Главная // Актуальные документы // ГОСТ (Государственный стандарт)СПРАВКА
Источник публикации
М.: Издательство стандартов, 1986
Примечание к документу
С 1 июля 2003 года до вступления в силу технических регламентов акты федеральных органов исполнительной власти в сфере технического регулирования носят рекомендательный характер и подлежат обязательному исполнению только в части, соответствующей целям, указанным в
пункте 1 статьи 46 Федерального закона от 27.12.2002 N 184-ФЗ.
Ограничение срока действия снято по Протоколу N 3-93 Межгосударственного совета по стандартизации, метрологии и сертификации ("ИУС" N 5, 1993).
Документ
введен в действие с 1 июля 1987 года.
Взамен ГОСТ 13338-75.
Название документа
"ГОСТ 13338-86. Государственный стандарт Союза ССР. Древесина модифицированная. Метод определения твердости, временных упругой и остаточной деформаций"
(утв. и введен в действие Постановлением Госстандарта СССР от 19.02.1986 N 372)
"ГОСТ 13338-86. Государственный стандарт Союза ССР. Древесина модифицированная. Метод определения твердости, временных упругой и остаточной деформаций"
(утв. и введен в действие Постановлением Госстандарта СССР от 19.02.1986 N 372)
Утвержден и введен в действие
Постановлением Государственного
комитета СССР по стандартам
от 19 февраля 1986 г. N 372
ГОСУДАРСТВЕННЫЙ СТАНДАРТ СОЮЗА ССР
ДРЕВЕСИНА МОДИФИЦИРОВАННАЯ
МЕТОД ОПРЕДЕЛЕНИЯ ТВЕРДОСТИ, ВРЕМЕННЫХ
УПРУГОЙ И ОСТАТОЧНОЙ ДЕФОРМАЦИЙ
Modified wood. Method for determination of hardness,
temporal elastic deformation and residual strain
ГОСТ 13338-86
Взамен ГОСТ 13338-75
Постановлением Государственного комитета СССР по стандартам от 19 февраля 1986 г. N 372 срок действия установлен
с 1 июля 1987 года
до 1 июля 1992 года
Разработан Министерством лесной, целлюлозно-бумажной и деревообрабатывающей промышленности СССР, Министерством высшего, среднего и специального образования РСФСР.
Исполнители: Н.И. Винник, канд. техн. наук, Е. А. Артюховская, Г.С. Черкасов, канд. техн. наук.
Внесен Министерством лесной, целлюлозно-бумажной и деревообрабатывающей промышленности СССР.
Зам. министра Г.Л. Медведев.
Утвержден и введен в действие Постановлением Государственного комитета СССР по стандартам от 19 февраля 1986 г. N 372.
Настоящий стандарт распространяется на модифицированную древесину и устанавливает метод определения статической твердости, временных упругой и остаточной деформаций.
Сущность метода состоит в определении глубины отпечатка шарика при внедрении его в образец, измеренной после снятия нагрузки, приложенной к шарику в определенном режиме, и глубины частично восстановленного отпечатка шарика.
2.1. Отбор и хранение заготовок для изготовления образцов - по
ГОСТ 9629-81.
| | ИС МЕГАНОРМ: примечание. Взамен ГОСТ 16483.0-78 Постановлением Госстандарта СССР от 19.07.1989 N 2405 с 1 июля 1990 года введен в действие ГОСТ 16483.0-89. | |
2.2. Количество образцов - по ГОСТ 16483.0-78 при коэффициенте вариации твердости, не превышающем 15.
2.3. Образцы изготовляют размерами 15 x 15 x 45 мм. Допускается изготовлять образцы из втулок внутренним диаметром не менее 50 мм и толщиной стенки более 3 мм размерами 15 x 3 x 45 мм. При определении твердости на других приборах допускается изготовлять образцы размерами 15 x 15 x 22,5 мм.
Предельные отклонения от размеров образцов +/- 0,1 мм.
2.4. Направление действия нагрузки по отношению к годичным слоям древесины, расположение отпечатков шарика, форма и размеры образцов в миллиметрах указаны на черт. 1 - 4.

- действие нагрузки в радиальном направлении;

- действие нагрузки в тангентальном направлении
Черт. 1

- действие нагрузки вдоль волокон (в торец)
Черт. 2

- действие нагрузки вдоль волокон (в торец)
Черт. 3

- действие нагрузки в радиальном направлении
Черт. 4
2.5. Поверхность образца не должна иметь сучков, трещин и дефектов обработки по
ГОСТ 9629-81.
Значение параметра шероховатости поверхности образцов

не должно превышать 200 мкм по
ГОСТ 7016-82.
Прибор для определения статической твердости, схема которого представлена на
черт. 5, должен обеспечивать:
нагрев образца до температуры плюс 170 °C или охлаждение до температуры минус 60 °C с интервалом (10 +/- 1) °C;
автоматическое регулирование и измерение температуры;
предварительную нагрузку на шарик (10 +/- 1) Н ((1 +/- 0,1) кгс);
плавное приложение нагрузки к шарику от 10 до (250 +/- 1) Н (от 1 до (25 +/- 0,1) кгс) в течение (30 +/- 3) с;
выдержку шарика под нагрузкой (250 +/- 1) Н ((25 +/- 0,1) кгс) в течение (30 +/- 3) с;
измерение глубины отпечатка с погрешностью не более 0,002 мм;
плавное снятие нагрузки с шарика в течение (30 +/- 3) с.
1 - рычаг двухплечий; 2 - винт перемещения груза;
3 - подвижной груз; 4 - реверсивный двигатель
с фрикционной передачей; 5 - реле времени; 6 - шарнирная
опора рычага; 7 - противовес; 8 - камера;
9 - микрометрический винт перемещения образца;
10 - испытуемый образец; 11 - направляющая образца;
12 - винтовой подъемник; 13 - шарик;
14 - удерживающий шток; 15 - индикатор;
16 - автоматический регулятор температур
Черт. 5
Допускается определять твердость на других приборах, обеспечивающих указанный режим нагружения шарика.
Весы с погрешностью взвешивания не более 0,001 г.
4. ПОДГОТОВКА К ИСПЫТАНИЮ
4.1. Расстояния от центра отпечатка до края образца и между центрами отпечатков должны быть не менее 5 мм.
4.2. Перед испытанием образцы взвешивают с точностью до 0,001 г.
5.1. Статическую твердость, временные упругую и остаточную деформации определяют на поверхностях тангентального, радиального и торцового разрезов древесины (
черт. 1,
2).
Допускается определять статическую твердость, временные упругую и остаточную деформации на вогнутой поверхности образцов, вырезанных из втулок (
черт. 3,
4).
5.2. Образец помещают в приспособление, как показано на
черт. 5.
Испытуемый образец устанавливают на дне камеры и создают предварительную нагрузку, равную 10 Н (1 кгс), затем шкалу индикатора устанавливают на нуль.
5.3. Производят плавное приложение нагрузки до 250 Н (25 кгс) в течение (30 +/- 3) с и выдерживание шарика под этой нагрузкой в течение (30 +/- 3) с. После измерения индикатором глубины отпечатка нагрузку плавно снимают. Направление действия нагрузки по отношению к годичным слоям древесины указано на
черт. 1 -
4.
5.4. Твердость определяют при температуре образца, равной +20, +50, +70, +100, +150, +170, -10, -20, -50, -60 °C.
Глубину отпечатка измеряют с точностью не менее 0,002 мм под нагрузкой 250 Н (25 кгс), затем - после снятия нагрузки.
5.5. Влажность определяют по
ГОСТ 21523.4-77 на образцах для определения твердости после воздействия температуры плюс 170 °C и минус 60 °C.
Для определения влажности образцы взвешивают после воздействия температуры плюс 170 °C, затем после воздействия температуры минус 60 °C.
Испытанный образец высушивают до постоянной массы и взвешивают с точностью до 0,001 г.
6.1. Статическую твердость (H) в

вычисляют по формуле

,
где P - нагрузка, прилагаемая к шарику, Н (кгс);
d - диаметр шарика, м (мм);
h - глубина отпечатка шарика, измеренная после снятия нагрузки, м (мм). Результат округляют до целого числа.
Значения статической твердости приведены в справочном
Приложении 1.
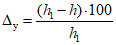
6.2. Временную упругую деформацию

в процентах вычисляют по формуле

,
где h - глубина отпечатка шарика, измеренная после снятия нагрузки, м (мм);

- глубина отпечатка шарика, измеренная под нагрузкой 250 Н, м (мм). Результат округляют до целого числа.
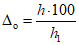
6.3. Временную остаточную деформацию

в процентах вычисляют по формуле

,
где h - глубина отпечатка шарика, измеренная после снятия нагрузки, м (мм);

- глубина отпечатка шарика, измеренная под нагрузкой в 250 Н, м (мм). Результат округляют до целого числа.
6.4. Влажность образца (W) в процентах вычисляют по формуле

,
где m - масса образца до испытания; после воздействия температуры плюс 170 °C; после воздействия температуры минус 60 °C, г;

- постоянная масса образца после высушивания, г.
Результат округляют до целого числа.
| | ИС МЕГАНОРМ: примечание. Взамен ГОСТ 16483.0-78 Постановлением Госстандарта СССР от 19.07.1989 N 2405 с 1 июля 1990 года введен в действие ГОСТ 16483.0-89. | |
6.5. Статистическую обработку опытных данных выполняют по ГОСТ 16483.0-78.
6.6. За результат испытания принимают среднее арифметическое величин статической твердости двенадцати измерений.
6.7. Результаты измерений и расчетов заносят в протокол (см. рекомендуемое
Приложение 2).
Справочное
ЗНАЧЕНИЙ СТАТИЧЕСКОЙ ТВЕРДОСТИ
───────────────────────────────────────┬───────────────────────────────────
Глубина отпечатка │ Твердость H,
h, м │ -2
│ Н·м
───────────────────────────────────────┼───────────────────────────────────
-6 │ 4
20·10 │ 796·10
-6 │ 4
22·10 │ 723·10
-6 │ 4
24·10 │ 663·10
-6 │ 4
26·10 │ 612·10
-6 │ 4
28·10 │ 568·10
-6 │ 4
30·10 │ 531·10
-6 │ 4
32·10 │ 497·10
-6 │ 4
34·10 │ 468·10
-6 │ 4
36·10 │ 442·10
-6 │ 4
38·10 │ 419·10
-6 │ 4
40·10 │ 398·10
-6 │ 4
42·10 │ 379·10
-6 │ 4
44·10 │ 362·10
-6 │ 4
46·10 │ 346·10
-6 │ 4
48·10 │ 332·10
-6 │ 4
50·10 │ 318·10
-6 │ 4
52·10 │ 306·10
-6 │ 4
54·10 │ 295·10
-6 │ 4
56·10 │ 284·10
-6 │ 4
58·10 │ 274·10
-6 │ 4
60·10 │ 266·10
-6 │ 4
62·10 │ 257·10
-6 │ 4
64·10 │ 249·10
-6 │ 4
68·10 │ 241·10
-6 │ 4
70·10 │ 227·10
-6 │ 4
72·10 │ 221·10
-6 │ 4
74·10 │ 215·10
-6 │ 4
76·10 │ 209·10
-6 │ 4
78·10 │ 204·10
-6 │ 4
80·10 │ 199·10
-6 │ 4
82·10 │ 194·10
-6 │ 4
84·10 │ 188·10
-6 │ 4
86·10 │ 185·10
-6 │ 4
88·10 │ 181·10
-6 │ 4
90·10 │ 177·10
-6 │ 4
92·10 │ 173·10
-6 │ 4
94·10 │ 169·10
-6 │ 4
96·10 │ 166·10
-6 │ 4
98·10 │ 162·10
-6 │ 4
100·10 │ 159·10
-6 │ 4
102·10 │ 156·10
-6 │ 4
104·10 │ 153·10
-6 │ 4
106·10 │ 150·10
-6 │ 4
108·10 │ 147·10
-6 │ 4
110·10 │ 145·10
-6 │ 4
112·10 │ 142·10
-6 │ 4
114·10 │ 139·10
-6 │ 4
116·10 │ 137·10
-6 │ 4
118·10 │ 135·10
-6 │ 4
120·10 │ 133·10
-6 │ 4
122·10 │ 130·10
-6 │ 4
124·10 │ 128·10
-6 │ 4
126·10 │ 126·10
-6 │ 4
128·10 │ 124·10
-6 │ 4
130·10 │ 122·10
-6 │ 4
132·10 │ 120·10
-6 │ 4
134·10 │ 119·10
-6 │ 4
136·10 │ 117·10
-6 │ 4
138·10 │ 115·10
-6 │ 4
140·10 │ 114·10
-6 │ 4
142·10 │ 112·10
-6 │ 4
144·10 │ 110·10
-6 │ 4
146·10 │ 109·10
-6 │ 4
148·10 │ 108·10
-6 │ 4
150·10 │ 106·10
-6 │ 4
152·10 │ 105·10
-6 │ 4
154·10 │ 103·10
-6 │ 4
156·10 │ 102·10
-6 │ 4
158·10 │ 101·10
-6 │ 4
160·10 │ 99·10
-6 │ 4
162·10 │ 98·10
-6 │ 4
164·10 │ 97·10
-6 │ 4
166·10 │ 96·10
-6 │ 4
168·10 │ 95·10
-6 │ 4
170·10 │ 94·10
-6 │ 4
172·10 │ 93·10
-6 │ 4
174·10 │ 92·10
-6 │ 4
176·10 │ 90·10
-6 │ 4
178·10 │ 89·10
-6 │ 4
180·10 │ 88·10
-6 │ 4
182·10 │ 88·10
-6 │ 4
184·10 │ 87·10
-6 │ 4
186·10 │ 87·10
-6 │ 4
188·10 │ 85·10
-6 │ 4
190·10 │ 84·10
-6 │ 4
192·10 │ 83·10
-6 │ 4
194·10 │ 82·10
-6 │ 4
196·10 │ 81·10
-6 │ 4
198·10 │ 80·10
-6 │ 4
200·10 │ 80·10
-6 │ 4
202·10 │ 79·10
-6 │ 4
204·10 │ 78·10
-6 │ 4
206·10 │ 77·10
-6 │ 4
208·10 │ 77·10
-6 │ 4
210·10 │ 76·10
-6 │ 4
212·10 │ 75·10
-6 │ 4
214·10 │ 74·10
-6 │ 4
216·10 │ 74·10
-6 │ 4
218·10 │ 73·10
-6 │ 4
220·10 │ 72·10
-6 │ 4
222·10 │ 72·10
-6 │ 4
224·10 │ 71·10
-6 │ 4
226·10 │ 71·10
-6 │ 4
228·10 │ 70·10
Рекомендуемое
Испытания модифицированной древесины на статическую
твердость, временные упругие и остаточные деформации
Направление действия нагрузки по отношению к годичным
слоям древесины _______________________
──────┬──────┬─────┬─────┬──────────────────┬──────────┬────────┬──────────
Марка,│Темпе-│Масса│Влаж-│Глубина отпечатка │Твер- │Времен- │Временная
порода│ратура│об- │ность│ шарика, м (мм) │дость H, │ная уп- │остаточная
ДМ и │образ-│разца│об- ├─────────┬────────┤ -2 │ругая │деформация
номер │ца t, │m, г │разца│ под │ после │Н·м │дефор- │дельта , %
образ-│°C │ │W, % │нагрузкой│ снятия │ -2│мация │ о
ца │ │ │ │ 250 Н │нагрузки│(кгс·мм) │дельта ,│
│ │ │ │ h │ h │ │ у │
│ │ │ │ 1 │ │ │% │
──────┼──────┼─────┼─────┼─────────┼────────┼──────────┼────────┼──────────
1 │ 2 │ 3 │ 4 │ 5 │ 6 │ 7 │ 8 │ 9
──────┴──────┴─────┴─────┴─────────┴────────┴──────────┴────────┴──────────
"____" ___________________________ 19__ г. Подпись _________________