Главная // Актуальные документы // Государственная фармакопеяСПРАВКА
Источник публикации
Документ опубликован не был
Примечание к документу
Текст документа приведен в соответствии с публикацией на сайте https://minzdrav.gov.ru/ по состоянию на 22.08.2023.
В соответствии с
Приказом Минздрава России от 20.07.2023 N 377 данный документ введен в действие с 01.09.2023.
Название документа
"ФС.2.1.0037. Фармакопейная статья. Стрептомицина сульфат. Стрептомицин"
(утв. и введена в действие Приказом Минздрава России от 20.07.2023 N 377)
("Государственная фармакопея Российской Федерации. XV издание")
"ФС.2.1.0037. Фармакопейная статья. Стрептомицина сульфат. Стрептомицин"
(утв. и введена в действие Приказом Минздрава России от 20.07.2023 N 377)
("Государственная фармакопея Российской Федерации. XV издание")
МИНИСТЕРСТВО ЗДРАВООХРАНЕНИЯ РОССИЙСКОЙ ФЕДЕРАЦИИ
ФАРМАКОПЕЙНАЯ СТАТЬЯ
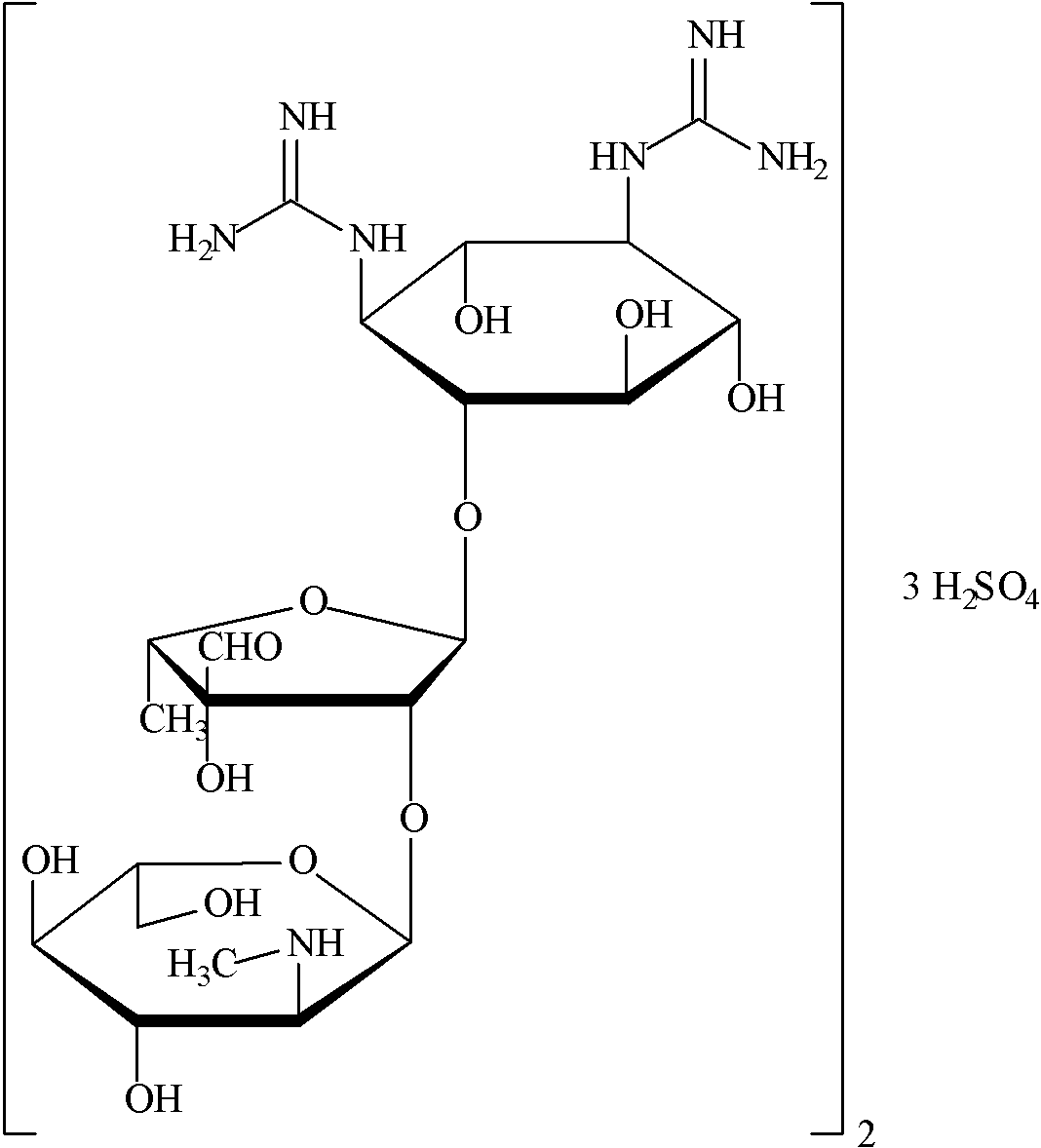
Стрептомицина сульфат Стрептомицин Streptomycini sulfas | ФС.2.1.0037 |
|
(C21H39N7O12)2·3H2SO4 [3810-74-0] | М.м. 1457,38 |
N,
N'-Бис(аминоиминометил)-[
O-2-дезокси-2-(метиламино)-

-L-глюкопиранозил-(1

2)-
O-5-дезокси-3-
C-формил-

-L-ликсофуранозил-(1

4)-D-стрептамина сульфат (2:3).
Стрептомицин образуется несколькими штаммами Streptomyces griseus. 1 мкг химически чистого стрептомицина основания соответствует специфической активности, равной одной единице действия (ЕД).
Содержит не менее 730 мкг/мг активного вещества в пересчете на сухое вещество.
Описание. Белый или почти белый порошок.
<*> Гигроскопичен.
--------------------------------
<*> Приводится для информации.
Растворимость. Очень легко растворим в воде, практически нерастворим в спирте 96%.
1. ТСХ (
ОФС "Тонкослойная хроматография").
Пластинка. ТСХ пластинка с 0,75 мм слоем следующего состава: смешивают 0,3 г карбомера с 240 мл воды, выдерживают при умеренном встряхивании в течение 1 ч и доводят pH раствора натрия гидроксида раствором 8,5% до 7, прибавляют 30 г силикагеля H.
Предварительная подготовка пластинки. Пластинку выдерживают при температуре 110 °C в течение 1 ч и охлаждают. Подготовку пластинки проводят непосредственно перед использованием.
Подвижная фаза (ПФ). Калия дигидрофосфата раствор 0,5 М.
Испытуемый раствор. В колбу вместимостью 10 мл помещают 10 мг субстанции растворяют в воде и доводят объем раствора водой до метки.
Раствор сравнения. В колбу вместимостью 10 мл помещают 10 мг фармакопейного стандартного образца стрептомицина сульфата, растворяют в воде и доводят объем раствора водой до метки.
Раствор для проверки пригодности хроматографической системы. В колбу вместимостью 10 мл помещают 10 мг фармакопейного стандартного образца стрептомицина сульфата, 10 мг фармакопейного стандартного образца канамицина моносульфата и 10 мг фармакопейного стандартного образца неомицина сульфата, растворяют в воде и доводят объем раствора водой до метки.
Реактив для детектирования. 1,3-дигидроксинафталина в растворе серной кислоты. Смешивают равные объемы 1,3-дигидроксинафталина раствора 0,2% и серной кислоты раствора 50%.
На линию старта пластинки наносят по 10 мкл испытуемого раствора, 10 мкл раствора сравнения и 10 мкл раствора для проверки пригодности хроматографической системы. Пластинку с нанесенными пробами сушат на воздухе, помещают в камеру с ПФ и хроматографируют восходящим способом. Когда фронт ПФ пройдет около 80 - 90% длины пластинки от линии старта, ее вынимают из камеры, сушат в токе холодного воздуха до удаления следов растворителей, опрыскивают реактивом для детектирования и выдерживают при температуре 150 °C в течение 5 - 10 мин. Пластинку охлаждают и просматривают в видимом свете.
Пригодность хроматографической системы. На хроматограмме раствора для проверки пригодности хроматографической системы должны обнаруживаться 3 разделенные зоны адсорбции.
Результат. Основная зона адсорбции на хроматограмме испытуемого раствора по положению, величине и окраске должна соответствовать зоне адсорбции фармакопейного стандартного образца стрептомицина сульфата на хроматограмме раствора сравнения.
2. Качественная реакция. Растворяют 8 мг субстанции в 4 мл воды и прибавляют 1 мл натрия гидроксида раствора 1 М. Нагревают на водяной бане в течение 4 мин. Полученный раствор нейтрализуют хлористоводородной кислоты раствором 2 М и прибавляют 0,1 мл железа(III) хлорида раствора 1%. Должно появиться фиолетовое окрашивание.
3. Качественная реакция. Растворяют 0,1 г субстанции в 2 мл воды, прибавляют 1 мл

раствора 0,1% и 2 мл смеси равных объемов натрия гипохлорита раствора концентрированного и воды; должно появиться красное окрашивание.
4. Качественная реакция. Растворяют 10 мг субстанции в 5 мл воды и прибавляют 1 мл хлористоводородной кислоты раствора 1 М. Нагревают на водяной бане в течение 2 мин. Прибавляют 2 мл

раствора 0,5% в натрия гидроксида растворе 1 М. Нагревают на водяной бане в течение 1 мин. Должно появиться светло-желтое окрашивание.
5. Качественная реакция. Субстанция должна давать характерную реакцию на сульфаты (
ОФС "Общие реакции на подлинность").
Удельный показатель поглощения. Величина оптической плотности испытуемого раствора должна составлять не менее 90,0% от величины оптической плотности раствора стандартного образца (
ОФС "Спектрофотометрия в ультрафиолетовой и видимой областях").
Испытуемый раствор. Субстанцию сушат в вакуум-сушильном шкафу при температуре 60 °C и остаточном давлении, не превышающем 0,7 кПа (5 мм рт. ст.), в течение 3 ч. В мерную колбу объемом 100 мл помещают 0,1 г высушенной субстанции растворяют в воде и доводят объем раствора водой до метки.
Раствор стандартного образца. В мерную колбу объемом 100 мл помещают 0,1 г фармакопейного стандартного образца стрептомицина сульфата, высушенного, как указано для испытуемого раствора, растворяют в воде и доводят объем раствора водой до метки.
Раствор сравнения. К 5 мл воды прибавляют 5 мл 0,2 М раствора натрия гидроксида и нагревают на кипящей водяной бане в течение 10 мин. Затем колбу помещают на 5 мин в баню со льдом, прибавляют 3 мл 1,5% раствора железа(III) хлорида в 0,5 М растворе серной кислоты и доводят объем раствора водой до метки.
Железа(III) хлорида раствор 1,5% в серной кислоты растворе 0,5 М
В мерную колбу объемом 1000 мл помещают 15 г железа(III) хлорида, растворяют в 250 мл серной кислоты растворе 0,5 М и доводят объем раствора водой до метки.
В мерные колбы вместимостью по 25 мл помещают по 5,0 мл испытуемого и стандартного растворов. В каждую колбу прибавляют по 5,0 мл натрия гидроксида раствора 0,2 М и нагревают на кипящей водяной бане в течение 10 мин. Затем колбы помещают на 5 мин в баню со льдом, прибавляют 3 мл железа(III) хлорида раствор 1,5% в серной кислоты растворе 0,5 М и доводят объемы растворов водой до метки. Через 20 мин измеряют оптическую плотность испытуемого и стандартного растворов в кювете с толщиной слоя 10 мм в максимуме поглощения при 525 нм относительно раствора сравнения.
Прозрачность раствора. Опалесценция 25% раствора субстанции в воде после выдерживания его в защищенном от света месте при температуре 20 °C в течение 24 ч не должна превышать опалесценцию эталона сравнения II. (
ОФС "Прозрачность и степень опалесценции (мутности) жидкостей").
Цветность раствора. Окраска раствора, полученного в
испытании "Прозрачность раствора", не должна превышать интенсивности наиболее близко подходящего по цвету эталона сравнения 3 (ОФС "Степень окраски жидкостей",
метод 2).
pH. От 4,5 до 7,0 (25% раствор, ОФС "Ионометрия",
метод 3).
Стрептомицин B. Испытание проводят методом ТСХ (
ОФС "Тонкослойная хроматография").
Пластинка. ТСХ пластинка со слоем силикагеля G.
Подвижная фаза (ПФ). Уксусная кислота ледяная - метанол - толуол 1:1:2.
Испытуемый раствор. В колбу для перегонки вместимостью 50 мл помещают 0,2 г субстанции, растворяют, при энергичном перемешивании в 5 мл свежеприготовленной смеси серная кислота концентрированная - метанол 3:97. Содержимое колбы кипятят с обратным холодильником в течение 1 ч, охлаждают, промывают холодильник 10 мл метанола, собирая смывы в колбу с раствором, и доводят объем полученного раствора метанолом до 20 мл.
Раствор сравнения. В колбу для перегонки вместимостью 50 мл помещают 36 мг (точная навеска) D-маннозы, растворяют при энергичном перемешивании в 5 мл свежеприготовленной смеси серная кислота концентрированная - метанол 3:97. Содержимое колбы кипятят с обратным холодильником в течение 1 ч, охлаждают, промывают холодильник 10 мл метанола, переносят количественно полученный раствор в мерную колбу вместимостью 50 мл и доводят объем раствора метанолом до метки. 5,0 мл полученного раствора помещают в мерную колбу вместимостью 50 мл и доводят объем раствора метанолом до метки.
Полученный раствор содержит эквивалент 0,03% раствора стрептомицина B (1 мг D-маннозы соответствует 4,13 мг стрептомицина B).
Раствор для проверки пригодности хроматографической системы. Смешивают по 1 мл испытуемого и стандартного растворов.
Реактив для детектирования: Смешивают равные объемы 1,3-дигидроксинафталина в спирте 96% раствор 0,2% и серной кислоты раствор 20%. Раствор готовится непосредственно перед использованием.
На линию старта пластинки наносят по 10 мкл испытуемого раствора, 10 мкл стандартного раствора и 10 мкл раствора для проверки пригодности хроматографической системы. Пластинку с нанесенными пробами сушат на воздухе, помещают в (предварительно насыщенную парами растворителей в течение не менее 12 ч) камеру с ПФ и хроматографируют восходящим способом. Когда фронт ПФ пройдет около 80 - 90% длины пластинки от линии старта, ее вынимают из камеры, сушат до удаления следов растворителей, опрыскивают реактивом для детектирования и выдерживают при температуре 110 °C в течение 5 мин. Пластинку охлаждают и просматривают в видимом свете.
Пригодность хроматографической системы. На хроматограмме раствора для проверки пригодности хроматографической системы должны обнаруживаться 2 разделенные зоны адсорбции.
Результат. На хроматограмме испытуемого раствора зона адсорбции стрептомицина B по совокупности величины и интенсивности окраски не должна превышать зону адсорбции, полученную на хроматограмме раствора сравнения (не более 3%).
Потеря в массе при высушивании. Не более 7,0%. (ОФС "Потеря в массе при высушивании",
способ 1). Сушат 1 г (точная навеска) субстанции в вакуумном сушильном шкафу при температуре 60 +/- 1 °C и остаточном давлении, не превышающем 0,1 кПа в течение 24 ч.
Метанол. Не более 0,3% (
ОФС "Газовая хроматография").
Испытуемый раствор. В мерную колбу вместимостью 25 мл помещают 1,0 г субстанции, растворяют в воде и доводят объем раствора водой до метки.
Раствор сравнения. В мерную колбу вместимостью 100 мл помещают 12,0 мг метанола и доводят объем раствора до метки.
Хроматографические условия
Колонка | Кварцевая капиллярная 1,75 +/- 0,25 x 3 +/- 1 мм, покрытая слоем сополимера этилвинилбензолдивинилбензола, 150 - 180 мкм; |
Детектор | пламенно-ионизационный; |
Газ-носитель | азот для хроматографии; |
Скорость потока | Газ-носитель | 30 - 40 мл/мин; |
Температура | Колонка | 120 °C - 140 °C, |
Блок ввода проб и детектор | 170 °C - 190 °C. |
Допустимое содержание примесей. На хроматограмме испытуемого раствора площадь пика, соответствующего метанолу не должна превышать площадь пика на хроматограмме раствора сравнения.
Сульфатная зола. Не более 1,0% (
ОФС "Сульфатная зола"). Для определения используют 1 г (точная навеска) субстанции.
Сульфаты. От 18,0 до 21,5% в пересчете на сухое вещество (
ОФС "Сульфаты").
В мерную колбу вместимостью 100 мл помещают 0,25 г (точная навеска) субстанции, растворяют в воде и доводят объем раствора водой до метки. Доводят pH полученного раствора до 11 (потенциометрически) аммиака раствором концентрированным 25%. К полученному раствору прибавляют 10 мл бария хлорида раствора 0,1 М и около 0,5 мг индикатора фталеинового пурпурного. Избыток бария хлорида раствора 0,1 М титруют натрия эдетата раствором 0,1 М до начала изменения окраски, прибавляют 50 мл спирта 96% и продолжают титрование до исчезновения фиолетово-голубого окрашивания раствора.
1 мл бария хлорида раствора 0,1 М соответствует 9,606 мг сульфат-ионов.
Остаточные органические растворители. В соответствии с
ОФС "Остаточные органические растворители".
<**>
Аномальная токсичность. Субстанция должна быть нетоксичной (
ОФС "Аномальная токсичность"). Тест-доза: 1,3 мг стрептомицина в 0,5 мл воды для инъекций на мышь. Срок наблюдения 48 ч.
<**>
Бактериальные эндотоксины. Не более 0,25 ЕЭ на 1 мг стрептомицина (
ОФС "Бактериальные эндотоксины").
<**>
Стерильность. Субстанция должна быть стерильной (
ОФС "Стерильность").
--------------------------------
<**> Испытание проводят для субстанции, предназначенной для производства лекарственных препаратов для парентерального применения.
КОЛИЧЕСТВЕННОЕ ОПРЕДЕЛЕНИЕ
Проводят определение в соответствии с
ОФС "Определение антимикробной активности антибиотиков методом диффузии в агар".
В плотно укупоренной упаковке.