Главная // Актуальные документы // ГОСТ Р (Государственный стандарт)СПРАВКА
Источник публикации
М.: ИПК Издательство стандартов, 2001
Примечание к документу
Документ утратил силу с 1 января 2014 года в связи с изданием
Приказа Росстандарта от 22.11.2012 N 1067-ст. Взамен введен в действие
ГОСТ 31549-2012.
Документ включен в
Перечень документов в области стандартизации, содержащих правила и методы исследований (испытаний) и измерений, в том числе правила отбора образцов, необходимые для применения и исполнения технического
регламента о безопасности машин и оборудования, а также для осуществления оценки соответствия (
Распоряжение Правительства РФ от 05.08.2010 N 1328-р).
С 1 июля 2003 года до вступления в силу технических регламентов акты федеральных органов исполнительной власти в сфере технического регулирования носят рекомендательный характер и подлежат обязательному исполнению только в части, соответствующей целям, указанным в
пункте 1 статьи 46 Федерального закона от 27.12.2002 N 184-ФЗ.
Введен в действие с 1 июля 2002 года.
Название документа
"ГОСТ Р 51803-2001. Конвейеры строительные передвижные ленточные. Общие технические условия"
(принят и введен в действие Постановлением Госстандарта РФ от 28.08.2001 N 354-ст)
"ГОСТ Р 51803-2001. Конвейеры строительные передвижные ленточные. Общие технические условия"
(принят и введен в действие Постановлением Госстандарта РФ от 28.08.2001 N 354-ст)
Принят и введен в действие
от 28 августа 2001 г. N 354-ст
ГОСУДАРСТВЕННЫЙ СТАНДАРТ РОССИЙСКОЙ ФЕДЕРАЦИИ
КОНВЕЙЕРЫ СТРОИТЕЛЬНЫЕ ПЕРЕДВИЖНЫЕ ЛЕНТОЧНЫЕ.
ОБЩИЕ ТЕХНИЧЕСКИЕ УСЛОВИЯ
Road general-purpose mobile belt conveyors.
General specifications
ГОСТ Р 51803-2001
Дата введения
1 июля 2002 года
1. Разработан и внесен Техническим комитетом по стандартизации ТК 267 "Строительно-дорожные машины и оборудование".
2. Принят и введен в действие
Постановлением Госстандарта России от 28 августа 2001 г. N 354-ст.
Введен впервые.
Настоящий стандарт распространяется на ленточные передвижные несамоходные конвейеры (далее - конвейеры), предназначенные для транспортирования сыпучих материалов и мелкоштучных грузов при различных технологических процессах, земляных работах, в том числе в карьерах, и погрузочно-разгрузочных работах на складах.
Стандарт не распространяется на специальные конвейеры, предназначенные для транспортирования материалов температурой более 60 °C и материалов, химически активных по отношению к элементам конструкции конвейеров, а также на конвейеры, являющиеся частью машин специального назначения.
В настоящем стандарте использованы ссылки на следующие стандарты:
ГОСТ 2.601-95 Единая система конструкторской документации. Эксплуатационные документы
ГОСТ 2.602-95 Единая система конструкторской документации. Ремонтные документы
ГОСТ 9.014-78 Единая система защиты от коррозии и старения. Временная противокоррозионная защита изделий. Общие требования
ГОСТ 9.032-74 Единая система защиты от коррозии и старения. Покрытия лакокрасочные. Группы, технические требования и обозначения
ГОСТ 9.104-79 Единая система защиты от коррозии и старения. Покрытия лакокрасочные. Группы условий эксплуатации
ГОСТ 12.2.022-80 Система стандартов безопасности труда. Конвейеры. Общие требования безопасности
| | ИС МЕГАНОРМ: примечание. Взамен ГОСТ 12.4.026-76 Постановлением Госстандарта РФ от 19.09.2001 N 387-ст с 1 января 2003 года введен в действие ГОСТ Р 12.4.026-2001. | |
ГОСТ 12.4.026-76 Система стандартов безопасности труда. Цвета сигнальные и знаки безопасности
ГОСТ 7338-90 Пластины резиновые и резинотканевые. Технические условия
ГОСТ 12969-67 Таблички для машин и приборов. Технические требования
ГОСТ 15150-69 Машины, приборы и другие технические изделия. Исполнения для различных климатических районов. Категории, условия эксплуатации, хранения и транспортирования в части воздействия климатических факторов внешней среды
ГОСТ 22645-77 Конвейеры ленточные. Роликоопоры. Типы и основные размеры
ГОСТ 25044-81 Техническая диагностика. Диагностирование автомобилей, тракторов, сельскохозяйственных, строительных и дорожных машин. Основные положения
ГОСТ 25722-83 Конвейеры ленточные. Наименования частей
ГОСТ 27253-87 (ИСО 6012-82) Машины землеройные. Приборы для обслуживания
ГОСТ 28983-91 (ИСО 4510-1-87) Машины землеройные. Инструмент для технического обслуживания. Часть 1. Инструмент для ухода и регулировки
ГОСТ Р 50460-92 Знак соответствия при обязательной сертификации. Форма, размеры и технические требования
В настоящем стандарте применяют термины и соответствующие им определения по ГОСТ 25722.
4. Основные параметры и размеры
4.1 Основные параметры и размеры конвейеров рекомендуется выбирать из следующих рядов.
4.1.1 Ширина ленты, мм: 300; 400; 500; 650; 800; 1000; 1200. Допускаемое отклонение +/-5%.
4.1.2 Номинальная скорость движения ленты, м/с: 0,250; 0,315; 0,40; 0,50; 0,630; 0,80; 1,0; 1,250; 1,60; 2,0; 2,50; 3,150; 4,0. Допускаемое отклонение +/-10%.
4.1.3 Номинальный диаметр ролика, мм: (63); 76; (83); 89; (102); 108; (127); 133; (159). Допускаемое отклонение +/-5%.
Значения, указанные в скобках, применять не рекомендуется.
4.1.4 Номинальный диаметр ведомых и ведущих барабанов, мм: 160; 200; 220; 250; 320; 400; 500; 630; 800. Допускаемое отклонение +/-5%.
4.1.5 Роликоопоры рекомендуется изготавливать с учетом требований ГОСТ 22645.
4.1.6 Длина обечайки барабанов в зависимости от ширины ленты приведена в таблице 1.
Таблица 1
В миллиметрах
┌───────────────────────────────┬────────────────────────────────┐
│ Ширина ленты │ Длина обечайки барабана │
├───────────────────────────────┼────────────────────────────────┤
│ 300 │ 400 │
├───────────────────────────────┼────────────────────────────────┤
│ 400 │ 500 │
├───────────────────────────────┼────────────────────────────────┤
│ 500 │ 600 │
├───────────────────────────────┼────────────────────────────────┤
│ 650 │ 750 │
├───────────────────────────────┼────────────────────────────────┤
│ 800 │ 950 │
├───────────────────────────────┼────────────────────────────────┤
│ 1000 │ 1150 │
├───────────────────────────────┼────────────────────────────────┤
│ 1200 │ 1400 │
└───────────────────────────────┴────────────────────────────────┘
4.2 В нормативных документах (далее - НД) на конвейеры конкретных моделей рекомендуется устанавливать следующие показатели качества:
ширину ленты;
длину обечайки барабана;
расстояние между осями барабанов;
ширину рамы конвейера;
диаметры средней части ведомого и ведущего барабанов;
номинальный диаметр ролика роликоопор;
высоту транспортирования (наибольшую и наименьшую) с гладкой и ребристой лентой;
скорость движения ленты;
габаритные размеры;
массу конвейера;
80%-ный ресурс до первого капитального ремонта и критерии предельного состояния;
уровень внешнего шума;
значения вибрации на рабочих местах и органах управления.
4.3 Конвейеры конкретных моделей, проектируемых после введения в действие настоящего стандарта, должны иметь следующую структуру обозначения (индексацию):
КЛП - ХХХХ - XXX - XXX
───── ────── ───── ─────
│ │ │ │
│ │ │ │
Обозначение ленточного передвижного │ │ │ │
конвейера ──────────────────────────────┘ │ │ │
│ │ │
Ширина ленты, мм ──────────────────────────────┘ │ │
│ │
Высота транспортирования, м ──────────────────────────┘ │
│
Порядковый номер модели (01, 02, 03 и т.д.) ───────────────┘
Пример условного обозначения ленточного передвижного конвейера с шириной ленты 500 мм, высотой транспортирования 4,5 м, третьей модели:
КЛП-500-4,5-03
5. Технические требования
5.1.1 Конвейеры изготавливают в соответствии с требованиями настоящего стандарта и НД на конвейеры конкретных моделей по рабочим чертежам, утвержденным в установленном порядке.
5.1.2 Климатическое исполнение конвейеров - У, категории размещения - 1; 1.1; 2 по
ГОСТ 15150.
| | Применение на добровольной основе пункта 5.1.3 обеспечивает соблюдение требований технического регламента "О безопасности машин и оборудования", утв. Постановлением Правительства Российской Федерации от 15.09.2009 N 753 (Приказ Росстандарта от 20.08.2010 N 3108). | |
5.1.3 Конструкция конвейера должна обеспечивать:
надежную защиту подшипников роликов и барабанов от загрязнения;
компенсацию вытяжки ленты при эксплуатации;
предотвращение попадания кускового материала между нижней ветвью ленты и барабаном;
защиту привода механизма конвейера от попадания в него сыпучего материала и влаги.
Зубчатые передачи привода должны быть заключены в закрытые масляные ванны;
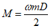
свободное вращение роликов и барабана. Допустимый момент М, кг х см, приведения ролика или барабана во вращение должен быть не более определяемого по формуле

,
где

- коэффициент сопротивления вращению, равный 0,04 - для роликов и 0,07 - для барабанов;
m - масса вращающихся частей ролика или барабана, кг;
D - наружный диаметр ролика или барабана, см;
удобную и безопасную замену быстроизнашивающихся узлов и деталей;
защиту ленты шириной 650 мм и более от падающего груза применением амортизирующих устройств;
монтаж и замену привода без снятия приводного барабана;
ежесменное техническое обслуживание одним оператором;
Конкретные требования по приспособленности к диагностированию и уровню автоматизации процессов диагностирования рекомендуется устанавливать в НД на конвейеры конкретных моделей.
| | Применение на добровольной основе пунктов 5.1.4 - 5.1.6 обеспечивает соблюдение требований технического регламента "О безопасности машин и оборудования", утв. Постановлением Правительства Российской Федерации от 15.09.2009 N 753 (Приказ Росстандарта от 20.08.2010 N 3108). | |
5.1.4 Устройства для загрузки и очистки ленты конвейера в местах соприкосновения с ней должны быть окантованы материалом, по качеству не хуже резины по
ГОСТ 7338.
5.1.6 Окраску конвейеров осуществляют в соответствии со схемами окраски конвейеров конкретных моделей. Класс покрытия - VII по
ГОСТ 9.032. Группа условий эксплуатации - У1 по
ГОСТ 9.104.
В комплект поставки конвейера входят:
- запасные части, инструмент и материалы согласно ведомости ЗИП;
- ремонтная документация по
ГОСТ 2.602 (через 18 мес после начала серийного производства на партию конвейеров по заказам эксплуатирующих и ремонтных организаций).
| | Применение на добровольной основе пункта 5.3.1 обеспечивает соблюдение требований технического регламента "О безопасности машин и оборудования", утв. Постановлением Правительства Российской Федерации от 15.09.2009 N 753 (Приказ Росстандарта от 20.08.2010 N 3108). | |
5.3.1 На каждом конвейере должна быть маркировочная табличка по
ГОСТ 12969, содержащая: наименование предприятия-изготовителя или его товарный знак;
индекс конвейера;
заводской номер конвейера;
год выпуска;
обозначение нормативного документа, по которому изготовлен конвейер;
указание страны-изготовителя, например "Сделано в России".
На конвейеры, прошедшие сертификацию, наносят Знак соответствия по
ГОСТ Р 50460.
5.3.2 На каждое грузовое место должна быть нанесена транспортная маркировка по
ГОСТ 14192.
Требования к упаковке устанавливают в НД на конвейеры конкретных моделей с учетом требований
ГОСТ 9.014.
| | Применение на добровольной основе раздела 6 обеспечивает соблюдение требований технического регламента "О безопасности машин и оборудования", утв. Постановлением Правительства Российской Федерации от 15.09.2009 N 753 (Приказ Росстандарта от 20.08.2010 N 3108). | |
6. Требования эргономики, безопасности
и охраны окружающей среды
6.1 Требования эргономики, безопасности и охраны окружающей среды - по
ГОСТ 12.2.022.
6.2 Размещение и монтаж электрооборудования конвейера - по Правилам
[1].
6.3 Конструкция механизма изменения угла наклона рамы конвейера должна обеспечивать плавный подъем и опускание рамы. Привод механизма изменения угла наклона может быть электрическим или ручным. Усилие на рукоятке ручного механизма должно быть не более 180 Н (18 кгс).
Ручной привод механизма должен располагаться сбоку конвейера.
Время подъема (опускания) рамы конвейера должно быть не более:
20 мин - при ручном приводе;
5 мин - при электрическом приводе.
6.4 Механизм изменения угла наклона рамы конвейера должен иметь систему блокировки для устранения возможного произвольного опускания или подъема рамы.
6.5 Конвейеры с расстоянием между осями барабанов более 10 м и углом наклона более 20° должны быть оборудованы устройством, автоматически предотвращающим обратный ход груженой ленты при остановке привода конвейера.
6.6 Для предотвращения схода ленты у конвейеров с расстоянием между осями барабанов 20 м и более должны быть предусмотрены направляющие устройства. Предельные положения ленты должны контролироваться конечными выключателями.
| | ИС МЕГАНОРМ: примечание. Взамен ГОСТ 12.4.026-76 Постановлением Госстандарта РФ от 19.09.2001 N 387-ст с 1 января 2003 года введен в действие ГОСТ Р 12.4.026-2001. | |
6.7 Сигнальные цвета и знаки безопасности - по ГОСТ 12.4.026.
7.1 Для проверки качества изготовления серийно выпускаемых конвейеров рекомендуется проводить приемосдаточные, периодические и сертификационные испытания.
7.2 Приемосдаточным испытаниям подвергают каждый конвейер.
Периодическим испытаниям подвергают один конвейер не реже одного раза в три года.
Объем приемосдаточных и периодических испытаний устанавливают в НД с учетом рекомендаций настоящего стандарта.
7.3 Сертификационные испытания проводят в порядке, установленном Госстандартом России.
7.4 Параметры, контролируемые при испытаниях, рекомендуется выбирать из таблицы 2.
Таблица 2
┌───────────────────────────────────┬────────────────────┬───────┐
│Наименование испытания или проверки│ Вид испытаний │ Номер │
│ ├──────┬──────┬──────┤ пункта│
│ │прие- │перио-│серти-│настоя-│
│ │мосда-│дичес-│фика- │щего │
│ │точные│ кие │цион- │стан- │
│ │ │ │ ные │дарта │
├───────────────────────────────────┼──────┼──────┼──────┼───────┤
│Визуальный контроль │ + │ + │ + │
8.3.1 │
│ │ │ │ │ │
│Проверка момента приведения ролика │ + │ + │ + │
8.3.2 │
│и барабана во вращение │ │ │ │ │
│ │ │ │ │ │
│Проверка работы на холостом ходу │ - │ + │ + │
8.3.3 │
│ │ │ │ │ │
│Проверка работы под нагрузкой │ - │ + │ + │
8.3.4 │
│ │ │ │ │ │
│Проверка параметров и требований │ - │ + │ (+) │
8.3.4 │
│к конструкции │ │ │ │ │
├───────────────────────────────────┴──────┴──────┴──────┴───────┤
│ Примечания. 1. Знак "+" означает обязательное проведение│
│испытания; знак "-" - испытания не проводят; знак "(+)" -│
│испытания рекомендуется проводить. │
│ 2. Если конвейеры подвергают испытаниям, отмеченным знаком│
│"(+)", то периодические испытания в течение срока действия│
│сертификата соответствия не проводят. │
└────────────────────────────────────────────────────────────────┘
8.1.1 Средства измерений, испытательное оборудование и материалы, необходимые для проведения испытаний, рекомендуется указывать в методике испытаний.
8.1.2 Стандартизованные средства измерений должны быть поверены в соответствии с требованиями ПР 50.2.006
[2]; нестандартизованные - аттестованы по ПР 50.2.009
[3].
8.1.3 Погрешности средств измерений должны быть не более:
+/-0,3% - при измерении линейных размеров до 10000 мм;
+/-0,5% " " линейных размеров св. 10000 мм;
+/-0,02 рад (1°) " " угловых величин;
+/-2,5% " " массы;
+/-2,5% " " времени;
+/-1 °C " " температуры;
+/-2% " " усилий до 1000 Н.
8.2 Подготовка к испытаниям
С конвейером, предъявляемым на испытания, в зависимости от вида испытаний представляют следующую сопроводительную документацию:
программу и методику испытаний;
НД на серийно выпускаемый конвейер;
акт приемосдаточных испытаний и протокол предшествующих периодических испытаний (для периодических испытаний);
комплект рабочих чертежей серийного производства.
8.3.1 Визуальный контроль конвейеров и их составных частей проводят без снятия и разборки агрегатов. При этом проверяют:
комплектность сопроводительной документации;
комплектность и правильность монтажа конвейера в целом и его составных частей;
правильность выбора рабочей стороны и качество стыка конвейерной ленты;
отсутствие видимых повреждений агрегатов и деталей, некачественно выполненных покрытий, сварных швов и крепежных соединений;
состояние уплотнений, отсутствие течи масла;
заправку агрегатов конвейера смазочными материалами в необходимых объемах;
качество сборки и монтажа узлов и агрегатов;
наличие пломб, маркировки, обозначения мест смазки.
8.3.2 Проверку момента приведения ролика и барабана во вращение проводят не менее чем у 0,5% роликов и не менее чем у 10% барабанов. Проверку проводят в специальном приспособлении приложением усилий к наружной поверхности обечайки.
8.3.3 Проверку работы конвейера на холостом ходу проводят без груза с целью оценки работоспособности и безопасности конвейера в целом и его составных частей.
При проверке работы конвейера на холостом ходу контролируют:
скорость ленты;
действие натяжного устройства ленты;
равномерность вращения барабанов и роликов;
ход и центрирование верхней и нижней ветвей ленты на барабанах и роликах. Допустимое отклонение ленты от продольной оси конвейера - не более половины разности между длиной обечайки приводного барабана и шириной ленты;
работоспособность предохранительных устройств и устройств управления методом четырехкратного включения и выключения.
8.3.4 Проверку работы конвейера под нагрузкой проводят с целью оценки работоспособности и безопасности конвейера и его составных частей после проверки по 8.3.3. После достижения номинальной скорости движения ленты конвейер постепенно загружают. При этом контролируют:
правильность загрузки конвейера в продольном направлении и центрирование перемещаемого груза на ленте (визуально);
стабильность положения перемещаемого груза на ленте (визуально);
действие тормозов (при четырехкратном пуске и торможении конвейера определяют путь и время торможения и отпускания тормозов);
действие натяжного устройства конвейерной ленты путем двукратного натяжения и ослабления ленты, при этом ленту каждый раз следует разгонять до номинальной скорости;
температуру подшипников всех узлов конвейера. Контроль проводят при помощи датчиков температуры. После непрерывной работы конвейера не менее 2 ч температура подшипников не должна превышать: 40 °C - для подшипников с консистентной смазкой и 70 °C - для подшипников с жидкой смазкой;
ход и центрирование верхней и нижней ветвей ленты на барабанах и роликах;
работу ограничителя обратного хода наклонных конвейеров при загруженной ленте и отключенном приводе;
соблюдение требований по вибрации, шуму и уровню концентрации пыли в рабочей зоне конвейера, приведенных в
ГОСТ 12.2.022.
9. Транспортирование и хранение
9.1 Транспортирование конвейеров осуществляют любым видом транспорта в соответствии с правилами, действующими на данном виде транспорта.
9.2 Требования к хранению устанавливают в НД на конвейеры конкретных моделей.
9.3 Требования к консервации устанавливают в НД на конвейеры конкретных моделей в соответствии с
ГОСТ 9.014.
10. Указания по эксплуатации
10.1 Требования к эксплуатации конвейеров - по
ГОСТ 25646.
10.2 В эксплуатационной документации рекомендуется приводить перечень инструментов и приборов для обслуживания с учетом требований
ГОСТ 28983 и
ГОСТ 27253.
11. Гарантии изготовителя
11.1 Изготовитель должен гарантировать соответствие конвейеров обязательным требованиям настоящего стандарта и НД на конвейеры конкретных моделей при соблюдении условий эксплуатации, хранения и монтажа.
11.2 Гарантийный срок эксплуатации конвейеров - 20 мес со дня ввода в эксплуатацию.
(информационное)
БИБЛИОГРАФИЯ
[1]
Правила устройства и эксплуатации электроустановок (ПУЭ), ЗАО "Энергосервис", 1998
| | ИС МЕГАНОРМ: примечание. В официальном тексте документа, видимо, допущена опечатка: имеется в виду ПР 50.2.006-94, а не ПР 50.2.006-99. | |
[2] Правила по метрологии ПР 50.2.006-99 Государственная система измерений.
Порядок проведения поверки средств измерений
[3] Правила по метрологии ПР 50.2.009-94 Государственная система измерений.
Порядок проведения испытаний и утверждения типа средств измерений