Главная // Актуальные документы // ГОСТ (Государственный стандарт)СПРАВКА
Источник публикации
М.: Стандартинформ, 2014
Примечание к документу
Документ
введен в действие с 01.01.2015.
Название документа
"ГОСТ 32281.1-2013 (EN 1288-1:2000). Межгосударственный стандарт. Стекло и изделия из него. Определение прочности на изгиб. Основные принципы проведения испытаний"
(введен в действие Приказом Росстандарта от 22.11.2013 N 1991-ст)
"ГОСТ 32281.1-2013 (EN 1288-1:2000). Межгосударственный стандарт. Стекло и изделия из него. Определение прочности на изгиб. Основные принципы проведения испытаний"
(введен в действие Приказом Росстандарта от 22.11.2013 N 1991-ст)
агентства по техническому
регулированию и метрологии
от 22 ноября 2013 г. N 1991-ст
МЕЖГОСУДАРСТВЕННЫЙ СТАНДАРТ
СТЕКЛО И ИЗДЕЛИЯ ИЗ НЕГО
ОПРЕДЕЛЕНИЕ ПРОЧНОСТИ НА ИЗГИБ
ОСНОВНЫЕ ПРИНЦИПЫ ПРОВЕДЕНИЯ ИСПЫТАНИЙ
Glass in building - Determination of the bending strength
of glass - Part 1: Fundamentals of testing glass
(EN 1288-1:2000, MOD)
ГОСТ 32281.1-2013
(EN 1288-1:2000)
Дата введения
1 января 2015 года
Цели, основные принципы и порядок проведения работ по межгосударственной стандартизации установлены
ГОСТ 1.0-92 "Межгосударственная система стандартизации. Основные положения" и
ГОСТ 1.2-2009 "Межгосударственная система стандартизации. Стандарты межгосударственные, правила и рекомендации по межгосударственной стандартизации. Правила разработки, принятия, применения, обновления и отмены"
1 ПОДГОТОВЛЕН Открытым акционерным обществом "Институт стекла" на основе собственного аутентичного перевода на русский язык стандарта, указанного в
пункте 5
2 ВНЕСЕН Техническим комитетом по стандартизации ТК 41 "Стекло"
3 ПРИНЯТ Межгосударственным советом по стандартизации, метрологии и сертификации по переписке (протокол от 5 ноября 2013 г. N 61-П)
За принятие стандарта проголосовали:
Краткое наименование страны по МК (ИСО 3166) 004-97 | Код страны по МК (ИСО 3166) 004-97 | Сокращенное наименование национального органа по стандартизации |
Армения | AM | Минэкономики Республики Армения |
Киргизия | KG | Кыргызстандарт |
Молдова | MD | Молдова-Стандарт |
Россия | RU | Росстандарт |
Таджикистан | TJ | Таджикстандарт |
Узбекистан | UZ | Узстандарт |
4
Приказом Федерального агентства по техническому регулированию и метрологии от 22 ноября 2013 г. N 1991-ст межгосударственный стандарт ГОСТ 32281.1-2013 (EN 1288-1:2000) введен в действие в качестве национального стандарта Российской Федерации с 1 января 2015 г.
5 Настоящий стандарт модифицирован по отношению к европейскому стандарту EN 1288-1:2000 Glass in building - Determination of the bending strength of glass - Part 1: Fundamentals of testing glass (Стекло в зданиях. Определение прочности стекла на изгиб. Часть 1. Основы испытания стекол) путем изменения и дополнения отдельных фраз, слов, которые выделены полужирным курсивом.
Ссылки на европейские стандарты, которые не приняты в качестве межгосударственных стандартов, заменены в разделе "Нормативные ссылки" и тексте стандарта ссылками на соответствующие межгосударственные стандарты.
Наименование настоящего стандарта изменено относительно наименования европейского стандарта в связи с особенностями построения межгосударственной системы стандартизации.
Европейский стандарт разработан Европейским комитетом по стандартизации (CEN) ТК 129 "Стекло в строительстве".
Европейский стандарт, на основе которого подготовлен настоящий стандарт, реализует существенные требования безопасности
Директивы EC (89/106/EEC) по строительным материалам.
Перевод с английского языка (en).
Степень соответствия - модифицированная (MOD)
6 ВВЕДЕН ВПЕРВЫЕ
Информация об изменениях к настоящему стандарту публикуется в ежегодно издаваемом информационном указателе "Национальные стандарты", а текст изменений и поправок - в ежемесячно издаваемом информационном указателе "Национальные стандарты". В случае пересмотра (замены) или отмены настоящего стандарта соответствующее уведомление будет опубликовано в ежемесячно издаваемом информационном указателе "Национальные стандарты". Соответствующая информация, уведомление и тексты размещаются также в информационной системе общего пользования - на официальном сайте Федерального агентства по техническому регулированию и метрологии в сети Интернет
Настоящий стандарт устанавливает метод определения прочности на изгиб монолитного стекла, применяемого в строительстве. Испытания стеклопакетов и многослойного стекла из настоящего стандарта исключены.
Настоящий стандарт описывает:
- что должно быть принято во внимание при проведении испытаний;
- причины использования различных методов испытания;
- ограничения методов испытаний
и дает указания по требованиям техники безопасности для персонала, работающего на испытательном оборудовании.
Методы испытаний, описанные в настоящем стандарте, предназначены для определения больших выборок значений прочности на изгиб, которые могут служить основой для статистической оценки прочности стекла.
В настоящем стандарте использованы ссылки на следующие нормативные документы:
ГОСТ 21992-83 Стекло строительное профильное. Технические условия
ГОСТ 30826-2001 Стекло многослойное строительного назначения. Технические условия
ГОСТ 32281.2-2013 (EN 1288-2:2000) Стекло и изделия из него. Определение прочности на изгиб. Испытание двойным соосным кольцом на плоских образцах с большими площадями испытываемых поверхностей
ГОСТ 32281.3-2013 (EN 1288-3:2000) Стекло и изделия из него. Определение прочности на изгиб. Испытание на образце, опирающемся на две точки (четыре точки изгиба)
ГОСТ 32281.5-2013 (EN 1288-5:2000) Стекло и изделия из него. Определение прочности на изгиб. Испытание двойным соосным кольцом на плоских образцах с небольшими площадями испытываемых поверхностей
Примечание - При пользовании настоящим стандартом целесообразно проверить действие ссылочных стандартов по указателю "Национальные стандарты", составленному по состоянию на 1 января текущего года, и по соответствующим информационным указателям, опубликованным в текущем году. Если ссылочный стандарт заменен (изменен), то при пользовании настоящим стандартом, следует руководствоваться заменяющим (измененным) стандартом. Если ссылочный стандарт отменен без замены, то положение, в котором дана ссылка на него, применяется в части, не затрагивающей эту ссылку.
В настоящем стандарте применены следующие термины и определения
3.1
плоское стекло (flat glass): Любая стекольная продукция, соответствующая
ГОСТ 111, ГОСТ 7481, ГОСТ 5533, [2], [3], или любое стеклянное изделие из этой продукции, выполненное без появления кривизны или изменения профиля.
3.2 напряжение при изгибе (bending stress): Растягивающее изгибающее напряжение, созданное на поверхности образца.
Примечание - Для целей испытаний изгибающее напряжение должно быть одинаковым во всей исследуемой части образца.
3.3 эффективное изгибающее напряжение (effective bending stress): Средневзвешенное растягивающее изгибающее напряжение, рассчитанное с учетом неоднородности поля напряжений.
3.4 прочность на изгиб (bending strength): Изгибающее напряжение или эффективное изгибающее напряжение, которое приводит к разрушению образца.
3.5 эквивалентная прочность на изгиб (equivalent bending strength): Эквивалентная прочность на изгиб узорчатого стекла, непостоянство толщины которого не позволяет точно рассчитать изгибающее напряжение.
3.6
профильная прочность на изгиб (profile bending strength): Частное от максимума изгибающего момента и секционного модуля профильного стекла
(ГОСТ 21992).
3.7 коэффициент интенсивности напряжения (stress intensity factor): показатель напряжения у вершины трещины.
3.8
предварительно напряженное стекло (prestressed glass): Любая стекольная продукция, соответствующая
ГОСТ 30698, [4], [5], [6].
В настоящем стандарте применены следующие обозначения:
F - применяемая нагрузка;
h - толщина образца;
L - длина стороны квадратного (прямоугольного) образца;
k - константа для расчета изгибающего напряжения по
ГОСТ 32281.3;
K1,
K2 - константы для расчета изгибающего напряжения по
ГОСТ 32281.5;
MbB - максимальный изгибающий момент;
p - давление газа внутри нагружающего кольца по ГОСТ 32281.2;
PbB - профильная прочность на изгиб (профильного стекла) = MbB/Z;
r1 - радиус нагружающего кольца;
r2 - радиус опорного кольца;
r3 - радиус окружности образца;
r3m - средний радиус образца (для оценки);
y0 - центральный прогиб образца;
Z - секционный модуль (для профильного стекла);
- число Пуассона образца;
Примечание - Для натрий-кальций силикатного стекла используется значение 0,23 (см.
ГОСТ 111).
- изгибающее напряжение;

- эффективное изгибающее напряжение;

- прочность на изгиб;

- эквивалентная прочность на изгиб;
- радиальное напряжение;

- тангенциальное напряжение;

- напряжение вдоль длины образца.
5 Факторы, которые необходимо учитывать при проведении испытаний
5.1 Стекло как материал
5.1.1 Общие положения
Стекло представляет собой гомогенный изотропный материал, имеющий почти совершенно линейно-упругое поведение вплоть до предела прочности на разрыв.
Стекло имеет очень высокую прочность на сжатие и теоретически очень высокую прочность на растяжение, но поверхность стекла содержит много дефектов, которые действуют как ослабляющий фактор, когда стекло подвергается растягиванию (растягивающему напряжению). Эти дефекты вызваны воздействием влаги, контактом с твердыми материалами (например, песком) и непрерывно изменяются под воздействием влаги, почти всегда присутствующей в воздухе.
Теоретически исходя из молекулярной структуры можно было бы ожидать прочности на растяжение порядка 10 000 Н/мм2, но обычно массивное стекло разрушается значительно ниже 100 Н/мм2.
Наличие дефектов, их изменения под воздействием влаги влияют на свойства стекла, их необходимо учитывать при проведении испытаний на прочность.
Вследствие очень высокой прочности на сжатие стекло всегда разрушается при растяжении. Так как в строительстве стекло крайне редко подвергается прямым растяжениям, наиболее важным свойством для сопротивления нагрузке является прочность на растяжение при изгибе. Все испытания, описанные в настоящем стандарте, предназначены для оценки прочности стекла на растяжение при изгибе.
На прочность при изгибе влияют следующие факторы:
а) состояние поверхности (см.
5.1.2);
б) скорость изменения и продолжительность нагрузки (см.
5.1.3);
в) площадь поверхности, напряженной растяжением (см.
5.1.4);
г) коррозионное растрескивание под действием напряжений, зависящее от окружающей среды, а также залечивание поверхностных дефектов в стекле (см.
5.1.5 и
[7] приложение А);
д) возраст, т.е. время, прошедшее после последней механической или какой-либо другой обработки поверхности, вызывающей ее повреждение (см.
5.1.6);
е) температура (см.
5.1.7)
Влияние
факторов б) -
е) на прочность на изгиб принято во внимание в настоящем стандарте.
5.1.2 Влияние состояния поверхности
При испытаниях прочности на изгиб согласно настоящему стандарту стекло ведет себя как почти идеально линейно-упругий материал, разрушающийся как хрупкий материал. Хрупкость означает, что контакт с любым твердым объектом может привести к повреждению поверхности в форме очень тонких, иногда субмикроскопических трещин и сколов. Поверхностные дефекты такого рода, которые практически неизбежны при нормальном обращении со стеклом, являются основным фактором в уменьшении его механической прочности, тогда как состав стекла имеет второстепенное значение, а в некоторых случаях им вообще можно пренебречь.
Отсюда следует, что прочность на изгиб, определяемая согласно настоящему стандарту, зависит от состояния поверхности испытуемого образца.
Состояние поверхности характеризуется следующими основными свойствами:
а) состояние поверхности, возникшее в результате конкретной обработки, вызывающей ряд специфических дефектов, которые влияют на прочность, определяемую состоянием поверхности после обработки;
б) остаточное напряжение, например, в виде специально созданных термическим или химическим путем напряжений, а также непреднамеренно возникшие остаточные напряжения.
5.1.3 Влияние скорости нагружения
Для интерпретации значений прочности на изгиб, полученных в соответствии с настоящим стандартом, скорость нагружения имеет особое значение.
Распространение трещин в стекле происходит в большом диапазоне значений растягивающего напряжения (см.
[8] приложение А). Существует нижний предел значения коэффициента интенсивности напряжения, ниже которого трещины не распространяются (см.
[7] приложение А). Затем происходит некоторое субкритическое распространение трещины при более высоких уровнях коэффициента интенсивности напряжения, значение которого зависит от влажности, температуры и химических реагентов. При значениях коэффициента интенсивности напряжения, превышающих критическое, распространение трещины происходит очень быстро и приводит к (почти) мгновенному разрушению. Следствием субкритического распространения трещины является, например то, что увеличение скорости нагружения и (или) продолжительности нагружения влияет на прочность на изгиб.
Для предварительно напряженного стекла эта временная зависимость не проявляется до тех пор, пока растягивающее напряжение, созданное в поверхности, не превысит напряжение сжатия, постоянно присутствующее там (см.
[9] приложение А).
5.1.4 Влияние площади испытуемой поверхности
Уменьшение прочности стекла на изгиб с увеличением размера площади, на которой создается высокое напряжение при испытаниях, также важно (см.
[10] приложение А). Влияние площади обусловлено статистическим распределением поверхностных дефектов (его изменением): чем больше испытуемая площадь, тем больше вероятность того, что она содержит большой поверхностный дефект. Следовательно, влияние эффекта площади увеличивается при уменьшении дефектов на поверхности, так что эффект площади становится скорее теоретическим в случае бездефектной поверхности, например, подвергнутой огневой полировке (см.
[11] приложение А).
Возможны расхождения между значениями прочности на изгиб, полученными в соответствии с
ГОСТ 32281.2 (максимальная напряженная площадь: 240 000 мм
2) или полученными при использовании устройств
R105,
R60, R45 и R30 в соответствии с
ГОСТ 32281.5 (максимальные напряженные площади:
3850, 1260, 254 и 113 мм
2) из-за размера площади, на которой создаются напряжения. Вследствие поверхностных дефектов результаты, полученные при испытаниях меньших поверхностей, могут быть значительно выше, чем значения, полученные при испытаниях больших площадей поверхности, как показано в таблице 1.
Таблица 1
Приближенное влияние размера площади поверхности на величину
измеренной прочности на изгиб
Метод испытания | Приспособление | Относительная прочность на изгиб |
ГОСТ 32281.2 | - | 100% |
| R105 | 120% - 180% |
| R65 | 125% - 210% |
| R45 | 140% - 270% |
| R30 | 145% - 300% |
Так как стекло, используемое в строительстве, имеет обычно большие размеры, то методики, изложенные в
ГОСТ 32281.2 и
ГОСТ 32281.3, являются более приемлемыми для испытаний плоского стекла для строительства. Методика испытаний, описанная в
ГОСТ 32281.5, может быть полезна для сравнительной оценки прочности плоского стекла на изгиб.
5.1.5 Влияние окружающей среды
Окружающие условия, при которых испытывается стекло, влияют на величину прочности, особенно если уровень влажности очень низок. При использовании стекла в строительстве уровень влажности обычно составляет от 30% до 100%. В этом интервале влияние на прочность при испытаниях по настоящему стандарту невелико. Однако испытания стекла для строительства должны осуществляться в условиях относительной влажности от 40% до 70%, чтобы ограничить влияние последней при сравнении результатов.
Если до испытания поверхность стекла была модифицирована (шлифовкой, травлением, краевой обработкой и т.д.), то перед проведением испытаний необходимо дать возможность свежим дефектам (повреждениям) релаксировать. Продолжительное воздействие (модифицирование) влаги на поверхность влияет на дефекты таким образом, что может уменьшить любой ослабляющий эффект (см.
[7] приложения А). На практике стекло очень редко подвергается нагрузкам непосредственно после обработки, поэтому оно должно быть выдержано по крайней мере в течение 24 часов перед испытанием.
5.1.7 Влияние температуры
Прочность стекла на изгиб зависит от температуры. В пределах обычного температурного перепада, испытываемого стеклом в строительных конструкциях, этот эффект не столь значителен, но, чтобы избежать неточностей при сравнении значений прочности, испытания должны проводиться в ограниченном интервале температур.
5.2 Изгибающее напряжение и прочность на изгиб
5.2.1 Общие положения
Методы испытания, описанные в
ГОСТ 32281.2, ГОСТ 32281.3, ГОСТ 32281.5 и
[1], предполагают создание однородных изгибающих напряжений по всей испытываемой площади образца. Однако испытания статически недетерминированы, поэтому напряжения, созданные за счет приложенной нагрузки, зависят как от природы испытуемого материала, так и от распределения нагрузки.
5.2.2 Эффективное напряжение
Если значения напряжений значительно различаются по испытуемой площади, как в случае
ГОСТ 32281.3 (см.
6.2.2), оно может быть представлено средневзвешенным напряжением, так называемым эффективным изгибающим напряжением,

. Взвешивание осуществляется статистической оценкой вероятности разрыва в любой точке напряженной площади.
5.2.3 Эквивалентная прочность на изгиб
Отклонения от гомогенности или по толщине образца влияют на распределение напряжений. Следовательно, прочность на изгиб,

, в целом никогда не является точной величиной, и в некоторых случаях лучше использовать термин

.
Для некоторых типов стекол, например для флоат-стекла, такие отклонения очень малы и прочность на изгиб, определенная при испытаниях, настолько близка к реальной, что разницей можно пренебречь.
В случае узорчатого стекла, однако, можно определять только эквивалентную прочность на изгиб.
5.2.4 Профильная прочность на изгиб
Когда испытывается профильное стекло согласно
[1], большинство образцов разрушается из-за разрыва, начинающегося в угловой части профиля, где стыкуются полотно и боковина, а не на краю боковины и не на поверхности полотна. Это обусловлено вторичными напряжениями, возникающими при растяжении фланцев, когда профильный участок сгибается. При таких испытаниях прочность на изгиб лучше обозначать как профильную прочность на изгиб
PbB.
5.3 Типы стекол
5.3.1 Общие положения
Испытания, описанные в
ГОСТ 32281.2, ГОСТ 32281.3 и
ГОСТ 32281.5, предназначены для плоского стекла. Сюда входит флоат-стекло, тянутое листовое стекло, узорчатое стекло, узорчатое армированное стекло, полированное армированное стекло и закаленное стекло, т.е. стекла, где отсутствует преднамеренно созданная кривизна или профиль (отличный от узорчатой поверхности узорчатого стекла).
Для определения эквивалентной прочности на изгиб узорчатого стекла может быть использован метод испытания с помощью двух коаксиальных колец для больших площадей испытуемой поверхности (ГОСТ 32281.2) при условии, что максимальная и минимальная его толщины отклоняются не более чем на 30% или 2 мм от средней толщины.
При испытаниях методом четырехточечного изгиба
(ГОСТ 32281.3) нет никаких ограничений по глубине узора.
5.3.3 Многослойное стекло
Испытание многослойного стекла на прочность на изгиб (см.
ГОСТ 30826) из настоящего стандарта исключено.
При проведении испытаний возникает дополнительная деформация сдвига во внутренних полимерных слоях (вызывая смещение стекла относительно прослойки). Этот эффект означает, что при измерении прочности на изгиб многослойного стекла полученное значение прочности может оказаться меньше, чем действительная прочность на изгиб монолитного стекла той же толщины. Эта деформация сдвига особенно чувствительна к влиянию температуры и скорости нагрузки.
Многослойное стекло вырабатывается из монолитных стекол, которые могут быть испытаны индивидуально с помощью методов, описанных в
ГОСТ 32281.2, ГОСТ 32281.5 и
ГОСТ 32281.3.
Маловероятно, что в процессе его производства возникнут значительные изменения в прочности компонентов на изгиб, поэтому нет необходимости испытывать многослойное стекло, прочность которого можно предположить соответствующей прочности отдельных компонентов.
Сопротивление нагрузке многослойного стекла зависит от взаимодействия между его компонентами, и этот вопрос выходит за рамки настоящего стандарта.
5.4 Ориентация образцов
Многие виды стекольной продукции не обладают симметрией. Это может быть выражено явно, например, в узорчатом стекле, у которого узор на одной поверхности может быть более глубоким, чем на другой, и в котором узор может иметь направленный характер, а может быть выражено менее очевидно как сторона, по которой был сделан разрез (см.
рисунок 1 в
ГОСТ 32281.3).
При наличии такой асимметрии испытания надо проводить в нескольких различных положениях. Партия стекол, подлежащая испытаниям, должна иметь все номинально идентичные экземпляры образцов.
5.5 Число образцов в партии
Прочность на изгиб обнаруживает большие отклонения между номинально идентичными образцами стекла. Испытание малого числа образцов мало информативно, т.к. существует большая неопределенность относительно репрезентативности результатов.
В статистических терминах эта неопределенность может быть выражена как доверительные пределы (интервал), значения между которыми есть заданная вероятность того, что искомый параметр будет ложным.
Когда искомый параметр находится в центральной части распределения значений прочности (например, имеет среднее значение), тогда доверительный интервал может быть очень узким даже для малого числа образцов.
Точное определение растягивающего напряжения, которое приводит к низкой вероятности разрушения, может потребовать большого числа образцов, когда, например, необходимо определить характеристическое напряжение, или допустимое напряжение, или прочность на изгиб.
6 Пояснения к методам испытаний
6.1 Испытания методом двух коаксиальных колец для поверхностей большой площади
Примечание - Данный метод описан в ГОСТ 32281.2.
6.1.1 Исключение влияния кромки
Особенность испытания на изгиб методом двух коаксиальных колец в соответствии с
ГОСТ 32281.2 заключается в том, что только ограниченная круговой формой площадь поверхности образца (не область кромок) подвергается максимальному напряжению. По сравнению с другими методами испытаний на изгиб (например, см.
ГОСТ 32281.3), в котором границы образца подвергаются наибольшему напряжению, метод в соответствии с
ГОСТ 32281.2 применим для поверхностей, подверженных исключительно напряжению изгиба (или других состояний поверхностей). Состояние кромки образца в большинстве случаев не оказывает влияния.
6.1.2 Анализ развития напряжения
Когда прогиб относительно мал, центральная площадь поверхности подвергается равномерному напряжению растяжения (см.
рисунок 1 a), причем радиальное и тангенциальное напряжения приблизительно одинаковы.
a) в небольшом диапазоне смещения
b) в большом диапазоне смещения
Рисунок 1 - Схема зависимости радиального и тангенциального
напряжений от радиуса образца в процессе нагрузки
устройством двойного кольца
| | ИС МЕГАНОРМ: примечание. Текст дан в соответствии с официальным текстом документа. | |
Если прогиб растет, т.е. если он превышает приблизительно половину толщины листа (точный предел зависит от соотношения колец
r2/
r1), это приводит к локальному увеличению напряжения вне границ нагрузочного кольца, размер которого увеличивается с увеличением напряжения (см.
рисунок 1 б). На этом этапе нагрузки тангенциальное и касательное напряжения меняются по-разному и простое вычисление напряжения более невозможно. Значения напряжений, вычисленные из теории линейного изгиба, будут слишком велики.
Было показано, что посредством комбинированного кольца и нагрузки поверхности (см.
[12], [13], [14] приложения А) можно исключить увеличение напряжения вне границ нагрузочного кольца. С постоянной нагрузкой на поршень,
F, давление газа,
p, можно оптимизировать таким образом, что либо радиальное, либо тангенциальное напряжение растяжения развивается практически равномерно в пределах нагрузочного кольца (см.
рисунки 2 и
3). Тем не менее, невозможно оптимизировать давление газа,
p, в соответствии с развитием радиального и тангенциального напряжений одновременно.
Этот график был получен в результате измерений при следующих параметрах: Размеры образца: 1000 мм x 1000 мм x 6 мм; r1 = 300 мм; r2 = 400 мм; Поршневое усилие, F = 22220 Н; Параметры: давление газа, p Эти данные позволяют определить оптимизированное давление газа, p = 0,33 bars. |
Рисунок 2 - Развитие радиального напряжения вдоль медианы
выпуклой поверхности образца
Этот график был получен в результате измерений при следующих параметрах: Размеры образца: 1000 мм x 1000 мм x 6 мм; r1 = 300 мм; r2 = 400 мм; Поршневое усилие, F = 22220 Н; Параметры: давление газа, p. Эти данные позволяют определить оптимизированное давление газа, p = 0,15 bars. |
Рисунок 3 - Развитие тангенциального напряжения
вдоль медианы выпуклой поверхности образца
Если давление газа,
p, оптимизируется в соответствии с распределением радиального напряжения (как показано на
рисунке 2, кривая
p = 0,33 бара), тогда тангенциальное напряжение падает в направлении нагрузочного кольца (как показано на
рисунке 3, кривая
p = 0,33 бара). Если давление газа,
p, оптимизируется в соответствии с распределением тангенциального напряжения (как показано на
рисунке 3, кривая
p = 0,15 бара), тогда радиальное напряжение возрастает по направлению к нагрузочному кольцу (как показано на
рисунке 2 кривая
p = 0,15 бара). Так как в случае хрупких материалов всегда должны создаваться нормальные напряжения, являющиеся причиной начала разрушения, неоднородное распределение радиального напряжения является решающим фактором начала разрушения. По этой причине давление газа,
p, всегда оптимизируется в соответствии с развитием радиального напряжения для практических целей испытания.
Тем не менее, преимущество условия двухосного напряжения, при котором два основных напряжения имеют одинаковую величину, теряется, как отчетливо видно из процесса двухкольцевого испытания на изгиб в случае малых прогибов (см.
6.3). Однако этот недостаток более чем компенсируется большой площадью испытываемой поверхности, если только повреждения поверхности не имеют четкой направленности (например, одна или несколько параллельных царапин).
В случае квадратных образцов распределение напряжения является слегка направленным, напряжения вдоль медиан и диагоналей отличаются в пределах 5%.
Кривые на рисунке 3 из ГОСТ 32281.2 и значения в таблице 3 из ГОСТ 32281.2 определялись экспериментально. Отклонения отдельных полученных значений от кривых или значений таблицы максимально достигают 5%.
6.1.3 Тестирование узорчатого стекла
Образцы с одной или двумя узорчатыми поверхностями нельзя испытывать при малой площади поверхности методом двух коаксиальных колец (см.
6.3 и
ГОСТ 32281.5), так как поверхность узора имеет практически тот же размер, что и тестируемая поверхность.
Тем не менее, испытать стекло с узорчатой поверхностью можно методом испытания на изгиб двумя кольцами с использованием большой площади поверхности в соответствии с
ГОСТ 32281.2. Допустимая структурная глубина, заданная в
5.3.2 (локальные отклонения от средней толщины, максимум 30% или 2 мм в зависимости от того, что окажется меньше), основывается на экспериментальных результатах.
При наличии одной или двух узорчатых поверхностей условие линейности приложения нагрузки границами нагрузочного кольца нарушается необходимостью введения более толстой прокладки со стороны нагрузочного кольца. Однако единственным эффектом является некоторое сокращение площади поверхности почти однородного распределения радиального напряжения. Иного влияния на значения напряжения это не оказывает.
6.2 Испытание образца, закрепленного на двух точках (4 точки изгиба)
6.2.1 Включение граничных эффектов
Эти испытания представляют собой испытания образца в форме широкой полосы на изгиб. Кромки образца за пределами центральной части, подвергающейся номинально однородным, однонаправленным напряжениям, подвергнуты максимальному напряжению, как и поверхность. Если требуется определить прочность стекла на изгиб в условиях, где важно влияние кромок, следует использовать этот вид испытаний.
6.2.2 Анализ развития напряжения
Упрощенная теория предполагает, что не существует напряжений, развивающихся поперек ширины полосы, когда она подвергается изгибу вдоль ее длины. Тем не менее, хотя это может быть хорошей аппроксимацией для узких полос, эффект Пуассона создает значительные напряжения поперек ширины широких полос. Эти напряжения вызывает перегиб поперек ширины полосы: таким образом, продольное напряжение не может рассматриваться как равномерное в ширину (см.
[15] приложения А). Эффект состоит в увеличении растягивающего и изгибающего напряжений, развитых на кромках полосы, и сокращении растягивающего и изгибающего напряжений по средней линии полосы (как показано на
рисунке 4).

Расстояние от срединной оси образца вдоль ширины (мм) |
1 | напряжение, полученное из упрощенной теории, составляет 60,3 Н/мм2 растяжения или сжатия |
2 | напряжение, полученное из упрощенной теории, составляет 43,5 Н/мм2 растяжения или сжатия |
3 | напряжение, полученное из упрощенной теории, составляет 38,6 Н/мм2 растяжения или сжатия |
4 | напряжение, полученное из упрощенной теории, составляет 33,7 Н/мм2 растяжения или сжатия |
5 | напряжение, полученное из упрощенной теории, составляет 28,9 Н/мм2 растяжения или сжатия |
6 | напряжение, полученное из упрощенной теории, составляет 24,0 Н/мм2 растяжения или сжатия |
7 | напряжение, полученное из упрощенной теории, составляет 19,1 Н/мм2 растяжения или сжатия |
8 | напряжение, полученное из упрощенной теории, составляет 14,2 Н/мм2 растяжения или сжатия |
9 | напряжение, полученное из упрощенной теории, составляет 12,5 Н/мм2 растяжения или сжатия |
10 | напряжение, полученное из упрощенной теории, составляет 2,2 Н/мм2 растяжения или сжатия |
Рисунок 4 - Изменения в напряжении поперек ширины образца
флоат-стекла толщиной 8,2 мм на середине длины
Если известно точное место начала разрушения, можно получить путем сложных вычислений точное локальное напряжение при изгибе, явившееся причиной разрушения образца. Если, тем не менее, рассматривать вероятность недостатков или распределение недостатков, существует другой подход, который может быть выбран в зависимости от того, получается ли требуемая прочность на изгиб из всех результатов испытаний на изгиб (общая прочность) или же включают только результаты по краевым разрушениям (краевая прочность). Можно продемонстрировать, что применение коэффициента
k, к вычисляемому напряжению изгиба можно использовать для преобразования вычисляемого напряжения изгиба во "взвешенное среднее" напряжений изгиба, называемое эффективным напряжением изгиба,

. Коэффициентами являются:
k = ks = 1,00, когда включены все разрушения;
k = ke, когда включены только краевые разрушения.
Значение
ke зависит от деформации образца в центре, значения этого параметра приводятся в
ГОСТ 32281.3.
6.3 Испытание методом двух коаксиальных колец для малых испытуемых площадей поверхности
6.3.1 Ликвидация краевых эффектов
Отдельной особенностью испытания на изгиб методом двух коаксиальных колец в соответствии с
ГОСТ 32281.5 является тот факт, что максимальному напряжению подвергается только ограниченная область поверхности образца круглой формы, без ее кромки. По сравнению с другими методами испытаний на изгиб (например,
ГОСТ 32281.3), при которых кромки образца подвергаются максимальному напряжению, метод в соответствии с
ГОСТ 32281.5 применим исключительно для подверженных изгибающему напряжению поверхностей (или различных состояний поверхностей). Влияние кромок образца, создаваемое механической холодной обработкой, устраняется для большинства образцов.
6.3.2 Анализ развития напряжения
Преимущества, отмеченные в
6.1.1 и
[16] приложения А, определяют выбор метода испытания на изгиб двумя коаксиальными кольцами как метода определения прочности стекла на изгиб. Одним из таких преимуществ является равномерное и независящее от направления нагружение образца нагружающим кольцом, которое означает, что направление возможных дефектов поверхности не влияет на результат. Тем не менее, это относится только к ограниченным прогибам,
y0, в центре образца.
Выше этого предела чрезмерное локальное напряжение может иметь место под опорными краями нагрузочного кольца, величина которого увеличивается с увеличением нагрузки. В то же время тангенциальное и радиальное напряжения претерпевают переменное изменение, слишком сложное для упрощенных расчетов. В этом случае напряжения, вычисленные из линейной теории изгиба, оказываются чрезмерно высокими (см.
6.1).
Для соотношения размеров кольца
r2/
r1 = 5, выбранного здесь, допустимый диапазон прогиба приблизительно задается через
y0/
h < 1,0. Минимальные значения толщин образцов, указанные в
ГОСТ 32281.5, были выбраны для изгибных напряжений до 600 Н/мм
2 таким образом, что для упругих модулей не менее 50 кН/мм
2 относительный прогиб
y0/
h в центре образца не превышает 0,75. Разница напряжений в области нагрузочного кольца, таким образом, менее 2%, в соответствии
с [17] и
[18] приложения А. Для целей
ГОСТ 32281.5 прочность на изгиб может быть рассчитана с использованием испытательной нагрузки по формулам, приведенным в
ГОСТ 32281.5, при условии, что выдерживаются размеры кольца, образца и значения минимальной толщины образцов.
Для этого квазилинейного диапазона нагрузки образца следующее выражение применяется для нагрузок на поверхности круглых образцов, ограниченных нагрузочным кольцом, см.
[11] приложения А:

(1)
Предполагая постоянное соотношение между значениями
r1,
r2 и
r3 и числом Пуассона,

, для образца 0,23, формула, используемая в
ГОСТ 32281.5, для круглого образца, может быть получена из формулы:

(2)
где K1 = 1,09.
Таблица 2 показывает влияние эффекта Пуассона на число K1.
Таблица 2
Константа
K1 как функция от числа Пуассона,

Число Пуассона,  | Константа, K1, для колец R30 и R45 | Ошибка, %, предполагая  | Константа, K1, для колец R60 и R105 | Ошибка, %, предполагая  |
0,18 | 1,059 | 2,7 | 0,662 | 3,4 |
0,19 | 1,065 | 2,1 | 0,667 | 2,7 |
0,20 | 1,071 | 1,6 | 0,672 | 2,1 |
0,21 | 1,076 | 1,1 | 0,677 | 1,4 |
0,22 | 1,082 | 0,5 | 0,681 | 0,7 |
0,23 | 1,088 | 0,0 | 0,686 | 0,0 |
0,24 | 1,094 | 0,5 | 0,691 | 0,7 |
0,25 | 1,100 | 1,1 | 0,695 | 1,4 |
0,26 | 1,106 | 1,6 | 0,700 | 2,1 |
Для натрий-кальциево-силикатного стекла
(ГОСТ 111) используемое значение числа Пуассона составляет 0,23. Для других типов стекол, например, боросиликатного
([2]) и стеклокерамики
([3]), значение
K1, следует выбирать в соответствии с числом Пуассона.
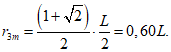
Для квадратных (прямоугольных) образцов уравнение 1 применяется с использованием среднего значения радиуса образца:

(3)
Здесь
r3m соответствует среднему значению радиусов колец, описывающих и вписанных в квадрат. Это дает значение константы
K2 = 1,04
для колец R30 и R45 и K2 = 0,674 для колец R60 и R105 в ГОСТ 32281.5 для квадратных образцов натриево-кальциево-силикатного стекла.
Испытания с использованием нагрузочного оборудования R30 и R45, как указано в
ГОСТ 32281.5, показали что, тангенциальное напряжение на краю листа составляет порядка 30% от максимального тангенциального напряжения (совпадающего с радиальным напряжением) в пределах нагрузочного кольца. Если это приводит к поломке края, рекомендуется увеличить радиус образца
r3 или длину стороны
L и таким образом увеличить выступание образца за опорное кольцо. С соотношением
r3/
r2 = 2 или
L/2
r2 = 2 тангенциальное напряжение на краю листа определенно ниже 10% от максимального значения (см.
[16] приложения А): таким образом, возможность повреждения кромок может быть практически исключена. Тем не менее, в этом случае константы
K1 и
K2 следует снова вычислить из
уравнения (1).
В межлабораторных испытаниях принцип вычисления, описанный выше для квадратных и круглых образцов, приводит к удовлетворительной согласованности значений прочности на изгиб, определенных для обеих форм образцов.
7 Область применения методов испытаний
7.1 Общие ограничения
Методы испытаний, определенные в этом стандарте, не применимы для испытания многослойного стекла или стеклопакетов.
7.2 Ограничения ГОСТ 32281.2
Этот метод испытания применим только для листового стекла (см.
3.1).
Декоративное (узорчатое) стекло может испытываться при условии, что минимальная и максимальная толщины отклоняются друг от друга не более чем на 30% и не более чем на 2 мм.
Этот метод испытаний применим только для листового стекла (см.
3.1).
Декоративное (узорчатое) стекло может испытываться без ограничений.
Этот метод испытаний применим только для профилированного стекла.
Этот метод испытаний применим только для листового стекла (см.
3.1).
Декоративное (узорчатое) стекло не следует испытывать этим методом.
8 Калибровка испытательного оборудования
Испытательное оборудование, используемое в соответствии с
ГОСТ 32281.2, ГОСТ 32281.3, ГОСТ 32281.5 и
[1], должно калиброваться пользователем раз в три месяца перед проведением испытания.
Для целей калибровки испытательного оборудования стеклянный образец можно заменить на металлическую (например, стальную) пластину соответствующей толщины.
Для выполнения калибровки усилия измерительного прибора официально откалиброванный измеритель усилия с независимой шкалой с точностью +/- 1% следует установить последовательно с прибором измерения усилия установки тестирования.
Для выполнения калибровки прибора измерения давления газа официально откалиброванный манометр с независимой шкалой с точностью +/- 1% следует установить параллельно с прибором измерения давления установки тестирования.
Усилие или давление следует увеличивать не менее чем в пять приблизительно эквивалентных шагов, покрывающих диапазон измерений. На каждом шаге показания установки тестирования и официально откалиброванного измерительного прибора следует записывать. Все показания должны совпадать в пределах +/- 1% от полного диапазона измерений. Если разница между двумя показаниями превосходит +/- 1%, измерительный прибор установки тестирования следует соответствующим образом настроить.
Для калибровки следует использовать только официально откалиброванные измерительные приборы. Для них следует проводить калибровку каждые три года.
9 Рекомендации по безопасному использованию испытательного оборудования
В помещении, где используется испытательное оборудование, и сотрудник, проводящий испытание, и другие люди могут подвергаться опасности, обусловленной конструкцией оборудования и поведением образца.
Оборудование для испытания материалов должно быть сконструировано таким образом, чтобы сотрудник, проводящий испытания, и остальные сотрудники были защищены насколько это возможно от опасностей всех видов, когда оборудование работает надлежащим образом.
Методы испытаний, описанные в этом стандарте, основаны на разрушении стекла под высокими нагрузками; таким образом, существует очевидная опасность от осколков стекла. Соответствующие меры предосторожности должны быть приняты в процессе проведения испытаний образцов стекла для предотвращения травм от осколков стекла как для лиц, проводящих испытание, так и для наблюдателей. Эти меры могут включать в себя следующее:
- использование соответствующей защитной одежды, например, защитных очков и перчаток, особенно для манипуляций с образцами стекла и осколками;
- применение клейкой пленки на поверхности стекла, которая не подвергается напряжению изгиба, для обеспечения, чтобы все осколки удерживались вместе после обрыва;
- использование прозрачных экранов безопасности между наблюдателями и (или) проводящим испытание и образцом.
Если это невозможно из-за
- особого характера процесса испытания;
- различного и непредсказуемого поведения образца в ходе испытания,
обеспечить безопасность работы с испытательным оборудованием с помощью разработки мер или дополнительных функций безопасности. Использование испытательного оборудования следует ограничить группой людей, которые способны оценить возможные риски.
(обязательное)
БИБЛИОГРАФИЯ
| ЕН 1288-4 | Стекло в строительстве - Определение прочности стекла на изгиб - Часть 4: Испытание профильного стекла |
EN 1288-4 | Glass in building - Determination of the bending strength of glass - Part 4: Testing of channel shaped glass |
| ЕН 1748-1 | Стекло в строительстве - Специальная базовая продукция - Часть 1: Боросиликатные стекла |
EN 1748-1 | Glass in building - Special basic products - Part 1: Borosilicate glasses |
| ЕН 1748-2 | Стекло в строительстве - Специальная базовая продукция - Часть 2: Стеклокерамика |
EN 1748-2 | Glass in building - Special basic products - Part 2: Glass ceramics |
| ЕН 1863-1 | Стекло в строительстве - Термоупрочненное натрий-силикатное стекло - Часть 1: Определение и описание |
EN 1863-1 | Glass in building - Heat strengthened soda lime silicate glass - Part 1: Definition and description |
| ЕН 12337-1 | Стекло в строительстве - Химически упрочненное натрийсиликатное стекло - Часть 1: Определение и описание |
EN 12337-1 | Glass in building - Chemically strengthened soda lime silicate glass - Part 1: Definition and description |
| прЕН 13024-1 | Стекло в строительстве - Термически закаленное боросиликатное безопасное стекло - Часть 1: Определение и описание |
prEN 13024-1 | Glass in building - Thermally toughened borosilicate safety glass - Part 1: Definition and description |
| | Wiederhorn, S.M.: Environmental Stress Corrosion Cracking of Glass. National Bureau of Standards, Washington D.C. Corros. Fatigue: Chem. Meeh. Microstruct. (1971), pp. 731 - 742 |
| | Kerkhof, F.: Bruchvorgange in  . (Fracture Processes in Glass.) Deutsche Glastechnische Gesellschaft, Frankfurt/Main 1970, p. 209 ff |
| | Shand, E.B.: Glass Engineering Hand Book. McGraw-Hill Book Comp., New York 1958 |
| | Scheidler, H.: Verletzlichkeit und technische Festigkeit von Gias (Vulnerability and technological strength of glass). Glastechn. Ber. 50 (1977), No. 9, pp. 214 - 222 |
| | Woelk, H.; Elsenheimer, K.: Biegebruchspannung von Floatglas und thermisch vorgespanntem Floatglas (Ultimate bending stress of float glass and thermally prestressed float glass). Glastechn. Ber. 52 (1979), No. 1, pp. 14 - 24 |
| | Schmitt, R.W.: Die Doppelringmethode mit  Gasdruck als  zur Bestimmung der Bruchspannungen von grossformatigen ebenen Glasplatten kleiner Dicke. (The double ring method with super-imposed gas pressure as a testing procedure for determining the stress at break of large-sized flat sheets of glass of a small thickness.) Diplomarbeit am Institut  Maschinenelemente und Maschinengestaltung (Thesis at the Institute for Machinery Components and Machine Design), Leiter: Professor Dr. H. Peeken, RWTH Aachen, 1982 |
| | Schmitt, R. W.: Entwicklung eines  zur Ermittlung der Biegefestigkeit von Glas und Aspekte der statistischen Behandlung der gewonnenen Messwerte. (Development of a testing procedure for the determination of the bending strength of glass and some aspects of the statistical evaluation of test results.) Diss. RWTH Aachen, 1987 |
| | Blank, K.; Schmitt, R.W.; Troeder, Chr.: Ein modifiziertes Doppelringverfahren zur Bestimmung der Biegezugfestigkeit grossformatiger Glasplatten. (A modified coaxial-ring-bending method for testing the bending strength of large glass plates.) Glastechn. Ber. 56K (1983), volume 1, pp. 414 - 419 (Vortrag auf dem 13 Internationalen Glas-Kongress, Hamburg 1983) |
| | Blank, K.; Durkop, D.; Durchholz, M.; Gruters, H.; Helmich, G; Senger, W.: Strength tests of flat glass by means of four point bending. Glastechnische Berichte 67 (1994) No. 1, pp. 9 - 15 |
| | Schmitt, R.W.; Blank, K.; Schonbrunn, G.: Experimentelle Spannungsanalyse zum Doppelringverfahren (Experimental stress analysis for the double ring method). Sprechsaal 116 (1983), No. 5, pp. 397 - 405 and printing error correction in Sprechsaal 116 (1983), No. 8, p 669 |
| | Kao, R.; Perrone, N.; Capps, W.: Large-Deflection Solution of the Coaxial-Ring-Circular-Glass-Plate Flexure Problem. J. Am. Ceram. Soc 54 (1971), No. 11, pp. 566 - 571 |
| | Fayet, A.:  de la  des plaques circulaires des verres minces  l'aide d'un test de flexion par anneaux concentriques. Revue Francaise de  (1971) No. 37, pp. 53 - 75 |
УДК 666.151:006.354 | | MOD |
Ключевые слова: прочность на изгиб, принципы проведения испытаний |