Главная // Актуальные документы // Государственная фармакопеяСПРАВКА
Источник публикации
Документ опубликован не был
Примечание к документу
Текст документа приведен в соответствии с публикацией на сайте https://minzdrav.gov.ru/ по состоянию на 16.08.2023.
В соответствии с
Приказом Минздрава России от 20.07.2023 N 377 данный документ введен в действие с 01.09.2023.
Название документа
"ФС.2.1.0631. Фармакопейная статья. Ацетилкарнитина гидрохлорид. Ацетилкарнитин"
(утв. и введена в действие Приказом Минздрава России от 20.07.2023 N 377)
("Государственная фармакопея Российской Федерации. XV издание")
"ФС.2.1.0631. Фармакопейная статья. Ацетилкарнитина гидрохлорид. Ацетилкарнитин"
(утв. и введена в действие Приказом Минздрава России от 20.07.2023 N 377)
("Государственная фармакопея Российской Федерации. XV издание")
МИНИСТЕРСТВО ЗДРАВООХРАНЕНИЯ РОССИЙСКОЙ ФЕДЕРАЦИИ
ФАРМАКОПЕЙНАЯ СТАТЬЯ
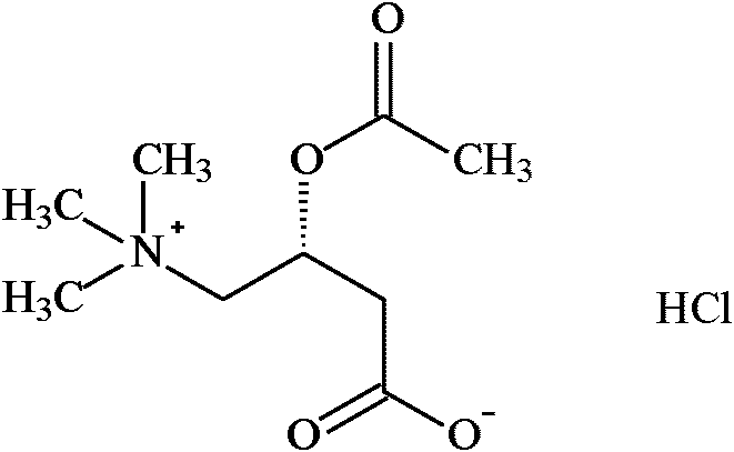
Ацетилкарнитина гидрохлорид Ацетилкарнитин Acetylcarnitini hydrochloridum | ФС.2.1.0631 |
Вводится впервые |
C9H17NO4·HCl [5080-50-2] | М.м. 239,70 |
(3R)-3-(Ацетилокси)-4-(триметилазанийил)бутаноата гидрохлорид.
Содержит не менее 98,0% и не более 101,0% ацетилкарнитина гидрохлорида C9H17NO4·HCl в пересчете на сухое вещество.
Описание. Белый или белый с желтоватым оттенком кристаллический порошок со слабым характерным запахом уксусной кислоты.
<*> Гигроскопичен.
--------------------------------
<*> Приводится для информации.
Растворимость. Легко растворим в воде, растворим в спирте 96% и практически нерастворим в хлороформе.
1. ИК-спектрометрия. (
ОФС "Спектрометрия в средней инфракрасной области"). Инфракрасный спектр субстанции в области от 4000 до 650 см
-1 по положению полос поглощения должен соответствовать спектру фармакопейного стандартного образца ацетилкарнитина гидрохлорида.
2. Качественная реакция. Растворяют при кипячении 0,1 г субстанции в 2 мл серной кислоты растворе 50%. Должен ощущаться запах уксусной кислоты.
3. Качественная реакция. Растворяют 0,04 г субстанции в 2 мл воды. Полученный раствор должен давать реакцию на хлориды (
ОФС "Общие реакции на подлинность").
Температура плавления. От 184 до 188 °C (с разложением, ОФС "Температура плавления",
метод 1).
Удельное вращение. От -27,2 до -28,2 в пересчете на сухое вещество (1% раствор субстанции в воде,
ОФС "Оптическое вращение").
Прозрачность раствора. Раствор 0,5 г субстанции в 10 мл воды должен быть прозрачным (
ОФС "Прозрачность и степень опалесценции (мутности) жидкостей").
Цветность раствора. Раствор, полученный в
испытании "Прозрачность раствора", должен выдерживать сравнение с эталоном Y
7 (ОФС "Степень окраски жидкостей",
метод 2).
pH раствора. От 1,5 до 2,5 (5% раствор, ОФС "Ионометрия",
метод 3).
Родственные примеси. Определение проводят методом ВЭЖХ (
ОФС "Высокоэффективная жидкостная хроматография").
Буферный раствор. Растворяют 6,8 г (точная навеска) калия дигидрофосфата в 700 мл воды и доводят значение pH до 4,7 фосфорной кислотой концентрированной или натрия гидроксида раствором 0,2 М; количественно переносят полученный раствор в мерную колбу вместимостью 1000 мл и доводят объем раствора водой до метки.
Подвижная фаза (ПФ). Буферный раствор - ацетонитрил 350:650.
Все растворы готовят непосредственно перед использованием.
Испытуемый раствор. В мерную колбу вместимостью 10 мл помещают 0,1 г (точная навеска) субстанции, растворяют в ПФ и доводят объем раствора ПФ до метки.
Стандартный раствор хлористоводородной кислоты. В мерную колбу вместимостью 50 мл помещают 10 мл воды, 1 мл хлористоводородной кислоты разведенной 8,3%, доводят объем раствора водой до метки и перемешивают.
Раствор стандартного образца левокарнитина. В мерную колбу вместимостью 25 мл помещают 25 мг (точная навеска) фармакопейного стандартного образца левокарнитина, растворяют в воде и доводят объем раствора водой до метки.
Раствор хранят при температуре от 2 до 8 °C. Срок годности 30 суток.
В мерную колбу вместимостью 10 мл помещают 1,0 мл полученного раствора, доводят ПФ до метки и перемешивают.
Раствор стандартного образца кротонобетаина. В мерную колбу вместимостью 50 мл помещают 5 мг (точная навеска) фармакопейного стандартного образца кротонобетаина, растворяют в воде и доводят объем раствора водой до метки.
Раствор хранят при температуре от 2 до 8 °C. Срок годности 30 суток.
В мерную колбу вместимостью 10 мл помещают 1,0 мл раствор полученного раствора, доводят ПФ до метки и перемешивают.
Раствор для проверки пригодности хроматографической системы. К 1,0 мл испытуемого раствора, прибавляют 0,1 мл раствора фармакопейного стандартного образца кротонобетаина и 1,0 мл раствора фармакопейного стандартного образца левокарнитина.
Раствор для проверки чувствительности хроматографической системы. В мерную колбу вместимостью 10 мл помещают 0,5 мл испытуемого раствора и доводят объем раствора ПФ до метки. В мерную колбу вместимостью 100 мл помещают 1,0 мл полученного раствора и доводят ПФ до метки.
Примечание
Примесь 1 (кротонобетаин): 4-(триметилазанийил)бут-2-еноат [927-89-9].
Примесь 2 (левокарнитин): (3R)-3-гидрокси-4-(триметилазанийил)бутаноат [541-15-1].
Хроматографические условия
Колонка | 250 x 4,6 мм, силикагель аминопропилсилильный для хроматографии, 5 мкм; |
Температура колонки | 30 °C; |
Скорость потока | 1,5 мл/мин; |
Детектор | спектрофотометрический, 205 нм; |
Объем пробы | 10 мкл; |
Время хроматографирования | 3-кратное от времени удерживания пика ацетилкарнитина. |
Хроматографируют раствор для проверки пригодности хроматографической системы, раствор для проверки чувствительности хроматографической системы, стандартный раствор хлористоводородной кислоты и испытуемый раствор.
Относительное время удерживания соединений. Ацетилкарнитин - 1 (около 5 мин); хлорид - около 0,7; примесь 2 - около 1,2; примесь 1 - около 1,4.
Пригодность хроматографической системы. На хроматограмме раствора для проверки пригодности хроматографической системы:
- разрешение (Rs) между пиками ацетилкарнитина и примеси 2 должно быть не менее 2,0;
- разрешение (Rs) между пиками примеси 2 и примеси 1 должно быть не менее 1,0.
На хроматограмме испытуемого раствора относительное стандартное отклонение площади пика ацетилкарнитина должно быть не более 2,0% (6 введений).
Поправочные коэффициенты. Для расчета содержания примесей площади пиков следующих примесей умножают на соответствующие поправочные коэффициенты: примесь 1 - 0,014; примесь 2 - 1,3.
Содержание примеси 2 (левокарнитина) в субстанции в процентах (X1) вычисляют по формуле:

,
где S1 - площадь пика левокарнитина на хроматограмме испытуемого раствора;
S0 - площадь пика левокарнитина на хроматограмме раствора для проверки пригодности хроматографической системы;
a1 - навеска субстанции, мг;
a0 - навеска фармакопейного стандартного образца левокарнитина, мг;
W - суммарное содержание воды и остаточных органических растворителей в субстанции, %;
P - содержание основного вещества в фармакопейном стандартном образце левокарнитина, %.
Содержание примеси 1 (кротонобетаина) в субстанции в процентах (X2) вычисляют по формуле:

,
где S1 - площадь пика кротонобетаина на хроматограмме испытуемого раствора;
S0 - площадь пика кротонобетаина на хроматограмме раствора для проверки пригодности хроматографической системы;
a1 - навеска субстанции, мг;
a0 - навеска фармакопейного стандартного образца кротонобетаина, мг;
W - суммарное содержание воды и остаточных органических растворителей в субстанции, %;
P - содержание основного вещества в фармакопейном стандартном образце кротонобетаина, %.
Допустимое содержание примесей:
- примесь 2 - не более 1,0%;
- примесь 1 - не более 0,5%;
- любая другая примесь - не более 1,8%;
- суммарное содержание примесей - не более 3,0%.
Не учитывают пик хлорид-аниона и пики с площадью менее площади основного пика на хроматограмме раствора для проверки чувствительности хроматографической системы (менее 0,05%).
Потеря в массе при высушивании. Не более 0,5% (ОФС "Потеря в массе при высушивании",
способ 1). Для определения используют 1 г (точная навеска) субстанции.
Сульфатная зола. Не более 0,1% (
ОФС "Сульфатная зола"). Для определения используют 1 г (точная навеска) субстанции.
Тяжелые металлы. Не более 0,001%. Определение проводят в соответствии с требованиями ОФС "Тяжелые металлы"
(метод 3Б) в зольном остатке, полученном в
испытании "Сульфатная зола" с использованием эталонного раствора 1.
Остаточные органические растворители. В соответствии с
ОФС "Остаточные органические растворители".
<**>
Бактериальные эндотоксины. Не более 0,23 ЕЭ на 1 мг ацетилкарнитина гидрохлорида (
ОФС "Бактериальные эндотоксины").
--------------------------------
<**> Испытание проводят для субстанции, предназначенной для производства лекарственных препаратов для парентерального применения.
Микробиологическая чистота. В соответствии с
ОФС "Микробиологическая чистота".
КОЛИЧЕСТВЕННОЕ ОПРЕДЕЛЕНИЕ
Определение проводят методом титриметрии (
ОФС "Титриметрия (титриметрические методы анализа)").
Растворяют 0,3 г (точная навеска) субстанции в 50 мл воды и титруют 0,1 М раствором натрия гидроксида до перехода желтой окраски в синюю (индикатор - 0,1 мл бромтимолового синего раствор 0,04%).
Параллельно проводят контрольный опыт.
1 мл 0,1 М раствора натрия гидроксида соответствует 23,97 мг ацетилкарнитина гидрохлорида C9H17NO4·HCl
В сухом, защищенном от света месте.