Главная // Актуальные документы // ГОСТ (Государственный стандарт)СПРАВКА
Источник публикации
М.: Стандартинформ, 2014
Примечание к документу
Текст данного документа приведен с учетом
поправки, опубликованной в "ИУС", N 9, 2016.
Документ
введен в действие с 1 февраля 2015 года.
Название документа
"ГОСТ 32708-2014. Межгосударственный стандарт. Дороги автомобильные общего пользования. Песок природный и дробленый. Определение содержания глинистых частиц методом набухания"
(введен в действие Приказом Росстандарта от 24.09.2014 N 1186-ст)
"ГОСТ 32708-2014. Межгосударственный стандарт. Дороги автомобильные общего пользования. Песок природный и дробленый. Определение содержания глинистых частиц методом набухания"
(введен в действие Приказом Росстандарта от 24.09.2014 N 1186-ст)
агентства по техническому
регулированию и метрологии
от 24 сентября 2014 г. N 1186-ст
МЕЖГОСУДАРСТВЕННЫЙ СТАНДАРТ
ДОРОГИ АВТОМОБИЛЬНЫЕ ОБЩЕГО ПОЛЬЗОВАНИЯ
ПЕСОК ПРИРОДНЫЙ И ДРОБЛЕНЫЙ
ОПРЕДЕЛЕНИЕ СОДЕРЖАНИЯ ГЛИНИСТЫХ ЧАСТИЦ МЕТОДОМ НАБУХАНИЯ
Automobile roads of general use. Natural and crushed sand.
Method for determination of clay particles by swelling
ГОСТ 32708-2014
МКС 93.080.020
Дата введения
1 февраля 2015 года
Цели, основные принципы и основной порядок проведения работ по межгосударственной стандартизации установлены
ГОСТ 1.0-92 "Межгосударственная система стандартизации. Основные положения" и
ГОСТ 1.2-2009 "Межгосударственная система стандартизации. Стандарты межгосударственные, правила и рекомендации по межгосударственной стандартизации. Правила разработки, принятия, применения, обновления и отмены".
1. Разработан Обществом с ограниченной ответственностью "Центр метрологии, испытаний и стандартизации", Межгосударственным техническим комитетом по стандартизации МТК 418 "Дорожное хозяйство".
2. Внесен Федеральным агентством по техническому регулированию и метрологии Российской Федерации.
3. Принят Межгосударственным советом по стандартизации, метрологии и сертификации (Протокол от 25 июня 2014 г. N 45-2014).
За принятие проголосовали:
Краткое наименование страны по МК (ИСО 3166) 004-97 | Код страны по МК (ИСО 3166) 004-97 | Сокращенное наименование национального органа по стандартизации |
Армения | AM | Минэкономики Республики Армения |
Беларусь | BY | Госстандарт Республики Беларусь |
Казахстан | KZ | Госстандарт Республики Казахстан |
Киргизия | KG | Кыргызстандарт |
Россия | RU | Росстандарт |
Таджикистан | TJ | Таджикстандарт |
Узбекистан | UZ | Узстандарт |
4.
Приказом Федерального агентства по техническому регулированию и метрологии от 24 сентября 2014 г. N 1186-ст межгосударственный стандарт ГОСТ 32708-2014 введен в действие в качестве национального стандарта Российской Федерации с 1 февраля 2015 г.
5. Введен впервые.
Информация об изменениях к настоящему стандарту публикуется в ежегодном информационном указателе "Национальные стандарты", а текст изменений и поправок - в ежемесячном информационном указателе "Национальные стандарты". В случае пересмотра (замены) или отмены настоящего стандарта соответствующее уведомление будет опубликовано в ежемесячном информационном указателе "Национальные стандарты". Соответствующая информация, уведомление и тексты размещаются также в информационной системе общего пользования - на официальном сайте Федерального агентства по техническому регулированию и метрологии в сети Интернет.
Настоящий стандарт входит в группу стандартов, устанавливающих требования и методы испытаний для природного и дробленого песков.
Настоящий стандарт разработан в рамках реализации
программы по разработке межгосударственных стандартов, в результате применения которых на добровольной основе обеспечивается соблюдение требований технического регламента (ТР ТС 014/2011 "Безопасность автомобильных дорог"), утвержденной решением Коллегии Евразийской экономической комиссии от 13.06.2012 N 81.
Настоящий стандарт распространяется на песок природный с истинной плотностью зерен от 2,0 до 2,8 г/см3 и песок дробленый с истинной плотностью зерен от 2,0 до 3,5 г/см3, предназначенные для строительства, ремонта, содержания и реконструкции автомобильных дорог общего пользования (далее - песок), и устанавливает метод определения содержания глинистых частиц.
В настоящем стандарте использованы нормативные ссылки на следующие межгосударственные стандарты:
ГОСТ 12.1.004-91. Система стандартов безопасности труда. Пожарная безопасность. Общие требования
ГОСТ 12.1.007-76. Система стандартов безопасности труда. Вредные вещества. Классификация и общие требования безопасности
ГОСТ 12.1.019-79. Система стандартов безопасности труда. Электробезопасность. Общие требования и номенклатура видов защиты <*>
--------------------------------
ГОСТ 12.1.044-89. Система стандартов безопасности труда. Пожаровзрывоопасность веществ и материалов. Номенклатура показателей и методы их определения
ГОСТ 12.4.021-75. Система стандартов безопасности труда. Системы вентиляционные. Общие требования
ГОСТ 450-77. Кальций хлористый технический. Технические условия
ГОСТ 1770-74. Посуда мерная лабораторная стеклянная. Цилиндры, мензурки, колбы, пробирки. Общие технические условия
ГОСТ 32728-2014. Дороги автомобильные общего пользования. Песок природный и дробленый. Отбор проб.
Примечание. При пользовании настоящим стандартом целесообразно проверить действие ссылочных стандартов в информационной системе общего пользования - на официальном сайте Федерального агентства по техническому регулированию и метрологии в сети Интернет или по ежегодному информационному указателю "Национальные стандарты", который опубликован по состоянию на 1 января текущего года, и по выпускам ежемесячного информационного указателя "Национальные стандарты" за текущий год. Если ссылочный стандарт заменен (изменен), то при пользовании настоящим стандартом следует руководствоваться заменяющим (измененным) стандартом. Если ссылочный стандарт отменен без замены, то положение, в котором дана ссылка на него, применяется в части, не затрагивающей эту ссылку.
В настоящем стандарте применены термины по
ГОСТ 32728, а также следующий термин с соответствующим определением:
3.1. Глинистые частицы: содержащиеся в песке частицы с размерами менее 0,002 мм.
3.2. Единичная проба: проба природного (дробленого) песка, полученная одним из методов сокращения из лабораторной пробы и предназначенная для сокращения до требуемого количества мерных проб для проведения испытания.
4. Требования безопасности и охраны окружающей среды
4.1. При работе с песком необходимо соблюдать требования техники безопасности, предусмотренные
ГОСТ 12.1.007.
4.2. Лабораторные помещения, в которых проводятся испытания песка по настоящему стандарту, должны быть оборудованы вентиляционными системами по
ГОСТ 12.4.021.
4.3. Песок в соответствии с
ГОСТ 12.1.044 относится к негорючим материалам. При работе с песком необходимо соблюдать требования пожарной безопасности по
ГОСТ 12.1.004.
4.4. При эксплуатации электрооборудования, используемого в процессе испытаний, должны соблюдаться требования электробезопасности согласно
ГОСТ 12.1.019.
4.5. Персонал при работе с песком природным и дробленым должен быть обеспечен средствами индивидуальной защиты:
4.6. Утилизацию испытанного материала производят в соответствии с рекомендациями завода-изготовителя и действующим национальным законодательством.
5. Требования к условиям испытаний
При проведении испытаний должны быть соблюдены следующие условия для помещений, в которых проводят испытание материала:
- температура воздуха (21 +/- 4) °C;
- относительная влажность воздуха не более 80%.
6. Требования к средствам измерений,
вспомогательным устройствам, материалам, реактивам
При проведении испытаний применяют следующее оборудование и реактивы:
- сита с квадратными ячейками размером 0,125; 0,5; 4 мм
[1];
- сушильный шкаф, обеспечивающий циркуляцию воздуха и поддержание температуры в интервале (110 +/- 5) °C;
- весы электронные по
ГОСТ 24104 с наибольшим пределом взвешивания не менее 2000 г и ценой деления не более 0,1 г;
- цилиндры мерные вместимостью 50 или 100 см3 по
ГОСТ 1770 - 2 шт.;
- палочка стеклянная или металлическая с резиновым наконечником;
- воронка - 2 шт.;
- кальций хлористый технический по
ГОСТ 450, 5%-ный раствор;
- противни металлические;
Сущность метода заключается в определении величины приращения объема глинистых частиц в течение интервала времени от 24 до 30 ч с момента перемешивания содержимого цилиндра и расчета содержания глинистых частиц по средней величине приращения объема.
8. Подготовка к выполнению испытаний
8.1. Отбор и формирование проб проводят по
ГОСТ 32728.
8.2. Из лабораторной пробы отбирают (1000 +/- 10) г песка, высушивают до постоянной массы и просеивают через сито с размерами ячеек 4 мм. Из просеянного материала формируют единичную пробу массой (200 +/- 5) г.
8.3. Приготавливают 5%-ный раствор хлорида кальция. Растворяют 5 г хлорида кальция в 95 г дистиллированной воды, после чего тщательно перемешивают.
9. Порядок выполнения испытаний
9.1. Подготовленную по 8.2 единичную пробу песка просеивают через сито с размером ячеек 0,125 мм. Пробу шлакового песка просеивают через сито с размером ячеек 0,5 мм.
9.2. Взвешивают частный остаток на сите с размерами ячеек 0,125 мм (0,5 мм) и определяют массу частиц, прошедших через сито с размерами ячеек 0,125 мм (0,5 мм) в процентах.
9.3. Заполняют два стеклянных мерных цилиндра песком, прошедшим через сито, до отметки 10 мл. В процессе заполнения необходимо постукивать цилиндр для уплотнения песка.
9.4. Разрыхляют песок внутри цилиндра палочкой и вливают в цилиндр 30 (50) мл дистиллированной воды. Интенсивным перемешиванием добиваются полного удаления следов глинистых частиц со стенок цилиндра.
9.5. Добавляют в цилиндр в качестве коагулянта 5 мл 5%-ного раствора хлористого кальция и тщательно перемешивают содержимое.
9.6. Доливают в цилиндр дистиллированной воды до отметки 50 (100) мл. Воду доливают по палочке таким образом, чтобы смыть с нее частицы глины.
9.7. Содержимому дают отстояться и по истечении (27 +/- 3) ч измеряют объем, занимаемый песком, при помощи отметок на мерном цилиндре, с точностью до 1 мл.
10. Обработка результатов испытаний
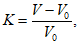
Приращение объема K при набухании глинистых частиц на каждый 1 мл первоначального объема вычисляют с точностью до второго десятичного знака по формуле

(1)
где V - объем песка после набухания, мл;
V0 - исходный объем песка, мл.
Приращение объема при набухании определяют как среднеарифметическое значение двух параллельных испытаний. Расхождение результатов двух параллельных испытаний не должно превышать 0,02, в противном случае испытание необходимо повторить.
По значению K определяют содержание глинистых частиц в зернах размером менее 0,125 (0,5) мм в соответствии с таблицей 1.
Таблица 1
Приращение объема K | Содержание глинистых частиц, % |
1,50 | 17 |
1,45 | 16,43 |
1,40 | 15,87 |
1,35 | 15,35 |
1,30 | 14,74 |
1,25 | 14,17 |
1,20 | 13,85 |
1,15 | 13,03 |
1,10 | 12,46 |
1,05 | 11,90 |
1,00 | 11,33 |
0,95 | 10,76 |
0,90 | 10,20 |
0,85 | 9,63 |
0,80 | 9,06 |
0,75 | 8,50 |
0,70 | 7,93 |
0,65 | 7,36 |
0,60 | 6,80 |
0,55 | 6,23 |
0,50 | 5,66 |
0,45 | 5,09 |
0,40 | 4,53 |
0,35 | 3,96 |
0,30 | 3,39 |
0,25 | 2,83 |
0,20 | 2,26 |
0,15 | 1,70 |
0,12 | 1,36 |
0,10 | 1,13 |
Содержание глинистых частиц в песке

, в процентах по массе, определяют с точностью до 0,1% по формуле

(2)
где А - содержание в песке зерен размером менее 0,125 (0,5) мм, в процентах по массе;
Г - содержание глинистых частиц в зернах песка размером менее 0,125 (0,5) мм, в процентах по массе.
11. Оформление результатов испытаний
Результат испытания необходимо оформлять в виде протокола, который должен содержать:
- номер протокола;
- дату проведения испытания;
- название организации, проводившей испытание;
- ссылку на настоящий стандарт;
- ссылку на акт отбора проб;
- результат испытания;
- сведения об условиях проведения испытания;
- фамилия, имя, отчество и подпись лица, проводившего испытание.
12. Контроль точности результатов измерений
Точность результатов измерений должна быть обеспечена за счет:
- соблюдения требований настоящего стандарта;
- проведения периодической оценки метрологических характеристик средств измерений;
- проведения периодической аттестации оборудования.
Лицо, проводящее измерения, должно быть ознакомлено с требованиями настоящего стандарта.
| ISO 3310-1:2000 | Сита лабораторные. Технические требования и испытания. Часть 1. Лабораторные сита из проволочной ткани (Test sieves - Technical requirements and testing - Part 1: Test sieves of metal wire cloth). |