Главная // Актуальные документы // Государственная фармакопеяСПРАВКА
Источник публикации
Документ опубликован не был
Примечание к документу
Текст документа приведен в соответствии с публикацией на сайте https://minzdrav.gov.ru/ по состоянию на 23.08.2023.
В соответствии с
Приказом Минздрава России от 20.07.2023 N 377 данный документ введен в действие с 01.09.2023.
Название документа
"ФС.2.1.0367. Фармакопейная статья. Флударабина фосфат. Флударабин"
(утв. и введена в действие Приказом Минздрава России от 20.07.2023 N 377)
("Государственная фармакопея Российской Федерации. XV издание")
"ФС.2.1.0367. Фармакопейная статья. Флударабина фосфат. Флударабин"
(утв. и введена в действие Приказом Минздрава России от 20.07.2023 N 377)
("Государственная фармакопея Российской Федерации. XV издание")
МИНИСТЕРСТВО ЗДРАВООХРАНЕНИЯ РОССИЙСКОЙ ФЕДЕРАЦИИ
ФАРМАКОПЕЙНАЯ СТАТЬЯ
Флударабина фосфат | ФС |
Флударабин | |
Fludarabini phosphas | Вводится впервые |
|
C10H13FN5O7P [75607-67-9] | М.м. 365,21 |
ОПРЕДЕЛЕНИЕ
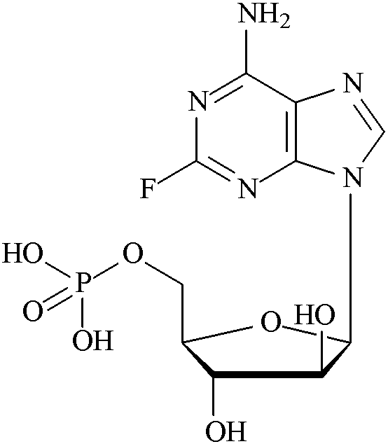
9-(5-
O-Фосфоно-

-D-арабинофуранозил)-2-фтор-9
H-пурин-6-амин.
Содержит не менее 97,0% и не более 102,0% флударабина фосфата C10H13FN5O7P в пересчете на безводное и свободное от остаточных органических растворителей вещество.
СВОЙСТВА
Описание. Белый или почти белый кристаллический порошок.
--------------------------------
<*> Приводится для информации.
Растворимость. Легко растворим в диметилформамиде, мало растворим в воде, практически нерастворим в этаноле.
ИДЕНТИФИКАЦИЯ
1. ИК-спектрометрия (
ОФС "Спектрометрия в средней инфракрасной области"). Инфракрасный спектр субстанции, в области от 4000 до 400 см
-1 по положению полос поглощения должен соответствовать спектру фармакопейного стандартного образца флударабина фосфата.
2. ВЭЖХ. Время удерживания пика основного вещества на хроматограмме испытуемого раствора Б должно соответствовать времени удерживания пика флударабина фосфата на хроматограмме раствора стандартного образца флударабина фосфата (А) (
раздел "Количественное определение").
ИСПЫТАНИЯ
Удельное вращение. От +10,0 до +14,0 в пересчете на безводное и свободное от остаточных органических растворителей вещество (
ОФС "Оптическое вращение").
Испытуемый раствор. В мерную колбу вместимостью 20 мл помещают 0,1 г (точная навеска) субстанции, прибавляют 15 мл воды, обрабатывают ультразвуком до полного растворения, охлаждают до комнатной температуры и доводят объем раствора водой до метки.
Прозрачность раствора. Раствор должен быть прозрачным (
ОФС "Прозрачность и степень опалесценции (мутности) жидкостей").
Испытуемый раствор. Растворяют 50 мг субстанции в 5 мл диметилформамида, при необходимости обрабатывая ультразвуком.
Цветность раствора. Раствор, полученный в
испытании "Прозрачность раствора", должен выдерживать сравнение с эталоном BY
5 (ОФС "Степень окраски жидкостей",
метод 2).
pH раствора. От 2,0 до 4,0 (0,1% раствор, ОФС "Ионометрия",
метод 3).
Родственные примеси. Определение проводят методом ВЭЖХ (
ОФС "Высокоэффективная жидкостная хроматография"). Все растворы используют сразу после приготовления.
Допустимое содержание примесей:
- сумма неидентифицированных примесей - не более 0,5%;
- сумма всех примесей, определенных в тестах 1 и 2 - не более 2,0%.
1. Примеси, элюирующиеся до основного пика
Подвижная фаза (ПФ). Метанол - калия дигидрофосфата раствор 0,01 М 60:940.
Испытуемый раствор А. В мерную колбу вместимостью 50 мл помещают 25 мг (точная навеска) субстанции, прибавляют 30 мл ПФ, обрабатывают ультразвуком до полного растворения, охлаждают до комнатной температуры и доводят объем раствора ПФ до метки.
Испытуемый раствор Б. В мерную колбу вместимостью 50 мл помещают 1,0 мл испытуемого раствора А и доводят объем раствора ПФ до метки.
Раствор стандартного образца флударабина фосфата (А). Помещают 10 мг (точная навеска) фармакопейного стандартного образца флударабина фосфата в мерную колбу вместимостью 50 мл, прибавляют 30 мл ПФ, обрабатывают ультразвуком до полного растворения, охлаждают до комнатной температуры и доводят объем раствора ПФ до метки. В мерную колбу вместимостью 20 мл помещают 1,0 мл полученного раствора и доводят объем раствора ПФ до метки.
Раствор стандартного образца флударабина фосфата (Б). В мерную колбу вместимостью 20 мл помещают 1,0 мл раствора стандартного образца флударабина фосфата (А) и доводят объем раствора ПФ до метки.
Раствор для проверки разделительной способности хроматографической системы. В мерную колбу вместимостью 20 мл помещают 10 мг фармакопейного стандартного образца флударабина фосфата, прибавляют 10 мл хлористоводородной кислоты раствора 0,1 М, нагревают на водяной бане при температуре 80 °C в течение 15 мин, охлаждают до комнатной температуры и доводят объем раствора водой до метки.
Раствор для проверки чувствительности хроматографической системы. В мерную колбу вместимостью 10 мл помещают 5,0 мл раствора стандартного образца флударабина фосфата (Б) и доводят объем раствора ПФ до метки.
Примечание
Примесь A: 6-амино-9-(5-
O-фосфоно-

-арабинофуранозил)-1,9-дигидро-2
H-пурин-2-он [62314-92-5].
Примесь B: 6-амино-1,7-дигидро-2H-пурин-2-он [3373-53-3].
Примесь C: 9-(3,5-ди-
O-фосфоно-

-D-арабинофуранозил)-2-фтор-9H-пурин-6-амин [548774-53-4].
Хроматографические условия
Колонка | 150 x 4,6 мм, силикагель октадецилсилильный, совместимый с водной подвижной фазой, эндкепированный, для хроматографии, 5 мкм; |
Температура колонки | 20 °C; |
Скорость потока | 1,0 мл/мин; |
Детектор | спектрофотометрический, 260 нм; |
Объем пробы | 10 мкл; |
Время хроматографирования | 4,5-кратное от времени удерживания пика флударабина фосфата. |
Хроматографируют раствор для проверки разделительной способности хроматографической системы, раствор для проверки чувствительности хроматографической системы, раствор стандартного образца флударабина фосфата (А), раствор стандартного образца флударабина фосфата (Б) и испытуемый раствор А.
Относительное время удерживания соединений. Флударабина фосфат - 1 (около 9 мин); примесь A - около 0,26; примесь B - около 0,34; примесь C - около 0,42.
Идентификация примесей. Для идентификации пика примеси C используется хроматограмма раствора стандартного образца флударабина фосфата (А). В случае возникновения затруднений при идентификации пиков примесей A и B хроматографируют раствор для проверки разделительной способности хроматографической системы при длине волны 292 нм.
Пригодность хроматографической системы. На хроматограмме раствора для проверки чувствительности хроматографической системы отношение сигнал/шум (S/N) для пика флударабина фосфата должно быть не менее 10.
На хроматограмме раствора для проверки разделительной способности хроматографической системы разрешение (Rs) между пиками примеси A и примеси B должно быть не менее 2,0 (при длине волны 292 нм).
На хроматограмме раствора стандартного образца флударабина фосфата (Б):
- фактор асимметрии пика (As) флударабина фосфата должен быть не более 2,0;
- относительное стандартное отклонение площади пика флударабина фосфата должно быть не более 2,0% (6 определений).
Поправочные коэффициенты. Для расчета содержания площади пиков следующих примесей умножают на соответствующие поправочные коэффициенты: примесь A - 4,0; примесь B - около 2,5; примесь C - 1,9.
Содержание каждой из примесей в субстанции в процентах (X) вычисляют по формуле:
где S1 - площадь пика каждой из примесей на хроматограмме испытуемого раствора А;
S0 - площадь пика флударабина фосфата на хроматограмме раствора стандартного образца флударабина фосфата (Б);
a0 - навеска фармакопейного стандартного образца флударабина фосфата, мг;
a1 - навеска субстанции, мг;
P - содержание флударабина фосфата в фармакопейном стандартном образце флударабина фосфата, %.
Допустимое содержание примесей:
- примесь A - не более 0,8%;
- примесь C - не более 0,4%;
- примесь B - не более 0,2%;
- любой другой примеси - не более 0,1%.
Не учитывают пики, элюирующиеся после пика флударабина фосфата, и пики менее 0,05%.
2. Примеси, элюирующиеся после основного пика. Определение проводят в условиях
испытания "Родственные примеси. Примеси, элюирующиеся до основного пика" со следующими изменениями.
Подвижная фаза (ПФ). Метанол - калия дигидрофосфата раствор 0,01 М 200:800.
Раствор для проверки разделительной способности хроматографической системы. В мерную колбу вместимостью 10 мл помещают 5 мг фармакопейного стандартного образца флударабина для пригодности системы, содержащего примеси D, E и F, прибавляют 7 мл ПФ, обрабатывают ультразвуком до полного растворения, охлаждают до комнатной температуры и доводят объем раствора ПФ до метки.
Примечание
Примесь D: 2-фтор-7H-пурин-6-амин [700-49-2].
Примесь E: 9-(

-D-арабинофуранозил)-2-фтор-9
H-пурин-6-амин [21679-14-1].
Примесь F: 9-(5-
O-фосфоно-

-D-арабинофуранозил)-2-этокси-9
H-пурин-6-амин [159002-28-5].
Хроматографические условия
Время хроматографирования | 8-кратное от времени удерживания пика флударабина фосфата. |
Хроматографируют раствор для проверки разделительной способности хроматографической системы, раствор для проверки чувствительности хроматографической системы, раствор стандартного образца флударабина фосфата (Б) и испытуемый раствор А.
Относительное время удерживания соединений. Флударабина фосфат - 1 (около 2,5 мин); примесь D - около 1,5; примесь E - около 1,9; примесь F - около 2,5.
Пригодность хроматографической системы. На хроматограмме раствора для проверки чувствительности хроматографической системы отношение сигнал/шум (S/N) для пика флударабина фосфата должно быть не менее 10.
На хроматограмме раствора для проверки разделительной способности хроматографической системы разрешение (Rs) между пиками флударабина фосфата и примеси D должно быть не менее 5,0.
На хроматограмме раствора стандартного образца флударабина фосфата (Б):
- относительное стандартное отклонение площади пика флударабина фосфата должно быть не более 5,0% (6 введений);
- фактор асимметрии пика (As) флударабина фосфата должен быть не более 2,0.
Поправочные коэффициенты. Для расчета содержания площади пиков следующих примесей умножаются на соответствующие поправочные коэффициенты: примесь D - 0,5; примесь E - около 0,6; примесь F - 1,8.
Содержание каждой из примесей в субстанции в процентах (X) вычисляют по формуле:
где S1 - площадь пика каждой из примесей на хроматограмме испытуемого раствора А;
S0 - площадь пика флударабина фосфата на хроматограмме раствора стандартного образца флударабина фосфата (Б);
a0 - навеска фармакопейного стандартного образца флударабина фосфата, мг;
a1 - навеска субстанции, мг;
P - содержание флударабина фосфата в фармакопейном стандартном образце флударабина фосфата, %.
Допустимое содержание примесей:
- примесь E - не более 0,2%;
- примесь F - не более 0,2%;
- примесь D - не более 0,15%;
- любой другой примеси - не более 0,1%.
Не учитывают пики, элюирующиеся до пика флударабина фосфата, и пики менее 0,05%.
Вода. Не более 3,0% (ОФС "Определение воды",
метод 1). Для определения используют 0,1 г (точная навеска) тонкоизмельченной субстанции. Перед титрованием субстанцию взбалтывают с 30 мл метанола безводного в течение 30 с.
Натрий. Не более 0,2%. Определение проводят методом атомно-эмиссионной спектрометрии с пламенной атомизацией (
ОФС "Атомно-эмиссионная спектрометрия").
Испытуемый раствор. В мерную колбу вместимостью 100 мл помещают 50 мг субстанции, растворяют в воде и доводят объем раствора водой до метки.
Стандартный раствор. В мерную колбу вместимостью 1000 мл помещают 0,5084 г натрия хлорида, предварительно высушенного при 105 °C до постоянной массы, растворяют в воде и доводят объем раствора водой до метки. В мерную колбу вместимостью 200 мл помещают 1,0 мл полученного раствора и доводят объем раствора водой до метки.
Контрольный раствор. Вода.
Определяют атомную эмиссию стандартного и испытуемого растворов на линии спектра излучения натрия при длине волны 589,0 нм.
Отклик эмиссии испытуемого раствора не должен превышать отклик эмиссии стандартного раствора.
Фосфаты. Не более 0,1% (
ОФС "Фосфаты"). В мерную колбу вместимостью 100 мл помещают 10 мг субстанции, растворяют в воде и доводят объем раствора водой до метки.
Хлориды. Не более 0,2% (
ОФС "Хлориды"). Растворяют 10 мг субстанции в 10 мл воды.
Тяжелые металлы. Не более 0,002%. Определение проводят в соответствии с ОФС "Тяжелые металлы"
(метод 3Б), в зольном остатке, полученном после сжигания 1,0 г субстанции, с использованием эталонного раствора 2.
Остаточные органические растворители. В соответствии с
ОФС "Остаточные органические растворители".
<**> Бактериальные эндотоксины. Не более 4,0 ЕЭ на 1 мг флударабина фосфата (
ОФС "Бактериальные эндотоксины").
--------------------------------
<**> Испытание проводят для субстанции, предназначенной для производства лекарственных препаратов для парентерального применения.
Микробиологическая чистота. В соответствии с
ОФС "Микробиологическая чистота".
КОЛИЧЕСТВЕННОЕ ОПРЕДЕЛЕНИЕ
Определение проводят методом ВЭЖХ в условиях
испытания "Родственные примеси. Примеси, элюирующиеся до основного пика" со следующими изменениями.
Хроматографические условия
Время хроматографирования | 18 мин. |
Хроматографируют раствор стандартного образца флударабина фосфата (А) и испытуемый раствор Б.
Пригодность хроматографической системы. На хроматограмме раствора стандартного образца флударабина фосфата (А):
- фактор асимметрии пика (As) флударабина фосфата должен быть не более 2,0;
- относительное стандартное отклонение площади пика флударабина фосфата должно быть не более 2,0% (6 введений);
- относительное стандартное отклонение времени удерживания пика флударабина фосфата должно быть не более 2,0% (6 введений);
- эффективность хроматографической колонки (N), рассчитанная по пику флударабина фосфата, должна составлять не менее 2000 теоретических тарелок.
Содержание флударабина фосфата C10H13FN5O7P в субстанции в процентах (X) в пересчете на безводное и свободное от остаточных органических растворителей вещество вычисляют по формуле:
где S1 - площадь пика флударабина фосфата на хроматограмме испытуемого раствора Б;
S0 - площадь пика флударабина фосфата на хроматограмме раствора стандартного образца флударабина фосфата (А);
a0 - навеска фармакопейного стандартного образца флударабина фосфата, мг;
a1 - навеска субстанции, мг;
W - суммарное содержание воды и остаточных органических растворителей в субстанции, %;
P - содержание флударабина фосфата в фармакопейном стандартном образце флударабина фосфата, %.
ХРАНЕНИЕ
В сухом, защищенном от света месте, при температуре от +2 до +8 °C.