Главная // Актуальные документы // Государственная фармакопеяСПРАВКА
Источник публикации
Документ опубликован не был
Примечание к документу
Текст документа приведен в соответствии с публикацией на сайте https://minzdrav.gov.ru/ по состоянию на 16.08.2023.
В соответствии с
Приказом Минздрава России от 20.07.2023 N 377 данный документ введен в действие с 01.09.2023.
Взамен ВФС 42-1879-89.
Название документа
"ФС.2.1.0350. Фармакопейная статья. Амикацина сульфат. Амикацин"
(утв. и введена в действие Приказом Минздрава России от 20.07.2023 N 377)
("Государственная фармакопея Российской Федерации. XV издание")
"ФС.2.1.0350. Фармакопейная статья. Амикацина сульфат. Амикацин"
(утв. и введена в действие Приказом Минздрава России от 20.07.2023 N 377)
("Государственная фармакопея Российской Федерации. XV издание")
МИНИСТЕРСТВО ЗДРАВООХРАНЕНИЯ РОССИЙСКОЙ ФЕДЕРАЦИИ
ФАРМАКОПЕЙНАЯ СТАТЬЯ
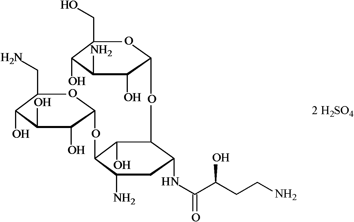
Амикацина сульфат Амикацин Amikacini sulfas | ФС |
Взамен ВФС 42-1879-89 |
|
C22H43N5O13·2H2SO4 [39831-55-5] | М.м. 781,76 |
1-
N-[(2
S)-4-Амино-2-гидроксибутаноил]-6-
O-(3-амино-3-дезокси-

-D-глюкопиранозил)-4-
O-(6-амино-6-дезокси-

-D-глюкопиранозил)-2-дезокси-D-стрептамина сульфат (1:2).
Субстанцию получают полусинтетическим путем из канамицина A. Содержит не менее 96,5% и не более 102,0% амикацина сульфата C22H43N5O13·2H2SO4 в пересчете на сухое вещество.
Описание. Белый или почти белый порошок.
Растворимость. Легко растворим в воде, практически нерастворим в спирте 96% и ацетоне.
1. ИК-спектрометрия (
ОФС "Спектрометрия в средней инфракрасной области"). Инфракрасный спектр субстанции в области от 4000 до 400 см
-1 по положению полос поглощения должен соответствовать спектру фармакопейного стандартного образца амикацина сульфата.
2. ВЭЖХ. Время удерживания основного пика на хроматограмме испытуемого раствора должно соответствовать времени удерживания пика амикацина на хроматограмме раствора стандартного образца амикацина сульфата (
раздел "Количественное определение").
3. ТСХ (
ОФС "Тонкослойная хроматография").
Пластинка. ТСХ пластинка со слоем силикагеля.
Подвижная фаза (ПФ). Метиленхлорид - аммиака раствор - метанол 25:30:40.
Испытуемый раствор. В мерную колбу вместимостью 10 мл помещают 25 мг субстанции, растворяют в воде и доводят объем раствора водой до метки.
Раствор стандартного образца амикацина сульфата. В мерную колбу вместимостью 10 мл помещают 25 мг фармакопейного стандартного образца амикацина сульфата, растворяют в воде и доводят объем раствора водой до метки.
Раствор для проверки разделительной способности хроматографической системы. В мерную колбу вместимостью 10 мл помещают 5 мг фармакопейного стандартного образца канамицина моносульфата, растворяют в 1 мл испытуемого раствора и доводят объем раствора водой до метки.
На линию старта пластинки наносят по 5 мкл испытуемого раствора (12,5 мкг), раствора стандартного образца амикацина сульфата (12,5 мкг) и раствора для проверки разделительной способности хроматографической системы (по 2,5 мкг). Пластинку с нанесенными пробами высушивают на воздухе в течение 5 мин, помещают в предварительно насыщенную в течение 1 ч камеру с ПФ и хроматографируют восходящим способом. Когда фронт ПФ пройдет около 80 - 90% длины пластинки от линии старта, ее вынимают из камеры, сушат до удаления следов растворителей, опрыскивают нингидрина раствором уксусно-спиртовым 1,7%, нагревают при 110 °C в течение 5 мин и просматривают при видимом свете.
Пригодность хроматографической системы. На хроматограмме раствора для проверки разделительной способности хроматографической системы должны обнаруживаться 2 разделенные зоны адсорбции.
Результат. Основная зона адсорбции на хроматограмме испытуемого раствора по положению, величине и окраске должна соответствовать зоне адсорбции амикацина на хроматограмме раствора стандартного образца амикацина сульфата.
4. Качественная реакция. Раствор 45 мг субстанции в 5 мл воды должен давать реакцию на сульфаты (
ОФС "Общие реакции на подлинность").
Удельное вращение. От +76 до +84 в пересчете на сухое вещество (2% раствор субстанции в воде,
ОФС "Оптическое вращение").
Прозрачность раствора. Раствор 2,0 г субстанции в 5 мл воды должен быть прозрачным (
ОФС "Прозрачность и степень опалесценции (мутности) жидкостей").
Цветность раствора. Раствор, полученный в
испытании "Прозрачность раствора", должен выдерживать сравнение с эталоном Y
4 или BY
4 (ОФС "Степень окраски жидкостей",
метод 2).
| | ИС МЕГАНОРМ: примечание. В официальном тексте документа, видимо, допущена опечатка: имеется в виду метод 3 Общей фармакопейной статьи "Ионометрия", а не "Степень окраски жидкостей". | |
pH раствора. От 2,0 до 4,0 (1% раствор, ОФС "Степень окраски жидкостей",
метод 3).
Родственные примеси. Определение проводят методом ВЭЖХ (
ОФС "Высокоэффективная жидкостная хроматография").
Подвижная фаза А (ПФА). В мерную колбу вместимостью 1000 мл помещают 1,8 г натрия октансульфоната, 20 г натрия сульфата безводного, растворяют в воде, свободной от углерода диоксида, прибавляют 14 мл тетрагидрофурана и 50 мл калия дигидрофосфата раствора 0,2 М, предварительно доведенного фосфорной кислоты раствором 1 М до pH 3,0.
Подвижная фаза Б (ПФБ). В мерную колбу вместимостью 1000 мл помещают 1,8 г натрия октансульфоната, 28 г натрия сульфата безводного, растворяют в воде, свободной от углерода диоксида, прибавляют 14 мл тетрагидрофурана и 50 мл калия дигидрофосфата раствора 0,2 М, предварительно доведенного фосфорной кислоты раствором 1 М до pH 3,0.
Испытуемый раствор. В мерную колбу вместимостью 50 мл помещают 33 мг субстанции, растворяют в ПФА и доводят объем раствора тем же растворителем до метки.
Раствор сравнения А. В мерную колбу вместимостью 100 мл помещают 1,0 мл испытуемого раствора и доводят объем раствора ПФА до метки.
Раствор сравнения Б. В мерную колбу вместимостью 10 мл помещают 1,0 мл раствора сравнения А и доводят объем раствора ПФА до метки.
Стандартный раствор. В мерную колбу вместимостью 10 мл помещают 5 мг фармакопейного стандартного образца амикацина для проверки пригодности хроматографической системы, содержащего примеси A, B, F и H, растворяют в ПФА и доводят объем раствора тем же растворителем до метки.
Раствор стандартного образца примеси I. В мерную колбу вместимостью 20 мл помещают 6,6 мг фармакопейного стандартного образца примеси амикацина I, растворяют в ПФА и доводят объем раствора тем же растворителем до метки. В мерную колбу вместимостью 100 мл помещают 1,0 мл полученного раствора и доводят объем раствора ПФА до метки.
Постколоночный раствор. Смесь натрия гидроксида раствор насыщенный, свободный от карбонатов - вода, свободная от углерода диоксида 1:24, который добавляется беспульсовым образом к эффлюенту колонки с помощью полимерной смесительной спирали объемом 375 мкл.
Примечание
Примесь A: 1-
N-[(2
S)-4-амино-2-гидроксибутаноил]-4-
O-(3-амино-3-дезокси-

-D-глюкопиранозил)-6-
O(6-амино-6-дезокси-

-D-глюкопиранозил)-2-дезокси-L-стрептамин [50725-24-1].
Примесь B: 1,3-
N-бис[(2
S)-4-амино-2-гидроксибутаноил]-6-
O-(3-амино-3-дезокси-

-D-глюкопиранозил)-4-
O-(6-амино-6-дезокси-

-D-глюкопиранозил)-2-дезокси-D-стрептамин [927821-99-6].
Примесь F: 4-
O-{6-[(2
S)-4-амино-2-гидроксибутанамидо]-6-дезокси-

-D-глюкопиранозил}-1-
N-[(2
S)-4-амино-2-гидроксибутаноил]-6-
O-(3-амино-3-дезокси-

-D-глюкопиранозил)-2-дезокси-D-стрептамин [197909-67-4].
Примесь H: 1-
N-[(2
S)-4-амино-2-гидроксибутаноил]-6-
O-(3-амино-3-дезокси-

-D-глюкопиранозил)-4-
O-(2,6-диамино-2,6-дидезокси-

-D-глюкопиранозил)-2-дезокси-D-стрептамин [48237-20-3].
Примесь I: (2S)-4-Амино-2-гидроксибутановая кислота [40371-51-5].
Хроматографические условия
Колонка | 250 x 4,6 мм, силикагель октадецилсилильный, эндкепированный, для хроматографии, 5 мкм; |
Температура колонки | 40 °C; |
Скорость потока | 1,0 мл/мин; |
Детектор | импульсный амперометрический или эквивалентный с золотым индикаторным электродом, хлорсеребряным электродом сравнения и вспомогательным электродом из нержавеющей стали, образующим корпус ячейки; потенциал детекции +0,05 В; потенциал окисления +0,75 В; потенциал восстановления -0,15 В; |
Объем пробы | 20 мкл; |
Скорость постколоночного раствора | 0,3 мл/мин. |
Режим хроматографирования
Время, мин | ПФА, % | ПФБ, % |
0 - 3 | 100 | 0 |
3 - 38,0 | | |
38,0 - 38,1 | | |
38,1 - 68 | 0 | 100 |
Хроматографируют раствор для проверки чувствительности хроматографической системы, растворы сравнения А и Б, стандартный раствор и раствор стандартного образца примеси I.
Относительное время удерживания соединений. Амикацина сульфат - 1 (около 28 мин); примесь I - около 0,13; примесь F - около 0,92; примесь B - около 0,95; примесь A - около 1,62; примесь H - около 1,95.
Для идентификации пиков примесей A, B, F и H используют хроматограмму стандартного раствора и хроматограмму, прилагаемую к фармакопейному стандартному образцу амикацина для проверки пригодности системы. Для идентификации пика примеси I используют хроматограмму раствора стандартного раствора I.
Пригодность хроматографической системы. На хроматограмме стандартного раствора отношение максимум/минимум (p/v) между пиками примеси B и амикацина сульфата должно быть не менее 5.
Допустимое содержание примесей. На хроматограмме испытуемого раствора:
- площадь пика примеси I не должна превышать площади пика примеси I на хроматограмме раствора стандартного образца примеси I (не более 0,5%);
- площадь пика каждой из примесей A, B, F и H не должна превышать 0,5 площади основного пика на хроматограмме раствора сравнения А (не более 0,5%);
- площадь пика любой другой примеси не должна превышать 0,5 площади основного пика на хроматограмме раствора сравнения А (не более 0,5%);
- сумма площадей пиков всех примесей не должна превышать 1,5 площади основного пика на хроматограмме раствора сравнения А (не более 1,5%).
Не учитывают пики, площадь которых менее площади основного пика на хроматограмме раствора сравнения Б (менее 0,1%).
Потеря в массе при высушивании. Не более 13,0% (ОФС "Определение воды",
метод 1). Для определения используют 0,5 г (точная навеска) субстанции.
Сульфаты. От 23,3 до 25,8% в пересчете на сухое вещество. Определение проводят методом титриметрии (
ОФС "Титриметрия (титриметрические методы анализа)").
Растворяют 0,25 г (точная навеска) субстанции в 100 мл воды, доводят значение pH аммиака раствором концентрированным 25% до 11,0. Прибавляют 10,0 мл 0,1 М раствора бария хлорида и 0,5 мг фталеинового пурпурного.
Полученный раствор титруют 0,1 М раствором натрия эдетата. Когда окраска начинает меняться, прибавляют 50 мл спирта 96% и продолжают титрование до исчезновения фиолетово-синей окраски.
Параллельно проводят контрольный опыт.
Разность объемов 0,1 М раствора натрия эдетата соответствует объему 0,1 М раствора бария хлорида, прореагировавшего с сульфатами.
Содержание сульфата SO4 в пересчете на сухое вещество в процентах (X) вычисляют по формуле:

,
где V1 - объем 0,1 М раствора натрия эдетата, израсходованный на титрование в основном опыте, мл;
V0 - объем 0,1 М раствора натрия эдетата, израсходованный на титрование в контрольном опыте, мл;
a - навеска субстанции, мг;
K - поправочный коэффициент 0,1 М раствора натрия эдетата;
9,606 - количество сульфата, мг, соответствующее 1 мл 0,1 М раствора бария хлорида, мг/мл;
W - потеря в массе при высушивании, %.
Сульфатная зола. Не более 1,0% (
ОФС "Сульфатная зола"). Для определения используют 1 г (точная навеска) субстанции.
Тяжелые металлы. Не более 0,001%. Определение проводят в соответствии с ОФС "Тяжелые металлы"
(метод 3Б) в зольном остатке, полученном в
испытании "Сульфатная зола", с использованием эталонного раствора 1.
Остаточные органические растворители. В соответствии с
ОФС "Остаточные органические растворители".
<*>
Аномальная токсичность. Субстанция должна быть нетоксичной (
ОФС "Аномальная токсичность"). Тест-доза - 1,0 мг амикацина в 0,5 мл натрия хлорида раствора 0,9% для инъекций на мышь, внутривенно. Срок наблюдения - 48 ч.
<*>
Бактериальные эндотоксины. Не более 0,33 ЕЭ на 1 мг амикацина (
ОФС "Бактериальные эндотоксины").
<*>
Стерильность. Субстанция должна быть стерильной (
ОФС "Стерильность").
--------------------------------
<*> Испытание проводят для субстанции, предназначенной для производства лекарственных препаратов для парентерального применения.
Микробиологическая чистота. В соответствии с
ОФС "Микробиологическая чистота".
КОЛИЧЕСТВЕННОЕ ОПРЕДЕЛЕНИЕ
Определение проводят методом ВЭЖХ (
ОФС "Высокоэффективная жидкостная хроматография").
Подвижная фаза (ПФ). В мерную колбу вместимостью 1000 мл помещают 1,8 г натрия октансульфоната, 20 г натрия сульфата безводного, растворяют в воде, свободной от углерода диоксида, прибавляют 58 мл ацетонитрила и 50 мл калия дигидрофосфата раствора 0,2 М, предварительно доведенного фосфорной кислоты раствором 1 М до pH 3,0.
Испытуемый раствор. В мерную колбу вместимостью 10 мл помещают 50 мг (точная навеска) субстанции, растворяют в ПФ и доводят объем раствора ПФ до метки.
Раствор стандартного образца амикацина. В мерную колбу вместимостью 10 мл помещают 37,4 мг (точная навеска) фармакопейного стандартного образца амикацина, растворяют в ПФ и доводят объем раствора ПФ до метки.
Хроматографические условия
Колонка | 250 x 4,6 мм, силикагель октадецилсилильный, эндкепированный, для хроматографии, 5 мкм; |
Температура колонки | 40 °C; |
Скорость потока | 1,0 мл/мин; |
Детектор | спектрофотометрический, 200 нм; |
Объем пробы | 20 мкл. |
Хроматографируют раствор стандартного образца амикацина и испытуемый раствор.
Время удерживания амикацина - около 30 мин.
Пригодность хроматографической системы. На хроматограмме раствора стандартного образца амикацина:
- фактор асимметрии пика (AS) амикацина должен быть не более 1,5;
- относительное стандартное отклонение площади пика амикацина должно быть не более 1,5% (6 введений).
Содержание амикацина сульфата C22H43N5O13·2H2SO4 в субстанции в процентах в пересчете на сухое вещество (X) вычисляют по формуле:

,
где S1 - площадь пика амикацина на хроматограмме испытуемого раствора;
S0 - площадь пика амикацина на хроматограмме раствора стандартного образца амикацина;
a1 - навеска субстанции, мг;
a0 - навеска фармакопейного стандартного образца амикацина, мг;
W - потеря в массе при высушивании, %;
P - содержание амикацина в фармакопейном стандартном образце амикацина, %;
585,60 - молекулярная масса амикацина;
781,76 - молекулярная масса амикацина сульфата.
В герметично закрытой упаковке.