Главная // Актуальные документы // Государственная фармакопея
СПРАВКА
Источник публикации
Документ опубликован не был
Примечание к документу
Текст документа приведен в соответствии с публикацией на сайте https://minzdrav.gov.ru/ по состоянию на 23.08.2023.

В соответствии с Приказом Минздрава России от 20.07.2023 N 377 данный документ введен в действие с 01.09.2023.
Название документа
"ФС.2.1.0338. Фармакопейная статья. Хлорпротиксена гидрохлорид. Хлорпротиксен"
(утв. и введена в действие Приказом Минздрава России от 20.07.2023 N 377)
("Государственная фармакопея Российской Федерации. XV издание")


"ФС.2.1.0338. Фармакопейная статья. Хлорпротиксена гидрохлорид. Хлорпротиксен"
(утв. и введена в действие Приказом Минздрава России от 20.07.2023 N 377)
("Государственная фармакопея Российской Федерации. XV издание")


Содержание


МИНИСТЕРСТВО ЗДРАВООХРАНЕНИЯ РОССИЙСКОЙ ФЕДЕРАЦИИ
ФАРМАКОПЕЙНАЯ СТАТЬЯ
Хлорпротиксена гидрохлорид
Хлорпротиксен
Chlorprothixeni hydrochloridum
ФС
Вводится впервые
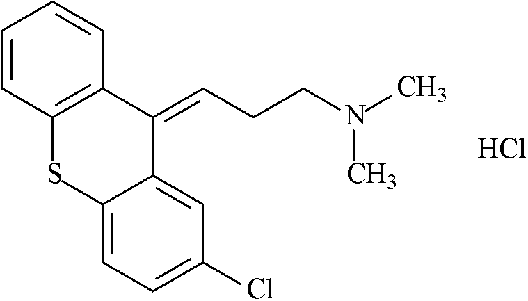
C18H18ClNS·HCl
[6469-93-8]
М.м. 352,32
ОПРЕДЕЛЕНИЕ
(Z)-3-(2-Хлор-9H-тиоксантен-9-илиден)-N,N-диметилпропан-1-амина гидрохлорид.
Содержит не менее 99,0% и не более 101,0% хлорпротиксена гидрохлорида C18H18ClNS·HCl пересчете на сухое вещество.
СВОЙСТВА
Описание. Белый или почти белый кристаллический порошок.
Растворимость. Растворим в воде и спирте 96%, мало растворим в метиленхлориде.
ИДЕНТИФИКАЦИЯ
1. ИК-спектрометрия (ОФС "Спектрометрия в средней инфракрасной области"). Инфракрасный спектр субстанции в области от 4000 до 400 см-1 по положению полос поглощения должен соответствовать спектру фармакопейного стандартного образца хлорпротиксена гидрохлорида.
Подготовка образцов. Отдельно растворяют 25 мг субстанции и 25 мг фармакопейного стандартного образца хлорпротиксена гидрохлорида в 1 мл воды, прибавляют 0,1 мл натрия гидроксида раствора 8,5%, встряхивают с 2 мл метиленхлорида, отделяют органический слой, промывают его 0,5 мл воды, выпаривают досуха и высушивают остаток при температуре 45 +/- 5 °C.
2. Качественная реакция. Растворяют 20 мг субстанции в 2 мл воды, подкисляют азотной кислотой разведенной 12,5%, оставляют на 5 мин и центрифугируют. Супернатант должен давать характерную реакцию на хлориды (ОФС "Общие реакции на подлинность").
ИСПЫТАНИЯ
Температура плавления. От 219 до 221 °C (ОФС "Температура плавления", метод 1).
Прозрачность раствора. Раствор субстанции 1% в воде, свободной от углерода диоксида, должен быть прозрачным (ОФС "Прозрачность и степень опалесценции (мутности) жидкостей").
Цветность раствора. Раствор, полученный в испытании "Прозрачность раствора", должен быть бесцветным (ОФС "Степень окраски жидкостей", метод 2).
pH. От 4,4 до 5,2 (раствор, полученный в испытании "Прозрачность раствора", ОФС "Ионометрия", метод 3).
Родственные примеси. Определение проводят методом ВЭЖХ (ОФС "Высокоэффективная жидкостная хроматография").
Растворы, содержащие хлорпротиксена гидрохлорид и его примеси, защищают от света.
Подвижная фаза (ПФ). В мерную колбу вместимостью 1000 мл помещают 6,0 г калия дигидрофосфата, 2,9 г натрия лаурилсульфата и 9,0 г тетрабутиламмония бромида, растворяют в смеси метанол - ацетонитрил - вода 5:40:55 и доводят объем раствора тем же растворителем до метки.
Испытуемый раствор. В мерную колбу вместимостью 20 мл помещают 20 мг субстанции, растворяют в ПФ и доводят объем раствора ПФ до метки.
Раствор сравнения. В мерную колбу вместимостью 100 мл помещают 1,0 мл испытуемого раствора и доводят объем раствора ПФ до метки. В мерную колбу вместимостью 10 мл помещают 1,0 мл полученного раствора и доводят объем раствора ПФ до метки.
Раствор для проверки разделительной способности хроматографической системы. Содержимое флакона фармакопейного стандартного образца хлорпротиксена для проверки пригодности хроматографической системы, содержащего примеси C и F, растворяют в 1,0 мл ПФ.
Примечание
Примесь C: (Z)-3-(2-хлор-9H-тиоксантен-9-илиден)-N-метилпропан-1-амин [51382-91-3].
Примесь F: (E)-3-(2-хлор-9H-тиоксантен-9-илиден)-N,N-диметилпропан-1-амин [4546-35-4].
Хроматографические условия
Колонка
100 x 4,0 мм, силикагель октадецилсилильный, деактивированный по отношению к основаниям, эндкепированный, для хроматографии, 3 мкм;
Температура колонки
25 °C;
Скорость потока
1,0 мл/мин;
Детектор
спектрофотометрический, 254 нм;
Объем пробы
20 мкл;
Время хроматографирования
2-кратное от времени удерживания пика хлорпротиксена.
Хроматографируют раствор для проверки разделительной способности хроматографической системы, раствор сравнения и испытуемый раствор.
Относительное время удерживания соединений. Хлорпротиксен - 1 (около 10 мин); примесь C - около 1,25; примесь F - около 1,33.
Для идентификации пиков примесей C и F используют хроматограмму раствора для проверки разделительной способности хроматографической системы и хроматограмму, прилагаемую к фармакопейному стандартному образцу хлорпротиксена для проверки пригодности хроматографической системы.
Пригодность хроматографической системы. На хроматограмме раствора для проверки разделительной способности хроматографической системы разрешение (RS) между пиками хлорпротиксена и примеси C должно быть не менее 3,0.
Допустимое содержание примесей. На хроматограмме испытуемого раствора:
- площадь пика примеси F не должна более чем в 5 раз превышать площадь основного пика на хроматограмме раствора сравнения (не более 0,5%);
- площадь пика любой другой примеси не должна превышать площадь основного пика на хроматограмме раствора сравнения (не более 0,10%);
- суммарная площадь пиков всех примесей не должна превышать восьмикратную площадь основного пика на хроматограмме раствора сравнения (не более 0,8%).
Не учитывают пики, площадь которых менее 0,5 площади основного пика на хроматограмме раствора сравнения (менее 0,05%).
Потеря в массе при высушивании. Не более 0,5% (ОФС "Потеря в массе при высушивании", способ 3). Высушивают 1 г (точная навеска) субстанции в вакууме до постоянной массы при температуре 60 °C.
Сульфатная зола. Не более 0,1% (ОФС "Сульфатная зола"). Для определения используют 1 г (точная навеска) субстанции.
Тяжелые металлы. Не более 0,002% (ОФС "Тяжелые металлы", метод 9).
Остаточные органические растворители. В соответствии с ОФС "Остаточные органические растворители".
Микробиологическая чистота. В соответствии с ОФС "Микробиологическая чистота".
КОЛИЧЕСТВЕННОЕ ОПРЕДЕЛЕНИЕ
Определение проводят методом титриметрии (ОФС "Титриметрия (титриметрические методы анализа)").
Растворяют 0,3 г (точная навеска) субстанции в смеси 5 мл хлористоводородной кислоты раствора 0,01 М и 50 мл спирта 96% и титруют 0,1 М раствором натрия гидроксида. Конечную точку титрования определяют потенциометрически (ОФС "Потенциометрическое титрование"). Учитывают объем титранта между двумя точками перегиба на кривой титрования.
Параллельно проводят контрольный опыт.
1 мл 0,1 М раствора натрия гидроксида соответствует 35,23 мг хлорпротиксена гидрохлорида C18H18ClNS·HCl.
ХРАНЕНИЕ
В защищенном от света месте.