Главная // Актуальные документы // ГОСТ (Государственный стандарт)СПРАВКА
Источник публикации
В данном виде документ опубликован не был.
Первоначальный текст документа опубликован в издании:
М.: Издательство стандартов, 1986.
Информацию о публикации документов, создающих данную редакцию, см. в справке к этим документам.
Примечание к документу
Документ утратил силу с 1 июля 2001 года на территории Российской Федерации в связи с изданием
Постановления Госстандарта России от 29.12.2000 N 429-ст. Взамен введены в действие
ГОСТ Р 50779.10-2000 в части терминов по теории вероятности и математической статистике и
ГОСТ Р 50779.11-2000 в части терминов по статистическому управлению качеством.
Изменение N 3, утв. Постановлением Госстандарта СССР от 24.10.1988 N 3487,
введено в действие с 1 января 1989 года.
Взамен ГОСТ 15895-70, ГОСТ 16949-71, кроме приложения.
Название документа
"ГОСТ 15895-77* (СТ СЭВ 547-84). Статистические методы управления качеством продукции. Термины и определения"
(введен в действие Постановлением Госстандарта СССР от 23.12.1977 N 3022)
(ред. от 24.10.1988)
"ГОСТ 15895-77* (СТ СЭВ 547-84). Статистические методы управления качеством продукции. Термины и определения"
(введен в действие Постановлением Госстандарта СССР от 23.12.1977 N 3022)
(ред. от 24.10.1988)
Постановлением Госстандарта СССР
от 23 декабря 1977 г. N 3022
ГОСУДАРСТВЕННЫЙ СТАНДАРТ СОЮЗА ССР
СТАТИСТИЧЕСКИЕ МЕТОДЫ УПРАВЛЕНИЯ КАЧЕСТВОМ ПРОДУКЦИИ
ТЕРМИНЫ И ОПРЕДЕЛЕНИЯ
Statistical quality control. Terms and definitions
ГОСТ 15895-77*
(СТ СЭВ 547-84)
| | Список изменяющих документов (в ред. Изменения N 1, утв. Постановлением Госстандарта СССР от 13.09.1982 N 3595, Изменения N 2, утв. Постановлением утв. Постановлением Госстандарта СССР от 24.10.1988 N 3487) | |
Постановлением Государственного комитета стандартов Совета Министров СССР от 23 декабря 1977 г. N 3022 срок введения установлен с 01.01.1978.
Взамен ГОСТ 15895-70, ГОСТ 16949-71, кроме приложения.
Переиздание (ноябрь 1982 г.) с Изменениями N 1, 2, утвержденными в сентябре 1982 г.; Пост. N 3595 от 13.09.1982, августе 1985 г.; Пост. N 2462 от 02.08.1985 (ИУС N 12, 82, 11-85).
Настоящий стандарт устанавливает применяемые в науке, технике и производстве термины и определения основных понятий в области статистических методов управления качеством продукции. Он полностью соответствует СТ СЭВ 547-84.
(в ред.
Изменения N 3, утв. Постановлением Госстандарта СССР от 24.10.1988 N 3487)
Термины и определения, установленные настоящим стандартом, следует применять во всех видах стандартов и документов, учебной, технической и справочной литературе.
(в ред.
Изменения N 3, утв. Постановлением Госстандарта СССР от 24.10.1988 N 3487)
Для каждого понятия установлен один стандартизованный термин. Применение терминов-синонимов стандартизованного термина запрещается.
В стандарте приведен алфавитный указатель содержащихся в нем терминов.
Термины теории вероятности и прикладной статистики, а также алфавитные указатели определений и обозначений терминов приведены в справочном
Приложении 1.
(в ред.
Изменения N 3, утв. Постановлением Госстандарта СССР от 24.10.1988 N 3487)
Пояснения, примеры к терминам и наиболее известные распределения одномерных случайных величин приведены в справочном
Приложении 2.
Перечень терминов с эквивалентами на иностранных языках приведен в справочном
Приложении 3.
(Измененная редакция, Изм. N 1, 2).
─────────────────┬────────────────────────────────────────────────
Термин │ Определение
─────────────────┴────────────────────────────────────────────────
1. Единица Отдельный экземпляр штучной продукции или
продукции определенное в установленном порядке количество
нештучной или штучной продукции.
Примечание. Продукция может быть завершенной
или незавершенной, находящейся в процессе
изготовления, добывания, ремонта, эксплуатации,
транспортирования, хранения
2. Дефектная Единица продукции, имеющая хотя бы один
единица продукции дефект
дефект
дефект
тельный дефект
7. Изделие Единица промышленной продукции, количество
которой может исчисляться в штуках
(экземплярах).
Примечание. К изделиям допускается относить
завершенные и незавершенные предметы
производства, в том числе заготовки
8. Контролиру- Совокупность единиц продукции одного наимено-
емая партия вания, типономинала или типоразмера и исполне-
продукции ния, произведенная в течение определенного
интервала времени в одних и тех же условиях и
одновременно представленная для контроля.
Примечание. Произведенная продукция может
находиться в процессе изготовления, добывания,
ремонта, хранения, транспортирования,
эксплуатации
9. Объем Число единиц продукции, составляющих партию
партии
10. Поток Совокупность единиц продукции, находящаяся в
продукции движении в технологическом процессе
11. Выборка Единицы продукции (наблюдаемые значения),
отобранные из контролируемой партии или потока
продукции для контроля и принятия решения о
соответствии установленным требованиям
12. Объем Число единиц продукции (наблюдаемых значений),
выборки составляющих выборку
13. Средний Число единиц продукции (наблюдаемых значений),
объем выборки приходящихся в среднем на одну контролируемую
партию при данном двухступенчатом,
многоступенчатом или последовательном плане
выборочного контроля
14. Мгновенная Выборка из потока продукции, которую
выборка составляют единицы продукции, произведенные
последними к моменту отбора в течение
достаточно короткого интервала времени
15. Объединен- Выборка, состоящая из нескольких мгновенных
ная выборка выборок
16. Случайная Выборка, в которой для любых единиц продукции
выборка (наблюдаемых значений) контролируемой партии
обеспечена одинаковая вероятность их отбора
17. Преднаме- Выборка, в которую единицы продукции
ренная выборка (наблюдаемые значения) отбирают с определенной
тенденцией изменения вероятности отбора
определенных единиц продукции
18. Системати- Выборка, попадание в которую единиц продукции
ческая выборка (наблюдаемых значений) обуславливается одинако-
выми промежутками времени и (или) пространства
19. Расслоен- Выборка, при составлении которой единицы
ная выборка продукции отбирают случайным образом в заданных
количествах из определенных частей
контролируемой совокупности
20. Проба Количество нештучной продукции, отобранное из
контролируемой совокупности для принятия
решения
21. Объем Определенное количество нештучной продукции,
пробы составляющее пробу
22. Точечная Проба, взятая единовременно из нештучной
проба продукции
23. Объединен- Проба, состоящая из нескольких точечных проб
ная проба
24. Представи- Выборка (проба), которая в достаточной степени
тельная выборка отражает свойства данной совокупности в целом
(проба)
25. Подготовка Перевод пробы в состояние, требуемое для
пробы дальнейшего ее использования
26. Отбор См.
п. 2.9 настоящего стандарта
27. Период Интервал времени между моментами отбора
отбора смежных выборок или проб
28. Случайный Отбор, при котором единицы продукции или ее
отбор выборок части отбирают с одинаковой вероятностью
(проб) независимо друг от друга
29. Системати- Отбор, при котором единицы продукции или ее
ческий отбор части отбирают через определенные промежутки
выборок (проб) времени и (или) пространства или установленное
количество единиц продукции
30. Расслоен- Отбор, при котором единицы продукции или ее
ный отбор части отбирают раздельно из различных слоев,
выборок (проб) определяемых временем и (или) пространством или
установленным количеством единиц продукции
31. Динамичес- Отбор, при котором единицы продукции или ее
кий отбор части отбирают из потока
выборок (проб)
32. Статический Отбор, при котором единицы продукции или ее
отбор выборок части отбирают из продукции, не находящейся в
(проб) потоке
33. Многосту- Отбор, при котором выборка (проба) образуется
пенчатый отбор по ступеням и единицы продукции в каждой
выборок (проб) ступени отбирают случайным образом из единиц
или ее частей, отобранных в предыдущей ступени
выборок с
применением
случайных чисел
выборок вслепую
36. Изменчивость Свойство продукции, заключающееся в том, что
параметры или показатели качества ее единиц
принимают различные значения.
Примечание. Например, показателем изменчивости
является дисперсия контролируемого параметра
или показателя качества продукции
37. Однород- Свойство продукции, при котором ее
ность продукции изменчивость ограничена определенными
допустимыми границами каждого ее параметра
38. Неоднород- Свойство продукции, при котором ее
ность продукции изменчивость выходит за определенные границы
хотя бы одного ее параметра
39. Случайная Неоднородность продукции, при которой ее
неоднородность изменчивость вызвана случайными факторами
продукции
40. Неслучайная Неоднородность продукции, при которой ее
неоднородность изменчивость или целенаправлена, или
продукции неслучайна
41. Гомогени- Операция, целью которой является снижение
зация степени неоднородности продукции
42. Выборочный Контроль, при котором решение о контролируемой
контроль совокупности или процессе принимают по резуль-
татам проверки одной или нескольких выборок
43. Статисти- Контроль качества, при котором используются
ческий контроль статистические методы
качества
44. Контроль Контроль качества продукции, в ходе которого
по количествен- определяют значения параметра, а последующее
ному признаку решение о контролируемой совокупности или
процессе принимают в зависимости от сравнения
их с контрольным нормативом
45. Контроль Контроль качества продукции, в ходе которого
по качественному каждую проверенную ее единицу относят
признаку к определенной группе, а последующее решение
о контролируемой совокупности или процессе
принимают в зависимости от соотношения чисел
ее единиц, оказавшихся в разных группах
46. Контроль Контроль качества продукции по качественному
по альтернатив- признаку, в ходе которого каждую проверенную
ному признаку единицу продукции относят к категории годных
или дефектных, а последующее решение
о контролируемой совокупности или процессе
принимают в зависимости от результатов
сравнения числа обнаруженных в выборке
дефектных единиц продукции или числа дефектов,
приходящихся на определенное число единиц
продукции, с контрольным нормативом
47. Погрешность Отклонение действительного значения параметра
производства производимой продукции от его номинального
продукции значения, установленного нормативно-технической
документацией
48. Случайная Составляющая погрешности производства
погрешность продукции, случайным образом принимающая при
производства неизменных условиях различные модуль и (или)
продукции знак
49. Системати- Составляющая погрешности производства
ческая погреш- продукции, при неизменных условиях сохраняющая
ность производ- или принимающая закономерно изменяющиеся модуль
ства продукции и (или) знак
50. Постоянная Систематическая погрешность производства
систематическая продукции, сохраняющая модуль и знак
погрешность
производства
продукции
51. Переменная Систематическая погрешность производства
систематическая продукции, закономерно изменяющаяся по модулю
погрешность и (или) знаку
производства
продукции
СТАТИСТИЧЕСКОЕ РЕГУЛИРОВАНИЕ ТЕХНОЛОГИЧЕСКИХ ПРОЦЕССОВ
52. Статисти- Установление статистическими методами значений
ческий анализ показателей точности и стабильности
точности технологического процесса и определение
и стабильности закономерностей его протекания во времени
технологического
процесса
53. Точность Свойство технологического процесса,
технологического обусловливающее близость действительных и
процесса номинальных значений параметров по их
распределению вероятностей
54. Стабиль- Свойство технологического процесса,
ность обусловливающее постоянство распределений
технологического вероятностей его контролируемых параметров в
процесса течение некоторого интервала времени без
вмешательства извне
55. Показатель Величина, количественно характеризующая
точности точность технологического процесса.
технологического Примечание. Примером показателя точности тех-
процесса нологического процесса может служить разность
между фактическим и номинальным значением
параметров по их распределению вероятностей
56. Показатель Величина, количественно характеризующая
стабильности стабильность технологического процесса.
технологического Примечание. Примером показателя стабильности
процесса технологического процесса может служить среднее
квадратическое отклонение контролируемого
параметра
57. Точностная Графическое изображение зависимости одного
диаграмма или нескольких показателей точности или
стабильности технологического процесса от
времени.
Примечание. Различают эмпирическую точностную
диаграмму, построенную на основе исследования
существующего процесса, и теоретическую
точностную диаграмму, построенную на основе
статистических расчетов для прогнозирования
точности и стабильности технологического
процесса
58. Статисти- Корректирование значений параметров
ческое технологического процесса по результатам
регулирование выборочного контроля контролируемых параметров,
технологического осуществляемое для технологического обеспечения
процесса требуемого уровня качества продукции.
Примечание. Выборочный контроль для
статистического регулирования технологического
процесса осуществляется при помощи точечных
проб или мгновенных выборок
59. Статисти- Технологический процесс, в котором с помощью
чески управляемый статистического регулирования обеспечивается
процесс точность и стабильность контролируемых
параметров
60. Средняя Математическое ожидание числа единиц
периодичность продукции, произведенной между очередными
наладки наладками технологического процесса
технологического
процесса
61. Риск Вероятность того, что по статистической оценке
излишней параметров технологического процесса будет
наладки принято решение осуществить очередную его
наладку, когда в этом нет необходимости
62. Риск Вероятность того, что по статистической оценке
незамеченной параметров технологического процесса будет
разладки принято решение не осуществлять очередную его
наладку, когда она необходима
63. Длина Число выборок между наладками технологического
серии выборок процесса при неизменном распределении
вероятностей контролируемого параметра
64. Средняя Математическое ожидание длины серии выборок
длина серии
выборок
65. Метод Метод статистического регулирования технологи-
группировки ческого процесса, характеризующийся тем, что
о разладке процесса судят по распределению
соответствующей выборочной характеристики
в определенных зонах контрольной карты
66. Метод Метод статистического регулирования
учета дефектов технологического процесса, характеризующийся
тем, что о разладке процесса судят по числу
дефектов или дефектных единиц производимой
продукции в выборках
67. Метод Метод статистического регулирования техноло-
средних гического процесса, характеризующийся тем, что
арифметических о разладке процесса судят по выборочным средним
арифметическим контролируемых параметров
68. Метод Метод статистического регулирования
медиан технологического процесса, характеризующийся
тем, что о разладке процесса судят по
выборочным медианам контролируемых параметров
69. Метод Метод статистического регулирования
средних технологического процесса, характеризующийся
квадратических тем, что о разладке процесса судят по
отклонений выборочным средним квадратическим отклонениям
контролируемых параметров
70. Метод Метод статистического регулирования
размахов технологического процесса, характеризующийся
тем, что о разладке процесса судят по
выборочным размахам контролируемых параметров
71. Метод Метод статистического регулирования
средних технологического процесса, характеризующийся
размахов тем, что о разладке процесса судят по средним
размахам контролируемых параметров, полученных
в результате осреднения размахов нескольких
выборок
72. Метод Метод статистического регулирования
крайних технологического процесса, характеризующийся
значений тем, что о разладке процесса судят по
наибольшим и (или) наименьшим значениям
контролируемых параметров в выборках
73. Метод Метод статистического регулирования
кумулятивных технологического процесса, характеризующийся
сумм тем, что о разладке процесса судят в зависимос-
ти от кумулятивных сумм значений соответст-
вующей выборочной характеристики контролируе-
мого параметра по мере их накопления
74. Контроль- Карта, на которой для наглядности отображения
ная карта состояния технологического процесса отмечают
значения соответствующей выборочной
характеристики смежных выборок во временной
последовательности
75. Контрольная Контрольная карта, на которую наносят значения
карта средних выборочного среднего арифметического
арифметических контролируемого параметра
76. Контрольная Контрольная карта, на которую наносят значения
карта медиан выборочной медианы контролируемого параметра
77. Контрольная Контрольная карта, на которую наносят значения
карта средних выборочного среднего квадратического отклонения
квадратических контролируемого параметра
отклонений
78. Контрольная Контрольная карта, на которую наносят значения
карта размахов выборочного размаха (среднего размаха)
(средних контролируемого параметра
размахов)
79. Контрольная Контрольная карта, на которую наносят кумуля-
карта кумулятив- тивные суммы значений выборочной характеристики
ных сумм контролируемого параметра смежных выборок
80. Контрольная Контрольная карта, на которую в качестве
карта числа значений выборочной характеристики наносят
дефектных единиц число дефектных единиц продукции или число
продукции или дефектов в выборке
числа дефектов
81. Контрольная Контрольная карта, на которую в качестве
карта крайних значений выборочной характеристики наносят
значений наибольшие и (или) наименьшие значения
82. Контроль- Контрольная карта, применяемая для статисти-
ная карта с ческого регулирования технологического процес-
предупреждающими са, на которой, кроме границ регулирования,
границами нанесены и предупреждающие границы
83. Граница Линия на контрольной карте, используемая
регулирования в качестве критерия для принятия решения
относительно технологического процесса
84. Предупреж- Линия на контрольной карте, под (верхней),
дающая граница над (нижней) границей регулирования или между
ними при статистически управляемом технологи-
ческом процессе значения выборочной характерис-
тики находятся с большой вероятностью.
Примечание. Попадание одного значения
выборочной характеристики между предупреждающей
и регулируемой границами является
предупреждающим сигналом
85. Предупреж- Сигнал, оповещающий о приближении разладки
дающий сигнал технологического процесса при помощи
поступающих статистических данных о выборочной
характеристике
СТАТИСТИЧЕСКИЙ ПРИЕМОЧНЫЙ КОНТРОЛЬ КАЧЕСТВА ПРОДУКЦИИ
86. Статисти- Выборочный контроль качества продукции,
ческий приемочный основанный на применении методов математической
контроль качества статистики для проверки соответствия качества
продукции продукции установленным требованиям и принятия
решения
87. Доля Отношение числа дефектных единиц продукции
дефектных единиц к общему числу единиц продукции в партии или
продукции потоке продукции.
Примечание. Доля дефектных единиц продукции
выражается в процентах
88. Уровень Доля дефектных единиц продукции или число
дефектности дефектов на сто единиц продукции
89. Входной Уровень дефектности в партии, поступающей
уровень на контроль, или потоке продукции
дефектности за определенный интервал времени
90. Средний Математическое ожидание значения уровня
входной уровень дефектности в нескольких партиях, поступающих
дефектности на контроль, или потоке продукции за
определенный интервал времени
91. Выходной Уровень дефектности в партии или потоке
уровень продукции за определенный интервал времени
дефектности после контроля
92. Средний Математическое ожидание значения выходного
выходной уровня дефектности в принятых партиях
уровень или потоке продукции и забракованных партиях
дефектности или потоке продукции за определенный интервал
времени, в которых после сплошного контроля
все обнаруженные дефектные единицы заменены
годными
93. Предел Максимальное значение среднего выходного
среднего уровня дефектности, соответствующее
выходного уровня определенному плану выборочного контроля
дефектности
94. Приемочный Максимальный уровень дефектности для одиночных
уровень партий или средний уровень дефектности для
дефектности последовательности партии, который для целей
приемки продукции является удовлетворительным.
Примечание. Приемочному уровню дефектности
для определенного плана выборочного контроля
соответствует высокая вероятность приемки
95. Браковочный Минимальный уровень дефектности в одиночной
уровень партии, который для целей приемки продукции
дефектности рассматривается как неудовлетворительный.
Примечание. Для контроля последовательности
партий продукции браковочный уровень
дефектности не устанавливается
96. План Совокупность требований и правил, которые
контроля следует соблюдать при решении о приемке партии
продукции.
Примечание. Под совокупностью требований и
правил понимается объем контролируемой партии,
уровень и вид контроля, тип плана выборочного
контроля, объем выборки, контрольные нормативы,
решающие правила и т.д.
97. План Совокупность данных об объемах выборок и
выборочного контрольных нормативах
контроля
98. Односту- План выборочного контроля, характеризующийся
пенчатый план тем, что решение относительно приемки партии
выборочного продукции принимают по результатам контроля
контроля только одной выборки
99. Двухсту- План выборочного контроля, характеризующийся
пенчатый план тем, что решение относительно приемки партии
выборочного продукции принимают по результатам контроля не
контроля более двух выборок, причем необходимость отбора
второй выборки зависит от результатов контроля
первой выборки
100. Многосту- План выборочного контроля, характеризующийся
пенчатый план тем, что решение относительно приемки партии
выборочного продукции принимают по результатам контроля
контроля нескольких выборок, максимальное число которых
установлено заранее, причем необходимость
отбора последующей выборки зависит от
результатов контроля предыдущих выборок
101. Последо- План выборочного контроля, характеризующийся
вательный план тем, что решение относительно приемки партии
выборочного продукции принимают по результатам проверки
контроля нескольких выборок, максимальное число которых
заранее не установлено, причем необходимость
отбора последующей выборки зависит от
результатов контроля предыдущих выборок
102. Контроль- Минимальное или максимальное значение,
ный норматив установленное в нормативно-технической
документации и представляющее собой критерий
для принятия решения по результатам выборочного
контроля относительно соответствия продукции
установленным требованиям
103. Приемочное Контрольный норматив, равный максимальному
число числу дефектных единиц продукции в выборке или
числу дефектов, приходящихся на сто единиц
продукции, являющийся критерием для приемки
партии продукции
104. Браковоч- Контрольный норматив, равный минимальному
ное число числу дефектных единиц продукции в выборке или
числу дефектов, приходящихся на сто единиц
продукции, являющийся критерием для
забракования партии продукции.
Примечание к
пп. 103, 104. В случае
статистического приемочного контроля по
количественному признаку - предельное значение
контролируемого параметра в выборке
105. Решающее Указание, предназначенное для принятия решения
правило относительно приемки партии продукции по
результатам ее контроля.
Примечание. Для принятия решения может быть
предусмотрена определенная совокупность
решающих правил
106. Схема Полный комплект планов выборочного контроля в
статистического сочетании с совокупностью правил применения
приемочного этих планов
контроля
107. Оператив- Выраженная уравнением, графиком или таблицей
ная характерис- зависимость вероятности приемки партии
тика плана продукции от величины, характеризующей качество
выборочного этой партии для данного плана выборочного
контроля контроля
108. Динами- Выраженная уравнением, графиком или таблицей
ческая характе- зависимость вероятности изменения плана
ристика правила выборочного контроля от количества принятых
изменения плана партий продукции при заданном входном уровне
выборочного дефектности каждой партии
контроля
109. Риск Вероятность забракования партии продукции,
поставщика обладающей приемочным уровнем дефектности
110. Риск Вероятность приемки партии продукции,
потребителя обладающей браковочным уровнем дефектности
111. Последую- Величина, вычисляемая как функция результатов
щая оценка статистического приемочного контроля нескольких
партий продукции, посредством которой оценивают
входной и выходной уровни дефектности,
эффективность принятого плана контроля, а также
принимают решение о целесообразности его
корректирования
112. Контроль Статистический приемочный контроль, в ходе
с корректируемым которого его план подлежит изменению
планом в зависимости от результатов контроля опреде-
ленного числа предыдущих партий продукции
113. Усеченный Статистический приемочный контроль, который
контроль подлежит прекращению в тот момент, когда
установлено, что объем полученной информации
достаточен для принятия решения о партии
продукции
114. Нормальный Статистический приемочный контроль,
контроль применяемый в том случае, когда результат
контроля заданного числа предыдущих партий
продукции не дает основания для заключения
о том, что действительный уровень дефектности
существенно отклоняется от приемочного
115. Ослабленный Статистический приемочный контроль, применяе-
контроль мый в том случае, когда результат контроля за-
данного числа предыдущих партий продукции дает
достаточное основание для заключения о том, что
действительный уровень дефектности ниже прие-
мочного, и характеризующийся меньшим объемом
выборки, чем при нормальном контроле и (или)
возможным изменением контрольных нормативов
116. Усиленный Статистический приемочный контроль,
контроль применяемый в том случае, когда результаты
контроля заданного числа предыдущих партий
продукции дают достаточное основание для
заключения о том, что действительный уровень
дефектности выше приемочного, и
характеризующийся более строгими контрольными
нормативами, чем при нормальном контроле
117. Контроль Статистический приемочный контроль,
с разбраковыва- по результатам которого непринятую партию или
нием поток продукции подвергают сплошному контролю
для последующего отделения дефектных единиц
продукции от годных.
Примечание. Если в забракованных партиях
дефектные единицы продукции заменяются годными,
то можно определить средний выходной уровень
дефектности
118. Статисти- Статистический приемочный контроль,
ческий непре- осуществляемый в условиях непрерывного
рывный контроль производства с чередованием сплошного
и выборочного контроля по определенным правилам
в зависимости от входного уровня дефектности
119. Уровень Характеристика плана контроля, увязывающая
контроля объем выборки с объемом партии продукции
(Измененная редакция, Изм. N 2).
АЛФАВИТНЫЙ УКАЗАТЕЛЬ ТЕРМИНОВ
Анализ точности и стабильности технологического процесса
52
статистический
Выборка преднамеренная
17
Выборка (проба) представительная
24
Выборка систематическая
18
Граница предупреждающая
84
Дефект малозначительный
6
Длина серии выборок средняя
64
Доля дефектных единиц продукции
87
Единица продукции дефектная
2
Карта контрольная крайних значений
81
Карта контрольная кумулятивных сумм
79
Карта контрольная медиан
76
Карта контрольная с предупреждающими границами
82
Карта контрольная размахов (средних размахов)
78
Карта контрольная средних арифметических
75
Карта контрольная средних квадратических отклонений
77
Карта контрольная числа дефектных единиц продукции или
80
числа дефектов
Контроль по альтернативному признаку
46
Контроль качества продукции приемочный статистический
86
Контроль по качественному признаку
45
Контроль по количественному признаку
44
Контроль качества статистический
43
Контроль непрерывный статистический
118
Контроль с корректируемым планом
112
Контроль с разбраковыванием
117
Метод средних размахов
71
Метод средних арифметических
67
Метод средних квадратических отклонений
69
Метод крайних значений
72
Метод кумулятивных сумм
73
Неоднородность продукции
38
Неоднородность продукции неслучайная
40
Неоднородность продукции случайная
39
Однородность продукции
37
Отбор выборок (проб) динамический
31
Отбор выборок (проб) многоступенчатый
33
Отбор выборок с применением случайных чисел
34
Отбор выборок (проб) расслоенный
30
Отбор выборок (проб) систематический
29
Отбор выборок (проб) статический
32
Отбор выборок (проб) случайный
28
Партия продукции контролируемая
8
План выборочного контроля
97
План выборочного контроля двухступенчатый
99
План выборочного контроля многоступенчатый
100
План выборочного контроля одноступенчатый
98
План выборочного контроля последовательный
101
Погрешность производства продукции
47
Погрешность производства продукции случайная
48
Погрешность производства продукции систематическая
49
Погрешность производства продукции постоянная
50
систематическая
Погрешность производства продукции систематическая
51
переменная
Показатель стабильности технологического процесса
56
Показатель точности технологического процесса
55
Предел среднего выходного уровня дефектности
93
Периодичность наладки технологического процесса средняя
60
Процесс статистический управляемый
59
Регулирование технологического процесса статистическое
58
Риск незамеченной разладки
62
Сигнал предупреждающий
85
Стабильность технологического процесса
54
Схема статистического приемочного контроля
106
Точность технологического процесса
53
Уровень дефектности браковочный
95
Уровень дефектности входной
89
Уровень дефектности выходной
91
Уровень дефектности приемочный
94
Уровень дефектности средний входной
90
Уровень дефектности средний выходной
92
Характеристика оперативная плана выборочного контроля
107
Характеристика правила изменения плана выборочного
108
контроля динамическая
(Измененная редакция, Изм. N 2).
Справочное
(в ред.
Изменения N 3, утв. Постановлением Госстандарта СССР от 24.10.1988 N 3487)
──────────────┬─────────────┬─────────────┬──────────────────────────────────
Термин │ Буквенное │ Определение │ Математическое выражение термина
│ обозначение │ │ и (или) пояснение
──────────────┴─────────────┴─────────────┴──────────────────────────────────
1.1. Слу- A, B, C, ... Событие,
чайное реализацию
событие которого при
определенном
комплексе ус-
ловий невоз-
можно заранее
предсказать
1.2. Слу- X, Y, ... Величина,
чайная которая может
величина принимать ка-
кое-либо зна-
чение из ус-
тановленного
множества
и с которой
связано
вероятностное
распределение
1.3. Ве- P(A) Число от ну-
роятность ля до едини-
события A цы, которое
представляет
собой предел
частоты реа-
лизации собы-
тия A при не-
ограниченном
числе
повторений
одного и того
же комплекса
условий
1.4. Услов- P(A/B) Вероятность

ная вероят- реализации где P(B)

0
ность события A

- произведение событий A и B
при условии
осуществления
события B
ретная величина,
одномерная которая может
случайная принимать
величина значения
только из
конечного или
счетного мно-
жества дейст-
вительных
чисел
рывная величина,
одномерная которая может
случайная принимать лю-
величина бые значения
из конечного
или бесконеч-
ного
интервала
1.7. Рас- Функция, ко- P(X = x)
пределение торая одно- p(a < x < b)
случайной значно опре-
величины деляет веро-
ятность того,
что случайная
величина при-
нимает задан-
ное значение
или принадле-
жит к некото-
рому заданно-
му интервалу
1.8. Функ- F(x) Функция, F(x) = P(X <= x)
ция распре- определяющая
деления для всех
действитель-
ных x вероят-
ность того,
что случайная
величина X
принимает
значения не
больше, чем x
1.9. Плот- f(x) Первая dF(x)
ность рас- производная f(x) = -----
пределения (если она dx
существует) Интеграл плотности вероятности
функции в бесконечно большом интервале
распределения (

,

) равен единице
1.10. Пара- Постоянная, Параметр может быть одномерным
метр распре- от которой или многомерным
деления зависит
функция
распределения
1.11. Кван- x Значение Может случиться, что
тиль порядка p случайной вышеуказанное условие выполняется
p (0 < p < 1) величины, для всеми значениями x, принадлежащими
которой функ- к некоторому интервалу. Тогда
ция распреде- каждое такое значение называется
ления прини- квантилью порядка p
мает значение
p или имеет
место "ска-
чок" со зна-
чения, мень-
шего чем p,
до значения,
большего
чем p
ана порядка
p = 1/2
1.13. Мода Mo Значение(я)
случайной ве-
личины, соот-
ветствующее
локальному
максимуму
плотности
вероятности
для непрерыв-
ной случайной
величины или
локальному
максимуму ве-
роятности для
дискретной
случайной
величины
1.14. Мате- E(X) Среднее |

- для дискретной
матическое взвешенное по | случайной величины
<*>,
ожидание вероятностям E(x) = {

- для непрерыв-
значение | ной случайной
случайной | величины
<*>,
величины где x - значения дискретной
i
случайной величины;
p = P(X = x );
i i
f(x) - плотность непрерывной
случайной величины
--------------------------------
<*> Если это выражение существует
в смысле абсолютной сходимости.
1.15. Момент Математичес- |

- для дискретной
порядка q кое ожидание | случайной величины
<*>,
случайной

= {

- для непре-
величины

| рывной случайной
x , p , f(x) - согласно п. 1.2.10
i i
1.16. Момент Математичес- |

- для
порядка q кое ожидание | дискретной случай-
относительно случайной

= { ной величины
<*>
числа a величины |

-
| для непрерывной

| случайной
| величины <*>
x, p, f(x) - согласно п. 1.2.10
--------------------------------
<*> Если это выражение существует
в смысле абсолютной сходимости.
ральный момент порядка q E[(X - E(X)) ]
порядка q относительно
числа
a = E(X)
1.18. Дис-

Центральный

персия момент
случайной порядка 2
величины
1.19. Сред-

Неотрица-

нее квадра- тельный
тическое квадратный
отклонение корень из
дисперсии
1.20. Коэф- v Отношение

фициент среднего Применяется при E(X) > 0
вариации квадратичес-
кого отклоне-
ния к матема-
тическому
ожиданию
1.21. Цент- Y Разность Y = X - E(X)
рированная между данной Математическое ожидание
случайная случайной ве- центрированной случайной величины
величина личиной и ее равно нулю
математичес-
ким ожиданием
1.22. Нор- V Отношение

мированная данной Дисперсия нормированной случайной
случайная случайной величины равна единице
величина величины
к ее среднему
квадратичес-
кому
отклонению
1.23. При- U Центрирован-

веденная ная и норми- Математическое ожидание и
случайная рованная дисперсия приведенной случайной
величина случайная величины равны соответственно нулю
величина и единице
1.24. Мно- (X , X , Совокупность Многомерная случайная величина
гомерная 1 2 одномерных может быть непрерывной или
случайная ..., X ) случайных ве- дискретной в зависимости от того,
величина n личин, являю- являются все члены
щихся коорди- последовательности непрерывными
натами слу- или дискретными
чайной точки
в многомерном
пространстве
1.25. Рас- Функция, ко- P(X = x , ..., X = x )
пределение торая одно- 1 1 n n
многомерной значно опре- P(a < X < b , ..., a < X < b )
случайной деляет веро- 1 1 1 n n n
величины ятность того,
что случайная
величина
(X , X , ...,
1 2
X )
n
принимает
значение
(x , x , ...,
1 2
x )
n
или вероят-
ность того,
что каждая
из случайных
величин
находится в
определенном
интервале
1.26. Функ- F(x , Функция, F(x , x , ..., x ) =
ция распре- 1 определяющая 1 2 n
деления x , ..., для всех дей- = P(X <= x , X <= x , ...,
многомерной 2 ствительных 1 1 2 2
случайной x ) x , x , ..., X <= x )
величины n 1 2 n n
x , вероят-
n
ность того,
что одновре-
менно случай-
ная величина
X принимает
1
значение не
больше, чем
x , случайная
1
величина X
2
принимает
значение не
больше, чем
x , ...,
2
случайная
величина X
n
принимает
значение не
больше, чем
x
n
1.27. Плот- f(x , Функция

ность 1
вероятности x , ..., (если она
многомерной 2 существует),
случайной x ) являющаяся
величины n n-й смешанной
частной
производной
функций
распределения
гинальное распределение
распределение p случайных
многомерной величин,
случайной выбранных из
величины совокупности
n случайных
величин
(p < n) при
условии, что
остальные
n - p случай-
ных величин
могут прини-
мать любые
значения в их
областях
изменения
ловное рас- распределение
пределение p случайных
многомерной величин,
случайной выбранных из
величины множества n
случайных
величин
(p < n), в то
время, как
каждая из
остальных
n - p случай-
ных величин
принимает
определенное
значение
1.30. Момент Математичес-

порядка q , кое ожидание
1 произведения
q , ..., q

2 n
многомерной
случайной
величины
ральный момент котором нача-
порядка лом отсчета
q , q , ..., случайной
1 2 величины
q является ма-
n тематическое
ожидание ее
составляющих
1.32. Кова- cov(X , X ) Центральный cov(

) =

=
риация (для 1 2 момент
двумерной порядка = E[(

- E(

)) (

- E(

))]
случайной 1 и 1
величины)
1.33. Мат- Квадратная

,
рица ковари- симметричная где

- дисперсия случайной
аций (для матрица величины X в одномерном марги-
n-мерной порядка n, i
случайной элементами нальном распределении
величины; которой (i = 1, 2, ..., n),
n >= 2) являются

- ковариация случайной
дисперсии величины (X , X ) в двумерном
или i j
ковариации маргинальном распределении
(i, j = 1, 2, ..., n; i

j)
реляция между случай-
ными величи-
нами, при ко-
торой измене-
ние одной из
случайных ве-
личин приво-
дит к измене-
нию математи-
ческого ожи-
дания другой
1.35. Коэф- Отношение

фициент кор- ковариации
реляции (для двух случай-
двумерной ных величин к
случайной произведению
величины) их средних
квадратичес-
ких
отклонений
1.36. Мат- Квадратная

,
рица коэф- симметричная где

- коэффициенты корреляции
фициентов матрица случайной величины (X , X ) в
корреляции порядка n, i j
(для n-мерной элементами маргинальном двумерном распределе-
случайной которой явля- нии (i, j = 1, 2, ..., n, i

j)
величины; ются коэффи-
n >= 2) циенты корре-
ляции и 1
2.1. Наблю- Действитель- Краткая форма - "единица"
даемая ный или ус-
единица ловный пред-
мет, над ко-
торым прово-
дят серию
наблюдений
2.2. Резуль- Характерис- Частным случаем результатов
тат тика свойств наблюдения является результат
наблюдений единицы, измерения
полученная
опытным путем
ральная всех рассмат-
совокупность риваемых
единиц
знак ное или
качественное
свойство,
позволяющее
различать
единицы
совокупности
чественный ницы, который
признак можно непо-
средственно
выразить чис-
лом и едини-
цей измерения
чественный ницы, опреде-
признак ляемый отно-
шением в
одной из двух
или более ус-
ловных ка-
тегорий. Если
две катего-
рии, тогда
признак явля-
ется альтер-
нативным
изменения содержащий
признака все возможные
значения
исследуемого
признака
2.8. Выбор- Любое Определение термина "выборка"
ка конечное применительно к статистическим
подмножество методам управления качеством
генеральной продукции (см.
термин 7 настоящего
совокупности, стандарта)
предназначен-
ное для
непосредст-
венных
исследований
определения и
выделения тех
единиц
генеральной
совокупности,
которые
следует взять
для выборки
единиц в
совокупности
(выборке)
сительная числа наблю-
частота даемых еди-
ниц, которые
принимают
заданное
значение или
находятся
в заданном
интервале, к
общему числу
наблюдений
копленная числа наблю-
относительная даемых еди-
частота ниц, которые
не превосхо-
дят заданного
значения, к
общему числу
наблюдений
рическая торая выража-
функция ет зависи-
распределения мость между
значениями
количествен-
ного признака
и накопленной
частотой
2.14. Ста- Функция Статистика, как функция случайной
тистика результатов величины, также является случайной
наблюдений, величиной
используемая
для оценки
параметров
распределения
и (или) для
проверки ста-
тистических
гипотез
вание приближенного
значения неиз-
вестного па-
раметра гене-
ральной сово-
купности по
результатам
наблюдений
2.16 Оценка Статистика, В ряде источников термин "оценка"
являющаяся встречается в качестве синонима
основой для термина "оценивание"
оценивания
неизвестного
параметра
распределения
ное оценивания,
оценивание заключающийся
в том, что
значение
оценки прини-
мается как
неизвестное
значение
параметра
распределения
2.18. Состо- Оценка,
ятельная сходящаяся по
оценка вероятности
к значению
оцениваемого
параметра при
безграничном
возрастании
объема
выборки
2.19. Не- Оценка, ма-
смещенная тематическое
оценка ожидание ко-
торой равно
значению
оцениваемого
параметра
щение оценки между матема-
тическим
ожиданием
оценки и
оцениваемым
параметром
2.21. Асим- Оценка, при
птотически которой сме-
несмещенная щение стре-
оценка мится к нулю
в случае,
когда объем
выборки
стремится к
бесконечности
2.22. Эффек- Несмещенная
тивная оценка оценка, имею-
щая наимень-
шую дисперсию
из всех воз-
можных несме-
щенных оценок
данного
параметра
тивность дисперсии
оценки эффективной
оценки пара-
метра к дис-
персии несме-
щенной оценки
этого
параметра
птотически оценка,
эффективная эффективность
оценка которой
стремится к
единице в том
случае, когда
объем выборки
стремится к
бесконечности
2.25. Выбо-

Сумма значе-

,
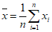
рочное сред- ний рассмат- где n - объем выборки;
нее арифмети- риваемой x - результат измерения i-й
ческое величины, i
полученных по единицы
результатам Оценка

является состоятельной
испытания и несмещенной оценкой среднего
выборки, значения в совокупности
деленная на
ее объем
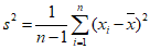
2.26. Выбо-

или

Сумма

или
рочная квадратов
дисперсия отклонений

,
выборочных где n,

,

- согласно
п. 2.25.
результатов Оценка

является состоятельной,
наблюдений от несмещенной и в случае нормально-
их выбороч- го распределения асимптотически
ного среднего эффективной оценкой дисперсии

.
арифметичес- Оценка

не является
кого в выбор- несмещенной
ке, деленная
на n - 1 или
n
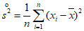
2.27. Выбо- s или

Положитель-

или

рочное сред- ный квадрат-
нее квадрати- ный корень из Оценки s и

являются
ческое выборочной состоятельными
отклонение дисперсии
2.28. Выбо- Сумма q

,
рочный момент степеней где n - объем выборки;
порядка q выборочных

- результат измерения i-й
результатов единицы
наблюдений,
деленная на
объем выборки
2.29. Выбо- Сумма q

рочный степеней
центральный отклонений
момент порядка выборочных
q результатов
наблюдений от
их выборочно-
го среднего
арифметичес-
кого,
деленная на
объем выборки
порядковая (k) в выборке
статистика объема n,
элементы
которой
расположены
в порядке
неубывания
2.31. Размах Разность R = x - x ,
выборки между n-й и (n) (1)
первой поряд- где n - объем выборки;
ковой статис- x - первая порядковая
тикой в вы- (1)
борке объема статистика;
n, т.е. раз- ...
ность между x - n-я порядковая статистика
наибольшим и (n)
наименьшим
значением в
выборке
ний размах арифметичес-
кое размахов,
полученных в
определенном
количестве
выборок
одинакового
объема
2.33. Выбо- Результат |

- для n-нечетных;
рочная наблюдения,

= {
медиана занимающий |

- для n-четных,
среднее место |
в выборке с где

,

,

- поряд-
нечетным чис- ковые статистики
лом результа-
тов, или по-
лусумма двух
результатов
наблюдений,
занимающих
среднее место
в выборке с
четным числом
результатов,
причем в
обоих случаях
результаты
наблюдений
расположены
в порядке
убывания
значений
выборке количествен-
ного признака
в выборке,
которому
соответствует
наибольшая
частота
2.35. Выбо- Сумма произ-

,
рочный момент ведений сте- где x - результат измерения
порядка q и s пеней q выбо- i
(в случае рочных значе- признака X на i-й единице;
измерений двух ний одного Y - результат измерения признака
признаков) количествен- i
ного признака Y на i-й единице;
на степени s n - объем выборки
соответствую-
щего значения
другого коли-
чественного
признака,
деленная на
объем выборки
2.36. Выбо- Сумма

,
рочный цент- произведений где x , y , n - согласно
п. 2.35,
ральный момент степеней q i i
порядка q и s отклонения

,

- выборочное среднее
(в случае i-го резуль- арифметическое для признаков X
измерений двух тата наблюде- и Y соответственно
признаков) ния x отно-
i
сительно
выборочного
среднего

на
степени s
отклонения
i-го резуль-
тата наблюде-
ния

отно-
сительно
выборочного
среднего
арифметичес-
кого

,
деленная на
объем выборки
2.37. Выбо- Выборочный

,
рочная центральный где обозначения - согласно
п. 2.36
ковариация момент
(в случае порядка
измерений двух 1 и 1
признаков)
рительный который с
интервал заданной
вероятностью
накроет
неизвестное
значение
оцениваемого
параметра
распределения
рительные верительного
границы интервала
2.40. Дове-

Вероятность
рительная того, что
вероятность доверительный
интервал на-
кроет дейст-
вительное
значение
параметра,
оцениваемого
по выборочным
данным
вание с по- оценки, при
мощью довери- котором с
тельного заданной
интервала доверительной
вероятностью
устанавливают
границы дове-
рительного
интервала
2.42. Ста- Любое пред- Предположение, которое касается
тистическая положение, неизвестного значения параметра
гипотеза касающееся распределения, называется
неизвестного параметрической гипотезой.
распределения Предположение, при котором вид
случайной распределения неизвестен,
величины в называется непараметрической
совокупности гипотезой
вая гипотеза 0 подлежащая
проверке
тернативная 1 допустимая
гипотеза гипотеза,
отличная от
нулевой
тистический определенный
критерий способ про-
верки статис-
тических
гипотез
метрический кий критерий,
критерий предназначен-
ный для про-
верки парамет-
рической
гипотезы
раметрический кий критерий,
критерий предназначен-
ный для про-
верки непара-
метрической
гипотезы
терий кий критерий,
согласия предназначен-
ный для про-
верки гипоте-
зы о согласии
(равенстве)
распределения
случайной ве-
личины иссле-
дуемой сово-
купности с
теоретическим
распределени-
ем или гипо-
тезы о согла-
сии распреде-
лений в двух
или больше
совокупностях
терий кий критерий,
значимости при котором
для данного
уровня значи-
мости отвер-
гается нуле-
вая гипотеза
или констати-
руется
отсутствие
оснований для
ее отвержения
2.50. Кри-

Область со
тическая следующими
область свойствами:
если значения
применяемой
статистики
принадлежат
данной облас-
ти, то отвер-
гают нулевую
гипотезу; в
противном
случае ее
принимают
ка первого заключающаяся
рода в том, что
отвергают ну-
левую гипоте-
зу, в то
время как в
действитель-
ности эта
гипотеза
верна
2.52. Уро-

Вероятность
вень ошибки
значимости первого рода
ка второго заключающаяся
рода в том, что
принимают ну-
левую гипоте-
зу, в то
время как в
действитель-
ности эта
гипотеза
неверна
2.54. Функ- М (

, Функция, Функция мощности зависит от
ция мощности

) определяющая критической области

и
критерия вероятность действительного значения
того, что ну- исследуемого параметра

левая гипоте-
за будет
отвергнута
ность того, что
критерия нулевая
гипотеза,
если
альтернатив-
ная гипотеза
верна, будет
отвергнута
ративная ха- принятия ну-
рактеристика левой гипоте-
зы, в зависи-
мости от
критической
области

и действи-
тельного зна-
чения иссле-
дуемого пара-
метра

АЛФАВИТНЫЙ УКАЗАТЕЛЬ ТЕРМИНОВ
Величина случайная многомерная
1.24
Величина случайная нормированная
1.22
Величина случайная одномерная дискретная
1.5
Величина случайная одномерная непрерывная
1.6
Величина случайная приведенная
1.23
Величина случайная центрированная
1.21
Вероятность доверительная
2.40
Вероятность события А
1.3
Выборочное среднее арифметическое
2.25
Гипотеза альтернативная
2.44
Гипотеза статистическая
2.42
Границы доверительные
2.39
Дисперсия выборочная
2.26
Дисперсия случайной величины
1.18
Интервал доверительный
2.38
Ковариация выборочная
2.37
Коэффициент вариации
1.20
Коэффициент корреляции
1.35
Критерий непараметрический
2.47
Критерий параметрический
2.46
Критерий статистический
2.45
Математическое ожидание
1.14
Матрица коэффициентов корреляции
1.36
Момент порядка q выборочный
2.28
Момент порядка q относительно числа a
1.16
Момент порядка q центральный
1.17
Момент порядка q выборочный центральный
2.29
Момент порядка q и s выборочный
2.35
Момент выборочный центральный порядка q и s
2.36
Момент порядка q , q , ..., q многомерной случайной
1.30
1 2 n
величины
Момент порядка q , q , ..., q центральный
1.31
1 2 n
Область изменения признака
2.7
Отклонение среднее квадратическое
1.19
Отклонение среднее квадратическое выборочное
2.27
Оценивание с помощью доверительного интервала
2.41
Оценка асимптотически несмещенная
2.31
Оценка состоятельная
2.28
Оценка асимптотически эффективная
2.24
Параметр распределения
1.10
Плотность вероятности
1.9
Плотность вероятности многомерной случайной величины
1.26
Признак количественный
2.5
Распределение многомерной случайной величины
1.25
Распределение многомерной случайной величины
1.28
маргинальное
Распределение многомерной случайной величины условное
1.29
Распределение случайной величины
1.7
Совокупность генеральная
2.3
Статистика k-я порядковая
2.30
Функция мощности критерия
2.54
Функция распределения
1.8
Функция распределения многомерной случайной величины
1.26
Функция распределения эмпирическая
2.13
Характеристика оперативная
2.56
Частота относительная
2.11
Эффективность оценки
2.23
АЛФАВИТНЫЙ УКАЗАТЕЛЬ ОБОЗНАЧЕНИЙ
───────────────────┬──────────────────────────────────┬──────────
Обозначение │ Наименование обозначения │ Номер
│ │ термина
───────────────────┼──────────────────────────────────┼──────────
A, B, C, ... │Случайные события │
1.1
cov (X , X ) │Ковариация │
1.32
1 2 │ │
2 │ │
E(X) │Математическое ожидание │
1.14
F(x) │Функция распределения │
1.8
F(x , x , ..., x ) │Функция распределения многомерной │
1.26
1 2 n │случайной величины │
f(x) │Плотность вероятности │
1.9
f(x , x , ..., x ) │Плотность вероятности многомерной │
1.27
1 2 n │случайной величины │
M(омега, Тэта) │Функция мощности критерия │
2.54
P(A) │Вероятность события А │
1.3
P(A/B) │Условная вероятность │
1.4
o │ │
s или s │Выборочное среднее квадратическое │
2.27
│отклонение │
2 o2 │ │
s или s │Выборочная дисперсия │
2.26
U │Приведенная случайная величина │
1.23
V │Нормированная случайная величина │
1.22
v │Коэффициент вариации │
1.20
X, Y, ... │Случайные величины │
1.2
- │ │
x │Среднее арифметическое в выборке │
2.25
x │Квантиль порядка р │
1.11
p │ │
Y │Центрированная случайная величина │
1.21
альфа │Уровень значимости │
2.52
гамма │Доверительная вероятность │
2.40
ро │Коэффициент корреляции │
1.35
сигма │Среднее квадратическое отклонение │
1.19
омега │Критическая область │
2.50
(Измененная редакция, Изм. N 1).
Справочное
Единица продукции
Единица продукции может быть как штучной, так и нештучной, в упаковке или без таковой.
Под штучной продукцией понимается продукция, количество которой исчисляется в штуках (экземплярах).
Под нештучной продукцией понимается продукция, количество которой исчисляется в единицах измерения массы, длины, площади, объема, например, тонна муки, метр провода, квадратный метр ткани, кубический метр газа и т.д.
Единица продукции служит не только для исчисления ее количества. Деление продукции на определенные единицы имеет существенное значение при управлении качеством продукции, в частности, при оценке ее качества, при контроле каждой единицы (сплошной контроль), либо некоторых единиц (выборочный контроль).
В зависимости от условий изготовления (производства) и поставки штучной и нештучной продукции используются условные единицы ее исчисления, как партия продукции (изделий) или материала, плавка металла, емкость, упаковочная единица (например, контейнер, цистерна, бочка, мешок, ящик, коробка, пакет) и т.д.
Изделие может исчисляться в штуках или экземплярах, а поэтому является частным случаем единицы промышленной продукции. В некоторых случаях количество определенных изделий (например, крепежных деталей, конфет и др.) характеризуют непрерывной величиной, применяемой для нештучной продукции и исчисляемой, в частности, с помощью единицы массы.
К изделиям не относится вся непромышленная продукция, включая штучную (плоды, овощи, туши животных, невыделанные шкурки зверей и т.п.), а также промышленная нештучная продукция.
Если продукция находится в упаковочных единицах, содержащих одинаковое количество единиц продукции каждая, то в НТД на приемку кроме объема выборки указывается и количество упаковочных единиц (первичных, вторичных и т.д.). Затем из этих упаковочных единиц отбирается одинаковое количество единиц продукции в выборку.
Если первичные упаковочные единицы содержат вторичные и т.д. упаковочные единицы, то сначала отбирают первичную, затем вторичную и т.д.
Контролируемая партия продукции
Основным признаком контролируемой партии продукции является однородность условий ее производства, что не исключает, однако, рассеивания значений параметров единиц продукции в этой партии.
Контролируемая партия продукции может подвергаться сплошному или выборочному контролю. При сплошном контроле контролю подвергается каждая единица продукции в контролируемой партии. При выборочном контроле из контролируемой партии продукции извлекаются случайные выборки или пробы, по результатам контроля которых судят о качестве партии продукции в целом.
Поставляемые партии продукции допускается составлять из нескольких признанных годными (принятых) контролируемых партий, или, наоборот, одну контролируемую партию составлять из нескольких принятых поставляемых партий продукции, формирование которых определяется условиями поставки, требованиями потребителя, транспортными возможностями и т.п.
Средний объем выборки
Планы многоступенчатого (в частности двухступенчатого) и последовательного контроля предусматривают проверку в ряде случаев более чем одной выборки. В связи с этим вероятность контроля первой выборки равна единице, вероятность контроля (K + 1)-й выборки в K-ступенчатом контроле (K = 2, 3, ...,) равна нулю, значения вероятностей контроля остальных выборок находятся между нулем и единицей и определяются однозначно.
Средний объем выборки для К-ступенчатого контроля определяется по формуле

,
где

- вероятность контроля i-й выборки;

- объем i-й выборки.
Для одноступенчатого контроля

, т.е. средний объем выборки равен установленному объему выборки.
Для двухступенчатого контроля K = 2 и

.
В случае последовательного контроля значение K может не ограничиваться.
Статистически управляемый процесс
Статистическое регулирование заключается в том, что на основании данных о состоянии технологического процесса в предшествующие моменты времени прогнозируется его состояние в последующий момент времени и в случае необходимости осуществляется корректирование (управляющее воздействие).
Прогноз состояния процесса возможен лишь в том случае, когда корреляция между значениями параметра процесса в заданных промежутках времени достаточно сильная. Если же эта корреляция слабая или вовсе отсутствует, то прогнозировать состояние процесса невозможно.
Существуют критерии, по которым определяется целесообразность корректирования процесса в зависимости от степени корреляции между значениями параметра процесса в заданных промежутках времени и от степени требуемых корректур.
На этой основе вырабатываются правила статистического регулирования в случае ручного управления технологическими процессами и устанавливается целесообразность применения автоматических подналадочных устройств в случае автоматического управления технологическими процессами.
Риск излишней наладки
Существование вероятности ошибочного решения о наладке процесса объясняется тем, что отклонение выборочного значения регулируемой статистической характеристики от значения ее математического ожидания, соответствующего налаженному процессу, является в общем случае суммой двух составляющих: неслучайного отклонения математического ожидания указанной характеристики от его значения, свойственного налаженному процессу, и случайного отклонения выборочного значения регулируемой статистической характеристики от ее математического ожидания в момент выборочного контроля.
На основании полученной в результате выборочного контроля величины y =

+ X принимается решение о наладке, если y >=

. Это решение правильно, если

>=

, и ошибочно, если

<

.
На черт. 1 точка, соответствующая выборочному значению регулируемой статистической характеристики, вышла за границу регулирования. Поэтому принимается решение о наладке процесса в случае а - правильно, в случае б - ошибочно.
y /\ o- - - - - - - |
│ | |
│ Граница регулирования } x
K ├──────────────┼─────────── |
│ o--------------
│ Разлаженный процесс |
мю ├──────────────┼─────────── |
1 │ | } кси
│ Налаженный процесс |
мю └──────────────┴──────────────
0 а
y /\ o- - - - - - - |
│ | |
│ Граница регулирования } x
K ├──────────────┼─────────── |
│ |
│ Разлаженный процесс |
мю ├──────────────┼─────────── |
1 │ o--------------
│ Налаженный процесс \ кси
мю └──────────────┴──────────────/
0 б
Черт. 1
Обычно принимаются значения риска излишней наладки, равные 1,0; 2,5; 5,0 или 10%. При больших значениях риска излишней наладки снижается производительность труда и увеличиваются затраты на необоснованный контроль и наладку процесса.
Риск незамеченной разладки
Осуществление вероятности ошибочного решения оставить процесс без наладки объясняется теми же причинами, что и для риска излишней наладки, с той лишь разницей, что на основании полученной в результате выборочного контроля величины y =

+ X принимается решение оставить процесс без наладки, если y <

.
Решение правильно, если

<

, и ошибочно, если

>=

.
На черт. 2 точка, соответствующая выборочному значению регулируемой статистической характеристики, находится в границах регулирования. Потому принимается решение оставить процесс без наладки в случае а - правильно, в случае б - ошибочно.
y /\
│ Граница регулирования
├──────────────────────────
K │ o--------------|
│ | } x
│ Разлаженный процесс |
мю ├──────────────┼─────────── |
1 │ o--------------
│ Налаженный процесс \ кси
мю └──────────────┴─────────── /
0 а
y /\
│ Граница регулирования
├──────────────────────────
K │ o--------------|
│ | } x
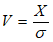
│ | |
│ o--------------|
│ | |
│ Разлаженный процесс |
мю ├──────────────┼─────────── \ кси
1 │ | /
│ Налаженный процесс |
мю └──────────────┴──────────────
0 б
Черт. 2
Обычно принимаются значения риска незамеченной разладки, равные 1,0; 2,5; 5,0 или 10,0%.
При больших значениях риска незамеченной разладки ухудшается качество выпускаемой продукции и растут потери от брака, обусловленного несвоевременно регулируемой технологической операцией.
Средняя длина серии выборок
Понятие средней длины серии выборок важно для оценки различных методов и схем статистического регулирования технологических процессов. В случае, когда значение контролируемого показателя качества равно приемочному, средняя длина серии выборок характеризует срок появления ложного сигнала разладки, требующего излишней наладки. В этом случае желательно иметь по возможности большую длину серии выборок. В случае, когда значения контролируемого показателя качества равны браковочному значению, средняя длина серии выборок характеризует запаздывание обнаружения разладки процесса. В этом случае желательно, чтобы средняя длина серии выборок была как можно меньше.
Средняя периодичность наладки технологического процесса
Для схемы статистического регулирования технологического процесса с применением контрольных карт кумулятивных сумм среднее время для обнаружения разладки зависит от значения кумулятивной суммы в момент извлечения первой выборки (пробы) после разладки.
Если процесс производства единиц продукции имеет постоянную скорость и выборки берутся через t часов, то среднее время корректировки процесса будет (L - 1) S + t,
где L - средняя длина серии (СДС);
t - среднее число единиц продукции, производимое между моментом разладки и моментом взятия первой выборки после разладки.
Если разладка в любой момент времени может произойти с одинаковой вероятностью и период отбора выборок относительно невелик, можно приближенно считать t = S/2.
Статистический приемочный контроль качества продукции
В отличие от статистического регулирования при статистическом приемочном контроле качества продукции принимается решение не о состоянии технологического процесса, а о приемке или забраковании партии продукции. Поэтому, как правило, объем выборок для статистического приемочного контроля больше, чем для статистического регулирования технологических процессов.
Термин "статистический приемочный контроль качества продукции" не следует связывать с контролем только готовой продукции.
Статистический приемочный контроль применяют на операциях входного контроля сырья, материалов и комплектующих изделий, при операционном контроле, при контроле готовой продукции, при контроле закупок и т.д., т.е. тогда, когда необходимо принять или забраковать партию продукции.
Отличительной особенностью статистического приемочного контроля является принятие решения о приемке или забраковании партии продукции по результатам контроля выборки.
Схема статистического приемочного контроля
Примером схемы статистического приемочного контроля качества продукции могут служить СТ СЭВ 548-77, МС ИСО 2859 и др., в таблицах которых содержится полный набор планов контроля, а стратегия переходов от нормального вида контроля к ослабленному и усиленному, а также в обратном направлении определяется обоснованными правилами.
Если план контроля полностью оценивается его оперативной характеристикой, то для оценки схемы контроля необходимо знать композиции оперативных характеристик, т.е. усредненные с учетом правил перехода от одного вида контроля к другому оперативные и динамические характеристики правил перехода.
Динамическая характеристика правил изменения
плана выборочного контроля
Динамические характеристики правил изменения плана статистического приемочного контроля позволяют уточнять эти правила и назначать их при разработке стандартов в соответствии с заданными требованиями.
Переход от нормального вида контроля к ослабленному, например, согласно СТ СЭВ 548-77 и МС ИСО 2859, означает, что уровень дефектности представленной на контроль продукции ниже приемочного уровня дефектности. Задаваясь соответствующим ослабленному виду контроля уровнем дефектности, например, равным половине приемочного уровня дефектности, строят динамические характеристики для различных правил перехода от нормального вида контроля к ослабленному. Лучшим из исследуемых признается правило, которому соответствует динамическая характеристика с более быстрым ростом.
Переход от нормального вида контроля к усиленному означает, что уровень дефектности представленной на контроль продукции выше приемочного уровня дефектности. Для исследования и уточнения правил перехода в этом случае задаются уровнем дефектности, например, в полтора раза меньше приемочного уровня дефектности и для него строят динамические характеристики исследуемых правил. Предпочтение отдается тому правилу, которому соответствует динамическая характеристика с более быстрым ростом.
Справочное
ТЕРМИНОВ С ЭКВИВАЛЕНТАМИ НА ИНОСТРАННЫХ ЯЗЫКАХ
────────────────────────┬────────────────────┬────────────────────
Русский термин │ Английский │ Французский
│ эквивалент │ эквивалент
────────────────────────┴────────────────────┴────────────────────
1. Единица продукции Unit of product Individu
2. Дефектная единица Defective, D

fectueux,
продукции defective unit individu d

fectueux
3. Дефект Defect D

faut
4. Критический Critical defect D

faut critique
дефект
5. Значительный Major defect D

faut majeur
дефект
6. Малозначительный Minor defect D

faut mineur
дефект
7. Изделие Item Individu, article
8. Контролируемая Inspection lot Lot pour
партия продукции inspection de
contr

le, lot
soumis au contr

le
9. Объем партии Lot size Effectif d'un lot
10. Поток продукции Flow of products Chaine de
fabrication
11. Выборка Sample Echantillon
12. Объем выборки Sample size Effectif d'un

chantillon
13. Средний объем Average sample size Effectif moyen
выборки d'un

chantillon
14. Мгновенная Increment Echantillon
выборка instantan
15. Объединенная Gross sample, bulk Echantillon global
выборка sample
16. Случайная выборка Random sample Echantillon (tir

)
au hasard
17. Преднамеренная Spot sample Echantillon de
выборка forme et dimensions
sp

cifi

es
18. Систематическая Systematic sample Echantillon
выборка syst

matique
19. Расслоенная Stratified sample Echantillon
выборка stratifi

20. Проба Sample Echantillon
21. Объем пробы Sample size Effectif d'un

chantillon
22. Точечная проба Single sample Pr

l

vement

l

mentaire
23. Объединенная Bulk sample, gross Echantillon global
проба sample
24. Представительная Representative Echantillon
выборка (проба) sample repr

sentatif
25. Подготовка пробы Sample preparation Pr

paration d'un

chantillon
26. Отбор Sampling Pr

l

vement,

chantillonnage
27. Период отбора Sampling interval Intervalle
d'

chantillonnage
28. Случайный отбор Random sampling Echantillonnage au
выборок (проб) hasard
29. Систематический Systematic sampling Echantillonnage
отбор выборок syst

matique
(проб)
30. Расслоенный отбор Stratified sampling Echantillonnage
выборок (проб) stratifi

31. Динамический Dynamic sampling Echantillonnage
отбор выборок dynamique
(проб)
32. Статический отбор Static sampling Echantillonnage
выборок (проб) statique
33. Многоступенчатый Multiple sampling Echantillonnage
отбор выборок multiple
(проб)
34. Отбор выборок с Sampling by use of Echantillonnage
применением random numbers avec application
случайных чисел des nombres
al

atoires
35. Отбор выборок "Blindfold" Echantillonnage "

вслепую sampling l'aveugle"
36. Изменчивость Variability Variabilit

37. Однородность Homogeneity of Homog

n

ite des
продукции products produits
38. Неоднородность Heterogeneity of H

t

rog

n

it

des
продукции products produits
39. Случайная неодно- Random heteroge- H

t

rog

n

it

родность продукции neity of products al

atoire des
produits
40. Неслучайная Nonrandom H

t

rog

n

it

non
неоднородность heterogeneity of al

atoire des
продукции products produits
41. Гомогенизация Homogeneization Homog

n

isation
42. Выборочный Sampling inspection Contr

le par
контроль

chantillonnage
43. Статистический Statistical quality Contr

le
контроль качества control statistique
44. Контроль по Inspection by Contr

le par
количественному variables variables
признаку
45. Контроль по
качественному
признаку
46. Контроль по Inspection by Contr

le par
альтернативному attributes attributs
признаку
47. Погрешность Error of Erreur de
производства fabrication fabrication
продукции
48. Случайная погреш- Random error of Erreur fortuite de
ность производства products fabrication fabrication
продукции
49. Систематическая Systematic error of Erreur
погрешность произ- products fabrication syst

matique de
водства продукции fabrication
50. Постоянная систе- Constant systematic Erreur
матическая погреш- error of products syst

matique
ность производства fabrication constante de
продукции fabrication
51. Переменная систе- Variable systematic Erreur
матическая погреш- error of products syst

matique
ность производства fabrication variable de
продукции fabrication
52. Статистический Statistic analysis Analyse
анализ точности и of process accuracy statistique de la
стабильности and stability pr

cision et de la
технологического stabilit

d'un
процесса prec

d

53. Точность Process accuracy Pr

cision d'un
технологического proc

d

процесса
54. Стабильность Process stability Stabilit

d'un
технологического proc

d

процесса
55. Показатель точ- Process accuracy Caract

ristique de
ности технологи- index pr

cision d'un
ческого процесса proc

d

56. Показатель ста- Process stability Caract

ristique de
бильности техноло- index stabilit

d'un
гического процесса proc

d

57. Точностная Process operation
диаграмма chart
58. Статистическое Statistical process Contr

le
регулирование control statistique d'une
технологического fabrication
процесса
59. Статистический Process under Processus sous
управляемый control contr

le
процесс
60. Средняя периодич- Average frequency P

riodicit

ность наладки of process moyenne de r

glage
технологического adjustment d'un proc

d

процесса
61. Риск излишней Risk of superfluous Risque d'un
наладки adjustment r

glage superflu
(Type I risk) (Risque de premi

re
esp

ce)
62. Риск незамеченной Risk of unnoticed Risque d'un
разладки disadjustment d

r

glage inapercu
(Type II risk) (Risque de seconde
esp

ce)
63. Длина серии Sample run length Nombre de
выборок pr

l

vement
64. Средняя длина Average run length Nombre moyen de
серии выборок pr

l

vements
65. Метод группировки Clustering method M

thode des
groupements
66. Метод учета Method of score of M

thode par nombre
дефектов defects de d

fauts
67. Метод средних Method of M

thode des moyen-
арифметических arithmetic means nes arithm

tiques
68. Метод медиан Method of medians M

thode des
m

dianes
69. Метод средних Method of standard M

thode des

carts
квадратических deviations type
отклонений
70. Метод размахов Method of ranges M

thode des

tendues
71. Метод средних Method of average M

thode des
размахов ranges

tendues moyenne
72. Метод крайних Method of extreme M

thode des
значений values valeurs extr

mes
73. Метод Cusum method M

thode des sommes
кумулятивных сумм cumul

es
74. Контрольная карта Control chart Carte de contr

le
75. Контрольная карта Control chart for Carte de contr

le
средних arithmetic means de la moyenne
арифметических
76. Контрольная карта Control chart for Carte de contr

le
медиан medians de la m

diane
77. Контрольная карта Control chart for Carte de contr

le
средних standard deviations de l'

cart type
квадратических
отклонений
78. Контрольная карта Control chart for Carte de contr

le
размахов (средних ranges (medium de l'

tendue (de
размахов) ranges) l

ten due moyenne)
79. Контрольная карта Cusum chart Carte de contr

le
кумулятивных сумм

somme cumul

e
80. Контрольная карта Control chart for Carte de contr

le
числа дефектных number of defects or du nombre de
единиц продукции defectives d

fauts et de
или числа дефектов d

f

ctueux
81. Контрольная карта Control chart for Carte de contr

le
крайних значений extreme values des valeurs
extr

mes
82. Контрольная карта Control chart with Carte de contr

le
с предупреждающими warning limits aveles limites de
границами surveillance
83. Граница Action limit Limite de contr

le
регулирования
84. Предупреждающая Warning limit Limite de
граница surveillance
85. Предупреждающий Warning signal Signal d'alerte
сигнал
86. Статистический Acceptance sampling Contr

le
приемочный statistique de
контроль качества r

ception
продукции
87. Доля дефектных Fraction defective Proportion de d

-
единиц продукции fectueux, pourcen-
tage de d

fectueux
88. Уровень Defects per hundred Niveau de qualit

дефектности units
89. Входной уровень Incoming Qualit

дефектности imperfection level avant contr

le
90. Средний входной Average incoming Qualit

moyenne
уровень imperfection level avant contr

le
дефектности
91. Выходной уровень Outgoing Qualit

apr

s
дефектности imperfection level contr

le
92. Средний выходной Average outgoing Qualit

moyenne
уровень imperfection level apr

s contr

le
дефектности
93. Предел среднего Average outgoing Limite de la
выходного уровня imperfection limit qualit

moyenne
дефектности apr

s contr

le
94. Приемочный уро- Acceptable Niveau de qualit

вень дефектности imperfection level acceptable
95. Браковочный уро- Rejectable Niveau de qualit

вень дефектности imperfection level rejetable
96. План контроля Inspection plan Plan de contr

le
97. План выборочного Sampling inspection Plan de contr

le
контроля plan par

chantillonnage
98. Одноступенчатый Single sampling Plan
план выборочного plan d'

chantillonnage
контроля simple
99. Двухступенчатый Double sampling Plan
план выборочного plan d'

chantillonnage
контроля double
100. Многоступенчатый Multiple sampling Plan
план выборочного plan d'

chantillonnage
контроля multiple
101. Последовательный Sequential sampling Plan
план выборочного plan d'

chantillonnage
контроля progressif
102. Контрольный Acceptability Seuil
норматив constant (K) d'acceptation
103. Приемочное число Acceptance number Crit

re
(Ac) d'acceptation
104. Браковочное число Rejection number Crit

re de rejet
(RE)
105. Решающее правило Decision rule Crit

re de
d

cision
106. Схема статисти- Acceptance sampling Sch

ma d'un cont-
ческого приемоч- pattern r

le statistique de
ного контроля r

ception
107. Оперативная Operating Courbe d'effica-
характеристика characteristic of cit

d'un plan
плана выборочного sampling plan d'

chantillonnage
контроля
108. Динамическая Dynamic characte- Caract

ristique
характеристика ristic of the proce- dynamique de la
правила изменения dure for changing proc

dure de chan-
плана выборочного the sampling plan gement d'un plan
контроля d'

chantillonnage
109. Риск поставщика Producer's risk Risque du
fournisseur
110. Риск потребителя Consumer's risk Risque du client
111. Последующая Subsequent Estimateur
оценка estimation post

rieur
112. Контроль с Sampling with
корректируемым severity adjustment
планом
113. Усеченный Curtailed Contr

le tronqu

контроль inspection
114. Нормальный Normal inspection Contr

le normal
контроль
115. Ослабленный Reduced inspection Contr

le r

quit
контроль
116. Усиленный Tightened Contr

le renferc

контроль inspection
117. Контроль с Rectifying Contr

le avec tri
разбраковыванием inspection
118. Статистический Continuous sampling Contr

le
непрерывный statistique continu
контроль
119. Уровень контроля Inspection level Niveau de contr

le
(Измененная редакция, Изм. N 2).