Главная // Актуальные документы // ГОСТ (Государственный стандарт)СПРАВКА
Источник публикации
М.: ИПК Издательство стандартов, 1999
Примечание к документу
С 1 июля 2003 года до вступления в силу технических регламентов акты федеральных органов исполнительной власти в сфере технического регулирования носят рекомендательный характер и подлежат обязательному исполнению только в части, соответствующей целям, указанным в
пункте 1 статьи 46 Федерального закона от 27.12.2002 N 184-ФЗ.
Введен в действие с 1 января 1993 года.
Взамен ГОСТ 14858.7-81.
Название документа
"ГОСТ 14858.7-91. Силикокальций. Методы определения алюминия"
(утв. Постановлением Госстандарта СССР от 02.10.1991 N 1578)
"ГОСТ 14858.7-91. Силикокальций. Методы определения алюминия"
(утв. Постановлением Госстандарта СССР от 02.10.1991 N 1578)
Утвержден и введен в действие
Постановлением Госстандарта СССР
от 2 октября 1991 г. N 1578
ГОСУДАРСТВЕННЫЙ СТАНДАРТ СОЮЗА ССР
СИЛИКОКАЛЬЦИЙ
МЕТОДЫ ОПРЕДЕЛЕНИЯ АЛЮМИНИЯ
Silicocalcium.
Methods for the determination of aluminium
ГОСТ 14858.7-91
Дата введения
1 января 1993 года
1. Разработан и внесен Министерством металлургии СССР.
Разработчики: В.Г. Мизин, Т.А. Перфильева, Л.М. Клейнер, В.П. Глухова, С.И. Ахманаев, Г.И. Гусева.
2. Утвержден и введен в действие Постановлением Комитета стандартизации и метрологии СССР от 02.10.1991 N 1578.
3. Взамен ГОСТ 14858.7-81.
4. Ссылочные нормативно-технические документы
───────────────────────────────────────────┬──────────────────────
Обозначение НТД, на который дана ссылка │ Номер пункта
───────────────────────────────────────────┼──────────────────────
Настоящий стандарт устанавливает методы определения алюминия:
атомно-абсорбционный - при массовой доле его от 0,1 до 6%;
комплексонометрический - при массовой доле его от 0,5 до 6%.
1.1. Общие требования к методам анализа - по
ГОСТ 28473.
1.2. Лабораторная проба должна быть приготовлена в виде порошка с максимальным размером частиц 0,16 мм по
ГОСТ 25207.
2. АТОМНО-АБСОРБЦИОННЫЙ МЕТОД
2.1. Сущность метода
Метод основан на растворении пробы в кислотах, сплавлении нерастворимого остатка со смесью карбоната натрия или калия и борной кислоты и измерении атомной абсорбции алюминия при длине волны 309,3 нм в пламени закись азота - ацетилен.
2.2. Аппаратура, реактивы и растворы
Атомно-абсорбционный спектрометр со всеми принадлежностями и с источником излучения для алюминия.
Кислота хлорная

1,5 г/см3.
Смесь для сплавления:
3 весовых части карбоната калия или натрия, предварительно растертого в фарфоровой ступке, смешивают с 1 весовой частью борной кислоты и тщательно перемешивают.
Железо металлическое.
Раствор железа: 5 г железа растворяют в 20 см3 соляной кислоты, окисляют азотной кислотой, выпаривают до влажных солей. Соли растворяют в 20 см3 соляной кислоты, переносят раствор в мерную колбу вместимостью 1 дм3, доливают водой до метки и перемешивают.
1 см3 раствора содержит 0,005 г железа.
Раствор кальция: 58,9 г нитрата кальция растворяют в 100 см3 воды. Раствор фильтруют через фильтр средней плотности в мерную колбу вместимостью 1 дм3. Фильтр промывают водой, раствор доливают водой до метки и перемешивают.
1 см3 раствора содержит 0,01 г кальция.
Алюминий металлический.
Стандартный раствор алюминия: 1,0000 г алюминия растворяют в 10 см3 соляной кислоты при нагревании, окисляют несколькими каплями азотной кислоты, кипятят до удаления оксидов азота. Раствор охлаждают, переносят в мерную колбу вместимостью 1 дм3, доливают водой до метки и перемешивают.
1 см3 раствора содержит 0,001 г алюминия.
2.3. Проведение анализа
2.3.1. Навеску пробы, отобранную согласно табл. 1, помещают в платиновую или стеклоуглеродистую чашку и растворяют в 5 см3 азотной кислоты, 10 см3 фтористоводородной и 10 см3 хлорной кислоты. Раствор нагревают до полного растворения навески, затем выпаривают досуха.
───────────────────────┬────────┬───────────────┬─────────────────
Массовая доля алюминия,│ Масса │Масса алюминия │Объем стандартно-
% │навески │в атомизируемом│го раствора, см3
│пробы, г│растворе, мг │
───────────────────────┼────────┼───────────────┼─────────────────
От 0,1 до 0,5 включ. │0,5 │0,5 - 2,5 │0,5 - 2,5
Св. 0,5 " 2 " │0,2 │1 - 4 │1 - 4
" 2 " 6 " │0,1 │2 - 6 │2 - 6
Соли растворяют в 5 см3 соляной кислоты и 20 см3 воды при нагревании. Раствор фильтруют через фильтр средней плотности, уплотненный фильтробумажной массой, и осадок на фильтре промывают 6 - 8 раз горячей водой. Фильтр с осадком помещают в платиновый тигель, высушивают, озоляют и прокаливают при температуре 700 - 800 °С. Затем осадок в тигле сплавляют с 1 г смеси для сплавления при температуре (1000 +/- 50) °С в течение 5 мин. Плав выщелачивают в 50 см3 горячей воды и объединяют с фильтратом, который предварительно выпаривают до объема 20 - 30 см3.
Объединенный раствор переносят в мерную колбу вместимостью 100 см3, доливают до метки водой и перемешивают.
Атомную абсорбцию алюминия измеряют параллельно в растворе контрольного опыта, растворе пробы, в растворах для построения градуировочного графика, растворе стандартного образца при длине волны 309,3 нм в пламени закись азота - ацетилен.
2.3.2. После вычитания значения абсорбции раствора контрольного опыта из значения абсорбции раствора пробы находят массу алюминия в растворе пробы методом сравнения со стандартным образцом по химическому составу, аналогичному составу анализируемой пробы, или методами добавок или градуировочного графика.
2.3.2.1. При применении метода сравнения со стандартным образцом навеску стандартного образца проводят через все стадии анализа по
п. 2.3.1.
2.3.2.2. При применении метода добавок к навеске пробы добавляют такое количество стандартного раствора алюминия, чтобы значение абсорбции раствора пробы с добавлением стандартного раствора составило не более двухкратного значения абсорбции раствора пробы и находилось в линейном диапазоне градуировочного графика. Далее анализ проводят по
п. 2.3.1.
2.3.2.3. При применении метода градуировочного графика в ряд стаканов помещают растворы железа и кальция в количествах, соответствующих их содержанию в пробе, стандартный раствор алюминия согласно
табл. 1. В один стакан стандартный раствор алюминия не помещают. Раствор этого стакана служит контрольным опытом. Во все стаканы помещают по 10 см3 хлорной кислоты и далее поступают, как указано в
п. 2.3.1.
Градуировочный график строят по результатам, полученным после вычитания значения абсорбции раствора, не содержащего стандартный раствор алюминия, из значений абсорбции растворов, содержащих стандартный раствор алюминия, и соответствующим им массам алюминия.
2.4. Обработка результатов
2.4.1. Массовую долю алюминия (

) в процентах, определяемую методом сравнения, вычисляют по формуле

, (1)
где

- аттестованное значение массовой доли алюминия в стандартном образце, %;

- значение атомной абсорбции раствора пробы;

- значение атомной абсорбции раствора контрольного опыта;

- значение атомной абсорбции раствора стандартного образца.
2.4.2. Массовую долю алюминия (

) в процентах, определяемую методом добавок, вычисляют по формуле

, (2)
где

- масса алюминия, добавленная к навеске пробы, г;

- значение атомной абсорбции раствора пробы без добавления стандартного раствора алюминия;

- значение атомной абсорбции раствора контрольного опыта;

- значение атомной абсорбции раствора пробы с добавлением стандартного раствора алюминия;

- масса навески пробы, г.
2.4.3. Массовую долю алюминия (

) в процентах, определяемую методом градуировочного графика, вычисляют по формуле

, (3)
где

- масса алюминия в растворе пробы, найденная по градуировочному графику, г;

- масса навески пробы, г.
2.4.4. Нормы точности и нормативы контроля точности определения массовой доли алюминия приведены в табл. 2.
─────────────────────┬────────┬───────────────────────────────────
Массовая доля │Погреш- │ Допускаемые расхождения, %
алюминия, % │ность ├────────┬───────┬───────┬──────────
│резуль- │двух │двух │трех │результа-
│татов │средних │парал- │парал- │тов анали-
│анализа │резуль- │лельных│лельных│за стан-
│Дельта, │татов │опреде-│опреде-│дартного
│% │анализа,│лений │лений │образца
│ │выпол- │d │d │от аттес-
│ │ненных │ 2 │ 3 │тованного
│ │в раз- │ │ │значения
│ │личных │ │ │дельта
│ │условиях│ │ │
│ │d │ │ │
│ │ к │ │ │
─────────────────────┼────────┼────────┼───────┼───────┼──────────
От 0,1 до 0,2 включ.│0,03 │0,04 │0,03 │0,04 │0,02
Св. 0,2 " 0,5 " │0,05 │0,06 │0,05 │0,06 │0,03
" 0,5 " 1,0 " │0,06 │0,08 │0,07 │0,08 │0,04
" 1,0 " 2 " │0,09 │0,11 │0,09 │0,11 │0,06
" 2 " 5 " │0,14 │0,18 │0,15 │0,18 │0,09
" 5 " 6 " │0,20 │0,25 │0,21 │0,26 │0,13
3. КОМПЛЕКСОНОМЕТРИЧЕСКИЙ МЕТОД
3.1. Сущность метода
Метод основан на растворении пробы в кислотах, образовании комплексного соединения с трилоном Б, разрушении этого соединения фторидом натрия и титровании выделившегося трилона Б раствором цинка в присутствии индикатора ксиленолового оранжевого.
От сопутствующих элементов алюминий отделяют уротропином и гидроксидом натрия.
Кислота соляная по
ГОСТ 3118 и растворы 1:1, 1:3, 1:100.
Кислота хлорная

1,5 г/см3.
Натрия гидроокись по
ГОСТ 4328, раствор 250 г/дм3. Раствор хранят в полиэтиленовом сосуде.
Буферный раствор (рН 5,5 - 5,8): 500 г уксуснокислого аммония растворяют в воде в стакане вместимостью 800 см3, добавляют 30 см3 уксусной кислоты, переносят в мерную колбу вместимостью 1 дм3, доливают водой до метки и перемешивают. Устанавливают рН раствора, добавляя раствор аммиака или уксусную кислоту.
Железо металлическое.
Раствор железа: 5 г железа растворяют в 20 см3 соляной кислоты, окисляют азотной кислотой, выпаривают до влажных солей. Соли растворяют в 20 см3 соляной кислоты, переносят раствор в мерную колбу вместимостью 1 дм3, доливают водой до метки и перемешивают.
1 см3 раствора содержит 0,005 г железа.
Уротропин, растворы 250 г/дм3 и 5 г/дм3.
Натрий фтористый по
ГОСТ 4463, раствор 30 г/дм3, хранят в полиэтиленовом сосуде.
Фенолфталеин, индикатор, спиртовой раствор 1 г/дм3.
Спирт этиловый ректификованный по ГОСТ 5962 или спирт этиловый ректификованный технический по
ГОСТ 18300.
Ксиленоловый оранжевый, индикатор: 1 весовую часть ксиленолового оранжевого тщательно растирают

весовыми частями хлорида натрия.
Соль динатриевая этилендиамин-N,N,N',N'-тетрауксусной кислоты 2-водная (трилон Б) по
ГОСТ 10652, 0,0125 моль/дм3 раствор: 4,65 г трилона Б растворяют в 200 см3 воды, раствор переносят в мерную колбу вместимостью 1 дм3, доливают водой до метки и перемешивают.
Цинк металлический по ГОСТ 3640 или цинк уксуснокислый 2-водный по
ГОСТ 5823.
Раствор цинка 0,0125 моль/дм3: 0,82 г цинка растворяют в 20 см3 раствора соляной кислоты 1:1 с добавкой 2 - 4 капель азотной кислоты и выпаривают раствор до сиропообразного состояния. Затем добавляют 100 см3 воды, нагревают до полного растворения солей, охлаждают, добавляют 25 см3 буферного раствора, переносят в мерную колбу вместимостью 1 дм3, доливают водой до метки и перемешивают. Или 2,74 г ацетата цинка растворяют в 500 см3 воды, приливают 25 см3 буферного раствора. Раствор переносят в мерную колбу вместимостью 1 дм3, доливают до метки водой и перемешивают.
Массовую концентрацию раствора цинка устанавливают, используя стандартный раствор алюминия с добавкой раствора железа в количестве, близком содержанию его в анализируемой пробе, и поступают, как указано в
п. 3.3.
Массовую концентрацию раствора цинка (

), выраженную в г/см3 алюминия, вычисляют по формуле

, (4)
где

- масса алюминия в стандартном растворе, г;

- объем раствора цинка, израсходованный на титрование стандартного раствора после добавления фторида натрия, см3;

- объем раствора цинка, израсходованный на титрование раствора контрольного опыта после добавления фторида натрия, см3.
Алюминий металлический.
Стандартный раствор алюминия: 1,0000 г алюминия растворяют в 50 см3 раствора соляной кислоты 1:1 в стакане вместимостью 250 см3, добавляют 4 - 5 капель азотной кислоты и кипятят до удаления оксидов азота. Раствор охлаждают, переносят в мерную колбу вместимостью 1 дм3, доливают водой до метки и перемешивают.
1 см3 раствора содержит 0,001 г алюминия.
Навеску пробы массой 0,5 г помещают в платиновую чашку или чашку из стеклоуглерода, добавляют 10 см3 азотной кислоты, перемешивают и осторожно по каплям добавляют 10 см3 фтористоводородной кислоты, затем после окончания бурной реакции приливают 10 см3 хлорной кислоты, нагревают и выпаривают раствор до выделения густых паров хлорной кислоты. После охлаждения чашки обмывают ее стенки водой, добавляют еще 10 см3 хлорной кислоты и выпаривают досуха. Затем добавляют 10 см3 соляной кислоты и снова выпаривают досуха. Остаток охлаждают, растворяют в 15 см3 соляной кислоты и 60 см3 горячей воды и нагревают до растворения солей. Раствор фильтруют через фильтр средней плотности, уплотненный бумажной массой. Фильтр с осадком тщательно промывают 10 - 15 раз горячим раствором соляной кислоты 1:100, собирая фильтрат и промывной раствор в стакан вместимостью 500 см3 (основной раствор).
Фильтр с осадком помещают в платиновый тигель, сушат, озоляют и прокаливают при температуре 700 - 750 °С. Затем осадок в тигле сплавляют с 1 г карбоната натрия при температуре 1000 °С. После охлаждения плав выщелачивают в 30 - 40 см3 раствора соляной кислоты 1:3 и полученный раствор присоединяют к основному раствору. Объем объединенного раствора должен быть около 200 см3.
Затем раствор нагревают до температуры около 50 °С и осторожно добавляют аммиак до получения незначительного осадка гидроксидов. Осадок растворяют добавлением нескольких капель раствора соляной кислоты 1:1, добавляют 20 см3 раствора уротропина 250 г/дм3, нагревают и выдерживают при температуре 80 - 90 °С в течение 10 - 15 мин. Осадок фильтруют на фильтр средней плотности и промывают 8 - 10 раз теплым раствором уротропина 5 г/дм3. Осадок смывают струей воды в стакан, в котором проводилось осаждение, а остатки растворяют на фильтре горячим раствором соляной кислоты 1:1, добавляя его дважды порциями по 10 см3. Фильтр промывают 8 - 10 раз горячим раствором соляной кислоты 1:100, собирая промывные растворы в тот же стакан. Содержимое стакана нагревают до полного растворения осадка, а затем выпаривают до объема около 20 см3. Добавляют 80 см3 воды, 2 г борной кислоты и нагревают до растворения. Горячий раствор вливают тонкой струей при перемешивании в тефлоновый или кварцевый стакан вместимостью 500 см3, содержащий 50 см3 горячего раствора гидроксида натрия. Содержимое стакана кипятят в течение 2 - 3 мин, охлаждают, переносят в мерную колбу вместимостью 250 см3, доливают водой до метки и перемешивают. Раствор фильтруют через сухой фильтр в сухой стакан, отбрасывая первые порции фильтрата.
В зависимости от массовой доли алюминия отбирают соответствующие аликвотные части фильтрата согласно табл. 3.
Таблица 3
─────────────────────────────────┬────────────────────────────────
Массовая доля алюминия, % │ Объем аликвотной части, см3
─────────────────────────────────┼────────────────────────────────
От 0,5 до 2 включ. │200
Св. 2 " 4 " │100
" 4 " 6 " │50
Раствор помещают в коническую колбу вместимостью 500 см3, добавляют 30,0 см3 раствора трилона Б, 2 - 3 капли раствора фенолфталеина, нейтрализуют избыток гидроксида натрия раствором соляной кислоты 1:1 до исчезновения розовой окраски и добавляют еще 2 - 3 капли в избыток (рН раствора должен быть 5,5 - 5,8). К полученному раствору добавляют 20 см3 буферного раствора, нагревают до кипения и кипятят в течение 2 - 4 мин. Раствор охлаждают, добавляют около 0,1 г ксиленолового оранжевого и титруют избыток трилона Б раствором цинка до изменения окраски раствора из желтой в фиолетовую. Если после добавления ксиленолового оранжевого раствор окрашивается не в желтый, а в красно-фиолетовый цвет, нужно добавить несколько капель раствора соляной кислоты 1:1 до получения чистой желтой окраски.
Затем добавляют 30 см3 раствора фторида натрия и кипятят в течение 2 - 3 мин (раствор окрашивается в желтый цвет). Раствор охлаждают, добавляют около 0,1 г ксиленолового оранжевого и титруют выделившийся трилон Б раствором цинка вышеописанным способом.
3.4. Обработка результатов
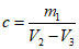
3.4.1. Массовую долю алюминия (

) в процентах вычисляют по формуле

, (5)
где

- объем раствора цинка, израсходованный на титрование раствора пробы после добавления фторида натрия, см3;

- объем раствора цинка, израсходованный на титрование раствора контрольного опыта после добавления фторида натрия, см3;

- массовая концентрация раствора цинка, выраженная в г/см3 алюминия;

- масса навески, соответствующая аликвотной части раствора пробы, г.
3.4.2. Нормы точности и нормативы контроля точности определения массовой доли алюминия приведены в
табл. 2.