Главная // Актуальные документы // Государственная фармакопеяСПРАВКА
Источник публикации
Документ опубликован не был
Примечание к документу
Текст документа приведен в соответствии с публикацией на сайте https://minzdrav.gov.ru/ по состоянию на 16.08.2023.
В соответствии с
Приказом Минздрава России от 20.07.2023 N 377 данный документ введен в действие с 01.09.2023.
Название документа
"ФС.2.1.0341. Фармакопейная статья. Алимемазина тартрат. Алимемазин"
(утв. и введена в действие Приказом Минздрава России от 20.07.2023 N 377)
("Государственная фармакопея Российской Федерации. XV издание")
"ФС.2.1.0341. Фармакопейная статья. Алимемазина тартрат. Алимемазин"
(утв. и введена в действие Приказом Минздрава России от 20.07.2023 N 377)
("Государственная фармакопея Российской Федерации. XV издание")
МИНИСТЕРСТВО ЗДРАВООХРАНЕНИЯ РОССИЙСКОЙ ФЕДЕРАЦИИ
ФАРМАКОПЕЙНАЯ СТАТЬЯ
Алимемазина тартрат | ФС |
Алимемазин | |
Alimemazini tartras | Вводится впервые |
|
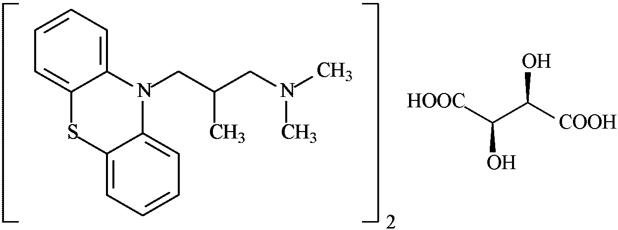
(C18H22N2S)2·C4H6O6 [4330-99-8] | М.м. 746,98 |
ОПРЕДЕЛЕНИЕ
(2RS)-N,N,2-Триметил-3-(10H-фенотиазин-10-ил)пропан-1-амина (2R,3R)-2,3-дигидроксибутандиоат (2:1).
Содержит не менее 99,0% и не более 101,0% алимемазина тартрата (C18H22N2S)2·C4H6O6 в пересчете на сухое вещество.
СВОЙСТВА
Описание. Белый или белый со слегка желтоватым оттенком мелкокристаллический порошок.
<*> Чувствителен к свету и воздействию воздуха.
--------------------------------
<*> Приводится для информации.
Растворимость. Легко растворим в воде, умеренно растворим в спирте 96%, практически нерастворим в толуоле.
ИДЕНТИФИКАЦИЯ
1. ИК-спектрометрия (
ОФС "Спектрометрия в средней инфракрасной области"). Инфракрасный спектр субстанции, снятый в диске с калия бромидом, в области от 4000 до 400 см
-1 по положению полос поглощения должен соответствовать спектру фармакопейного стандартного образца алимемазина тартрата.
2. Качественная реакция. Растворяют 25 мг субстанции в 1 мл метанола. Полученный раствор должен давать характерную реакцию Б на тартраты (
ОФС "Общие реакции на подлинность").
ИСПЫТАНИЯ
Температура плавления. От 159 до 163 °C (ОФС "Температура плавления",
метод 1).
Прозрачность раствора. Опалесценция раствора 1,0 г субстанции в 10 мл воды не должна превышать эталон сравнения II (
ОФС "Прозрачность и степень опалесценции (мутности) жидкостей").
Цветность раствора. Раствор, полученный в
испытании "Прозрачность раствора", должен выдерживать сравнение с эталоном BY
5 (ОФС "Степень окраски жидкостей",
метод 2).
pH раствора. От 5,0 до 6,5 (2% раствор, ОФС "Ионометрия",
метод 3). Раствор используют свежеприготовленным и защищают от света.
Родственные примеси. Определение проводят методом ВЭЖХ (
ОФС "Высокоэффективная жидкостная хроматография").
Все растворы используют свежеприготовленными и защищают от света.
Раствор А. В мерную колбу вместимостью 1000 мл помещают 3,854 г аммония ацетата, растворяют в воде и доводят объем раствора водой до метки.
Подвижная фаза (ПФ). Ацетонитрил - метанол - раствор А 100:400:500.
Растворитель. Ацетонитрил - вода 20:80.
Испытуемый раствор. В мерную колбу вместимостью 100 мл помещают 35 мг (точная навеска) субстанции, растворяют в растворителе и доводят объем раствора растворителем до метки.
Раствор сравнения. В мерную колбу вместимостью 100 мл помещают 1,0 мл испытуемого раствора и доводят объем раствора растворителем до метки. В мерную колбу вместимостью 10 мл помещают 1,0 мл полученного раствора и доводят объем раствора растворителем до метки.
Раствор для проверки разделительной способности хроматографической системы. В мерную колбу вместимостью 10 мл помешают 3,5 мг фармакопейного стандартного образца алимемазина для проверки пригодности хроматографической системы (содержит примеси A, B и C), растворяют в растворителе и доводят объем раствора растворителем до метки.
Раствор для проверки чувствительности хроматографической системы. В мерную колбу вместимостью 10 мл помещают 5,0 мл раствора сравнения и доводят объем раствора растворителем до метки.
Примечание
Примесь A: 10-[(2
RS)-3-(диметиламино)-
N,
N,2-триметилпропил]-10
H-

-фенотиазин-5-он [10071-07-5].
Примесь B: (2RS)-N,2-диметил-3-(10H-фенотиазин-10-ил)пропан-1-амин [22732-04-3].
Примесь C: 10H-фенотиазин [92-84-2].
Хроматографические условия
Колонка | 150 x 4,6 мм, силикагель октадецилсилильный, деактивированный по отношению к основаниям, эндкепированный, для хроматографии, 3 мкм; |
Температура колонки | 40 °C; |
Скорость потока | 1,3 мл/мин; |
Детектор | спектрофотометрический, 253 нм; |
Объем пробы | 20 мкл; |
Время хроматографирования | 2-кратное от времени удерживания пика алимемазина. |
Хроматографируют раствор для проверки чувствительности хроматографической системы, раствор для проверки разделительной способности хроматографической системы, раствор сравнения и испытуемый раствор.
Относительное время удерживания соединений. Алимемазин - 1 (около 27 мин); примесь A - около 0,1; примесь B - около 0,5; примесь C - около 1,4.
Идентификация примесей. Для идентификации пиков примесей A, B и C используют относительное время удерживания соединений, хроматограмму раствора для проверки разделительной способности хроматографической системы и хроматограмму, прилагаемую к фармакопейному стандартному образцу алимемазина для проверки пригодности системы.
Пригодность хроматографической системы. На хроматограмме раствора для проверки чувствительности хроматографической системы отношение сигнал/шум (S/N) для пика алимемазина должно быть не менее 10.
На хроматограмме раствора для проверки разделительной способности хроматографической системы разрешение (RS) между пиками алимемазина и примеси C должно быть не менее 5,0.
Поправочные коэффициенты. Для расчета содержания примесей площади пиков следующих примесей умножают на соответствующие поправочные коэффициенты: примесь A - 4,4; примесь C - 0,4.
Допустимое содержание примесей. На хроматограмме испытуемого раствора:
- площадь пика примеси B не должна более чем в 3 раза превышать площадь пика алимемазина на хроматограмме раствора сравнения (не более 0,3%);
- площадь пика каждой из примесей A и C не должна более чем в 1,5 раза превышать площадь пика алимемазина на хроматограмме раствора сравнения (не более 0,15%);
- площадь пика любой другой примеси не должна превышать площадь пика алимемазина на хроматограмме раствора сравнения (не более 0,10%);
- сумма площадей пиков всех примесей не должна превышать пятикратную площадь пика алимемазина на хроматограмме раствора сравнения (не более 0,5%).
Не учитывают пики, площадь которых менее площади пика алимемазина на хроматограмме раствора для проверки чувствительности хроматографической системы (менее 0,05%).
Потеря в массе при высушивании. Не более 0,5% (ОФС "Потеря в массе при высушивании",
способ 1). Высушивают 1 г (точная навеска) субстанции в течение 3 ч при температуре 105 °C.
Сульфатная зола. Не более 0,1% (
ОФС "Сульфатная зола"). Для определения используют 1 г (точная навеска) субстанции.
Тяжелые металлы. Не более 0,002%. Определение проводят в соответствии с ОФС "Тяжелые металлы"
(метод 3Б), в зольном остатке, полученном в
испытании "Сульфатная зола", с использованием эталонного раствора 2.
Остаточные органические растворители. В соответствии с
ОФС "Остаточные органические растворители".
<**> Бактериальные эндотоксины. Не более 3,5 ЕЭ на 1 мг алимемазина тартрата (
ОФС "Бактериальные эндотоксины").
--------------------------------
<**> Испытания проводят для субстанции, предназначенной для производства лекарственных препаратов для парентерального применения.
Микробиологическая чистота. В соответствии с
ОФС "Микробиологическая чистота".
КОЛИЧЕСТВЕННОЕ ОПРЕДЕЛЕНИЕ
Определение проводят методом титриметрии (
ОФС "Титриметрия (титриметрические методы анализа)").
Растворяют 0,3 г (точная навеска) субстанции в 50 мл уксусной кислоты безводной и титруют 0,1 М раствором хлорной кислоты. Конечную точку титрования определяют потенциометрически (
ОФС "Потенциометрическое титрование").
Параллельно проводят контрольный опыт.
1 мл 0,1 М раствора хлорной кислоты соответствует 37,35 мг алимемазина тартрата (C18H22N2S)2·C4H6O6.
ХРАНЕНИЕ
В герметично укупоренной упаковке. В защищенном от света месте.