Главная // Актуальные документы // Государственная фармакопеяСПРАВКА
Источник публикации
Документ опубликован не был
Примечание к документу
Текст документа приведен в соответствии с публикацией на сайте https://minzdrav.gov.ru/ по состоянию на 22.08.2023.
В соответствии с
Приказом Минздрава России от 20.07.2023 N 377 данный документ введен в действие с 01.09.2023.
Название документа
"ФС.2.1.0165. Фармакопейная статья. Преднизолона натрия фосфат. Преднизолон"
(утв. и введена в действие Приказом Минздрава России от 20.07.2023 N 377)
("Государственная фармакопея Российской Федерации. XV издание")
"ФС.2.1.0165. Фармакопейная статья. Преднизолона натрия фосфат. Преднизолон"
(утв. и введена в действие Приказом Минздрава России от 20.07.2023 N 377)
("Государственная фармакопея Российской Федерации. XV издание")
МИНИСТЕРСТВО ЗДРАВООХРАНЕНИЯ РОССИЙСКОЙ ФЕДЕРАЦИИ
ФАРМАКОПЕЙНАЯ СТАТЬЯ
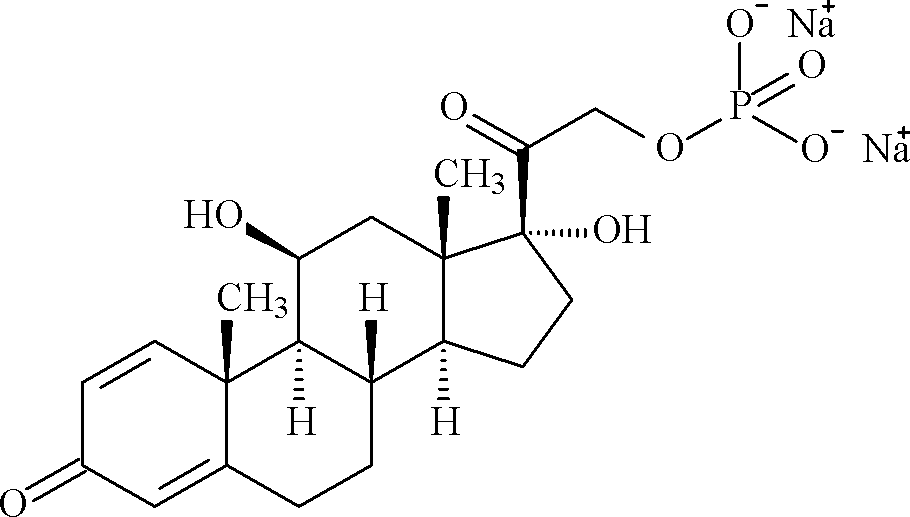
Преднизолона натрия фосфат | ФС.2.1.0165 |
Преднизолон | |
Prednisoloni natrii phosphas | |
|
C21H27Na2O8P [125-02-0] | М.м. 484,39 |
ОПРЕДЕЛЕНИЕ
(11

,17-Дигидрокси-3,20-диоксопрегна-1,4-диен-21-ил)фосфат динатрия.
Содержит не менее 96,0% и не более 103,0% преднизолона натрия фосфата C21H27Na2O8P в пересчете на безводное и свободное от остаточных органических растворителей вещество.
СВОЙСТВА
Описание. Белый или слегка желтоватый кристаллический порошок.
Растворимость. Легко растворим в воде, растворим в метаноле, очень мало растворим в спирте 96%.
ИДЕНТИФИКАЦИЯ
1. ИК-спектрометрия (ОФС "Спектрометрия в средней инфракрасной области"). Инфракрасный спектр субстанции в области от 4000 до 400 см-1 по положению полос поглощения должен соответствовать спектру фармакопейного стандартного образца преднизолона натрия фосфата.
Если спектры различаются, испытуемую субстанцию и фармакопейный стандартный образец преднизолона натрия фосфата по отдельности растворяют в минимальных объемах спирта 96%, выпаривают досуха и записывают спектры сухих остатков.
2. ТСХ (
ОФС "Тонкослойная хроматография").
Пластинка. ТСХ пластинка со слоем силикагеля F254.
Подвижная фаза (ПФ). Уксусная кислота ледяная - вода - бутанол 20:20:60.
Испытуемый раствор. В мерную колбу вместимостью 10 мл помещают 10 мг субстанции, растворяют в метаноле и доводят объем раствора тем же растворителем до метки.
Раствор стандартного образца преднизолона натрия фосфата. В мерную колбу вместимостью 10 мл помещают 10 мг фармакопейного стандартного образца преднизолона натрия фосфата, растворяют в метаноле и доводят объем раствора тем же растворителем до метки.
Раствор для проверки разделительной способности хроматографической системы. В мерную колбу вместимостью 10 мл помещают 10 мг фармакопейного стандартного образца дексаметазона натрия фосфата, растворяют в метаноле и доводят объем раствора тем же растворителем до метки. В мерную колбу вместимостью 10 мл помещают 5 мл полученного раствора и доводят объем раствора раствором стандартного образца преднизолона натрия фосфата до метки.
Реактив для детектирования. Серной кислоты раствор спиртовой 36,6%.
На линию старта пластинки наносят по 5 мкл испытуемого раствора, раствора стандартного образца преднизолона натрия фосфата и раствора для проверки разделительной способности хроматографической системы. Пластинку с нанесенными пробами сушат на воздухе, помещают в предварительно насыщенную, в течение 1 ч, камеру с ПФ и хроматографируют восходящим способом. Когда фронт ПФ пройдет около 80 - 90% длины пластинки от линии старта, ее вынимают из камеры, сушат до удаления следов растворителей и просматривают в УФ-свете при 254 нм.
Результат. Основная зона адсорбции на хроматограмме испытуемого раствора по положению и величине должна соответствовать зоне адсорбции преднизолона натрия фосфата на хроматограмме раствора стандартного образца преднизолона натрия фосфата.
Опрыскивают пластинку реактивом для детектирования, нагревают при 120 °C в течение 10 мин или до тех пор, пока не проявятся зоны адсорбции, охлаждают до комнатной температуры и просматривают в видимом свете и в УФ-свете при длине волны 365 нм.
Результат. Основная зона адсорбции на хроматограмме испытуемого раствора по положению, величине и окраске в видимом свете и цвету флуоресценции в УФ-свете при 365 нм должна соответствовать зоне адсорбции преднизолона натрия фосфата на хроматограмме раствора стандартного образца преднизолона натрия фосфата.
Пригодность хроматографической системы. На хроматограмме раствора для проверки разделительной способности хроматографической системы должны обнаруживаться 2 зоны адсорбции, которые могут быть разделены не до конца.
3. Качественная реакция. Прибавляют 2 мг субстанции к 2 мл серной кислоты концентрированной, встряхивают до растворения и оставляют на 5 мин; должно появиться красное окрашивание, при наблюдении в ультрафиолетовом свете при 365 нм должна быть видна красно-коричневая флуоресценция. К полученному раствору осторожно прибавляют 10 мл воды; окраска должна побледнеть или исчезнуть, при наблюдении в ультрафиолетовом свете при 365 нм должна быть видна желтая или зеленовато-желтая флуоресценция и должен образоваться серый хлопьевидный осадок или наблюдаться помутнение раствора.
4. Качественная реакция. К 40 мг субстанции прибавляют 2 мл серной кислоты концентрированной и осторожно нагревают до выделения белых паров, прибавляют по каплям азотную кислоту концентрированную, продолжают нагревание до почти полного обесцвечивания раствора и охлаждают. Прибавляют 2 мл воды, нагревают до повторного выделения белых паров, охлаждают, прибавляют 10 мл воды и нейтрализуют по лакмусовой бумаге красной аммиака раствором 10%. Полученный раствор должен давать характерные реакцию А на натрий и реакцию Б на фосфаты (
ОФС "Общие реакции на подлинность").
ИСПЫТАНИЯ
Удельное вращение. От +94 до +100 в пересчете на безводное вещество (1% раствор субстанции в воде,
ОФС "Оптическое вращение").
Прозрачность раствора. Раствор 1 г субстанции в 20 мл воды, свободной от углерода диоксида, должен быть прозрачным (
ОФС "Прозрачность и степень опалесценции (мутности) жидкостей").
Цветность раствора. Раствор, полученный в
испытании "Прозрачность раствора", должен выдерживать сравнение с эталоном B
7 (ОФС "Степень окраски жидкостей",
метод 2).
pH раствора. От 7,5 до 9,0 (раствор, полученный в
испытании "Прозрачность раствора", ОФС "Ионометрия",
метод 3).
Родственные примеси. Определение проводят методом ВЭЖХ (
ОФС "Высокоэффективная жидкостная хроматография").
Подвижная фаза (ПФ). В химический стакан вместимостью 1000 мл помещают 5,440 г калия дигидрофосфата и 2,400 г гексиламина и оставляют на 10 мин. Прибавляют 740 мл воды и 260 мл ацетонитрила, перемешивают и фильтруют через фильтр с размером пор 0,45 мкм.
Испытуемый раствор. В мерную колбу вместимостью 25 мл помещают 62,5 мг (точная навеска) субстанции, растворяют в ПФ и доводят объем раствора ПФ до метки.
Раствор сравнения. В мерную колбу вместимостью 50 мл помещают 1,0 мл испытуемого раствора и доводят объем раствора ПФ до метки.
Раствор для проверки разделительной способности хроматографической системы. В мерную колбу вместимостью 25 мл помещают 25,0 мг фармакопейного стандартного образца преднизолона натрия фосфата и 25,0 мг фармакопейного стандартного образца преднизолона, растворяют в ПФ и доводят объем раствора ПФ до метки. В мерную колбу вместимостью 25 мл помещают 1,0 мл полученного раствора и доводят объем раствора ПФ до метки.
Хроматографические условия
Колонка | 150 x 4,6 мм, силикагель октадецилсилильный для хроматографии, 5 мкм; |
Температура колонки | 25 °C; |
Скорость потока | 1,0 мл/мин; |
Детектор | спектрофотометрический, 254 нм; |
Объем пробы | 20 мкл; |
Время хроматографирования | 3-кратное от времени удерживания пика преднизолона натрия фосфата. |
Уравновешивают колонку ПФ в течение не менее 30 мин.
Хроматографируют раствор для проверки разделительной способности хроматографической системы, раствор сравнения и испытуемый раствор.
Относительное время удерживания соединений. Преднизолона натрия фосфат - 1 (около 6,5 мин); преднизолон - около 1,3.
Пригодность хроматографической системы. На хроматограмме раствора для проверки разделительной способности хроматографической системы разрешение (RS) между пиками преднизолона натрия фосфата и преднизолона должно быть не менее 4,5. При необходимости увеличивают концентрацию ацетонитрила или воды в ПФ.
Допустимое содержание примесей. На хроматограмме испытуемого раствора:
- площадь пика любой примеси не должна превышать площадь пика преднизолона натрия фосфата на хроматограмме раствора сравнения (не более 2,0%), и площадь только одного такого пика может превышать 0,5 площади пика преднизолона натрия фосфата на хроматограмме раствора сравнения (1,0%);
- сумма площадей пиков всех примесей не должна более чем в 1,5 раза превышать площадь пика преднизолона натрия фосфата на хроматограмме раствора сравнения (не более 3,0%).
Не учитывают пики, площадь которых менее 0,025 площади пика преднизолона натрия фосфата на хроматограмме раствора сравнения (менее 0,05%).
Вода. Не более 8,0% (ОФС "Определение воды",
метод 1). Для определения используют 0,2 г (точная навеска) субстанции.
Неорганические фосфаты. Не более 1,0%. В мерную колбу вместимостью 100 мл помещают 50 мг субстанции, растворяют в воде и доводят водой до метки. К 10 мл полученного раствора прибавляют 5 мл молибденованадиевого реактива, перемешивают и выдерживают в течение 5 мин. Появляющееся желтое окрашивание не должно превышать окрашивание эталонного раствора, приготовленного таким же образом с использованием 10 мл стандартного раствора 5 мкг/мл фосфат-иона.
Тяжелые металлы. Не более 0,002%. Определение проводят в соответствии с ОФС "Тяжелые металлы"
(метод 3Б), в зольном остатке, полученном после сжигания 1 г субстанции с использованием эталонного раствора 2.
Остаточные органические растворители. В соответствии с
ОФС "Остаточные органические растворители".
<*> Бактериальные эндотоксины. Не более 1,16 ЕЭ на 1 мг преднизолона (
ОФС "Бактериальные эндотоксины").
--------------------------------
<*> Испытание проводят для субстанции, предназначенной для производства лекарственных препаратов для парентерального применения.
Микробиологическая чистота. В соответствии с
ОФС "Микробиологическая чистота".
КОЛИЧЕСТВЕННОЕ ОПРЕДЕЛЕНИЕ
Определение проводят методом спектрофотометрии (
ОФС "Спектрофотометрия в ультрафиолетовой и видимой областях").
Испытуемый раствор. В мерную колбу вместимостью 100 мл помещают 0,1 г (точная навеска) субстанции, растворяют в воде и доводят объем раствора водой до метки. В мерную колбу вместимостью 250 мл помещают 5,0 мл полученного раствора и доводят объем раствора водой до метки.
Измеряют оптическую плотность испытуемого раствора на спектрофотометре в максимуме поглощения при длине волны 247 нм в кювете с толщиной слоя 1 см, используя в качестве раствора сравнения воду.
Содержание преднизолона натрия фосфата C21H27Na2O8P в субстанции в пересчете на безводное и свободное от остаточных органических растворителей вещество в процентах (X) вычисляют по формуле:
где A - оптическая плотность испытуемого раствора;
a - навеска субстанции, г;
312 - удельный показатель поглощения преднизолона натрия фосфата

;
W - суммарное содержание воды и остаточных органических растворителей в субстанции, %.
ХРАНЕНИЕ
В защищенном от света месте.