Главная // Актуальные документы // ГОСТ (Государственный стандарт)СПРАВКА
Источник публикации
М.: Издательство стандартов, 1988
Примечание к документу
С 1 июля 2003 года до вступления в силу технических регламентов акты федеральных органов исполнительной власти в сфере технического регулирования носят рекомендательный характер и подлежат обязательному исполнению только в части, соответствующей целям, указанным в
пункте 1 статьи 46 Федерального закона от 27.12.2002 г. N 184-ФЗ.
Ограничение срока действия снято по Протоколу Межгосударственного Совета по стандартизации, метрологии и сертификации ("ИУС", N 2, 1993).
Срок действия продлен до 1 января 1993 года Постановлением Госстандарта СССР от 16.06.1987 N 2091.
Введен в действие с 1 января 1983 года.
Взамен ГОСТ 2585-69.
Название документа
"ГОСТ 2585-81. Выключатели автоматические быстродействующие постоянного тока. Общие технические условия"
(утв. Постановлением Госстандарта СССР от 01.12.1981 N 5182)
(ред. от 01.06.1987)
"ГОСТ 2585-81. Выключатели автоматические быстродействующие постоянного тока. Общие технические условия"
(утв. Постановлением Госстандарта СССР от 01.12.1981 N 5182)
(ред. от 01.06.1987)
Утвержден и введен в действие
Постановлением Госстандарта СССР
от 1 декабря 1981 г. N 5182
ГОСУДАРСТВЕННЫЙ СТАНДАРТ СОЮЗА ССР
ВЫКЛЮЧАТЕЛИ АВТОМАТИЧЕСКИЕ
БЫСТРОДЕЙСТВУЮЩИЕ ПОСТОЯННОГО ТОКА
ОБЩИЕ ТЕХНИЧЕСКИЕ УСЛОВИЯ
D. с. circuit-breakers with rapid aut-reclosing.
General technical specifications
ГОСТ 2585-81
| | Список изменяющих документов (в ред. Изменения N 1, утв. в июне 1987 г.) | |
Взамен ГОСТ 2585-69
Срок действия
с 1 января 1983 года
до 1 января 1993 года
Разработан и внесен Министерством электротехнической промышленности.
Исполнители: Л.И. Жуков, А.М. Куссуль, Л.К. Скурыгин.
Срок проверки - 1992 г; периодичность проверки 5 лет.
Стандарт полностью соответствует Публикации МЭК 157-1-73.
Ссылочные нормативно-технические документы
───────────────────────────────────┬──────────────────────────────
Обозначение НТД, на который │ Номер пункта, подпункта
дана ссылка │
───────────────────────────────────┼──────────────────────────────
ИС МЕГАНОРМ: примечание.
Приказом Ростехрегулирования от 22.06.2006 N 118-ст введен в
ИС МЕГАНОРМ: примечание.
Взамен ГОСТ 12.1.004-85 Постановлением Госстандарта СССР от
14.06.1991 N 875 с 1 июля 1992 года введен в действие
ИС МЕГАНОРМ: примечание.
Взамен ГОСТ 12.4.026-76 Постановлением Госстандарта РФ от
19.09.2001 N 387-ст с 1 января 2003 года введен в действие
Переиздание (август 1987 г.) с Изменением N 1, утвержденным в июне 1987 г. (ИУС 9-87).
Настоящий стандарт распространяется на автоматические быстродействующие выключатели постоянного тока (далее - выключатели) для внутренней установки на номинальные токи от 630 до 12500 А, номинальные напряжения от 230 до 3300 В, предназначенные для защиты полупроводниковых преобразователей, электрических машин и линий постоянного тока при коротких замыканиях, перегрузках и обратных токах в промышленных установках (например, электропривод прокатных станов) и в установках магистрального, промышленного и городского электрифицированного транспорта, в том числе на выключатели, изготовляемые на экспорт.
Стандарт не распространяется на выключатели, предназначенные для селективного срабатывания с выдержкой времени, а также на выключатели, работающие:
в среде, насыщенной пылью (например, угольной, абразивной, древесной);
в среде, содержащей едкие газы и пары, разрушающие металлы и изоляцию;
во взрывоопасной среде;
в местах, подверженных тряске и ударам;
на электровозах и другом подвижном составе, на подвижных средствах водного транспорта.
Термины, встречающиеся в стандартах, и их пояснения указаны в справочном
Приложении 1.
1. ИСПОЛНЕНИЯ И ОСНОВНЫЕ ПАРАМЕТРЫ
1.1. Выключатели должны изготовляться следующих исполнений.
1.1.1. По назначению:
максимального тока (линейные);
обратного тока (катодные);
анодные;
универсальные.
1.1.2. По направленности действия:
поляризованные;
неполяризованные.
1.2. Номинальные токи главных цепей выключателей максимального и обратного тока следует выбирать из ряда: 630; 1250; 2000; 2500; 4000; 6300; 10000; 12500 А.
Номинальный выпрямленный ток шестиполюсных анодных выключателей при нулевой схеме выпрямления "две обратных звезды с уравнительным реактором" должен быть 3200 или 6300 А.
Примечания. 1. Значение номинального рабочего тока выключателя при перегрузках в режимах 1 и 2, указанных в
п. 2.5, при температуре окружающего воздуха 40 °С и при непосредственной установке выключателя в помещении должно указываться в стандартах или в технических условиях на выключатели конкретных серий и типов.
2. Значение номинального рабочего тока выключателей устанавливается при следующих условиях работы:
температуре окружающего воздуха выше 40 °С;
параллельной работе выключателей;
установке выключателя в шкафу;
перегрузках выше номинального тока.
1.3. Номинальное напряжение главной цепи выключателей максимального тока следует выбирать из ряда: 230; 460; 660; 1050; 1650; 3300 В.
Номинальное выпрямленное напряжение главной цепи анодных выключателей должно быть:
до 1050 В - при нулевой схеме выпрямления "две обратных звезды с уравнительным реактором";
до 1650 В - при трехфазной мостовой схеме выпрямления.
Наибольшее рабочее напряжение главной цепи для номинальных напряжений главной цепи должно быть: 230 - 270; 460 - 530; 660 - 750; 1050 - 1200; 1650 - 2000; 3300 - 4100 В.
1.4. Номинальные напряжения цепей управления:
постоянного тока - 110; 220 В;
переменного тока частотой 50 Гц - 220 В.
1.5. Род установки выключателей:
непосредственно в закрытом помещении;
в закрытом помещении в шкафу.
1.6. Значение массы, габаритные и установочные размеры выключателей должны устанавливаться в стандартах или технических условиях на выключатели конкретных серий и типов.
1.7. Структура условного обозначения выключателей.
Х

Х - Х/Х - Х/Х - Х
│ │ │ │ │ │ │
└─────┼───┼─┼───┼─┼───┼─── Число полюсов (только для типовых
│ │ │ │ │ │ выключателей)
└───┼─┼───┼─┼───┼─── ВАБ - выключатель автоматический
│ │ │ │ │ быстродействующий без нормированного
│ │ │ │ │ коэффициента токоограничения;
│ │ │ │ │ ВАТ - выключатель автоматический токо-
│ │ │ │ │ ограничивающий с нормированным коэффи-
│ │ │ │ │ циентом токоограничения
└─┼───┼─┼───┼─── Порядковый номер конструкции
└───┼─┼───┼─── Порядковый номер модификации (у базовой
│ │ │ конструкции порядковый номер модифи-
│ │ │ кации не указывается)
└─┼───┼─── Номинальный ток
└───┼─── Номинальное напряжение 3 - 230 В;
│ 5 - 460 В; 6 - 660 Б; 10 - 1050 В;
│ 15 - 1650 В; 30 - 3300 В.
└─── Л - для выключателей максимального тока
(линейных); К - для выключателей
обратного тока (катодных).
Для универсальных выключателей буквы Л
и К не указываются
Пример условного обозначения выключателя автоматического быстродействующего, порядкового номера конструкции 43, на номинальный ток 4000 А, номинальное напряжение до 3300 В, максимального тока:
ВАБ-43-4000/30-Л
То же, шестиполюсного анодного автоматического токоограничивающего, порядкового номера конструкции 43, первой модификации, на номинальный ток 6300 А:
6 х ВАТ-43/1-6300
2. ТЕХНИЧЕСКИЕ ТРЕБОВАНИЯ
2.1. Выключатели должны изготавливаться в соответствии с требованиями настоящего стандарта, стандартов или технических условий на выключатели конкретных серий и типов по рабочим чертежам, утвержденным в установленном порядке.
2.2. Условия работы выключателей
2.2.1. Выключатели должны изготовляться климатического исполнения У, категории размещения 4 по
ГОСТ 15150-69.
Допускается применение выключателей в помещениях с параметрами внешней среды для категории 4
ГОСТ 15150-69, но без искусственно регулируемых климатических условий.
2.2.2. Высота установки над уровнем моря - не более 1000 м.
Выключатели на номинальное напряжение 3300 В могут устанавливаться на высоте до 1400 м над уровнем моря. При этом технические требования к выключателям могут отличаться от указанных в настоящем стандарте.
2.3. Защитные характеристики
По основным защитным характеристикам выключатели делятся на классы, указанные в табл. 1.
──────────────────────────────────────────────┬───────────────────
Характеристика выключателей │ Нормы для классов
├─────┬─────┬───────
│1 │2 │3
──────────────────────────────────────────────┼─────┼─────┼───────
1. Выключатели должны отключать аварийные │ │ │
токи в безындуктивной цепи, где максимальное │ │ │
значение аварийного тока, А, равно: │ │ │
а) выключатели максимального и обратного тока│ │ │
на номинальное напряжение до 1050 В и │ │ │
номинальные токи: │ │ │
630 А │15000│30000│30000
1250 А │25000│35000│50000
2000 А │30000│50000│70000
до 4000 А │30000│60000│90000
6300 А │40000│60000│100000
10000 А │60000│80000│100000
12500 А и выше │60000│80000│125000
на номинальное напряжение 1650 В │15000│30000│50000
на номинальное напряжение до 3300 В: │ │ │
одиночный выключатель │15000│20000│30000
два последовательно соединенных выключателя │15000│30000│40000
б) выключатели анодные │30000│40000│70000
2. Выключатели максимального и │ │ │
обратного тока должны отключать │ │ │
аварийные токи в индуктивной │ │ │
цепи, где максимальное значение │ │ │
аварийного тока, А, равно: │ │ │
а) выключатели на номинальное │ │ │
напряжение до 1050 В, номиналь- │ │ │
ный ток, индуктивность цепи: │ │ │
630 А 2 мГн │2000 │3000 │4000
1250 А 2 мГн │6000 │10000│10000
2000 А и выше 2 мГн │15000│20000│20000
4000 А 1 мГн │- │- │45000
6300 А 0,8 мГн │- │- │55000
10000 А 0,4 мГн │- │- │80000
12500 А и выше 0,35 мГн │- │- │90000
б) выключатели на номинальное напряжение 1650│ │ │
и 3300 В в цепи с индуктивностью 5 - 10 мГн: │ │ │
одиночный выключатель │10000│15000│20000
два последовательно соединенных выключателя │16000│20000│40000
3. Собственное время размыкания в цепи с │ │ │
максимальными значениями аварийного тока, │ │ │
указанными в
п. 1, при начальной крутизне │ │ │
кривой нарастания аварийного тока не менее │ │ │
6 │ │ │
3 х 10 А/с для выключателей на номинальное │ │ │
напряжение до 1650 В и не менее │ │ │
6 │ │ │
0,7 х 10 А/с для выключателей на номинальное │ │ │
напряжение 3300 В, в цепи с максимальным зна- │До │До │До
чением аварийного тока, указанным в п. 2б, с │0,008│0,005│0,002
4. Полное время отключения в безындуктивной │ │ │
цепи с параметрами, указанными в
п. 1 табл. 1,│ │ │
для выключателей максимального и обратного │ │ │
тока, с, не более │0,035│0,025│0,015
5. Полное время отключения анодных выключа- │ │ │
телей в цепи с параметрами, указанными в │ │ │
п. 1, с, не более │0,040│0,020│0,012
6. Полное время отключения выключателей │ │ │
максимального и обратного тока на напряжение │ │ │
3300 В в цепи с параметрами, указанными в │ │ │
п. 2б табл. 1, с, не более: │ │ │
для одиночного выключателя │0,08 │0,085│0,08
для двух последовательно включенных │0,08 │0,05 │0,05
7. Количество отключений тока в цепи без │ │ │
зачистки контактов, камеры, подрегулировки │ │ │
выключателя: │ │ │
с параметрами, указанными в
п. 1 табл. 1, │ │ │
не менее │3 │6 │6
при токе, равном половине величины, указанной│ │ │
в
п. 1 табл. 1 │10 │20 │15
в цепи с параметрами по
п. 2б при двух │ │ │
последовательно соединенных выключателях │6 │6 │6
В цепи с параметрами по току, равному поло- │ │ │
вине величины, указанной в
п. 2б табл. 1, при │ │ │
двух последовательно соединенных выключателях │ │ │
при отключении перегрузок и коротких замыканий│60 │60 │60
8. Коэффициент токоограничения при начальной │ │ │
крутизне кривой нарастания аварийного тока │ │ │
6 │ │ │
3 х 10 А/с для выключателей на номинальное │ │ │
напряжение до 1650 В при максимальном значении│Не │ │
аварийного тока, указанном в
п. 1, и уставке, │нор- │ │
ток которой равен номинальному току выключа- │миру-│ │
теля │ется │0,7 │0,5
9. Наименьший отключаемый ток для выключате- │ │ │
лей максимального тока в безындуктивной цепи │ │ │
при наибольшем рабочем напряжении, А, │ │ │
не более, на номинальные токи: │ │ │
630 А │60 │15 │2
св. 630 до 2000 А │200 │40 │2
св. 2000 А │400 │80 │2
для выключателей напряжением 3300 В │ │ │
на номинальный ток св. 2000 А в цепи, А: │ │ │
для одиночного выключателя │400 │80 │40
для двух выключателей, включенных последова- │ │ │
тельно │200 │40 │20
10. Напряжения, возникающие на главных кон- │ │ │
тактах выключателя в процессе отключения, %, │ │ │
от наибольшего рабочего напряжения цепи, если │ │ │
номинальные напряжения выключателя и цепи │ │ │
совпадают, не более: │ │ │
а) при отключении безындуктивной цепи с пара-│ │ │
метрами, указанными в
п. 1 табл. 1, выключа- │ │ │
тели на напряжение до 1050 В │200 │200 │200
б) при отключении цепи с параметрами, указан-│ │ │
ными в
п. 2а, выключатели на напряжение до │ │ │
1050 В │300 │200 │200
в) при отключении цепи с параметрами, указан-│ │ │
ными в
п. 2б, одиночным выключателем на напря-│ │ │
жение 1650 и 3300 В │220 │200 │200
При отключении цепи с параметрами, указанными│ │ │
в
п. 2б, двумя последовательно соединенными │ │ │
выключателями или выключателем с двумя │ │ │
разрывами │330 │330 │330
11. Наибольший ток включения выключателя │ │ │
максимального тока при напряжении цепи управ- │ │ │
ления 80% номинального и начальной скорости │ │ │
6 │ │ │
нарастания тока 0,5 х 10 А/с по отношению к │ │ │
току уставки, %, не менее │50 │70 │70
Примечания. 1. В стандартах или технических условиях на выключатели конкретных серий и типов для выключателей, устанавливаемых в шкафах, могут предусматриваться характеристики выключателей, отличающиеся от указанных в
табл. 1.
2. По согласованию между потребителем и изготовителем могут изготовляться выключатели для установки в цепи с отличными от указанных в
табл. 1 значениями аварийных токов.
3. При значении тока уставки более 6000 А полное время отключения в безындуктивной цепи увеличивается на 0,002 с на каждые дополнительные 3000 А.
4. Для выключателей максимального и обратного тока на напряжение 3300 В, производство которых освоено до 1975 г., полное время отключения в цепи с параметрами, указанными в
п. 2б, табл. 1, должно быть не более 0,10 с для одиночного выключателя.
5. Предприятие-изготовитель должно указывать в информационных материалах полное время отключения при индуктивности 2 мГн для выключателей на номинальное напряжение до 1050 В при токах по
п. 2а табл. 1, а также полное время отключения и напряжение на контактах при индуктивности 15 мГн для выключателей на номинальное напряжение 3300 В при токах, выбранных предприятием-изготовителем.
6. В табл. 1
п. 7 класс 1 количество отключений перегрузок и коротких замыканий без зачистки контактов, камеры, подрегулировки выключателя в цепи с параметрами по току равному половине величины, указанной в
п. 2б, табл. 1 при двух последовательно соединенных выключателях устанавливается 60 для вновь разрабатываемых выключателей.
7. По согласованию между потребителем и изготовителем выключатели могут изготовляться с наименьшим током отключения 20 А для выключателей 2-го класса на номинальный ток свыше 630 до 2000 А.
8. Предприятие-изготовитель должно указывать в информационных материалах значения

для выключателей 3-го класса на напряжение до 1650 В в цепи с параметрами по
пп. 1 и
2 табл. 1, а также параметры выключателей на напряжение 3300 В при начальной крутизне нарастания аварийного тока

А/с.
9. По согласованию между потребителем и изготовителем однотипные выключатели могут быть использованы для параллельной и последовательной работы.
2.4. Выключатели максимального и обратного тока, имеющие свободное расцепление, должны выдерживать операцию включения на короткое замыкание с последующим автоматическим отключением.
Выключатели при отключении короткого замыкания или искусственного обратного тока должны выдерживать без повреждений, препятствующих их дальнейшей работе, следующие циклы операций:
а) выключатели максимального тока, имеющие механизм свободного расцепления:
в цепях с параметрами по
п. 1 табл. 1: О-2-ВО-10-ВО или О-1-ВО;
в цепях с параметрами по
п. 2 табл. 1: О-6-ВО-10-ВО;
б) выключатели обратного тока:
в цепях с параметрами по
п. 1 табл. 1: О-10-В-10-О;
в) выключатели анодные:
три отключения обратного тока с интервалами 5 с.
Примечание. В условном обозначении цикла операций буквы означают:
О - операцию автоматического отключения тока короткого замыкания или обратного тока;
В - операцию включения;
ВО - операцию включения на короткое замыкание из отключенного положения и следующую за ней операцию автоматического отключения;
цифры - интервалы между смежными операциями, с.
2.5. Выключатели должны выдерживать следующие перегрузки по отношению к номинальному рабочему току.
Режим 1
25% в течение 15 мин - 1 раз в 2 ч при времени усреднения 2 ч;
50% в течение 2 мин - 1 раз в 1 ч при времени усреднения 1 ч.
При этом за время работы выключателя в режиме перегрузок среднее квадратичное значение тока за время усреднения не должно превышать номинальный рабочий ток выключателя.
Режим 2
75% в течение 60 с;
100% в течение 15 с;
150% в течение 10 с.
При этом перегрузки имеют циклический характер и за время цикла, состоящего из перегрузки и паузы, среднеквадратичное значение тока не должно превышать номинальный рабочий ток. Время усреднения - 10 мин.
2.6. Выключатели должны обеспечивать надежное включение и отключение при напряжении цепи управления в пределах 80 - 110% номинального при нагретых удерживающих катушках.
2.7. Допустимые превышения температуры над температурой окружающего воздуха 40 °С неизолированных токоведущих частей при номинальном токе указаны в табл. 2.
───────────────────────────────────────┬──────────────────────────
Наименование неизолированных │Допустимое превышение тем-
токоведущих частей выключателя │пературы, °С, не более
───────────────────────────────────────┼──────────────────────────
1. Медные массивные размыкаемые │70
контакты │
2. Массивные размыкаемые контакты с │Температура нагрева огра-
припаянными пластинками из серебра │ничивается теплостойкостью
│соседних частей, но не
│должна превышать 200 °С
3. Контактные соединения, не защищен- │50
ные от коррозии в местах контактов, │
с нажатием, осуществляемым болтами или │
другими способами, обеспечивающими │
жесткость соединений │
4. Контактные соединения с нажатием │65
по п. 3 табл. 2, защищенные в местах │
контактов слоем олова или кадмия │
5. Контактные соединения главной цепи │130
с нажатием по п. 3, защищенные в местах│
контактов слоем серебра │
6. Контактные зажимы для присоединения│65
внешних проводников, защищенные в мес- │
тах контактов слоем олова или кадмия │
Примечания. 1. Указанное в
п. 5 табл. 2 превышение температуры допускается для таких контактных соединений с гальваническим покрытием серебром, в которых слой серебра не повреждается электрической дугой и не стирается при испытаниях на механическую стойкость путем многократных включений и отключений выключателя в соответствии с требованиями
п. 2.20 настоящего стандарта. В противном случае эти контактные соединения должны рассматриваться как не имеющие покрытия серебром.
2. Допустимая температура относится к чистым, неокисленным и неподгоревшим контактным поверхностям соответствующей токоведущей части.
3. Допустимая температура неизолированных токоведущих частей выключателя в том случае, если они соприкасаются с какой бы то ни было изоляцией, не должна превышать установленной для изолирующего материала.
4. По согласованию между потребителем и изготовителем контактные зажимы для присоединения внешних проводников с гальваническим покрытием серебром в местах контактов могут иметь превышение температуры в соответствии с
п. 5 табл. 2.
2.8. Допустимые превышения температуры над температурой окружающего воздуха 40 °С изолированных токоведущих частей выключателя при номинальном токе указаны в табл. 3.
───────────────────────────┬──────────────────────────────────────
Наименование изолированных │Допустимое превышение температуры, °С,
токоведущих частей │не более, для изоляционных материалов,
выключателя │ классов нагревостойкости
├───────┬───────┬───────┬───────┬──────
│ А │ Е │ В │ F │ Н
───────────────────────────┼───────┼───────┼───────┼───────┼──────
1. Многослойные обмотки │60 │75 │85 │105 │125
большого сопротивления │ │ │ │ │
(параллельные обмотки) │ │ │ │ │
2. Единичные проводники, │65 │80 │90 │110 │130
однослойные обмотки, много-│ │ │ │ │
слойные обмотки малого │ │ │ │ │
сопротивления (последова- │ │ │ │ │
тельные обмотки) │ │ │ │ │
2.9. Изоляция частей выключателя должна выдерживать в течение 1 мин испытание переменным током частоты 50 Гц. Действующие значения испытательных напряжений, которые прикладывают к частям выключателя, указаны в табл. 4.
Таблица 4
───────────────────────────┬──────────────────────────────────────
Части выключателя, между │Испытательное напряжение при номиналь-
которыми прикладывают │ном напряжении выключателя, действу-
испытательное напряжение │ющее значение, В
├────────────────────┬─────────────────
│Выключатели макси- │Анодные выключа-
│мального и обратного│тели на напряже-
│тока (напряжение, В)│ние 1050 В при
│ │нулевой схеме и
├──────┬───────┬─────┤на напряжение
│до 600│до 1650│3300 │1650 В при
│включ.│включ. │ │мостовой схеме
───────────────────────────┼──────┼───────┼─────┼─────────────────
1. Между катушками, пита- │3000 │5000 │15000│8200
емыми от цепей управления, │ │ │ │
и корпусом │ │ │ │
2. Между неподвижным глав-│3000 │5000 │15000│5000
ным контактом и корпусом │ │ │ │
при открытой камере │ │ │ │
3. Между блок-контактами и│3000 │5000 │15000│8200
корпусом │ │ │ │
4. Между разомкнутыми │3000 │5000 │10000│5000
главными контактами при │ │ │ │
открытой дугогасительной │ │ │ │
камере │ │ │ │
5. Между корпусом и зазем-│3000 │5000 │15000│8200
ленным основанием │ │ │ │
6. Между разомкнутыми │3000 │4000 │8000 │4000
главными контактами при │ │ │ │
закрытой дугогасительной │ │ │ │
камере │ │ │ │
7. Между разомкнутыми │2000 │2000 │2000 │2000
блок-контактами │ │ │ │
2.10. Изоляция обмоток катушек управления постоянного тока между смежными ее витками должна выдерживать в течение 1 мин испытательное напряжение переменного тока, приложенное к выводам обмоток. Действующее значение испытательного напряжения должно быть равно 2,5-кратному номинальному напряжению обмоток.
2.11. Выключатели максимального тока и их датчики (реле и т.д.) должны иметь шкалу уставок тока. Выключатели максимального тока или их датчики на номинальный ток 1250 А и более должны снабжаться устройством для проверки уставок прямым и косвенным методом.
2.12. У выключателей обратного тока и анодных выключателей уставка может быть нерегулируемая, причем у выключателей обратного тока уставка должна быть возможно меньшей и не более номинального тока выключателя.
2.13. У выключателей максимального тока на шкале уставок должны быть нанесены несколько значений токов уставки. Пределы токов уставки указаны в табл. 5.
Таблица 5
А
─────────────────────────────────┬────────────────────────────────
Номинальный ток выключателя │ Пределы токов уставки
─────────────────────────────────┼────────────────────────────────
630 │500 - 1800
1250 │800 - 4000
2000 │1600 - 6000
4000 │2000 - 12000
6300 │4800 - 18000
10000 │8000 - 24000
12500 │10000 - 30000
Примечание. Указанные пределы токов уставки могут обеспечиваться несколькими исполнениями выключателя с более узкими пределами токов уставки. По согласованию между потребителем и изготовителем могут изготовляться выключатели с другими диапазонами уставок.
2.14. Отклонение значения токов срабатывания для выключателей максимального тока не должно превышать +/- 10% от величины тока уставки при напряжении цепи управления выключателя от 80 до 110% номинального.
В стандартах или технических условиях на выключатели конкретных серий и типов может быть предусмотрено отклонение значений токов срабатывания до +/- 5%.
Отклонение значений токов срабатывания не должно превышать +/- 5%.
2.15. Выключатель должен иметь ручной или электрический привод для дистанционного включения и отключения.
2.16. Выключатели должны иметь блок-контакты.
Выключатели максимального и обратного тока должны иметь не менее двух замыкающихся и двух размыкающихся блок-контактов.
Анодные выключатели должны иметь на каждый полюс не менее одного замыкающего и одного размыкающего блок-контакта. По требованию потребителя число блок-контактов должно быть увеличено до четырех замыкающих и четырех размыкающих у выключателей максимального и обратного тока и до двух замыкающих и двух размыкающих у анодных выключателей.
2.17. Блок-контакты выключателей должны отключать токи, указанные в табл. 6.
Таблица 6
──────────────────────────────────┬─────────────┬─────────────────
Вид коммутации │Напряжение, В│Наибольший отклю-
│ │чаемый ток, А
──────────────────────────────────┼─────────────┼─────────────────
Постоянный ток: │ │
включение и отключение (L/R комму-│110 │0,5
тируемой цепи, не более 0,05 с) │220 │0,2
включение и отключение в безындук-│110 │1,0
тивной цепи │220 │0,5
Переменный ток - включение и от- │До 220 │6
ключение (при коэффициенте мощнос-│ │
ти не менее 0,3 - 0,4) │ │
Примечание. По требованию потребителя должны изготовляться выключатели, у которых один из блок-контактов обеспечивает разрыв тока 1 А при напряжении 110 В и 0,5 А при напряжении 220 В при L/R коммутируемой цепи 0,05 с.
2.18. Блок-контакты и зажимы цепи управления, сигнализации и блокировки должны допускать непрерывную нагрузку током 4 А, при этом превышение температуры их не должно быть более значений, указанных в
п. 2.8.
2.19. Катушки управления выключателя должны допускать десятикратное включение и отключение выключателя при напряжении цепи управления, равном 110% номинального, и схеме управления предприятия-изготовителя, при этом превышение температуры обмоток не должно быть более значений, указанных в п. 1.9.
2.20. При отсутствии тока в главной цепи выключатель должен выдерживать указанное ниже количество циклов включения и отключений посредством дистанционного электрического привода при номинальном напряжении цепи управления и схеме управления предприятия-изготовителя:
выключатели на номинальный ток до 12500 А включительно - 20000, по согласованию изготовителя с потребителем - 50000.
Количество циклов в указанном диапазоне должно указываться в стандартах или технических условиях на выключатели конкретных серий и типов.
После указанного количества циклов выключатель должен быть пригоден к дальнейшей работе, причем допускается незначительная подрегулировка механизма выключателя и замена быстроизнашивающихся деталей в процессе эксплуатации входящими в комплект выключателя запасными частями.
(Измененная редакция, Изм. N 1.)
2.21. Блок-контакты выключателя должны выдерживать 3500 размыканий и 3500 замыканий переменного тока 0,5 А напряжением 220 В и постоянного тока 0,5 А, 110 В при неиндуктивной нагрузке без износа и механических повреждений, препятствующих их дальнейшей работе. Во время испытания допускается зачистка контактных поверхностей блок-контактов.
2.22. Выключатели максимального и обратного тока должны изготовляться со свободным расцеплением или без него в зависимости от условий работы выключателя и по согласованию изготовителя с потребителем. Анодные выключатели могут изготовляться без свободного расцепления.
2.23. Сменные части однотипных выключателей (например, контакты) должны быть взаимозаменяемыми.
2.24. Конструкция выключателя должна обеспечивать легкий и удобный доступ к главным и дугогасительным контактам и блок-контактам для их осмотра и смены.
2.25. Конструкция устройства, регулирующего ток уставки выключателя максимального тока, должна предусматривать возможность его пломбирования.
2.26. Винтовые соединения на подвижных частях выключателя должны быть предохранены от самоотвинчивания.
2.27. Все стальные детали выключателей, за исключением плоскостей прилегания якоря, удерживающих электромагнитов и трущихся частей, должны иметь антикоррозийное покрытие или должны быть смазаны.
2.28. Трущиеся детали выключателя, требующие для надежной работы систематической смазки, должны иметь отверстия или приспособления для смазки или быть легко доступными для нее.
2.29. Выключатели должны быть механически прочными и устойчивыми в соответствии с требованиями ГОСТ 17516-72.
2.30. Установленная безотказная наработка по механической износостойкости должна быть не менее указанной в
п. 2.20.
Установленный срок службы выключателя до списания - не менее 20 лет.
(Измененная редакция, Изм. N 1.)
2.31. Установленная безотказная наработка блок-контактов должна быть не менее указанной в
п. 2.21.
(Введен дополнительно, Изм. N 1.)
3.1. В комплект выключателя должны входить:
а) аппаратура управления и сигнализации по схеме управления предприятия-изготовителя;
б) запасные части по ведомости ЗИП.
Количество аппаратов, входящих в комплект выключателя, устанавливается в стандартах или технических условиях на выключатели конкретных серий и типов.
| | ИС МЕГАНОРМ: примечание. Приказом Ростехрегулирования от 22.06.2006 N 118-ст введен в действие с 1 сентября 2006 года ГОСТ 2.601-2006. | |
3.2. К комплекту выключателя должна прилагаться эксплуатационная документация по ГОСТ 2.601-68: паспорт, техническое описание, инструкция по эксплуатации, ведомости ЗИП.
Количество эксплуатационных документов, прилагаемых к выключателям, должно устанавливаться в стандартах или технических условиях на выключатели конкретных серий и типов.
4. ТРЕБОВАНИЯ БЕЗОПАСНОСТИ
| | ИС МЕГАНОРМ: примечание. Взамен ГОСТ 12.1.004-85 Постановлением Госстандарта СССР от 14.06.1991 N 875 с 1 июля 1992 года введен в действие ГОСТ 12.1.004-91. | |
4.1. Требования безопасности к конструкции выключателей должны соответствовать
ГОСТ 12.2.007.0-75, ГОСТ 12.1.004-85 и устанавливаться в стандартах или технических условиях на выключатели конкретных серий и типов.
4.3. Все нетоковедущие части, кроме частей, находящихся под напряжением, и частей, закрепленных в изоляционном материале и изолированных как от заземленных, так и от находящихся под напряжением частей, в выключателях классов защиты 0I и I должны быть соединены с элементами, предназначенными для заземления.
4.4. При установке выключателей должна быть исключена возможность случайного прикосновения к выключателю, находящемуся под напряжением. Выключатели должны быть установлены в заземленном металлическом шкафу, за заземленным сетчатым ограждением или в отдельном помещении, двери которых должны иметь блокировку, исключающую возможность прикосновения к выключателю, находящемуся под напряжением.
На дверях шкафа, ограждения или помещения, где установлены выключатели, должны быть нанесены предупредительные надписи и знаки.
| | ИС МЕГАНОРМ: примечание. Взамен ГОСТ 12.4.026-76 Постановлением Госстандарта РФ от 19.09.2001 N 387-ст с 1 января 2003 года введен в действие ГОСТ Р 12.4.026-2001. | |
4.5. На выключателе, в месте, удобном для обзора, должен быть нанесен предупредительный знак по ГОСТ 12.4.026-76.
4.6. В схеме управления должна быть обеспечена блокировка против повторения операций включения и отключения выключателя, когда команда на включение продолжает оставаться поданной после автоматического отключения выключателя.
4.7. Опасная зона выхлопа выключателей должна устанавливаться в стандартах или технических условиях на выключатели конкретных серий и типов, а также указываться в инструкции по монтажу и эксплуатации.
4.8. Блок-контакты выключателей должны быть закрыты экраном, препятствующим прикосновению к цепям, находящимся под напряжением, во время наладки выключателей.
4.9. При ревизии и наладке выключателей следует остерегаться движущихся частей в момент включения и отключения выключателей.
4.10. В стандартах или технических условиях на выключатели конкретных серий и типов, а также в инструкции по монтажу и эксплуатации могут устанавливаться дополнительные требования безопасности выключателей.
5.1. Для проверки соответствия выпускаемых выключателей требованиям настоящего стандарта, стандартов или технических условий на конкретные серии и типы выключателей проводят приемосдаточные, периодические и типовые испытания.
5.2. Приемосдаточные испытания
Приемосдаточным испытаниям должен подвергаться каждый выпускаемый выключатель в объеме и по программе, указанной в табл. 7.
─────────────────────────────┬─────────────────────────┬──────────
Наименование испытаний │ Технические требования │ Методы
│ │испытаний
─────────────────────────────┼─────────────────────────┼──────────
катушек управления и │ │
намагничивания │ │
чения и отключения выключа- │ │
теля │ │
свободного расцепления │ │
контактов выключателя │ │
ния на токопроводе выключа- │ │
теля │ │
теля │ │
туры управления, поставляемой│ │
комплектно с выключателем │ │
прочности изоляции │ │
11. Проверка электрической │По технической │По
п. 6.14
прочности межвитковой изоля- │документации предприятия-│
ции катушек управления │разработчика │
выключателя │ │
Учитывая особенности отдельных типов выключателей, объем и порядок испытаний могут дополняться и изменяться.
5.3. Периодические испытания
5.3.1. Периодические испытания должны проводиться в объеме, указанном в табл. 8.
Таблица 8
───────────────────────────────┬───────────────────────┬──────────
Наименование испытаний и │Технические требования │ Методы
проверок │ │испытаний
───────────────────────────────┼───────────────────────┼──────────
2. Проверка возможности вклю- │По табл. 1,
п. 11 │По
п. 6.16
чения выключателя максимального│ │
тока на ток, равный 50 - 70% │ │
тока уставки │ │
5. Испытание на │По табл. 1,
пп. 1 -
10,│По п. 6.4
отключающую способность │24 │
5.3.2. Периодические испытания должны проводиться на одном образце выключателя (представитель серии) не реже одного раза в 5 лет с целью подтверждения технологического процесса производства и качества продукции.
5.3.3. Если в процессе периодических испытаний получены неудовлетворительные результаты, то разрабатываются и внедряются мероприятия, исключающие их повторение.
После внедрения этих мероприятий должны проводиться повторные испытания по тем пунктам программы, по которым были получены неудовлетворительные результаты, а также те, проведенные ранее испытания, на результаты которых могут повлиять внесенные изменения.
Результаты повторных испытаний являются окончательными.
5.4. Типовые испытания
5.4.1. Типовые испытания должны проводиться после освоения технологии производства выключателя (при запуске в серийное производство), а также при изменении конструкции, технологии, применяемых материалов, если эти изменения могут оказать влияние на качество выключателя.
5.4.2. Типовые испытания в полном объеме проводятся по программе периодических испытаний.
5.4.3. Необходимость проведения типовых испытаний и их объем при изменении конструкции, применяемых материалов или технологии производства определяются предприятием-разработчиком.
Допускается распространять на данный тип выключателя положительные результаты типовых и периодических испытаний изделий (или материалов), имеющих аналогичные конструкторские или технологические решения.
5.4.4. Допускается засчитывать испытания, проведенные на опытном образце, в качестве типовых, если опытный образец был изготовлен по технологии, предусмотренной для серийного производства.
Если это условие не соблюдено и испытания опытного образца не могут быть зачтены полностью, то допускается засчитывать отдельные виды испытаний, на результатах которых несоблюдение указанного условия не отражается.
5.5. Типовые испытания проводятся на одном образце выключателя (представителе серии).
5.6. Для проведения периодических и типовых испытаний должны быть взяты выключатели, изготовленные по технологии серийного производства, прошедшие приемосдаточные испытания.
5.7. Если периодическим и типовым испытаниям подвергнут выключатель, являющийся одним из типоисполнений серии выключателей, имеющих часть конструктивных элементов практически одинаковых, то другие выключатели этой серии могут не подвергаться отдельным видам указанных испытаний и на эти выключатели могут быть распространены результаты испытаний, проведенных на первом выключателе. Соответствующее техническое обоснование должно быть приведено в протоколе испытаний.
6.1. Испытание электрической прочности изоляции
6.1.1. Все испытания, если их режимы и условия не установлены в стандартах или технических условиях на отдельные виды, серии и типы электротехнических изделий, следует проводить при температуре и относительной влажности воздуха отапливаемого производственного помещения.
6.1.2. Испытание электрической прочности изоляции проводят в холодном состоянии выключателя. Изоляционные поверхности должны быть сухими и чистыми.
6.1.3. Полное испытательное напряжение следует прикладывать в течение 60 с.
6.1.4. Испытание электрической прочности изоляции проводят практически синусоидальным переменным током частоты 50 Гц.
6.1.5. Номинальная мощность испытательного трансформатора, применяемого для испытаний электрической прочности изоляции, должна быть не менее 0,5 кВ х А на каждые 1000 В одноминутного испытательного напряжения, но не менее 0,5 кВ.
6.1.6. Значение испытательного напряжения и места его приложения указаны в табл. 4.
6.1.7. Измерение напряжения производят непосредственно на стороне высшего напряжения испытательного трансформатора. За величину испытательного напряжения принимают его действующее значение.
6.1.8. Если в изделии имеются цепи, рассчитанные на меньшее испытательное напряжение (например, электронные аппараты, конденсаторы), то они должны быть отключены и подвергнуты испытанию отдельно. Если это невозможно, то условия проверки должны указываться в стандартах или технических условиях на отдельные виды, серии, типы изделий.
6.1.9. Аппарат считают выдержавшим испытание на электрическую прочность, если не произошло пробоя изоляции, перекрытия по поверхности, заметного нагревания изоляции или резкого снижения показаний включенного в сеть вольтметра. При испытаниях допускаются явления короны и шум от переменного тока.
Примечания. 1. Как исключение, допускается проводить испытания электрической прочности изоляции постоянным током. В этом случае испытательное напряжение должно быть в 1,41 раза выше действующего значения испытательного напряжения переменного тока.
2. При испытаниях изоляции между главными контактами при закрытой дугогасительной камере последняя должна быть предварительно просушена в течение 24 ч при температуре 110 - 120 °С.
6.2.1. Испытанию на нагрев подвергают новый полностью собранный и отрегулированный выключатель. Все внутренние соединения должны быть выполнены в соответствии с рабочими чертежами на выключатель.
6.2.2. Испытание на нагрев выключателя должно проводиться после испытания на механическую износостойкость, без каких-либо его переделок и ремонта.
6.2.3. Испытуемый выключатель должен находиться в положении, предназначенном для работы.
6.2.4. Испытание на нагрев выключателей максимального тока и обратного тока должно проводиться постоянным током, а полюсов анодных выключателей - пульсирующим током.
Примечание. Допускается испытывать полюса анодного выключателя постоянным током с поправкой на дополнительный нагрев от пульсирующего тока.
6.2.5. До испытания на нагрев и после испытаний необходимо измерять суммарное электрическое сопротивление (падение напряжения) токоведущей цепи аппарата и отдельных участков ее.
6.2.6. Испытание на нагрев номинальным током должно проводиться путем пропускания через выключатель постоянного во времени тока.
6.2.7. Испытание выключателя на нагрев в режиме перегрузок по
п. 2.5 должно проводиться путем пропускания через выключатель номинального рабочего тока.
6.2.8. Формулы расчета режимов
Испытание на нагрев в режиме перегрузок по
п. 2.5 проводится отдельно по каждому из указанных перегрузочных режимов до установившейся температуры или по одному из них, наиболее тяжелому для выключателя.
ФОРМУЛЫ РАСЧЕТА ПЕРЕГРУЗОЧНЫХ РЕЖИМОВ
Режим 1

- ток недогрузки, А;

- рабочий ток выключателя, А;

;
где

- ток перегрузки, А;

- коэффициент недогрузки;

- коэффициент перегрузки;

- время усреднения, с;

- время перегрузки, с.
Режим 2
где

- ток перегрузки, А;

- рабочий ток выключателя, А;

- время перегрузки, с;

- время паузы, с;

- коэффициент перегрузки.
6.2.9. Испытание на нагрев рекомендуется проводить при температуре окружающего воздуха в пределах 10 - 35 °С. При этом превышение температуры не должно быть более указанного в табл. 2,
п. 3.
6.2.10. Определение превышения температуры

в °С медного токопровода для окружающей температуры 40 °С производится по формуле
где

- замеренная температура (превышенная температура) контролируемой точки при температуре окружающей среды, при которой производится замер, °С;

- температура окружающей среды при измерении, °С.
6.2.11. При испытании на нагрев ток должен подводиться к выключателю кабелями или шинами длиной не менее 1,5 м. Сечение кабелей или шин должно выбираться с таким расчетом, чтобы превышение их температур на расстоянии 0,75 - 1 м от места присоединений к выключателю было не ниже 45 °С (допустимое отклонение плюс 3 °С).
Предприятие-разработчик может установить более высокое превышение температуры кабелей или шин.
6.2.12. Испытание на нагрев должно продолжаться до достижения установившейся температуры. Температура выключателя считается установившейся, если температура отдельных его частей не увеличивается более чем на 1 °С в течение 1 ч при условии, если нагрузка выключателя и температура окружающего воздуха остаются постоянными.
6.2.13. При испытании на нагрев выключатель должен быть защищен от посторонних воздушных течений и тепловых излучений.
6.2.14. Испытание на нагрев может начинаться как с холодного, так и с нагретого состояния выключателя. Для ускорения испытания допускается вести нагрев выключателя до 80% ожидаемой температуры током, превышающим номинальный не более чем в два раза.
6.2.15. Все коммутирующие контакты выключателя перед тепловыми испытаниями очищают от пыли и грязи и зачищают до металлического блеска.
6.2.16. При испытании выключателя на нагрев цепи управления (катушки управления, сопротивления), которые при нормальной работе обтекаются током, должны обтекаться номинальным током, если возможен их взаимный нагрев.
6.2.17. За температуру окружающей среды принимается среднее арифметическое значение показаний термометра, определенных через равные промежутки времени в течение последней четверти времени испытаний выключателя на нагрев. Термометр должен быть погружен до половины в наполненный трансформаторным маслом стеклянный или металлический сосуд объемом около 200 см3.
6.2.18. При определении превышения температуры методом термометра температуру измеряют ртутным или спиртовым термометром, прикладываемым к испытуемой детали выключателя.
6.2.19. Шарик термометра должен быть обернут тонкой фольгой и плотно прижат к детали, температура которой измеряется. Крепление термометра в течение испытаний не должно ослабевать. Та часть шарика термометра, которая не соприкасается с деталями выключателя, должна быть защищена ватой, асбестом, войлоком или другим подобным материалом таким образом, чтобы не ухудшались условия охлаждения испытуемой детали.
6.2.20. При определении превышения температуры термопарой последняя должна быть плотно прижата к испытуемой детали выключателя. Для точных измерений рекомендуется устанавливать термопары в специальные отверстия, высверленные в выключателе. Термопары в отверстиях уплотняются фольгой или же приклеиваются к детали выключателя.
6.2.21. Холодный спай термопары должен быть расположен в месте, не подверженном воздействию тепловых излучений и посторонних воздушных течений. Температура среды, окружающей холодный спай термопары, должна быть измерена термометром.
6.2.22. Провода термопары во избежание образования контуров, в которых могут индуктироваться электродвижущие силы, должны быть скручены между собой.
6.2.23. При изменении температуры методом сопротивления превышение температуры v в °С для медной проволоки вычисляется по формуле
где

- сопротивление обмотки при температуре

, Ом;

- сопротивление обмотки при температуре

, Ом;

- температура окружающей среды при измерении сопротивления обмотки в холодном состоянии, °С;

- температура окружающей среды при измерении сопротивления в нагретом состоянии, °С.
6.2.24. Выключатель считается выдержавшим испытание на нагрев, если результаты испытаний показывают, что температуры частей выключателя не превышают температур, указанных в
табл. 2 и
3.
6.3. Механические испытания выключателя на механическую износостойкость проводят в соответствии с требованиями
пп. 2.17,
2.20,
2.21 настоящего стандарта без токовой нагрузки в главной цепи по
ГОСТ 2933-83.
6.4. Испытание выключателя на отключающую способность
6.4.1. Испытания проводят на испытательных установках предприятия-разработчика или на установках других предприятий, на которых могут быть получены требуемые токи отключения при напряжениях, указанных в
п. 2.3 (прямое испытание).
Примечание. В случае недостаточной мощности испытательных установок напряжением до 1050 В допускается проводить испытания выключателя или его полюса не прямыми методами, а с помощью искусственных схем.
6.4.2. При испытании на отключающую способность выключатель устанавливают в рабочее положение.
6.4.3. Испытания на отключающую способность в режиме однократных отключений и в цикле АПВ выключателей максимального и обратного тока проводят в режиме отключения искусственного короткого замыкания.
6.4.4. Испытания на отключающую способность анодных выключателей проводят в режиме искусственного тока обратного направления в анодной цепи преобразователя.
6.4.5. Испытания на отключающую способность проводят при:
а) наибольшем рабочем напряжении выключателя, но не ниже 0,85 наибольшего рабочего напряжения; для выключателей на 3300 В при величине не ниже 0,95 наибольшего рабочего напряжения;
б) токи уставки не ниже номинального тока выключателя; при испытании выключателей на 3300 В часть опытов проводят при наибольшей уставке и предварительной нагрузке, равной половине наибольшей уставки;
в) минимально допустимом давлении контактов в соответствии с информацией предприятия-разработчика;
г) максимально допустимом напряжении цепей управления.
Коэффициент токоограничения по
табл. 1 определяют при начальной крутизне нарастания тока

А/с. Допускается определять коэффициент токоограничения при большей крутизне, при этом в результате дальнейшего увеличения крутизны нарастания тока на

А/с коэффициент токоограничения увеличивается на 0,1.
6.4.6. При испытании на отключающую и на включающую способность (например, режим АПВ) величины тока и напряжения на контактах выключателя в момент отключения, время горения дуги, собственное и полное время выключателя, начальная скорость нарастания тока, ограничивающая способность выключателя определяются по осциллограммам.
6.4.7. При испытании на отключающую способность анодных выключателей необходимо с помощью синхронизирующего устройства производить включение на аварийные режимы в различные моменты времени.
При отсутствии синхронизирующего устройства допускается проведение достаточного количества опытов отключения аварийных токов для получения возможно полной характеристики отключающей способности выключателя.
6.4.8. При испытании на отключающую способность дуга или ионизированные газы не должны распространяться дальше установленного предела. Это может проверяться с помощью металлических экранов, установленных около выключателя и заземленных через константановую проволоку диаметром 0,1 мм, длиной 30 мм и дополнительные сопротивления, ограничивающие ток со стороны линии. Перегорание этой проволоки указывает на недопустимый переброс дуги на заземленные детали.
6.4.9. Испытание выключателя на отключение минимального тока проводится при наибольшем рабочем напряжении выключателя, но не менее 0,85 наибольшего рабочего напряжения, для выключателей на 3300 В - не менее 0,95 наибольшего рабочего напряжения.
6.4.10. Выключатель считается выдержавшим испытания на отключающую способность, если в процессе испытания не обнаружено:
а) затяжной дуги на контактах или дугогасительной камере, приводящей к повреждениям, препятствующим дальнейшей работе выключателя;
б) переброса дуги между находящимися под напряжением частями выключателя и заземленными частями;
в) значительного обгорания контактов, препятствующего дальнейшей работе выключателя.
6.5. Визуальный осмотр выключателей производится по методике предприятия-разработчика на отдельные типы выключателей с учетом требований
ГОСТ 2933-83.
6.6. Проверка сопротивлений катушек управления и намагничивания осуществляется мостом постоянного тока или другим известным методом.
6.7. Регулировка выключателя производится по методике предприятия-разработчика.
6.8. Проверка надежности включения и отключения выключателя
6.8.1. Проверка производится со станции управления, соответствующей типу выключателей.
6.8.2. Выключатель должен включаться и отключаться при изменении напряжения источника питания в пределах от 80 до 110% номинального. Выполняется по 10 включений и отключений.
6.9. Проверка работы механизма свободного расцепления
6.9.1. Выключатель должен быть отрегулирован в соответствии с
п. 6.7.
6.9.2. Проверка работы механизма свободного расцепления производится путем десятикратного включения выключателя от станции управления, соответствующей испытуемому типу выключателя, при изменении напряжения включения от 80 до 110% номинального.
6.10. Проверка работы блок-контактов выключателя
6.10.1. Проверка производится при питании выключателя от станции управления, соответствующей типу выключателя.
6.10.2. Во включенном и отключенном положении выключателя должны замыкаться соответствующие контакты. Контроль осуществляется лампочкой или другим индикатором.
6.11. Проверка падения напряжения на токопроводе выключателя
6.11.1. Перед измерением падения напряжения выключатель должен быть очищен от грязи и пыли.
6.11.2. Размыкаемые контакты должны зачищаться мелким напильником до металлического блеска, а винтовые соединения должны быть прижаты.
6.11.3. Выключатель подключается к источнику постоянного тока. Замер производится при токе, не допускающем нагрев токопровода, милливольтметром, подключенным к шунту источника питания, в местах, указанных в программе и методике испытаний предприятия-разработчика.
6.11.4. Допускается вместо замера падения напряжения замерять сопротивления соответствующих участков токопровода.
6.11.5. У многополюсных выключателей падение напряжения определяется на каждом полюсе при одинаковых токах с целью определения разброса сопротивления токопровода выключателя.
6.12. Проверка уставки выключателя
6.12.1. Выключатель подключается к источнику постоянного тока.
6.12.2. Проверку производят при медленном и плавном повышении тока. При этом скорость подъема должна допускать визуальный отсчет по измерительному прибору.
6.12.3. Контроль значения тока уставки осуществляется милливольтметром, подключенным к шунту источника питания.
6.13. Работа аппаратуры управления проверяется функционированием с выключателем при напряжении цепи управления 80 - 110% номинального. Допускается на одном выключателе производить проверку всей аппаратуры управления изготовляемой партии.
6.14. Проверка электрической прочности межвитковой изоляции катушек управления производится по методике предприятия-разработчика с учетом конструктивных особенностей выключателя.
6.15. При проверке комплектности выключателя проверяется наличие комплектующей аппаратуры, запасных частей и прилагаемой документации.
6.16. Проверка возможности включения выключателя на ток, равный 50 - 70% тока уставки
6.16.1. Производится включение выключателем электрической цепи, в которой ток нарастает до 50 - 70% тока уставки с начальной скоростью

А/с.
6.16.2. Включение производится при напряжении цепей управления выключателем 80% номинального.
6.17. Проверка показателей надежности выключателей производится на основании специальных испытаний по методике предприятия-разработчика.
7. МАРКИРОВКА, УПАКОВКА, ТРАНСПОРТИРОВАНИЕ И ХРАНЕНИЕ
7.1. На каждом выключателе должна быть табличка, на которой четкими нестирающимися знаками должны быть указаны:
товарный знак предприятия-изготовителя;
порядковый номер выключателя по системе нумерации предприятия-изготовителя;
тип выключателя;
номинальное напряжение выключателя, В;
номинальный ток выключателя, А;
номинальное напряжение цепей управления, В;
год выпуска;
обозначение настоящего стандарта.
7.2. На каждой катушке выключателя должны быть указаны:
заводское обозначение катушки;
марка проволоки;
диаметр проволоки в мм или сечение проволоки в мм2;
число витков;
значение сопротивления при 20 °С (для катушек постоянного тока), Ом.
7.3. На выводах цепи главного тока и на зажимах катушек поляризованных выключателей должна быть указана полярность.
7.4. Зажимы цепей управления и сигнализации должны быть обозначены в соответствии с обозначениями, указанными в схеме управления выключателя предприятия-изготовителя.
7.5. Перед упаковкой выключатели должны быть подвергнуты консервации по инструкции предприятия-изготовителя.
Упаковка выключателей должна обеспечивать их сохранность от механических повреждений и непосредственного воздействия влаги при транспортировании и хранении.
Эксплуатационная документация, прилагаемая к выключателям, должна быть упакована во влагонепроницаемый материал.
Упаковка выключателей должна выбираться по
ГОСТ 23216-78 и указываться в стандартах и технических условиях на конкретные серии и типы выключателей.
7.6. Условия транспортирования - в соответствии с требованиями, установленными в стандартах и технических условиях на конкретные серии и типы выключателей.
Условия транспортирования выключателей в части воздействия климатических факторов такие же, как условия хранения 5 по
ГОСТ 15150-69.
7.7. Условия хранения выключателей - 1 по
ГОСТ 15150-69 на допустимый срок сохраняемости до ввода в эксплуатацию 2 года.
8.1. Изготовитель гарантирует соответствие выключателей требованиям настоящего стандарта при соблюдении условий транспортирования, хранения, монтажа и эксплуатации.
8.2. Гарантийный срок эксплуатации - 2 года со дня начала эксплуатации выключателей.
8.3. Для выключателей, предназначенных на экспорт, гарантийный срок эксплуатации - 12 мес со дня ввода в эксплуатацию, но не более 24 мес с момента проследования их через Государственную границу СССР.
Справочное
ПОЯСНЕНИЯ ТЕРМИНОВ, ВСТРЕЧАЮЩИХСЯ В СТАНДАРТЕ
Универсальный выключатель - выключатель, предназначенный для выполнения не менее двух функций.
Поляризованный выключатель - выключатель постоянного тока, реагирующий на токи одного направления.
Примечания. 1. К поляризованным относятся как выключатели прямого тока, реагирующие на токи прямого направления и осуществляющие защиту при коротких замыканиях и перегрузках, так и выключатели обратного тока, реагирующие на токи обратного направления и осуществляющие защиту тока при обратных токах.
2. К поляризованным относятся также выключатели с асимметричными токами уставки для разных направлений тока.
Неполяризованный выключатель постоянного тока - выключатель, приходящий в действие при достижении током величины уставки независимо от направления тока.
Номинальный рабочий ток выключателя - ток, который определяет применение выключателя в данных условиях, к которым относятся, например, режим работы, установка выключателя в шкафу, работа при температуре окружающего воздуха выше плюс 40 °С.
Наибольшее рабочее напряжение выключателя - наибольшее напряжение, при котором предприятием-изготовителем гарантируется нормальная работа выключателя.
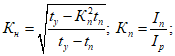
Максимальное значение аварийного тока цепи - максимальное значение аварийного тока, которое было бы в цепи при отсутствии в ней быстродействующего выключателя.
Наименьший отключаемый ток выключателя - наименьшее значение тока, проходящего по главной цепи выключателя до момента расхождения контактов, который в состоянии отключить выключатель без недопустимого затягивания дуги на контактах.
Наибольший ток включения выключателя - наибольшая величина тока в главной цепи, при которой возможно включение выключателя без последующего его самоотключения.
Номинальный ток выключателя - ток продолжительного режима с постоянной во времени нагрузкой, при установке непосредственно в помещении (не в шкафу) и температуре окружающего воздуха до 40 °С, который определяется условиями нагрева главной цепи.
Номинальный ток шестиполюсного (анодного) выключателя - суммарный выпрямительный ток шести анодов (фаз) выпрямителя при питании выпрямителя по схеме "две обратных звезды с уравнительным реактором".
Полное время отключения выключателя - время от достижения током защищаемой цепи величины уставки выключателя до момента полного исчезновения тока.
Собственное время размыкания выключателя - время от достижения током защищаемой цепи величины уставки выключателя до появления напряжения на контактах выключателя.
Безындуктивная цепь - цепь, в которой начальная крутизна кривой нарастания тока короткого замыкания равна не менее

А/с.
Коэффициент токоограничения - отношение максимального значения аварийного тока в цепи при работе выключателя к максимальному значению аварийного тока, которое было бы в цепи при отсутствии в ней быстродействующего выключателя.