Главная // Актуальные документы // Государственная фармакопеяСПРАВКА
Источник публикации
Документ опубликован не был
Примечание к документу
Текст документа приведен в соответствии с публикацией на сайте https://minzdrav.gov.ru/ по состоянию на 21.08.2023.
В соответствии с
Приказом Минздрава России от 20.07.2023 N 377 данный документ введен в действие с 01.09.2023.
Взамен ФС 42-3754-99.
Название документа
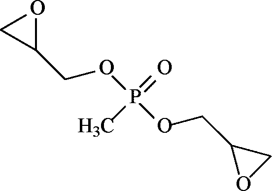
"ФС.2.1.0661. Фармакопейная статья. Диглицидил метилфосфонат"
(утв. и введена в действие Приказом Минздрава России от 20.07.2023 N 377)
("Государственная фармакопея Российской Федерации. XV издание")
"ФС.2.1.0661. Фармакопейная статья. Диглицидил метилфосфонат"
(утв. и введена в действие Приказом Минздрава России от 20.07.2023 N 377)
("Государственная фармакопея Российской Федерации. XV издание")
МИНИСТЕРСТВО ЗДРАВООХРАНЕНИЯ РОССИЙСКОЙ ФЕДЕРАЦИИ
ФАРМАКОПЕЙНАЯ СТАТЬЯ
Диглицидил метилфосфонат | ФС.2.1.0661 |
Диглицидил метилфосфонат | |
Diglycidyli methylphosphonas | Взамен ФС 42-3754-99 |
|
C7H13O5P [77375-34-9] | М.м. 208,15 |
ОПРЕДЕЛЕНИЕ
Бис[(оксиран-2-ил)метил]метилфосфонат.
Содержит не менее 99,0% и не более 100,5% диглицидила метилфосфоната C7H13O5P.
СВОЙСТВА
Описание. Бесцветная или желтоватая жидкость с характерным запахом.
Растворимость. Очень легко растворим в спирте 96%, хлороформе, легко растворим в воде.
ИДЕНТИФИКАЦИЯ
1. ИК-спектрометрия (
ОФС "Спектрометрия в средней инфракрасной области"). Инфракрасный спектр субстанции, снятый в виде жидкой пленки между двумя пластинками калия бромида, в области от 4000 до 400 см
-1 по положению полос поглощения должен соответствовать спектру фармакопейного стандартного образца диглицидила метилфосфоната.
2. Качественная реакция. К 0,2 мл субстанции при нагревании прибавляют 2 мл кальция хлорида раствора 20% и 0,2 мл фенолфталеина раствора 1%; должно появиться красно-фиолетовое окрашивание.
3. Качественная реакция. К 0,1 мл субстанции прибавляют 0,1 г смеси для спекания и озоляют. Зольный остаток вымывают 20 мл воды и фильтруют; к фильтрату прибавляют 10 мл аммония ванадата раствора 0,25%, 10 мл аммония молибдата раствора 10% и 10 мл серной кислоты разведенной 16%; должно появиться желтое окрашивание.
ИСПЫТАНИЯ
Плотность. От 1,270 до 1,290 г/см
3 (ОФС "Плотность",
метод 1).
Показатель преломления. От 1,4610 до 1,4640 (
ОФС "Показатель преломления (индекс рефракции)").
Прозрачность. Субстанция должна быть прозрачной (
ОФС "Прозрачность и степень опалесценции (мутности) жидкостей").
Цветность. Субстанция должна выдерживать сравнение с эталоном Y
5 (ОФС "Степень окраски жидкостей",
метод 2).
pH раствора. От 4,5 до 6,5 (1% раствор субстанции в воде, ОФС "Ионометрия",
метод 3).
Глицидол. Не более 0,5%. Определение проводят методом ГХ (
ОФС "Газовая хроматография"). Растворы используют свежеприготовленными.
Испытуемый раствор. В мерную колбу вместимостью 50 мл помещают 5,0 г (точная навеска) субстанции и 30 мг (точная навеска) пентанола, растворяют в метиленхлориде и доводят объем раствора тем же растворителем до метки.
Стандартный раствор. В мерную колбу вместимостью 50 мл помещают 50 мг (точная навеска) глицидола и 30 мг (точная навеска) пентанола, растворяют в метиленхлориде и доводят объем раствора тем же растворителем до метки.
Хроматографические условия
Колонка | кварцевая капиллярная 50 м x 0,32 мм, покрытая слоем макрогола 20000 2-нитротерефталата, 0,5 мкм; |
Детектор | пламенно-ионизационный; |
Газ-носитель | гелий для хроматографии; |
Деление потока | 1:20; | |
Скорость потока | 1,6 мл/мин; | |
Объем пробы | 0,1 мкл; | |
Температура | Колонка | 120 °C; |
| Инжектор | 150 °C; |
| Детектор | 190 °C; |
Время хроматографирования | 14 мин. | |
Хроматографируют стандартный и испытуемый растворы.
Пригодность хроматографической системы. На хроматограмме стандартного раствора:
- разрешение (RS) между пиками глицидола и пентанола должно быть не менее 1,5.
Поправочный коэффициент (K) вычисляют по формуле:
где S1 - площадь пика пентанола на хроматограмме стандартного раствора;
S0 - площадь пика глицидола на хроматограмме стандартного раствора;
a0 - навеска глицидола, мг;
a1 - навеска пентанола, взятая для приготовления стандартного раствора, мг;
P - содержание глицидола, %.
Содержание глицидола C7H13O5P в субстанции в процентах (X) вычисляют по формуле:
где S0 - площадь пика пентанола на хроматограмме испытуемого раствора;
S1 - площадь пика глицидола на хроматограмме испытуемого раствора;
a1 - навеска субстанции, мг;
a0 - навеска пентанола, взятая для приготовления испытуемого раствора, мг;
K - поправочный коэффициент.
Сульфаты. Не более 0,02% (ОФС "Сульфаты",
метод 1). Растворяют 1,0 г субстанции в 10 мл воды. В мерную колбу вместимостью 10 мл помещают 5 мл полученного раствора и доводят объем раствора водой до метки. Для определения используют 10 мл полученного раствора.
Хлориды. Не более 0,01% (
ОФС "Хлориды"). Растворяют 1,0 г субстанции в 10 мл воды. В мерную колбу вместимостью 10 мл помещают 2 мл полученного раствора и доводят объем раствора водой до метки. Для определения используют 10 мл полученного раствора.
Микробиологическая чистота. В соответствии с
ОФС "Микробиологическая чистота".
КОЛИЧЕСТВЕННОЕ ОПРЕДЕЛЕНИЕ
Определение проводят методом титриметрии (
ОФС "Титриметрия (титриметрические методы анализа)").
Растворяют 0,1 г (точная навеска) субстанции в 10 мл тетраэтиламмония бромида раствора 10% и титруют 0,1 М раствором хлорной кислоты до перехода окраски от фиолетовой к голубовато-зеленой (индикатор - 0,15 мл кристаллического фиолетового раствора 0,1%).
Параллельно проводят контрольный опыт.
1 мл 0,1 М раствора хлорной кислоты соответствует 10,41 мг диглицидила метилфосфоната C7H13O5P.
ХРАНЕНИЕ
В защищенном от света месте, при температуре не выше 8 °C.