
формуле (5)

;

;

.
Значения временных интервалов (t
i) изменений значений величин

и t
(0,1)i, рассчитываемые соответственно по
формулам (10) и
(11), а также i-я оценка межповерочного интервала T
i, полученная по
формуле (3) с учетом
формулы (4), представлены в следующей таблице
Номер интервала | Интервал времени между двумя исследованиями  | Изменение предела допускаемой погрешности от первоначального значения  | Значение времени t(0,1)i | Межповерочный интервал Ti, ч |
1 | 716 | 0,15 | 2220 | 6444 |
2 | 1434 | 0,17 | 3922 | 8916 |
3 | 2156 | 0,21 | 4774 | 10564 |
4 | 2880 | 0,25 | 5357 | 11811 |
5 | 3608 | 0,26 | 6453 | 13196 |
6 | 4338 | 0,28 | 7204 | 14482 |
7 | 5071 | 0,27 | 8733 | 16035 |
8 | 5808 | 0,29 | 9313 | 17411 |
9 | 6547 | 0,31 | 9821 | 18644 |
10 | 7290 | 0,32 | 10593 | 19855 |
11 | 8035 | 0,34 | 10989 | 20950 |
12 | 8784 | 0,35 | 11670 | 22028 |
и за межповерочный интервал принимают

.
Справочное
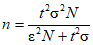
УСТАНОВЛЕНИЕ ОБЪЕМА ПРЕДСТАВИТЕЛЬНОЙ ВЫБОРКИ ИК ИИС
В настоящем приложении приведены рекомендации по определению объема представительной выборки ИК многоканальных ИИС, ИК которых, подлежащие аттестации в реальных условиях объекта, предназначены для работы с единой функцией преобразования или с разными функциями преобразования, но едиными для каждой группы ИК, входящих в ИИС, Для указанного случая ИК должны быть разделены в соответствии со структурной схемой измерения на группы (подгруппы) по признакам, позволяющим с заданной вероятностью характеризовать метрологические свойства ИК генеральной совокупности. В качестве таких признаков можно применять характеристики погрешности контроля за технологическими параметрами (температурой, давлением, уровнем, расходом и т.д.).
Расчет представительной выборки (n) следует проводить, по одной из приведенных формул:

, (1)

, (2)
где N - число ИК, составляющих генеральную совокупность;

- среднее квадратическое отклонение характеристики погрешности ИК генеральной совокупности, определяемое по НТД на ИК;
t - коэффициент Стьюдента, определяемый в зависимости от доверительной вероятности по приведенной ниже таблице (предполагается нормальный закон распределения погрешности);

- допускаемая погрешность репрезентативности в процентах, определяемая по данным опытной эксплуатации ИК ИИС в реальных условиях объекта или по данным проектной организации или заказчика.
Формула (1) применима, если известно среднее квадратическое отклонение характеристики погрешности ИК генеральной совокупности.
Формулу (2) используют, если значение среднего квадратического отклонения характеристики погрешности неизвестно.
Пример 1.
Аттестации подвергают информационно-вычислительную машину ИВ-500. Требуется определить объем представительной выборки ИК, которые будут подвергаться метрологическим исследованиям.
Учитывая структуру ИВ-500, целесообразно 480 ИК разбить на группы по числу устройств нормализации. Машина ИВ-500 комплектуется из четырех групп блоков нормализации, рассчитанных на обработку информации от соответствующих преобразователей: два блока нормализации сигналов переменного тока показывающих приборов БН2-02, блок нормализации сигналов переменного тока БН2-01 для машины и блок нормализации сигналов постоянного тока БН1-01.
В соответствии с данными проектной организации общее число измерительных каналов по группам можно принять следующим:
а) число ИК, работающих в комплекте с блоком нормализации БН2-02 и предназначенных для измерения давления, уровня, - 40;
Коэффициент Стьюдента, t | Доверительная вероятность, P |
0,0 | 0,0000 |
0,1 | 0,0797 |
0,2 | 0,1585 |
0,3 | 0,2358 |
0,4 | 0,3108 |
0,5 | 0,3829 |
0,6 | 0,4515 |
0,7 | 0,5161 |
0,8 | 0,5763 |
0,9 | 0,6319 |
1,0 | 0,6827 |
1,1 | 0,7287 |
1,20 | 0,7699 |
1,28 | 0,8000 |
1,30 | 0,8064 |
1,40 | 0,8385 |
1,44 | 0,8500 |
1,50 | 0,8664 |
1,60 | 0,8804 |
1,65 | 0,9000 |
1,70 | 0,9109 |
1,80 | 0,9281 |
1,90 | 0,9426 |
1,96 | 0,9500 |
2,00 | 0,9545 |
2,10 | 0,9643 |
2,20 | 0,9622 |
2,30 | 0,9786 |
2,33 | 0,9800 |
2,40 | 0,9836 |
2,50 | 0,9876 |
2,58 | 0,9900 |
2,60 | 0,9907 |
2,70 | 0,9931 |
2,80 | 0,9949 |
2,81 | 0,9950 |
2,90 | 0,9963 |
3,00 | 0,9973 |
3,09 | - |
3,20 | 0,9986 |
3,29 | 0,9990 |
3,40 | 0,9993 |
3,60 | 0,9997 |
2,80 | 0,9999 |
Примечания:
1. Представительную выборку n рассчитывают по наибольшему среднему квадратическому отклонению одной из характеристик погрешности.
2. Представительную выборку формируют с использованием теории случайных чисел.
3. Выборку не проводят в случаях, когда ИИС осуществляют измерения, связанные с учетом материальных ценностей, взаимными расчетами и торговлей, охраной здоровья трудящихся, обеспечением безопасности и безвредности труда по номенклатуре, устанавливаемой перечнем, утвержденным и издаваемым Госстандартом СССР.
б) число ИК, работающих в комплекте с блоком нормализации БН2-02 и БН2-01 и предназначенных для измерения расхода, - 80;
в) число ИК, работающих в комплекте с блоками нормализации постоянного тока БН1-01 и предназначенных для измерения температуры, - 360.
Каждую из перечисленных групп следует рассматривать как самостоятельную генеральную совокупность. По данным эксплуатации, погрешность репрезентативности

должна гарантироваться с вероятностью P = 0,954.
По заданной вероятности коэффициент Стьюдента t = 2. Так как среднее квадратическое отклонение

неизвестно, то в соответствии с
формулой (2) находят необходимое число ИК представительной выборки, предназначенных для исследования:
а) давления уровня

;
б) расхода

;
в) температуры

.
Справочное
УСТАНОВЛЕНИЕ ЧИСЛА ИССЛЕДУЕМЫХ ТОЧЕК ПО
ДИАПАЗОНУ ИЗМЕРЕНИЯ
Число исследуемых точек по диапазону измерения устанавливают в двух случаях: когда определена систематическая составляющая погрешность и когда она пренебрежимо мала или отсутствует.
В первом случае при установлении числа исследуемых точек необходимо установить такой минимум точек, при котором погрешность, превышающая заданную норму, достаточно мала, а трудоемкость исследований - приемлема. Точки с учетом этого условия необходимо выбрать на основе анализа характера зависимости систематической составляющей погрешности от значений, измеряемой величины.
В качестве исходных данных для определения числа исследуемых точек используют значения измеряемой величины X
1, ..., X
n в интервале [a, b] и значения систематической составляющей в этих точках

,

, ...,

, которые могут быть получены в результате предварительных испытаний ИК в период опытной эксплуатации.
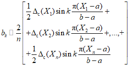
Общее число точек nт, в которых необходимо проводить исследования, рассчитывают по формуле

, (1)
где n - номер высшей существенной гармоники;

- число точек на полупериоде высшей существенной гармоники. Значение

рекомендуется принимать равным 1 или 2.
Для определения n надо провести гармонический анализ

ИК.
Амплитуду гармонических составляющих кривых

определяют разложением функций

в ряд Фурье на интервале [a, b] и вычислением его коэффициентов.
Если

четная, то ряд Фурье можно представить в виде

, (2)
где

, (3)
если

- нечетная, то

, (4)
где

. (5)
Для нахождения ak и bk следует применить формулу трапеции

, (6)

. (7)
По значениям амплитуд a
k и b
k определенного числа гармоник разложения кривой, например 10, необходимо оценить их значимость относительно предела систематической составляющей погрешности

, полученного в результате предварительных испытаний.
Оценку проводят следующим образом. Выбирают две точки исследования на полупериоде высшей учитываемой гармоники разложения. При этом условии максимальную погрешность

оценки наибольшей систематической погрешности ИК определяют в соответствии с равенством

, (8)
где An = ak или bk.
По значению

и заданному предельному значению

ИК делают заключение о достаточности выбранного числа точек или о его уменьшении до числа, обеспечивающего требуемый запас по точности k, который указан в НТД на конкретный ИК.
Если |  , |
то для расчета необходимого числа исследуемых точек по диапазону измерения следует брать номер высшей существенной гармоники.
Если

, то номер n уменьшают до значения, обеспечивающего требуемый запас по точности.
Пример. По результатам опытной эксплуатации ИК получают значения систематической погрешности

по диапазону измерения, указанные в табл. 1.
Таблица 1
X, Гц | 10 | 20 | 30 | 40 | 50 | 60 | 70 | 80 | 90 | 100 |
| -0,028 | -0,031 | -0,036 | -0,035 | -0,039 | -0,029 | -0,029 | -0,032 | -0,035 | -0,035 |
Требуемый запас по точности k в соответствии с нормативно-технической документацией равен 5. Требуется определить число исследуемых точек по диапазону измерения.
Расчет производят в следующей последовательности. По
формуле (7) определяют амплитуду первой гармоники (k = 1).
Аналогично определяют амплитуды десяти последующих гармоник Результаты расчета сводят в табл. 2.
Таблица 2
Результаты расчета амплитуд гармонических составляющих
X, Гц | | |
k = 1 | k = 2 | k = 3 | k = 4 | k = 5 | k = 6 | k = 7 | k = 8 | k = 9 | k = 10 |
10 | -0,028 | 0 | 0 | 0 | 0 | 0 | 0 | 0 | 0 | 0 | 0 |
20 | -0,031 | 0,3420 | 0,6428 | 0,8660 | 0,9848 | 0,9848 | -0,8660 | 0,428 | 0,3420 | 0 | 0,3420 |
30 | -0,036 | 0,6428 | 0,9848 | 0,8660 | 0,3420 | -0,3420 | -0,8660 | -0,9848 | -0,6428 | 0 | 0,6428 |
40 | -0,035 | 0,8660 | 0,8660 | 0 | -0,8660 | -0,8660 | 0 | 0,8660 | 0,8660 | 0 | -0,8660 |
50 | -0,039 | 0,9648 | 0,3420 | -0,8660 | -0,6428 | +0,6428 | 0,8660 | -0,3420 | -0,9848 | 0 | 0,9848 |
60 | -0,029 | 0,9848 | -0,3420 | -0,8660 | 0,6428 | 0,6428 | -0,8660 | -0,3420 | 0,9848 | 0 | -0,9848 |
70 | -0,029 | 0,8660 | -0,8660 | 0 | 0,8660 | -0,8660 | 0 | 0,8600 | -0,8660 | 0 | 0,8660 |
80 | -0,032 | 0,6428 | -0,9848 | 0,8660 | -0,3420 | -0,3420 | 0,8660 | -0,9848 | 0,6428 | 0 | -0,6428 |
90 | -0,035 | 0,3420 | -0,6428 | 0,8660 | -0,9848 | -0,9848 | -0,8660 | 0,6428 | -0,3420 | 0 | 0,3420 |
100 | -0,035 | 0 | 0 | 0 | 0 | 0 | 0 | 0 | 0 | 0 | 0 |
bk | Гц | -0,0377 | -0,0022 | -0,0127 | 0,0032 | -0,0067 | -0,0004 | 0,0017 | 0,0019 | 0 | 0,0019 |
Амплитуды гармоник с номерами шесть и выше пренебрежимо малы по сравнению с предельным значением

. Из приведенных данных видно, что высшей существенной гармоникой является пятая. В этом случае
nТ = 2·2·5 = 20.

.
После этого проверяют достаточность выбранного числа исследуемых точек. Для этого определяют
и сравнивают его со значением

.
Поэтому для расчета применяют номер гармоники, удовлетворяющий нашим требованиям, т.е. третий.
Тогда nТ = 2·2·3 = 12 точек.
Во втором случае при установлении числа исследуемых точек по диапазону измерения следует руководствоваться следующими соображениями.
Для одноканальных и многоканальных ИИС, предназначенных для реализации единой функции преобразования, при наличии аналогового средства представления информации в качестве исследуемых рекомендуется выбирать точки, расположенные равномерно по диапазону измерения. Их должно быть не менее шести, включая точки, соответствующие нулю и 100%.
Если исследование нулевой точки невозможно, то число исследуемых точек должно быть не менее пяти, начиная с отметки шкалы, в которой наблюдают стабильные показатели.
Если априорно известно, что зависимость характеристик погрешности в диапазоне измерений описывается функциями, имеющими разрывы или перегибы, то эти особые точки должны быть дополнительно включены в число исследуемых.
Для одноканальных и многоканальных ИИС, предназначенных для реализации единой функции преобразования с цифровым принципом преобразования и цифровым устройством отображения информации, исследуемыми точками являются значения в единицах выходной величины, соответствующие значениям входной величины. Их число определяют в зависимости от применяемого способа преобразования аналог - цифра (время-импульсного, частотно-импульсного, кодоимпульсного). В число этих точек включают те, в которых в наихудших ситуациях появляются наибольшие погрешности.
Для ИК одноканальных и многоканальных ИИС с время-импульсным или частотно-импульсным принципом преобразования должно быть не менее пяти точек, равномерно распределенных по диапазону измерения, в число которых должны входить точки, лежащие вблизи верхнего и нижнего пределов диапазона.
Для ИК одноканальных и многоканальных ИИС, использующих кодоимпульсный принцип преобразования, когда систематическая составляющая погрешности может меняться скачкообразно, число и размещение исследуемых точек определяют в зависимости от принципиальной схемы преобразования в виде используемого кода. Точки диапазона, рекомендуемые для включения в число исследуемых, приведены в табл. 3.
Таблица 3
Точки диапазона при двоично-десятичном коде | Точки диапазона при двоичном коде |
трехразрядном | четырехразрядном |
009 | 0009 | 00...0001 |
010 | 0010 | 00...0010 |
019 | 0019 | 00...0011 |
020 | 0020 | 00...0100 |
039 | 0039 | 00...0111 |
040 | 0040 | 00...1000 |
079 | 0079 | |
080 | 0080 | |
099 | 0099 | 01...1111 |
100 | 0100 | 10...0000 |
199 | 0199 | 11...1111 |
200 | 020 | |
399 | 0399 | |
400 | 0400 | |
799 | 0799 | |
800 | 0800 | |
900 | 0999 | |
990 | 1000 | |
999 | 1999 | |
Для многоканальных ИИС, имеющих несколько групп ИК, в каждой из которых ИК выполняют единые функции преобразования, число исследуемых точек не менее чем для трех ИК каждой группы устанавливают в соответствии с вышеизложенными рекомендациями, а для остальных ИК каждой группы, входящих в представительную выборку, число исследуемых точек может быть уменьшено организацией, утверждающей программу.
Для одноканальных и многоканальных ИИС при исследовании ИК по частям, т.е. отдельно, исследуют первичный измерительный преобразователь (ПИП) и отдельно остальную часть ИК (далее - комплекс АСИ), при этом число исследуемых точек устанавливают отдельно для ПИП и отдельно для комплекса АСИ.
Исследуемые точки для ПИП и для комплекса АСИ выбирают так, чтобы они соответствовали друг другу по диапазону измерения, а их число определялось по максимальному числу исследуемых точек из тех, которые получены для исследования одной из частей ИК.
При метрологических исследованиях, когда определяют градуировочную характеристику ИК ИИС, независимо от структуры ИИС и выполняемых ею функций, рекомендуют исследовать не менее 10 точек диапазона измерения.
Справочное
УСТАНОВЛЕНИЕ ЧИСЛА НАБЛЮДЕНИЙ В ИССЛЕДУЕМЫХ ТОЧКАХ
ДИАПАЗОНА ИЗМЕРЕНИЯ
При установлении числа наблюдений в исследуемых точках диапазона измерения требуется предварительно в период опытной эксплуатации оценить существенность или несущественность случайной составляющей погрешности и вариации.
Существенность случайной составляющей погрешности целесообразно оценивать по значению среднего квадратического отклонения. Случайную составляющую погрешности не учитывают, если ее среднее квадратическое отклонение не превышает значения q, указанного в НТД.
Среднее квадратическое отклонение

рекомендуется оценивать в зависимости от значения размаха по формуле

, (1)
где r = yimax - yimin - значение размаха, в выборке, где yimax, yimin - максимальные и минимальные значения измеряемого параметра в i-й точке;
dn - коэффициент, изменяющийся в зависимости от объема выборки n (числа наблюдений в исследуемой точке) и определяемый по нижеприведенной таблице.
Среднее квадратическое отклонение

случайной составляющей погрешности для каждого ИК оценивают не менее чем в трех точках (10, 50, 100%) диапазона измерения.
В каждой исследуемой точке в зависимости от заданной доверительной вероятности Pд необходимо определить число наблюдений n по формуле

. (2)
n | dn |
2 | 1,128 |
3 | 1,693 |
4 | 2,059 |
5 | 2,32 |
6 | 2,534 |
7 | 2,704 |
8 | 2,847 |
9 | 2,970 |
10 | 3,078 |
11 | 3,173 |
12 | 3,258 |
13 | 3,336 |
14 | 3,472 |
15 | 3,472 |
16 | 3,532 |
17 | 3,588 |
18 | 3,640 |
19 | 3,689 |
20 | 3,735 |
Оценка среднего квадратического отклонения по
формуле (1) удобна при n <= 10. При n > 10 выборку целесообразно разбить на несколько групп по 6 - 8 наблюдений в каждой. После этого следует оценить среднее квадратическое отклонение в каждой группе и определить среднюю

. Среднее квадратическое отклонение по значению размаха оценивают по наибольшему значению

, полученному по результатам исследований не менее чем в трех точках диапазона измерения; затем делают заключение о существенности случайной составляющей погрешности по критерию q.
Примечания:
1. Для однотипных ИК наличие случайной составляющей погрешности определяют на представительных выборках.
2. Число однотипных ИК должно быть выбрано в соответствии с
Приложением 4.
3. Результат должен быть гарантирован с доверительной вероятностью, указанной в НТД.
4. Если ИК исследуют по частям, то

определяют для каждой части ИК.
Наличие вариации оценивают по результатам наблюдений не менее чем в трех точках диапазона измерения. Число наблюдений в каждой исследуемой точке должно быть не менее трех.
Вариацию не учитывают, если ее значение в единицах измеряемой величины не превышает значения q, указанного в НТД.
После оценки случайной составляющей погрешности и вариации число наблюдений в исследуемых точках определяют по следующему правилу:
если случайная составляющая погрешности и вариация существенны, то n рассчитывают по
формуле (2);
если случайную составляющую погрешности учитывают, а вариацию нет, то число наблюдений в исследуемой точке, рассчитанное по
формуле (2), может быть уменьшено до

;
если случайную составляющую погрешности и вариацию не учитывают, то проводят однократное наблюдение, а при существенности случайной составляющей погрешности и вариации - двукратное.
Обязательное
набора экспериментальных данных при метрологических исследованиях ИК АСИ
_________________________________________________________________________________________________
(фактическое значение влияющих величин в соответствии
с перечнем, указанным в программе аттестации)
Значение входного сигнала | Расчетное значение выходного сигнала | ЗНАЧЕНИЕ ВЫХОДНОГО СИГНАЛА |
Число измерений |
Ход | 1 | 2 | 3 | 4 | 5 | 6 | 7 | 8 | 9 | 10 | 11 | 12 | 13 | 14 | 15 | 16 | 17 | 18 | 19 | 20 |
м | | | | | | | | | | | | | | | | | | | | |
б | | | | | | | | | | | | | | | | | | | | |
Образцовые средства задания __________________________ Подпись исполнителя ________________
входного сигнала и вспомога- Основные метрологические и
тельные устройства __________________________ Дата _______________________________
технические характеристики
Подпись представителя метрологической
организации __________________________
Дата ______________________________
Примечания:
1. В таблице буква "м" - означает нагружение (прямой ход);
буква "б" - разгружение (обратный ход).
2. Таблицу заполняют в соответствии с требованиями типовой программы аттестации.
Обязательное
___________________________________________________________________________
наименование организации, выдавшей свидетельство
СВИДЕТЕЛЬСТВО N ______________
о метрологической аттестации ИИС
___________________________________________________________________________
наименование, номер, тип
Дата выпуска "______"__________________ 19 г.
представленной ____________________________________________________________
наименование организации, представляющей систему
на метрологическую аттестацию
и предназначенной для _____________________________________________________
наименование объекта
Типы и характеристики образцовых и вспомогательных устройств,
используемых при метрологической аттестации _______________________________
Условия, при которых проводились экспериментальные исследования _______
___________________________________________________________________________
Результаты метрологической аттестации
Наименование и номер измерительного канала | Наименование метрологических характеристик | Полученное значение метрологических характеристик | Межповерочный интервал | Наименование (номер) методических указаний на методику поверки ИК |
По результатам метрологической аттестации (N технического отчета или N
протокола) от "______" ____________ 19 г. ИК ИИС допускаются к применению
с указанной в настоящем свидетельстве точностью.
Подпись руководителя организации (подразделения), проводившей
метрологическую аттестацию.
Обязательное
ПОКАЗАТЕЛЕЙ МЕТРОЛОГИЧЕСКОГО ОБЕСПЕЧЕНИЯ ИИС
ИИС допущена в эксплуатацию |
| | ИС МЕГАНОРМ: примечание. Взамен ГОСТ 8.001-80 на территории Российской Федерации с 1 декабря 2001 года введены в действие ПР 50.2.009-94 "ГСИ. Порядок проведения испытаний и утверждения типа средств измерений" (Постановление Госстандарта России от 27.09.2001 N 394-ст). | |
|
1. | По результатам государственных приемочных испытаний по ГОСТ 8.001-80. |
2. | По результатам метрологической аттестации органами Госстандарта. |
3. | По результатам метрологической аттестации ведомственной метрологической службы. |
4. | По результатам межведомственных (ведомственных) испытаний. |
5. | Приказом по предприятию о вводе в эксплуатацию. |
6. | Документ, удостоверяющий ввод в эксплуатацию, отсутствует. |
Наличие НТД на ИИС |
1. | Техническое задание на вновь разрабатываемые ИИС. |
2. | Техническое описание и технические условия. |
3. | Заключение о метрологической экспертизе. |
4. | Программа метрологической аттестации ИИС. |
5. | Методика поверки. |
6. | Аттестаты на методики выполнения измерений. |
7. | Программа и методика ведения метрологического надзора. |
8. | Документация, регламентирующая метрологический надзор, отсутствует. |
Возможность осуществления метрологического надзора за ИИС |
1. | При функционирующем объекте обслуживания обеспечивают полностью. |
2. | При функционирующем объекте обслуживания обеспечивают частично. |
3. | При функционирующем объекте обслуживания не обеспечивают. |
4. | При отключении от объекта обслуживания обеспечивают полностью. |
5. | При отключении от объекта обслуживания обеспечивают частично. |
6. | При отключении от объекта обслуживания не обеспечивают. |
7. | Образцовыми средствами обеспечена. |
8. | Образцовыми средствами не обеспечена. |
Методы оценки метрологических характеристик измерительных каналов |
1. | Расчетные. |
2. | Экспериментальные с помощью внешних средств контроля. |
3. | Экспериментальные с помощью встроенных образцовых средств контроля. |
4. | Экспериментальные с помощью автоматизированных испытательных комплексов. |
5. | Методы оценки метрологических характеристик измерительных каналов не разработаны. |
Исполнение |
1. | На базе агрегатных средств измерений. |
2. | Единичное. |
Тип решаемых задач |
1. | Измерение. |
2. | Контроль. |
3. | Регулирование. |
4. | Диагностика, прогнозирование. |
5. | Идентификация. |
Контролируемые физические величины |
1. | Пространственно-временные. |
2. | Тепловые. |
3. | Механические. |
4. | Электрические. |
5. | Магнитные. |
6. | Электромагнитные. |
7. | Акустические. |
8. | Световые. |
9. | Ионизирующих излучений. |
10. | Физико-химические. |
Информационный объем |
1. | До 10 входных параметров. |
2. | До 40 входных параметров. |
3. | До 100 входных параметров. |
4. | До 800 входных параметров. |
5. | До 2000 входных параметров. |
Вид носителя информации |
1. | Энергетический, представленный в аналоговой форме электрическими сигналами. |
2. | Энергетический, представленный в аналоговой форме пневматическими сигналами. |
3. | Энергетический, представленный в аналоговой форме гидравлическими сигналами. |
4. | Энергетический, представленный в дискретной форме импульсными электрическими сигналами. |
5. | Энергетический, представленный в дискретной форме импульсными пневматическими сигналами. |
6. | Вещественный, представленный на перфокартах. |
7. | Вещественный, представленный на перфолентах. |
8. | Вещественный, представленный на бланках для записи и печати. |
9. | Вещественный, представленный на магнитных средствах. |
Потребитель информации |
1. | Человек-оператор. |
2. | АСУ. |
3. | Автоматизированная испытательная метрологическая система. |
Область применения |
1. | Энергетика и электрификация. |
2. | Нефтяная промышленность. |
3. | Нефтеперерабатывающая и нефтехимическая промышленность. |
4. | Газовая промышленность. |
5. | Угольная промышленность. |
6. | Черная металлургия. |
7. | Цветная металлургия. |
8. | Химическая промышленность. |
9. | Тяжелое, энергетическое и транспортное машиностроение. |
10. | Электротехническая промышленность. |
11. | Электронная промышленность. |
12. | Химическое и нефтяное машиностроение. |
13. | Станкостроительная и инструментальная промышленность. |
14. | Приборостроение, средства автоматизации и системы управления. |
15. | Автомобильная промышленность. |
16. | Тракторное и сельскохозяйственное машиностроение. |
17. | Строительное, дорожное и коммунальное машиностроение. |
18. | Машиностроение легкой и пищевой промышленности. |
19. | Легкая и деревообрабатывающая промышленность. |
20. | Целлюлозно-бумажная промышленность. |
21. | Промышленность строительных материалов. |
22. | Легкая промышленность. |
23. | Пищевая промышленность. |
24. | Прочие. |
Пример. Пользуясь классификатором показателей метрологического обеспечения, необходимо составить шифр измерительной информации системы ИВ-500.
Закодированные показатели метрологического обеспечения ИВ-500 имеют вид: а4б245в24г23д25е1235ж23410з4и1к1л01020608.
Справочное
ТЕРМИНЫ, ПРИМЕНЯЕМЫЕ В НАСТОЯЩЕЙ РЕКОМЕНДАЦИИ,
И ИХ ПОЯСНЕНИЯ
Термин | Пояснение |
| | ИС МЕГАНОРМ: примечание. ГОСТ 8.437-81 утратил силу с 1 марта 2003 года в связи с введением в действие ГОСТ Р 8.596-2002 (Постановление Госстандарта России от 30.09.2002 N 357-ст). | |
|
Информационно-измерительная система (ИИС) | По ГОСТ 8.437-81 |
Метрологическая аттестация ИИС | Экспериментальные исследования измерительных каналов или представительной выборки измерительных каналов ИИС, направленные на определение оценки (или обобщенной оценки МХ данного экземпляра ИИС в заданных условиях эксплуатации, проводимые метрологической службой), и выдача документа, удостоверяющего МХ ИИС в процессе аттестации |
Измерительный канал ИИС (ИК) | Функционально объединенная совокупность технических средств, предусмотренная алгоритмом ее функционирования, выполняющая законченную функцию от восприятия измеряемой величины до индикации или регистрации результата измерения включительно или преобразование результата измерения в сигнал, удобный либо для дальнейшего использования вне ИИС, либо для ввода в цифровое или аналогичное устройство, входящее в состав ИИС |
Средство измерений системного применения | Средства измерений, используемые в ИК ИИС |
Наработка | По ГОСТ 27200-87 |
| | ИС МЕГАНОРМ: примечание. ГОСТ 2103-89 утратил силу с 1 июля 2002 года в связи с введением в действие ГОСТ Р 51803-2001 (Постановление Госстандарта России от 28.08.2001 N 354-ст). | |
|
Разовое изготовление | По ГОСТ 2103-89 |
Регрессионный анализ | По РДМУ 109-77 |
Математическая модель | По РДМУ 109-77 |
Выборка | |
Представительная выборка | |
Объем выборки | |