Главная // Актуальные документы // КлассификацияСПРАВКА
Источник публикации
М.: ФГУП "НИИ ВОДГЕО", 2006
Примечание к документу
Документ утратил силу в связи с изданием "Рекомендаций по расчету систем сбора, отведения и очистки поверхностного стока с селитебных территорий, площадок предприятий и определению условий выпуска его в водные объекты. Дополнения к СП 32.13330.2012. Канализация. Наружные сети и сооружения. Актуализированная редакция СНиП 2.04.03-85", одобренных ОАО "НИИ ВОДГЕО" 15.05.2014.
Взамен "Временных
рекомендаций по проектированию сооружений для очистки поверхностного стока с территорий промышленных предприятий и расчету условий выпуска его в водные объекты", изданных ВНИИ ВОДГЕО в 1983 г.
Название документа
"Рекомендации по расчету систем сбора, отведения и очистки поверхностного стока с селитебных территорий, площадок предприятий и определению условий выпуска его в водные объекты"
(утв. ФГУП "НИИ ВОДГЕО")
"Рекомендации по расчету систем сбора, отведения и очистки поверхностного стока с селитебных территорий, площадок предприятий и определению условий выпуска его в водные объекты"
(утв. ФГУП "НИИ ВОДГЕО")
директором
ФГУП "НИИ ВОДГЕО"
А.Б.ЩЕГЛЯЕВЫМ
Одобрены
Научно-техническим советом
ФГУП "НИИ ВОДГЕО"
28 декабря 2005 года
РЕКОМЕНДАЦИИ
ПО РАСЧЕТУ СИСТЕМ СБОРА, ОТВЕДЕНИЯ И ОЧИСТКИ ПОВЕРХНОСТНОГО
СТОКА С СЕЛИТЕБНЫХ ТЕРРИТОРИЙ, ПЛОЩАДОК ПРЕДПРИЯТИЙ
И ОПРЕДЕЛЕНИЮ УСЛОВИЙ ВЫПУСКА ЕГО В ВОДНЫЕ ОБЪЕКТЫ
Рекомендации разработаны ГНЦ РФ ФГУП "НИИ ВОДГЕО" в соответствии с действующей законодательной и нормативно-технической документацией с учетом положений:
1. Временных рекомендаций по предотвращению загрязнений вод поверхностным стоком с городской территории (дождевыми, талыми, поливомоечными водами). - М.: ВНИИВО, 1975.
2. Временных
рекомендаций по проектированию сооружений для очистки поверхностного стока с территории промышленных предприятий и расчету условий выпуска его в водные объекты. - М.: ВНИИ ВОДГЕО, 1983 <1>.
--------------------------------
<1> С выпуском настоящих рекомендаций "Временные
рекомендации по проектированию сооружений для очистки поверхностного стока с территорий промышленных предприятий и расчету условий выпуска его в водные объекты", изданные ВНИИ ВОДГЕО в 1983 г., утрачивают силу.
3.
Правил пользования системами коммунального водоснабжения и канализации в Российской Федерации.
Рекомендации разработаны коллективом специалистов ГНЦ РФ ФГУП "НИИ ВОДГЕО" под научным руководством доктора технических наук В.Н. Швецова в составе: кандидатов технических наук А.Н. Белевцева, Л.М. Верещагиной, Л.В. Гандуриной, Е.В. Двинских, доктора технических наук М.Г. Журбы, инженера Ю.А. Меншутина, кандидатов технических наук К.М. Морозовой, Е.В. Мясниковой, доктора технических наук В.Г. Пономарева.
При разработке Рекомендаций учитывались данные натурных исследований, полученные специалистами ЛНИИ АКХ им. К.Д. Памфилова, ВНИИВО и ряда отраслевых научно-исследовательских организаций на предприятиях различных отраслей промышленности, а также данные опыта эксплуатации очистных сооружений поверхностного стока с территорий городов и промышленных предприятий, запроектированных и построенных за последние 30 лет.
В основу рекомендуемого расчета систем сбора и отведения поверхностных сточных вод положен метод предельных интенсивностей, разработанный П.Ф. Горбачевым и позднее развитый инженером Н.Н. Беловым, доктором технических наук Г.Г. Шигориным, кандидатом технических наук М.В. Молоковым, докторами технических наук М.И. Алексеевым и А.М. Кургановым.
Авторы выражают особую благодарность главному специалисту ГУП "Союзводоканалпроект" Г.М. Мирончику, кандидату технических наук С.Н. Шашкову за оказанную помощь в подготовке Рекомендаций, а также участникам семинара НИИ ВОДГЕО "Системы сбора, отведения и очистки поверхностного стока с селитебных территорий городов и промышленных предприятий" (6 - 7 апреля 2005 г., Москва), посвященного новой редакции Рекомендаций, за высказанные замечания и пожелания.
Рекомендации одобрены научно-техническим советом ФГУП "НИИ ВОДГЕО" 28 декабря 2005 г. и утверждены директором ФГУП "НИИ ВОДГЕО" А.Б. Щегляевым.
Раздел 1. Законодательные и нормативные документы
1. Водный
кодекс Российской Федерации от 16 ноября 1995 г. N 167-ФЗ.
2. Федеральный
закон РФ "Об охране окружающей среды" от 10 января 2002 г. N 7-ФЗ.
3.
Правила охраны поверхностных вод. - М., 1991.
6.
Правила пользования системами коммунального водоснабжения и канализации в Российской Федерации. Утверждены Постановлением Правительства Российской Федерации от 12 февраля 1999 г. N 167.
9.
ГОСТ 17.1.1.01-77. Охрана природы. Гидросфера. Использование и охрана вод. Основные термины и определения.
10. ГОСТ 17.1.13.13-86. Охрана природы. Гидросфера. Классификация водных объектов.
14. Перечень рыбохозяйственных нормативов: предельно допустимые концентрации (ПДК) и ориентировочно безопасные уровни воздействия (ОБУВ) вредных веществ для воды водных объектов, имеющих рыбохозяйственное назначение. Утвержден Приказом Роскомрыболовства от 28 июня 1999 г. N 96.
15.
ГН 2.1.5.1315-03. Предельно допустимые концентрации (ПДК) химических веществ в воде водных объектов хозяйственно-питьевого и культурно-бытового водопользования. Гигиенические нормативы. Утверждены и введены в действие Постановлением главного государственного санитарного врача РФ от 30 апреля 2003 г. N 78.
| | ИС МЕГАНОРМ: примечание В официальном тексте документа, видимо, допущена опечатка: имеется в виду Постановление Главного государственного санитарного врача РФ от 30.04.2003 N 74, а не N 78. | |
16.
ГН 2.1.5.1316-03. Ориентировочно допустимые уровни (ОДУ) химических веществ в воде водных объектов хозяйственно-питьевого и культурно-бытового водопользования. Гигиенические нормативы. Утверждены и введены в действие Постановлением главного государственного санитарного врача РФ от 30 апреля 2003 г. N 78.
Раздел 2. Термины и определения
Для целей настоящего документа применяются следующие термины и определения:
АККУМУЛИРУЮЩАЯ ЕМКОСТЬ (накопитель поверхностного стока) - сооружение для приема, сбора и усреднения расхода и состава поверхностных сточных вод с селитебных территорий и площадок предприятий с целью их последующей очистки.
АССИМИЛИРУЮЩАЯ СПОСОБНОСТЬ ВОДНОГО ОБЪЕКТА - способность водного объекта принимать определенную массу веществ в единицу времени без нарушения норм качества воды в контролируемом створе или пункте водопользования
(ГОСТ 17.1.1.01-77).
ВОДНЫЙ ОБЪЕКТ - сосредоточение вод на поверхности суши в формах ее рельефа либо в недрах, имеющее границы, объем и черты водного режима ("Водный
кодекс Российской Федерации").
ВОДНЫЙ РЕЖИМ - изменение во времени уровней, расходов и объемов воды в водных объектах ("Водный
кодекс Российской Федерации").
ПЛОЩАДЬ СТОКА (водосбора) - территория, поверхностный сток с которой поступает в сеть дождевой канализации.
ВЫПУСК СТОЧНЫХ ВОД - трубопровод, отводящий сточные воды в водный объект.
ГИДРОЛОГИЧЕСКИЙ СЕЗОН - одна из фаз водного режима природных водных объектов, границы которого определяются датами гидрологических явлений для данной местности: смены преимущественно подземного питания водного объекта на поверхностное и наоборот, наступление и завершение периода ледостава и переход температуры воды у поверхности через 10 °С.
ЗАГРЯЗНЕНИЕ ВОДНЫХ ОБЪЕКТОВ - сброс или поступление иным способом в водные объекты, а также образование в них вредных веществ, которые ухудшают качество поверхностных и подземных вод, ограничивают использование либо негативно влияют на состояние дна и берегов водных объектов ("Водный
кодекс Российской Федерации").
ЗАГРЯЗНЯЮЩЕЕ ВОДУ ВЕЩЕСТВО - вещество в воде, вызывающее нарушение норм качества воды
(ГОСТ 17.1.1.01-77).
ЗОНА САНИТАРНОЙ ОХРАНЫ - территория и акватория, на которых устанавливается особый санитарно-эпидемиологический режим с целью предотвращения ухудшения качества воды источников централизованного хозяйственно-питьевого водоснабжения и охраны водопроводных сооружений
(ГОСТ 17.1.1.01-77).
ИСТОЧНИКИ ЗАГРЯЗНЕНИЯ - объекты, с которых осуществляется сброс или иное поступление в водные объекты вредных веществ, ухудшающих качество поверхностных и подземных вод, ограничивающих их использование, а также негативно влияющих на состояние дна и берегов водных объектов ("Водный
кодекс Российской Федерации").
КАЧЕСТВО ВОДЫ - характеристика состава и свойств воды, определяющая пригодность ее для конкретных видов водопользования
(ГОСТ 17.1.1.01-77).
КОНТРОЛЬ КАЧЕСТВА ВОДЫ - проверка соответствия показателей качества воды установленным нормативам и требованиям
(ГОСТ 27065-86).
КОНТРОЛЬНЫЙ СТВОР - поперечное сечение водного потока, в котором контролируется качество воды ("
Правила охраны поверхностных вод").
КОЭФФИЦИЕНТ СТОКА - отношение объема поверхностного стока на водосборной поверхности в течение одного дождя к общему объему осадков, выпавших за время этого дождя на данной территории.
КОЭФФИЦИЕНТ СТОКА ОБЩИЙ - коэффициент стока, учитывающий количество поверхностного стока (слой стока или объем), поступающего в систему дождевой канализации за определенный период времени (сутки, месяц, сезон, год), от всей суммы атмосферных осадков, в том числе и от малоинтенсивных, выпавших за этот период.
КОЭФФИЦИЕНТ СТОКА ПЕРЕМЕННЫЙ - коэффициент стока, который зависит от вида поверхности водосборного бассейна, а также от интенсивности и продолжительности дождя.
КОЭФФИЦИЕНТ СТОКА ПОСТОЯННЫЙ - коэффициент стока, который зависит только от вида поверхности водосборного бассейна.
ЛОКАЛЬНЫЕ ОЧИСТНЫЕ СООРУЖЕНИЯ - сооружения и устройства, предназначенные для очистки сточных вод абонента (субабонента) перед их сбросом (приемом) в систему коммунальной или дождевой канализации ("
Правила пользования системами коммунального водоснабжения и канализации в Российской Федерации").
НОРМЫ КАЧЕСТВА ВОДЫ - установленные значения показателей качества воды для конкретных видов водопользования
(ГОСТ 27065-86).
ОБЩЕСПЛАВНАЯ СИСТЕМА КАНАЛИЗАЦИИ - система канализации, предназначенная для совместного отведения и очистки всех видов сточных вод, включая бытовые, производственные, дренажные, поверхностные и поливомоечные.
ПОВЕРХНОСТНЫЕ СТОЧНЫЕ ВОДЫ (поверхностный сток) - загрязненная дождевая, талая, поливомоечная вода, стекающая с селитебных территорий и площадок предприятий, отводимая системой сооружений в водные объекты.
ПОЛУРАЗДЕЛЬНАЯ СИСТЕМА КАНАЛИЗАЦИИ - система коммунальной канализации, при которой устраиваются две самостоятельные уличные сети трубопроводов: одна для отведения хозяйственно-бытовых и производственных сточных вод, другая - для отведения дождевого, талого и поливомоечного стока; главные коллекторы, отводящие все виды сточных вод на очистные сооружения населенного пункта, устраиваются общесплавными и при превышении расчетных расходов часть дождевых вод через разделительные камеры сбрасывается в водоем без очистки.
ПРЕДЕЛЬНО ДОПУСТИМАЯ КОНЦЕНТРАЦИЯ ВЕЩЕСТВА В ВОДЕ (ПДК) - концентрация вещества в воде, выше которой вода становится непригодной для одного или нескольких видов водопользования
(ГОСТ 27065-86).
ПРЕДЕЛЬНО ДОПУСТИМЫЙ СБРОС ВЕЩЕСТВА В ВОДНЫЙ ОБЪЕКТ (ПДС) - масса вещества в сточных водах, максимально допустимая к отведению в установленном режиме в данном пункте водного объекта в единицу времени с целью обеспечения норм качества воды в контрольном пункте
(ГОСТ 17.1.1.01-77).
РАЗДЕЛЬНАЯ СИСТЕМА КАНАЛИЗАЦИИ - система канализации, при которой устраиваются две или более самостоятельных канализационных сетей: сеть для отведения хозяйственно-бытовых и части производственных сточных вод, допускаемых к сбросу в бытовую канализацию; сеть для загрязненных производственных сточных вод, не допускаемых к совместному отведению и очистке с бытовыми сточными водами; сеть для отведения с селитебных территорий и площадок предприятий дождевого, талого и поливомоечного стока, который перед сбросом в водоем подвергается очистке.
РЕГУЛИРУЮЩАЯ ЕМКОСТЬ (регулирующий резервуар) - сооружение для регулирования объема поверхностных сточных вод с селитебных территорий и площадок предприятий при подаче их на очистные сооружения.
СИСТЕМА ДОЖДЕВОЙ КАНАЛИЗАЦИИ - комплекс инженерных сооружений, обеспечивающих прием, очистку и отведение дождевых, талых и поливомоечных вод с селитебных территорий и площадок предприятий.
СЛОЙ СТОКА - количество воды, стекающее с водосбора за какой-либо интервал времени, равное толщине слоя, равномерно распределенного по площади этого водосбора
(ГОСТ 19179-73).
СТОЧНЫЕ ВОДЫ - вода, сбрасываемая в установленном порядке в водные объекты после ее использования или поступившая с загрязненной территории ("Водный
кодекс Российской Федерации").
ФОНОВАЯ КОНЦЕНТРАЦИЯ - концентрация вещества в воде, рассчитываемая применительно к данному источнику примесей в фоновом створе водного объекта при расчетных гидрологических условиях, учитывающая влияние всех источников примесей, за исключением данного источника ("
Правила охраны поверхностных вод").
ФОНОВЫЕ КОНЦЕНТРАЦИИ ЕСТЕСТВЕННЫЕ - концентрации веществ в воде водного объекта в створе, выше которого водный объект не испытывает антропогенного воздействия.
ФОНОВЫЙ СТВОР - поперечное сечение водного потока, в котором определяются фоновые концентрации веществ в воде водного объекта ("
Правила охраны поверхностных вод").
ЦЕНТРАЛИЗОВАННАЯ СИСТЕМА КОММУНАЛЬНОЙ КАНАЛИЗАЦИИ (городская канализация) - комплекс инженерных сооружений населенных пунктов для сбора, очистки и отведения сточных вод в водные объекты и обработки осадков сточных вод ("
Правила пользования системами коммунального водоснабжения и канализации в Российской Федерации").
Раздел 3. Общие положения
3.1. Поверхностный сток с селитебных территорий и площадок предприятий является одним из интенсивных источников загрязнения окружающей среды различными примесями природного и техногенного происхождения. Водным законодательством РФ запрещается сбрасывать в водные объекты неочищенные до установленных нормативов дождевые, талые и поливомоечные воды, организованно отводимые с селитебных территорий и площадок предприятий.
3.2. Настоящие рекомендации предназначены для использования при проектировании систем сбора, отведения и очистки поверхностного (дождевого, талого и поливомоечного) стока с селитебных территорий и площадок предприятий и направлены на предотвращение загрязнения водных объектов поверхностным стоком от сосредоточенных выпусков при раздельной системе канализации.
3.3. При проектировании очистных сооружений общесплавной и полураздельной систем канализации, осуществляющих совместное отведение на очистку всех видов сточных вод, включая поверхностный сток с селитебных территорий и площадок предприятий, следует руководствоваться указаниями
СНиП 2.04.03-85 по проектированию бытовой канализации
[1], а также других нормативных документов, регламентирующих работу этих систем, в том числе и региональных.
3.4. На очистные сооружения должна отводиться наиболее загрязненная часть поверхностного стока, которая образуется в периоды выпадения дождей, таяния снега и от мойки дорожных покрытий, в количестве не менее 70% годового объема стока для селитебных территорий и площадок предприятий, близких к ним по загрязненности, и всего объема стока с площадок предприятий, территория которых может быть загрязнена специфическими веществами с токсичными свойствами или значительным количеством органических веществ. Для большинства населенных пунктов РФ эти условия выполняются при расчете очистных сооружений на прием стока от малоинтенсивных, часто повторяющихся дождей с периодом однократного превышения расчетной интенсивности дождя 0,05 - 0,1 года.
3.5. Поверхностные сточные воды с территорий промышленных зон, строительных площадок, складских хозяйств, автохозяйств, а также особо загрязненных участков, расположенных на селитебных территориях городов и населенных пунктов (бензозаправочные станции, автостоянки, автобусные станции, торговые центры), перед сбросом в дождевую канализацию или централизованную систему коммунальной канализации должны подвергаться очистке на локальных очистных сооружениях.
3.6. В связи со значительной зависимостью загрязненности поверхностного стока от санитарного состояния водосборных площадей и воздушного бассейна при проектировании систем дождевой канализации селитебных территорий и площадок предприятий необходимо предусматривать организационно-технические мероприятия по сокращению количества выносимых примесей:
организацию регулярной уборки территорий;
проведение своевременного ремонта дорожных покрытий;
ограждение зон озеленения бордюрами, исключающими смыв грунта во время ливневых дождей на дорожные покрытия;
повышение эффективности работы пыле- и газоочистных установок с целью максимальной очистки выбросов в атмосферу и предотвращения появления в поверхностном стоке специфических загрязняющих компонентов;
повышение технического уровня эксплуатации автотранспорта;
организацию уборки и утилизации снега с автомагистралей, стоянок автомобильного транспорта;
ограждение строительных площадок с упорядочением отвода поверхностного стока по временной системе открытых лотков, осветлением его на 50 - 70% в земляных отстойниках и последующим отведением в дождевую канализацию;
исключение сброса в дождевую канализацию отходов производства, в том числе и отработанных нефтепродуктов;
локализацию участков территории, где неизбежны просыпки и проливы химикатов, с отведением поверхностного стока в систему производственной канализации для совместной очистки;
упорядочение складирования и транспортирования сыпучих и жидких материалов.
3.7. При определении условий выпуска поверхностного стока с селитебных территорий и площадок предприятий в водные объекты следует руководствоваться "Водным
кодексом Российской Федерации", Федеральным
законом РФ "Об охране окружающей среды", "
Правилами охраны поверхностных вод" и другими нормативными документами, приведенными в
разделе 1, а также
разделом 6 настоящих Рекомендаций, разработанным с учетом особенностей формирования и отведения поверхностного стока в водные объекты.
3.8. Выбор схемы отведения и очистки поверхностного стока, а также конструкции очистных сооружений определяется его качественной и количественной характеристиками, условиями отведения и осуществляется на основании оценки технической возможности реализации того или иного варианта и сравнения технико-экономических показателей.
3.9. При проектировании сооружений дождевой канализации населенных мест и промышленных площадок необходимо рассматривать вариант использования очищенных сточных вод для производственного водоснабжения, обводнения или орошения.
Раздел 4. Качественная характеристика поверхностного стока
с селитебных территорий и площадок предприятий
4.1. Выбор приоритетных показателей загрязнения
поверхностного стока при проектировании очистных сооружений
4.1.1. Степень и характер загрязнения поверхностного стока с селитебных территорий и площадок предприятий различны и зависят от санитарного состояния бассейна водосбора и приземной атмосферы, уровня благоустройства территории, а также гидрометеорологических параметров выпадающих осадков: интенсивности и продолжительности дождей, предшествующего периода сухой погоды, интенсивности процесса весеннего снеготаяния.
Количество загрязняющих веществ, выносимых с селитебных территорий поверхностным стоком, определяется плотностью населения, уровнем благоустройства территорий, видом поверхностного покрова, интенсивностью движения транспорта, частотой уборки улиц, а также наличием промышленных предприятий и количеством выбросов в атмосферу.
Концентрация основных примесей в дождевом стоке тем выше, чем меньше слой осадков и продолжительнее период сухой погоды, и изменяется в процессе стекания дождевых вод. Наибольшие концентрации имеют место в начале стока до достижения максимальных расходов, после чего наблюдается их интенсивное снижение.
Концентрация примесей в талых водах зависит от количества осадков, выпадающих в холодное время года, доли грунтовых поверхностей в балансе площади стока и притока талых вод с прилегающих незастроенных территорий.
Сток поливомоечных вод отличается относительно стабильным составом и высокими концентрациями примесей.
4.1.2. Основными загрязняющими компонентами поверхностного стока, формирующегося на селитебных территориях, являются продукты эрозии почвы, смываемые с газонов и открытых грунтовых поверхностей, пыль, бытовой мусор, вымываемые компоненты дорожных покрытий и строительных материалов, хранящихся на открытых складских площадках, а также нефтепродукты, попадающие на поверхность водосбора в результате неисправностей автотранспорта и другой техники. Специфические загрязняющие компоненты выносятся поверхностным стоком, как правило, с территорий промышленных зон или попадают в него из приземной атмосферы.
4.1.3. Загрязняющие вещества, присутствующие в поверхностном стоке селитебных территорий, можно классифицировать как:
минеральные и органические примеси естественного происхождения, образующиеся в результате адсорбции газов из атмосферы и эрозии почвы, - грубодисперсные примеси (частицы песка, глины, гумуса), а также растворенные органические и минеральные вещества;
вещества техногенного происхождения в различном фазово-дисперсном состоянии - нефтепродукты, вымываемые компоненты дорожных покрытий, соединения тяжелых металлов, СПАВ и другие компоненты, перечень которых зависит от профиля предприятий местной промышленности;
бактериальные загрязнения, поступающие в водосток при плохом санитарно-техническом состоянии территории и канализационных сетей.
4.1.4. Учитывая многообразие факторов, влияющих на формирование поверхностных сточных вод, характер и степень их загрязнения минеральными и органическими компонентами различного происхождения, в качестве приоритетных показателей, на которые следует ориентироваться при выборе технологической схемы очистки поверхностного стока с селитебных территорий, необходимыми и достаточными являются такие обобщенные показатели качества воды, как содержание взвешенных веществ, нефтепродуктов и значение показателей

и ХПК, суммарно характеризующие присутствие легко- и трудноокисляемых органических соединений.
Специфические загрязняющие компоненты в составе поверхностного стока с селитебных территорий, которые подлежат удалению в процессе очистки (например, СПАВ, соли тяжелых металлов, биогенные элементы), являются, как правило, результатом техногенного загрязнения или неудовлетворительного санитарно-технического состояния поверхности водосбора. Поэтому их следует включать в перечень приоритетных показателей только по данным натурных исследований после изучения причин, обусловливающих их присутствие.
4.1.5. Удельный вынос естественных примесей с дождевым стоком с селитебных территорий больших городов при плотности населения, близкой к 100 чел./га, а также средних и малых городов с современным уровнем благоустройства для укрупненных расчетов в первом приближении можно принимать по данным табл. 1.
Загрязняющие компоненты | Удельный вынос, кг/(га·год) |
Взвешенные вещества | 2500 |
Органические вещества по показателям: | |
ХПК | 1000 |
| 140 |
Нефтепродукты | 40 |
Биогенные элементы: | |
соединения азота | 6 |
соединения фосфора | 1,5 |
Минеральные соли | 400 |
Для малых и средних городов со старой малоэтажной застройкой и недостаточным уровнем благоустройства удельный вынос взвешенных веществ следует принимать на 20% больше по сравнению с данными
табл. 1.
По остальным показателям для малых, средних и крупных городов, селитебная плотность которых значительно отличается от величины 100 чел./га, следует вводить поправочный коэффициент, равный П / 100, где П - селитебная плотность населения рассматриваемого объекта.
4.1.6. Примерный состав поверхностного стока для различных участков водосборных поверхностей селитебных территорий приведен в табл. 2. Наиболее загрязненным по всем показателям является талый сток, который по значению показателя

приближается к неочищенным хозяйственно-бытовым сточным водам.
Площадь стока | Дождевой сток | Талый сток |
взвешенные вещества, мг/дм3 |  , мг/дм 3 | нефтепродукты, мг/дм3 | взвешенные вещества, мг/дм3 |  , мг/дм 3 | нефтепродукты, мг/дм3 |
Участки селитебной территории с высоким уровнем благоустройства и регулярной механизированной уборкой дорожных покрытий (центральная часть города с административными зданиями, торговыми и учебными центрами) | 400 | 40 | 8 | 2000 | 70 | 20 |
Современная жилая застройка | 650 | 60 | 12 | 2500 | 100 | 20 |
Магистральные улицы с интенсивным движением транспорта | 1000 | 80 | 20 | 3000 | 120 | 25 |
Территории, прилегающие к промышленным предприятиям | 2000 | 90 | 18 | 4000 | 150 | 25 |
Кровли зданий и сооружений | < 20 | < 10 | 0,01 - 0,7 | < 20 | < 10 | 0,01 - 0,7 |
Территории с преобладанием индивидуальной жилой застройки; газоны и зеленые насаждения | 300 | 60 | < 1 | 1500 | 100 | < 1 |
4.1.7. Поверхностный сток с территории промышленных предприятий имеет, как правило, более сложный состав и определяется характером основных технологических процессов, а концентрация примесей зависит от вида поверхности водосбора, санитарно-технического состояния и режима уборки территории, эффективности работы систем газо- и пылеулавливания, организации складирования и транспортирования сырья, промежуточных и готовых продуктов, а также отходов производства.
На крупных предприятиях, включающих различные производства, поверхностный сток с отдельных территорий по составу примесей может заметно отличаться от стока с других участков и общего стока, что должно учитываться при разработке технологии очистки и схемы его отведения.
4.1.8. В зависимости от состава примесей, накапливающихся на промышленных площадках и смываемых поверхностным стоком, промышленные предприятия и отдельные их территории можно разделить на две группы (табл. 3).
Показатель | Значение показателей загрязнения дождевых вод, мг/дм3 |
первая группа предприятий | вторая группа предприятий |
Взвешенные вещества | | 500 - 2000 |
Солесодержание | 200 - 300 | 50 - 3000 |
Нефтепродукты | | До 500 |
ХПК фильтрованной пробы | | До 1400 |
 фильтрованной пробы | | До 400 |
Специфические компоненты | Отсутствуют | В зависимости от профиля производства содержат тяжелые металлы, фенолы, СПАВ, мышьяк, роданиды, фосфор, аммиак, фтор, жиры, масла, белки, углеводороды и т.д. |
<*> Высокие значения для предприятий с интенсивным движением транспорта и значительным потреблением горюче-смазочных материалов, а также АЗС. <**> С учетом диспергированных примесей эти показатели увеличиваются в 2 - 3 раза. |
К первой группе относятся предприятия и производства, сток с территории которых при выполнении требований по упорядочению источников его загрязнения, изложенных в
п. 3.6 настоящих Рекомендаций, по составу примесей близок к поверхностному стоку с селитебных территорий и не содержит специфических веществ с токсичными свойствами. Основными примесями, содержащимися в стоке с территории предприятий первой группы, являются грубодисперсные примеси, нефтепродукты, сорбированные главным образом на взвешенных веществах, минеральные соли и органические примеси естественного происхождения.
Ко второй группе относятся предприятия, на которых по условиям производства не представляется возможным в полной мере исключить поступление в поверхностный сток специфических веществ с токсичными свойствами или значительных количеств органических веществ, обусловливающих высокие значения показателей ХПК и

стока.
4.1.9. К первой группе относятся предприятия черной металлургии (за исключением коксохимического производства), машино- и приборостроительной, электротехнической, угольной, нефтяной, легкой, хлебопекарной, молочной, пищевой промышленности, серной и содовой подотраслей химической промышленности, энергетики, автотранспортные предприятия, речные порты, ремонтные заводы, а также отдельные производства нефтеперерабатывающих, нефтехимических, химических и других предприятий, на территорию которых не попадают специфические загрязняющие вещества.
4.1.10. Ко второй группе относятся предприятия цветной металлургии, обработки цветных металлов, коксохимического производства, бытовой химии, химической, лесохимической, целлюлозно-бумажной, нефтеперерабатывающей, нефтехимической и микробиологической промышленности, кожевенно-сырьевые и кожевенные заводы, мясокомбинаты, шпалопропиточные заводы, аэропорты, производства химической и электрохимической обработки поверхностей металлов (гальванические производства), окрасочные производства, производства синтетических моющих средств (СМС) и др.
4.1.11. Примерная характеристика дождевых сточных вод по основным показателям загрязнения для предприятий первой и второй групп приведена в
табл. 3.
4.2. Определение расчетных концентраций загрязняющих веществ
при отведении поверхностного стока на очистку и выпуске
в водные объекты
4.2.1. Концентрации загрязняющих веществ в поверхностном стоке селитебных территорий и промышленных площадок, отводимом по коллекторной сети на очистные сооружения или в водные объекты, рекомендуется принимать по данным натурных исследований. При этом определение средних значений показателей выполняют путем статистической обработки данных химического анализа, исходя из предположения нормального (или логарифмически нормального) распределения случайных изменений качественного состава воды.
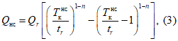
При отсутствии результатов анализа концентрации загрязняющих веществ в поверхностном стоке, отводимом на очистку, допускается принимать по аналогам (селитебные территории должны располагаться в близких природно-климатических районах, а предприятия, помимо этого, должны иметь схожую технологию производства) или определять расчетом как средневзвешенную величину по формуле:
где

- концентрация загрязняющих веществ (или показателей качества) в поверхностных сточных водах, отводимых с различных площадей стока, мг/дм
3 (принимаются по
табл. 2);

- общая площадь стока, га.
4.2.2. Пробы воды для определения качественного состава поверхностных сточных вод должны отбираться в точках, расположенных:
при наличии регулирующих и аккумулирующих емкостей (накопителей) - на входе в аккумулирующие резервуары (накопители);
при наличии локальных очистных сооружений - непосредственно на входе на очистные сооружения;
при отсутствии регулирующих резервуаров и очистных сооружений - на выпуске поверхностных сточных вод в водный объект.
4.2.3. За расчетную концентрацию загрязняющих веществ в поверхностных сточных водах, отводимых на очистные сооружения после регулирования стока, рекомендуется принимать среднюю величину по имеющемуся ряду наблюдений (выборке из генеральной совокупности) с оценкой доверительного интервала по критерию Стьюдента. Использование доверительного интервала гарантирует, что истинное значение искомой средней величины концентрации лежит в пределах данного интервала. Указанная методика используется в математической статистике для оценки среднего параметра при неизвестной дисперсии и позволяет избежать ошибок в случае коротких рядов наблюдений.
Расчетная концентрация загрязняющего вещества (или показателя качества) для дождевого и талого стока определяется по формуле:
где

- расчетная концентрация загрязняющего вещества в поверхностном стоке при отведении на очистку, мг/дм
3;

- среднеарифметическое значение концентрации по используемому ряду наблюдений, мг/дм
3;

- среднеквадратичное отклонение, определяемое по формуле:

- статистический параметр Стьюдента, зависящий от величины выборки, для 90-процентного уровня доверия (определяется по табл. 4);
n - количество членов выборки (измерений).
Таблица 4
Количество измерений | |
4 | 2,4 |
5 | 2,1 |
6 | 2 |
7 - 9 | 1,9 |
10 - 16 | 1,8 |
17 - 150 | 1,7 |
> 150 | 1,6 |
Для получения более точных результатов при определении расчетных концентраций загрязняющих веществ в поверхностном стоке количество членов выборки используемого ряда наблюдений (количество измерений) по каждому контролируемому показателю должно быть не менее 10.
4.2.4. Допустимые сбросы загрязняющих веществ в водные объекты с поверхностными сточными водами устанавливаются для каждого выпуска, исходя из условия недопустимости превышения ПДК вредных веществ в контрольном створе или на участке водного объекта с учетом его целевого использования. Расчет выполняется по методике, приведенной в
разделе 6.2 настоящих Рекомендаций.
Раздел 5. Количественная характеристика поверхностного стока
с селитебных территорий и площадок предприятий
5.1. Определение среднегодовых объемов поверхностных
сточных вод
5.1.1. Среднегодовой объем поверхностных сточных вод, образующихся на селитебных территориях и площадках предприятий в период выпадения дождей, таяния снега и мойки дорожных покрытий, определяется по формуле:
где

,

и

- среднегодовой объем дождевых, талых и поливомоечных вод, м
3.
5.1.2. Среднегодовой объем дождевых (

) и талых (

) вод, стекающих с селитебных территорий и промышленных площадок, определяется по формулам:
где F - общая площадь стока, га;

- слой осадков, мм, за теплый период года, определяется по
табл. 2 СНиП 23-01-99
[2];

- слой осадков, мм, за холодный период года (определяет общее годовое количество талых вод) или запас воды в снежном покрове к началу снеготаяния, определяется по
табл. 1 СНиП 23-01-99
[2];

и

- общий коэффициент стока дождевых и талых вод соответственно.
5.1.3. При определении среднегодового количества дождевых вод

, стекающих с селитебных территорий, общий коэффициент стока

для общей площади стока
F рассчитывается как средневзвешенная величина из частных значений для площадей стока с разным видом поверхности, согласно табл. 5.
Таблица 5
Вид поверхности или площади стока | Общий коэффициент стока  |
Кровли и асфальтобетонные покрытия | 0,6 - 0,8 |
Булыжные или щебеночные мостовые | 0,4 - 0,6 |
Кварталы города без дорожных покрытий, небольшие скверы, бульвары | 0,2 - 0,3 |
Газоны | 0,1 |
Кварталы с современной застройкой | 0,4 - 0,5 |
Средние города | 0,4 - 0,5 |
Небольшие города и поселки | 0,3 - 0,4 |
5.1.4. При определении среднегодового объема дождевых вод

, стекающих с территорий промышленных предприятий и производств, значение общего коэффициента стока

находится как средневзвешенная величина для всей площади стока с учетом средних значений коэффициентов стока для разного вида поверхностей, которые следует принимать:
для водонепроницаемых покрытий - 0,6 - 0,8;
для грунтовых поверхностей - 0,2;
для газонов - 0,1.
5.1.5. При определении среднегодового объема талых вод общий коэффициент стока

с селитебных территорий и площадок предприятий с учетом уборки снега и потерь воды за счет частичного впитывания водопроницаемыми поверхностями в период оттепелей можно принимать в пределах 0,5 - 0,7.
5.1.6. Общий годовой объем поливомоечных вод

, м
3, стекающих с площади стока, определяется по формуле:
где m - удельный расход воды на мойку дорожных покрытий (как правило, принимается 1,2 - 1,5 л/м2 на одну мойку);
k - среднее количество моек в году (для средней полосы России составляет около 150);

- площадь твердых покрытий, подвергающихся мойке, га;

- коэффициент стока для поливомоечных вод (принимается равным 0,5).
5.2. Определение расчетных объемов поверхностных сточных вод
при отведении их на очистку
5.2.1. Объем дождевого стока от расчетного дождя

, м
3, отводимого на очистные сооружения с селитебных территорий и площадок предприятий, определяется по формуле:
где

- максимальный слой осадков за дождь, мм, сток от которого подвергается очистке в полном объеме;

- средний коэффициент стока для расчетного дождя (определяется как средневзвешенная величина в зависимости от постоянных значений коэффициента стока

для разного вида поверхностей по
табл. 11,
п. 5.3.8 настоящих Рекомендаций);
F - общая площадь стока, га.
5.2.2. Для селитебных территорий и промышленных предприятий первой группы величина

принимается равной суточному слою осадков от малоинтенсивных часто повторяющихся дождей с периодом однократного превышения расчетной интенсивности
P = 0,05 - 0,1 года, что для большинства населенных пунктов РФ обеспечивает прием на очистку не менее 70% годового объема поверхностного стока.
Величину

рекомендуется определять путем построения графика функции распределения вероятности (ФРВ) суточного слоя жидких атмосферных осадков для данной местности за теплый период года (с положительными среднемесячными температурами воздуха).
Методика построения графика ФРВ и пример расчета суточного слоя жидких осадков с периодом однократного превышения расчетной интенсивности
P = 0,05 - 0,1 года приведены в Приложении 5. Область ее применения ограничивается площадью стока, которая не должна превышать 1000 га.
5.2.3. Исходными показателями для построения графика ФРВ являются:
данные многолетних наблюдений метеостанций за атмосферными осадками в конкретной местности (не менее чем за 10 - 15 лет);
данные наблюдений на ближайших репрезентативных метеостанциях;
обработанные статистические данные табл. 8 "Справочника по климату СССР"
[3].
Метеорологическую станцию можно считать репрезентативной относительно рассматриваемой площади стока, если выполняются следующие условия:
расстояние от станции до площади водосбора объекта менее 100 км;
разница высотных отметок площади водосбора над уровнем моря и метеостанции не превышает 50 м.
5.2.4. При отсутствии данных многолетних наблюдений величину

для селитебных территорий и промышленных предприятий первой группы допускается принимать в пределах 5 - 10 мм как обеспечивающую прием на очистку не менее 70% годового объема поверхностного стока для большинства территорий РФ.
5.2.5. Для промышленных предприятий второй группы величина

принимается равной суточному слою атмосферных осадков

от дождей с периодом однократного превышения расчетной интенсивности
P, принятому при гидравлическом расчете дождевой сети конкретного объекта, но не менее
P = 1 год. В этом случае суточные слои осадков

требуемой обеспеченности вычисляются по формуле:
где
Ф - нормированные отклонения от среднего значения при разных значениях обеспеченности

, %, и коэффициента асимметрии

;

- коэффициент вариации суточных осадков.
Параметры
формулы (9) -
H,
Ф,

и

определяются по таблицам, приведенным в [
4 - 7]. Пример расчета суточного слоя атмосферных осадков

для предприятий второй группы приведен в
Приложении 6.
5.2.6. Максимальный суточный объем талых вод

, м
3, в середине периода снеготаяния, отводимых на очистные сооружения с селитебных территорий и промышленных предприятий, определяется по формуле:
где

- общий коэффициент стока талых вод (принимается 0,5 - 0,7);
F - площадь стока, га;

- коэффициент, учитывающий частичный вывоз и уборку снега, определяется по формуле:

- площадь, очищаемая от снега (включая площадь кровель, оборудованных внутренними водостоками);

- слой талых вод за 10 дневных часов, мм, принимается в зависимости от расположения объекта. Границы климатических районов определяются по карте районирования снегового стока, приведенной в
Приложении 1. Для выделенных четырех районов (1, 2, 3 и 4) величины

соответственно равны 25, 20, 15 и 7 мм.
| | ИС МЕГАНОРМ: примечание. Нумерация пунктов дана в соответствии с официальным текстом документа. | |
5.2.5. Для сокращения объема талых вод, отводимых на очистку, а также снижения производительности очистных сооружений на территории населенных пунктов в зимний период необходимо предусматривать организацию уборки и вывоза снега с депонированием на "сухих" снегосвалках либо его сброс в снегоплавильные камеры с последующим отводом талых вод в канализационную сеть.
5.3. Определение расчетных расходов дождевых и талых вод
в коллекторах дождевой канализации
5.3.1. Расходы дождевых вод в коллекторах дождевой канализации, л/с, отводящих сточные воды с селитебных территорий и площадок предприятий, следует определять методом предельных интенсивностей по формуле:
где
A,
n - параметры, характеризующие интенсивность и продолжительность дождя для конкретной местности (определяются по
п. 5.3.2);

- средний коэффициент стока, определяемый в соответствии с указаниями
п. 5.3.7 как средневзвешенная величина в зависимости от значения

для различных видов поверхности водосбора;
F - расчетная площадь стока, га, определяемая согласно
п. 5.3.4;

- расчетная продолжительность дождя, равная продолжительности протекания дождевых вод по поверхности и трубам до расчетного участка (определяется в соответствии с указаниями, приведенными в
п. 5.3.5).
Расход дождевых вод для гидравлического расчета дождевых сетей, л/с, следует определять по формуле:
где

- коэффициент, учитывающий заполнение свободной емкости сети в момент возникновения напорного режима (определяется по табл. 6).
Таблица 6
Показатель степени n | Коэффициент  |
<= 0,4 | 0,8 |
0,5 | 0,75 |
0,6 | 0,7 |
>= 0,7 | 0,65 |
Примечания: 1. При уклонах местности 0,01 - 0,03 указанные значения коэффициента  следует увеличивать на 10 - 15%, при уклонах местности свыше 0,03 принимать равным единице. 2. Если общее число участков на дождевом коллекторе или на участке притока сточных вод менее 10, то значение  при всех уклонах допускается уменьшать на 10% при числе участков 4 - 10 и на 15% при числе участков менее 4. |
5.3.2. Параметры
A и
n определяются по результатам обработки многолетних записей самопишущих дождемеров местных метеорологических станций или по данным территориальных управлений Гидрометеослужбы. При отсутствии обработанных данных параметр
A допускается определять по формуле:
где

- интенсивность дождя для данной местности продолжительностью 20 мин. при
P = 1 год (определяется по чертежу
Приложения 2);
n - показатель степени, определяемый по
таблице Приложения 3;

- среднее количество дождей за год, принимаемое по
таблице Приложения 3;
P - период однократного превышения расчетной интенсивности дождя, годы (принимается по
п. 5.3.3);

- показатель степени, принимаемый по
таблице Приложения 3.
5.3.3. Период однократного превышения расчетной интенсивности дождя необходимо выбирать в зависимости от характера объекта водоотведения, условий расположения коллектора с учетом последствий, которые могут быть вызваны выпадением дождей, превышающих расчетные, и принимать по
табл. 7 и
8 или определять расчетом в зависимости от условий расположения коллектора, интенсивности дождей, площади водосбора и коэффициента стока по предельному периоду превышения.
При проектировании дождевой канализации у особых сооружений (метро, вокзалов, подземных переходов), а также для засушливых районов, где значения

менее 50 л/(с·га), при
P, равном единице, период однократного превышения расчетной интенсивности дождя следует определять только расчетом с учетом предельного периода превышения расчетной интенсивности дождя, указанного в
табл. 9. При этом периоды однократного превышения расчетной интенсивности дождя, определенные расчетом, не должны быть менее указанных в табл. 7 и
8.
Условия расположения коллекторов | Период однократного превышения расчетной интенсивности дождя P, годы, для населенных пунктов при значении  |
на проездах местного значения | на магистральных улицах | < 60 | 60 - 80 | 80 - 120 | > 120 |
Благоприятные и средние | Благоприятные | 0,33 - 0,5 | 0,33 - 1 | 0,5 - 1 | 1 - 2 |
Неблагоприятные | Средние | 0,5 - 1 | 1 - 1,5 | 1 - 2 | 2 - 3 |
Особо неблагоприятные | Неблагоприятные | 2 - 3 | 2 - 3 | 3 - 5 | 5 - 10 |
Особо неблагоприятные | Особо неблагоприятные | 3 - 5 | 3 - 5 | 5 - 10 | 10 - 20 |
Примечания: 1. Благоприятные условия расположения коллекторов: бассейн площадью не более 150 га имеет плоский рельеф при среднем уклоне поверхности 0,005 и менее; коллектор проходит по водоразделу или в верхней части склона на расстоянии от водораздела не более 400 м. 2. Средние условия расположения коллекторов: бассейн площадью свыше 150 га имеет плоский рельеф с уклоном 0,005 м и менее; коллектор проходит в нижней части склона по тальвегу с уклоном склонов 0,02 м и менее, при этом площадь бассейна не превышает 150 га. 3. Неблагоприятные условия расположения коллекторов: коллектор проходит в нижней части склона, площадь бассейна превышает 150 га; коллектор проходит по тальвегу с крутыми склонами при среднем уклоне склонов свыше 0,02. 4. Особо неблагоприятные условия расположения коллекторов: коллектор отводит воду из замкнутого пониженного места (котловины). |
Результат кратковременного переполнения сети | Период однократного превышения расчетной интенсивности дождя P, годы, для территории промышленных предприятий при значениях  |
< 60 | 70 - 100 | > 100 |
Технологические процессы предприятия: | | | |
не нарушаются | 0,33 - 0,5 | 0,5 - 1 | 2 |
нарушаются | 0,5 - 1 | 1 - 2 | 3 - 5 |
Примечания: 1. Для предприятий, расположенных в замкнутой котловине, период однократного превышения расчетной интенсивности дождя следует определять расчетом или принимать равным не менее чем 5 годам. 2. Для предприятий, поверхностный сток которых может быть загрязнен специфическими загрязнениями с токсичными свойствами или органическими веществами, обусловливающими высокие значения показателей ХПК и БПК (т.е. предприятия второй группы), период однократного превышения расчетной интенсивности дождя следует принимать с учетом экологических последствий подтоплений не менее чем 1 год. |
Характер бассейна, обслуживаемого коллектором | Предельный период превышения интенсивности дождя P, годы, в зависимости от условий расположения коллектора |
благоприятные | средние | неблагоприятные | особо неблагоприятные |
Территории кварталов и проезды местного значения | 10 | 10 | 25 | 50 |
Магистральные улицы | 10 | 25 | 50 | 100 |
5.3.4. Расчетную площадь стока для рассчитываемого участка сети необходимо принимать равной всей площади стока или части ее, дающей максимальный расход стока. Если площадь стока коллектора составляет 500 га и более, то в
формулы (12) и
(13) следует вводить поправочный коэффициент
K, учитывающий неравномерность выпадения дождя по площади и принимаемый по табл. 10.
Таблица 10
Площадь стока, га | Коэффициент K |
500 | 0,95 |
1000 | 0,90 |
2000 | 0,85 |
4000 | 0,8 |
6000 | 0,7 |
8000 | 0,6 |
10000 | 0,55 |
5.3.5. Расчетную продолжительность протекания дождевых вод по поверхности и трубам

до расчетного участка (створа), мин., следует определять по формуле:
где

- продолжительность протекания дождевых вод до уличного лотка или при наличии дождеприемников в пределах квартала до уличного коллектора (время поверхностной концентрации), мин., определяемая согласно
п. 5.3.6;

- то же, по уличным лоткам до дождеприемника (при отсутствии их в пределах квартала), определяемая по
формуле (16);

- то же, по трубам до рассчитываемого створа, определяемая по
формуле (17).
5.3.6. Время поверхностной концентрации дождевого стока

следует рассчитывать или принимать в населенных пунктах при отсутствии внутриквартальных закрытых дождевых сетей равным 5 - 10 мин., а при их наличии - равным 3 - 5 мин. При расчете внутриквартальной канализационной сети время поверхностной концентрации надлежит принимать равным 2 - 3 мин. Продолжительность протекания дождевых вод по уличным лоткам

следует определять по формуле:
где

- длина участков лотков, м;

- расчетная скорость течения на участке, м/с.
Продолжительность протекания дождевых вод по трубам до рассчитываемого сечения

, мин., следует определять по формуле:
где

- длина расчетных участков коллектора, м;

- расчетная скорость течения на участке, м/с.
5.3.7. Средний коэффициент стока зависит от вида поверхности стока

, а также от интенсивности

и продолжительности

дождя и определяется по формуле:
где

- среднее значение коэффициента, характеризующего вид поверхности стока (коэффициент покрова), определяется как средневзвешенная величина в зависимости от коэффициентов

для различных видов поверхностей по
табл. 11 и
12;

- интенсивность дождя для данной местности продолжительностью 20 мин. при
P = 1 год (определяется по чертежу
Приложения 2);

- продолжительность дождя или время добегания от наиболее удаленной части бассейна, мин. (определяется по
п. 5.3.5).
Вид поверхности стока | Коэффициент покрова  | Постоянный коэффициент стока  |
Кровли и асфальтобетонные покрытия (водонепроницаемые поверхности) | 0,33 - 0,23 | 0,95 |
Брусчатые мостовые и щебеночные покрытия | 0,224 | 0,6 |
Булыжные мостовые | 0,145 | 0,45 |
Щебеночные покрытия, не обработанные вяжущими материалами | 0,125 | 0,4 |
Гравийные садово-парковые дорожки | 0,09 | 0,3 |
Грунтовые поверхности (спланированные) | 0,064 | 0,2 |
Газоны | 0,038 | 0,1 |
Параметр n | Коэффициент z при параметре A |
300 | 400 | 500 | 600 | 700 | 800 | 1000 | 1200 | 1500 |
Менее 0,65 | 0,32 | 0,30 | 0,29 | 0,28 | 0,27 | 0,26 | 0,25 | 0,24 | 0,23 |
0,65 и более | 0,33 | 0,31 | 0,30 | 0,29 | 0,28 | 0,27 | 0,26 | 0,25 | 0,24 |
5.3.8. Зависимость интенсивности дождя от его продолжительности имеет вид

. Тогда средний (переменный) коэффициент стока

может быть рассчитан по формуле:
При введении полученного значения коэффициента

в
формулу (12) основная расчетная формула для определения расходов дождевых вод в коллекторах дождевой канализации, л/с, приобретает вид:
Значения коэффициентов покрова
zi для различных видов поверхности стока, используемые при расчете среднего коэффициента стока

по
формуле (19) и при определении расходов дождевых вод

в коллекторах дождевой канализации по
формуле (20), приведены в
табл. 11, для водонепроницаемых поверхностей - в
табл. 12.
5.3.9. Если водонепроницаемые поверхности составляют более 30-40 % общей площади стока, что характерно для большинства промышленных предприятий, то расходы дождевых вод в коллекторах дождевой канализации
Qr допускается определять по
формуле (12) при постоянных коэффициентах стока

, приведенных в
табл. 11.
5.3.10. Расходы талых вод из-за различия условий снеготаяния по годам и в течение суток, а также неоднородности снежного покрова на застроенных территориях могут колебаться в широких пределах. Ориентировочно расходы талых вод, л/с, могут быть определены по слою стока за часы снеготаяния в течение суток по формуле:
Qт = 5,5hсКуF/(10 + tr), (21)
где hс - слой стока за 10 дневных часов, мм;
К
у - коэффициент, учитывающий частичный вывоз и уборку снега, рекомендуется рассчитывать по
п. 5.2.4, или принимать равным 0,5 - 0,7;
F - площадь стока, га;
tr - продолжительность протекания талых вод до расчетного участка, ч.
Величина
hс определяется согласно
п. 5.2.4. Карта районирования территории страны по слою талого стока приведена в
Приложении 1. Для выделенных четырех районов (1, 2, 3, 4) величины
hс соответственно равны 25, 20, 15 и 7 мм.
5.4. Определение расчетных расходов поверхностного стока
при отведении на очистку и в водные объекты
5.4.1. Расчетный расход поверхностных сточных вод Qст, м3/с, необходимый для определения кратности разбавления n при выпуске в водный объект, принимается равным максимальному зарегулированному расходу сточных вод после очистных сооружений Qст = Qоч, а при отсутствии регулирования определяется по формуле:

, (22)
где
hсм - среднесуточный максимум атмосферных осадков, мм, за теплый период года, принимается на сновании анализа длительных рядов наблюдения за осадками на ближайших метеостанциях или равным суточному слою атмосферных осадков
Hр от дождей с периодом однократного превышения расчетной интенсивности
P, принятому при гидравлическом расчете дождевой сети конкретного объекта, но не менее
P = 1 год
(п. 5.2.5);

- коэффициент стока для расчетного дождя, определяется как средневзвешенная величина в зависимости от значения

для различных видов поверхности стока, согласно
п. 5.3.8;
Tд - средняя продолжительность дождя в данной местности, ч, принимается по таблице
Приложения 4;
tr - время добегания поверхностного стока от крайней точки площади стока до места выпуска в водный объект, ч, определяется по
п. 5.3.5.
5.4.2. Определение расчетных расходов дождевого стока с селитебных территорий и площадок предприятий при отведении на очистку
Qоч с использованием схем регулирования поверхностных сточных вод приведено в
разделе 7.2 настоящих рекомендаций.
5.4.3. Расход инфильтрационных и дренажных вод, отводимых по сети дождевой канализации и влияющих на качественную и количественную характеристику поверхностного стока, следует определять на основании специальных исследований, а также путем замеров поступления воды в коллекторную сеть в сухую погоду.
При выполнении расчетов следует руководствоваться положениями
СНиП 22-02-2003 "Инженерная защита территорий, зданий и сооружений от опасных геологических процессов. Основные положения",
СНиП 2.06.15-85 "Инженерная защита территорий от затопления и подтопления", а также
Пособия к СНиП 2.06.15-85 "Прогнозы подтопления и расчет дренажных систем на застраиваемых и застроенных территориях".
Расчетный расход притока инфильтрационных вод в коллектор дождевой канализации, л/с, в сухую погоду при известном удельном притоке инфильтрационных вод определяется по формуле:
Qинф = qF, (23)
где q - удельный приток инфильтрационных вод, л/(с·га);
F - площадь стока коллектора, га.
Раздел 6. Условия отведения поверхностного стока
с селитебных территорий и площадок предприятий
6.1.1. Отведение поверхностного стока с селитебных территорий и площадок предприятий в водные объекты должно производиться в соответствии с положениями Федерального
закона "Об охране окружающей среды", "
Правил охраны поверхностных вод", требованиями
СанПиН 2.1.5.980-00,
ГОСТ 17.1.3.13-86, а также с учетом специфических условий его формирования: эпизодичности выпадения атмосферных осадков, интенсивности процессов снеготаяния, резкого изменения расходов и концентрации стоков во времени, зависимости химического состава от функционального назначения и степени благоустройства территории.
6.1.2. При разработке водоохранных мероприятий по предотвращению загрязнения водных объектов поверхностным стоком с селитебных территорий в первую очередь должны быть определены: территории, сток с которых необходимо подвергать очистке; период однократного превышения расчетной интенсивности дождя; требуемая степень очистки и условия выпуска в водный объект.
6.1.3. На очистные сооружения следует отводить поверхностный сток с городских территорий, отличающихся значительной величиной нагрузки по загрязняющим веществам, т.е. от промышленных зон, районов многоэтажной жилой застройки с интенсивным движением автотранспорта и пешеходов, крупных транспортных магистралей, торговых центров, а также сельских населенных пунктов. При этом согласно
СанПиН 2.1.5.980-00 [8] отведение поверхностного стока с промышленных площадок и жилых зон через дождевую канализацию должно исключать поступление в нее хозяйственно-бытовых сточных вод и промышленных отходов.
6.1.4. При раздельной системе водоотведения поверхностного стока с селитебных территорий очистные сооружения должны, как правило, размещаться на устьевых участках главных коллекторов дождевой канализации перед выпуском в водный объект. Места выпуска сточных вод в водный объект должны согласовываться с органами по регулированию использования и охране вод, санитарно-эпидемиологической службы и рыбоохраны.
6.1.5. При установлении условий организованного сброса поверхностных сточных вод в водные объекты должны учитываться общие ограничения и требования к санитарной охране водных объектов, изложенные в "Водном
кодексе Российской Федерации" и
СанПиН 2.1.5.980-00:
запрет на сброс сточных вод в пределах первого и второго поясов зон санитарной охраны источников хозяйственно-питьевого водоснабжения, в местах туризма, спорта и массового отдыха населения, в пределах первого и второго поясов санитарной охраны курортов, а также в водные объекты, обладающие природными лечебными свойствами;
не допускается сброс в водные объекты, а также на поверхность ледяного покрова и водосборную территорию снега, бытового мусора и других отходов, формирующихся на территории населенных мест и промышленных площадок;
не допускается выпуск поверхностного стока в непроточные водоемы, размываемые овраги, замкнутые ложбины и заболоченные территории;
не допускается использование естественных понижений рельефа (ручьев, оврагов, балок) в качестве коллекторов для сброса сточных вод без надлежащей гидроизоляции (в целях защиты подземных вод), а также без мероприятий по предотвращению размыва грунта ниже выпуска.
6.1.6. При поступлении в дождевую канализацию производственных сточных вод предприятий или наличии в поверхностном стоке специфических примесей (сток с территории промышленных предприятий второй группы) к выпуску его в водный объект предъявляются такие же требования, как к выпуску производственных сточных вод. При этом необходимая степень очистки определяется из условий соблюдения в контрольном створе (пункте) водоприемника нормативных требований к качеству воды водного объекта в створе водопользования.
6.1.7. Условия отведения поверхностных сточных вод с территории предприятий в дождевую или городскую (коммунальную) канализацию населенного пункта, а также нормативы сброса загрязняющих веществ со сточными водами регламентируются действующими правилами приема поверхностных сточных вод в эти системы канализации.
При наличии в системе дождевой канализации города централизованных или локальных очистных сооружений поверхностный сток с территории предприятий первой группы при согласовании с органами ВКХ может быть направлен в дождевую сеть города (водосток) без предварительной очистки.
Поверхностные сточные воды с территории предприятий второй группы перед отведением в дождевую канализацию населенного пункта, а также при их совместном отведении с производственными сточными водами должны подвергаться обязательной предварительной очистке от специфических загрязняющих веществ на самостоятельных очистных сооружениях.
6.1.8. Возможность приема поверхностных сточных вод с территорий предприятий как первой, так и второй группы в систему коммунальной канализации городов и населенных пунктов (с целью совместной очистки с хозяйственно-бытовыми сточными водами) определяется условиями приема сточных вод в эту систему и рассматривается в каждом конкретном случае при наличии резерва мощности очистных сооружений.
6.1.9. В системах отведения поверхностных сточных вод с территорий населенных пунктов и промышленных площадок должна учитываться возможность поступления в коллекторную сеть инфильтрационных и дренажных вод из сопутствующих дренажей, теплосетей, общих коллекторов подземных коммуникаций, а также незагрязненных сточных вод промышленных предприятий (п. 5.4.3).
6.1.10. Для предотвращения загрязнения водных объектов талым стоком с территорий населенных пунктов с развитой сетью автомобильных дорог и интенсивным движением транспорта в зимний период необходимо предусматривать организацию уборки и вывоза снега с депонированием на "сухих" снегосвалках или его сброс в снегоплавильные камеры с последующим отводом талых вод в канализационную сеть.
"Сухие" снегосвалки следует размещать на свободных (резервных) городских территориях на железобетонном водонепроницаемом основании. Сброс талых вод в канализацию или водный объект должен осуществляться после предварительной очистки на локальных очистных сооружениях.
В конструкции снегоплавильных камер должно предусматриваться растапливание сбрасываемого снега в течение всего зимнего периода, а также задержание крупного мусора и песка. Наиболее приемлемым решением проблемы удаления снега, вывозимого с городских территорий, является сочетание "сухих" снегосвалок и снегоплавильных камер, размещаемых с учетом наличия свободных площадей, а также пропускной способности городских канализационных коллекторов и мощности очистных сооружений.
6.1.11. При отсутствии вблизи сельских населенных пунктов, коттеджных поселков и небольших предприятий первой группы (с площадью водосбора не более 3 га) водоемов и оврагов, пригодных для выпуска дождевых вод, сброс их после очистки может осуществляться в испарительные бессточные пруды, поглощающие колодцы, траншеи или фильтрационные бассейны (после согласования с местными органами санитарного надзора и охраны вод).
Бессточные пруды и поглощающие колодцы (траншеи) допускается применять для сброса дождевых вод от внутренних водостоков зданий, а также отдельных водосборных площадей с водонепроницаемыми покрытиями при условии, что сброс стоков в другие места и присоединение к общей дождевой канализационной сети или открытым водостокам затруднены из-за рельефа местности (или вертикальной планировки).
6.1.12. При сооружении бессточных прудов (или использовании существующих) и поглощающих колодцев (траншей) необходимы благоприятные климатические, геологические и гидрогеологические условия. При проектировании бессточных прудов необходим расчет на соответствие притока сточных вод потерям на испарение и инфильтрацию в грунт. Устройство поглощающих колодцев (траншей) целесообразно при наличии хорошо фильтрующих грунтов (коэффициент фильтрации не менее 15 м/сут.), низком уровне грунтовых вод и только в том случае, если на данном участке они не используются для хозяйственно-бытовых нужд.
6.1.13. Отведение дождевых и талых вод с кровель промышленных зданий и сооружений, оборудованных внутренними водостоками, допускается в дождевую канализацию без очистки при соответствующем обосновании.
6.2. Определение нормативов ПДС загрязняющих веществ
при выпуске поверхностных сточных вод в водные объекты
6.2.1. Нормативы предельно допустимых сбросов (ПДС) загрязняющих веществ при выпуске поверхностных сточных вод в водные объекты определяются в соответствии с Водным законодательством РФ, действующими нормативно-методическими документами и устанавливаются для каждого выпуска поверхностных сточных вод исходя из условий недопустимости превышения предельно допустимых концентраций (ПДК) вредных веществ в контрольном створе или на участке водного объекта с учетом его целевого использования. В случае одновременного использования водного объекта или его участков для различных целей к составу и свойствам воды согласно
ГОСТ 17.1.3.13-86 предъявляются наиболее жесткие нормы из числа установленных.
6.2.2. Расчет нормативов ПДС загрязняющих веществ с поверхностными сточными водами в водные объекты в отличие от других категорий сточных вод (производственных и хозяйственно-бытовых) должен выполняться для трех сезонов теплого времени года, имеющих свои гидрологические особенности: весеннего половодья, когда в водные объекты поступает преимущественно талый (снеговой) сток, летней межени и осеннего паводкового периода, когда в водные объекты поступают дождевые и поливомоечные воды.
Для каждого гидрологического сезона определяются средние за сезон расходы воды в фоновом створе

, м
3/с, и фоновые концентрации загрязняющих веществ

, мг/дм
3.
Статистические данные о гидрологическом режиме водного объекта и фоновые концентрации показателей качества воды по выделенным сезонам за предыдущие годы могут быть получены в Росгидромете и его территориальных органах.
6.2.3. Допустимая концентрация загрязняющего вещества в сбрасываемых поверхностных сточных водах

определяется по соотношениям:
где

- фоновая концентрация загрязняющего вещества, мг/дм
3;
ПДК - предельно допустимая концентрация загрязняющего вещества или региональная норма качества воды водного объекта, мг/дм3;

- кратность разбавления поверхностных сточных вод при выпуске в водный объект, определяемая согласно
п. 6.2.6.
6.2.4. За фоновую концентрацию загрязняющего вещества

принимается его концентрация в воде водного объекта, в створе, расположенном выше по течению, но как можно ближе к месту сброса поверхностных сточных вод. Местоположение точки отбора проб для определения фоновой концентрации должно располагаться таким образом, чтобы сточная вода не могла оказывать влияние на результат определения ни при каких гидрологических условиях.
Учитывая сезонную динамику расходов и качества воды водных объектов, за фоновую концентрацию вещества принимается статистически обоснованная верхняя доверительная граница средних значений концентраций этого вещества, рассчитанная по результатам химических наблюдений за последние 5 лет для каждого выделенного гидрологического сезона.
6.2.5. Если естественные фоновые концентрации веществ в воде водного объекта, сформировавшиеся под воздействием природных факторов, превышают установленные ПДК, то для этих водных объектов при расчете ПДС загрязняющих веществ с поверхностными сточными водами могут применяться региональные нормативы качества воды.
6.2.6. Кратность разбавления поверхностных сточных вод

при выпуске в водные объекты определяется по методикам, принятым для расчета кратности разбавления промышленных и хозяйственно-бытовых сточных вод, отводимых в водные объекты. Но, учитывая особенности формирования поверхностных сточных вод и режим отведения, в качестве расчетных гидрологических условий рекомендуется принимать средние расходы воды в фоновом створе для каждого выделенного гидрологического сезона (весеннего половодья, летней межени и осеннего паводкового периода).
6.2.7. Расчетным расходом поверхностных сточных вод

, м
3/с, при определении кратности разбавления поверхностного стока с водой водного объекта является максимальный среднесуточный (зарегулированный) расход, на пропуск которого рассчитаны очистные сооружения поверхностного стока; при отсутствии регулирования

рассчитывается по формуле (22), приведенной в п. 5.4.1.
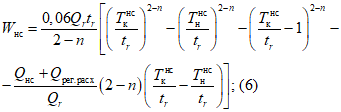
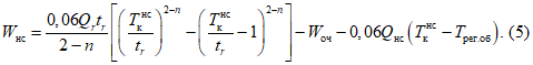
6.2.8. Предельно допустимый часовой сброс загрязняющего вещества, г/ч, определяется по формуле:
где

- расчетный часовой расход сточных вод, м
3/ч;

- допустимая концентрация загрязняющих веществ в сточных водах при выпуске в водный объект, г/м
3.
6.2.9. Предельно допустимый годовой сброс загрязняющего вещества с дождевыми и талыми водами определяется по формулам:
где

- средний годовой объем дождевого стока, м
3;

- средний годовой объем талых сточных вод, м
3.
6.2.10. При отсутствии данных по гидрологическому режиму водного объекта, фоновым концентрациям или региональным нормативам качества воды рекомендуется проведение специальных наблюдений с привлечением при необходимости научных и проектных организаций, имеющих лицензию на осуществление указанных работ.
Раздел 7. Системы и сооружения сбора и отведения
поверхностного стока с селитебных территорий
и площадок предприятий
7.1. Схемы сбора и отведения поверхностного стока
7.1.1. В зависимости от целесообразности совместного или раздельного отведения на очистку хозяйственно-бытовых, промышленных и поверхностных сточных вод проектируют общесплавную, раздельную или полураздельную системы водоотведения.
Для небольших городов с населением от 75 до 350 тыс. человек экономически выгодной и надежной в санитарно-гигиеническом отношении является полураздельная система канализации, при которой очистка поверхностного стока производится совместно с городскими и промышленными сточными водами на сооружениях биологической очистки. При этом достигаются высокие показатели качества очищенных сточных вод по основным показателям загрязнения: взвешенным веществам, нефтепродуктам, ХПК и

В большинстве крупных городов и мегаполисов России канализация построена по принципу полной раздельной системы. С точки зрения охраны водных объектов от загрязнения раздельные системы при наличии в их составе централизованных или локальных очистных сооружений являются наиболее эффективными, но более дорогостоящими. Их рекомендуется проектировать независимо от крупности городов в районах с интенсивностью дождей >= 80 л/(с·га).
В любом случае при проектировании систем водоотведения городов и промышленных предприятий выбор должен осуществляться на основании технико-экономического сравнения возможных вариантов с учетом местных условий, необходимости строительства перекачивающих насосных станций и требований к качеству очищаемого стока. Для климатических районов с интенсивностью дождей > 90 л/(с·га) и периодом однократного превышения P = 0,05 - 0,1 года приведенные затраты на раздельную и полураздельную системы канализации практически равноценны.
Общесплавные системы водоотведения, допускающие сброс смеси неочищенных городских, промышленных и поверхностных сточных вод в водные объекты через ливнеспуски во время интенсивных дождей, для проектирования не рекомендуются, так как не обеспечивают санитарно-экологическую безопасность водных объектов.
7.1.2. При разработке систем отведения поверхностного стока с селитебных территорий и площадок предприятий следует исходить из конкретных условий: размеров, конфигурации и рельефа стока, источников загрязнения территории, наличия свободных площадей для строительства очистных сооружений. При этом следует учитывать:
необходимость локализации отдельных участков производственных территорий с отводом поверхностных сточных вод, содержащих специфические примеси, в производственную канализацию или после предварительной очистки - в дождевую;
целесообразность раздельного отведения и очистки стока с площадей, отличающихся по характеру и интенсивности загрязнения территории;
целесообразность частичного или полного использования очищенного поверхностного стока для промышленного водоснабжения;
возможность и целесообразность подачи поверхностного стока с селитебных территорий на локальные очистные сооружения отдельных площадей стока города, а с территорий предприятий - на очистные сооружения предприятия, промышленного узла, района или города.
7.1.3. При очистке поверхностных сточных вод с территорий промышленных предприятий первой группы, не содержащих специфических примесей с токсичными свойствами, может предусматриваться устройство самостоятельных очистных сооружений, обеспечивающих отведение очищенных сточных вод непосредственно в водный объект, а также отведение поверхностных сточных вод предприятий в систему дождевой канализации населенных пунктов с целью дальнейшей совместной очистки с поверхностными или бытовыми сточными водами на городских (районных) очистных сооружениях.
7.1.4. Очистка поверхностного стока с территорий промышленных предприятий второй группы, содержащего специфические примеси с токсичными свойствами, может производиться как отдельно, так и совместно с производственными или хозяйственно-бытовыми сточными водами предприятия. Отведение их в городскую или дождевую канализацию должно осуществляться согласно нормативным требованиям, предъявляемым к качеству стоков, принимаемых в эти системы.
7.1.5. Отведение поверхностных сточных вод на очистные сооружения и в водные объекты следует предусматривать по возможности в самотечном режиме по пониженным участкам площади стока. Перекачка поверхностного стока на очистные сооружения допускается в исключительных случаях при соответствующем обосновании.
7.1.6. На территории населенных пунктов и промышленных предприятий следует предусматривать закрытые системы отведения поверхностных сточных вод. Отведение по открытой системе водостоков с использованием разного рода лотков, канав, кюветов, оврагов, ручьев и малых рек допускается для селитебных территорий с малоэтажной индивидуальной застройкой, поселков в сельской местности, а также парковых территорий с устройством мостков или труб на пересечениях с дорогами. Во всех остальных случаях требуется соответствующее обоснование и согласование с органами санитарно-эпидемиологической службы, по регулированию и охране вод, а также с органами рыбнадзора.
Отведение на очистку поверхностного стока с автомобильных дорог и объектов дорожного сервиса, расположенных вне населенных пунктов, допускается выполнять лотками и кюветами.
7.2. Сооружения для регулирования поверхностного стока
при отведении на очистку и методы их расчета
7.2.1. Вероятностный характер выпадения атмосферных осадков и чрезвычайная нестационарность дождевого стока требуют усреднения его расхода и состава перед подачей на очистку. С целью уменьшения размеров очистных сооружений и подачи на очистку наиболее загрязненной части стока в схемах отведения и очистки поверхностного стока селитебных территорий и промышленных предприятий первой группы следует предусматривать устройство разделительных камер и регулирующих емкостей.
7.2.2. При отведении на очистку поверхностного стока с территорий промышленных предприятий второй группы предварительное разделение стока не допускается, поскольку необходима очистка всего его объема. В этом случае для снижения мощности очистных сооружений следует предусматривать регулирование расхода стока. Размер регулирующей емкости принимается из условия минимальных общих затрат на обезвреживание стока при максимальном притоке.
7.2.3. Отведение поверхностного стока без предварительного разделения и регулирования для очистки совместно с производственными сточными водами и последующего использования может приниматься на предприятиях как первой, так и второй группы с водоемкими производствами и оборотным водоснабжением (металлургические заводы, фабрики флотационного обогащения руд и угля, нефтепромыслы, нефтехимические и нефтеперерабатывающие заводы) при наличии в системах водоснабжения значительных по объему накопительных емкостей. В таких случаях баланс водного хозяйства предприятия составляется с учетом полного использования дождевого и полного или частичного использования талого стока.
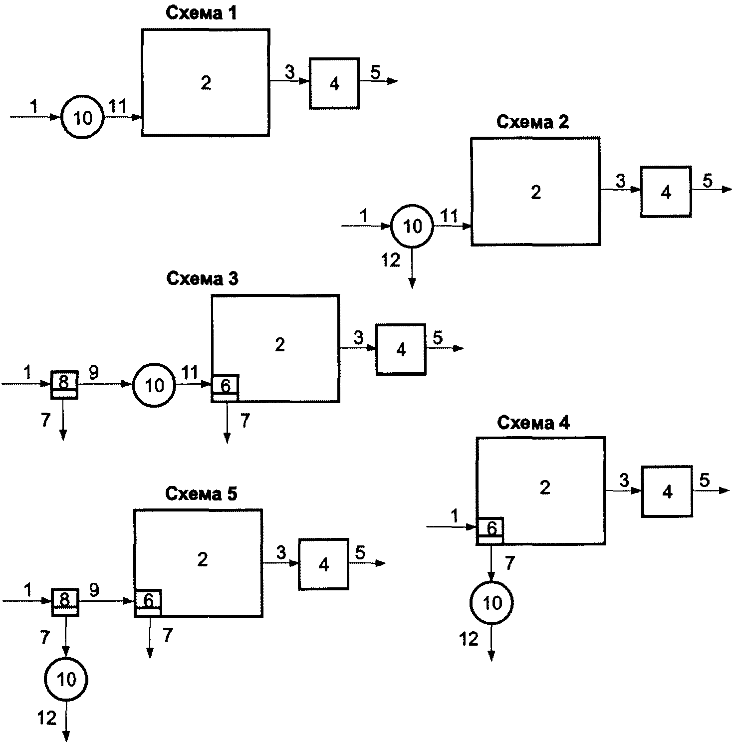
7.2.4. Регулирование расхода и объема дождевого стока перед очистными сооружениями может осуществляться двумя способами (рис. 1).
Рис. 1. Принципиальные схемы регулирования расхода и объема
дождевого стока перед очистными сооружениями и схематические
расчетные гидрографы дождевого стока
1 - самотечный коллектор дождевой канализации;
2 - аккумулирующий (регулирующий) резервуар; 3 - трубопровод
отведения стока на сооружения глубокой очистки;
4 - сооружения глубокой очистки; 5 - трубопровод отведения
очищенного стока в водный объект или систему
производственного водоснабжения; 6 - камера разделения стока
по объему; 7 - сброс избыточного поверхностного стока
в водный объект; 8 - камера разделения стока по расходу;
9 - коллектор зарегулированного стока;

- часть
объема дождя, поступающего в аккумулирующий резервуар
для последующей очистки;

- часть объема дождя,
отводимого в водный объект без очистки
Первый способ разделения
(схема 1) заключается в аккумулировании и последующем отведении на очистку объема дождевых вод, поступающих от начала стока до момента накопления в аккумулирующем (регулирующем) резервуаре определенного объема

, рассчитываемого по
формуле (8), приведенной в п. 5.2.1. Разделение стока производится в камере разделения, устраиваемой во входной части аккумулирующего (регулирующего) резервуара или на трубопроводе непосредственно перед резервуаром. При таком разделении на очистку направляется концентрированная часть стока от всех дождей, а в водный объект без очистки сбрасывается наименее концентрированная часть стока от значительных по слою дождей. Указанный способ разделения следует преимущественно применять в случае самотечного режима поступления стоков по коллектору дождевой канализации к аккумулирующему (регулирующему) резервуару.
При втором способе разделения
(схема 2) предусматривается двойное регулирование дождевого стока - по расходу и объему. Регулирование расхода стока осуществляется за счет устройства на коллекторах дождевой канализации разделительных камер, через которые на последующие сооружения направляется сток от малоинтенсивных дождей и часть стока с определенным расходом от интенсивных дождей. Последующее вторичное регулирование стока по объему производится в аккумулирующем (регулирующем) резервуаре аналогично
схеме 1. Указанный способ разделения допускается применять при значительном заглублении самотечного коллектора дождевой канализации, подводящего поверхностные стоки к аккумулирующему (регулирующему) резервуару, и необходимости в связи с этим устройства подкачивающей насосной станции.
При выборе разделительных камер для регулирования дождевого стока по расходу следует отдавать предпочтение конструкциям, обеспечивающим отведение на очистку постоянного зарегулированного расхода при изменении в широком диапазоне расхода дождевых вод перед камерой. Этому условию в наибольшей степени удовлетворяют разделительные камеры типа донного слива и камеры с разделительной стенкой с отверстием.
Разделительные камеры для регулирования дождевого стока по объему следует выполнять в виде гидрозатвора, препятствующего возможному поступлению плавающих загрязнений (в том числе пленки нефтепродуктов) в избыточный поток стоков, отводимых в водный объект без очистки.
7.2.5. Регулирование расхода поверхностного стока без сброса части его непосредственно в водоприемник следует предусматривать за счет устройства аккумулирующих (регулирующих) резервуаров, рассчитанных на прием стока в течение определенного периода (года, теплого периода, месяца) или стока от дождя с максимальным расчетным слоем осадков
(схема 3).
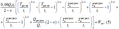
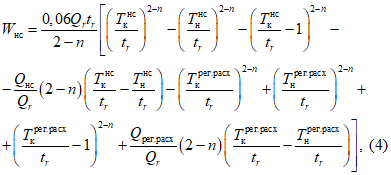
7.2.6. Максимальные расходы стоков, отводимых в водный объект без очистки по
первой и
второй схемам регулирования, максимальный расход стоков, направляемых в аккумулирующий резервуар для последующей очистки по второй схеме регулирования, рассчитываются по формулам, приведенным в
Приложении 7.
7.2.7. Полезный (рабочий) объем аккумулирующего резервуара для регулирования (в том числе вторичного) дождевого стока и последующего отведения его на сооружения глубокой очистки должен быть не менее объема дождевого стока

от расчетного дождя, рассчитанного по
формуле (8), п. 5.2.1. Следует учитывать необходимость создания дополнительного резерва объема для накопления и временного хранения выделяемого из сточных вод осадка. Полный гидравлический объем аккумулирующего резервуара для приема, усреднения и предварительной очистки загрязненной части поверхностного стока следует принимать в зависимости от конструктивных особенностей резервуара на 10 - 30% больше расчетной величины объема стока от расчетного дождя. Одновременно по
формуле (10), п. 5.2.6 производится проверочный расчет из условия приема в аккумулирующий резервуар суточного объема талого стока, образующегося в период интенсивного снеготаяния

. К проектированию принимается наибольшая из двух величин.
7.2.8. Выбор конструкции аккумулирующего резервуара производится с учетом его назначения. При использовании аккумулирующего резервуара преимущественно для регулирования расхода отводимых на очистку сточных вод следует предусматривать специальные мероприятия по предотвращению отстаивания сточных вод (гидравлическое или пневматическое взмучивание). При использовании аккумулирующего резервуара не только для регулирования расхода сточных вод, но и для их предварительной механической очистки следует предусматривать эффективные и надежные технические решения для периодического сбора и удаления всплывающих веществ и оседающих механических примесей.
7.3. Перекачка поверхностного стока
7.3.1. При проектировании сетей дождевой канализации следует обеспечивать преимущественно самотечный режим отведения дождевых вод. В отдельных случаях, обусловленных топографическими особенностями территории, возникает необходимость устройства насосных станций для перекачки поверхностных вод. Главной особенностью при расчете насосных станций является, с одной стороны, требование обеспечения отведения стоков в режиме, не ухудшающем расчетный режим работы вышерасположенных участков канализационной сети (без увеличения частоты ее кратковременного переполнения), а с другой стороны, крайняя нерегулярность работы станций, обусловливающая повышенные требования к экономичности таких систем.
7.3.2. Расчет насосных станций следует выполнять по методу предельных интенсивностей с использованием расчетных зависимостей типового гидрографа дождевого стока, показанного на
рис. 1. В общем виде расчет насосных станций сводится к определению оптимального соотношения между максимальной (пиковой) производительностью насосов и величиной рабочего объема приемного резервуара насосной станции по основным пяти схемам, представленным на рис. 2.
Рис. 2. Основные схемы перекачки дождевого стока
1 - самотечный коллектор дождевой канализации;
2 - аккумулирующий (регулирующий) резервуар; 3 - трубопровод
отведения стока на сооружения глубокой очистки;
4 - сооружения глубокой очистки; 5 - трубопровод
отведения очищенного стока в водный объект или систему
производственного водоснабжения; 6 - камера разделения стока
по объему; 7 - самотечный коллектор сброса избыточного
стока; 8 - камера разделения стока по расходу;
9 - самотечный коллектор зарегулированного стока;
10 - насосная станция; 11 - напорный трубопровод
перекачки стока в аккумулирующий резервуар;
12 - напорный трубопровод перекачки избыточного стока
7.3.3.
Методика расчета производительности и объема приемного резервуара насосных станций приведена в Приложении 8.
7.3.4. При проектировании насосных станций перекачки поверхностных сточных вод следует учитывать крайнюю неравномерность и нерегулярность их работы, а также наличие длительных периодов простоя. Предпочтение следует отдавать наиболее простым и экономичным конструкциям, что обеспечивается за счет применения станций с насосными агрегатами погружного типа. Для компенсации неравномерности поступления поверхностных стоков на станцию следует принимать не менее двух однотипных рабочих агрегатов с автоматической системой выравнивания их моточасов. Для уменьшения размеров станции число рабочих агрегатов следует принимать не более трех с одним резервным агрегатом.
7.3.5. При выборе оптимального соотношения между максимальной расчетной производительностью насосов и величиной рабочего объема резервуара насосной станции следует учитывать, что в насосных станциях с большим объемом резервуара происходит (особенно в периоды малоинтенсивного притока сточных вод) отстаивание и накопление оседающих и всплывающих загрязнений. В этом случае следует предусматривать технические средства для периодической очистки резервуара либо использовать насосное оборудование с системой автоматического взрыхления (размыва) осадка. Во избежание засорения насосного оборудования грубыми механическими включениями предусматривается установка мусоросборных корзин или решеток с прозорами размером 5 - 40 мм в зависимости от типа применяемых насосов.
7.3.6. Система автоматики насосных станций должна обеспечивать: автоматическое включение и отключение насосных агрегатов, включение дополнительных насосных агрегатов в соответствии с уровнем заполнения резервуара, автоматический ввод резервного оборудования.
7.4. Определение расчетной производительности
очистных сооружений
7.4.1. Производительность очистных сооружений

при очистке дождевых сточных вод определяется по формуле (29) с учетом объема очищаемого стока от расчетного дождя

, нормативного периода его переработки

, минимальной продолжительности предварительного отстаивания

, необходимой для эффективного осветления сточных вод перед последующей глубокой очисткой, продолжительности технологических перерывов в работе очистных сооружений

(например, при выполнении операций промывки фильтров) и запаса производительности для очистки объема загрязненных вод, образующихся от операций обслуживания технологического оборудования, входящего в состав очистных сооружений,

(загрязненная вода от промывки фильтров, фильтрат от оборудования по обезвоживанию осадков и т.п.):
где

- расчетный расход поверхностного стока при отведении на очистку (расчетная производительность очистных сооружений поверхностных сточных вод), л/с;

- объем дождевого стока от расчетного дождя, отводимого на очистные сооружения, м
3:

- суммарный объем загрязненных вод, образующихся при обслуживании технологического оборудования очистных сооружений в течение нормативного периода переработки объема дождевого стока от расчетного дождя, м
3;

- нормативный период переработки объема дождевого стока от расчетного дождя, отводимого на очистные сооружения с селитебных территорий и предприятий, ч;

- минимальная продолжительность отстаивания поверхностных сточных вод в аккумулирующем резервуаре, ч;

- суммарная продолжительность технологических перерывов в работе очистных сооружений в течение нормативного периода переработки объема дождевого стока от расчетного дождя, ч.
Период переработки объема расчетного дождя

(период опорожнения аккумулирующего резервуара) на основании данных о средней продолжительности периодов между стокообразующими осадками, как правило, принимается в пределах трех суток. В отдельных случаях этот период может быть увеличен на основании статистической обработки данных о натурном ряде дождей для данной местности за многолетний период.
Величина продолжительности предварительного отстаивания

определяется исходя из величины гидравлической крупности выделяемых в аккумулирующем резервуаре частиц механических примесей и гидравлической глубины резервуара при его максимальном расчетном заполнении.
При использовании аккумулирующего резервуара только для регулирования расхода отводимых на очистку сточных вод величина продолжительности предварительного отстаивания

при расчете по
формуле (29) исключается.
7.4.2. Максимальная производительность очистных сооружений

при очистке талых вод определяется по формуле (30) с учетом максимального суточного объема талых вод в середине периода снеготаяния

, периода его переработки

, минимальной продолжительности предварительного отстаивания

, необходимой для эффективного осветления сточных вод перед последующей глубокой очисткой, продолжительности технологических перерывов в работе очистных сооружений

(например, при промывке фильтров) и запаса производительности для очистки объема загрязненных вод, образующихся при обслуживании технологического оборудования, входящего в состав очистных сооружений,

(загрязненная вода от промывки фильтров, фильтрат от оборудования по обезвоживанию осадков и т.п.):
где

- нормативный период переработки суточного объема талого стока, отводимого на очистные сооружения с селитебных территорий и площадок предприятий, ч;

- максимальный суточный объем талых вод в середине периода снеготаяния, м
3.
Величина периода переработки максимального суточного объема талых вод

принимается не менее 14 ч. В ряде случаев этот период может быть увеличен с учетом имеющегося запаса рабочего объема аккумулирующего резервуара.
При использовании аккумулирующего резервуара только для регулирования расхода отводимых на очистку сточных вод величина продолжительности предварительного отстаивания

при расчете по
формуле (30) исключается.
7.4.3. К проектированию принимается максимальная производительность очистных сооружений

, определенная по
формулам (29),
(30).
Раздел 8. Очистка поверхностного стока с селитебных
территорий и площадок предприятий
8.1.1. Степень очистки поверхностного стока с селитебных территорий и площадок предприятий определяется условиями приема его в системы водоотведения города или условиями выпуска в водные объекты. При повторном использовании в системах производственного водоснабжения очищенный поверхностный сток должен отвечать технологическим требованиям, предъявляемым потребителями, и быть безопасным в санитарно-эпидемиологическом отношении.
8.1.2. Схема очистных сооружений поверхностных сточных вод должна разрабатываться с учетом его качественной и количественной характеристик, фазово-дисперсного состояния примесей, требуемой степени очистки и принятой схемы его сбора и регулирования.
8.1.3. Поверхностные сточные воды содержат загрязняющие компоненты природного и техногенного происхождения в различном фазово-дисперсном состоянии, поэтому для обеспечения требуемого эффекта очистки необходимо применять многоступенчатые схемы очистки, включающие различные методы их выделения и (или) деструкции.
8.1.4. В большинстве случаев при отведении поверхностного стока в водный объект или при повторном его использовании в системе производственного водоснабжения диктующим (приоритетным) показателем при выборе технологической схемы очистки является содержание взвешенных веществ и нефтепродуктов, иммобилизованных на грубодисперсных примесях или присутствующих в свободном состоянии (в виде пленки), в эмульгированном или растворенном виде. Учитывая, что основное количество нефтепродуктов сорбируется на взвесях (до 90%), на первой стадии очистки поверхностного стока для удаления основной массы взвешенных веществ и нефтепродуктов целесообразно применять безреагентное отстаивание.
В качестве сооружений механической очистки могут использоваться различные типы отстойных сооружений: горизонтальные и радиальные отстойники, нефтеловушки, пруды, аккумулирующие емкости и накопители. Эффект снижения концентрации взвешенных веществ и нефтепродуктов при отстаивании поверхностного стока в течение 1 - 2 суток может составлять 80 - 90%, растворенных органических веществ по

- 60 - 80%, по ХПК - 80 - 90%. Из-за значительного содержания в поверхностном стоке мелкодисперсных примесей гидравлической крупностью менее 0,2 мм/с остаточная концентрация взвешенных веществ в отстоянной воде может составлять 50 - 200 мг/дм
3, нефтепродуктов - 0,5 - 10 мг/дм
3 с селитебных территорий и до 50 мг/дм
3 с площадок предприятий. При этом остаточное содержание растворенных органических соединений в пересчете на ХПК и

может составлять 50 - 100 и 20 - 30 мг/дм
3 соответственно.
8.1.5. Для более глубокой очистки и интенсификации процессов осветления поверхностного стока рекомендуется применять реагентную обработку коагулянтами и (или) флокулянтами с последующим фильтрованием через различные фильтрующие загрузки из природных или синтетических материалов. При соответствующем обосновании (наличие в воде значительных количеств нефтепродуктов, минеральной взвеси плотностью менее плотности воды, ПАВ и др.) целесообразно перед фильтрованием применять флотацию. Для снижения содержания растворенных органических примесей, суммарно оцениваемых показателями ХПК и БПК, поверхностные стоки с селитебных территорий и предприятий первой группы после механической очистки отстаиванием могут подвергаться биологической очистке совместно с городскими (коммунальными) или производственными сточными водами, а также на самостоятельных локальных сооружениях биологической очистки с иммобилизованной микрофлорой на различных подвижных или стационарных носителях (инертных или активных) в зависимости от вида и концентрации загрязнений.
Доочистка поверхностного стока от растворенных форм нефтепродуктов до уровня ПДК в воде водных объектов хозяйственно-питьевого, культурно-бытового (0,3 мг/дм3) и рыбохозяйственного пользования (0,05 мг/дм3), а также очистка от специфических загрязняющих компонентов (ионов тяжелых металлов, СПАВ, фенолов, аммонийного азота и т.д.) должны осуществляться специальными методами на завершающем этапе очистки. Для этого в технологическую схему могут быть включены стадии сорбции, биоокисления в сочетании с сорбцией (биосорбция), ионного обмена, озонирования и т.д.
8.1.6. В схемах очистки поверхностного стока с территорий предприятий второй группы на самостоятельных сооружениях (помимо сооружений, обеспечивающих удаление традиционных загрязняющих примесей) на завершающей стадии очистки следует предусматривать узлы для удаления специфических токсичных веществ (фенолов, СПАВ, формальдегида, солей тяжелых металлов, аммонийного азота, фторидов и других органических и минеральных примесей).
В качестве узлов доочистки поверхностного стока от фенолов, формальдегида, СПАВ и других органических веществ могут применяться установки озонирования, сорбции и биосорбции. При необходимости удаления из поверхностного стока ионов тяжелых металлов и аммонийного азота могут использоваться ионообменные установки с применением синтетических ионообменных смол (катионитов) в режиме натрий-катионирования или природные ионообменные материалы (клиноптилолит).
8.1.7. При соответствующем обосновании для очистки и доочистки поверхностного стока с селитебных территорий и площадок предприятий могут быть использованы технологии, сооружения и установки, применяемые для очистки бытовых и производственных сточных вод. При этом проектирование и расчет сооружений следует производить в соответствии с указаниями нормативно-технической литературы [
1;
9] с учетом особенностей, вытекающих из специфики, свойственной поверхностному стоку (нестационарность по расходу, качественному составу и концентрациям загрязняющих компонентов во времени). Проектирование новых и реконструируемых сооружений следует производить по рекомендациям разработчиков этих сооружений.
8.1.8. Для станций очистки поверхностного стока с селитебных территорий крупных населенных пунктов производительностью 25 - 1500 м3/ч, содержащих в основном взвешенные вещества и нефтепродукты в количестве не более 20 - 50 мг/дм3, состав очистных сооружений может быть принят в первом приближении по табл. 13.
Таблица 13
Производительность станции, м3/ч | Качество исходной воды | Состав сооружений в технологической схеме |
взвешенные вещества, мг/дм3 | нефтепродукты, мг/дм3 |
Менее 25 | 700 | 20 | |
25 - 50 | 700 | 20 | |
500 - 1000 | 1000 | 40 | |
1000 - 1500 | 1500 | 50 | |
Примечания: 1. МР - механизированные решетки; МС - механические сита (решетки); ПС - песколовки; АР - аккумулирующий резервуар; ГЦ - гидроциклоны; АРО - аккумулирующий резервуар-отстойник; РХ - реагентное хозяйство (флокулянты); СФ - скорый контактный фильтр; ГАУ - адсорбер с гранулированной загрузкой; АТФ - адсорбер с углеродными тканевыми фильтрами. 2. При соответствующем обосновании в состав сооружений перед фильтрованием могут включаться флотаторы. |
8.1.9. При производительности очистных станций менее 25 м3/ч в состав сооружений после механических решеток или сеток могут быть включены гидроциклоны, горизонтальные отстойники, флотаторы, зернистые или кассетные фильтры в одну или несколько ступеней и сорбционные фильтры доочистки. Как правило, такие установки заводского изготовления дополнительно оборудуются устройствами для обезвоживания осадка, удаления нефтепродуктов, насосами подкачки, системами КИП и автоматики.
8.1.10. Выбор метода очистки поверхностного стока, а также тип и конструкция очистных сооружений (открытые или закрытые) определяются их производительностью, необходимой степенью очистки по приоритетным показателям загрязнения и гидрогеологическими условиями (наличием территории под строительство, рельефом местности, уровнем грунтовых вод и т.д.).
8.1.11. В технологических схемах очистки поверхностного стока на сооружениях любой производительности необходимо предусматривать технические решения по организации удаления осадков и всплывающих веществ
(п. 8.10).
8.2. Механическая очистка
8.2.1. В качестве сооружений и устройств механической очистки могут применяться решетки, сетки, песколовки, гидроциклоны открытого и напорного типа, аккумулирующие резервуары-отстойники, нефтеловушки и фильтры, работающие в безреагентном режиме.
8.2.2. Для эффективной и стабильной работы всего комплекса очистных сооружений технологическая схема должна предусматривать предварительную очистку поверхностного стока на решетках и песколовках с целью задержания плавающего мусора и крупных механических примесей минерального происхождения (песка и глины).
8.2.3. Установку решеток для задержания мусора следует предусматривать перед сооружениями для регулирования и очистки поверхностного стока. Ширина прозоров решетки не должна превышать 10 мм. Для благоустроенных территорий с площадью стока до 100 га допускается применение решеток с ручной очисткой; при площади стока более 100 га рекомендуются механизированные решетки. Очистку решеток необходимо производить после каждого дождя, для чего они должны быть оснащены узлами сбора и удаления мусора.
8.2.4. Для удаления из поверхностного стока частиц песка гидравлической крупностью более 15 мм/с, содержание которого в дождевом стоке колеблется от 10 до 15%, а в талом - до 20% массы взвешенных веществ, следует применять горизонтальные или тангенциальные песколовки. Песколовок или отдельных секций должно быть не менее двух (все рабочие). Расчет песколовок следует выполнять согласно указаниям
СНиП 2.04.03-85 [1].
Для расчета песковых бункеров следует принимать: влажность песка 60 - 70%; объемная масса шламовой пульпы 1,2 - 1,5 т/м3; зольность задержанного песка 80 - 90%; содержание нефтепродуктов в обезвоженном осадке не более 3%.
8.2.5. В схемах, где отсутствуют аккумулирующие резервуары-отстойники, для удаления из поверхностного стока основной массы взвешенных веществ и нефтепродуктов рекомендуется применять различные конструкции отстойных сооружений: горизонтальные и радиальные отстойники, пруды-отстойники, тонкослойные полочные отстойники и нефтеловушки. Тип отстойных сооружений следует выбирать исходя из производительности очистных сооружений, необходимого эффекта осветления сточных вод и наличия площадей под строительство.
При больших расходах поверхностного стока и благоприятных топографических и гидрогеологических условиях экономически целесообразно применять пруды-отстойники с последующей глубокой доочисткой усредненного стока.
Расчет отстойных сооружений рекомендуется производить по гидравлической крупности частиц, выделение которых обеспечивает требуемый эффект очистки. Учитывая, что поверхностный сток содержит значительное количество мелкодисперсных примесей, расчет отстойных сооружений всех типов рекомендуется выполнять для частиц гидравлической крупностью 0,2 мм/с и более, что при высоте зоны отстаивания 2 м и продолжительности отстаивания 1 - 2 ч обеспечивает эффект осветления не менее 60 - 65%.
Эффективность выделения нефтепродуктов в дождевом стоке при отстаивании в течение 1 - 2 ч составляет 70 - 80% при их остаточной концентрации в пределах 10 мг/дм3.
8.2.6. При проектировании отстойников основное внимание должно уделяться узлам распределения и сбора воды, а также обеспечению простоты и надежности приспособлений для удаления осевшего шлама и выделенных нефтепродуктов.
8.2.7. Для повышения эффекта осветления сточных вод, при ограниченности территории, выделяемой под очистные сооружения, или при расположении отстойников в помещении целесообразно применение горизонтальных тонкослойных отстойников с блоками параллельных пластин, работающих по перекрестной схеме взаимного движения потока воды и сползающего с пластин осадка. Установка модулей позволяет повысить эффект задержания механических примесей по сравнению с типовыми сооружениями на 20 - 30% при сокращении продолжительности отстаивания стоков в 2 - 3 раза.
Угол наклона пластин в ярусах следует принимать 60 - 70°, а расстояние между ними по вертикали 70 - 100 мм. Удаление осадка из приямков рекомендуется производить периодически в самотечный лоток или в воронки, присоединенные к самотечному трубопроводу, отводящему осадок в накопительную емкость.
Методика расчета тонкослойных отстойников, работающих по перекрестной и противоточной схемам удаления осадка, приведена в Справочном
пособии к СНиП 2.04.03-85
[9].
8.2.8. Удаление всплывших нефтепродуктов может производиться поворотными щелевыми трубами, расположенными в начале и конце секций отстойника. К поворотным трубам нефтепродукты транспортируются скребками с ручным или электрическим приводом. Более эффективное удаление нефтепродуктов производится скиммерами. В этом случае содержание воды в удаленных нефтепродуктах может изменяться в пределах 2 - 10%.
8.2.9. Для интенсификации процесса выделения механических примесей и повышения эффекта осветления поверхностного стока метод отстаивания в тонком слое может быть применен на действующих очистных сооружениях, работающих в стационарном режиме поступления стоков. Для этого любые конструкции отстойных сооружений могут быть дополнены тонкослойными блоками (модулями).
8.2.10. При использовании аккумулирующего резервуара не только для регулирования расхода, но и для предварительной механической очистки следует предусматривать эффективные и надежные технические решения для периодического сбора и удаления всплывающих веществ и оседающих механических примесей. Для сбора и удаления всплывших нефтепродуктов следует использовать современные нефтесборные устройства (скиммеры), обеспечивающие эффективную эксплуатацию в условиях значительного колебания уровня заполнения аккумулирующего резервуара. В аккумулирующих резервуарах небольшого объема целесообразно устройство днища в виде ряда пирамидальных иловых приямков с уклоном стенок не менее 45°. Периодический забор осадка из иловых приямков в этом случае производится специальным автотранспортом. В резервуарах значительного объема иловые приямки следует устраивать в виде заглубленных относительно днища поперечных или продольных лотков с уклоном стенок не менее 45° и уклоном днища резервуара к лоткам не менее 0,05. При значительной длине указанные лотки также могут включать в себя дополнительные заглубленные приямки с уклоном стенок не менее 45° и уклоном дна лотков к этим приямкам не менее 0,05. Для удаления осадка с площади днища в лотки и приямки может быть использован гидросмыв. Суммарный объем приямков определяется исходя из возможного объема осадка при принятой периодичности его удаления. Высота зоны отстаивания в резервуарах принимается в пределах 1,5 - 4 м, высота борта резервуара над максимальным уровнем воды - не менее 0,3 - 0,5 м, высота защитной зоны над максимальным уровнем осадка - не менее 0,3 - 0,5 м.
При наличии в составе очистных сооружений комплекса обезвоживания осадка допускается устройство плоского днища резервуара с уклоном к иловому приямку или ряду приямков не менее 0,05. В этом случае отведение выделенного малоконцентрированного осадка на обезвоживание производится в конце каждого из периодов опорожнения аккумулирующего резервуара. Для повышения эффективности сбора осадка также могут использоваться гидросмыв или пневматическое взмучивание. При значительных размерах аккумулирующего резервуара-отстойника периодическую очистку днища резервуара от тяжелых механических примесей (песка) целесообразно производить бульдозерами и погрузчиками, для чего следует предусматривать соответствующие пандусы и площадки перегрузки осадка.
8.2.11. Гидроциклоны рекомендуется применять для осветления поверхностных сточных вод на первой стадии их очистки, а также для сгущения сырого осадка, выделенного в отстойных сооружениях. Открытые гидроциклоны используются для выделения из сточных вод всплывающих и оседающих грубодисперсных примесей, напорные гидроциклоны - только для оседающих агрегативно-устойчивых примесей - частиц песка, глины и других минеральных примесей поверхностного стока. Открытые гидроциклоны без внутренних устройств рекомендуется применять для очистки сточных вод от примесей гидравлической крупностью 5 мм/с и более; открытые гидроциклоны с внутренним цилиндром и диафрагмой - от примесей гидравлической крупностью 0,2 мм/с и более, а также для выделения скоагулированных взвешенных частиц и нефтепродуктов при расходе стоков до 200 м
3/ч на один аппарат. Расчет гидроциклонов сводится к определению пропускной способности и крупности частиц задерживаемых примесей. Методика расчета приведена в
[9].
8.3. Очистка сточных вод флотацией
8.3.1. Метод флотации рекомендуется применять при содержании в поверхностном стоке после отстаивания более 5 - 10 мг/дм3 тонкодиспергированных взвешенных веществ гидравлической крупностью 0,2 мм/с и менее. Метод также эффективен для очистки поверхностных сточных вод с территории промышленных предприятий и производств, характеризующихся повышенным содержанием нефтепродуктов (более 100 мг/дм3), ПАВ, жиров, масел и других эмульгированных жидкостей. Флотация также эффективна в качестве дополнительной стадии очистки при последующем осветлении стоков фильтрованием. Для очистки сточных вод могут применяться напорная (компрессионная) флотация, импеллерная и электрофлотация.
8.3.2. В зависимости от местных условий напорные флотационные установки могут работать по прямоточной схеме с насыщением в сатураторе всего расхода сточных вод, поступающих на очистку, или с рециркуляцией при подаче в сатуратор осветленных стоков в количестве 30 - 50% общего расхода. Объем флотационной камеры в этом случае должен быть увеличен в 1,3 - 1,5 раза.
Прямоточная схема флотации, наиболее простая в осуществлении и эксплуатации, позволяет утилизировать извлеченные нефтепродукты, но требует высоких энергетических затрат и малоэффективна при извлечении коллоидных и хлопьевидных частиц. Напорная флотация с рециркуляцией рекомендуется при использовании в процессе очистки коагулянтов и флокулянтов.
Давление насыщения воды воздухом в сатураторе должно быть не менее 0,4 - 0,5 МПа. Воздух в сатуратор может подаваться от компрессора или через эжектор, установленный на обратном трубопроводе, соединяющем напорный и всасывающий трубопроводы насоса, подающего воду в сатуратор.
Для повышения эффективности очистки поверхностного стока от эмульгированных нефтепродуктов и масел процесс флотации рекомендуется осуществлять с применением реагентов
(п. 8.5). В этом случае флотационную камеру следует совмещать с камерой хлопьеобразования, в которую через распределительное устройство подается реагент. Продолжительность пребывания воды в камере хлопьеобразования должна быть не менее 10 мин. Флотационную камеру следует рассчитывать на выделение флотокомплексов гидравлической крупностью 1,4 мм/с с коэффициентом использования объема K = 0,5.
8.3.3. Установки импеллерной флотации применяются для выделения из поверхностных сточных вод механических примесей и нефтепродуктов. Импеллерный флотатор должен иметь не менее трех последовательных камер, в которых устанавливаются импеллерные диспергаторы. За флотокамерами располагается зона отстаивания, которая рассчитывается на выделение флотокомплексов гидравлической крупностью 1,4 мм/с с коэффициентом использования объема K = 0,5. Установки импеллерной флотации могут работать с применением реагентов, раствор которых рекомендуется подавать в аванкамеру, располагаемую в начале флотатора. Проектирование импеллерных флотаторов следует проводить по рекомендациям разработчиков этих аппаратов.
8.3.4. Электрофлотационные установки рекомендуется применять при очистке небольших объемов поверхностного стока с территории промышленных предприятий второй группы с целью снижения концентрации эмульгированных нефтепродуктов и масел перед стадией фильтрования.
Электрофлотаторы представляют собой отстойники со встроенной подвесной электрофлотационной камерой. В качестве электродов может использоваться листовой алюминий толщиной 2 - 3 мм, нержавеющая сталь, а также титан и графит. Расстояние между электродами рекомендуется принимать 6 - 8 мм. Плотность тока может приниматься в пределах 250 - 400 А/м2. Флотокамера должна рассчитываться на выделение флотокомплексов гидравлической крупностью 1 - 1,2 мм/с при коэффициенте использования ее объема K = 0,5.
При электрофлотации может использоваться предварительная обработка воды реагентами. В этом случае раствор реагента подается в поток перед камерой хлопьеобразования, которую следует совместить с камерой флотации. Продолжительность пребывания стоков в камере хлопьеобразования около 10 мин., коэффициент использования ее объема K = 0,5. Конструктивные решения по электрофлотационным установкам выдаются организациями-разработчиками.
8.4.1. При доочистке поверхностного стока от нефтепродуктов и других техногенных загрязняющих веществ сорбцией перед угольными фильтрами следует предусматривать двухступенчатое фильтрование с целью снижения концентрации взвешенных веществ до 1 - 2 мг/дм3. Для удобства эксплуатации на каждой ступени очистки необходимо предусматривать установку не менее двух рабочих фильтров. Первая ступень загружается более крупной фракцией (песок 2 - 5 мм), вторая - мелкой (песок 0,8 - 2 мм).
8.4.2. В качестве тяжелых загрузок фильтров могут быть использованы: кварцевый песок, гранитная крошка, гидроантрацит, керамзит, горелая порода. В качестве легких материалов могут применяться: крошка полиуретана, полистирол. Особое внимание при фильтровании через зернистые загрузки должно быть уделено процессам их промывки.
8.4.3. Направление фильтрования в фильтрах с зернистой загрузкой - сверху вниз. Скорость фильтрования 5 - 10 м/ч. При должном обосновании скорость может быть увеличена.
8.4.4. Для водовоздушной промывки зернистых загрузок фильтров рекомендуется принимать интенсивность подачи воды 10 - 12 л/(с·м2), воздуха - 20 л/(с·м2), продолжительность - не менее 6 - 7 мин. При водовоздушной промывке вода и воздух подаются попеременно. Одновременная их подача исключается, так как приводит к выносу загрузки. Процесс промывки фильтров рекомендуется автоматизировать.
8.4.5. Требуемая интенсивность подачи промывной воды определяется эффективностью восстановления загрузки и уточняется экспериментально. Промывная вода направляется в аккумулирующий резервуар.
8.4.6. Для предупреждения кольматации зернистых загрузок фильтров следует периодически применять интенсивные методы их восстановления: гидроперегрузку загрузки внутри фильтра или в другой полый корпус; гидроперегрузку через гидроциклон; использование ультразвука и кавитации.
Рекомендации по конструктивному решению узла интенсивной регенерации загрузки выдаются организациями-разработчиками.
8.4.7. Для фильтрования могут быть использованы картриджные и патронные фильтры. Продолжительность использования нерегенерируемого материала не менее 3 - 4 месяцев, также должны быть решены вопросы утилизации отработанного материала.
8.5. Реагентная очистка поверхностного стока
8.5.1. Применение реагентов рекомендуется при необходимости выделения из поверхностных сточных вод взвешенных частиц гидравлической крупностью менее 0,2 мм/с.
8.5.2. Для очистки рекомендуется использовать сильноосновные катионные
6
флокулянты с молекулярной массой 9 · 10 и более, с содержанием ионогенных
групп не менее 70%. При очистке воды, содержащей растворенные вещества,
осаждаемые ионами трехвалентных металлов (например фосфаты), рекомендуется
использовать соли алюминия или железа совместно со слабокатионными,
слабоанионными, неионными высокомолекулярными флокулянтами. Окончательный
выбор флокулянта для каждого конкретного случая осуществляется
экспериментально.
8.5.3. Органические катионные флокулянты рекомендуется использовать дозами 0,25 - 1 мг/дм3. При использовании минерального коагулянта в сочетании с флокулянтом рекомендуемые дозы коагулянта в пересчете на оксид составят 10 - 25 мг/дм3, флокулянта - 0,25 - 0,5 мг/дм3. Оптимальные дозы должны уточняться в каждом конкретном случае пробным коагулированием.
8.5.4. При использовании органических флокулянтов в камере
хлопьеобразования рекомендуется соблюдать следующие гидродинамические
-1
условия: средний градиент скорости при смешении 300 - 500 с ;
продолжительность смешения 2 - 3 мин.; средний градиент скорости
-1
перемешивания при хлопьеобразовании 50 - 100 с ; продолжительность
хлопьеобразования 5 - 10 мин.
8.5.5. При дальнейшем осветлении сточных вод отстаиванием расчетную гидравлическую крупность сфлокулированных взвесей в поверхностном стоке, обработанном флокулянтами, рекомендуется принимать в пределах 0,5 - 0,6 мм/с.
8.5.6. При применении реагентной обработки в процессах фильтрования
рекомендуется использовать органические сильноосновные катионные коагулянты
6
с молекулярной массой до 1 · 10 и 100-процентным содержанием катионных
групп. Окончательный выбор органического коагулянта для конкретного случая
должен производиться экспериментально.
8.5.7. Дозы органических катионных коагулянтов при очистке стока фильтрованием составляют 0,5 - 2 мг/дм3. Каждый раз доза должна уточняться пробным коагулированием.
8.5.8. Средний градиент скорости при смешении с водой органических
-1
коагулянтов следует принимать 350 - 500 с . Продолжительность смешения 2 -
3 мин.
8.6. Биологическая очистка
8.6.1. Биологическую очистку (или доочистку) целесообразно применять для удаления из поверхностного стока растворенных органических соединений, суммарно характеризуемых показателями ХПК и БПК, а также для снижения содержания СПАВ и других специфических загрязняющих компонентов техногенного происхождения (фенолов, формальдегида, этиленгликоля и т.д.), соединений азота (аммонийного, нитратного) и фосфора.
8.6.2. В технологической схеме очистных сооружений поверхностного стока стадия биологической очистки применяется после механической обработки. Содержание взвешенных веществ при этом не должно превышать 25 - 50 мг/дм3, нефтепродуктов 5 мг/дм3, других специфических загрязнений - в концентрациях, не превышающих максимально допустимые для биологической очистки.
8.6.3. В зависимости от вида и концентрации загрязняющих компонентов биологическая очистка (или доочистка) поверхностных сточных вод может осуществляться в естественных условиях на почвенных фильтрах, в биологических прудах, на биологических плато, гидроботанических площадках, а также в специальных сооружениях с микрофлорой, закрепленной на различных подвижных или стационарных носителях (активных или инертных).
8.6.4. Применение загрузочных материалов на стадии биологической очистки поверхностных сточных вод рекомендуется для повышения производительности очистных сооружений при обработке слабоконцентрированных дождевых вод при

ниже 50 мг/дм
3 и наличии в воде трудноокисляемых органических соединений, характеризующихся низким приростом активного ила.
8.6.5. В случае присутствия в поверхностных сточных водах трудноокисляемых органических загрязнений (СПАВ, нефтепродукты и др.) в качестве загрузочного материала рекомендуется использовать активированный уголь (гранулированный фракцией 1 - 3 мм или порошкообразный). Сочетание биологических и сорбционных процессов в одном сооружении обеспечивает качество очищенных сточных вод, удовлетворяющее требованиям на сброс в водоемы рыбохозяйственного назначения. Объединение указанных процессов при их синергическом взаимодействии позволяет максимально использовать достоинства каждого.
8.6.6. Совмещение биологических и сорбционных процессов с применением дробленых цеолитов (фракцией 1 - 3 мм) позволяет интенсифицировать процесс нитрификации и обеспечить глубокое удаление аммонийного азота из поверхностного стока до требований на сброс в водоемы рыбохозяйственного назначения.
8.6.7. Применение активированного угля и цеолитов на стадии биологической очистки или доочистки не требует их замены за счет непрерывной биологической регенерации сорбента. При этом процессы нитрификации и окисления органических загрязнений в сооружениях с прикрепленным биоценозом протекают достаточно эффективно и при низких температурах (до 3 - 5 °С).
| | ИС МЕГАНОРМ: примечание. Нумерация пунктов дана в соответствии с официальным текстом документа. | |
8.6.9. Проектирование и расчет сооружений биологической очистки (или доочистки) поверхностного стока надлежит выполнять в соответствии с рекомендациями организаций-разработчиков.
8.7.1. Доочистка поверхностных сточных вод от соединений тяжелых металлов и аммонийного азота может осуществляться ионным обменом с использованием природных минеральных (клиноптилолит для извлечения ионов аммония) или синтетических ионообменных материалов в режиме натрий-катионирования.
8.7.2. На ионообменную установку должны подаваться стоки после предварительной механической очистки и фильтрования с содержанием взвешенных веществ не более 5 мг/дм3, ХПК должна быть не более 8 мг/дм3, общая жесткость не более 4 мг-экв./дм3.
8.7.3. Рекомендуемая скорость фильтрования воды через катиониты для напорных фильтров при нормальном режиме эксплуатации 12 - 15 м/ч. Допускается ее кратковременное увеличение на 50 - 60% по сравнению с указанной при выключении фильтров на регенерацию или ремонт. Расчет и проектирование ионообменных установок для доочистки поверхностного стока следует проводить в соответствии со
СНиП 2.04.03-85 и
СНиП 2.04.02-84.
8.8.1. Глубокая доочистка поверхностных сточных вод с территорий предприятий первой и второй групп от нефтепродуктов и других органических веществ достигается на сорбционных фильтрах с плотным слоем загрузки гранулированного активированного угля крупностью 0,8 - 5 мм. Глубокой доочистке должны подвергаться дождевые, талые и поливомоечные воды после механической и реагентной очистки и фильтрования через фильтры с нейтральной зернистой загрузкой. Проектирование и расчет сорбционных установок надлежит выполнять в соответствии со
СНиП 2.04.03-85 [1].
8.8.2. Содержание взвешенных веществ в сточных водах, поступающих на адсорберы, не должно превышать 2 мг/дм3, нефтепродуктов - 2 мг/дм3. При выключении одного адсорбера скорость фильтрования на остальных не должна увеличиваться более чем на 20%.
8.8.3. Выгрузку активированного угля из адсорбера следует производить насосом, гидроэлеватором, эрлифтом или шнеком при относительном расширении загрузки на 20 - 25%, создаваемом восходящим потоком воды со скоростью 40 - 45 м/ч.
8.9.1. Для удаления из поверхностных сточных вод специфических примесей: фенолов, формальдегида, СПАВ и других органических веществ может применяться озонирование. Озонированию должны подвергаться сточные воды после предварительной механической и реагентной обработки.
8.9.2. Проектирование и расчет озонаторных установок производятся в соответствии с
[10] исходя из состава обрабатываемой воды, удельного расхода озона на единицу окисляемых веществ (1,5 - 5 мг/мг фенола, формальдегида, СПАВ) и его содержания в озоно-воздушной смеси генераторов озона 15 - 25 мг/дм
3, а также на основании технологических испытаний для каждого конкретного случая.
8.10.1. При очистке поверхностных сточных вод в аккумулирующих емкостях, отстойниках и песколовках образуется осадок. Он содержит в основном частицы песка и глины с адсорбированными органическими загрязнениями, нефтепродуктами, соединениями тяжелых металлов и другими загрязнениями, присутствующими в стоке. Осадок поверхностных сточных вод представляет специфичный по составу и свойствам многотоннажный и экологически опасный вид отходов, который может содержать опасные для человека микробы и микроорганизмы. По технологическим свойствам такой осадок относится к труднофильтруемым дисперсным системам с низкой водоотдающей способностью. Состав и свойства осадка могут изменяться в значительной степени в зависимости от условий образования и качественного состава поверхностного стока, продолжительности накапливания осадка в отстойных сооружениях. При длительном накапливании может происходить его загнивание.
8.10.2. При проектировании очистных сооружений любой производительности необходимо предусматривать технические решения по организованному удалению осадка из емкостных сооружений для его обезвоживания и вывоза на свалки или для утилизации. При необходимости санитарное обеззараживание осадка производится в месте его складирования или утилизации по рекомендациям специализированных организаций.
8.10.3. В зависимости от степени загрязнения поверхностных сточных вод и способа их очистки количество осадка составляет примерно 0,5 - 2% объема очищаемой воды при влажности 98%. Влажность осадка, выгружаемого из отстойных сооружений, может составлять 96 - 99%, содержание органических веществ может изменяться в пределах 20 - 40%, нефтепродуктов - 3 - 5% в расчете на сухой осадок. По количеству и составу осадок поверхностных сточных вод с территорий промышленных предприятий, прежде всего второй группы, может существенно отличаться от осадка поверхностных сточных вод селитебных территорий.
8.10.4. Количество осадка

, м
3/сут., выделяемого в отстойных сооружениях, можно приблизительно определить исходя из концентрации взвешенных веществ в поступающем и отстоянном стоке по формуле:
где Q - расчетный расход сточных вод, м3/сут.;

и

- концентрации взвешенных веществ в поступающем и отстоянном стоке, г/м
3;
b - влажность осадка, %;

- объемная масса осадка, г/дм
3, обычно составляет 1,015 - 1,06 г/дм
3 при влажности 96 - 99%.
8.10.5. Количество песка, задерживаемого в песколовках, применяемых на очистных сооружениях поверхностного стока, составляет в среднем 15% массы взвешенных веществ, содержащихся в поверхностных сточных водах. Зольность песка составляет примерно 80 - 90%, влажность 60 - 70%, содержание нефтепродуктов - до 3% в расчете на сухое вещество.
8.10.6. Емкостные сооружения по очистке поверхностных сточных вод должны быть оборудованы устройствами для периодического удаления осадка с помощью гидроэлеваторных или насосных установок, в ряде случаев следует предусматривать принудительное перемещение осадка по днищу емкостных сооружений к бункерам.
Конструкции и режим работы скребковых устройств или систем для гидросмыва осадка определяют при проектировании. При этом следует учитывать, что в головной части емкостных сооружений выпадает грубодисперсный, более тяжелый осадок с высоким содержанием песка. Влажность осадка, откачиваемого из головной части отстойных сооружений, составляет в среднем 96%, в конце отстойных сооружений 98,7 - 99,5%. Периодичность удаления осадка и песка из песколовок, отстойников и аккумулирующих емкостей определяется технологическим регламентом на эксплуатацию очистных сооружений. В случае применения минеральных реагентов при отстаивании или флотации поверхностных сточных вод следует учитывать соответствующее увеличение объема осадка.
8.10.7. Для обезвоживания осадка поверхностного стока могут применяться дренажные иловые площадки и установки для механического обезвоживания. Метод обезвоживания определяется производительностью и условиями размещения очистных сооружений.
8.10.8. Дренажные (иловые) площадки рекомендуется применять на искусственном основании с дренажем или как площадки-уплотнители, оборудованные устройством для отвода иловой воды. Нагрузка на площадки с дренажем принимается 3 м3/(м2·год), на площадки-уплотнители 2 м3/(м2·год). При этом обработка осадка флокулянтами дозой 0,02 - 0,03% в расчете на сухое вещество осадка увеличивает нагрузку на дренажные (иловые) площадки в 1,5 - 2 раза.
8.10.9. Для механического обезвоживания осадка поверхностного стока целесообразно применять ленточные, камерные или шнековые фильтр-прессы. Из-за повышенного содержания песка в осадке применение центрифуг для его обезвоживания возможно при удалении песка из осадка, например на гидроциклонах. При использовании для обезвоживания осадка поверхностного стока указанного оборудования необходимо применение флокулянтов. Среднее значение дозы флокулянтов составляет 0,2 - 0,4% в расчете на сухое вещество осадка. Перед обезвоживанием необходимо предусматривать уплотнение осадка до влажности 95 - 97%.
8.10.10. Рабочие параметры механического обезвоживания осадка принимаются по рекомендациям специализированных научно-исследовательских организаций. Сооружения по приему, усреднению состава и обезвоживанию осадка с применением оборудования для механического обезвоживания или дренажных площадок целесообразно размещать в составе одного из нескольких комплексов по очистке поверхностного стока, или необходимо создание передвижной установки для механического обезвоживания осадков. Такие установки могут быть изготовлены с применением ленточного или шнекового фильтр-прессов на шасси автомобиля. Весь комплект вспомогательного оборудования системы отвода фильтрата и транспортирования обезвоженного осадка, за исключением резервуара-усреднителя осадка, монтируется в составе передвижной установки. На очистных сооружениях поверхностного стока, где предусмотрено механическое обезвоживание осадка, следует предусматривать резервуары-усреднители осадка, удаляемого из отстойных сооружений. Эффективная и стабильная работа обезвоживающего оборудования может быть достигнута только при подаче на обезвоживание осадка постоянного состава и влажности.
8.10.11. При разработке технологии организованного удаления осадка поверхностного стока необходимо рассматривать возможность его использования как вторичного сырьевого продукта. Возможными направлениями утилизации осадка является использование его в производстве строительных материалов, при планировочных работах или в качестве рекультиванта. Условия применения осадка как сырья определяют технологическую схему его обработки, необходимость и глубину обезвоживания, корректировки состава, обеззараживания. Основным направлением утилизации обезвоженного осадка поверхностных сточных вод является использование его в качестве рекультиванта или изолирующего грунта.
8.11. Обеззараживание поверхностного стока
8.11.1. Поверхностный сток с селитебных территорий и площадок предприятий перед сбросом в водные объекты или повторным использованием в открытых системах производственного водоснабжения подлежит обеззараживанию. Перед отведением поверхностного стока в централизованную сеть коммунальной канализации населенных пунктов для совместной очистки с бытовыми сточными водами его обеззараживание может не производиться, за исключением поверхностного стока, содержащего возбудители инфекционных заболеваний.
8.11.2. Запрещается сбрасывать в водные объекты без обеззараживания поверхностные стоки с территорий, опасных в эпидемиологическом отношении (больницы, ветеринарные лечебницы, скотомогильники, полигоны и т.д.). Поверхностные стоки, опасные в эпидемиологическом отношении, содержащие возбудители инфекционных заболеваний, могут сбрасываться в водные объекты только после соответствующей очистки и обеззараживания (число термотолерантных колиформных бактерий КОЕ/100 мл <= 100 и число колифагов БОЕ/100 мл <= 100)
[8].
8.11.3. Выбор метода обеззараживания надлежит производить с учетом расхода и качества поверхностного стока, эффективности его очистки, условий поставки, транспортировки и хранения реагентов, возможности автоматизации процессов и условий отведения в водный объект.
8.11.4. При отведении поверхностного стока в водные объекты (хозяйственно-питьевого, культурно-бытового и рыбохозяйственного водопользования) для его обеззараживания могут использоваться озонирование, УФ-излучение, прямой электролиз, а также хлорирование реагентами, содержащими хлор (гипохлорит натрия, гипохлорит кальция, хлорная известь) с последующим обязательным дехлорированием. Дозу активного хлора надлежит уточнять в процессе эксплуатации. Обеззараживание поверхностного стока активным хлором следует производить в соответствии с положениями
СНиП 2.04.03-85. Количество остаточного хлора в обеззараженной воде после установленного контакта должно быть не менее 1,5 г/м
3.
8.11.5 Обеззараживание поверхностного стока активным хлором при сбросе его в поверхностные водоисточники следует производить перед установками глубокой доочистки сорбцией.
8.11.6. Обеззараживание поверхностного стока озоном и УФ-облучением следует производить после глубокой доочистки от нефтепродуктов в соответствии с действующей нормативно-технической документацией и методическими указаниями [
11;
12]. Необходимые дозы озона и УФ-излучения следует определять экспериментально. Минимальная доза озона для обеззараживания составляет 3 г/м
3 при времени контакта 4 - 6 мин. В зависимости от степени загрязненности воды расход озона может быть увеличен до 5 г/м
3 и более, время контакта - до 12 мин.

- расчетная концентрация загрязняющего вещества в поверхностных сточных водах, мг/дм
3;

- среднеарифметическое значение концентрации загрязняющего вещества по используемому ряду наблюдений, мг/дм
3;

- концентрация загрязняющего компонента в поверхностных сточных водах, мг/дм
3;

,

,

- среднегодовой объем дождевых, талых и поливомоечных вод, м
3/год;
F - площадь стока, га;

- количество осадков за теплый период года, мм;

- количество осадков за холодный период года, мм;

,

- общий коэффициент стока дождевых и талых вод;

- площадь твердых покрытий, подвергающихся мойке, га;
m - расход воды на одну мойку дорожных покрытий, л/м2;
k - среднее количество моек в году;

- объем дождевого стока, отводимого на очистные сооружения, м
3;

- максимальный слой осадков за дождь, сток от которого подвергается очистке в полном объеме, мм;

- среднесуточный слой осадков за теплый период года, мм;

- слой талых вод за 10 дневных часов, мм;

- максимальный суточный объем талых вод, м
3;

- коэффициент, учитывающий частичный вывоз и уборку снега;

- расчетный расход дождевых вод для гидравлического расчета дождевых сетей, л/с;

- расход дождевых вод в коллекторах дождевой канализации, л/с;

- средний коэффициент стока дождевых вод, определяется как средневзвешенная величина в зависимости от значения

, для различных видов поверхности водосбора;

- интенсивность дождя для данной местности продолжительностью 20 мин. при
P = 1 год, л/(с·га);

- среднее значение коэффициента, характеризующего вид поверхности стока (коэффициент покрова), определяется как средневзвешенная величина в зависимости от коэффициентов для различных видов поверхностей;

- расчетная продолжительность дождя, равная продолжительности протекания дождевых и талых вод по поверхности и трубам до расчетного участка (створа), мин.;

- продолжительность протекания дождевых вод до уличного лотка или при наличии дождеприемников в пределах квартала до уличного коллектора (время поверхностной концентрации), мин.;

- продолжительность протекания дождевых вод по уличным лоткам до дождеприемника, мин.;

- продолжительность протекания дождевых вод по трубам до рассчитываемого сечения, мин.;
A, n - параметры, характеризующие интенсивность и продолжительность дождя для конкретной местности;

- расход талых вод в дневное время за часы снеготаяния в течение суток, л/с;

- расчетный расход поверхностного стока при отведении на очистку (расчетная производительность очистных сооружений поверхностных сточных вод), л/с;

- расчетный расход поверхностных сточных вод для определения кратности разбавления (максимальный зарегулированный расход сточных вод после очистных сооружений), м
3/с;

- средняя продолжительность дождей в данной местности, ч;

- допустимая концентрация загрязняющего вещества в поверхностных сточных водах, отводимых в водный объект, мг/дм
3;

- фоновая концентрация загрязняющего вещества в воде водного объекта, мг/дм
3;

- средний за гидрологический сезон расход воды в фоновом створе, м
3/с;
ПДК - предельно допустимая концентрация загрязняющего вещества или региональная норма качества воды водного объекта, мг/дм3;

- расчетный часовой расход сточных вод для определения ПДС загрязняющих веществ, м
3/ч;
ПДС - предельно допустимый сброс загрязняющих веществ в водный объект, г/ч;

- кратность разбавления поверхностных сточных вод при выпуске в водный объект;

- максимальный расход стока от расчетного дождя, зарегулированного по расходу
(схема 2) и направляемого самотеком непосредственно в аккумулирующий резервуар или на насосную станцию с последующей перекачкой в аккумулирующий резервуар, л/с;

- максимальный избыточный расход стока от расчетного дождя, зарегулированного по расходу
(схема 2) и сбрасываемого в водный объект, минуя очистные сооружения, л/с;

- максимальный избыточный расход стока от расчетного дождя, зарегулированного по объему
(схема 1) и сбрасываемого в водный объект, минуя очистные сооружения, л/с;

- момент времени начала перелива избыточного объема дождевого стока от расчетного дождя (
схемы 1 и
2) из аккумулирующего резервуара (разделительной камеры), мин.;

- момент времени начала сброса избыточного расхода дождевого стока от расчетного дождя из разделительной камеры при регулировании по расходу
(схема 1), мин.;

- момент времени окончания сброса избыточного расхода дождевого стока от расчетного дождя из разделительной камеры при регулировании по расходу
(схема 1), ч;

- объем стока от расчетного дождя, поступившего в расчетный створ главного коллектора с момента начала дождя, м
3;

- рабочий объем резервуара насосной станции, м
3;

- максимальная производительность насосной станции, л/с;

- момент времени, при котором расход дождевого стока, поступающего в насосную станцию, начинает превышать ее максимальную производительность, ч;

- момент времени, при котором расход дождевого стока, поступающего в насосную станцию, перестает превышать ее максимальную производительность, ч;

- нормативный период переработки объема дождевого стока от расчетного дождя, отводимого на очистные сооружения с селитебных территорий и площадок предприятий, ч;

- минимальная продолжительность отстаивания поверхностных сточных вод в аккумулирующем резервуаре, ч;

- суммарная продолжительность технологических перерывов в работе очистных сооружений в течение нормативного периода переработки объема дождевого стока от расчетного дождя, ч;

- суммарный объем загрязненных вод, образующихся от операций обслуживания технологического оборудования очистных сооружений в течение нормативного периода переработки объема дождевого стока от расчетного дождя, м
3;

- максимальный суточный объем талых вод в середине периода снеготаяния, м
3.
3. Влажность воздуха, атмосферные осадки, снежный покров: Справ. по климату СССР. - Вып. 8, 1967.
4. Алексеев М.И., Курганов А.М. Организация отведения поверхностного (дождевого и талого) стока с урбанизированных территорий. - М.: Изд-во АСВ, 2000.
5. Молоков М.В., Шифрин В.Н. Очистка поверхностного стока с территорий городов и промышленных площадок. - М.: Стройиздат, 1977.
6. Курганов А.М. Таблицы параметров предельной интенсивности дождя для определения расходов в системах водоотведения: Справ. пособие. - М.: Стройиздат, 1984.
7. Отведение и очистка поверхностных сточных вод / В.С. Дикаревский, А.М. Курганов, А.П. Нечаев, М.И. Алексеев. - Л.: Стройиздат, 1990.
9. Проектирование сооружений для очистки сточных вод / ВНИИ ВОДГЕО: Справ.
пособие к СНиП 2.04.03-85. - М.: Стройиздат, 1990.
10.
СНиП 2.04.02-84. Водоснабжение. Наружные сети и сооружения. - М., 1996.
11.
МУ 2.1.5.800-99. Организация Госсанэпиднадзора за обеззараживанием сточных вод. - М.: Минздрав России, 2000.
12.
МУ 2.1.5.732-99. Санитарно-эпидемиологический надзор за обеззараживанием сточных вод ультрафиолетовым излучением. - М.: Минздрав России, 1999.
РАЙОНОВ РОССИЙСКОЙ ФЕДЕРАЦИИ В ЗАВИСИМОСТИ
ОТ КЛИМАТИЧЕСКИХ УСЛОВИЙ
[5]
Район 1 - северная граница: Великие Луки, Москва, Нижний Новгород, Казань, Екатеринбург, Тюмень, Новосибирск, южная часть Байкала, район Яблонового и Станового хребтов, побережье Охотского моря, Камчатка; южная граница: южная часть Урала, Саяны, Алтай, хребет Хамар-Дабан.
Район 2 - к северу от района 1 до устья р. Мезень и далее на восток, примерно по Северному полярному кругу; сюда относится Северо-Западная территория Европейской части России.
Район 3 - севернее района 2 (к северу от устья р. Мезень и далее к востоку, примерно по Северному полярному кругу).
Район 4 - Сальские и Астраханские степи, южная часть Сибири.
В граничных районах шириной до 20 км за слой талого стока принимают среднее значение для двух смежных районов. Для Заволжья можно брать среднее значение слоя между районами 1 и 4.
ЗНАЧЕНИЯ ВЕЛИЧИН ИНТЕНСИВНОСТИ ДОЖДЯ
[1]
ЗНАЧЕНИЯ ПАРАМЕТРОВ n,

,

ДЛЯ ОПРЕДЕЛЕНИЯ РАСЧЕТНЫХ
РАСХОДОВ В КОЛЛЕКТОРАХ ДОЖДЕВОЙ КАНАЛИЗАЦИИ
[1]
Район | Значения n при | | |
P > 1 | P < 1 |
Побережье Белого и Баренцева морей | 0,4 | 0,35 | 130 | 1,33 |
Север Европейской части России и Западной Сибири | 0,62 | 0,48 | 120 | 1,33 |
Равнинные области запада и центра Европейской части России | 0,71 | 0,59 | 150 | 1,33 |
Равнинные области Украины | 0,71 | 0,64 | 110 | 1,54 |
Возвышенности Европейской части России, западный склон Урала | 0,71 | 0,59 | 150 | 1,54 |
Восток Украины, низовье Волги и Дона, Южный Крым | 0,67 | 0,57 | 60 | 1,82 |
Нижнее Поволжье | 0,65 | 0,66 | 50 | 2 |
Наветренные склоны возвышенностей Европейской части России и Северное Предкавказье | 0,7 | 0,66 | 70 | 1,54 |
Ставропольская возвышенность, северные предгорья Большого Кавказа, северный склон Большого Кавказа | 0,63 | 0,56 | 100 | 1,82 |
Южная часть Западной Сибири, среднее течение р. Или, район оз. Але-Куль | 0,72 | 0,58 | 80 | 1,54 |
Центральный и Северо-Восточный Казахстан | 0,74 | 0,66 | 80 | 1,82 |
Северные склоны Западных Саян, Заилийского Алатау | 0,57 | 0,57 | 80 | 1,33 |
Джунгарский Алатау, Алтай | 0,61 | 0,48 | 140 | 1,33 |
Северный склон Западных Саян | 0,49 | 0,33 | 100 | 1,54 |
Средняя Сибирь | 0,69 | 0,47 | 130 | 1,54 |
Хребет Хамар-Дабан | 0,48 | 0,36 | 130 | 1,82 |
Восточная Сибирь | 0,6 | 0,52 | 90 | 1,54 |
Бассейны рек Шилки и Аргуни, долина р. Среднего Амура | 0,65 | 0,54 | 100 | 1,54 |
Бассейны рек Охотского моря и Колымы, северная часть Нижнеамурской низменности | 0,36 | 0,48 | 100 | 1,54 |
Побережье Охотского моря, бассейны рек Берингова моря, центральная и западная части Камчатки | 0,36 | 0,31 | 80 | 1,54 |
Восточное побережье Камчатки южнее 56° с.ш. | 0,28 | 0,26 | 110 | 1,54 |
Побережье Татарского пролива | 0,35 | 0,28 | 110 | 1,54 |
Район оз. Ханка | 0,65 | 0,57 | 90 | 1,54 |
Бассейны рек Японского моря, о. Сахалин, Курильские острова | 0,45 | 0,44 | 110 | 1,54 |
Юг Казахстана, равнина Средней Азии и склоны гор до 1500 м, бассейн оз. Иссык-Куль до 2500 м | 0,44 | 0,4 | 40 | 1,82 |
Склоны гор Средней Азии на высоте 1500 - 3000 м | 0,41 | 0,37 | 40 | 1,54 |
Юго-Западная Туркмения | 0,49 | 0,32 | 20 | 1,54 |
Черноморское побережье и западный склон Большого Кавказа до г. Сухуми | 0,62 | 0,58 | 90 | 1,54 |
Побережье Каспийского моря и равнина от г. Махачкалы до г. Баку | 0,51 | 0,43 | 60 | 1,82 |
Восточный склон Большого Кавказа, Кура-Араксинская низменность до 500 м | 0,58 | 0,47 | 70 | 1,82 |
Южный склон Большого Кавказа выше 1500 м, южный склон выше 500 м, Дагестан | 0,57 | 0,52 | 100 | 1,54 |
Побережье Черного моря ниже г. Сухуми, Колхидская низменность, склоны Кавказа до 2000 м | 0,54 | 0,5 | 90 | 1,33 |
Бассейн р. Куры, восточная часть Малого Кавказа, Талышский хребет | 0,63 | 0,52 | 90 | 1,33 |
Северо-западная и центральная часть Армении | 0,67 | 0,53 | 100 | 1,33 |
Ленкорань | 0,44 | 0,38 | 171 | 2,2 |
СРЕДНЯЯ ПРОДОЛЖИТЕЛЬНОСТЬ ДОЖДЕЙ В ДЕНЬ С ОСАДКАМИ
[9]
Территория | Средняя продолжительность дождей в день с осадками | Территория | Средняя продолжительность дождей в день с осадками |
Европейская часть | Сочи | 7 |
Архангельск | 9 | Тбилиси | 8 |
Астрахань | 4 | Средняя Азия и Казахстан |
Бисер | 8 | Алма-Ата | 6 |
Брянск | 6 | Андижан | 6 |
Бугульма | 8 | Аральское море | 4 |
Вильнюс | 6 | Ашхабад | 4 |
Витебск | 6 | Оз. Балхаш | 3 |
Волгоград | 5 | Душанбе | 5 |
Днепропетровск | 5 | Караганда | 7 |
Донецк | 5 | Кокчетав | 6 |
Златоуст | 10 | Красноводск | 4 |
Калининград | 6 | Кустанай | 6 |
Кемь | 6 | Ленинабад | 5 |
Киров | 8 | Нарын | 5 |
Кишинев | 5 | Нукус | 3 |
Кола | 8 | Ош | 6 |
Котлас | 10 | Ташкент | 4 |
Кривой Рог | 5 | Термез | 3 |
Самара | 6 | Фергана | 5 |
Курск | 6 | Фрунзе | 6 |
С.-Петербург | 6 | Целиноград | 6 |
Львов | 7 | Западная Сибирь |
Малые Каракумы | 8 | Александровское | 9 |
Минск | 5 | Барнаул | 6 |
Москва | 6 | Новосибирск | 7 |
Нарьян-Мар | 8 | Омск | 6 |
Оренбург | 6 | Салехард | 9 |
Пермь | 9 | Томск | 8 |
Псков | 6 | Тюмень | 7 |
Ржев | 6 | Усть-Алаган | 4 |
Рига | 6 | Чемал | 5 |
Ростов-на-Дону | 4 | Восточная Сибирь |
Свердловск | 8 | Алдан | 9 |
Симферополь | 4 | Анадырь | 8 |
Сыктывкар | 10 | Баргузин | 6 |
Тамбов | 6 | Баунт | 5 |
Таллин | 6 | Братск | 6 |
Ужгород | 5 | Верхоянск | 6 |
Хибины | 9 | Дудинка | 10 |
Чернигов | 6 | Ербогачен | 6 |
Ялта | 4 | Зима | 5 |
Кавказ | Красноармейский прииск | 13 |
Адлер | 7 | Красноярск | 7 |
Батуми | 9 | Минусинск | 4 |
Гагра | 8 | Могоча | 6 |
Грозный | 8 | Нерчинский завод | 4 |
Закаталы | 9 | Нижнеангарск | 6 |
Ленинакан | 4 | Оленек | 8 |
Ленкорань | 9 | Томмот | 6 |
Маштаги | 5 | Туруханск | 13 |
Орджоникидзе | 8 | Улан-Удэ | 5 |
Сковородино | 6 | Уэлен | 7 |
Среднеколымск | 9 | | |
О. Таймыр | 7 | | |
Бухта Тикси | 7 | | |
ПОСТРОЕНИЯ ГРАФИКА ФУНКЦИИ РАСПРЕДЕЛЕНИЯ ВЕРОЯТНОСТИ
СУТОЧНЫХ СЛОЕВ ДОЖДЯ И ПРИМЕР РАСЧЕТА СУТОЧНОГО СЛОЯ ДОЖДЯ
С ЗАДАННЫМ ПЕРИОДОМ ОДНОКРАТНОГО ПРЕВЫШЕНИЯ P < 1 ГОДА
Требуется определить суточные слои жидких атмосферных осадков

на территории г. Москвы с периодами однократного превышения расчетной интенсивности дождя

и

года. В качестве исходных данных используются сведения об атмосферных осадках в Москве, зафиксированные метеостанцией N 203 в районе Сельскохозяйственной академии и приведенные в табл. 8 Справочника по климату СССР
[3]. Исходные данные для расчета приведены в
табл. 1.
Для Московского региона положительные среднемесячные температуры воздуха наблюдаются в период с апреля по октябрь. Из данных
табл. 1 следует, что за указанный период в г. Москве в среднем выпадает 100,2 дождя со слоем осадков >= 0,1 мм.
В табл. 2 представлены распределение среднего количества дождей с различными слоями осадков (
графы 1 и 2) за период апрель - октябрь и методика определения координат точек функции распределения вероятности (ФРВ) величины суточного слоя дождя B (графы 3 - 6). Величина B означает вероятность того, что суточный слой осадков будет меньше (не превысит) заданного расчетного значения

.
График функции распределения вероятности показан на рисунке. Для его построения использовались данные
граф 5 и 6 табл. 2.
Вероятность суточного слоя жидких осадков B, %, связана с периодом однократного превышения расчетной интенсивности дождя P, годы, зависимостью:
Для

вероятность суточного слоя жидких осадков

составит:
Для

вероятность суточного слоя жидких осадков

составит:
Для

вероятность суточного слоя жидких осадков

составит:
Месяц | Осадки, мм |
>= 0,1 | >= 0,5 | >= 1 | >= 5 | >= 10 | >= 20 | >= 30 |
I | 18,5 | 11 | 7,6 | 1,1 | 0,8 | 0 | 0 |
II | 15,6 | 10,1 | 7,1 | 1 | 0,1 | 0 | 0 |
III | 14,6 | 10,1 | 7,4 | 1,4 | 0,4 | 0 | 0 |
IV | 12,5 | 9 | 7,2 | 2,1 | 0,6 | 0,04 | 0 |
V | 12,5 | 10 | 8,4 | 3,4 | 1,4 | 0,2 | 0,05 |
VI | 14 | 11,4 | 9,6 | 4,4 | 2 | 0,5 | 0,1 |
VII | 14,8 | 12,2 | 10,7 | 4,7 | 2,4 | 0,7 | 0,2 |
VIII | 15 | 11,7 | 10,2 | 4,5 | 2,2 | 0,7 | 0,1 |
IX | 15,7 | 11,7 | 9,7 | 3,8 | 1,5 | 0,3 | 0,1 |
X | 15,7 | 11,3 | 9,4 | 3,2 | 1,1 | 0,2 | 0,05 |
XI | 16,7 | 11,7 | 8,9 | 2,1 | 0,6 | 0,03 | 0 |
XII | 18,8 | 11,9 | 8,6 | 1,6 | 0,2 | 0 | 0 |
Год | 184,4 | 132,1 | 104,8 | 33,3 | 13,3 | 2,7 | 0,6 |
Таблица 2
Суточный слой осадков  , мм | Число дней  с суточным слоем осадков  | Число дней  с суточным слоем осадков  | Число дней  с суточным слоем осадков  | Средний суточный слой осадков  мм | Вероятность непревышения  суточного слоя осадков расчетной величины  , % |
| 2 | 3 | 4 | 5 | 6 |
>= 0,1 | 100,2 | 22,9 | 22,85 | 0,3 | 22,85 |
>= 0,5 | 77,3 |
12,1 | 12,07 | 0,75 | 34,92 |
>= 1 | 65,2 |
39,1 | 39,02 | 3 | 73,94 |
>= 5 | 26,1 |
14,9 | 14,87 | 7,5 | 88,81 |
>= 10 | 11,2 |
8,56 | 8,54 | 15 | 97,35 |
>= 20 | 2,64 |
2,04 | 2,03 | 25 | 99,38 |
>= 30 | 0,6 |
График функции распределения вероятности суточных слоев
осадков, выпадающих в виде дождя, для Москвы
Далее по графику ФРВ определяют величину суточных слоев жидких атмосферных осадков

с периодом однократного превышения

года (вероятность суточного слоя жидких осадков

), равную

мм; затем величину суточного слоя жидких осадков

с периодом однократного превышения

года (вероятность суточного слоя жидких осадков

), равную

мм и величину суточного слоя жидких осадков с периодом однократного превышения

года (вероятность суточного слоя жидких осадков

), равную

мм.
РАСЧЕТА СУТОЧНОГО СЛОЯ ОСАДКОВ С ЗАДАННОЙ
ВЕРОЯТНОСТЬЮ ПРЕВЫШЕНИЯ
Суточные слои жидких атмосферных осадков

заданной вероятности превышения

рекомендуется определять по кривым обеспеченности (распределения вероятностей превышения)

, которые строятся по данным метеостанций (ближайших к объекту канализования) с длительным периодом наблюдения (не менее 25 лет) или по объединенному ряду годовых максимумов суточных осадков на нескольких соседних метеостанциях, что обеспечивает устойчивость и надежность кривой распределения вероятностей превышения [
4;
6].
Аналитическая кривая обеспеченности характеризуется тремя стандартными статистическими параметрами
[4]:
средним значением:

;
коэффициентом вариации:

;
коэффициентом асимметрии:

,
где

,

, ...,

,

- наблюдавшиеся за n лет наибольшие суточные слои осадков.
Для аналитического выражения кривых обеспеченности суточных осадков применяется логарифмически нормальная кривая обеспеченности, если

, и бинормальная кривая, если

.
Предлагаемая методика расчета суточных слоев осадков подробно изложена М.И. Алексеевым и А.М. Кургановым в специальной литературе [
4;
6]. При отсутствии длительных рядов наблюдений за количеством осадков для конкретных территорий при выполнении расчетов допускается пользоваться обработанными статистическими данными УГМС. Значения величин H,

и

, для различных климатических районов Российской Федерации и стран СНГ приведены в справочной и технической литературе [
4;
6;
7].
Пример расчета суточного слоя осадков

различной обеспеченности (вероятности превышения) для г. Москвы
Суточные слои осадков

различной обеспеченности вычисляются по формуле (1), приведенной в справочнике А.М. Курганова
[6]:
где Ф - нормированные отклонения от среднего значения при разных значениях обеспеченности

, %, и коэффициента асимметрии

;

- коэффициент вариации суточных осадков.
Параметры приведенной формулы (H, Ф,

и

) определяются по таблицам, приведенным в литературе [
4;
6;
7].
По табл. 6 справочного пособия
[6] или приложения 7 книги
[7] находим, что для Москвы:
Для определения нормированного отклонения от среднего значения ординат Ф используется логарифмически нормальная кривая обеспеченности, так как для Москвы коэффициент асимметрии кривой обеспеченности

.
По таблице приложения 3 книги
[7] (или по таблице приложения 2 книги
[4]) при коэффициенте асимметрии

находят значения Ф при разных значениях обеспеченности p, %. Затем по
формуле (1) выполняют расчет суточных слоев осадков различной обеспеченности за теплый период года, которые заносятся в таблицу.
Поскольку при расчетах систем водоотведения для выражения вероятности события обычно пользуются периодом однократного превышения расчетной интенсивности дождя P, годы, в таблице для наглядности приведены результаты пересчета вероятности ежегодного превышения

в период однократного превышения P, которые связаны между собой законом распределения независимых событий Пуассона:
Период однократного превышения P, лет | Обеспеченность  , % | Нормированное отклонение от среднего значения Ф | Суточный слой жидких атмосферных осадков  , мм |
50 | 1,95 | - | - |
20 | 4,9 | 1,88 | 56,36 |
10 | 9,5 | 1,22 | 48,19 |
5 | 18 | - | - |
3 | 28 | 0,38 | 37,87 |
2 | 39 | -0,03 | 32,83 |
1 | 63 | -0,48 | 27,3 |
0,5 | 86 | -0,865 | 22,57 |
0,33 | 95 | -1,04 | 20,4 |
0,22 | 99 | -1,195 | 18,5 |
Таким образом, для промышленных предприятий второй группы максимальный слой осадков за дождь, сток от которого должен отводиться на очистные сооружения в полном объеме, следует принимать равным 27,3 мм при расчете сети дождевой канализации на период однократного превышения расчетной интенсивности дождя 1 год. Это примерно в 2,2 раза меньше наблюдаемого суточного максимума осадков в Москве, равного 61 мм
[2], который ранее рекомендовалось использовать при расчете очистных сооружений поверхностного стока с территории предприятий второй группы.
РЕГУЛИРОВАНИЯ ПОВЕРХНОСТНОГО СТОКА И МЕТОДИКА РАСЧЕТА
РАСХОДА СТОЧНЫХ ВОД, ОТВОДИМЫХ НА ОЧИСТКУ И В ВОДНЫЕ ОБЪЕКТЫ
1. Схема регулирования расхода дождевых сточных вод по объему (схема регулирования 1) приведена на рис. 1.
Рис. 1. Принципиальная схема регулирования дождевого стока
перед очистными сооружениями и схематический расчетный
гидрограф дождевого стока
1 - самотечный коллектор дождевой канализации;
2 - аккумулирующий (регулирующий) резервуар; 3 - трубопровод
отведения стока на сооружения глубокой очистки;
4 - сооружения глубокой очистки; 5 - трубопровод отведения
очищенного стока в водный объект или систему
производственного водоснабжения; 6 - камера разделения стока
по объему; 7 - сброс избыточного поверхностного стока
в водный объект;

- часть объема дождя, поступающего
в аккумулирующий резервуар для последующей очистки;

- часть объема дождя, отводимого в водный объект
без очистки
Максимальный расход стоков

, л/с, отводимых в водный объект без очистки по первой схеме регулирования, рассчитывается по формуле:
где

- максимальный избыточный расход стока от расчетного дождя, зарегулированного по объему и сбрасываемого в водный объект, минуя очистные сооружения, л/с;

- расход дождевых вод в расчетном участке главного коллектора дождевой канализации, л/с;
n - параметр, характеризующий интенсивность и продолжительность дождя для конкретной местности;

- момент времени начала перелива избыточного объема дождевого стока от расчетного дождя из аккумулирующего резервуара (разделительной камеры), мин.;

- расчетная продолжительность протекания дождевых вод по поверхности и трубам до расчетного участка, мин.
Момент времени

, при котором начинается перелив избыточного объема дождевого стока из разделительной камеры 6, определяется как момент времени, при котором объем дождевых стоков

, поступивших в аккумулирующий резервуар, равен объему дождевого стока от расчетного дождя, отводимого на очистные сооружения

:
где

- объем стока от расчетного дождя, поступившего в аккумулирующий резервуар из расчетного участка главного коллектора с момента начала дождя, м
3;

- объем дождевого стока от расчетного дождя, отводимого на очистные сооружения, м
3.
Величина

рассчитывается из равенства:
2. Схема регулирования расхода дождевых сточных вод по расходу и объему (схема регулирования 2) приведена на рис. 2.
Рис. 2. Принципиальная схема разделения дождевого стока
перед очистными сооружениями и схематический расчетный
гидрограф дождевого стока
1 - 7 - см.
рис. 1; 8 - камера разделения стока по расходу;
9 - коллектор зарегулированного стока;

- часть объема
дождя, поступающего в аккумулирующий резервуар
для последующей очистки;

- часть объема дождя,
отводимого в водный объект без очистки
Максимальный расход стоков

, направляемых в аккумулирующий резервуар для последующей очистки, рассчитывается по формулам
раздела 5.3 настоящих рекомендаций, принимая величину периода однократного превышения расчетной интенсивности дождя P равной 0,05 - 0,1.
Максимальный расход стоков

, отводимых в водный объект без очистки из разделительной камеры 8, рассчитывается по формуле:
где

- максимальный расход стока от расчетного дождя, зарегулированного по расходу (
схема регулирования 2) и направляемого самотеком непосредственно в аккумулирующий резервуар или на насосную станцию с последующей перекачкой в аккумулирующий резервуар, л/с;

- максимальный избыточный расход стока от расчетного дождя, зарегулированного по расходу (
схема регулирования 2) и сбрасываемого в водный объект, минуя очистные сооружения, л/с.
Максимальный расход стоков

, отводимых в водный объект без очистки из разделительной камеры 6, рассчитывается по
формуле (1) настоящего Приложения. Момент времени

, при котором начинается перелив избыточного объема дождевого стока из разделительной камеры 6, определяется как момент времени, при котором объем дождевых стоков, поступивших в аккумулирующий резервуар из разделительной камеры 8, равен объему очищаемых стоков от расчетного дождя

.
Расчет величины

производится по формулам:
где

- момент времени начала сброса избыточного расхода дождевого стока от расчетного дождя из разделительной камеры при регулировании по расходу, мин.;

- момент времени окончания сброса избыточного расхода дождевого стока от расчетного дождя из разделительной камеры при регулировании по расходу, мин.
РАСЧЕТА ПРОИЗВОДИТЕЛЬНОСТИ НАСОСНЫХ СТАНЦИЙ
ДЛЯ ПЕРЕКАЧКИ ПОВЕРХНОСТНОГО СТОКА
1. Схема перекачки полного объема дождевого стока без сброса части неочищенных сточных вод (схема 1) приведена на рис. 1.
Рис. 1. Схема перекачки полного объема незарегулированного
дождевого стока
1 - 5 - см.
рис. 1, п. 7.2.4; 10 - насосная станция;
11 - напорный трубопровод перекачки стока в аккумулирующий
резервуар;

- часть объема дождя, поступающего
в аккумулирующий резервуар для последующей очистки;

- рабочий объем резервуара насосной станции
Рабочий объем резервуара насосной станции

при максимальной производительности насосов

рассчитывается по формулам:
где

- рабочий объем резервуара насосной станции, м
3;

- максимальная производительность насосной станции, л/с;

- момент времени, при котором расход дождевого стока, поступающего в насосную станцию, начинает превышать ее максимальную производительность, мин.;

- момент времени, при котором расход дождевого стока, поступающего в насосную станцию, перестает превышать ее максимальную производительность, мин.
2. Схема перекачки дождевого стока с регулированием количества очищаемых сточных вод по объему (схема 2) приведена на рис. 2.
Рис. 2. Схема перекачки избыточной части зарегулированного
по объему дождевого стока
1 - 5, 10, 11 - см.
рис. 1; 12 - напорный трубопровод
перекачки избыточного стока;

- часть объема дождя,
поступающего в аккумулирующий резервуар для последующей
очистки;

- часть объема дождя, отводимого в водный объект
без очистки;

- рабочий объем резервуара насосной станции
Рабочий объем резервуара насосной станции

при максимальной производительности насосов

определяется по
формулам (1) - (3).
Момент времени

, при котором насосная станция переключается в режим перекачки избыточного объема дождевого стока на сброс, минуя аккумулирующий резервуар, определяется как момент времени, при котором объем перекачанных в аккумулирующий резервуар дождевых стоков

равен объему стока от расчетного дождя

, отводимого на очистные сооружения. Расчет величины

производится по
формуле (3) Приложения 7.
3. Схема перекачки зарегулированного по расходу дождевого стока (схема 3) приведена на рис. 3.
Рис. 3. Схема перекачки очищаемой части зарегулированного
по расходу дождевого стока
1 - 5, 10, 11 - см.
рис. 1; 6 - камера разделения стока
по объему; 7 - сброс избыточного поверхностного стока
в водный объект; 8 - камера разделения стока по расходу;
9 - коллектор зарегулированного стока;

- часть объема
дождя, поступающего в аккумулирующий резервуар
для последующей очистки;

- рабочий объем резервуар
насосной станции;

- часть объема дождя, отводимого
в водный объект без очистки
Рабочий объем резервуара насосной станции

при максимальной производительности насосов

:
4. Схема перекачки избыточного объема дождевого стока с регулированием количества очищаемых сточных вод по объему (схема 4) приведена на рис. 4.
Рис. 4. Схема перекачки избыточной части зарегулированного
по объему дождевого стока
1 - 7, 10 - см.
рис. 1; 12 - напорный трубопровод перекачки
избыточного стока;

- часть объема дождя, поступающего
в аккумулирующий резервуар для последующей очистки;

- рабочий объем резервуара насосной станции;

- часть объема дождя, отводимого
в водный объект без очистки
Рабочий объем резервуара насосной станции

при максимальной производительности насосов

:
Значение

определяется по
формуле (3). Для определения момента времени

, при котором избыточный сток начинает поступать из аккумулирующего резервуара в приемный резервуар насосной станции, используется
формула (3) Приложения 7.
5. Схема перекачки избыточного объема дождевого стока с регулированием количества очищаемых сточных вод по расходу (схема 5) приведена на рис. 5.
Рис. 5. Схема перекачки избыточной части зарегулированного
по расходу дождевого стока

- часть объема дождя, поступающего в аккумулирующий
резервуар для последующей очистки;

- рабочий объем
резервуара насосной станции;

- часть объема дождя,
отводимого в водный объект без очистки
Рабочий объем резервуара насосной станции

при максимальной производительности насосов

:
Максимальная производительность насосной станции: