Главная // Актуальные документы // ГОСТ (Государственный стандарт)СПРАВКА
Источник публикации
М.: Стандартинформ, 2014
Примечание к документу
Документ
введен в действие с 1 июля 2015 года.
Название документа
"ГОСТ 32716-2014. Межгосударственный стандарт. Материал облицовочный на основе пропитанных бумаг с глубокой степенью отверждения смолы. Технические условия"
(введен в действие Приказом Росстандарта от 08.07.2014 N 695-ст)
"ГОСТ 32716-2014. Межгосударственный стандарт. Материал облицовочный на основе пропитанных бумаг с глубокой степенью отверждения смолы. Технические условия"
(введен в действие Приказом Росстандарта от 08.07.2014 N 695-ст)
агентства по техническому
регулированию и метрологии
от 8 июля 2014 г. N 695-ст
МЕЖГОСУДАРСТВЕННЫЙ СТАНДАРТ
МАТЕРИАЛ ОБЛИЦОВОЧНЫЙ НА ОСНОВЕ ПРОПИТАННЫХ
БУМАГ С ГЛУБОКОЙ СТЕПЕНЬЮ ОТВЕРЖДЕНИЯ СМОЛЫ
ТЕХНИЧЕСКИЕ УСЛОВИЯ
Facing material based on impregnated papers
with a deep degree or resin cure. Specifications
ГОСТ 32716-2014
Дата введения
1 июля 2015 года
Цели, основные принципы и основной порядок проведения работ по межгосударственной стандартизации установлены
ГОСТ 1.0-92 "Межгосударственная система стандартизации. Основные положения" и
ГОСТ 1.2-2009 "Межгосударственная система стандартизации. Стандарты межгосударственные, правила и рекомендации по межгосударственной стандартизации. Правила разработки, принятия, применения, обновления и отмены".
1. Разработан Автономной некоммерческой организацией "Центр по сертификации лесопродукции "ЛЕССЕРТИКА".
2. Внесен Межгосударственным техническим комитетом по стандартизации МТК 121 "Плиты древесные".
3. Принят Межгосударственным советом по стандартизации, метрологии и сертификации (Протокол от 25 июня 2014 г. N 45-2014).
За принятие проголосовали:
Краткое наименование страны по МК (ИСО 3166) 004-97 | Код страны по МК (ИСО 3166) 004-97 | Сокращенное наименование национального органа по стандартизации |
Армения | AM | Минэкономики Республики Армения |
Беларусь | BY | Госстандарт Республики Беларусь |
Киргизия | KG | Кыргызстандарт |
Россия | RU | Росстандарт |
Таджикистан | TJ | Таджикстандарт |
4.
Приказом Федерального агентства по техническому регулированию и метрологии от 8 июля 2014 г. N 695-ст межгосударственный стандарт ГОСТ 32716-2014 введен в действие в качестве национального стандарта Российской Федерации с 1 июля 2015 г.
5. Введен впервые.
Информация об изменениях к настоящему стандарту публикуется в ежегодном информационном указателе "Национальные стандарты", а текст изменений и поправок - в ежемесячном информационном указателе "Национальные стандарты". В случае пересмотра (замены) или отмены настоящего стандарта соответствующее уведомление будет опубликовано в ежемесячном информационном указателе "Национальные стандарты". Соответствующая информация, уведомление и тексты размещаются также в информационной системе общего пользования - на официальном сайте Федерального агентства по техническому регулированию и метрологии в сети Интернет.
Настоящий стандарт распространяется на материал облицовочный, представляющий собой листовые пленки на основе пропитанных бумаг с глубокой степенью отверждения смолы.
Материал облицовочный предназначен для облицовывания щитовых деталей мебели и стеновых панелей.
В настоящем стандарте использованы нормативные ссылки на следующие межгосударственные стандарты:
ГОСТ 12.1.004-91 Система стандартов безопасности труда. Пожарная безопасность. Общие требования
ГОСТ 12.1.005-88 Система стандартов безопасности труда. Общие санитарно-гигиенические требования к воздуху рабочей зоны
ГОСТ 12.4.009-83 Система стандартов безопасности труда. Пожарная техника для защиты объектов. Основные виды. Размещение и обслуживание
ГОСТ 12.4.011-89 Система стандартов безопасности труда. Средства защиты работающих. Общие требования и классификация
ГОСТ 12.4.021-75 Система стандартов безопасности труда. Системы вентиляционные. Общие требования
ГОСТ 8828-89 Бумага-основа и бумага двухслойная водонепроницаемая упаковочная. Технические условия
ГОСТ 19720-74 Детали и изделия из древесины и древесных материалов. Метод определения стойкости лакокрасочных покрытий к воздействию переменных температур
ГОСТ 21903-76 Материалы лакокрасочные. Методы определения условной светостойкости
ГОСТ 27627-88 Детали и изделия из древесины и древесных материалов. Метод определения стойкости защитно-декоративных покрытий к пятнообразованию
ГОСТ 27820-88 Детали и изделия из древесины и древесных материалов. Метод определения стойкости защитно-декоративных покрытий к истиранию
ГОСТ 30255-95 Мебель, древесные и полимерные материалы. Метод определения выделения формальдегида и других вредных летучих химических веществ в климатических камерах
ГОСТ 32155-2013 Плиты древесные и фанера. Определение выделения формальдегида методом газового анализа
Примечание. При пользовании настоящим стандартом целесообразно проверить действие ссылочных стандартов по указателю "Национальные стандарты", составленному по состоянию на 1 января текущего года, и по соответствующим информационным указателям, опубликованным в текущем году. Если ссылочный стандарт заменен (изменен), то при пользовании настоящим стандартом следует руководствоваться заменяющим (измененным) стандартом. Если ссылочный стандарт отменен без замены, то положение, в котором дана ссылка на него, применяется в части, не затрагивающей эту ссылку.
3. Технические требования
3.1. Облицовочный материал изготовляется по следующим типам:
A - декоративные и грунт-пленки на основе бумаг, пропитанных в карбамидоформальдегидных или карбамидомеламинформальдегидных пропиточных смолах, предназначенные для облицовывания щитовых деталей мебели с последующей отделкой нитроцеллюлозными, полиэфирными лаками, лаками кислотного отверждения, нитро- и полиэфирными эмалями;
B - декоративные пленки на основе бумаг, пропитанных в карбамидоформальдегидных смолах, модифицированных полиэфирными эмульсиями, предназначенные для облицовывания щитовых деталей мебели с последующей отделкой полиэфирными лаками;
C - декоративные и грунт-пленки на основе бумаг, пропитанных в клеевой карбамидоформальдегидной смоле, предназначенные для облицовывания щитовых деталей мебели с последующей отделкой нитроцеллюлозными лаками и эмалями;
D - декоративные пленки на основе бумаг, пропитанных в карбамидоформальдегидной или карбамидомеламиноформальдегидной смоле, предназначенные для облицовывания внутренних поверхностей изделий мебели, за исключением кухонной мебели, без последующей отделки.
3.2. Материал облицовочный может быть:
- с декоративным рисунком;
- однотонным.
3.3. Для изготовления материала облицовочного применяют бумаги массой до 150 г/м2 по действующей нормативной и технической документации следующих видов:
- бумага декоративная рулонная;
- бумага-основа облицовочных материалов для мебельной промышленности;
- бумага-основа листовых облицовочных материалов для мебельной промышленности;
- бумага рулонная декоративная и фоновая, полученная по импорту, соответствующая требованиям мебельной промышленности.
3.4. Для изготовления материала облицовочного применяют карбамидоформальдегидные пропиточные смолы.
3.5. Для получения полиэфирной эмульсии, применяемой при изготовлении пленки типа В, используют ненасыщенные полиэфирные смолы марок ПН-35, ПН-3С, смачиватель НБ (некаль) по
ГОСТ 6867.
3.6. Материал облицовочный выпускают в листах и в рулонах. Размер листов устанавливают по согласованию с потребителем.
3.7. Материал облицовочный должен иметь равномерно-матовую поверхность.
3.8. В материале облицовочном не допускаются:
- блестящие смоляные полосы и пятна;
- морщины и складки;
- механические повреждения;
- загрязнения;
- расплывчатый рисунок;
- изменение цвета печатных красок.
Для пленок типа C допускается незначительное количество блестящих смоляных полос и пятен.
3.9. Показатели качества пленок должны соответствовать нормам, приведенным в таблице 1.
Таблица 1
Показатели качества пленок
Наименование показателя | Норма для пленок типа | Метод испытаний |
A | B | C | D |
Приемосдаточные испытания: |
1. Внешний вид | Равномерно-матовый | Визуально |
2. Содержание летучих веществ, % | 2 - 4 | 2 - 4 | 2 - 4 | 2 - 4 | |
3. Осмоление, % | 50 +/- 5 | 62 +/- 5 | 50 +/- 5 | 65 +/- 2 | |
4. Содержание водорастворимой смолы в пленке, %, не более | 12 | 14 | 14 | 14 | |
5. Адгезия к древесно-стружечной плите, балл | 1 | 1 | 1 | 1 | |
Периодические испытания: |
6. Условная светостойкость, ч, не менее: | | | | | |
- для темных тонов | 3 | 3 | 3 | 3 |
- для светлых тонов | 2 | 2 | 2 | 2 |
7. Стойкость к пятнообразованию (дистиллированная вода, в течение 6 ч), балл | - | - | - | 1 | |
8. Стойкость к истиранию, оборотов | - | - | - | 59 | |
9. Стойкость к воздействию переменных температур, %, не менее | - | - | - | 100 | |
10. Барьерные свойства <*>, не менее, раз | 15 | 10 | 10 | 15 | |
<*> По запросам потребителей допускается согласовывать барьерные свойства материала облицовочного по результатам исследований с использованием газоаналитического метода по ГОСТ 32155 или камерного метода по ГОСТ 30255. |
4. Требования безопасности
4.1. При изготовлении материала облицовочного пожароопасными и токсичными являются компоненты, входящие в пропиточный состав.
Общие санитарно-гигиенические требования к воздуху рабочей зоны определяются по
ГОСТ 12.1.005.
4.2. Карбамидоформальдегидная смола представляет собой малотоксичную водную суспензию с содержанием массовой доли сухого остатка не менее 45%, не горючую, не взрывоопасную. Токсичность указанной смолы определяется наличием в ней свободного формальдегида.
Предельно допустимая концентрация (ПДК) формальдегида в воздухе рабочей зоны составляет 0,5 мг/м3.
4.3. Норма выделения формальдегида из материала облицовочного, использованного для облицовывания щитовых деталей мебели и стеновых панелей, методы их испытаний приведены в таблице 2.
Таблица 2
Класс эмиссии плит по выделению формальдегида | Метод испытаний | Норма выделения формальдегида в воздухе | Назначение испытаний |
E1 | | До 0,124 мг/м3 воздуха | Квалификационные и контрольные испытания |
| До 3,5 мг/м2 x ч включ. | Производственный контроль |
E2 | | Свыше 0,124 мг/м3 воздуха до 0,3 мг/м3 | Квалификационные и контрольные испытания |
| Св. 3,5 до 8 мг/м2 x ч включит. | Производственный контроль |
Примечание. Допускается проведение испытаний по выделению формальдегида из облицовочного материала непосредственно в составе готовой продукции, например, ЛДСП. |
4.4. Смолы полиэфирные марок ПН-35 и ПН-3С, входящие в рецептуру пропиточного состава в виде водной стабилизированной эмульсии, пожароопасные. Пожароопасность смолы определяется наличием в ней стирола до 36%.
4.5. При изготовлении материала облицовочного необходимо соблюдать следующие меры предосторожности и производственной санитарии:
- лица, связанные с приготовлением пропиточного состава и изготовлением материала облицовочного, должны быть обеспечены средствами индивидуальной защиты по
ГОСТ 12.4.011;
- производственные помещения должны быть оборудованы общей и местной приточно-вытяжной вентиляцией, соответствующей требованиям
ГОСТ 12.4.021 и обеспечивающей концентрацию вредных веществ в воздухе рабочей зоны ниже их предельно допустимых значений, установленных
ГОСТ 12.1.005;
- в случае возникновения пожара тушить следующими средствами: тонкораспыленной водой, песком, огнетушителем кислотным ручным, огнетушителем химическим пенным ОХВП-10, газопенными установками;
4.6. Отходами производства являются сточные воды от промывки пропиточно-сушильной установки, которые сливают в отстойник. Твердый осадок вывозится на свалку. Отстоявшиеся сточные воды направляют на станцию термического обезвреживания промышленных стоков.
4.7. Отходы пропиточного состава переводятся в нерастворимое состояние и вывозятся на свалку.
5.1. Материал облицовочный на основе пропитанных бумаг должен быть принят отделом технического контроля предприятия-изготовителя.
5.2. Пленки поставляют партиями. Партией считают количество материала облицовочного одного типа с декоративным рисунком, нанесенным на бумагу-основу одной массы и одного цвета, которое сопровождается одним документом о качестве.
5.3. Потребитель имеет право проводить контрольную проверку качества пленки на соответствие требованиям настоящего стандарта.
5.4. Отбор материала облицовочного для контроля качества проводят от каждых 2000 м2 произвольно отбирают 5 листов (за исключением двух верхних).
5.5. Отобранные листы материала облицовочного сначала оценивают по показателю "внешний вид". При соответствии пленки по этому показателю требованиям настоящего стандарта из них отбирают два листа для испытаний по другим показателям качества.
Образцы для испытаний нарезают размером 100 x 100 мм по 3 образца вдоль полотна с левой и правой сторон, но не ближе 100 мм от края. На каждое испытание нарезают 6 образцов.
5.5.1. Если по одному из показателей результаты приемосдаточных испытаний не соответствуют требованиям
таблицы 1, проводится повторное испытание по этому показателю удвоенного количества образцов. При неудовлетворительном результате повторного испытания партия признается не соответствующей требованиям настоящего стандарта.
5.5.2. По
таблице 1 периодически контролируемые показатели определяют не реже одного раза в месяц, а также при изменении сырьевых материалов. Результат контроля распространяют на весь объем продукции, выпускаемой в течение месяца до следующих периодических испытаний.
6.1. Внешний вид материала кромочного контролируют визуальным осмотром. Пленку типа D, применяемую без последующей отделки, контролируют сравнением с образцом-эталоном.
Осмотр внешнего вида материала кромочного и сравнение с образцом-эталоном проводят без применения увеличительных приборов на расстоянии около 0,3 м от поверхности под углом 20 - 60° при дневном или искусственном освещении.
6.2. Определение содержания летучих веществ
Содержание летучих веществ определяют на образце материала кромочного размером 100 x 100 мм. Образец материала кромочного взвешивают с точностью до 0,001 г, высушивают в термостате при температуре 160 °C до постоянной массы (в течение 5 мин.), после чего вновь взвешивают с той же точностью.
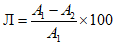
Содержание летучих веществ (Л) в процентах вычисляют по формуле:

, (1)
где A1 - масса пленки до сушки, г;
A2 - масса пленки после сушки, г.
За результат содержания летучих веществ принимают среднюю величину по трем образцам для левой и правой стороны материала кромочного.
6.3. Определение осмоления бумаг
Осмоление бумаги определяют на образцах материала кромочного и непропитанной декоративной бумаги размером 100 x 100 мм.
Образцы высушивают в термостате при температуре 160 °C до постоянной массы в течение 5 мин. и взвешивают с точностью до 0,001 г.
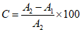
Осмоление бумаги (C) в процентах вычисляют по формуле:

, (2)
где A1 - масса пленки до сушки, г;
A2 - масса пленки после сушки, г.
За результат осмоления принимают среднюю величину по трем образцам для левой и правой сторон полотна пленки.
6.4. Определение содержания водорастворимой смолы в пленке
Содержание водорастворимой смолы в пленке определяют на трех образцах пленки и непропитанной декоративной бумаги размером (100 x 100) мм.
Образцы пленки взвешивают с точностью до 0,001 г и затем каждый образец помещают в фарфоровую чашку и заливают 200 мл дистиллированной воды. Отмывка пленки водой продолжается в течение 30 мин. при периодическом взбалтывании, после чего образцы извлекают, ополаскивают чистой дистиллированной водой, высушивают в термостате при температуре 160 °C до постоянной массы (в течение 5 минут) и взвешивают с точностью до 0,001 г.
Образцы непропитанной декоративной бумаги высушивают в термостате при температуре 160 °C до постоянной массы и взвешивают с точностью до 0,001 г.
Содержание водорастворимой смолы (X) в процентах вычисляют по формуле:

, (3)
где A0 - масса образца непропитанной бумаги, г;
A1 - масса образца пленки до отмывки и сушки, г;
A3 - масса образца пленки после отмывки и сушки, г.
За результат испытаний принимают среднюю величину по трем образцам для левой и правой стороны полотна пленки.
6.5. Показатели качества пленки по
п. 5 -
10 (таблица 1) проверяют в облицованных пленкой образцах древесно-стружечной плиты типа Р1, Р2, шлифованных по ГОСТ 10632, типа Р1, Р2, шлифованных с применением клея, используемого в производстве.
При арбитражных испытаниях использовать клей на основе карбамидоформальдегидных смол.
6.6. Определение адгезии к древесно-стружечной плите
Испытания проводят на двух образцах. Рекомендуемый размер 420 x 420 мм и не менее чем на двух участках поверхности каждого образца.
На каждом испытуемом участке поверхности образца на расстоянии от края не менее 10 мм режущим инструментом (острым ножом или скальпелем) делают крестообразные надрезы (до древесно-стружечной плиты) длиной (30 - 50) мм. Острый угол надреза около 30°. Режущий инструмент держат под углом около 45°.
Адгезию оценивают визуально по двухбалльной шкале согласно таблице 3.
Таблица 3
Оценка адгезии к древесно-стружечной плите
Оценка, балл | Внешний вид |
1 | Края надреза гладкие, нет отслаивания чешуек пленки или есть отслаивание чешуек пленки с частицами древесно-стружечной плиты |
2 | Частичное или полное отслаивание чешуек пленки без частиц древесно-стружечной плиты |
Допускается при оценке результата испытания поддевать края крестообразного надреза режущим инструментом.
7.1. Пачки листов облицовочного материала (пленки), принятых техническим контролем завода-изготовителя, обертываются не менее чем двумя слоями оберточной бумаги и одним слоем упаковочной водонепроницаемой бумаги по
ГОСТ 8828 (допускается применение другого водонепроницаемого материала).
Затем пачки упаковывают в ящики, которые не должны деформироваться при транспортировании.
По согласованию с потребителем могут быть применены другие виды упаковки, обеспечивающие сохранность пленки.
7.2. В каждый ящик должен быть вложен образец непропитанной декоративной бумаги размером 50 x 50 см и упаковочный лист, содержащий следующие данные:
- наименование предприятия-изготовителя;
- тип пленки;
- масса 1 м2 декоративной бумаги;
- марка пропиточной смолы;
- размер листов пленки;
- количество пленки в м2 в ящике;
- масса ящика с пленкой;
- номер партии;
- дата изготовления пленки;
- штамп ОТК с номером контролера;
- обозначения настоящего стандарта.
8. Транспортирование и хранение
8.1. Облицовочный материал (пленка) должен храниться в упакованном виде в отапливаемых закрытых складах, исключающих воздействие на пленку влаги и прямых солнечных лучей.
Не допускается хранение пленки вблизи источников тепла.
8.2. Транспортирование пленки может производиться всеми видами транспорта, исключающими механическое повреждение пленки и воздействие атмосферных осадков, в соответствии с правилами перевозки грузов, действующими на этих видах транспорта.
Предприятие-изготовитель гарантирует соответствие облицовочного материала (пленки) требованиям настоящего стандарта при соблюдении условий транспортирования и хранения указанных в
р. 8.
Гарантийный срок хранения облицовочного материала (пленки) - четыре месяца со дня изготовления.
(справочное)
ОПРЕДЕЛЕНИЯ БАРЬЕРНЫХ СВОЙСТВ ПЛЕНОЧНЫХ МАТЕРИАЛОВ
1. Оборудование и реактивы
2. Отбор, подготовка и хранение образцов
Облицовочный материал испытывают на образцах плит (ЛДСП), подготовленных в соответствии с
6.5 настоящего стандарта. Размеры образцов должны соответствовать требованиям
ГОСТ 32155. Допускается использование образцов серийно выпускаемых облицованных древесных материалов и их подготовка в соответствии с
ГОСТ 32155, что в обязательном порядке должно быть отражено в протоколе испытаний.
Количество образцов ЛДСП:
в исходном состоянии - 3 шт.,
с удаленной облицовкой - 3 шт.
Удаление облицовки производится методом шлифования до появления на поверхности ЛДСП частиц древесного материала, но на глубину не более 0,5 мм. Удаление должно производиться механическим способом без обжига обрабатываемой поверхности.
3.1. Проводят испытания на трех образцах ЛДСП в исходном состоянии в соответствии с
ГОСТ 32155.
3.2. Проводят испытания на трех образцах ЛДСП с удаленной облицовкой в соответствии с
ГОСТ 32155.
3.3. Определяют влажность на исходных образцах в соответствии с
ГОСТ 32155.
Примечание. Для получения ориентировочных результатов достаточно проведения испытаний одного образца в исходном состоянии и одного образца с удаленной облицовкой в соответствии с
ГОСТ 32155.
4.1. Вычисление результатов испытаний образцов ЛДСП в исходном состоянии (G
1) и с удаленной облицовкой (G
2) проводят в соответствии с
ГОСТ 32155.
4.2. Барьерные свойства пленочного материала вычисляются как отношение средних арифметических значений результатов всех испытаний образцов в исходном состоянии (G1) и средних арифметических значений результатов всех испытаний образцов с удаленной облицовкой (G2).
Результаты испытаний оформляют в соответствии с
ГОСТ 32155 с обязательным указанием способа получения образцов ЛДСП и их последующей обработки (лакирование, окраска и пр.) при наличии.
6. Требования безопасности