Главная // Актуальные документы // ГОСТ (Государственный стандарт)СПРАВКА
Источник публикации
М.: Стандартинформ, 2006
Примечание к документу
Документ
введен в действие с 1 января 2007 года.
Название документа
"ГОСТ 31295.2-2005 (ИСО 9613-2:1996). Межгосударственный стандарт. Шум. Затухание звука при распространении на местности. Часть 2. Общий метод расчета"
(введен в действие Приказом Ростехрегулирования от 20.07.2006 N 135-ст)
"ГОСТ 31295.2-2005 (ИСО 9613-2:1996). Межгосударственный стандарт. Шум. Затухание звука при распространении на местности. Часть 2. Общий метод расчета"
(введен в действие Приказом Ростехрегулирования от 20.07.2006 N 135-ст)
агентства по техническому
регулированию и метрологии
от 20 июля 2006 г. N 135-ст
МЕЖГОСУДАРСТВЕННЫЙ СТАНДАРТ
ШУМ
ЗАТУХАНИЕ ЗВУКА ПРИ РАСПРОСТРАНЕНИИ НА МЕСТНОСТИ
ЧАСТЬ 2
ОБЩИЙ МЕТОД РАСЧЕТА
Noise. Attenuation of sound during propagation outdoors.
Part 2. General method of calculation
ISO 9613-2:1996
Acoustics - Attenuation of sound during propagation
outdoors - Part 2: General method of calculation
(MOD)
ГОСТ 31295.2-2005
(ИСО 9613-2:1996)
Дата введения
1 января 2007 года
Цели, основные принципы и основной порядок проведения работ по межгосударственной стандартизации установлены
ГОСТ 1.0-92 "Межгосударственная система стандартизации. Основные положения" и
ГОСТ 1.2-97 "Межгосударственная система стандартизации. Стандарты межгосударственные, правила и рекомендации по межгосударственной стандартизации. Порядок разработки, принятия, применения, обновления и отмены".
1 ПОДГОТОВЛЕН Открытым акционерным обществом "Научно-исследовательский центр контроля и диагностики технических систем" на основе собственного аутентичного перевода стандарта, указанного в
пункте 4
2 ВНЕСЕН Федеральным агентством по техническому регулированию и метрологии
3 ПРИНЯТ Межгосударственным советом по стандартизации, метрологии и сертификации (Протокол N 28 от 9 декабря 2005 г.)
За принятие проголосовали:
Краткое наименование страны по МК (ИСО 3166) 004-97 | Код страны по МК (ИСО 3166) 004-97 | Сокращенное наименование национального органа по стандартизации |
Азербайджан | AZ | Азстандарт |
Армения | AM | Министерство торговли и и экономического развития Республики Армения |
Беларусь | BY | Госстандарт Республики Беларусь |
Казахстан | KZ | Госстандарт Республики Казахстан |
Кыргызстан | KG | Национальный институт стандартов и метрологии Кыргызской Республики |
Молдова | MD | Молдова-Стандарт |
Российская Федерация | RU | Федеральное агентство по техническому регулированию и метрологии |
Таджикистан | TJ | Таджикстандарт |
Туркменистан | TM | Главгосслужба "Туркменстандартлары" |
Узбекистан | UZ | Агентство "Узстандарт" |
Украина | UA | Госпотребстандарт Украины |
4 Настоящий стандарт является модифицированным по отношению к международному стандарту ИСО 9613-2:1996 "Акустика. Затухание звука при распространении на местности. Часть 2. Общий метод расчета" (ISO 9613-2:1996 "Acoustics - Attenuation of sound during propagation outdoors - Part 2: General method of calculation"). При этом дополнительные слова и фразы, внесенные в текст стандарта для учета потребностей национальной экономики указанных выше государств или особенностей межгосударственной стандартизации, выделены курсивом. Отличия настоящего стандарта от примененного в нем международного стандарта ИСО 9613-2:1996 указаны в дополнительном
Приложении B
5
Приказом Федерального агентства по техническому регулированию и метрологии от 20 июля 2006 г. N 135-ст межгосударственный стандарт ГОСТ 31295.2-2005 (ИСО 9613-2:1996) введен в действие в качестве национального стандарта Российской Федерации с 1 января 2007 г.
6 ВВЕДЕН ВПЕРВЫЕ
Информация о введении в действие (прекращении действия) настоящего стандарта публикуется в указателе "Национальные стандарты".
Информация об изменениях к настоящему стандарту публикуется в указателе "Национальные стандарты", а текст этих изменений - в информационных указателях "Национальные стандарты". В случае пересмотра или отмены настоящего стандарта соответствующая информация будет опубликована в информационном указателе "Национальные стандарты"
Настоящий стандарт устанавливает технический метод расчета затухания звука при распространении на местности, применяемый для прогнозирования уровней шума на расстоянии от источников шума с известным излучением при метеорологических условиях, способствующих распространению звука.
Стандарт рассматривает распространение звука по ветру или при умеренной температурной инверсии ночью над землей. Распространение звука над водной поверхностью настоящий стандарт не рассматривает, так как из-за инверсии над водой уровни звукового давления могут оказаться выше расчетных.
Данным методом также прогнозируют средний на долгосрочном временном интервале уровень звука при изменяющихся в широких пределах метеорологических условиях.
Метод позволяет проводить расчеты в октавных полосах частот от 63 до 8000 Гц для точечного источника или группы точечных источников (стационарных или подвижных). При расчетах учитывают геометрическую дивергенцию, поглощение звука атмосферой, влияние земли, отражение звука от поверхностей, экранирование препятствиями.
Дополнительная информация, относящаяся к распространению звука в жилых массивах, сквозь листву и в промышленных зонах, приведена в
Приложении A.
Метод применяют к большому числу источников шума и к разнообразной окружающей среде.
Прямо или косвенно метод применим в большинстве ситуаций, связанных с движением автомобильного или железнодорожного транспорта, с промышленными источниками шума, строительной деятельностью и с множеством других наземных источников шума. Метод не применяют к шуму воздушного транспорта в полете или ударным звуковым волнам, возникающим при взрывах (при ведении горных работ, военной и аналогичной деятельности).
Для применения метода должны быть известны несколько параметров окружающей среды и характеристики поверхности земли в направлении распространения звука, геометрические параметры источника шума и его октавные уровни звуковой мощности в направлении распространения звука.
Примечание. Если известны только корректированные по частотной характеристике A (далее - корректированные по A) уровни звуковой мощности октавных полос, то в качестве общей оценки затухания можно принять затухание в октавной полосе со среднегеометрической частотой 500 Гц.
Точность метода и налагаемые при его применении ограничения указаны в
разделе 9.
В настоящем стандарте использованы нормативные ссылки на следующие межгосударственные стандарты:
ГОСТ 17168-82 Фильтры электронные октавные и третьоктавные. Общие технические требования и методы испытаний (МЭК 61260:1995 "Электроакустика. Фильтры с полосой пропускания в октаву и долю октавы", NEQ)
ГОСТ 17187-81 Шумомеры. Общие технические требования и методы испытаний (МЭК 61272-1:2002 "Электроакустика. Шумомеры. Часть 1: Требования", NEQ)
ГОСТ 31252-2004 (ИСО 3740:2000) Шум машин. Руководство по выбору метода определения уровней звуковой мощности (ИСО 3740:2000 "Акустика. Определение уровней звуковой мощности источников шума. Руководство по выбору основополагающих стандартов", MOD)
ГОСТ 31295.1-2005 (ИСО 9613-1:1993) Шум. Затухание звука при распространении на местности. Часть 1. Расчет поглощения звука атмосферой (ИСО 9613-1:1993 "Акустика. Затухание звука при распространении на местности. Часть 1. Расчет поглощения звука атмосферой", MOD)
ГОСТ 31297-2005 (ИСО 8297:1994) Шум. Технический метод определения уровней звуковой мощности промышленных предприятий с множественными источниками шума для оценки уровней звукового давления в окружающей среде (ИСО 8297:1994 "Акустика. Определение уровней звуковой мощности промышленных предприятий с множественными источниками шума для оценки уровней звукового давления в окружающей среде. Технический метод", MOD)
Примечание. При пользовании настоящим стандартом целесообразно проверить действие ссылочных стандартов по указателю "Национальные стандарты", составленному по состоянию на 1 января текущего года, и по соответствующим информационным указателям, опубликованным в текущем году. Если ссылочный стандарт заменен (изменен), то при пользовании настоящим стандартом следует руководствоваться замененным (измененным) стандартом. Если ссылочный стандарт отменен без замены, то положение, в котором дана ссылка на него, применяется в части, не затрагивающей эту ссылку.
3. Термины, определения и обозначения
В настоящем стандарте применены следующие термины с соответствующими определениями и обозначениями.
3.1. эквивалентный уровень звука (equivalent continuous A-weighted sound pressure level) LAT, дБА: Уровень звукового давления, определяемый по формуле

, (1)
где

- мгновенное корректированное по
А звуковое давление, Па;

- опорное звуковое давление (

Па);
T - заданный временной интервал, с.
Примечания.
1. Частотная характеристика А шумомера - по ГОСТ 17187.
2. Временной интервал
T должен быть достаточным для усреднения при изменяющихся метеорологических условиях. В настоящем стандарте рассмотрены две ситуации: усреднение в течение короткого временного интервала (при краткосрочных изменениях ветра) и усреднение в течение долгосрочного временного интервала.
3.2. эквивалентный октавный уровень звукового давления с подветренной стороны (equivalent continuous downwind octave-band sound pressure level) LfT (DW), дБ: Уровень звукового давления в октавной полосе частот, определяемый по формуле

, (2)
где

- мгновенное октавное звуковое давление, измеряемое с подветренной стороны источника шума, Па;
f - номер октавной полосы частот.
Примечание. Применяют октавные фильтры 1-го или 2-го класса по
ГОСТ 17168.
3.3.
вносимые потери (insertion loss),
дБ: Разность уровней звукового давления на приемнике, установленном в контрольной точке, при отсутствии и наличии экрана и при отсутствии других значительных явлений, отрицательно влияющих на распространение звука.
В стандарте применены обозначения, указанные в таблице 1.
Таблица 1
Обозначения, величины и единицы
Обозначение | Величина | Единица измерения |
A | Затухание в октавной полосе частот | дБ |
Cmet | Поправка на метеорологические условия | дБ (дБА) |
d | Расстояние от точечного источника шума до приемника ( рисунок 3) | м |
dp | Проекция расстояния от точечного источника шума до приемника на плоскость земли ( рисунок 1) | м |
ds,o | Расстояние от точечного источника шума до точки отражения на звукоотражающем экране ( рисунок 8) | м |
do,r | Расстояние от точки отражения на звукоотражающем экране до приемника ( рисунок 8) | м |
dss | Расстояние от точечного источника шума до дифракционной кромки (первой) ( рисунки 6 и 7) | м |
dsr | Расстояние от второй дифракционной кромки до приемника ( рисунки 6 и 7) | м |
DI | Показатель направленности точечного источника шума | - |
Dz | Затухание на экране | дБ |
e | Расстояние между первой и второй дифракционными кромками | м |
G | Коэффициент отражения от поверхности земли | - |
h | Средняя высота источника шума и приемника | м |
hs | Высота точечного источника шума над землей ( рисунок 1) | м |
hr | | м |
hm | Средняя высота траектории распространения звука над землей ( рисунок 3) | м |
Hmax | Максимальный размер источника шума | м |
lmin | Минимальный размер (длина или высота) звукоотражающей плоскости ( рисунок 8) | м |
L | Уровень звукового давления | дБ |
| Коэффициент затухания звука в атмосфере | дБ/км |
| Угол падения звуковой волны | рад |
| Коэффициент звукоотражения | - |
Расчетные формулы настоящего стандарта справедливы для затухания звука от точечного источника. Протяженные источники шума, такие как автомобильный поток и поезда на железной дороге или предприятие, на котором может быть несколько установок или производств, а также движущийся транспорт, должны быть представлены совокупностью единичных источников шума (частей, секций и т.д.), каждый из которых имеет известные звуковую мощность и показатель направленности. Затухание, рассчитанное для звука из репрезентативной точки единичного источника шума, считают затуханием звука единичного источника. Линейные источники могут быть разделены на отрезки, плоские (поверхностные) источники - на участки, и каждая из этих частей может быть заменена точечным источником, находящимся в центре части.
Группа точечных источников может быть заменена эквивалентным точечным источником, расположенным в центре группы, если:
a) источники приблизительно равноценны по излучению и расположены примерно на одной высоте над землей;
b) условия распространения звука от источников до приемника одинаковые;
c) расстояние
d от эквивалентного точечного источника до приемника более удвоенного максимального размера
в группе источников (

).
Если расстояние

или условия распространения звука от точечных источников различны (например, вследствие экранирования некоторых из них), то группа точечных источников не может быть заменена эквивалентным источником шума.
Примечание. Дополнительно, кроме реальных источников, для описания отражения звука от стен зданий или потолков установленных под открытым небом навесов могут быть введены в рассмотрение мнимые источники (см.
7.5).
5. Метеорологические условия
Под распространением звука в подветренном направлении (по ветру от источника шума) в настоящем стандарте подразумевают, что:
- угол между направлением от центра доминирующего источника шума к центру контрольного участка, где установлен приемник (микрофон), и направлением ветра находится в пределах +/- 45°;
- скорость ветра на высоте от 3 до 11 м над землей равна от 1 до 5 м/с.
Формулы для расчета
эквивалентного уровня звука с подветренной стороны

(DW), включая формулы
раздела 7, дают усредненные результаты измерений при изменении метеорологических условий в указанных пределах. Усреднение осуществляют на коротком временном интервале (см. 3.1,
примечание 2).
Формулы применимы к расчетам распространения звука над землей при умеренной температурной инверсии, которая обычно имеет место ясными безветренными ночами.
Эквивалентный октавный уровень звукового давления с подветренной стороны

(DW) на приемнике рассчитывают для каждого точечного источника и мнимого источника для октавных полос со среднегеометрической частотой от 63 до 8000 Гц по формуле

, (3)
где

- октавный уровень звуковой мощности точечного источника шума относительно опорного значения звуковой мощности, равного 1 пВт, дБ;

- поправка, учитывающая направленность точечного источника шума и показывающая, насколько отличается эквивалентный уровень звукового давления точечного источника шума в заданном направлении от уровня звукового давления ненаправленного точечного источника шума с
тем же уровнем звуковой мощности

, дБ.
Поправка

равна сумме показателя направленности точечного источника шума

и поправки

, вводимой при распространении звука в пределах телесного угла

менее

ср (стерадиан). Для ненаправленного точечного источника шума, излучающего в свободное пространство,

;
A - затухание в октавной полосе частот при распространении звука от точечного источника шума к приемнику, дБ.
Примечания. 1. Затухание в октавной полосе частот, обозначаемое в настоящем стандарте A, не следует смешивать с обозначением частотного взвешивания (коррекции) по характеристике А шумомера.
2. Уровни звуковой мощности в
формуле (3) могут быть определены методами измерений, например, по ГОСТ 31252 для машин и оборудования или по
ГОСТ 31297 для промышленных предприятий.

, (4)
где

- затухание из-за геометрической дивергенции
(из-за расхождения энергии при излучении в свободное пространство) по
7.1;

- затухание из-за звукопоглощения атмосферой по
7.2;

- затухание из-за влияния земли по
7.3;

- затухание из-за экранирования по
7.4;

- затухание из-за влияния прочих эффектов (см.
Приложение A).
Общие методы расчета первых четырех членов в
формуле (4) приведены в
разделе 7. Сведения о значениях

при распространении звука через листву, в промышленных зонах и жилых массивах представлены в
Приложении A.
Эквивалентный уровень звука с подветренной стороны

(DW), дБА, определяют суммированием
эквивалентных корректированных по A октавных уровней звукового давления, рассчитанных по
формулам (3) и
(4) для каждого точечного источника и источника, представляющего собой зеркальное изображение точечного источника (мнимый источник). Его рассчитывают по формуле

, (5)
где n - число источников шума и траекторий распространения звука, влияние которых учитывают;
i - номер источника шума (или траектории распространения звука);
j - номер октавной полосы со среднегеометрической частотой от 63 до 8000 Гц (всего восемь октавных полос);

-
относительная частотная характеристика А шумомера по ГОСТ 17187.
Усредненный на долгосрочном временном интервале уровень звука

(LT),
дБА, рассчитывают по формуле

, (6)
где

- поправка на метеорологические условия по
разделу 8.
Подробности, касающиеся величин, характеризующих затухание, можно почерпнуть в
[1] -
[6].
7.1.
Затухание из-за геометрической дивергенции
Adiv
Затухание из-за геометрической дивергенции
(затухание в свободном пространстве из-за расхождения звуковой энергии) 
, дБ, происходящее в результате сферического распространения звука точечного источника шума в свободном звуковом поле, рассчитывают по формуле

, (7)
где d - расстояние от источника шума до приемника, м;

- опорное расстояние (

м).
Примечание. Константа 11 в формуле (7) связывает уровень звуковой мощности ненаправленного точечного источника шума с уровнем звукового давления на опорном расстоянии

от него.
7.2.
Затухание из-за звукопоглощения атмосферой
Aatm
Затухание из-за звукопоглощения атмосферой

, дБ, на расстоянии
d, м, от источника шума определяют по формуле

, (8)
где

- коэффициент затухания
звука в октавной полосе частот в атмосфере (таблица 2).
Таблица 2
Коэффициент затухания
звука в атмосфере

в октавных полосах частот
Температура, °С | Относительная влажность, % | Коэффициент затухания звука в атмосфере  , дБ/км, в октавных полосах со среднегеометрической частотой, Гц |
63 | 125 | 250 | 500 | 1000 | 2000 | 4000 | 8000 |
10 | 70 | 0,1 | 0,4 | 1,0 | 1,9 | 3,7 | 9,7 | 32,8 | 117 |
20 | 70 | 0,1 | 0,3 | 1,1 | 2,8 | 5,0 | 9,0 | 22,9 | 76,6 |
30 | 70 | 0,1 | 0,3 | 1,0 | 3,1 | 7,4 | 12,7 | 23,1 | 59,3 |
15 | 20 | 0,3 | 0,6 | 1,2 | 2,7 | 8,2 | 28,2 | 88,8 | 202 |
15 | 50 | 0,1 | 0,5 | 1,2 | 2,2 | 4,2 | 10,8 | 36,2 | 129 |
15 | 80 | 0,1 | 0,3 | 1,1 | 2,4 | 4,1 | 8,3 | 23,7 | 82,8 |
Значения

при иных атмосферных условиях, не указанных в таблице 2, даны в
ГОСТ 31295.1.
Примечания. 1. Коэффициент затухания звука в атмосфере сильно зависит от частоты, температуры и относительной влажности, но слабо зависит от атмосферного давления.
2. При расчете коэффициент затухания

в атмосфере усредняют по погодным условиям данной местности.
7.3.
Затухание из-за влияния земли
Agr
7.3.1. Общий метод расчета
Основная причина затухания из-за влияния земли

- интерференция звуковых волн, отраженных поверхностью земли, с волнами прямого звука от источника шума к приемнику.
При распространении звука по ветру это затухание в основном определяется влиянием земли вблизи источника шума и приемника. Метод расчета затухания из-за влияния земли применим только в случае практически плоской поверхности земли вне зависимости от того, горизонтальная она или наклонная. При этом различают (
рисунок 1) три основные зоны (области):
a) зону источника длиной до

и максимальным значением, равным

(

- высота точечного источника шума над землей;

- проекция расстояния от точечного источника шума до приемника на плоскость земли);
b) зону приемника длиной до

и максимальным значением, равным

(

- высота приемника над землей);
c) среднюю зону. Если

, то зоны источника и приемника частично перекрываются и средняя зона отсутствует.
Рисунок 1. Три основные зоны при определении
затухания из-за влияния земли
Согласно данной схеме затухание из-за влияния земли не зависит от длины средней зоны, но в большой степени зависит от характеристик поверхности земли в зонах источника и приемника.
Акустические характеристики поверхности земли в зонах учитывают коэффициентом отражения от поверхности земли G. Различают три категории поверхностей земли по звукоотражению:
a) твердую поверхность (мощеная, залитая водой, покрытая льдом, бетонированная и прочие поверхности с низкой пористостью). Например, утрамбованный грунт, часто встречающийся вокруг промышленных площадок, можно считать твердой поверхностью. Для твердой поверхности G = 0;
Примечание. Случай инверсии над водной поверхностью в настоящем стандарте не рассматривается.
b) пористую поверхность (голая или покрытая травой земля, деревья и другая растительность, а также прочие поверхности, пригодные для выращивания растений, например земли сельскохозяйственного назначения). Для пористой поверхности G = 1;
c) смешанную поверхность. Если поверхность имеет твердые и пористые участки, то G принимает значения от 0 до 1 пропорционально площади поверхности пористых участков.
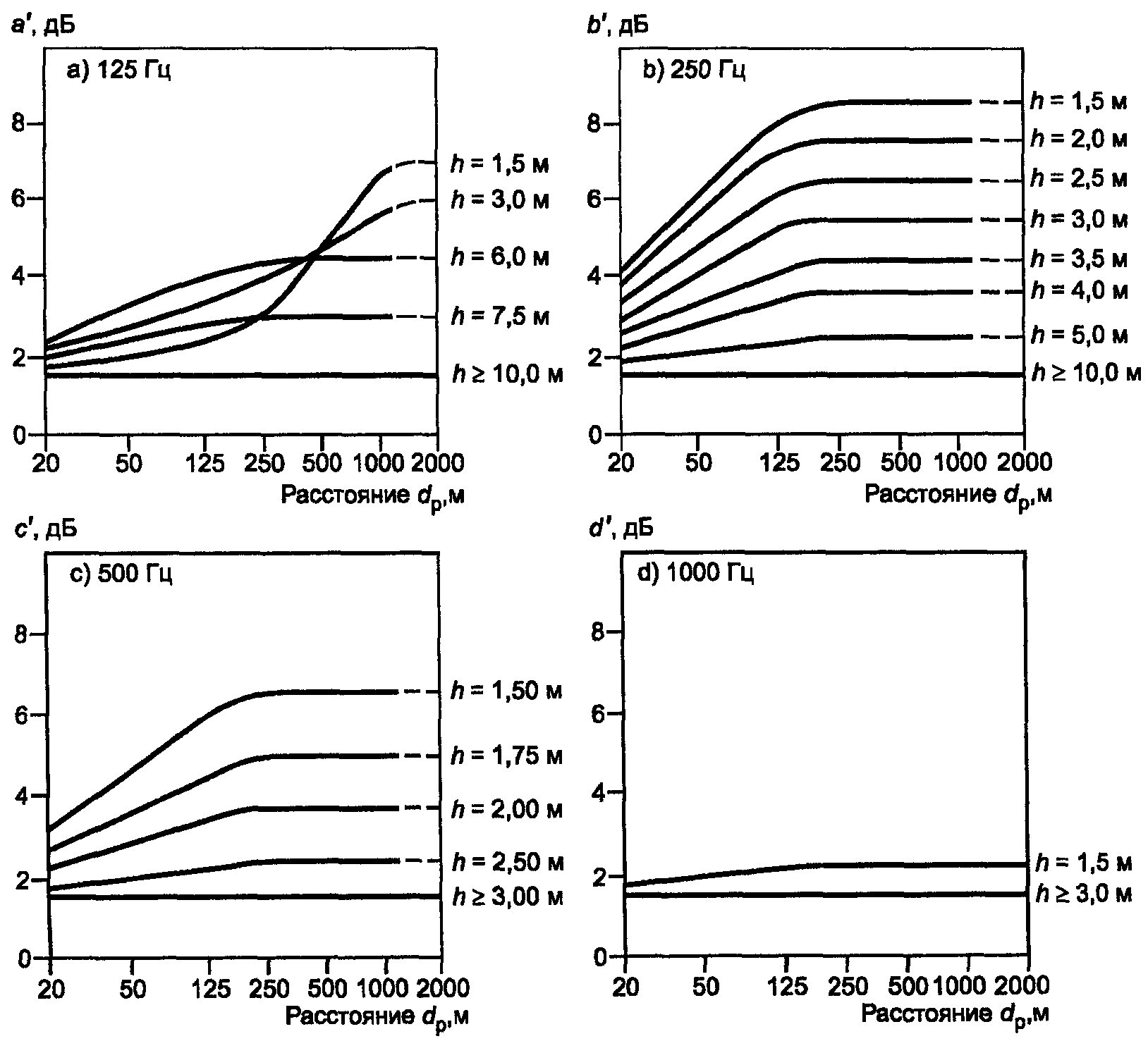
Для определения затухания из-за влияния земли в заданной октавной полосе частот рассчитывают: затухание

в зоне источника при заданном показателе поверхности земли

; затухание

в зоне приемника с показателем поверхности

; затухание

в средней зоне с показателем поверхности

- по формулам
таблицы 3. Значения величин
a',
b',
c',
d', указанных в
таблице 3, могут быть получены по графикам на
рисунке 2. Общее затухание из-за влияния земли в заданной октавной полосе частот определяют по формуле

. (9)
Примечание. В жилых массивах влияние земли на распространение звука может быть иным [см.
A.3 (Приложение A)].
Таблица 3
Формулы для расчета составляющих

,

и

затухания
из-за влияния земли

в октавных полосах частот
Среднегеометрическая частота октавной полосы, Гц | | Am, дБ |
63 | -1,5 | |
125 | -1,5 + G x a'(h) | -3q(1 - Gm) |
250 | -1,5 + G x b'(h) |
500 | -1,5 + G x c'(h) |
1000 | -1,5 + G x d'(h) |
2000 | -1,5(1 - G) |
4000 | -1,5(1 - G) |
8000 | -1,5(1 - G) |
<*> Для расчета  принимают  и  . Для расчета  принимают  и  . Значения G для различных категорий поверхности земли - по 7.3.1. <**> q = 0, если  ,  , если  , где  - проекция расстояния от точечного источника шума до приемника на плоскость земли, м. Примечание. Величины, указанные в среднем столбце, рассчитывают по следующим формулам. |
Рисунок 2. Значения величин
a',
b',
c',
d' как функций
проекции расстояния от точечного источника шума до приемника
на плоскость земли

,
средней высоты источника шума
или приемника h, используемые при расчете затухания
из-за влияния земли

(рассчитаны по формулам
таблицы 3)
7.3.2. Альтернативный метод расчета по корректированным по А уровням звукового давления
При следующих условиях:
- представляет интерес только уровень звука на приемнике;
- распространение звука происходит над пористой или смешанной поверхностью, большая часть которой пористая (см.
7.3.1);
- шум не является
тональным (чистым тоном), - для поверхности земли любой формы затухание из-за влияния земли

, дБА, может быть рассчитано по формуле

, (10)
где

- средняя высота траектории распространения звука над землей, м;
d - расстояние от точечного источника шума до приемника, м.
Средняя высота

может быть оценена методом, показанным на
рисунке 3. В случае отрицательного значения

по формуле (10) его принимают равным нулю.
Примечание. Для коротких расстояний
d формулу (10) не применяют и используют
формулу (9) как более точную.
1 - точечный источник шума; 2 - приемник;
3 - поверхность земли; F - площадь заштрихованной фигуры, м2;

- средняя высота траектории распространения звука
Рисунок 3. Метод определения средней высоты траектории
распространения звука

Если затухание из-за влияния земли рассчитывают по
формуле (10), то поправка на направленность

в
формуле (3) должна включать в себя поправку

, дБА, для учета имеющего место возрастания уровня звуковой мощности источника шума из-за отражения звука от земли вблизи источника. Значение

рассчитывают по формуле

, (11)
где

- высота точечного источника шума над землей, м;

- высота приемника над землей, м;

- проекция расстояния от точечного источника шума до приемника на плоскость земли, м.
7.4.
Затухание из-за экранирования
Abar
Объект считают барьером или экранирующим препятствием (далее - экран), если:
- поверхностная плотность его не менее 10 кг/м2;
- поверхность его сплошная (без больших разрывов или просветов, например, технологические установки на химических предприятиях не считают экраном);
- горизонтальный размер экрана в направлении, перпендикулярном к линии, соединяющей источник и приемник, более длины звуковой волны

с частотой, равной среднегеометрической частоте октавной полосы, т.е.

(рисунок 4).
Принимают, что боковые кромки экрана вертикальны. Верхняя кромка экрана является прямой линией, которая может быть наклонной.
Рисунок 4. Вид сверху на два экрана между источником
шума S и приемником R
Примечание. Объект считают экраном, если его горизонтальный размер, перпендикулярный к линии SR, соединяющей источник шума и приемник, превышает длину звуковой волны, т.е.

.
Затухание из-за экранирования

считают вносимыми потерями (
3.3). Должна быть принята во внимание дифракция на верхней и вертикальных кромках экрана (
рисунок 5). При распространении звука по ветру затухание с учетом дифракции на верхней кромке рассчитывают по формуле

. (12)
Затухание с учетом дифракции на вертикальных кромках рассчитывают по формуле

, (13)
где

- затухание на экране для каждой октавной полосы частот, рассчитываемое по
формуле (14);

- затухание из-за влияния земли при отсутствии экрана. Значение

рассчитывают по
7.3.
Рисунок 5. Различные пути распространения звука
вокруг экрана
Примечания. 1. Если

, определенное по
формуле (12), подставляют в
формулу (4) для определения общего затухания
A, то члены

взаимно уничтожаются. Затухание на экране

в
формуле (12) включает в себя затухание из-за влияния земли при наличии экрана.
2. При больших расстояниях и высоких экранах вносимые потери, рассчитанные по
формуле (12), не подтверждаются измерениями в достаточной мере.
3. При расчете вносимых потерь предприятиями с множественными источниками шума с высокими зданиями (выше 10 м), а также с источниками повышенного шума на территории предприятия
формулу (13) используют при определении среднего уровня
звука на долгосрочном временном интервале по
формуле (6).
4. Звук от находящихся в выемках автомагистралей, кроме затухания, определяемого по
формуле (12) на откосах выемки как на экране, дополнительно затухает из-за влияния земли вне выемки.
При расчете затухания на экране

предполагают, что имеется один основной путь распространения звука от источника шума к приемнику. Если данное предположение недействительно, то следует выполнить расчет для разных путей распространения звука, показанных на
рисунке 5, и определить суммарный результат как среднеквадратичное значение.
Затухание на экране

, дБ, для данного пути рассчитывают по формуле

, (14)
где

-
константа, учитывающая эффект отражения от земли (

). Если в особых случаях
(твердый грунт, скальные породы и т.п.) во внимание принимают отражение от земли звука мнимых источников, то

;

-
константа, учитывающая дифракцию на
верхних кромках. При дифракции на одной кромке
(рисунок 6) 
. При дифракции на двух кромках
(рисунок 7) константу рассчитывают по формуле

, (15)
где

- длина звуковой волны с частотой, равной среднегеометрической частоте октавной полосы, м;
z - разность длин путей распространения звука через дифракционную кромку (кромки) и прямого звука, рассчитанных по
формулам (16) и
(17), м;

- коэффициент, учитывающий влияние метеорологических условий, определяемый по
формуле (18);
e - расстояние между дифракционными кромками
(рисунок 7).
Рисунок 6. Геометрические величины для определения
разности длин путей распространения звука
при дифракции на одной кромке
Рисунок 7. Геометрические величины для определения
разности длин путей распространения звука
при дифракции на двух кромках
При дифракции на одной кромке (
рисунок 6) разность длин путей распространения звука
z, м, рассчитывают по формуле

, (16)
где

- расстояние от источника шума до дифракционной кромки
(до первой дифракционной кромки в случае дифракции на двух кромках), м;

- расстояние от дифракционной кромки
(от второй дифракционной кромки в случае дифракции на двух кромках) до приемника, м;
а - проекция на кромку экрана траектории распространения звука от источника к приемнику через верхнюю кромку экрана, м.
Примечание. Расстояния
и
измеряют, соответственно, по перпендикулярам, опущенным из источника шума и приемника на верхнюю кромку экрана. Значение a равно расстоянию между основаниями этих перпендикуляров вдоль верхней кромки. На чертежах рисунков 6 и 7 показаны фронтальные проекции этих расстояний и расстояния d. Расстояние a не видно, так как фронтальная проекция его представляет собой точку.
Если линия, соединяющая источник шума S и приемник R, проходит над верхней кромкой экрана, то значению z приписывают знак минус.
При дифракции на двух кромках (
рисунок 7) разность длин путей
z рассчитывают по формуле

. (17)

для
z > 0; (18)

для

.
Примечания. 1. Для расстояний от источника шума до приемника менее 100 м в
формуле (14) 
может быть принят равным 1,
что не вносит в расчет ошибку более 1 дБ.
2.
Формула (15) справедлива для дифракции на одной кромке (
e = 0), когда

, и для дифракции на двух кромках для значений

, когда

.
3. Экран может быть менее эффективным, чем по расчетам по
формулам (12) -
(18), из-за отражения звука от других акустически твердых поверхностей вблизи траектории распространения звука от источника шума к приемнику или из-за многократных отражений звука между акустически твердым экраном и источником шума.
Затухание на экране

в любой октавной полосе частот не следует принимать более 20 дБ в случае дифракции на одной кромке (тонкие экраны) и 25 дБ в случае дифракции на двух кромках (толстые экраны).
Затухание при наличии двух экранов рассчитывают по
формуле (14) как для дифракции на двух кромках в соответствии с нижним чертежом
рисунка 7. Затухание при наличии более чем двух экранов может быть приблизительно рассчитано также по
формуле (14), если выбрать два наиболее эффективных экрана и пренебречь влиянием остальных.
Звукоотражение
моделируют введением зеркального изображения источника шума, рассматриваемого как мнимый источник. Оно имеет место при отражении звука от установленных под открытым небом навесов и от более или менее вертикальных поверхностей (например, отражение звука от фасадов зданий), что может быть причиной повышения уровней звукового давления на приемнике. Эффект отражения звука от земли в данном случае не рассматривают, так как он учтен при расчете

.
Отражение звука от экрана рассчитывают для всех октавных полос частот, для которых выполнены следующие условия:
- зеркальное изображение источника построено, как показано на
рисунке 8;
- коэффициент звукоотражения от экрана более 0,2;
- звукоотражающая поверхность достаточно велика, чтобы для длины звуковой волны, соответствующей среднегеометрической частоте октавной полосы, было соблюдено соотношение

, (19)
где

- длина звуковой волны с частотой, соответствующей среднегеометрической частоте
f, Гц, октавной полосы

, м;

- расстояние между точечным источником шума и точкой отражения на экране, м;

- расстояние между точкой отражения на экране и приемником, м;

- угол падения
звуковой волны (рисунок 8), рад;

- минимальный размер (длина или высота) звукоотражающей плоскости (рисунок 8), м.
Если хотя бы одно из данных условий не соблюдается для определенной октавной полосы частот, то звукоотражением в ней пренебрегают.
1 - экран; S - точечный источник шума; R - приемник;

- мнимый источник шума
Рисунок 8. Зеркальное звукоотражение от экрана
Примечание. Траектория распространения звука от источника шума S к приемнику
длиной 
+

имеет угол падения
звуковой волны на экран

, равный углу отражения. Отраженный звук может быть представлен исходящим из мнимого источника шума

.
Реальный и мнимый источники рассматривают раздельно. Уровень звуковой мощности мнимого источника

, дБ, рассчитывают по формуле

, (20)
где

- коэффициент звукоотражения от поверхности экрана при угле падения звуковой волны

(

);

- показатель направленности мнимого точечного источника шума в направлении на приемник.
Если значения коэффициента звукоотражения неизвестны, то они могут быть оценены по таблице 4.
Таблица 4
Оценки коэффициента звукоотражения

Объект | |
Плоские твердые стены | 1 |
Стены зданий с окнами и небольшими пролетами (нишами, выступами) | 0,8 |
Заводские стены, на 50% поверхности которых установлено оборудование или трубопроводы, или площадь проемов в стенах составляет 50% | 0,4 |
Цилиндры (баки, бункеры) с твердыми поверхностями | где D - диаметр цилиндра; dsc - расстояние от источника S до центра цилиндра C;  - дополнительный угол к углу между линиями SC и CR. |
Оборудование под открытым небом (трубопроводы, опоры и т.д.) | 0 |
<*> Эта формула применима, только если расстояние dsc от источника S до цилиндра C намного меньше расстояния dcr от цилиндра до приемника (рисунок 9). |
Рисунок 9. Оценка коэффициента звукоотражения
от поверхности цилиндра
Для мнимого источника составляющие затухания в
формуле (4) и величины

и

в
формуле (20) должны быть определены для пути распространения отраженного звука.
8. Поправка на метеорологические условия
Cmet
По
формуле (5) определяют эквивалентный уровень звука

(DW), дБА, на приемнике при метеорологических условиях, указанных в
разделе 5.
По уровню звука контролируют шум на селитебной территории, когда шум только изредка превышает норму. Однако часто требуется знать уровень звука

(LT), усредненный на долгосрочном временном интервале
T, составляющем несколько месяцев или год. Этот интервал обычно включает в себя метеорологические условия, как способствующие, так и препятствующие распространению звука. В таком случае уровень звука

(LT) может быть рассчитан по
формуле (6), учитывающей поправку на метеорологические условия

.
Поправку

, дБА, для точечного источника постоянного шума рассчитывают по формулам:

, (21)
если

;

, (22)
если

,
где

- высота точечного источника шума над землей, м;

- высота приемника над землей, м;

- проекция расстояния между источником шума и приемником на горизонтальную плоскость земли, м;

- поправка на местные метеорологические условия по скорости и направлению ветра и по температурному градиенту.
Влияние метеорологических условий на распространение звука невелико для коротких расстояний

, а также для больших расстояний при большой высоте источника шума и приемника над землей.
Формулы (21) и
(22), приближенно учитывающие данные факторы,
представлены графиками на рисунке 10.
Рисунок 10. Поправка на метеорологические условия

Примечания. 1. Значение

в
формуле (22) может быть оценено путем анализа местных метеорологических статистических данных. Например, если выяснено, что метеорологические условия, способствующие распространению звука (
раздел 5), имеют место в течение половины рассматриваемого временного интервала, а затухание в течение другой половины интервала более 10 дБА, то влиянием шума при неблагоприятных условиях распространения звука можно пренебречь и приблизительно принять

дБА.
2. Местные метеорологические данные для оценки

могут быть предоставлены компетентными органами.
3. На практике значения

варьируют от 0 до +5 дБА. При этом значения, превышающие 2 дБА, исключительно редки. Таким образом, на основе анализа местных метеорологических статистических данных может быть обеспечено определение

с точностью +/- 1 дБА.
Для источника, состоящего из группы точечных источников шума,
высоту 
в
формулах (21) и
(22) принимают равной высоте доминирующего источника, а
расстояние 
- равным расстоянию от центра этого источника до приемника.
9. Точность и ограничения метода
Затухание при распространении звука на местности между источником шума и приемником зависит от изменения метеорологических условий вдоль пути звука.
Настоящий стандарт ограничивается учетом влияния метеорологических условий, указанных в разделе 5.
При определении согласия результатов расчета
эквивалентного уровня звука с подветренной стороны

(DW) с измеренным его значением используют оценки точности расчета, указанные в таблице 5.
Таблица 5
Оценка точности расчета уровня звука

(DW)
| Оценка точности, дБА, при расстоянии d <**>, м |
0 < d < 100 | 100 < d < 1000 |
0 < h < 5 | +/- 3 | +/- 3 |
5 < h < 30 | +/- 1 | +/- 3 |
<*> h - средняя высота источника шума и приемника. <**> d - расстояние от точечного источника шума до приемника. |
Примечание. Оценки точности даны при отсутствии звукоотражения или затухания на экране. |
Оценки точности справедливы для условий применения расчетных формул согласно
разделам 3 -
8 и не учитывают зависимость от неопределенности определения уровней звуковой мощности.
Примечание. Оценки точности в
таблице 5 даны для условий распространения звука по ветру и усреднены для независимых ситуаций, указанных в
разделе 5. Они необязательно согласуются с результатами измерений, выполненных в определенном месте в определенный день, и могут быть значительно выше значений, указанных в
таблице 5.
Оценки ошибок расчетов
эквивалентных октавных уровней звукового давления с подветренной стороны, а также уровней звукового давления
при тональном шуме (чистые тоны) при тех же условиях могут несколько превышать оценки ошибок для уровня звука широкополосного шума, указанные в
таблице 5.
Оценки точности для расстояний d > 1000 м в настоящем стандарте не рассматриваются.
В настоящем стандарте метеорологические условия ограничены двумя случаями:
a) умеренные по ветровым или
другим условиям согласно
разделу 5;
b) метеорологические условия на протяжении нескольких месяцев или лет (года).
Имеется большое число ограничений (неметеорологического характера) применимости отдельных формул.
Формулу (9), например, применяют для практически плоской поверхности земли. Конкретные ограничения указаны при описании каждой формулы.
(рекомендуемое)
ДОПОЛНИТЕЛЬНЫЕ ВИДЫ ЗАТУХАНИЯ
Amisc
Член

в
формуле (4) характеризует затухание вследствие различных дополнительных эффектов, не рассматриваемых в
разделе 7. Такими эффектами являются затухания при распространении звука:
- через листву

;
- в промышленных зонах

;
- в жилых массивах

.
Для расчета затухания вследствие дополнительных эффектов криволинейную траекторию распространения звука по ветру аппроксимируют дугой окружности с радиусом 5000 м (рисунок A.1).
Рисунок A.1. Затухание при распространении звука
через листву, пропорциональное длине

Примечание.
Длина траектории звука через листву равна 
. Для расчета

и

радиус криволинейной траектории принимают равным 5000 м.
А.1. Затухание в листве Afol
Листва деревьев и кустарников влияет на затухание мало и только в случае, когда она плотная (не имеет просветов). Затухание может происходить вблизи источника шума или приемника, или в обоих случаях (
рисунок A.1). В качестве альтернативы
аппроксимирующей дуге окружности траектория может быть представлена прямыми линиями на участках

и

, наклоненными к земле под углом 15°.
В
первой строке таблицы A.1 указано затухание в плотной листве, если общая длина траектории через листву равна от 10 до 20 м, во
второй строке - от 20 до 200 м. Для траекторий, длина которых превышает 200 м, принимают, что затухание равно значению при длине 200 м.
Таблица A.1
Затухание в октавных полосах при распространении
звука через плотную листву
Длина траектории распространения звука df, м | Среднегеометрическая частота октавной полосы, Гц |
63 | 125 | 250 | 500 | 1000 | 2000 | 4000 | 8000 |
| Затухание, дБ |
0 | 0 | 1 | 1 | 1 | 1 | 2 | 3 |
| Затухание, дБ/м |
0,02 | 0,03 | 0,04 | 0,05 | 0,06 | 0,08 | 0,09 | 0,12 |
A.2. Затухание в промышленных зонах Asite
В промышленных зонах затухание возникает вследствие рассеяния звука оборудованием (и другими объектами). Оно может быть учтено величиной

, если не включено
в затухание на экране 
или не указано в требованиях к шуму источника. Под оборудованием в
настоящем Приложении понимают различные трубы, клапаны, боксы, элементы конструкций и т.д.
Величина

сильно зависит от типа зоны, поэтому рекомендуется ее определять измерениями. Однако для оценки данного затухания может быть использована таблица A.2.
Таблица A.2
Коэффициент затухания в октавных полосах частот
при распространении звука в промышленных зонах
Среднегеометрическая частота октавной полосы, Гц | Asite, дБ/м |
63 | 0 |
125 | 0,015 |
250 | 0,025 |
500 | 0,025 |
1000 | 0,02 |
2000 | 0,02 |
4000 | 0,015 |
8000 | 0,015 |
Затухание пропорционально длине криволинейной траектории

(рисунок A.2) и максимально равно 10 дБ.
Рисунок A.2. Затухание пропорционально длине

при распространении звука в промышленной
зоне с оборудованием
A.3. Затухание в жилых массивах Ahous
A.3.1. Если источник шума или приемник, или оба они расположены в жилом массиве, то возникает затухание из-за экранирования домами. Однако данный эффект может быть снижен за счет прохождения звука между домами и отражений его от других домов. Комбинационный эффект экранирования и отражения звука

может быть рассчитан для каждой ситуации, по крайней мере в принципе, по правилам расчета затухания
из-за экранирования 
по
7.4 и затухания из-за звукоотражения по
7.5. Поскольку значение величины

сильно зависит от ситуации, правильность расчета следует проверять практическими измерениями. Потому более полезно, особенно в случае многократных (многих) отражений, снижающих точность расчетов, выполнить измерения на месте или на моделях застройки.
A.3.2. Приблизительное затухание уровня звука

, которое не должно превышать 10 дБА, может быть оценено по формуле

. (A.1)
A.3.3. Среднее значение величины

, дБА, может быть рассчитано по формуле

, (A.2)
где B - плотность застройки вдоль траектории распространения звука, равная отношению площади участков под домами к общей площади жилого массива, включая площадь участков под домами;

- длина траектории звука через просветы между домами, определенная аналогично
рисунку A.1, м.
Длина траектории

может включать в себя участок

вблизи источника шума и

вблизи приемника, как показано на
рисунке A.1.

принимают равным нулю в случае небольшого источника шума при условии прямой видимости приемника от источника шума через просветы между домами.
Примечание. Уровень звука в отдельных точках жилого массива может отличаться на значение до 10 дБА от среднего значения, определенного по
формулам (A.1) и
(A.2).
A.3.4. Если вдоль автомобильной или железной дороги или иного подобного коридора имеется плотная рядная застройка, то может быть учтено дополнительное затухание

(при условии, что оно менее вносимых потерь
домами как экранами в той же точке, если высоту экрана принять равной средней высоте домов), рассчитываемое по формуле

, (A.3)
где
р - отношение длины фасадов домов к длине автомобильной или железной дороги вдоль них (
p 
90%).
A.3.5. Для жилых массивов величина

, рассчитанная по
формуле (A.2), и затухание из-за влияния земли

, рассчитанное по
формуле (9) или
(10), связаны следующим образом.
Пусть

- затухание из-за влияния земли в жилом массиве, а

- затухание из-за влияния земли при отсутствии домов, т.е. рассчитанное по
формуле (9) или
(10). При распространении звука в жилом массиве в общем случае в
формуле (4) принимают

. Однако если

превышает

, то затуханием

пренебрегают, а в
формулу (4) подставляют только

.
Вышеописанная связь имеет различное значение в зависимости от плотности застройки
B: для застройки с низкой плотностью доминирует затухание

, с высокой плотностью -

.
(справочное)
ОТЛИЧИЯ НАСТОЯЩЕГО СТАНДАРТА ОТ ПРИМЕНЕННОГО В НЕМ
МЕЖДУНАРОДНОГО СТАНДАРТА ИСО 9613-2:1996
B.1. Из
раздела 2 настоящего стандарта исключены нормативные ссылки на ИСО 1996-1:1982, ИСО 1996-2:1987, ИСО 1996-3:1987 (в трех случаях), не влияющие на применение стандарта.
B.2. Из
раздела 5 исключена нормативная ссылка на ИСО 1996-1:1982 как по указанной в В.1 причине, так и потому, что ограничения по метеорологическим условиям в
разделе 5 изложены полно, что не требует ссылки на другие стандарты.
B.4. В ИСО 9613-2 расшифровка величины

в
формуле (20) имеет редакцию: "

- показатель направленности точечного источника шума в направлении на мнимый приемник (

- is the directivity index of the source in the direction of the receiver image)".
Отступление от текста ИСО 9613-2 произведено в связи с несоответствием
рисунка 8 описываемой ситуации и наличием в стандарте пояснения, что показатель направленности

следует брать равным показателю направленности реального источника шума в направлении траектории распространения звука, т.е. в направлении

(см.
рисунок 8).
Длина траектории распространения df, м | Среднегеометрическая частота, Гц |
63 | 125 | 250 | 500 | 1000 | 2000 | 4000 | 8000 |
10 <= df <= 20 | Затухание, дБ | 1 | 1 | 1 | 1 | 2 | 3 |
0 | 0 |
20 <= df <= 200 | Затухание, дБ/м | 0,04 | 0,05 | 0,06 | 0,08 | 0,09 | 0,12 |
0,02 | 0,03 | | | | | | |
B.6. Из библиографии перенесены в нормативные ссылки на ИСО 3740, ИСО 8297. При этом ссылки даны на соответствующие межгосударственные стандарты, модифицированные по отношению к ссылочным стандартам ИСО 9613-2.
Из библиографии исключены ИСО 2204 в связи с его отменой и стандарты МЭК по измерительной аппаратуре в связи с указанием соответствующих межгосударственных стандартов в
разделе 2 настоящего стандарта.
Из библиографии исключены ссылки на ИСО 3744 и ИСО 266 из-за отсутствия на них ссылок в ИСО 9613-2 и в настоящем стандарте.
B.7. Библиография дана не в виде приложения, а представлена в соответствии с
ГОСТ 1.5-2001.
Другие редакционные изменения и технические уточнения, выделенные курсивом, не требуют специальных пояснений.
| ANSI S1.26:1978. Method for calculation of the absorption of sound by the atmosphere (American national standard) |
[2] | Brackenhoff H.E.A. et al. Guidelines for the measurement and prediction of environmental noise from industry. International Commission on Health, Report HR-IL 13-01, Delft, April 1981 (In Dutch) |
[3] | Kragh J. et al. Environmental Noise from Industrial Plants: General Prediction Method. Danish Acoustical Institute Report No. 32, Lyngby, 1982 (In English) |
[4] | VDI 2714:1988. Guidelines: Sound propagation outdoors. Verein Deutscher Ingenieure (In German) |
[5] | VDI 2720-1:1996. Guidelines: Outdoor noise control by means of screening. Verein Deutscher Ingenieure (In German) |
| Engineering Equipment Material Users Association, Publication 140, London, 1985 |