Главная // Актуальные документы // ГОСТ (Государственный стандарт)СПРАВКА
Источник публикации
М.: Издательство стандартов, 1990
Примечание к документу
С 1 июля 2003 года до вступления в силу технических регламентов акты федеральных органов исполнительной власти в сфере технического регулирования носят рекомендательный характер и подлежат обязательному исполнению только в части, соответствующей целям, указанным в
пункте 1 статьи 46 Федерального закона от 27.12.2002 N 184-ФЗ.
Текст документа приведен с учетом
поправки, опубликованной в "ИУС", N 5, 1991.
Введен в действие с 1 января 1991 года.
Взамен ГОСТ 10174-72.
Название документа
"ГОСТ 10174-90. Прокладки уплотняющие пенополиуретановые для окон и дверей. Технические условия"
(утв. Постановлением Госстроя СССР от 27.07.1990 N 65)
"ГОСТ 10174-90. Прокладки уплотняющие пенополиуретановые для окон и дверей. Технические условия"
(утв. Постановлением Госстроя СССР от 27.07.1990 N 65)
Утвержден и введен в действие
Постановлением Госстроя СССР
от 27 июля 1990 г. N 65
ГОСУДАРСТВЕННЫЙ СТАНДАРТ СОЮЗА ССР
ПРОКЛАДКИ УПЛОТНЯЮЩИЕ ПЕНОПОЛИУРЕТАНОВЫЕ ДЛЯ ОКОН И ДВЕРЕЙ
ТЕХНИЧЕСКИЕ УСЛОВИЯ
Polyurethane foam filler strips
for windows and doors. Specifications
ГОСТ 10174-90
Дата введения
1 января 1991 года
1. Разработан и внесен Государственным комитетом по архитектуре и градостроительству при Госстрое СССР.
Разработчики: В.С. Беляев, канд. техн. наук (руководитель темы); Е.И. Семенова, канд. техн. наук; Е.Е. Сквирская; С.Н. Сушков; В.М. Карловский; К.В. Кремнев, канд. техн. наук; Э.Л. Дешко, д-р техн. наук; Я.П. Барамишвили, канд. техн. наук; Е.В. Крылов;
В.В. Коротаева, Н.В. Шведов.
2. Утвержден и введен в действие Постановлением Государственного строительного комитета СССР от 27.07.1990 N 65.
3. Взамен ГОСТ 10174-72.
4. Ссылочные нормативно-технические документы
───────────────────────────────────────────┬──────────────────────
Обозначение НТД, на который дана ссылка │ Номер пункта
───────────────────────────────────────────┼──────────────────────
Настоящий стандарт распространяется на уплотняющие пенополиуретановые прокладки (далее - прокладки), предназначенные для уплотнения притворов окон и дверей с целью снижения теплопотерь, воздухо-, звуко- и пылепроницаемости.
1. ТЕХНИЧЕСКИЕ ТРЕБОВАНИЯ
1.1. Прокладки должны изготавливаться в соответствии с требованиями настоящего стандарта по технологической документации,
утвержденной в установленном порядке.
1.2. Типы и размеры
1.2.1. Прокладки в зависимости от конструкции подразделяют на три типа
(черт. 1):
I - с несохнущим клеевым слоем, нанесенным на рабочую ленту, прочно скрепленную с пенополиуретановой основой, и защищенным лентой из синтетической пленки или антиадгезионной бумаги;
II - с несохнущим клеевым слоем, нанесенным на пенополиуретановую основу и защищенным лентой из синтетической пленки или антиадгезионной бумаги;
III - без клеевого слоя.
Примечание. Прокладки типа II допускается выпускать до 1993 г.
Поперечное сечение прокладок
1 - пенополиуретановая основа; 2 - клеевое
или сварное соединение; 3 - рабочая лента;
4 - несохнущий клеевой слой; 5 - защитная лента
1.2.2. Прокладки должны иметь прямоугольное сечение, без надрывов и повреждений кромок.
1.2.3. Размеры прокладок должны быть, мм:
ширина .................................................... 10
толщина ................................................ 8, 10
Примечание. Прокладки толщиной 8 мм допускается выпускать до 1993 г.
Длину прокладок для строительства не ограничивают.
Длина прокладок для розничной торговли должна быть 2 - 10 м; допускается в одной упаковке один отрезок длиной не менее 1 м.
1.2.4. Предельные отклонения от размеров прокладок, мм:
по длине на 1 м длины .....................................

по ширине .................................................

по толщине для прокладок толщиной 8 мм ....................

по толщине для прокладок толщиной 10 мм ...................

1.3. Характеристики
1.3.1. Для изготовления прокладок должен применяться эластичный пенополиуретан на основе полиэфира П-2200 марок 35-0,8; 40-0,8 по ТУ 6-55-46 с предельным отклонением от среднего диаметра ячеек

мм. Допускается применение эластичного пенополиуретана марки 40 по ТУ 6-05-1688.
1.3.2. Сопротивление отслаиванию образцов прокладок типов I и II, приклеенных к деревянной окрашенной пластине, должно быть 70 - 700 Н/м (гс/см).
1.3.3. Защитные и рабочие ленты изготовляют из синтетической пленки или антиадгезионной бумаги по нормативно-технической документации, утвержденной в установленном порядке (НТД).
1.3.4. Размеры защитных и рабочих лент по ширине и длине должны соответствовать размерам пенополиуретановой основы.
Смещение защитных лент по ширине основы не должно превышать 2 мм.
1.3.5. При удалении защитных лент прокладок типа II не должно происходить разрушения пенополиуретана и клеевого слоя.
1.3.6. Рабочая лента в прокладках типа I должна быть прочно соединена с пенополиуретановой основой; при отрыве рабочей ленты разрушение должно происходить по пенополиуретану.
1.3.7. Усилие при разрыве образца прокладки типа I без защитной ленты должно быть не менее 15 Н (1500 гс), а относительное удлинение при этой нагрузке - не более 40%.
1.3.8. Цвет пенополиуретановой основы должен быть от белого до темно-желтого.
1.3.9. На поверхности прокладок не допускаются масляные и грязевые пятна. Для прокладок типа II допускаются незначительные складки и частичные отслоения защитной ленты, разнооттеночность клеевого слоя, наличие точечных посторонних включений в клеевом слое, не влияющие на клеящую способность.
1.3.10. Технологические регламенты на производство прокладок должны быть согласованы с местными учреждениями санэпидслужбы.
1.3.11. Прокладки и столярные изделия устанавливают в соответствии с НТД на окна и двери.
1.4. Маркировка, упаковка
1.4.1. Прокладки для розничной торговли (длиной до 10 м) должны быть свернуты в бухты защитной лентой наружу с закреплением липкой лентой или связаны в пучки, упакованы в полиэтиленовые или бумажные пакеты и уложены в упаковочные мешки или картонные коробки. Допускается, по согласованию с организациями торговли, связанные в пучки прокладки не упаковывать в пакеты.
В каждый пакет должна быть вложена этикетка с указанием:
наименования продукции и типа прокладки;
обозначения настоящего стандарта;
количества метров;
розничной цены;
штампа ОТК.
К упаковочному мешку или к картонной коробке должна быть прикреплена этикетка с указанием:
наименования или товарного знака предприятия-изготовителя;
наименования продукции и типа прокладки;
номера партии;
номера места (упаковки);
длины, м;
розничной цены;
даты изготовления;
штампа ОТК.
1.4.2. Прокладки для строительства и промышленности должны быть смотаны в рулоны защитной лентой наружу с закреплением концов липкой лентой. Рулоны должны быть ограждены по торцам ограничительными дисками, упакованы в бумагу и перевязаны. Масса рулона не должна превышать 25 кг.
В упаковке прокладок типа II четыре ряда прокладок с торцов рулона являются упаковочными и их в массе рулона не учитывают.
К каждой упаковке должен быть приложен экземпляр инструкции по применению прокладок.
К каждому упакованному рулону прикладывают этикетку с указанием:
наименования или товарного знака предприятия-изготовителя;
наименования продукции и типа прокладки;
номера партии;
номера места (упаковки);
массы брутто и нетто;
обозначения настоящего стандарта;
даты изготовления;
штампа ОТК.
1.4.3. Каждая партия прокладок должна сопровождаться документом о качестве, в котором должно быть указано:
наименование и адрес предприятия-изготовителя; наименование и тип продукции;
номер партии;
масса (количество метров);
количество мест (упаковок);
обозначение настоящего стандарта;
гарантийный срок хранения;
дата изготовления и подпись ОТК.
1.4.4. Транспортная маркировка - по
ГОСТ 14192 с указанием манипуляционных знаков: "Боится сырости", "Боится нагрева", "Крюками не брать".
2.1. Прокладки предъявляют к приемке партиями. Партией считают число прокладок (в м или кг) одного типа и размеров сечения в объеме, установленном предприятием - изготовителем, но не превышающем суточной выработки.
2.2. Потребитель имеет право производить контрольную проверку соответствия прокладок требованиям настоящего стандарта, соблюдая при этом правила приемки и применяя методы испытаний, установленные настоящим стандартом.
За объем партии потребитель имеет право принимать количество прокладок, оформленное одним документом о качестве.
2.3. Испытания прокладок по показателям, приведенным в
пп. 1.2.2 -
1.2.4,
1.3.4 -
1.3.6,
1.3.8,
1.3.9, являются приемосдаточными. Для проведения испытаний отбирают 0,5 % прокладок от партии, но не менее 20 м суммарной длины. Число образцов - не менее 10 шт. Отобранные прокладки обмеряют поштучно и проверяют визуально.
2.4. Прокладки по показателям, приведенным в пп.
1.3.2,
1.3.7, испытывают периодически не реже одного раза в 10 сут. или при изменении технологического регламента производства на пяти образцах, прошедших испытания по
п. 2.3.
2.5. При неудовлетворительных результатах проверки любого образца хотя бы по одному из показателей проводят повторную проверку (или испытание) по этому показателю удвоенного количества образцов. В случае, если хотя бы один образец не соответствует установленным требованиям, партию не принимают. Результаты повторных испытаний считают окончательными.
3.1. Размеры прокладок измеряют металлическим измерительным инструментом с точностью до 1 мм.
Ширину и толщину прокладок измеряют в трех местах: на расстоянии 250 мм от каждого конца прокладки и посередине прокладки. Толщиной и шириной прокладки считают среднее арифметическое значение результатов трех измерений.
3.2. Внешний вид прокладок и цвет пенополиуретановой основы определяют визуально.
3.3. Определение сопротивления отслаиванию
3.3.1. Метод заключается в определении усилия отслаивания образца прокладки от деревянной, окрашенной масляной краской, пласти.
3.3.2. Средства испытания
Разрывная машина, обеспечивающая отслаивание при скорости (

) мм/мин. Измерение усилия отслаивания образца следует производить в пределах 15 - 85% шкалы с погрешностью до

%.
Деревянная, окрашенная масляной краской, пластина толщиной 3 - 5 мм (см. черт. 2).
Черт. 2
3.3.3. Подготовка к испытаниям
Образцы длиной 250 мм должны быть вырезаны из прокладок, отобранных в соответствии с
п. 2.3, освобождены от защитных лент и наклеены на деревянную окрашенную масляной краской пластину. Пластина перед наклейкой образца должна быть обезжирена путем обработки теплым мыльным раствором и просушена. Наклеенный на пластину образец прикатывают металлическим роликом массой 1 кг, делая три двойных хода под действием собственной массы.
Испытание подготовленных образцов проводят после 30 мин. выдержки при температуре воздуха (

) °С.
3.3.4. Проведение испытаний
Деревянную пластину укрепляют в верхнем неподвижном захвате, а свободный неприклеенный конец прокладки перегибают на 180° и закрепляют в нижнем захвате машины. При этом продольная ось образца должна совпадать с осью и направлением движения подвижного захвата.
За усилие отслаивания прокладки на рабочем участке (100 мм) принимают среднее арифметическое значение усилий (

), регистрируемых по прибору через 10 с, или по графической записи показаний прибора.
Величину сопротивления отслаиванию R, Н/м (гс/см), вычисляют до второй значащей цифры по формуле

,
где

- среднее арифметическое значение усилий отслаивания, Н, (гс);
В - ширина образца, м (см).
За величину сопротивления отслаиванию прокладки принимают вычисляемое до второй значащей цифры среднее арифметическое значение результатов испытаний.
3.4. Проверку сохранности поверхностного слоя прокладки при отслаивании защитной ленты проводят вручную на образцах длиной 200 мм.
Защитная лента должна с незначительным усилием отделяться от прокладки без разрушения ее поверхностного слоя.
3.5. Определение усилия при разрыве и относительного удлинения
3.5.1. Метод основан на растяжении испытуемого образца с определенной скоростью деформирования.
3.5.2. Средства испытания
Разрывная машина с зажимами, обеспечивающая:
растяжение образца со скоростью (

) мм/мин.;
измерение усилия растяжения образца в пределах 15 - 85% значений шкалы;
измерение усилия в момент разрыва образца с погрешностью не более 1%.
Зажимы машины должны обеспечивать надежное крепление образцов.
3.5.3. Подготовка к испытаниям
На образцы длиной 150 мм, освобожденные от защитных лент, наносят метки, ограничивающие расчетную длину

= 100 мм.
Испытания проводят при температуре воздуха (

) °С.
3.5.4. Проведение испытаний
Образцы закрепляют в зажимы испытательной машины.
При испытании регистрируют растягивающее усилие в момент разрыва, Н (гс).
За величину усилия при разрыве принимают вычисляемое до третьей значащей цифры среднее арифметическое значение результатов испытаний.
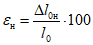
При испытании измеряют удлинение образца при нагрузке 15 Н (1500 гс). Допускается вычисление значения удлинения образца по измерению расстояния между зажимами.
Относительное удлинение (

) в процентах вычисляют по формуле

,
где

- начальная расчетная длина образца, мм;

- изменение расчетной длины образца при нагрузке 15 Н (1500 гс), мм.
За результат испытания принимают среднее арифметическое
значение результатов испытаний, вычисленное до второй значащей цифры.
4. ТРАНСПОРТИРОВАНИЕ И ХРАНЕНИЕ
4.1. Прокладки могут транспортироваться любым видом транспорта в условиях, предохраняющих их от загрязнения, механических повреждений и воздействия атмосферных осадков, согласно Правилам перевозки грузов, действующих на каждом виде транспорта.
4.2. Упакованные прокладки должны храниться в сухом помещении. Прокладки не должны подвергаться действию солнечных лучей, загрязнению и увлажнению; не допускается совместное хранение прокладок, растворителей, кислот, химикатов; в случае хранения прокладок в отапливаемом помещении они должны находиться на расстоянии не менее 1 м от отопительных приборов.
5.1. Изготовитель гарантирует соответствие выпускаемых прокладок требованиям настоящего стандарта при соблюдении указанных в нем условий хранения и транспортирования.
5.2. Гарантийный срок хранения прокладок типов I и III - 12 мес., а прокладок типа II - 6 мес. со дня изготовления.