Список изменяющих документов (в ред. Изменения N 1, утв. в ноябре 1982 г.) |
Наименование операций | Номера пунктов стандарта | Средства для определения вместимости и градуировки и их нормативно-технические характеристики | ||||
Внешний осмотр | - | |||||
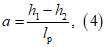
| ||||||
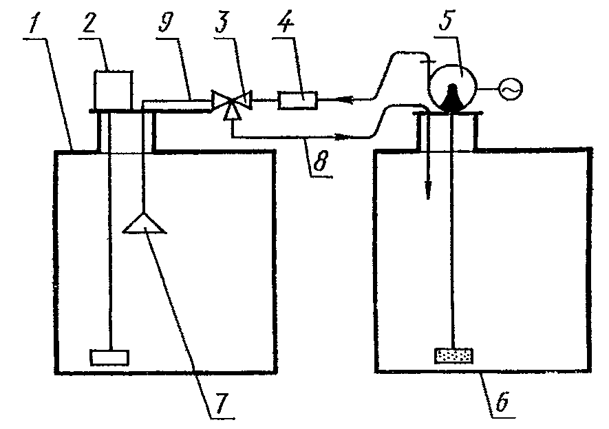
Определение вместимости и градуировка геометрическим методом | Микрометрический нутромер с пределом измерения 1250 - 4000 мм по ГОСТ 10-75; | |||||
измерительные металлические рулетки с пределами измерений 0 - 5, 0 - 10, 0 - 20 м по ГОСТ 7502-80; | ||||||
штангенциркуль с пределами измерений 0 - 125, 0 - 250, 0 - 400 мм по ГОСТ 166-80; | ||||||
метрошток типа МШР со шкалой длиной 3300 мм; | ||||||
термометр с ценой деления 1 °C и пределом измерения 0 - 50 °C по ГОСТ 215-73; | ||||||
двойной отвес, представляющий собой металлическую ленту или рулетку с пределами измерений 0 - 5 и 0 - 10 м с грузами на концах по 5 кгс (~ 50 Н); | ||||||
направляющие ролики; | ||||||
пружинный динамометр растяжения общего назначения с пределом измерений 1 - 10 кгс (~ 100 Н) по ГОСТ 13837-79; | ||||||
газоанализатор по ГОСТ 7018-75 | ||||||
| ||||||
Определение вместимости и градуировка объемным методом | Образцовый уровнемер типа УО-12 с пределом измерения 0 - 12 м и погрешностью +/- 2 мм; | |||||
образцовые мерники 2-го разряда вместимостью 2, 5, 10, 20, 50, 100, 200, 500 л и погрешностью +/- 0,1% по ГОСТ 8.400-80; | ||||||
счетчики жидкости с режимом работы 1,6 - 16 м3/ч и погрешностью +/- 0,5%; | ||||||
термометр с ценой деления 1 °C и пределом измерения 0 - 50 °C по ГОСТ 215-73; | ||||||
насос производительностью не более 30 м3/ч, снабженный линиями приема и подачи с кранами; | ||||||
расширитель струи жидкости с магнитным наконечником. | ||||||























или 

.
.
.
.Высота наполнения H, см | Отношение высоты наполнения к диаметру резервуара, H/D | Цилиндрическая часть резервуара | Днище | Объем залитой части резервуара | ||
![]() | ![]() | |||||
1 | 0,0038 | 0,00040 | 0,019 | 0,000 | 0,000 | 0,019 |
2 | 0,0075 | 0,00110 | 0,053 | 0,000 | 0,000 | 0,053 |
... | ... | ... | ... | ... | ... | ... |
106 | 0,4000 | 0,37535 | 18,15 | 0,335 | 0,761 | 18,91 |
107 | 0,4038 | 0,37842 | 18,30 | 0,341 | 0,775 | 19,07 |
... | ... | ... | ... | ... | ... | ... |
259 | 0,9775 | 0,99431 | 48,07 | 1,000 | 2,27 | 50,34 |
260 | 0,9812 | 0,99566 | 48,14 | 1,000 | 2,27 | 50,41 |
H/D | 0 | 1 | 2 | 3 | 4 | 5 | 6 | 7 | 8 | 9 |
0,000 | 0,00000 | 0,000005 | 0,00001 | 0,00001 | 0,00002 | 0,00002 | 0,00003 | 0,00003 | 0,00004 | 0,00004 |
0,001 | 0,00005 | 0,00006 | 0,00007 | 0,00008 | 0,00009 | 0,00010 | 0,00011 | 0,00012 | 0,00013 | 0,00014 |
0,002 | 0,00015 | 0,00016 | 0,00018 | 0,00019 | 0,00020 | 0,00021 | 0,00023 | 0,00024 | 0,00025 | 0,00027 |
0,003 | 0,00028 | 0,00029 | 0,00031 | 0,00032 | 0,00034 | 0,00035 | 0,00037 | 0,00038 | 0,00040 | 0,00041 |
0,004 | 0,00043 | 0,00045 | 0,00046 | 0,00048 | 0,00050 | 0,00051 | 0,00053 | 0,00055 | 0,00057 | 0,00058 |
0,005 | 0,00060 | 0,00062 | 0,00064 | 0,00066 | 0,00068 | 0,00069 | 0,00071 | 0,00073 | 0,00075 | 0,00077 |
0,006 | 0,00079 | 0,00081 | 0,00083 | 0,00085 | 0,00087 | 0,00089 | 0,00091 | 0,00093 | 0,00095 | 0,00097 |
0,007 | 0,00099 | 0,00101 | 0,00103 | 0,00106 | 0,00108 | 0,00110 | 0,00112 | 0,00114 | 0,00117 | 0,00119 |
0,008 | 0,00121 | 0,00123 | 0,00126 | 0,00128 | 0,00130 | 0,00132 | 0,00135 | 0,00137 | 0,00139 | 0,00142 |
0,009 | 0,00144 | 0,00146 | 0,00149 | 0,00151 | 0,00154 | 0,00156 | 0,00159 | 0,00161 | 0,00164 | 0,00166 |
0,010 | 0,00169 | 0,00171 | 0,00174 | 0,00176 | 0,00179 | 0,00181 | 0,00184 | 0,00186 | 0,00189 | 0,00191 |
0,011 | 0,00194 | 0,00197 | 0,00200 | 0,00202 | 0,00205 | 0,00208 | 0,00211 | 0,00214 | 0,00216 | 0,00219 |
0,012 | 0,00222 | 0,00225 | 0,00228 | 0,00231 | 0,00234 | 0,00236 | 0,00239 | 0,00242 | 0,00245 | 0,00248 |
0,013 | 0,00251 | 0,00254 | 0,00257 | 0,00260 | 0,00263 | 0,00265 | 0,00268 | 0,00271 | 0,00274 | 0,00277 |
0,014 | 0,00280 | 0,00283 | 0,00286 | 0,00289 | 0,00292 | 0,00295 | 0,00298 | 0,00301 | 0,00304 | 0,00307 |
0,015 | 0,00310 | 0,00313 | 0,00316 | 0,00319 | 0,00322 | 0,00325 | 0,00329 | 0,00332 | 0,00335 | 0,00338 |
0,016 | 0,00341 | 0,00344 | 0,00347 | 0,00351 | 0,00354 | 0,00357 | 0,00360 | 0,00363 | 0,00367 | 0,00370 |
0,017 | 0,00373 | 0,00376 | 0,00380 | 0,00383 | 0,00386 | 0,00389 | 0,00393 | 0,00396 | 0,00399 | 0,00403 |
0,018 | 0,00406 | 0,00409 | 0,00413 | 0,00416 | 0,00420 | 0,00423 | 0,00427 | 0,00430 | 0,00434 | 0,00437 |
0,019 | 0,00441 | 0,00444 | 0,00448 | 0,00451 | 0,00455 | 0,00458 | 0,00462 | 0,00465 | 0,00469 | 0,00472 |
0,020 | 0,00476 | 0,00480 | 0,00483 | 0,00487 | 0,00490 | 0,00494 | 0,00498 | 0,00501 | 0,00505 | 0,00508 |
0,021 | 0,00512 | 0,00516 | 0,00520 | 0,00523 | 0,00527 | 0,00531 | 0,00535 | 0,00539 | 0,00542 | 0,00546 |
0,022 | 0,00550 | 0,00554 | 0,00558 | 0,00561 | 0,00565 | 0,00569 | 0,00573 | 0,00577 | 0,00580 | 0,00584 |
0,023 | 0,00588 | 0,00592 | 0,00596 | 0,00599 | 0,00603 | 0,00607 | 0,00611 | 0,00615 | 0,00618 | 0,00622 |
0,024 | 0,00626 | 0,00630 | 0,00634 | 0,00638 | 0,00642 | 0,00646 | 0,00650 | 0,00654 | 0,00658 | 0,00662 |
0,025 | 0,00666 | 0,00670 | 0,00674 | 0,00678 | 0,00682 | 0,00686 | 0,00690 | 0,00694 | 0,00698 | 0,00702 |
0,026 | 0,00706 | 0,00710 | 0,00714 | 0,00718 | 0,00722 | 0,00726 | 0,00730 | 0,00734 | 0,00738 | 0,00742 |
0,027 | 0,00746 | 0,00750 | 0,00754 | 0,00758 | 0,00762 | 0,00766 | 0,00771 | 0,00775 | 0,00779 | 0,00783 |
0,028 | 0,00787 | 0,00791 | 0,00795 | 0,00800 | 0,00804 | 0,00808 | 0,00812 | 0,00816 | 0,00821 | 0,00825 |
0,029 | 0,00829 | 0,00833 | 0,00838 | 0,00842 | 0,00847 | 0,00851 | 0,00856 | 0,00860 | 0,00865 | 0,00869 |
0,030 | 0,00874 | 0,00878 | 0,00883 | 0,00887 | 0,00892 | 0,00896 | 0,00901 | 0,00905 | 0,00910 | 0,00914 |
0,031 | 0,00919 | 0,00923 | 0,00928 | 0,00932 | 0,00937 | 0,00941 | 0,00946 | 0,00950 | 0,00955 | 0,00959 |
0,032 | 0,00964 | 0,00968 | 0,00973 | 0,00977 | 0,00982 | 0,00986 | 0,00990 | 0,00995 | 0,00999 | 0,01004 |
0,033 | 0,01008 | 0,01013 | 0,01017 | 0,01022 | 0,01026 | 0,01031 | 0,01036 | 0,01040 | 0,01045 | 0,01049 |
0,034 | 0,01054 | 0,01058 | 0,01063 | 0,01067 | 0,01072 | 0,01076 | 0,01081 | 0,01085 | 0,01090 | 0,01094 |
0,035 | 0,01099 | 0,01104 | 0,01109 | 0,01113 | 0,01118 | 0,01123 | 0,01128 | 0,01133 | 0,01137 | 0,01142 |
0,036 | 0,01147 | 0,01152 | 0,01157 | 0,01161 | 0,01166 | 0,01171 | 0,01176 | 0,01181 | 0,01185 | 0,01190 |
0,037 | 0,01195 | 0,01200 | 0,01204 | 0,01209 | 0,01214 | 0,01218 | 0,01223 | 0,01228 | 0,01233 | 0,01237 |
0,038 | 0,01242 | 0,01247 | 0,01252 | 0,01257 | 0,01262 | 0,01266 | 0,01271 | 0,01276 | 0,01281 | 0,01286 |
0,039 | 0,01291 | 0,01296 | 0,01301 | 0,01306 | 0,01311 | 0,01316 | 0,01322 | 0,01327 | 0,01332 | 0,01337 |
0,040 | 0,01342 | 0,01347 | 0,01352 | 0,01358 | 0,01363 | 0,01368 | 0,01373 | 0,01378 | 0,01383 | 0,01388 |
0,041 | 0,01393 | 0,01399 | 0,01404 | 0,01409 | 0,01414 | 0,01419 | 0,01424 | 0,01429 | 0,01434 | 0,01439 |
0,042 | 0,01444 | 0,01449 | 0,01454 | 0,01459 | 0,01464 | 0,01469 | 0,01474 | 0,01479 | 0,01484 | 0,01489 |
0,043 | 0,01494 | 0,01499 | 0,01504 | 0,01509 | 0,01514 | 0,01519 | 0,01525 | 0,01530 | 0,01535 | 0,01540 |
0,044 | 0,01545 | 0,01550 | 0,01555 | 0,01561 | 0,01566 | 0,01571 | 0,01576 | 0,01581 | 0,01587 | 0,01592 |
0,045 | 0,01597 | 0,01602 | 0,01608 | 0,01613 | 0,01618 | 0,01623 | 0,01629 | 0,01634 | 0,01639 | 0,01645 |
0,046 | 0,01650 | 0,01655 | 0,01660 | 0,01666 | 0,01672 | 0,01677 | 0,01682 | 0,01688 | 0,01693 | 0,01699 |
0,047 | 0,01704 | 0,01709 | 0,01715 | 0,01720 | 0,01726 | 0,01731 | 0,01737 | 0,01742 | 0,01748 | 0,01753 |
0,048 | 0,01759 | 0,01764 | 0,01770 | 0,01775 | 0,01781 | 0,01786 | 0,01792 | 0,01797 | 0,01803 | 0,01809 |
0,049 | 0,01814 | 0,01819 | 0,01825 | 0,01830 | 0,01836 | 0,01841 | 0,01847 | 0,01852 | 0,01858 | 0,01863 |
0,050 | 0,01869 | 0,01875 | 0,01880 | 0,01886 | 0,01891 | 0,01897 | 0,01903 | 0,01908 | 0,01914 | 0,01919 |
0,051 | 0,01925 | 0,01931 | 0,01936 | 0,01942 | 0,01947 | 0,01953 | 0,01959 | 0,01964 | 0,01970 | 0,01975 |
0,052 | 0,01981 | 0,01986 | 0,01992 | 0,01997 | 0,02003 | 0,02008 | 0,02014 | 0,02019 | 0,02025 | 0,02030 |
0,053 | 0,02036 | 0,02042 | 0,02047 | 0,02053 | 0,02058 | 0,02064 | 0,02070 | 0,02075 | 0,02081 | 0,02086 |
0,054 | 0,02092 | 0,02098 | 0,02104 | 0,02109 | 0,02115 | 0,02121 | 0,02127 | 0,02133 | 0,02138 | 0,02144 |
0,055 | 0,02150 | 0,02156 | 0,02162 | 0,02167 | 0,02173 | 0,02179 | 0,02185 | 0,02191 | 0,02196 | 0,02202 |
0,056 | 0,02208 | 0,02214 | 0,02220 | 0,02226 | 0,02232 | 0,02237 | 0,02243 | 0,02249 | 0,02255 | 0,02261 |
0,057 | 0,02267 | 0,02273 | 0,02279 | 0,02285 | 0,02291 | 0,02297 | 0,02303 | 0,02309 | 0,02315 | 0,02321 |
0,058 | 0,02327 | 0,02333 | 0,02339 | 0,02345 | 0,02351 | 0,02357 | 0,02364 | 0,02370 | 0,02376 | 0,02382 |
0,059 | 0,02388 | 0,02394 | 0,02400 | 0,02406 | 0,02412 | 0,02418 | 0,02425 | 0,02431 | 0,02437 | 0,02443 |
0,060 | 0,02449 | 0,02455 | 0,02461 | 0,02467 | 0,02473 | 0,02479 | 0,02485 | 0,02491 | 0,02497 | 0,02503 |
0,061 | 0,02509 | 0,02515 | 0,02522 | 0,02528 | 0,02534 | 0,02540 | 0,02547 | 0,02553 | 0,02559 | 0,02566 |
0,062 | 0,02572 | 0,02578 | 0,02585 | 0,02591 | 0,02598 | 0,02604 | 0,02610 | 0,02617 | 0,02623 | 0,02630 |
0,063 | 0,02636 | 0,02642 | 0,02649 | 0,02655 | 0,02661 | 0,02667 | 0,02674 | 0,02680 | 0,02686 | 0,02693 |
0,064 | 0,02699 | 0,02705 | 0,02712 | 0,02718 | 0,02725 | 0,02731 | 0,02737 | 0,02744 | 0,02750 | 0,02757 |
0,065 | 0,02763 | 0,02769 | 0,02776 | 0,02782 | 0,02788 | 0,02794 | 0,02801 | 0,02807 | 0,02813 | 0,02820 |
0,066 | 0,02826 | 0,02832 | 0,02839 | 0,02845 | 0,02852 | 0,02858 | 0,02864 | 0,02871 | 0,02877 | 0,02884 |
0,067 | 0,02890 | 0,02896 | 0,02903 | 0,02909 | 0,02915 | 0,02921 | 0,02928 | 0,02934 | 0,02940 | 0,02947 |
0,068 | 0,02953 | 0,02959 | 0,02966 | 0,02972 | 0,02979 | 0,02985 | 0,02991 | 0,02998 | 0,03004 | 0,03011 |
0,069 | 0,03017 | 0,03023 | 0,03030 | 0,03036 | 0,03042 | 0,03048 | 0,03055 | 0,03061 | 0,03067 | 0,03074 |
0,070 | 0,03080 | 0,03086 | 0,03093 | 0,03099 | 0,03106 | 0,03112 | 0,03118 | 0,03125 | 0,03131 | 0,03138 |
0,071 | 0,03144 | 0,03151 | 0,03157 | 0,03164 | 0,03170 | 0,03177 | 0,03181 | 0,03190 | 0,03197 | 0,03203 |
0,072 | 0,03210 | 0,03217 | 0,03223 | 0,03230 | 0,03236 | 0,03243 | 0,03250 | 0,03256 | 0,03263 | 0,03269 |
0,073 | 0,03276 | 0,03282 | 0,03289 | 0,03295 | 0,03302 | 0,03308 | 0,03315 | 0,03321 | 0,03328 | 0,03334 |
0,074 | 0,03341 | 0,03348 | 0,03354 | 0,03361 | 0,03367 | 0,03374 | 0,03381 | 0,03387 | 0,03394 | 0,03400 |
0,075 | 0,03407 | 0,03414 | 0,03420 | 0,03427 | 0,03433 | 0,03440 | 0,03447 | 0,03453 | 0,03460 | 0,03466 |
0,076 | 0,03473 | 0,03480 | 0,03487 | 0,03494 | 0,03501 | 0,03507 | 0,03514 | 0,03521 | 0,03528 | 0,03535 |
0,077 | 0,03542 | 0,03549 | 0,03556 | 0,03563 | 0,03570 | 0,03576 | 0,03583 | 0,03590 | 0,03597 | 0,03604 |
0,078 | 0,03611 | 0,03618 | 0,03625 | 0,03632 | 0,03639 | 0,03646 | 0,03652 | 0,03659 | 0,03666 | 0,03673 |
0,079 | 0,03680 | 0,03687 | 0,03694 | 0,03701 | 0,03708 | 0,03714 | 0,03721 | 0,03728 | 0,03735 | 0,03742 |
0,080 | 0,03749 | 0,03756 | 0,03763 | 0,03770 | 0,03777 | 0,03783 | 0,03790 | 0,03797 | 0,03804 | 0,03811 |
0,081 | 0,03818 | 0,03825 | 0,03832 | 0,03839 | 0,03846 | 0,03853 | 0,03861 | 0,03868 | 0,03875 | 0,03882 |
0,082 | 0,03889 | 0,03896 | 0,03903 | 0,03910 | 0,03917 | 0,03924 | 0,03932 | 0,03939 | 0,03946 | 0,03953 |
0,083 | 0,03960 | 0,03967 | 0,03974 | 0,03981 | 0,03988 | 0,03995 | 0,04003 | 0,04010 | 0,04017 | 0,04024 |
0,084 | 0,04031 | 0,04038 | 0,04045 | 0,04052 | 0,04059 | 0,04066 | 0,04074 | 0,04081 | 0,04088 | 0,04095 |
0,085 | 0,04102 | 0,04109 | 0,04116 | 0,04123 | 0,04130 | 0,04137 | 0,04145 | 0,04152 | 0,04159 | 0,04166 |
0,086 | 0,04173 | 0,04180 | 0,04187 | 0,04194 | 0,04201 | 0,04208 | 0,04216 | 0,04223 | 0,04230 | 0,04237 |
0,087 | 0,04244 | 0,04251 | 0,04258 | 0,04265 | 0,04272 | 0,04279 | 0,04287 | 0,04294 | 0,04301 | 0,04308 |
0,088 | 0,04315 | 0,04322 | 0,04329 | 0,04336 | 0,04343 | 0,04350 | 0,04358 | 0,04365 | 0,04372 | 0,04379 |
0,089 | 0,04386 | 0,04393 | 0,04400 | 0,04408 | 0,04415 | 0,04422 | 0,04429 | 0,04436 | 0,04444 | 0,04451 |
0,090 | 0,04458 | 0,04465 | 0,04472 | 0,04479 | 0,04486 | 0,04493 | 0,04501 | 0,04508 | 0,04515 | 0,04522 |
0,091 | 0,04529 | 0,04536 | 0,04544 | 0,04551 | 0,04558 | 0,04565 | 0,04573 | 0,04580 | 0,04587 | 0,04595 |
0,092 | 0,04602 | 0,04609 | 0,04617 | 0,04624 | 0,04632 | 0,04639 | 0,04646 | 0,04654 | 0,04661 | 0,04669 |
0,093 | 0,04676 | 0,04683 | 0,04691 | 0,04698 | 0,04705 | 0,04712 | 0,04720 | 0,04727 | 0,04734 | 0,04742 |
0,094 | 0,04749 | 0,04756 | 0,04764 | 0,04771 | 0,04779 | 0,04786 | 0,04793 | 0,04800 | 0,04807 | 0,04815 |
0,095 | 0,04822 | 0,04830 | 0,04837 | 0,04845 | 0,04852 | 0,04860 | 0,04867 | 0,04875 | 0,04882 | 0,04890 |
0,096 | 0,04897 | 0,04905 | 0,04912 | 0,04920 | 0,04927 | 0,04935 | 0,04942 | 0,04950 | 0,04957 | 0,04965 |
0,097 | 0,04972 | 0,04979 | 0,04987 | 0,04994 | 0,05002 | 0,05009 | 0,05017 | 0,05024 | 0,05032 | 0,05039 |
0,098 | 0,05047 | 0,05055 | 0,05062 | 0,05070 | 0,05077 | 0,05085 | 0,05093 | 0,05100 | 0,05108 | 0,05115 |
0,099 | 0,05123 | 0,05131 | 0,05138 | 0,05146 | 0,05154 | 0,05161 | 0,05169 | 0,05177 | 0,05185 | 0,05192 |
0,100 | 0,05200 | 0,05207 | 0,05216 | 0,05223 | 0,05231 | 0,05239 | 0,05247 | 0,05255 | 0,05262 | 0,05270 |
0,101 | 0,05278 | 0,05286 | 0,05294 | 0,05301 | 0,05309 | 0,05317 | 0,05325 | 0,05333 | 0,05340 | 0,05348 |
0,102 | 0,05356 | 0,05364 | 0,05372 | 0,05379 | 0,05387 | 0,05395 | 0,05403 | 0,05411 | 0,05418 | 0,05426 |
0,103 | 0,05434 | 0,05442 | 0,05450 | 0,05457 | 0,05465 | 0,05473 | 0,05481 | 0,05489 | 0,05496 | 0,05504 |
0,104 | 0,05512 | 0,05520 | 0,05528 | 0,05535 | 0,05543 | 0,05551 | 0,05559 | 0,05567 | 0,05574 | 0,05582 |
0,105 | 0,05590 | 0,05598 | 0,05606 | 0,05613 | 0,05621 | 0,05629 | 0,05637 | 0,05645 | 0,05652 | 0,05660 |
0,106 | 0,05668 | 0,05676 | 0,05684 | 0,05692 | 0,05700 | 0,05707 | 0,05715 | 0,05723 | 0,05731 | 0,05739 |
0,107 | 0,05747 | 0,05755 | 0,05763 | 0,05771 | 0,05779 | 0,05786 | 0,05794 | 0,05802 | 0,05810 | 0,05818 |
0,108 | 0,05826 | 0,05834 | 0,05842 | 0,05850 | 0,05858 | 0,05865 | 0,05873 | 0,05881 | 0,05889 | 0,05897 |
0,109 | 0,05905 | 0,05913 | 0,05921 | 0,05929 | 0,05937 | 0,05944 | 0,05952 | 0,05960 | 0,05968 | 0,05976 |
0,110 | 0,05984 | 0,05992 | 0,06000 | 0,06008 | 0,06016 | 0,06023 | 0,06031 | 0,06039 | 0,06047 | 0,06055 |
0,111 | 0,06063 | 0,06071 | 0,06079 | 0,06087 | 0,06095 | 0,06102 | 0,06110 | 0,06118 | 0,06126 | 0,06134 |
0,112 | 0,06142 | 0,06150 | 0,06158 | 0,06166 | 0,06174 | 0,06181 | 0,06189 | 0,06197 | 0,06205 | 0,06213 |
0,113 | 0,06221 | 0,06229 | 0,06237 | 0,06246 | 0,06254 | 0,06262 | 0,06270 | 0,06278 | 0,06287 | 0,06295 |
0,114 | 0,06303 | 0,06311 | 0,06319 | 0,06327 | 0,06335 | 0,06343 | 0,06352 | 0,06360 | 0,06368 | 0,06376 |
0,115 | 0,06384 | 0,06392 | 0,06400 | 0,06408 | 0,06416 | 0,06424 | 0,06433 | 0,06441 | 0,06449 | 0,06457 |
0,116 | 0,06465 | 0,06473 | 0,06482 | 0,06490 | 0,06498 | 0,06506 | 0,06515 | 0,06523 | 0,06531 | 0,06540 |
0,117 | 0,06548 | 0,06556 | 0,06565 | 0,06573 | 0,06581 | 0,06589 | 0,06598 | 0,06606 | 0,06614 | 0,06623 |
0,118 | 0,06631 | 0,06639 | 0,06648 | 0,06656 | 0,06664 | 0,06672 | 0,06681 | 0,06689 | 0,06697 | 0,06706 |
0,119 | 0,06714 | 0,06722 | 0,06730 | 0,06739 | 0,06747 | 0,06755 | 0,06763 | 0,06771 | 0,06780 | 0,06788 |
0,120 | 0,06796 | 0,06804 | 0,06813 | 0,06821 | 0,06830 | 0,06838 | 0,06846 | 0,06855 | 0,06863 | 0,06872 |
0,121 | 0,06880 | 0,06888 | 0,06897 | 0,06905 | 0,06913 | 0,06921 | 0,06930 | 0,06938 | 0,06946 | 0,06955 |
0,122 | 0,06963 | 0,06971 | 0,06980 | 0,06988 | 0,06996 | 0,07004 | 0,07013 | 0,07021 | 0,07029 | 0,07038 |
0,123 | 0,07046 | 0,07054 | 0,07063 | 0,07071 | 0,07080 | 0,07088 | 0,07097 | 0,07105 | 0,07114 | 0,07122 |
0,124 | 0,07131 | 0,07139 | 0,07148 | 0,07156 | 0,07165 | 0,07173 | 0,07182 | 0,07190 | 0,07199 | 0,07207 |
0,125 | 0,07216 | 0,07224 | 0,07233 | 0,07241 | 0,07249 | 0,07257 | 0,07266 | 0,07274 | 0,07282 | 0,07291 |
0,126 | 0,07299 | 0,07307 | 0,07316 | 0,07324 | 0,07332 | 0,07340 | 0,07349 | 0,07357 | 0,07365 | 0,07374 |
0,127 | 0,07382 | 0,07390 | 0,07399 | 0,07407 | 0,07416 | 0,07424 | 0,07432 | 0,07441 | 0,07449 | 0,07458 |
0,128 | 0,07466 | 0,07475 | 0,07483 | 0,07492 | 0,07500 | 0,07509 | 0,07518 | 0,07526 | 0,07535 | 0,07543 |
0,129 | 0,07552 | 0,07561 | 0,07569 | 0,07578 | 0,07586 | 0,07595 | 0,07604 | 0,07612 | 0,07621 | 0,07629 |
0,130 | 0,07638 | 0,07647 | 0,07656 | 0,07664 | 0,07673 | 0,07682 | 0,07691 | 0,07700 | 0,07708 | 0,07717 |
0,131 | 0,07726 | 0,07735 | 0,07743 | 0,07752 | 0,07760 | 0,07769 | 0,07778 | 0,07786 | 0,07795 | 0,07803 |
0,132 | 0,07812 | 0,07821 | 0,07829 | 0,07838 | 0,07846 | 0,07855 | 0,07864 | 0,07872 | 0,07881 | 0,07889 |
0,133 | 0,07898 | 0,07907 | 0,07915 | 0,07924 | 0,07933 | 0,07941 | 0,07950 | 0,07959 | 0,07968 | 0,07976 |
0,134 | 0,07985 | 0,07994 | 0,08002 | 0,08011 | 0,08020 | 0,08028 | 0,08037 | 0,08046 | 0,08055 | 0,08063 |
0,135 | 0,08072 | 0,08081 | 0,08089 | 0,08098 | 0,08107 | 0,08115 | 0,08124 | 0,08133 | 0,08142 | 0,08150 |
0,136 | 0,08159 | 0,08168 | 0,08176 | 0,08185 | 0,08194 | 0,08202 | 0,08211 | 0,08220 | 0,08229 | 0,08237 |
0,137 | 0,08216 | 0,08255 | 0,08263 | 0,08272 | 0,08280 | 0,08289 | 0,08298 | 0,08306 | 0,08315 | 0,08323 |
0,138 | 0,08332 | 0,08341 | 0,08349 | 0,08358 | 0,08366 | 0,08375 | 0,08384 | 0,08392 | 0,08401 | 0,08409 |
0,139 | 0,08418 | 0,08427 | 0,08436 | 0,08445 | 0,08454 | 0,08463 | 0,08472 | 0,08481 | 0,08490 | 0,08499 |
0,140 | 0,08508 | 0,08517 | 0,08526 | 0,08535 | 0,08544 | 0,08553 | 0,08562 | 0,08571 | 0,08580 | 0,08589 |
0,141 | 0,08598 | 0,08607 | 0,08616 | 0,08625 | 0,08634 | 0,08643 | 0,08652 | 0,08661 | 0,08670 | 0,08679 |
0,142 | 0,08688 | 0,08697 | 0,08706 | 0,08715 | 0,08724 | 0,08733 | 0,08742 | 0,08751 | 0,08760 | 0,08769 |
0,143 | 0,08778 | 0,08787 | 0,08796 | 0,08804 | 0,08813 | 0,08822 | 0,08831 | 0,08840 | 0,08848 | 0,08857 |
0,144 | 0,08866 | 0,08875 | 0,08884 | 0,08893 | 0,08902 | 0,08910 | 0,08920 | 0,08928 | 0,08937 | 0,08946 |
0,145 | 0,08955 | 0,08964 | 0,08973 | 0,08982 | 0,08991 | 0,08999 | 0,09008 | 0,09017 | 0,09026 | 0,09035 |
0,146 | 0,09044 | 0,09053 | 0,09062 | 0,09071 | 0,09080 | 0,09089 | 0,09098 | 0,09107 | 0,09116 | 0,09125 |
0,147 | 0,09134 | 0,09143 | 0,09152 | 0,09161 | 0,09170 | 0,09179 | 0,09188 | 0,09197 | 0,09206 | 0,09215 |
0,148 | 0,09224 | 0,09233 | 0,09242 | 0,09251 | 0,09260 | 0,09269 | 0,09278 | 0,09287 | 0,09296 | 0,09305 |
0,149 | 0,09314 | 0,09323 | 0,09332 | 0,09342 | 0,09351 | 0,09360 | 0,09369 | 0,09378 | 0,09388 | 0,09397 |
0,150 | 0,09406 | 0,09415 | 0,09424 | 0,09434 | 0,09443 | 0,09452 | 0,09461 | 0,09470 | 0,09480 | 0,09489 |
0,151 | 0,09498 | 0,09507 | 0,09516 | 0,09526 | 0,09535 | 0,09544 | 0,09553 | 0,09562 | 0,09572 | 0,09581 |
0,152 | 0,09590 | 0,09599 | 0,09608 | 0,09618 | 0,09627 | 0,09636 | 0,09645 | 0,09654 | 0,09664 | 0,09673 |
0,153 | 0,09682 | 0,09691 | 0,09700 | 0,09710 | 0,09719 | 0,09728 | 0,09737 | 0,09746 | 0,09756 | 0,09765 |
0,154 | 0,09774 | 0,09783 | 0,09792 | 0,09802 | 0,09811 | 0,09820 | 0,09829 | 0,09838 | 0,09848 | 0,09857 |
0,155 | 0,09866 | 0,09875 | 0,09884 | 0,09894 | 0,09903 | 0,09912 | 0,09921 | 0,09930 | 0,09940 | 0,09949 |
0,156 | 0,09958 | 0,09967 | 0,09976 | 0,09986 | 0,09995 | 0,10004 | 0,10013 | 0,10022 | 0,10032 | 0,10041 |
0,157 | 0,10050 | 0,10059 | 0,10068 | 0,10078 | 0,10087 | 0,10096 | 0,10105 | 0,10114 | 0,10124 | 0,10133 |
0,158 | 0,10142 | 0,10151 | 0,10160 | 0,10170 | 0,10179 | 0,10188 | 0,10197 | 0,10206 | 0,10216 | 0,10225 |
0,159 | 0,10234 | 0,10243 | 0,10253 | 0,10262 | 0,10271 | 0,10280 | 0,10290 | 0,10299 | 0,10308 | 0,10318 |
0,160 | 0,10327 | 0,10336 | 0,10346 | 0,10355 | 0,10364 | 0,10373 | 0,10383 | 0,10392 | 0,10401 | 0,10411 |
0,161 | 0,10420 | 0,10429 | 0,10439 | 0,10448 | 0,10458 | 0,10467 | 0,10477 | 0,10486 | 0,10496 | 0,10505 |
0,162 | 0,10515 | 0,10524 | 0,10534 | 0,10543 | 0,10553 | 0,10562 | 0,10571 | 0,10581 | 0,10590 | 0,10600 |
0,163 | 0,10609 | 0,10618 | 0,10628 | 0,10637 | 0,10647 | 0,10656 | 0,10666 | 0,10675 | 0,10685 | 0,10694 |
0,164 | 0,10704 | 0,10713 | 0,10723 | 0,10732 | 0,10742 | 0,10751 | 0,10760 | 0,10770 | 0,10779 | 0,10789 |
0,165 | 0,10798 | 0,10807 | 0,10817 | 0,10826 | 0,10835 | 0,10845 | 0,10854 | 0,10863 | 0,10872 | 0,10882 |
0,166 | 0,10891 | 0,10900 | 0,10910 | 0,10919 | 0,10929 | 0,10938 | 0,10948 | 0,10957 | 0,10967 | 0,10976 |
0,167 | 0,10986 | 0,10995 | 0,11005 | 0,11014 | 0,11024 | 0,11033 | 0,11043 | 0,11052 | 0,11062 | 0,11071 |
0,168 | 0,11081 | 0,11090 | 0,11110 | 0,11109 | 0,11119 | 0,11128 | 0,11138 | 0,11147 | 0,11167 | 0,11166 |
0,169 | 0,11176 | 0,11186 | 0,11195 | 0,11205 | 0,11214 | 0,11224 | 0,11233 | 0,11243 | 0,11253 | 0,11262 |
0,170 | 0,11272 | 0,11282 | 0,11291 | 0,11301 | 0,11311 | 0,11320 | 0,11330 | 0,11340 | 0,11350 | 0,11359 |
0,171 | 0,11369 | 0,11379 | 0,11388 | 0,11398 | 0,11408 | 0,11417 | 0,11427 | 0,11437 | 0,11447 | 0,11456 |
0,172 | 0,11466 | 0,11475 | 0,11485 | 0,11494 | 0,11504 | 0,11513 | 0,11523 | 0,11532 | 0,11542 | 0,11551 |
0,173 | 0,11561 | 0,11570 | 0,11580 | 0,11589 | 0,11599 | 0,11608 | 0,11618 | 0,11627 | 0,11637 | 0,11646 |
0,174 | 0,11656 | 0,11665 | 0,11675 | 0,11684 | 0,11694 | 0,11703 | 0,11713 | 0,11722 | 0,11732 | 0,11741 |
0,175 | 0,11751 | 0,11760 | 0,11770 | 0,11779 | 0,11789 | 0,11798 | 0,11808 | 0,11817 | 0,11827 | 0,11836 |
0,176 | 0,11846 | 0,11855 | 0,11865 | 0,11874 | 0,11884 | 0,11893 | 0,11903 | 0,11912 | 0,11922 | 0,11931 |
0,177 | 0,11941 | 0,11951 | 0,11961 | 0,11970 | 0,11980 | 0,11990 | 0,12000 | 0,12010 | 0,12019 | 0,12029 |
0,178 | 0,12039 | 0,12049 | 0,12059 | 0,12068 | 0,12078 | 0,12088 | 0,12098 | 0,12108 | 0,12117 | 0,12127 |
0,179 | 0,12137 | 0,12147 | 0,12157 | 0,12167 | 0,12177 | 0,12186 | 0,12196 | 0,12206 | 0,12216 | 0,12226 |
0,180 | 0,12236 | 0,12246 | 0,12256 | 0,12266 | 0,12276 | 0,12286 | 0,12297 | 0,12307 | 0,12317 | 0,12327 |
0,181 | 0,12337 | 0,12347 | 0,12357 | 0,12367 | 0,12377 | 0,12387 | 0,12397 | 0,12407 | 0,12417 | 0,12427 |
0,182 | 0,12437 | 0,12447 | 0,12457 | 0,12466 | 0,12476 | 0,12486 | 0,12496 | 0,12506 | 0,12515 | 0,12525 |
0,183 | 0,12535 | 0,12545 | 0,12555 | 0,12564 | 0,12574 | 0,12584 | 0,12594 | 0,12604 | 0,12613 | 0,12623 |
0,184 | 0,12633 | 0,12643 | 0,12653 | 0,12662 | 0,12672 | 0,12682 | 0,12692 | 0,12702 | 0,12711 | 0,12721 |
0,185 | 0,12731 | 0,12741 | 0,12751 | 0,12761 | 0,12771 | 0,12780 | 0,12790 | 0,12800 | 0,12810 | 0,12820 |
0,186 | 0,12830 | 0,12840 | 0,12850 | 0,12860 | 0,12870 | 0,12880 | 0,12890 | 0,12900 | 0,12910 | 0,12920 |
0,187 | 0,12930 | 0,12940 | 0,12950 | 0,12960 | 0,12970 | 0,12980 | 0,12990 | 0,13000 | 0,13010 | 0,13020 |
0,188 | 0,13030 | 0,13040 | 0,13050 | 0,13060 | 0,13070 | 0,13079 | 0,13089 | 0,13099 | 0,13109 | 0,13119 |
0,189 | 0,13129 | 0,13139 | 0,13149 | 0,13159 | 0,13169 | 0,13179 | 0,13189 | 0,13199 | 0,13209 | 0,13219 |
0,190 | 0,13229 | 0,13239 | 0,13249 | 0,13260 | 0,13270 | 0,13280 | 0,13290 | 0,13300 | 0,13311 | 0,13321 |
0,191 | 0,13330 | 0,13341 | 0,13351 | 0,13361 | 0,13371 | 0,13381 | 0,13391 | 0,13401 | 0,13411 | 0,13421 |
0,192 | 0,13431 | 0,13441 | 0,13451 | 0,13461 | 0,13471 | 0,13481 | 0,13491 | 0,13501 | 0,13511 | 0,13521 |
0,193 | 0,13531 | 0,13541 | 0,13551 | 0,13561 | 0,13571 | 0,13581 | 0,13592 | 0,13602 | 0,13612 | 0,13622 |
0,194 | 0,13632 | 0,13642 | 0,13652 | 0,13662 | 0,13672 | 0,13682 | 0,13693 | 0,13703 | 0,13713 | 0,13723 |
0,195 | 0,13733 | 0,13743 | 0,13753 | 0,13763 | 0,13773 | 0,13783 | 0,13794 | 0,13804 | 0,13814 | 0,13824 |
0,196 | 0,13834 | 0,13844 | 0,13854 | 0,13864 | 0,13874 | 0,13884 | 0,13894 | 0,13904 | 0,13914 | 0,13924 |
0,197 | 0,13934 | 0,13944 | 0,13954 | 0,13964 | 0,13974 | 0,13984 | 0,13994 | 0,14004 | 0,14014 | 0,14024 |
0,198 | 0,14034 | 0,14044 | 0,14054 | 0,14064 | 0,14074 | 0,14084 | 0,14095 | 0,14105 | 0,14115 | 0,14125 |
0,199 | 0,14135 | 0,14144 | 0,14155 | 0,14166 | 0,14176 | 0,14186 | 0,14196 | 0,14206 | 0,14217 | 0,14227 |
0,200 | 0,14237 | 0,14247 | 0,14257 | 0,14268 | 0,14278 | 0,14288 | 0,14298 | 0,14308 | 0,14319 | 0,14329 |
0,201 | 0,14339 | 0,14349 | 0,14359 | 0,14370 | 0,14380 | 0,14390 | 0,14400 | 0,14410 | 0,14421 | 0,14431 |
0,202 | 0,14441 | 0,14451 | 0,14461 | 0,14472 | 0,14482 | 0,14492 | 0,14502 | 0,14512 | 0,14523 | 0,14533 |
0,203 | 0,14543 | 0,14553 | 0,14564 | 0,14574 | 0,14584 | 0,14594 | 0,14605 | 0,14615 | 0,14625 | 0,14636 |
0,204 | 0,14646 | 0,14656 | 0,14667 | 0,14677 | 0,14687 | 0,14697 | 0,14708 | 0,14718 | 0,14728 | 0,14739 |
0,205 | 0,14749 | 0,14759 | 0,14770 | 0,14780 | 0,14791 | 0,14801 | 0,14811 | 0,14822 | 0,14832 | 0,14843 |
0,206 | 0,14853 | 0,14863 | 0,14874 | 0,14884 | 0,14894 | 0,14904 | 0,14915 | 0,14925 | 0,14935 | 0,14946 |
0,207 | 0,14956 | 0,14966 | 0,14977 | 0,14987 | 0,14997 | 0,15007 | 0,15018 | 0,15023 | 0,15038 | 0,15049 |
0,208 | 0,15059 | 0,15069 | 0,15080 | 0,15090 | 0,15101 | 0,15111 | 0,15121 | 0,15132 | 0,15142 | 0,15153 |
0,209 | 0,15163 | 0,15173 | 0,15184 | 0,15194 | 0,15204 | 0,15214 | 0,15225 | 0,15235 | 0,15245 | 0,15256 |
0,210 | 0,15266 | 0,15276 | 0,15287 | 0,15297 | 0,15308 | 0,15318 | 0,15328 | 0,15339 | 0,15349 | 0,15360 |
0,211 | 0,15370 | 0,15380 | 0,15391 | 0,15401 | 0,15412 | 0,15422 | 0,15432 | 0,15443 | 0,15453 | 0,15464 |
0,212 | 0,15474 | 0,15484 | 0,15495 | 0,15505 | 0,15516 | 0,15526 | 0,15537 | 0,15547 | 0,15558 | 0,15568 |
0,213 | 0,15579 | 0,15589 | 0,15600 | 0,15610 | 0,15621 | 0,15631 | 0,15641 | 0,15652 | 0,15662 | 0,15673 |
0,214 | 0,15683 | 0,15693 | 0,15704 | 0,15714 | 0,15725 | 0,15735 | 0,15745 | 0,15756 | 0,15766 | 0,15777 |
0,215 | 0,15787 | 0,15797 | 0,15808 | 0,15818 | 0,15829 | 0,15839 | 0,15850 | 0,15860 | 0,15871 | 0,15881 |
0,216 | 0,15892 | 0,15902 | 0,15913 | 0,15923 | 0,15934 | 0,15944 | 0,15954 | 0,15965 | 0,15975 | 0,15986 |
0,217 | 0,15996 | 0,16006 | 0,16017 | 0,16027 | 0,16038 | 0,16048 | 0,16059 | 0,16069 | 0,16080 | 0,16090 |
0,218 | 0,16101 | 0,16111 | 0,16122 | 0,16132 | 0,16143 | 0,16153 | 0,16164 | 0,16174 | 0,16185 | 0,16195 |
0,219 | 0,16206 | 0,16217 | 0,16227 | 0,16238 | 0,16248 | 0,16259 | 0,16270 | 0,16280 | 0,16291 | 0,16301 |
0,220 | 0,16312 | 0,16322 | 0,16333 | 0,16343 | 0,16354 | 0,16364 | 0,16375 | 0,16385 | 0,16396 | 0,16406 |
0,221 | 0,16417 | 0,16427 | 0,16438 | 0,16448 | 0,16459 | 0,16469 | 0,16480 | 0,16490 | 0,16501 | 0,16511 |
0,222 | 0,16522 | 0,16533 | 0,16543 | 0,16554 | 0,16564 | 0,16575 | 0,16586 | 0,16596 | 0,16607 | 0,16617 |
0,223 | 0,16628 | 0,16638 | 0,16649 | 0,16659 | 0,16670 | 0,16680 | 0,16691 | 0,16701 | 0,16712 | 0,16722 |
0,224 | 0,16733 | 0,16744 | 0,16754 | 0,16765 | 0,16775 | 0,16786 | 0,16797 | 0,16807 | 0,16818 | 0,16828 |
0,225 | 0,16839 | 0,16850 | 0,16860 | 0,16871 | 0,16881 | 0,16892 | 0,16903 | 0,16913 | 0,16924 | 0,16934 |
0,226 | 0,16945 | 0,16956 | 0,16966 | 0,16977 | 0,16987 | 0,16998 | 0,17009 | 0,17019 | 0,17030 | 0,17040 |
0,227 | 0,17051 | 0,17062 | 0,17073 | 0,17083 | 0,17094 | 0,17105 | 0,17116 | 0,17127 | 0,17137 | 0,17148 |
0,228 | 0,17159 | 0,17170 | 0,17180 | 0,17191 | 0,17202 | 0,17212 | 0,17223 | 0,17234 | 0,17245 | 0,17256 |
0,229 | 0,17266 | 0,17277 | 0,17288 | 0,17299 | 0,17310 | 0,17320 | 0,17331 | 0,17342 | 0,17354 | 0,17364 |
0,230 | 0,17375 | 0,17386 | 0,17396 | 0,17407 | 0,17418 | 0,17428 | 0,17439 | 0,17450 | 0,17461 | 0,17471 |
0,231 | 0,17482 | 0,17493 | 0,17503 | 0,17514 | 0,17525 | 0,17535 | 0,17546 | 0,17557 | 0,17568 | 0,17578 |
0,232 | 0,17589 | 0,17600 | 0,17610 | 0,17621 | 0,17632 | 0,17642 | 0,17653 | 0,17664 | 0,17675 | 0,17685 |
0,233 | 0,17696 | 0,17707 | 0,17718 | 0,17728 | 0,17739 | 0,17750 | 0,17761 | 0,17772 | 0,17782 | 0,17793 |
0,234 | 0,17804 | 0,17815 | 0,17826 | 0,17836 | 0,17847 | 0,17858 | 0,17869 | 0,17880 | 0,17890 | 0,17901 |
0,235 | 0,17912 | 0,17923 | 0,17934 | 0,17944 | 0,17955 | 0,17966 | 0,17977 | 0,17988 | 0,17998 | 0,18009 |
0,236 | 0,18020 | 0,18031 | 0,18042 | 0,18052 | 0,18063 | 0,18074 | 0,18085 | 0,18096 | 0,18106 | 0,18117 |
0,237 | 0,18128 | 0,18139 | 0,18150 | 0,18160 | 0,18171 | 0,18182 | 0,18193 | 0,18204 | 0,18214 | 0,18225 |
0,238 | 0,18236 | 0,18247 | 0,18258 | 0,18269 | 0,18280 | 0,18291 | 0,18302 | 0,18313 | 0,18324 | 0,18335 |
0,239 | 0,18346 | 0,18357 | 0,18368 | 0,18379 | 0,18390 | 0,18401 | 0,18412 | 0,18423 | 0,18434 | 0,18445 |
0,240 | 0,18456 | 0,18467 | 0,18478 | 0,18489 | 0,18500 | 0,18510 | 0,18521 | 0,18532 | 0,18543 | 0,18554 |
0,241 | 0,18565 | 0,18576 | 0,18586 | 0,18597 | 0,18608 | 0,18618 | 0,18629 | 0,18640 | 0,18651 | 0,18661 |
0,242 | 0,18672 | 0,18683 | 0,18694 | 0,18704 | 0,18715 | 0,18726 | 0,18737 | 0,18748 | 0,18758 | 0,18769 |
0,243 | 0,18780 | 0,18791 | 0,18802 | 0,18813 | 0,18824 | 0,18834 | 0,18845 | 0,18856 | 0,18867 | 0,18878 |
0,244 | 0,18899 | 0,18900 | 0,18911 | 0,18922 | 0,18933 | 0,18943 | 0,18954 | 0,18965 | 0,18976 | 0,18987 |
0,245 | 0,18998 | 0,19009 | 0,19020 | 0,19031 | 0,19042 | 0,19053 | 0,19064 | 0,19075 | 0,19086 | 0,19097 |
0,246 | 0,19108 | 0,19119 | 0,19130 | 0,19141 | 0,19152 | 0,19163 | 0,19174 | 0,19185 | 0,19196 | 0,19207 |
0,247 | 0,19218 | 0,19229 | 0,19240 | 0,19251 | 0,19262 | 0,19273 | 0,19284 | 0,19295 | 0,19306 | 0,19317 |
0,248 | 0,19328 | 0,19339 | 0,19350 | 0,19361 | 0,19372 | 0,19383 | 0,19395 | 0,19406 | 0,19417 | 0,19428 |
0,249 | 0,19439 | 0,19450 | 0,19461 | 0,19472 | 0,19483 | 0,19494 | 0,19506 | 0,19517 | 0,19528 | 0,19539 |
0,250 | 0,19550 | 0,19561 | 0,19572 | 0,19583 | 0,19594 | 0,19605 | 0,19616 | 0,19627 | 0,19638 | 0,19649 |
0,251 | 0,19660 | 0,19671 | 0,19682 | 0,19693 | 0,19704 | 0,19715 | 0,19726 | 0,19737 | 0,19748 | 0,19759 |
0,252 | 0,19770 | 0,19781 | 0,19792 | 0,19803 | 0,19814 | 0,19825 | 0,19836 | 0,19847 | 0,19858 | 0,19869 |
0,253 | 0,19880 | 0,19891 | 0,19902 | 0,19913 | 0,19924 | 0,19935 | 0,19947 | 0,19958 | 0,19969 | 0,19980 |
0,254 | 0,19991 | 0,20002 | 0,20013 | 0,20024 | 0,20035 | 0,20047 | 0,20058 | 0,20069 | 0,20080 | 0,20091 |
0,255 | 0,20102 | 0,20113 | 0,20124 | 0,20135 | 0,20146 | 0,20157 | 0,20168 | 0,20179 | 0,20191 | 0,20202 |
0,256 | 0,20213 | 0,20224 | 0,20235 | 0,20247 | 0,20258 | 0,20269 | 0,20280 | 0,20291 | 0,20303 | 0,20314 |
0,257 | 0,20325 | 0,20336 | 0,20347 | 0,20359 | 0,20370 | 0,20381 | 0,20392 | 0,20403 | 0,20415 | 0,20426 |
0,258 | 0,20437 | 0,20448 | 0,20459 | 0,20471 | 0,20481 | 0,20493 | 0,20504 | 0,20515 | 0,20527 | 0,20538 |
0,259 | 0,20549 | 0,20560 | 0,20571 | 0,20583 | 0,20594 | 0,20605 | 0,20616 | 0,20627 | 0,20639 | 0,20650 |
0,260 | 0,20661 | 0,20672 | 0,20683 | 0,20695 | 0,20706 | 0,20717 | 0,20728 | 0,20739 | 0,20751 | 0,20762 |
0,261 | 0,20773 | 0,20784 | 0,20796 | 0,20807 | 0,20818 | 0,20829 | 0,20841 | 0,20852 | 0,20863 | 0,20875 |
0,262 | 0,20886 | 0,20897 | 0,20908 | 0,20920 | 0,20931 | 0,20942 | 0,20953 | 0,20964 | 0,20976 | 0,20987 |
0,263 | 0,20998 | 0,21009 | 0,21020 | 0,21032 | 0,21043 | 0,21054 | 0,21065 | 0,21076 | 0,21088 | 0,21099 |
0,264 | 0,21110 | 0,21121 | 0,21132 | 0,21144 | 0,21155 | 0,21166 | 0,21177 | 0,21188 | 0,21200 | 0,21211 |
0,265 | 0,21222 | 0,21233 | 0,21244 | 0,21256 | 0,21267 | 0,21278 | 0,21289 | 0,21300 | 0,21312 | 0,21323 |
0,266 | 0,21334 | 0,21345 | 0,21356 | 0,21368 | 0,21379 | 0,21390 | 0,21401 | 0,21412 | 0,21424 | 0,21435 |
0,267 | 0,21446 | 0,21457 | 0,21468 | 0,21480 | 0,21491 | 0,21502 | 0,21513 | 0,21524 | 0,21536 | 0,21547 |
0,268 | 0,21558 | 0,21569 | 0,21580 | 0,21592 | 0,21603 | 0,21614 | 0,21625 | 0,21636 | 0,21648 | 0,21659 |
0,269 | 0,21670 | 0,21681 | 0,21693 | 0,21704 | 0,21715 | 0,21726 | 0,21738 | 0,21749 | 0,21760 | 0,21772 |
0,270 | 0,21783 | 0,31794 | 0,21806 | 0,21817 | 0,21828 | 0,21840 | 0,21851 | 0,21862 | 0,21873 | 0,21885 |
0,271 | 0,21896 | 0,21907 | 0,21919 | 0,21930 | 0,21942 | 0,21953 | 0,21964 | 0,21976 | 0,21987 | 0,21999 |
0,272 | 0,22010 | 0,22021 | 0,22033 | 0,22044 | 0,22056 | 0,22067 | 0,22078 | 0,22090 | 0,22101 | 0,22113 |
0,273 | 0,22124 | 0,22135 | 0,22147 | 0,22158 | 0,22170 | 0,22181 | 0,22192 | 0,22204 | 0,22215 | 0,22227 |
0,274 | 0,22238 | 0,22249 | 0,22261 | 0,22272 | 0,22284 | 0,22295 | 0,22306 | 0,22318 | 0,22329 | 0,22341 |
0,275 | 0,22352 | 0,22363 | 0,22375 | 0,22386 | 0,22398 | 0,22409 | 0,22420 | 0,22432 | 0,22443 | 0,22455 |
0,276 | 0,22466 | 0,22477 | 0,22489 | 0,22500 | 0,22511 | 0,22522 | 0,22534 | 0,22545 | 0,22556 | 0,22568 |
0,277 | 0,22579 | 0,22590 | 0,22602 | 0,22613 | 0,22625 | 0,22636 | 0,22647 | 0,22659 | 0,22670 | 0,22682 |
0,278 | 0,22693 | 0,22704 | 0,22716 | 0,22727 | 0,22739 | 0,22750 | 0,22761 | 0,22773 | 0,22784 | 0,22796 |
0,279 | 0,22807 | 0,22818 | 0,22830 | 0,22841 | 0,22853 | 0,22864 | 0,22876 | 0,22887 | 0,22899 | 0,22910 |
0,280 | 0,22922 | 0,22933 | 0,22945 | 0,22956 | 0,22968 | 0,22979 | 0,22991 | 0,23002 | 0,23014 | 0,22025 |
0,281 | 0,23037 | 0,23048 | 0,23060 | 0,23071 | 0,23083 | 0,23094 | 0,23105 | 0,23117 | 0,23128 | 0,23140 |
0,282 | 0,23151 | 0,23162 | 0,23174 | 0,23185 | 0,23197 | 0,23208 | 0,23219 | 0,23231 | 0,23242 | 0,23254 |
0,283 | 0,23265 | 0,23276 | 0,23288 | 0,23299 | 0,23311 | 0,23322 | 0,23333 | 0,23345 | 0,23356 | 0,23368 |
0,284 | 0,23379 | 0,23390 | 0,23402 | 0,23413 | 0,23425 | 0,23436 | 0,23447 | 0,23459 | 0,23470 | 0,23482 |
0,285 | 0,23493 | 0,23504 | 0,23516 | 0,23527 | 0,23539 | 0,23550 | 0,23562 | 0,23573 | 0,23585 | 0,23596 |
0,286 | 0,23608 | 0,23619 | 0,23631 | 0,23642 | 0,23654 | 0,23665 | 0,23677 | 0,23688 | 0,23700 | 0,23711 |
0,287 | 0,23723 | 0,23735 | 0,23746 | 0,23758 | 0,23769 | 0,23781 | 0,23792 | 0,23804 | 0,23815 | 0,22827 |
0,288 | 0,23838 | 0,23850 | 0,23861 | 0,23873 | 0,23884 | 0,23896 | 0,23908 | 0,23919 | 0,23931 | 0,23942 |
0,289 | 0,23954 | 0,23966 | 0,23977 | 0,23989 | 0,24000 | 0,24012 | 0,24024 | 0,24035 | 0,24047 | 0,24058 |
0,290 | 0,24070 | 0,24082 | 0,24093 | 0,24105 | 0,24116 | 0,24128 | 0,24140 | 0,24151 | 0,24163 | 0,24174 |
0,291 | 0,24186 | 0,24198 | 0,24209 | 0,24221 | 0,24232 | 0,24244 | 0,24256 | 0,24267 | 0,24279 | 0,24290 |
0,292 | 0,24302 | 0,24314 | 0,24325 | 0,24337 | 0,24348 | 0,24360 | 0,24372 | 0,24383 | 0,24395 | 0,24406 |
0,293 | 0,24418 | 0,24429 | 0,24441 | 0,24452 | 0,24464 | 0,24475 | 0,24487 | 0,24498 | 0,24510 | 0,24521 |
0,294 | 0,24533 | 0,24544 | 0,24556 | 0,24567 | 0,24579 | 0,24590 | 0,24602 | 0,24613 | 0,24625 | 0,24636 |
0,295 | 0,24648 | 0,24660 | 0,24671 | 0,24683 | 0,24694 | 0,24706 | 0,24718 | 0,24729 | 0,24741 | 0,24752 |
0,296 | 0,24764 | 0,24776 | 0,24787 | 0,24799 | 0,24810 | 0,24822 | 0,24834 | 0,24845 | 0,24857 | 0,24868 |
0,297 | 0,24880 | 0,24891 | 0,24903 | 0,24914 | 0,24926 | 0,24937 | 0,24949 | 0,24960 | 0,24972 | 0,24983 |
0,298 | 0,24995 | 0,25006 | 0,25018 | 0,25029 | 0,25041 | 0,25052 | 0,25064 | 0,25075 | 0,25087 | 0,25098 |
0,299 | 0,25110 | 0,25121 | 0,25133 | 0,25144 | 0,25156 | 0,25167 | 0,25179 | 0,25190 | 0,25202 | 0,25213 |
0,300 | 0,25225 | 0,25236 | 0,25248 | 0,25259 | 0,25271 | 0,25282 | 0,25294 | 0,25306 | 0,25317 | 0,25328 |
0,301 | 0,25340 | 0,25352 | 0,25364 | 0,25375 | 0,25387 | 0,25399 | 0,25411 | 0,25423 | 0,25434 | 0,25446 |
0,302 | 0,25458 | 0,25470 | 0,25481 | 0,25493 | 0,25505 | 0,25517 | 0,25529 | 0,25540 | 0,25552 | 0,25564 |
0,303 | 0,25576 | 0,25588 | 0,25600 | 0,25612 | 0,25624 | 0,25636 | 0,25647 | 0,25659 | 0,25671 | 0,25683 |
0,304 | 0,25695 | 0,25707 | 0,25719 | 0,25731 | 0,25743 | 0,25755 | 0,25767 | 0,25779 | 0,25791 | 0,25803 |
0,305 | 0,25815 | 0,25827 | 0,25839 | 0,25850 | 0,25862 | 0,25874 | 0,25886 | 0,25898 | 0,25909 | 0,25921 |
0,306 | 0,25933 | 0,25945 | 0,25957 | 0,25968 | 0,25980 | 0,25992 | 0,26004 | 0,26016 | 0,26027 | 0,26039 |
0,307 | 0,26051 | 0,26063 | 0,26075 | 0,26086 | 0,26098 | 0,26110 | 0,26122 | 0,26134 | 0,26145 | 0,26157 |
0,308 | 0,26169 | 0,26181 | 0,26193 | 0,26204 | 0,26216 | 0,26228 | 0,26240 | 0,26252 | 0,26263 | 0,26275 |
0,309 | 0,26287 | 0,26299 | 0,26311 | 0,26322 | 0,26334 | 0,26346 | 0,26358 | 0,26370 | 0,26381 | 0,26393 |
0,310 | 0,26405 | 0,26417 | 0,26429 | 0,26440 | 0,26452 | 0,26464 | 0,26476 | 0,26488 | 0,26499 | 0,26511 |
0,311 | 0,26523 | 0,26535 | 0,26547 | 0,26558 | 0,26570 | 0,26582 | 0,26594 | 0,26606 | 0,26617 | 0,26629 |
0,312 | 0,26641 | 0,26653 | 0,26665 | 0,26676 | 0,26688 | 0,26700 | 0,26712 | 0,26724 | 0,26735 | 0,26747 |
0,313 | 0,26759 | 0,26771 | 0,26783 | 0,26794 | 0,26806 | 0,26818 | 0,26830 | 0,26842 | 0,26853 | 0,26865 |
0,314 | 0,26877 | 0,26889 | 0,26901 | 0,26912 | 0,26924 | 0,26936 | 0,26948 | 0,26960 | 0,26971 | 0,26983 |
0,315 | 0,26995 | 0,27007 | 0,27019 | 0,27030 | 0,27042 | 0,27054 | 0,27066 | 0,27078 | 0,27089 | 0,27101 |
0,316 | 0,27113 | 0,27125 | 0,27137 | 0,27148 | 0,27160 | 0,27172 | 0,27184 | 0,27196 | 0,27207 | 0,27219 |
0,317 | 0,27231 | 0,27243 | 0,27255 | 0,27267 | 0,27279 | 0,27290 | 0,27302 | 0,27314 | 0,27326 | 0,27338 |
0,318 | 0,27350 | 0,27362 | 0,27374 | 0,27386 | 0,27398 | 0,27409 | 0,27421 | 0,27433 | 0,27445 | 0,27457 |
0,319 | 0,27469 | 0,27481 | 0,27493 | 0,27505 | 0,27517 | 0,27528 | 0,27540 | 0,27552 | 0,27564 | 0,27576 |
0,320 | 0,27588 | 0,27600 | 0,27612 | 0,27624 | 0,27636 | 0,27647 | 0,27659 | 0,27671 | 0,27683 | 0,27695 |
0,321 | 0,27707 | 0,27719 | 0,27731 | 0,27742 | 0,27754 | 0,27766 | 0,27778 | 0,27790 | 0,27801 | 0,27813 |
0,322 | 0,27825 | 0,27837 | 0,27849 | 0,27860 | 0,27872 | 0,27884 | 0,27896 | 0,27908 | 0,27919 | 0,27931 |
0,323 | 0,27943 | 0,27955 | 0,27967 | 0,27978 | 0,27990 | 0,28002 | 0,28014 | 0,28026 | 0,28037 | 0,28049 |
0,324 | 0,28061 | 0,28073 | 0,28085 | 0,28097 | 0,28109 | 0,28120 | 0,28132 | 0,28144 | 0,28156 | 0,28168 |
0,325 | 0,28180 | 0,28192 | 0,28204 | 0,28216 | 0,28228 | 0,28239 | 0,28251 | 0,28263 | 0,28275 | 0,28287 |
0,326 | 0,28299 | 0,28311 | 0,28323 | 0,28335 | 0,28347 | 0,28359 | 0,28371 | 0,28383 | 0,28395 | 0,28407 |
0,327 | 0,28419 | 0,28431 | 0,28443 | 0,28455 | 0,28467 | 0,28479 | 0,28491 | 0,28503 | 0,28515 | 0,28527 |
0,328 | 0,28539 | 0,28551 | 0,28563 | 0,28575 | 0,28587 | 0,28599 | 0,28611 | 0,28623 | 0,28635 | 0,28647 |
0,329 | 0,28659 | 0,28671 | 0,28683 | 0,28695 | 0,28707 | 0,28719 | 0,28731 | 0,28743 | 0,28755 | 0,28767 |
0,330 | 0,28779 | 0,28791 | 0,28803 | 0,28815 | 0,28827 | 0,28839 | 0,28851 | 0,28863 | 0,28875 | 0,28887 |
0,331 | 0,28899 | 0,28911 | 0,28923 | 0,28935 | 0,28947 | 0,28959 | 0,28971 | 0,28983 | 0,28995 | 0,29007 |
0,332 | 0,29019 | 0,29031 | 0,29043 | 0,29055 | 0,29067 | 0,29079 | 0,29091 | 0,29103 | 0,29115 | 0,29127 |
0,333 | 0,29139 | 0,29151 | 0,29163 | 0,29175 | 0,29187 | 0,29199 | 0,29212 | 0,29224 | 0,29236 | 0,29248 |
0,334 | 0,29260 | 0,29272 | 0,29284 | 0,29296 | 0,29308 | 0,29320 | 0,29333 | 0,29345 | 0,29357 | 0,29369 |
0,335 | 0,29381 | 0,29393 | 0,29405 | 0,29417 | 0,29429 | 0,29441 | 0,29454 | 0,29466 | 0,29478 | 0,29490 |
0,336 | 0,29502 | 0,29514 | 0,29526 | 0,29538 | 0,29550 | 0,29562 | 0,29574 | 0,29586 | 0,29598 | 0,29610 |
0,337 | 0,29622 | 0,29634 | 0,29646 | 0,29658 | 0,29670 | 0,29682 | 0,29694 | 0,29706 | 0,29718 | 0,29730 |
0,338 | 0,29742 | 0,29754 | 0,29766 | 0,29778 | 0,29790 | 0,29802 | 0,29814 | 0,29826 | 0,29838 | 0,29850 |
0,339 | 0,29862 | 0,29874 | 0,29886 | 0,29898 | 0,29910 | 0,29922 | 0,29934 | 0,29946 | 0,29958 | 0,29970 |
0,340 | 0,29982 | 0,29994 | 0,30006 | 0,30018 | 0,30030 | 0,30042 | 0,30054 | 0,30066 | 0,30078 | 0,30090 |
0,341 | 0,30102 | 0,30114 | 0,30126 | 0,30138 | 0,30150 | 0,30162 | 0,30175 | 0,30187 | 0,30199 | 0,30211 |
0,342 | 0,30223 | 0,30235 | 0,30247 | 0,30259 | 0,30271 | 0,30283 | 0,30296 | 0,30308 | 0,30320 | 0,30332 |
0,343 | 0,30344 | 0,30356 | 0,30368 | 0,30380 | 0,30392 | 0,30404 | 0,30417 | 0,30429 | 0,30441 | 0,30453 |
0,344 | 0,30465 | 0,30477 | 0,30489 | 0,30501 | 0,30513 | 0,30525 | 0,30537 | 0,30549 | 0,30561 | 0,30573 |
0,345 | 0,30585 | 0,30597 | 0,30609 | 0,30621 | 0,30633 | 0,30645 | 0,30658 | 0,30670 | 0,30682 | 0,30694 |
0,346 | 0,30706 | 0,30718 | 0,30730 | 0,30742 | 0,30754 | 0,30766 | 0,30779 | 0,30791 | 0,30803 | 0,39815 |
0,347 | 0,30827 | 0,30839 | 0,30851 | 0,30863 | 0,30875 | 0,30887 | 0,30900 | 0,30912 | 0,30924 | 0,30936 |
0,348 | 0,30948 | 0,30960 | 0,30972 | 0,30985 | 0,30997 | 0,31009 | 0,31021 | 0,31033 | 0,31046 | 0,31058 |
0,349 | 0,31070 | 0,31082 | 0,31094 | 0,31107 | 0,31119 | 0,31131 | 0,31143 | 0,31155 | 0,31168 | 0,31180 |
0,350 | 0,31192 | 0,31204 | 0,31216 | 0,31229 | 0,31241 | 0,31253 | 0,31265 | 0,31277 | 0,31290 | 0,31302 |
0,351 | 0,31314 | 0,31326 | 0,31338 | 0,31351 | 0,31363 | 0,31375 | 0,31387 | 0,31399 | 0,31412 | 0,31424 |
0,352 | 0,31436 | 0,31448 | 0,31460 | 0,31473 | 0,31485 | 0,31497 | 0,31509 | 0,31521 | 0,31534 | 0,31546 |
0,353 | 0,31558 | 0,31570 | 0,31583 | 0,31595 | 0,31607 | 0,31619 | 0,31632 | 0,31644 | 0,31656 | 0,31669 |
0,354 | 0,31681 | 0,31693 | 0,31705 | 0,31717 | 0,31729 | 0,31741 | 0,31754 | 0,31766 | 0,31778 | 0,31790 |
0,355 | 0,31802 | 0,31814 | 0,31826 | 0,31838 | 0,31850 | 0,31862 | 0,31875 | 0,31887 | 0,31899 | 0,31911 |
0,356 | 0,31923 | 0,31935 | 0,31947 | 0,31959 | 0,31971 | 0,31983 | 0,31996 | 0,32008 | 0,32020 | 0,32032 |
0,357 | 0,32044 | 0,32056 | 0,32068 | 0,32081 | 0,32093 | 0,32105 | 0,32117 | 0,32129 | 0,32142 | 0,32154 |
0,358 | 0,32166 | 0,32178 | 0,32190 | 0,32203 | 0,32215 | 0,32227 | 0,32239 | 0,32251 | 0,32264 | 0,32276 |
0,359 | 0,32288 | 0,32300 | 0,32312 | 0,32325 | 0,32337 | 0,32349 | 0,32361 | 0,32373 | 0,32386 | 0,32398 |
0,360 | 0,32410 | 0,32422 | 0,32434 | 0,32447 | 0,32459 | 0,32471 | 0,32483 | 0,32495 | 0,32508 | 0,32520 |
0,361 | 0,32532 | 0,32544 | 0,32556 | 0,32568 | 0,32580 | 0,32592 | 0,32605 | 0,32617 | 0,32629 | 0,32641 |
0,362 | 0,32653 | 0,32665 | 0,32677 | 0,32689 | 0,32701 | 0,32713 | 0,32726 | 0,32738 | 0,32750 | 0,32762 |
0,363 | 0,32774 | 0,32786 | 0,32798 | 0,32811 | 0,32823 | 0,32835 | 0,32847 | 0,32859 | 0,32872 | 0,32884 |
0,364 | 0,32896 | 0,32908 | 0,32920 | 0,32933 | 0,32945 | 0,32957 | 0,32969 | 0,32981 | 0,32994 | 0,33006 |
0,365 | 0,33018 | 0,33030 | 0,33042 | 0,33055 | 0,33067 | 0,33079 | 0,33091 | 0,33103 | 0,33116 | 0,33128 |
0,366 | 0,33140 | 0,33152 | 0,33165 | 0,33177 | 0,33189 | 0,33201 | 0,33214 | 0,33226 | 0,33238 | 0,33251 |
0,367 | 0,33263 | 0,33275 | 0,33288 | 0,33300 | 0,33312 | 0,33324 | 0,33337 | 0,33349 | 0,33361 | 0,33374 |
0,368 | 0,33386 | 0,33398 | 0,33411 | 0,33423 | 0,33436 | 0,33448 | 0,33460 | 0,33473 | 0,33485 | 0,33498 |
0,369 | 0,33510 | 0,33522 | 0,33535 | 0,33547 | 0,33560 | 0,33572 | 0,33584 | 0,33597 | 0,33609 | 0,33622 |
0,370 | 0,33634 | 0,33646 | 0,33659 | 0,33671 | 0,33684 | 0,33696 | 0,33708 | 0,33721 | 0,33733 | 0,33746 |
0,371 | 0,33758 | 0,33770 | 0,33783 | 0,33795 | 0,33807 | 0,33819 | 0,33832 | 0,33844 | 0,33856 | 0,33869 |
0,372 | 0,33881 | 0,33893 | 0,33906 | 0,33918 | 0,33931 | 0,33943 | 0,33955 | 0,33968 | 0,33980 | 0,33993 |
0,373 | 0,34005 | 0,34017 | 0,34030 | 0,34042 | 0,34055 | 0,34067 | 0,34079 | 0,34092 | 0,34104 | 0,34117 |
0,374 | 0,34129 | 0,34141 | 0,34154 | 0,34166 | 0,34179 | 0,34191 | 0,33203 | 0,34216 | 0,34228 | 0,34241 |
0,375 | 0,34253 | 0,34265 | 0,34278 | 0,34290 | 0,34302 | 0,34314 | 0,34327 | 0,34339 | 0,34351 | 0,34364 |
0,376 | 0,34376 | 0,34388 | 0,34401 | 0,34413 | 0,34425 | 0,34437 | 0,34450 | 0,34462 | 0,34474 | 0,34487 |
0,377 | 0,34499 | 0,34511 | 0,34524 | 0,34536 | 0,34548 | 0,34560 | 0,34573 | 0,34585 | 0,34597 | 0,34610 |
0,378 | 0,34622 | 0,34634 | 0,34646 | 0,34659 | 0,34671 | 0,34683 | 0,34695 | 0,34707 | 0,34720 | 0,34732 |
0,379 | 0,34744 | 0,34756 | 0,34769 | 0,34781 | 0,34793 | 0,34805 | 0,34818 | 0,34830 | 0,34842 | 0,34855 |
0,380 | 0,34867 | 0,34879 | 0,34892 | 0,34904 | 0,34916 | 0,34928 | 0,34941 | 0,34953 | 0,34965 | 0,38978 |
0,381 | 0,34990 | 0,35002 | 0,35015 | 0,35027 | 0,35040 | 0,35052 | 0,35064 | 0,35077 | 0,35089 | 0,35102 |
0,382 | 0,35114 | 0,35126 | 0,35139 | 0,35151 | 0,35164 | 0,35176 | 0,35188 | 0,35201 | 0,35213 | 0,35226 |
0,383 | 0,35238 | 0,35250 | 0,35263 | 0,35275 | 0,35288 | 0,35300 | 0,35313 | 0,35325 | 0,35338 | 0,35350 |
0,384 | 0,35363 | 0,35375 | 0,35388 | 0,35400 | 0,35413 | 0,35425 | 0,35438 | 0,35450 | 0,35463 | 0,35475 |
0,385 | 0,35488 | 0,35500 | 0,35513 | 0,35525 | 0,35538 | 0,35550 | 0,35563 | 0,35575 | 0,35588 | 0,35600 |
0,386 | 0,35613 | 0,35625 | 0,35638 | 0,35650 | 0,35663 | 0,35675 | 0,35688 | 0,30700 | 0,35713 | 0,35725 |
0,387 | 0,35738 | 0,35751 | 0,35763 | 0,35776 | 0,35788 | 0,35801 | 0,35814 | 0,35826 | 0,35839 | 0,35851 |
0,388 | 0,35864 | 0,35876 | 0,35889 | 0,35901 | 0,35914 | 0,35926 | 0,35939 | 0,35951 | 0,35963 | 0,35976 |
0,389 | 0,35988 | 0,36000 | 0,36013 | 0,36025 | 0,36038 | 0,36050 | 0,36062 | 0,36075 | 0,36087 | 0,36100 |
0,390 | 0,36112 | 0,36124 | 0,36137 | 0,36149 | 0,36162 | 0,36174 | 0,36186 | 0,36199 | 0,36211 | 0,36224 |
0,391 | 0,36236 | 0,36248 | 0,36261 | 0,36273 | 0,36286 | 0,36298 | 0,36310 | 0,36323 | 0,36335 | 0,36348 |
0,392 | 0,36360 | 0,36372 | 0,36385 | 0,36397 | 0,36410 | 0,36422 | 0,36434 | 0,36447 | 0,36459 | 0,36472 |
0,393 | 0,36484 | 0,36496 | 0,36509 | 0,36521 | 0,36533 | 0,36546 | 0,36558 | 0,36571 | 0,36583 | 0,36596 |
0,394 | 0,36608 | 0,36620 | 0,36632 | 0,36645 | 0,36657 | 0,36670 | 0,36682 | 0,36695 | 0,36707 | 0,36720 |
0,395 | 0,36732 | 0,36744 | 0,36756 | 0,36769 | 0,36781 | 0,36794 | 0,36806 | 0,36819 | 0,36831 | 0,36844 |
0,396 | 0,36856 | 0,36869 | 0,36882 | 0,36894 | 0,36907 | 0,36919 | 0,36931 | 0,36944 | 0,36956 | 0,36969 |
0,397 | 0,36981 | 0,36994 | 0,37006 | 0,37019 | 0,37031 | 0,37044 | 0,37056 | 0,37069 | 0,37081 | 0,37094 |
0,398 | 0,37106 | 0,37119 | 0,37131 | 0,37144 | 0,37156 | 0,37169 | 0,37181 | 0,37194 | 0,37206 | 0,37219 |
0,399 | 0,37231 | 0,37243 | 0,37256 | 0,37268 | 0,37281 | 0,37293 | 0,37305 | 0,37318 | 0,37330 | 0,37343 |
0,400 | 0,37355 | 0,37367 | 0,37380 | 0,37392 | 0,37404 | 0,37416 | 0,37429 | 0,37441 | 0,37453 | 0,37466 |
0,401 | 0,37478 | 0,37490 | 0,37503 | 0,37515 | 0,37528 | 0,37540 | 0,37552 | 0,37565 | 0,37577 | 0,37590 |
0,402 | 0,37602 | 0,37614 | 0,37627 | 0,37639 | 0,37652 | 0,37664 | 0,37676 | 0,37689 | 0,37701 | 0,37714 |
0,403 | 0,37726 | 0,37738 | 0,37751 | 0,37763 | 0,37775 | 0,37787 | 0,37800 | 0,37812 | 0,37824 | 0,37835 |
0,404 | 0,37849 | 0,37861 | 0,37874 | 0,37886 | 0,37899 | 0,37911 | 0,37923 | 0,37936 | 0,37948 | 0,37961 |
0,405 | 0,37973 | 0,37985 | 0,37998 | 0,38010 | 0,38023 | 0,38035 | 0,38048 | 0,38060 | 0,38073 | 0,38085 |
0,406 | 0,38098 | 0,38110 | 0,38123 | 0,38135 | 0,38148 | 0,38160 | 0,38173 | 0,38185 | 0,38198 | 0,38210 |
0,407 | 0,38223 | 0,38235 | 0,38248 | 0,38260 | 0,38273 | 0,38285 | 0,38298 | 0,38310 | 0,38323 | 0,38335 |
0,408 | 0,38348 | 0,38361 | 0,38373 | 0,38386 | 0,38398 | 0,38411 | 0,38424 | 0,38436 | 0,38449 | 0,38461 |
0,409 | 0,38474 | 0,38487 | 0,38499 | 0,38512 | 0,38524 | 0,38537 | 0,38550 | 0,38562 | 0,38575 | 0,38587 |
0,410 | 0,38600 | 0,38612 | 0,38625 | 0,38637 | 0,38650 | 0,38662 | 0,38675 | 0,38678 | 0,38700 | 0,38712 |
0,411 | 0,38725 | 0,38737 | 0,38750 | 0,38762 | 0,38775 | 0,38787 | 0,38800 | 0,38812 | 0,38825 | 0,38837 |
0,412 | 0,38850 | 0,38862 | 0,38875 | 0,38887 | 0,38900 | 0,38912 | 0,38925 | 0,38937 | 0,38950 | 0,38962 |
0,413 | 0,38975 | 0,38988 | 0,39000 | 0,39013 | 0,39025 | 0,39038 | 0,39051 | 0,39063 | 0,39076 | 0,39088 |
0,414 | 0,39101 | 0,39114 | 0,39126 | 0,39139 | 0,39151 | 0,39164 | 0,39177 | 0,39189 | 0,39202 | 0,39214 |
0,415 | 0,39227 | 0,39240 | 0,39252 | 0,39265 | 0,39277 | 0,39290 | 0,39303 | 0,39315 | 0,39328 | 0,39340 |
0,416 | 0,39353 | 0,39366 | 0,39378 | 0,39391 | 0,39403 | 0,39416 | 0,39429 | 0,39441 | 0,39454 | 0,39466 |
0,417 | 0,39479 | 0,39491 | 0,39304 | 0,39516 | 0,39529 | 0,39541 | 0,39554 | 0,39566 | 0,39579 | 0,39591 |
0,418 | 0,39604 | 0,39616 | 0,39629 | 0,39641 | 0,39654 | 0,39666 | 0,39679 | 0,39691 | 0,39704 | 0,39716 |
0,419 | 0,39729 | 0,39741 | 0,39754 | 0,39766 | 0,39779 | 0,39791 | 0,39804 | 0,39816 | 0,39829 | 0,39841 |
0,420 | 0,39854 | 0,39867 | 0,39879 | 0,39892 | 0,39904 | 0,39917 | 0,39930 | 0,39942 | 0,39955 | 0,39967 |
0,421 | 0,39980 | 0,39993 | 0,40005 | 0,40018 | 0,40031 | 0,40043 | 0,40056 | 0,40069 | 0,40082 | 0,40094 |
0,422 | 0,40107 | 0,40120 | 0,40132 | 0,40145 | 0,40157 | 0,40170 | 0,40183 | 0,40195 | 0,40208 | 0,40220 |
0,423 | 0,40233 | 0,40246 | 0,40258 | 0,40272 | 0,40283 | 0,40296 | 0,40309 | 0,40321 | 0,40334 | 0,40346 |
0,424 | 0,40359 | 0,40372 | 0,40384 | 0,40397 | 0,40409 | 0,40422 | 0,40435 | 0,40447 | 0,40460 | 0,40472 |
0,425 | 0,40485 | 0,40498 | 0,40510 | 0,40523 | 0,40536 | 0,40548 | 0,40561 | 0,40574 | 0,40587 | 0,40599 |
0,426 | 0,40612 | 0,40625 | 0,40637 | 0,40650 | 0,40662 | 0,40675 | 0,40688 | 0,40700 | 0,40713 | 0,40725 |
0,427 | 0,40738 | 0,40751 | 0,40763 | 0,40776 | 0,40788 | 0,40801 | 0,40814 | 0,40826 | 0,40839 | 0,40851 |
0,428 | 0,40864 | 0,40877 | 0,40889 | 0,40902 | 0,40915 | 0,40927 | 0,40940 | 0,40953 | 0,40966 | 0,40978 |
0,429 | 0,40991 | 0,41004 | 0,41016 | 0,41029 | 0,41042 | 0,41054 | 0,41067 | 0,41080 | 0,41093 | 0,41105 |
0,430 | 0,41118 | 0,41131 | 0,41143 | 0,41156 | 0,41160 | 0,41181 | 0,41194 | 0,41207 | 0,41220 | 0,41232 |
0,431 | 0,41245 | 0,41258 | 0,41270 | 0,41283 | 0,41295 | 0,41308 | 0,41321 | 0,41333 | 0,41346 | 0,41358 |
0,432 | 0,41371 | 0,41383 | 0,41396 | 0,41408 | 0,41421 | 0,41433 | 0,41446 | 0,41458 | 0,41471 | 0,41483 |
0,433 | 0,41496 | 0,41508 | 0,41521 | 0,41533 | 0,41546 | 0,41558 | 0,41571 | 0,41583 | 0,41596 | 0,41608 |
0,434 | 0,41621 | 0,41634 | 0,41646 | 0,41659 | 0,41671 | 0,41684 | 0,41697 | 0,41709 | 0,41722 | 0,41734 |
0,435 | 0,41747 | 0,41760 | 0,41772 | 0,41785 | 0,41797 | 0,41810 | 0,41823 | 0,41835 | 0,41848 | 0,41860 |
0,436 | 0,41873 | 0,41886 | 0,41898 | 0,41911 | 0,41923 | 0,41936 | 0,41949 | 0,41961 | 0,41974 | 0,41986 |
0,437 | 0,41999 | 0,42012 | 0,42024 | 0,42037 | 0,42049 | 0,42062 | 0,42075 | 0,42087 | 0,42100 | 0,42112 |
0,438 | 0,42125 | 0,42138 | 0,42150 | 0,42163 | 0,42175 | 0,42188 | 0,42201 | 0,42213 | 0,42226 | 0,42238 |
0,439 | 0,42251 | 0,42264 | 0,42276 | 0,42289 | 0,42302 | 0,42314 | 0,42327 | 0,42340 | 0,42353 | 0,42365 |
0,440 | 0,42378 | 0,42391 | 0,42403 | 0,42416 | 0,42429 | 0,42441 | 0,42454 | 0,42467 | 0,42480 | 0,42492 |
0,441 | 0,42505 | 0,42518 | 0,42530 | 0,42543 | 0,42556 | 0,42568 | 0,42581 | 0,42594 | 0,42607 | 0,42619 |
0,442 | 0,42632 | 0,42645 | 0,42657 | 0,42670 | 0,42683 | 0,42695 | 0,42708 | 0,42721 | 0,42734 | 0,42746 |
0,443 | 0,42759 | 0,42772 | 0,42784 | 0,42797 | 0,42809 | 0,42822 | 0,42835 | 0,42847 | 0,42860 | 0,42872 |
0,444 | 0,42885 | 0,42898 | 0,42910 | 0,42923 | 0,42935 | 0,42948 | 0,42961 | 0,42973 | 0,42986 | 0,42998 |
0,445 | 0,43011 | 0,43024 | 0,43036 | 0,43049 | 0,43061 | 0,43074 | 0,43087 | 0,43099 | 0,43112 | 0,43124 |
0,446 | 0,43137 | 0,43150 | 0,43162 | 0,43175 | 0,43187 | 0,43200 | 0,43213 | 0,43225 | 0,43238 | 0,43250 |
0,447 | 0,43263 | 0,43276 | 0,43288 | 0,43301 | 0,43313 | 0,43326 | 0,43339 | 0,43351 | 0,43364 | 0,43376 |
0,448 | 0,43389 | 0,43402 | 0,43414 | 0,43427 | 0,43439 | 0,43452 | 0,43465 | 0,43477 | 0,43490 | 0,43502 |
0,449 | 0,43515 | 0,43528 | 0,43540 | 0,43558 | 0,43565 | 0,43578 | 0,43591 | 0,43603 | 0,43616 | 0,43628 |
0,450 | 0,43641 | 0,43654 | 0,43666 | 0,43679 | 0,43691 | 0,43704 | 0,43717 | 0,43729 | 0,43742 | 0,43754 |
0,451 | 0,43767 | 0,43780 | 0,43792 | 0,43805 | 0,43818 | 0,43830 | 0,43043 | 0,43856 | 0,43869 | 0,43881 |
0,452 | 0,43894 | 0,43907 | 0,43919 | 0,43932 | 0,43945 | 0,43957 | 0,43970 | 0,43983 | 0,43996 | 0,44008 |
0,453 | 0,44021 | 0,44034 | 0,44046 | 0,44059 | 0,44072 | 0,44084 | 0,44097 | 0,44110 | 0,44123 | 0,44135 |
0,454 | 0,44148 | 0,44161 | 0,44173 | 0,44186 | 0,44199 | 0,44211 | 0,44224 | 0,44237 | 0,44250 | 0,44262 |
0,455 | 0,44275 | 0,44288 | 0,44300 | 0,44313 | 0,44326 | 0,44338 | 0,44351 | 0,44364 | 0,44377 | 0,44389 |
0,456 | 0,44402 | 0,44415 | 0,44427 | 0,44440 | 0,44453 | 0,44465 | 0,44478 | 0,44491 | 0,44504 | 0,44516 |
0,457 | 0,44529 | 0,44542 | 0,44554 | 0,44567 | 0,44580 | 0,44592 | 0,44605 | 0,44618 | 0,44631 | 0,44643 |
0,458 | 0,44656 | 0,44669 | 0,44681 | 0,44694 | 0,44707 | 0,44719 | 0,44732 | 0,44745 | 0,44758 | 0,44770 |
0,459 | 0,44783 | 0,44796 | 0,44808 | 0,44821 | 0,44834 | 0,44847 | 0,44859 | 0,44872 | 0,44885 | 0,44897 |
0,460 | 0,44910 | 0,44923 | 0,44935 | 0,44948 | 0,44961 | 0,44973 | 0,44986 | 0,44999 | 0,45012 | 0,45024 |
0,461 | 0,45037 | 0,45050 | 0,45062 | 0,45075 | 0,45088 | 0,45100 | 0,45113 | 0,45126 | 0,45139 | 0,45151 |
0,462 | 0,45164 | 0,45177 | 0,45189 | 0,45202 | 0,45215 | 0,45227 | 0,45240 | 0,45253 | 0,45266 | 0,45278 |
0,463 | 0,45291 | 0,45304 | 0,45316 | 0,45329 | 0,45342 | 0,45354 | 0,45367 | 0,45380 | 0,45393 | 0,45405 |
0,464 | 0,45418 | 0,45431 | 0,45443 | 0,45456 | 0,45469 | 0,45481 | 0,45494 | 0,45507 | 0,45520 | 0,45532 |
0,465 | 0,45545 | 0,45558 | 0,45570 | 0,45583 | 0,45596 | 0,45608 | 0,45621 | 0,45634 | 0,45647 | 0,45659 |
0,466 | 0,45672 | 0,45685 | 0,45697 | 0,45710 | 0,45723 | 0,45735 | 0,45748 | 0,45761 | 0,45774 | 0,45786 |
0,467 | 0,45799 | 0,45812 | 0,45824 | 0,45837 | 0,45850 | 0,45862 | 0,45875 | 0,45888 | 0,45901 | 0,45913 |
0,468 | 0,45926 | 0,45939 | 0,45951 | 0,45964 | 0,45977 | 0,45989 | 0,46002 | 0,46015 | 0,46028 | 0,46040 |
0,469 | 0,46053 | 0,46066 | 0,46078 | 0,46091 | 0,46104 | 0,46116 | 0,46129 | 0,46142 | 0,46155 | 0,46167 |
0,470 | 0,46180 | 0,46193 | 0,46205 | 0,46218 | 0,46231 | 0,46243 | 0,46256 | 0,46269 | 0,46282 | 0,46294 |
0,471 | 0,46307 | 0,46320 | 0,46332 | 0,46345 | 0,46358 | 0,46370 | 0,46383 | 0,46396 | 0,46409 | 0,46421 |
0,472 | 0,46434 | 0,46447 | 0,46459 | 0,46472 | 0,46485 | 0,46497 | 0,46510 | 0,46523 | 0,46536 | 0,46548 |
0,473 | 0,46561 | 0,46574 | 0,46586 | 0,46599 | 0,46612 | 0,46624 | 0,46637 | 0,46650 | 0,46663 | 0,46675 |
0,474 | 0,46688 | 0,46701 | 0,46713 | 0,46726 | 0,46739 | 0,46751 | 0,46764 | 0,46777 | 0,46790 | 0,46802 |
0,475 | 0,46815 | 0,46828 | 0,46840 | 0,46853 | 0,46866 | 0,46878 | 0,46891 | 0,46904 | 0,46917 | 0,46929 |
0,476 | 0,46942 | 0,46955 | 0,46967 | 0,46980 | 0,46993 | 0,47005 | 0,47018 | 0,47031 | 0,47044 | 0,47056 |
0,477 | 0,47069 | 0,47082 | 0,47094 | 0,47107 | 0,47120 | 0,47132 | 0,47145 | 0,47158 | 0,47171 | 0,47183 |
0,478 | 0,47196 | 0,47209 | 0,47221 | 0,47234 | 0,47247 | 0,47259 | 0,47272 | 0,47285 | 0,47298 | 0,47310 |
0,479 | 0,47323 | 0,47336 | 0,47348 | 0,47361 | 0,47374 | 0,47386 | 0,47399 | 0,47412 | 0,47425 | 0,47437 |
0,480 | 0,47450 | 0,47463 | 0,47475 | 0,47488 | 0,47501 | 0,47513 | 0,47526 | 0,47539 | 0,47552 | 0,47564 |
0,481 | 0,47577 | 0,47590 | 0,47602 | 0,47615 | 0,47628 | 0,47640 | 0,47653 | 0,47666 | 0,47679 | 0,47691 |
0,482 | 0,47704 | 0,47717 | 0,47729 | 0,47742 | 0,47755 | 0,47768 | 0,47780 | 0,47793 | 0,47806 | 0,47818 |
0,483 | 0,47831 | 0,47844 | 0,47856 | 0,47869 | 0,47882 | 0,47894 | 0,47907 | 0,47920 | 0,47933 | 0,47945 |
0,484 | 0,47958 | 0,47971 | 0,47983 | 0,47996 | 0,48009 | 0,48022 | 0,48034 | 0,48047 | 0,48060 | 0,48072 |
0,485 | 0,48085 | 0,48098 | 0,48110 | 0,48123 | 0,48136 | 0,48149 | 0,48161 | 0,48174 | 0,48187 | 0,48199 |
0,486 | 0,48212 | 0,48225 | 0,48237 | 0,48250 | 0,48263 | 0,48275 | 0,48288 | 0,48301 | 0,48314 | 0,48326 |
0,487 | 0,48339 | 0,48352 | 0,48365 | 0,48377 | 0,48390 | 0,49403 | 0,48416 | 0,48429 | 0,48441 | 0,48454 |
0,488 | 0,48467 | 0,48480 | 0,48493 | 0,48505 | 0,48518 | 0,48531 | 0,48544 | 0,48557 | 0,48569 | 0,48582 |
0,489 | 0,48593 | 0,48608 | 0,48621 | 0,48633 | 0,48646 | 0,48659 | 0,48672 | 0,48685 | 0,48697 | 0,48710 |
0,490 | 0,48723 | 0,48736 | 0,48749 | 0,48761 | 0,48774 | 0,48787 | 0,48800 | 0,49813 | 0,48825 | 0,48838 |
0,491 | 0,48851 | 0,48864 | 0,48876 | 0,48889 | 0,48902 | 0,48915 | 0,48927 | 0,48940 | 0,48953 | 0,48965 |
0,492 | 0,48978 | 0,48991 | 0,49003 | 0,49016 | 0,49029 | 0,49042 | 0,49054 | 0,49067 | 0,49080 | 0,49092 |
0,493 | 0,49105 | 0,49118 | 0,49130 | 0,49143 | 0,49156 | 0,49169 | 0,49181 | 0,49194 | 0,49207 | 0,47219 |
0,494 | 0,49232 | 0,49245 | 0,49258 | 0,49270 | 0,49283 | 0,49296 | 0,49309 | 0,49322 | 0,49334 | 0,49347 |
0,495 | 0,49360 | 0,49373 | 0,49386 | 0,49398 | 0,49411 | 0,49424 | 0,49437 | 0,49450 | 0,49462 | 0,49475 |
0,496 | 0,49488 | 0,49501 | 0,49514 | 0,49526 | 0,49539 | 0,49552 | 0,49565 | 0,49578 | 0,49590 | 0,49603 |
0,497 | 0,49616 | 0,49629 | 0,49642 | 0,49654 | 0,49667 | 0,49680 | 0,49693 | 0,49706 | 0,49718 | 0,49731 |
0,498 | 0,49744 | 0,49757 | 0,49770 | 0,49782 | 0,49795 | 0,49808 | 0,49821 | 0,49834 | 0,49846 | 0,49859 |
0,499 | 0,49872 | 0,49885 | 0,49898 | 0,49910 | 0,49923 | 0,49936 | 0,49949 | 0,49962 | 0,49974 | 0,49987 |
0,500 | 0,50000 | 0,50013 | 0,50026 | 0,50038 | 0,50051 | 0,50064 | 0,50077 | 0,50090 | 0,50102 | 0,50115 |
0,501 | 0,50128 | 0,50141 | 0,50154 | 0,50166 | 0,50179 | 0,50192 | 0,50205 | 0,50218 | 0,50230 | 0,50243 |
0,502 | 0,50256 | 0,50269 | 0,50282 | 0,50294 | 0,50307 | 0,50320 | 0,50333 | 0,50346 | 0,50358 | 0,50371 |
0,503 | 0,50384 | 0,50397 | 0,50410 | 0,50422 | 0,50435 | 0,50448 | 0,50461 | 0,50474 | 0,50486 | 0,50499 |
0,504 | 0,50512 | 0,50525 | 0,50538 | 0,50550 | 0,50563 | 0,50576 | 0,50589 | 0,50602 | 0,50614 | 0,50627 |
0,505 | 0,50640 | 0,50653 | 0,50666 | 0,50678 | 0,50691 | 0,50704 | 0,50717 | 0,50730 | 0,50742 | 0,50755 |
0,506 | 0,50768 | 0,50781 | 0,50793 | 0,50806 | 0,50819 | 0,50831 | 0,50844 | 0,50857 | 0,50870 | 0,50882 |
0,507 | 0,50895 | 0,50908 | 0,50920 | 0,50933 | 0,50946 | 0,50958 | 0,50971 | 0,50984 | 0,50997 | 0,51009 |
0,508 | 0,51022 | 0,51035 | 0,51047 | 0,51060 | 0,51073 | 0,51085 | 0,51098 | 0,51111 | 0,51124 | 0,51136 |
0,509 | 0,51149 | 0,51162 | 0,51175 | 0,51187 | 0,51200 | 0,51213 | 0,51226 | 0,51239 | 0,51251 | 0,51264 |
0,510 | 0,51277 | 0,51290 | 0,51303 | 0,51315 | 0,51328 | 0,51341 | 0,51354 | 0,51367 | 0,51379 | 0,51392 |
0,511 | 0,51405 | 0,51418 | 0,51431 | 0,51443 | 0,51456 | 0,51469 | 0,51482 | 0,51495 | 0,51507 | 0,51520 |
0,512 | 0,51533 | 0,51546 | 0,51559 | 0,51571 | 0,51584 | 0,51597 | 0,51610 | 0,51623 | 0,51635 | 0,51648 |
0,513 | 0,51661 | 0,51674 | 0,51686 | 0,51699 | 0,51712 | 0,51725 | 0,51737 | 0,51750 | 0,51763 | 0,51775 |
0,514 | 0,51788 | 0,51801 | 0,51813 | 0,51826 | 0,51839 | 0,51851 | 0,51864 | 0,51877 | 0,51890 | 0,51902 |
0,515 | 0,51915 | 0,51928 | 0,51940 | 0,51953 | 0,51966 | 0,51978 | 0,51991 | 0,52004 | 0,52017 | 0,52029 |
0,516 | 0,52042 | 0,52055 | 0,52067 | 0,52080 | 0,52093 | 0,52106 | 0,52118 | 0,52131 | 0,52144 | 0,52156 |
0,517 | 0,52169 | 0,52182 | 0,52194 | 0,52207 | 0,52220 | 0,52232 | 0,52245 | 0,52258 | 0,52271 | 0,52283 |
0,518 | 0,52296 | 0,52309 | 0,52321 | 0,52334 | 0,52347 | 0,52360 | 0,52372 | 0,52385 | 0,52398 | 0,52410 |
0,519 | 0,52423 | 0,52436 | 0,52448 | 0,52461 | 0,52474 | 0,52487 | 0,52499 | 0,52512 | 0,52525 | 0,52537 |
0,520 | 0,52550 | 0,52563 | 0,52575 | 0,52588 | 0,52601 | 0,52614 | 0,52626 | 0,52639 | 0,52652 | 0,52664 |
0,521 | 0,52677 | 0,52690 | 0,52702 | 0,52715 | 0,52728 | 0,52741 | 0,52753 | 0,52766 | 0,52779 | 0,52791 |
0,522 | 0,52804 | 0,52817 | 0,52829 | 0,52842 | 0,52855 | 0,52868 | 0,52880 | 0,52893 | 0,52906 | 0,52918 |
0,523 | 0,52931 | 0,52944 | 0,52956 | 0,52969 | 0,52982 | 0,52995 | 0,53007 | 0,53020 | 0,53033 | 0,53045 |
0,524 | 0,53058 | 0,53071 | 0,53083 | 0,53096 | 0,53109 | 0,53122 | 0,53134 | 0,53147 | 0,53160 | 0,53172 |
0,525 | 0,53185 | 0,53198 | 0,53210 | 0,53223 | 0,53236 | 0,53249 | 0,53261 | 0,53274 | 0,53287 | 0,53299 |
0,526 | 0,53312 | 0,53325 | 0,53337 | 0,53350 | 0,53363 | 0,53376 | 0,53388 | 0,53401 | 0,53414 | 0,53426 |
0,527 | 0,53439 | 0,53452 | 0,53464 | 0,53477 | 0,53490 | 0,53503 | 0,53515 | 0,53528 | 0,53541 | 0,53553 |
0,528 | 0,53566 | 0,53579 | 0,53591 | 0,53604 | 0,53617 | 0,53630 | 0,53642 | 0,53655 | 0,53668 | 0,53680 |
0,529 | 0,53693 | 0,53706 | 0,53718 | 0,53731 | 0,53744 | 0,53757 | 0,53769 | 0,53782 | 0,53795 | 0,53807 |
0,530 | 0,53820 | 0,53833 | 0,53845 | 0,53858 | 0,53871 | 0,53884 | 0,53896 | 0,53909 | 0,53922 | 0,53934 |
0,531 | 0,53947 | 0,53960 | 0,53972 | 0,53985 | 0,53998 | 0,54011 | 0,54023 | 0,54036 | 0,54049 | 0,54061 |
0,532 | 0,54074 | 0,54087 | 0,54099 | 0,54112 | 0,54125 | 0,54138 | 0,54150 | 0,54163 | 0,54176 | 0,54188 |
0,533 | 0,54201 | 0,54214 | 0,54226 | 0,54239 | 0,54252 | 0,54265 | 0,54277 | 0,54290 | 0,54303 | 0,54315 |
0,534 | 0,54328 | 0,54341 | 0,54353 | 0,54366 | 0,54379 | 0,54392 | 0,54404 | 0,54417 | 0,54430 | 0,54442 |
0,535 | 0,54455 | 0,54468 | 0,54480 | 0,54493 | 0,54506 | 0,54519 | 0,54531 | 0,54544 | 0,54557 | 0,54569 |
0,536 | 0,54582 | 0,54595 | 0,54607 | 0,54620 | 0,54633 | 0,54646 | 0,54658 | 0,54671 | 0,54684 | 0,54696 |
0,537 | 0,54709 | 0,54722 | 0,54734 | 0,54747 | 0,54760 | 0,54773 | 0,54785 | 0,54798 | 0,54811 | 0,54823 |
0,538 | 0,54836 | 0,54849 | 0,54861 | 0,54874 | 0,54887 | 0,54900 | 0,54912 | 0,54925 | 0,54938 | 0,54950 |
0,539 | 0,54963 | 0,54976 | 0,54988 | 0,55001 | 0,55014 | 0,55027 | 0,55039 | 0,55052 | 0,55065 | 0,55077 |
0,540 | 0,55090 | 0,55103 | 0,55115 | 0,55128 | 0,55141 | 0,55153 | 0,55166 | 0,55179 | 0,55192 | 0,55204 |
0,541 | 0,55217 | 0,55230 | 0,55242 | 0,55255 | 0,55268 | 0,55281 | 0,55293 | 0,55306 | 0,55319 | 0,55331 |
0,542 | 0,55344 | 0,55357 | 0,55369 | 0,55382 | 0,55395 | 0,55408 | 0,55420 | 0,55433 | 0,55446 | 0,55458 |
0,543 | 0,55471 | 0,55484 | 0,55496 | 0,55509 | 0,55522 | 0,55535 | 0,55547 | 0,55560 | 0,55573 | 0,55585 |
0,544 | 0,55598 | 0,55611 | 0,55623 | 0,55636 | 0,55649 | 0,55662 | 0,55674 | 0,55687 | 0,55700 | 0,55712 |
0,545 | 0,55725 | 0,55738 | 0,55750 | 0,55763 | 0,55776 | 0,55789 | 0,55801 | 0,55814 | 0,55827 | 0,55839 |
0,546 | 0,55852 | 0,55865 | 0,55877 | 0,55890 | 0,55903 | 0,55916 | 0,55928 | 0,55941 | 0,55954 | 0,55966 |
0,547 | 0,55979 | 0,55992 | 0,56004 | 0,56017 | 0,56030 | 0,56043 | 0,56055 | 0,56068 | 0,56081 | 0,56093 |
0,548 | 0,56106 | 0,56119 | 0,56131 | 0,56144 | 0,56157 | 0,56170 | 0,56182 | 0,56195 | 0,56208 | 0,56220 |
0,549 | 0,56233 | 0,56246 | 0,56258 | 0,56271 | 0,56283 | 0,56296 | 0,56309 | 0,56321 | 0,56334 | 0,55346 |
0,550 | 0,56359 | 0,56372 | 0,56384 | 0,56397 | 0,56409 | 0,56422 | 0,56435 | 0,56447 | 0,56460 | 0,56472 |
0,551 | 0,56485 | 0,56498 | 0,56510 | 0,56523 | 0,56535 | 0,56548 | 0,56561 | 0,56573 | 0,56586 | 0,56598 |
0,552 | 0,56611 | 0,56624 | 0,56636 | 0,56649 | 0,56661 | 0,56674 | 0,56687 | 0,56699 | 0,56712 | 0,56724 |
0,553 | 0,56737 | 0,56750 | 0,56762 | 0,56775 | 0,56787 | 0,56800 | 0,56813 | 0,56825 | 0,56838 | 0,56850 |
0,554 | 0,56863 | 0,56876 | 0,56888 | 0,56901 | 0,56913 | 0,56926 | 0,56939 | 0,56951 | 0,56964 | 0,56976 |
0,555 | 0,56989 | 0,57002 | 0,57014 | 0,57027 | 0,57039 | 0,57052 | 0,57065 | 0,57077 | 0,57090 | 0,57102 |
0,556 | 0,57115 | 0,57128 | 0,57140 | 0,57153 | 0,57165 | 0,57178 | 0,57191 | 0,57203 | 0,57216 | 0,57228 |
0,557 | 0,57241 | 0,57254 | 0,57266 | 0,57279 | 0,57292 | 0,57305 | 0,57317 | 0,57330 | 0,57343 | 0,57355 |
0,558 | 0,57368 | 0,57381 | 0,57393 | 0,57406 | 0,57419 | 0,57432 | 0,57444 | 0,57457 | 0,57470 | 0,57482 |
0,559 | 0,57495 | 0,57508 | 0,57520 | 0,57533 | 0,57546 | 0,57559 | 0,57571 | 0,57584 | 0,57597 | 0,57609 |
0,560 | 0,57622 | 0,57635 | 0,57647 | 0,57660 | 0,57673 | 0,57686 | 0,57698 | 0,57711 | 0,57724 | 0,57736 |
0,561 | 0,57749 | 0,57762 | 0,57772 | 0,57787 | 0,57799 | 0,57812 | 0,57825 | 0,57837 | 0,57850 | 0,57862 |
0,562 | 0,57875 | 0,57888 | 0,57900 | 0,57913 | 0,57925 | 0,57938 | 0,57951 | 0,57963 | 0,57976 | 0,57988 |
0,563 | 0,58001 | 0,58014 | 0,58026 | 0,58039 | 0,58051 | 0,58064 | 0,58077 | 0,58089 | 0,58102 | 0,58114 |
0,564 | 0,58127 | 0,58140 | 0,58152 | 0,58165 | 0,58177 | 0,58190 | 0,58203 | 0,58215 | 0,58228 | 0,58240 |
0,565 | 0,58253 | 0,58266 | 0,58278 | 0,58291 | 0,58303 | 0,58316 | 0,58329 | 0,58341 | 0,58354 | 0,58366 |
0,566 | 0,58379 | 0,58392 | 0,58404 | 0,58417 | 0,58429 | 0,58442 | 0,58454 | 0,58467 | 0,58479 | 0,58492 |
0,567 | 0,58504 | 0,58517 | 0,58529 | 0,58542 | 0,58554 | 0,58567 | 0,58579 | 0,58592 | 0,58604 | 0,58617 |
0,568 | 0,58629 | 0,58642 | 0,58654 | 0,58667 | 0,58679 | 0,58692 | 0,58705 | 0,58717 | 0,58730 | 0,58742 |
0,569 | 0,58755 | 0,58768 | 0,58780 | 0,58793 | 0,58806 | 0,58819 | 0,58831 | 0,58844 | 0,58857 | 0,58869 |
0,570 | 0,58882 | 0,58895 | 0,58907 | 0,58920 | 0,58933 | 0,58946 | 0,58958 | 0,58971 | 0,58984 | 0,58996 |
0,571 | 0,59009 | 0,59022 | 0,59034 | 0,59047 | 0,59060 | 0,59073 | 0,59085 | 0,59098 | 0,59111 | 0,59123 |
0,572 | 0,59136 | 0,59149 | 0,59161 | 0,59174 | 0,59186 | 0,59199 | 0,59212 | 0,59224 | 0,59237 | 0,59249 |
0,573 | 0,59262 | 0,59275 | 0,59287 | 0,59300 | 0,59312 | 0,59325 | 0,59338 | 0,59350 | 0,59363 | 0,59375 |
0,574 | 0,59388 | 0,59401 | 0,59413 | 0,59426 | 0,59439 | 0,59452 | 0,59464 | 0,59477 | 0,59490 | 0,59502 |
0,575 | 0,59515 | 0,59528 | 0,59540 | 0,59553 | 0,59565 | 0,59578 | 0,59591 | 0,59603 | 0,59616 | 0,59628 |
0,576 | 0,59641 | 0,59654 | 0,59666 | 0,59679 | 0,59691 | 0,59704 | 0,59717 | 0,59729 | 0,59742 | 0,59754 |
0,577 | 0,59767 | 0,59780 | 0,59792 | 0,59805 | 0,59817 | 0,50830 | 0,59843 | 0,59855 | 0,59868 | 0,59880 |
0,578 | 0,59893 | 0,59906 | 0,59918 | 0,59931 | 0,59944 | 0,59957 | 0,59969 | 0,59982 | 0,59995 | 0,60007 |
0,579 | 0,60020 | 0,60033 | 0,60045 | 0,60058 | 0,60070 | 0,60083 | 0,60096 | 0,60108 | 0,60121 | 0,60133 |
0,580 | 0,60146 | 0,60159 | 0,60171 | 0,60184 | 0,60196 | 0,60209 | 0,60221 | 0,60234 | 0,60246 | 0,60259 |
0,581 | 0,60271 | 0,60284 | 0,60296 | 0,60309 | 0,60321 | 0,60334 | 0,60346 | 0,60359 | 0,60371 | 0,60384 |
0,582 | 0,60396 | 0,60409 | 0,60421 | 0,60434 | 0,60446 | 0,60459 | 0,60471 | 0,60484 | 0,60496 | 0,60509 |
0,583 | 0,60521 | 0,60534 | 0,60546 | 0,60559 | 0,60571 | 0,60584 | 0,60597 | 0,60609 | 0,60622 | 0,60634 |
0,584 | 0,60647 | 0,60660 | 0,60672 | 0,60685 | 0,60697 | 0,60710 | 0,60723 | 0,60735 | 0,60748 | 0,60760 |
0,585 | 0,60773 | 0,60786 | 0,60798 | 0,60811 | 0,60823 | 0,60836 | 0,60849 | 0,60861 | 0,60874 | 0,60886 |
0,586 | 0,60899 | 0,60912 | 0,60924 | 0,60937 | 0,60949 | 0,60962 | 0,60975 | 0,60987 | 0,61000 | 0,61012 |
0,587 | 0,61025 | 0,61038 | 0,61050 | 0,61063 | 0,61075 | 0,61088 | 0,61100 | 0,61113 | 0,61125 | 0,61138 |
0,588 | 0,61150 | 0,61163 | 0,61175 | 0,61188 | 0,61200 | 0,61213 | 0,61225 | 0,61238 | 0,61250 | 0,61263 |
0,589 | 0,61275 | 0,61288 | 0,61300 | 0,61313 | 0,61325 | 0,61338 | 0,61350 | 0,61363 | 0,61375 | 0,61388 |
0,590 | 0,61400 | 0,61413 | 0,61425 | 0,61438 | 0,61450 | 0,61463 | 0,61476 | 0,61488 | 0,61501 | 0,61513 |
0,591 | 0,61526 | 0,61539 | 0,61551 | 0,61564 | 0,61576 | 0,61589 | 0,61602 | 0,61614 | 0,61627 | 0,61639 |
0,592 | 0,61652 | 0,61665 | 0,61677 | 0,61690 | 0,61702 | 0,61715 | 0,61727 | 0,61740 | 0,61752 | 0,61765 |
0,593 | 0,61777 | 0,61790 | 0,61802 | 0,61815 | 0,61827 | 0,61840 | 0,61852 | 0,61865 | 0,61877 | 0,61890 |
0,594 | 0,61902 | 0,61915 | 0,61927 | 0,61940 | 0,61952 | 0,61965 | 0,61977 | 0,61990 | 0,62002 | 0,62015 |
0,595 | 0,62027 | 0,62039 | 0,62052 | 0,62064 | 0,62077 | 0,62089 | 0,62101 | 0,62114 | 0,62126 | 0,62139 |
0,596 | 0,62151 | 0,62163 | 0,62176 | 0,62188 | 0,62200 | 0,62213 | 0,62225 | 0,62237 | 0,62249 | 0,62262 |
0,597 | 0,62274 | 0,62286 | 0,62299 | 0,62311 | 0,62324 | 0,62336 | 0,62348 | 0,62361 | 0,62373 | 0,62386 |
0,598 | 0,62398 | 0,62410 | 0,62423 | 0,62435 | 0,62448 | 0,62460 | 0,62472 | 0,62485 | 0,62497 | 0,62510 |
0,599 | 0,62522 | 0,62534 | 0,62547 | 0,62559 | 0,62571 | 0,62584 | 0,62596 | 0,62608 | 0,62620 | 0,62633 |
0,600 | 0,62645 | 0,62657 | 0,62670 | 0,62682 | 0,62695 | 0,62707 | 0,62719 | 0,62732 | 0,62744 | 0,62757 |
0,601 | 0,62769 | 0,62781 | 0,62794 | 0,62806 | 0,62819 | 0,62831 | 0,62844 | 0,62856 | 0,62869 | 0,62881 |
0,602 | 0,62894 | 0,62906 | 0,62919 | 0,62931 | 0,62944 | 0,62956 | 0,62969 | 0,62981 | 0,62994 | 0,63006 |
0,603 | 0,63019 | 0,63031 | 0,63044 | 0,63056 | 0,63069 | 0,63081 | 0,63093 | 0,63106 | 0,63118 | 0,63131 |
0,604 | 0,63144 | 0,63156 | 0,63169 | 0,63181 | 0,63194 | 0,63206 | 0,63219 | 0,63231 | 0,63244 | 0,63256 |
0,605 | 0,63268 | 0,63280 | 0,63293 | 0,63305 | 0,63318 | 0,63330 | 0,63343 | 0,63355 | 0,63368 | 0,63380 |
0,606 | 0,63392 | 0,63404 | 0,63417 | 0,63429 | 0,63442 | 0,63454 | 0,63467 | 0,63479 | 0,63491 | 0,63504 |
0,607 | 0,63516 | 0,63528 | 0,63541 | 0,63553 | 0,63566 | 0,63578 | 0,63590 | 0,63608 | 0,63615 | 0,63628 |
0,608 | 0,63640 | 0,63652 | 0,63665 | 0,63677 | 0,63690 | 0,63702 | 0,63714 | 0,63727 | 0,63739 | 0,63752 |
0,609 | 0,63764 | 0,63776 | 0,63789 | 0,63801 | 0,63814 | 0,63826 | 0,63838 | 0,63851 | 0,63863 | 0,63876 |
0,610 | 0,63888 | 0,63900 | 0,63913 | 0,63925 | 0,63938 | 0,63950 | 0,63962 | 0,63975 | 0,63987 | 0,64000 |
0,611 | 0,64012 | 0,64024 | 0,64037 | 0,64049 | 0,64062 | 0,64074 | 0,64086 | 0,64099 | 0,64111 | 0,64124 |
0,612 | 0,64136 | 0,64149 | 0,64161 | 0,64174 | 0,64186 | 0,64199 | 0,64212 | 0,64224 | 0,64237 | 0,64249 |
0,613 | 0,64262 | 0,64275 | 0,64287 | 0,64300 | 0,64312 | 0,64325 | 0,64337 | 0,64350 | 0,64362 | 0,64375 |
0,614 | 0,64387 | 0,64400 | 0,64412 | 0,64425 | 0,64437 | 0,64450 | 0,64462 | 0,64475 | 0,64487 | 0,64500 |
0,615 | 0,64512 | 0,64525 | 0,64537 | 0,64550 | 0,64562 | 0,64575 | 0,64587 | 0,64600 | 0,64612 | 0,64625 |
0,616 | 0,64637 | 0,64650 | 0,64662 | 0,64675 | 0,64687 | 0,64700 | 0,64712 | 0,64725 | 0,64737 | 0,64750 |
0,617 | 0,64762 | 0,64774 | 0,64787 | 0,64799 | 0,64812 | 0,64824 | 0,64836 | 0,64849 | 0,64861 | 0,64874 |
0,618 | 0,64886 | 0,64898 | 0,64911 | 0,64923 | 0,64936 | 0,64948 | 0,64960 | 0,64973 | 0,64985 | 0,64998 |
0,619 | 0,65010 | 0,65022 | 0,65035 | 0,65047 | 0,65059 | 0,65072 | 0,65084 | 0,65096 | 0,65108 | 0,65121 |
0,620 | 0,65133 | 0,65145 | 0,65158 | 0,65170 | 0,65182 | 0,65195 | 0,65207 | 0,65219 | 0,65231 | 0,65244 |
0,621 | 0,65256 | 0,65268 | 0,65280 | 0,65293 | 0,65305 | 0,65317 | 0,65329 | 0,65341 | 0,65354 | 0,65366 |
0,622 | 0,65378 | 0,65390 | 0,65403 | 0,65415 | 0,65427 | 0,65440 | 0,65452 | 0,65464 | 0,65476 | 0,65489 |
0,623 | 0,65501 | 0,65513 | 0,65526 | 0,65538 | 0,65550 | 0,65563 | 0,65575 | 0,65587 | 0,65599 | 0,65612 |
0,624 | 0,65624 | 0,65636 | 0,65649 | 0,65661 | 0,65673 | 0,65686 | 0,65698 | 0,65710 | 0,65722 | 0,65735 |
0,625 | 0,65747 | 0,65759 | 0,65772 | 0,65784 | 0,65797 | 0,65809 | 0,65821 | 0,65834 | 0,65846 | 0,65859 |
0,626 | 0,65871 | 0,65883 | 0,65896 | 0,65908 | 0,65921 | 0,65933 | 0,65945 | 0,65958 | 0,65970 | 0,65983 |
0,627 | 0,65995 | 0,66007 | 0,66020 | 0,66032 | 0,66045 | 0,66057 | 0,66069 | 0,66082 | 0,66094 | 0,66107 |
0,628 | 0,66119 | 0,66131 | 0,66144 | 0,66156 | 0,66168 | 0,66181 | 0,66193 | 0,66205 | 0,66217 | 0,66230 |
0,629 | 0,66242 | 0,66254 | 0,66267 | 0,66279 | 0,66292 | 0,66304 | 0,66316 | 0,66329 | 0,66341 | 0,66354 |
0,630 | 0,66366 | 0,66378 | 0,66391 | 0,66403 | 0,66416 | 0,66428 | 0,66440 | 0,66453 | 0,66465 | 0,66478 |
0,631 | 0,66490 | 0,66502 | 0,66515 | 0,66527 | 0,66540 | 0,66552 | 0,66564 | 0,66577 | 0,66589 | 0,66602 |
0,632 | 0,66614 | 0,66626 | 0,66639 | 0,66651 | 0,66663 | 0,66676 | 0,66688 | 0,66700 | 0,66712 | 0,66725 |
0,633 | 0,66737 | 0,66749 | 0,66762 | 0,66774 | 0,66786 | 0,66799 | 0,66811 | 0,66823 | 0,66835 | 0,66848 |
0,634 | 0,66860 | 0,66872 | 0,66884 | 0,66897 | 0,66909 | 0,66921 | 0,66933 | 0,66945 | 0,66958 | 0,66970 |
0,635 | 0,66982 | 0,66994 | 0,67006 | 0,67019 | 0,67031 | 0,67043 | 0,67055 | 0,67067 | 0,67080 | 0,67092 |
0,636 | 0,67104 | 0,67116 | 0,67128 | 0,67141 | 0,67153 | 0,67165 | 0,67177 | 0,67189 | 0,67202 | 0,67214 |
0,637 | 0,67226 | 0,67238 | 0,67250 | 0,67262 | 0,67274 | 0,67287 | 0,67299 | 0,67311 | 0,67323 | 0,67335 |
0,638 | 0,67347 | 0,67359 | 0,67371 | 0,67383 | 0,67395 | 0,67408 | 0,67420 | 0,67432 | 0,67444 | 0,67456 |
0,639 | 0,67468 | 0,67480 | 0,67492 | 0,67505 | 0,67517 | 0,67529 | 0,67541 | 0,67553 | 0,67566 | 0,67578 |
0,640 | 0,67590 | 0,67602 | 0,67614 | 0,67627 | 0,67639 | 0,67651 | 0,67663 | 0,67675 | 0,67688 | 0,67700 |
0,641 | 0,67712 | 0,67724 | 0,67736 | 0,67749 | 0,67761 | 0,67773 | 0,67785 | 0,67797 | 0,67810 | 0,67822 |
0,642 | 0,67834 | 0,67846 | 0,67858 | 0,67871 | 0,67883 | 0,67895 | 0,67907 | 0,67919 | 0,67932 | 0,67944 |
0,643 | 0,67956 | 0,67968 | 0,67980 | 0,67992 | 0,68004 | 0,68017 | 0,68029 | 0,68041 | 0,68053 | 0,68065 |
0,644 | 0,68077 | 0,68089 | 0,68101 | 0,68113 | 0,68125 | 0,68138 | 0,68150 | 0,68162 | 0,68174 | 0,68185 |
0,645 | 0,68198 | 0,68210 | 0,68222 | 0,68234 | 0,68246 | 0,68259 | 0,68271 | 0,68283 | 0,68295 | 0,68307 |
0,646 | 0,68319 | 0,68331 | 0,68344 | 0,68356 | 0,68368 | 0,68381 | 0,68393 | 0,68405 | 0,68417 | 0,68430 |
0,647 | 0,68442 | 0,68454 | 0,68466 | 0,68479 | 0,68491 | 0,68503 | 0,68515 | 0,68527 | 0,68540 | 0,68552 |
0,648 | 0,68564 | 0,68576 | 0,68588 | 0,68601 | 0,68613 | 0,68625 | 0,68637 | 0,68649 | 0,68662 | 0,68674 |
0,649 | 0,68686 | 0,68698 | 0,68710 | 0,68723 | 0,68735 | 0,68747 | 0,68759 | 0,68771 | 0,68784 | 0,68796 |
0,650 | 0,68808 | 0,68820 | 0,68832 | 0,68845 | 0,68857 | 0,68869 | 0,68881 | 0,68893 | 0,68906 | 0,68918 |
0,651 | 0,68930 | 0,68942 | 0,68954 | 0,68967 | 0,68979 | 0,68991 | 0,69003 | 0,69015 | 0,69028 | 0,69040 |
0,652 | 0,69052 | 0,69064 | 0,69076 | 0,69088 | 0,69100 | 0,69113 | 0,69125 | 0,69137 | 0,69149 | 0,69161 |
0,653 | 0,69173 | 0,69185 | 0,69197 | 0,69209 | 0,69221 | 0,69234 | 0,69246 | 0,69258 | 0,69270 | 0,69282 |
0,654 | 0,69294 | 0,69306 | 0,69318 | 0,69330 | 0,69342 | 0,69355 | 0,69367 | 0,69379 | 0,69391 | 0,69403 |
0,655 | 0,69415 | 0,69427 | 0,69439 | 0,69451 | 0,69463 | 0,69475 | 0,69487 | 0,69499 | 0,69511 | 0,69523 |
0,656 | 0,69535 | 0,69547 | 0,69559 | 0,69571 | 0,69583 | 0,69596 | 0,69608 | 0,69620 | 0,69632 | 0,69644 |
0,657 | 0,69656 | 0,69668 | 0,69680 | 0,69692 | 0,69704 | 0,69717 | 0,69729 | 0,69741 | 0,69753 | 0,69765 |
0,658 | 0,69777 | 0,69789 | 0,69801 | 0,69813 | 0,69825 | 0,69838 | 0,69850 | 0,69862 | 0,69874 | 0,69886 |
0,659 | 0,69898 | 0,69910 | 0,69922 | 0,69934 | 0,69946 | 0,69958 | 0,69970 | 0,69982 | 0,69994 | 0,70006 |
0,660 | 0,70018 | 0,70030 | 0,70042 | 0,70054 | 0,70066 | 0,70078 | 0,70090 | 0,70102 | 0,70114 | 0,70126 |
0,661 | 0,70138 | 0,70150 | 0,70162 | 0,70174 | 0,70186 | 0,70198 | 0,70210 | 0,70222 | 0,70234 | 0,70246 |
0,662 | 0,70258 | 0,70270 | 0,70282 | 0,70294 | 0,70306 | 0,70318 | 0,70330 | 0,70342 | 0,70354 | 0,70366 |
0,663 | 0,70378 | 0,70390 | 0,70402 | 0,70414 | 0,70426 | 0,70438 | 0,70450 | 0,70462 | 0,79474 | 0,70486 |
0,664 | 0,70498 | 0,70510 | 0,70522 | 0,70534 | 0,70546 | 0,70559 | 0,70571 | 0,70583 | 0,70595 | 0,70607 |
0,665 | 0,70619 | 0,70631 | 0,70643 | 0,70655 | 0,70667 | 0,70680 | 0,70692 | 0,70704 | 0,70716 | 0,70728 |
0,666 | 0,70740 | 0,70752 | 0,70764 | 0,70776 | 0,70788 | 0,70801 | 0,70813 | 0,70825 | 0,70837 | 0,70849 |
0,667 | 0,70861 | 0,70873 | 0,70885 | 0,70897 | 0,70909 | 0,70921 | 0,70933 | 0,70945 | 0,70957 | 0,70969 |
0,668 | 0,70981 | 0,70993 | 0,71005 | 0,71017 | 0,71029 | 0,71041 | 0,71053 | 0,71065 | 0,71077 | 0,71089 |
0,669 | 0,71101 | 0,71113 | 0,71125 | 0,71137 | 0,71149 | 0,71161 | 0,71173 | 0,71185 | 0,71197 | 0,71209 |
0,670 | 0,71221 | 0,71233 | 0,71245 | 0,71257 | 0,71269 | 0,71281 | 0,71293 | 0,71305 | 0,71317 | 0,71329 |
0,671 | 0,71341 | 0,71353 | 0,71365 | 0,71377 | 0,71389 | 0,71401 | 0,71413 | 0,71425 | 0,71437 | 0,71449 |
0,672 | 0,71461 | 0,71473 | 0,71485 | 0,71497 | 0,71509 | 0,71521 | 0,71533 | 0,71544 | 0,71557 | 0,71569 |
0,673 | 0,71581 | 0,71593 | 0,71605 | 0,71617 | 0,71629 | 0,71641 | 0,71653 | 0,71665 | 0,71677 | 0,71689 |
0,674 | 0,71701 | 0,71713 | 0,71725 | 0,71737 | 0,71749 | 0,71761 | 0,71772 | 0,71784 | 0,71796 | 0,71808 |
0,675 | 0,71820 | 0,71832 | 0,71844 | 0,71856 | 0,71868 | 0,71880 | 0,71891 | 0,71903 | 0,71915 | 0,71927 |
0,676 | 0,71939 | 0,71951 | 0,71963 | 0,71974 | 0,71986 | 0,71998 | 0,72010 | 0,72022 | 0,72033 | 0,72045 |
0,677 | 0,72057 | 0,72069 | 0,72081 | 0,72092 | 0,72104 | 0,72116 | 0,72128 | 0,72140 | 0,72151 | 0,72163 |
0,678 | 0,72175 | 0,72187 | 0,72199 | 0,72210 | 0,72222 | 0,72234 | 0,72246 | 0,72253 | 0,72269 | 0,72281 |
0,679 | 0,72293 | 0,72305 | 0,72317 | 0,72329 | 0,72341 | 0,72353 | 0,72364 | 0,72376 | 0,72388 | 0,72400 |
0,680 | 0,72412 | 0,72424 | 0,72436 | 0,72448 | 0,72460 | 0,72482 | 0,72483 | 0,72495 | 0,72507 | 0,72519 |
0,681 | 0,72531 | 0,72543 | 0,72555 | 0,72567 | 0,72579 | 0,72591 | 0,72602 | 0,72614 | 0,72626 | 0,72638 |
0,682 | 0,72650 | 0,72662 | 0,72674 | 0,72686 | 0,72698 | 0,72710 | 0,72721 | 0,72733 | 0,72745 | 0,72757 |
0,683 | 0,72769 | 0,72781 | 0,72793 | 0,72804 | 0,72816 | 0,72828 | 0,72840 | 0,72852 | 0,72863 | 0,72875 |
0,684 | 0,72887 | 0,72899 | 0,72911 | 0,72922 | 0,72934 | 0,72946 | 0,72958 | 0,72970 | 0,72981 | 0,72993 |
0,685 | 0,73005 | 0,73017 | 0,73029 | 0,73040 | 0,73052 | 0,73064 | 0,73076 | 0,73088 | 0,73099 | 0,73111 |
0,686 | 0,73123 | 0,73135 | 0,73147 | 0,73158 | 0,73170 | 0,73182 | 0,73194 | 0,73206 | 0,73217 | 0,73229 |
0,687 | 0,73241 | 0,73253 | 0,73265 | 0,73276 | 0,73288 | 0,73300 | 0,73312 | 0,73324 | 0,73335 | 0,73347 |
0,688 | 0,73359 | 0,73371 | 0,73383 | 0,73394 | 0,73406 | 0,73418 | 0,73430 | 0,73442 | 0,73453 | 0,73465 |
0,689 | 0,73477 | 0,73489 | 0,73501 | 0,73512 | 0,73524 | 0,73536 | 0,73548 | 0,73560 | 0,73571 | 0,73583 |
0,690 | 0,73595 | 0,73607 | 0,73619 | 0,73630 | 0,73642 | 0,73654 | 0,73666 | 0,73678 | 0,73689 | 0,73701 |
0,691 | 0,73713 | 0,73725 | 0,73737 | 0,73748 | 0,73760 | 0,73772 | 0,73784 | 0,73796 | 0,73807 | 0,73819 |
0,692 | 0,73831 | 0,73843 | 0,73855 | 0,73866 | 0,73878 | 0,73890 | 0,73902 | 0,73914 | 0,73925 | 0,73937 |
0,693 | 0,73949 | 0,73961 | 0,73973 | 0,73984 | 0,73996 | 0,74006 | 0,74020 | 0,74032 | 0,74043 | 0,74055 |
0,694 | 0,74067 | 0,74079 | 0,74091 | 0,74102 | 0,74114 | 0,74126 | 0,74138 | 0,74150 | 0,74161 | 0,74173 |
0,695 | 0,74185 | 0,74197 | 0,74209 | 0,74221 | 0,74233 | 0,74245 | 0,74257 | 0,74269 | 0,74281 | 0,74303 |
0,696 | 0,74305 | 0,74317 | 0,74329 | 0,74341 | 0,74353 | 0,74364 | 0,74376 | 0,74388 | 0,74400 | 0,74412 |
0,697 | 0,74424 | 0,74436 | 0,74448 | 0,74460 | 0,74471 | 0,74483 | 0,74495 | 0,74507 | 0,74519 | 0,74530 |
0,698 | 0,74542 | 0,74554 | 0,74566 | 0,74577 | 0,74589 | 0,74601 | 0,74613 | 0,74625 | 0,74636 | 0,74648 |
0,699 | 0,74660 | 0,74672 | 0,74683 | 0,74694 | 0,74706 | 0,74718 | 0,74729 | 0,74741 | 0,74752 | 0,74764 |
0,700 | 0,74775 | 0,74787 | 0,74798 | 0,74810 | 0,74821 | 0,74833 | 0,74844 | 0,74856 | 0,74867 | 0,74879 |
0,701 | 0,74890 | 0,74902 | 0,74913 | 0,74925 | 0,74936 | 0,74948 | 0,74959 | 0,74971 | 0,74982 | 0,74994 |
0,702 | 0,75005 | 0,75017 | 0,75028 | 0,75040 | 0,75051 | 0,75063 | 0,75074 | 0,75086 | 0,75097 | 0,75109 |
0,703 | 0,75120 | 0,75132 | 0,75143 | 0,75155 | 0,75166 | 0,75178 | 0,75190 | 0,75201 | 0,75213 | 0,75244 |
0,704 | 0,75236 | 0,75248 | 0,75259 | 0,75271 | 0,75282 | 0,75294 | 0,75306 | 0,75317 | 0,75329 | 0,75340 |
0,705 | 0,75352 | 0,75364 | 0,75375 | 0,75387 | 0,75398 | 0,75410 | 0,75421 | 0,75433 | 0,75444 | 0,75456 |
0,706 | 0,75467 | 0,75479 | 0,75490 | 0,75502 | 0,75513 | 0,75525 | 0,75536 | 0,75548 | 0,75559 | 0,75571 |
0,707 | 0,75582 | 0,75594 | 0,75605 | 0,75617 | 0,75628 | 0,75640 | 0,75652 | 0,75663 | 0,75675 | 0,75686 |
0,708 | 0,75698 | 0,75710 | 0,75721 | 0,75733 | 0,75744 | 0,75756 | 0,75768 | 0,75779 | 0,75791 | 0,75802 |
0,709 | 0,75814 | 0,75826 | 0,75837 | 0,75849 | 0,75860 | 0,75872 | 0,75884 | 0,75895 | 0,75907 | 0,75918 |
0,710 | 0,75930 | 0,75942 | 0,75953 | 0,75965 | 0,75976 | 0,75988 | 0,76000 | 0,76011 | 0,76023 | 0,76034 |
0,711 | 0,76046 | 0,76058 | 0,76069 | 0,76081 | 0,76092 | 0,76104 | 0,76116 | 0,76127 | 0,76139 | 0,76150 |
0,712 | 0,76162 | 0,76173 | 0,76185 | 0,76196 | 0,76208 | 0,76219 | 0,76231 | 0,76242 | 0,76254 | 0,76265 |
0,713 | 0,76277 | 0,76289 | 0,76300 | 0,76312 | 0,76323 | 0,76335 | 0,76346 | 0,76358 | 0,76369 | 0,76381 |
0,714 | 0,76392 | 0,76404 | 0,76415 | 0,76427 | 0,76438 | 0,76450 | 0,76461 | 0,76473 | 0,76484 | 0,76496 |
0,715 | 0,76507 | 0,76518 | 0,76530 | 0,76541 | 0,76553 | 0,76564 | 0,76575 | 0,76587 | 0,76598 | 0,76610 |
0,716 | 0,76621 | 0,76632 | 0,76644 | 0,76655 | 0,76667 | 0,76678 | 0,76689 | 0,76701 | 0,76712 | 0,76724 |
0,717 | 0,76735 | 0,76746 | 0,76758 | 0,76769 | 0,76781 | 0,76792 | 0,76803 | 0,76815 | 0,76826 | 0,76838 |
0,718 | 0,76849 | 0,76860 | 0,76872 | 0,76883 | 0,76895 | 0,76906 | 0,76917 | 0,76929 | 0,76940 | 0,76952 |
0,719 | 0,76963 | 0,76975 | 0,76986 | 0,76998 | 0,77009 | 0,77021 | 0,77032 | 0,77044 | 0,77055 | 0,77067 |
0,720 | 0,77078 | 0,77090 | 0,77101 | 0,77113 | 0,77124 | 0,77136 | 0,77147 | 0,77159 | 0,77170 | 0,77182 |
0,721 | 0,77193 | 0,77204 | 0,77216 | 0,77227 | 0,77239 | 0,77250 | 0,77261 | 0,77283 | 0,77284 | 0,77296 |
0,722 | 0,77307 | 0,77318 | 0,77330 | 0,77341 | 0,77353 | 0,77364 | 0,77375 | 0,77387 | 0,77398 | 0,77410 |
0,723 | 0,77421 | 0,77432 | 0,77444 | 0,77455 | 0,77466 | 0,77478 | 0,77489 | 0,77500 | 0,77511 | 0,77523 |
0,724 | 0,77534 | 0,77545 | 0,77557 | 0,77568 | 0,77580 | 0,77591 | 0,77602 | 0,77614 | 0,77625 | 0,77637 |
0,725 | 0,77648 | 0,77659 | 0,77671 | 0,77682 | 0,77694 | 0,77705 | 0,77716 | 0,77728 | 0,77739 | 0,77751 |
0,726 | 0,77762 | 0,77773 | 0,77785 | 0,77796 | 0,77808 | 0,77819 | 0,77830 | 0,77842 | 0,77853 | 0,77865 |
0,727 | 0,77876 | 0,77887 | 0,77899 | 0,77910 | 0,77922 | 0,77933 | 0,77944 | 0,77956 | 0,77967 | 0,77979 |
0,728 | 0,77990 | 0,78001 | 0,78013 | 0,78024 | 0,78036 | 0,78047 | 0,78058 | 0,78071 | 0,78081 | 0,78093 |
0,729 | 0,78104 | 0,78115 | 0,78127 | 0,78138 | 0,78149 | 0,78160 | 0,78172 | 0,78183 | 0,78194 | 0,78206 |
0,730 | 0,78217 | 0,78228 | 0,78240 | 0,78251 | 0,78262 | 0,78274 | 0,78285 | 0,78296 | 0,78307 | 0,78319 |
0,731 | 0,78330 | 0,78341 | 0,78352 | 0,78364 | 0,78375 | 0,78386 | 0,78397 | 0,78408 | 0,78420 | 0,78431 |
0,732 | 0,78442 | 0,78453 | 0,78464 | 0,78476 | 0,78487 | 0,78498 | 0,78509 | 0,78520 | 0,78532 | 0,78543 |
0,733 | 0,78554 | 0,78565 | 0,78576 | 0,78588 | 0,78599 | 0,78610 | 0,78621 | 0,78632 | 0,78644 | 0,78655 |
0,734 | 0,78666 | 0,78677 | 0,78688 | 0,78700 | 0,78711 | 0,78722 | 0,78733 | 0,78744 | 0,78756 | 0,78767 |
0,735 | 0,78778 | 0,78789 | 0,78800 | 0,78812 | 0,78823 | 0,78834 | 0,78845 | 0,78856 | 0,78867 | 0,78879 |
0,736 | 0,78890 | 0,78901 | 0,78912 | 0,78924 | 0,78935 | 0,78946 | 0,78957 | 0,78968 | 0,78980 | 0,78991 |
0,737 | 0,79002 | 0,79013 | 0,79024 | 0,79036 | 0,79047 | 0,79058 | 0,79069 | 0,79080 | 0,79092 | 0,79103 |
0,738 | 0,79114 | 0,79125 | 0,79137 | 0,79148 | 0,79159 | 0,79171 | 0,79182 | 0,79193 | 0,79204 | 0,79216 |
0,739 | 0,79227 | 0,79238 | 0,79249 | 0,79261 | 0,79272 | 0,79283 | 0,79294 | 0,79305 | 0,79317 | 0,79328 |
0,740 | 0,79339 | 0,79350 | 0,79361 | 0,79373 | 0,79384 | 0,79395 | 0,79406 | 0,79417 | 0,79429 | 0,79440 |
0,741 | 0,79451 | 0,79462 | 0,79473 | 0,79485 | 0,79496 | 0,79507 | 0,79519 | 0,79529 | 0,79541 | 0,79552 |
0,742 | 0,79563 | 0,79574 | 0,79585 | 0,79597 | 0,79608 | 0,79619 | 0,79630 | 0,79641 | 0,79653 | 0,79664 |
0,743 | 0,79675 | 0,79686 | 0,79697 | 0,79709 | 0,79720 | 0,79731 | 0,79742 | 0,79753 | 0,79765 | 0,79776 |
0,744 | 0,79787 | 0,79798 | 0,79809 | 0,79821 | 0,79832 | 0,79843 | 0,79854 | 0,79865 | 0,79877 | 0,79887 |
0,745 | 0,79898 | 0,79909 | 0,79920 | 0,79931 | 0,79942 | 0,79953 | 0,79965 | 0,79976 | 0,79987 | 0,79998 |
0,746 | 0,80009 | 0,80020 | 0,80031 | 0,80042 | 0,80053 | 0,80065 | 0,80076 | 0,80087 | 0,80098 | 0,80109 |
0,747 | 0,80120 | 0,80131 | 0,80142 | 0,80153 | 0,80164 | 0,80175 | 0,80186 | 0,80197 | 0,80208 | 0,80219 |
0,748 | 0,80230 | 0,80241 | 0,80252 | 0,80263 | 0,80274 | 0,80285 | 0,80296 | 0,80307 | 0,80318 | 0,80329 |
0,749 | 0,80340 | 0,80351 | 0,80362 | 0,80373 | 0,80384 | 0,80395 | 0,80406 | 0,80417 | 0,80428 | 0,80439 |
0,750 | 0,80450 | 0,80461 | 0,80472 | 0,80483 | 0,80494 | 0,80506 | 0,80517 | 0,80528 | 0,80539 | 0,80550 |
0,751 | 0,80561 | 0,80572 | 0,80583 | 0,80594 | 0,80605 | 0,80617 | 0,80628 | 0,80639 | 0,80650 | 0,80661 |
0,752 | 0,80672 | 0,80683 | 0,80694 | 0,80705 | 0,80716 | 0,80727 | 0,80738 | 0,80749 | 0,80760 | 0,80771 |
0,753 | 0,80782 | 0,80793 | 0,80804 | 0,80815 | 0,80826 | 0,80837 | 0,80848 | 0,80859 | 0,80870 | 0,80881 |
0,754 | 0,80892 | 0,80903 | 0,80914 | 0,80925 | 0,80936 | 0,80947 | 0,80958 | 0,80969 | 0,80980 | 0,80991 |
0,755 | 0,81002 | 0,81013 | 0,81024 | 0,81035 | 0,81046 | 0,81057 | 0,81067 | 0,81078 | 0,81089 | 0,81100 |
0,756 | 0,81111 | 0,81122 | 0,81133 | 0,81144 | 0,81155 | 0,81166 | 0,81176 | 0,81187 | 0,81198 | 0,81209 |
0,757 | 0,81220 | 0,81231 | 0,81242 | 0,81252 | 0,81263 | 0,81274 | 0,81285 | 0,81296 | 0,81306 | 0,81317 |
0,758 | 0,81328 | 0,81339 | 0,81349 | 0,81360 | 0,81371 | 0,81382 | 0,81392 | 0,81403 | 0,81414 | 0,81424 |
0,759 | 0,81435 | 0,81446 | 0,81457 | 0,81468 | 0,81479 | 0,81490 | 0,81500 | 0,81511 | 0,81522 | 0,81533 |
0,760 | 0,81544 | 0,81555 | 0,81566 | 0,81577 | 0,81588 | 0,81599 | 0,81610 | 0,81621 | 0,81632 | 0,81643 |
0,761 | 0,81654 | 0,81665 | 0,81676 | 0,81687 | 0,81698 | 0,81709 | 0,81720 | 0,81731 | 0,81742 | 0,81753 |
0,762 | 0,81764 | 0,81775 | 0,81786 | 0,81796 | 0,81807 | 0,81818 | 0,81829 | 0,81840 | 0,81850 | 0,81861 |
0,763 | 0,81872 | 0,81883 | 0,81894 | 0,81904 | 0,81915 | 0,81926 | 0,81937 | 0,81948 | 0,81958 | 0,81969 |
0,764 | 0,81980 | 0,81991 | 0,82002 | 0,82012 | 0,82023 | 0,82034 | 0,82045 | 0,82056 | 0,82066 | 0,82077 |
0,765 | 0,82088 | 0,82099 | 0,82110 | 0,82120 | 0,82131 | 0,82142 | 0,82153 | 0,82164 | 0,87174 | 0,82185 |
0,766 | 0,82196 | 0,82207 | 0,82218 | 0,82228 | 0,82239 | 0,82250 | 0,82261 | 0,82272 | 0,82282 | 0,82293 |
0,767 | 0,82304 | 0,82315 | 0,82325 | 0,82336 | 0,82347 | 0,82358 | 0,82368 | 0,82379 | 0,82390 | 0,82400 |
0,768 | 0,82411 | 0,82422 | 0,82432 | 0,82443 | 0,82454 | 0,82465 | 0,82475 | 0,82486 | 0,82497 | 0,82507 |
0,769 | 0,82518 | 0,82529 | 0,82539 | 0,82550 | 0,82561 | 0,82572 | 0,82582 | 0,82593 | 0,82604 | 0,82614 |
0,770 | 0,82625 | 0,82636 | 0,82646 | 0,82658 | 0,82669 | 0,82680 | 0,82690 | 0,82701 | 0,82712 | 0,82723 |
0,771 | 0,82734 | 0,82744 | 0,82755 | 0,82766 | 0,82777 | 0,82788 | 0,82798 | 0,82809 | 0,82820 | 0,82830 |
0,772 | 0,82841 | 0,82852 | 0,82863 | 0,82873 | 0,82884 | 0,82895 | 0,82906 | 0,82917 | 0,82927 | 0,82938 |
0,773 | 0,82949 | 0,82960 | 0,82970 | 0,82981 | 0,82991 | 0,83002 | 0,83013 | 0,83023 | 0,83034 | 0,83044 |
0,774 | 0,83055 | 0,83066 | 0,83076 | 0,83087 | 0,83097 | 0,83108 | 0,83119 | 0,83129 | 0,83140 | 0,83150 |
0,775 | 0,83161 | 0,83172 | 0,83182 | 0,83193 | 0,83203 | 0,83214 | 0,83225 | 0,83235 | 0,83246 | 0,83256 |
0,776 | 0,83267 | 0,83278 | 0,83288 | 0,83299 | 0,83309 | 0,83320 | 0,83330 | 0,83341 | 0,83351 | 0,83362 |
0,777 | 0,83372 | 0,83383 | 0,83393 | 0,83404 | 0,83414 | 0,83425 | 0,83436 | 0,83446 | 0,83457 | 0,83467 |
0,778 | 0,83478 | 0,83489 | 0,83499 | 0,83510 | 0,83520 | 0,83531 | 0,83541 | 0,83552 | 0,83562 | 0,83573 |
0,779 | 0,83583 | 0,83594 | 0,83604 | 0,83615 | 0,83625 | 0,83636 | 0,83646 | 0,83657 | 0,83667 | 0,83678 |
0,780 | 0,83688 | 0,83699 | 0,83709 | 0,83720 | 0,83730 | 0,83741 | 0,83752 | 0,83762 | 0,83773 | 0,83783 |
0,781 | 0,83794 | 0,83805 | 0,83815 | 0,83826 | 0,83836 | 0,83847 | 0,83857 | 0,83868 | 0,83878 | 0,83889 |
0,782 | 0,83899 | 0,83910 | 0,83920 | 0,83931 | 0,83941 | 0,83952 | 0,83962 | 0,83973 | 0,83983 | 0,83994 |
0,783 | 0,84004 | 0,84014 | 0,84025 | 0,84035 | 0,84046 | 0,84056 | 0,84066 | 0,84077 | 0,84087 | 0,84098 |
0,784 | 0,84108 | 0,84119 | 0,84129 | 0,84140 | 0,84150 | 0,84161 | 0,84171 | 0,84182 | 0,84192 | 0,84203 |
0,785 | 0,84213 | 0,84223 | 0,84234 | 0,84244 | 0,84255 | 0,84265 | 0,85275 | 0,84286 | 0,84296 | 0,84307 |
0,786 | 0,84317 | 0,84327 | 0,84338 | 0,84348 | 0,84359 | 0,84369 | 0,84379 | 0,84390 | 0,84400 | 0,84411 |
0,787 | 0,84421 | 0,84432 | 0,84442 | 0,84453 | 0,84463 | 0,84474 | 0,84484 | 0,84495 | 0,84505 | 0,84516 |
0,788 | 0,84526 | 0,84536 | 0,84547 | 0,84557 | 0,84568 | 0,84578 | 0,84588 | 0,84599 | 0,84609 | 0,84620 |
0,789 | 0,84630 | 0,84640 | 0,84651 | 0,84661 | 0,84672 | 0,84682 | 0,84692 | 0,84703 | 0,84713 | 0,84724 |
0,790 | 0,84734 | 0,84744 | 0,84755 | 0,84765 | 0,84775 | 0,84786 | 0,84796 | 0,84806 | 0,84816 | 0,84827 |
0,791 | 0,84837 | 0,84847 | 0,84858 | 0,84868 | 0,84879 | 0,84889 | 0,84899 | 0,84910 | 0,84920 | 0,84931 |
0,792 | 0,84941 | 0,84951 | 0,84962 | 0,84972 | 0,84982 | 0,84993 | 0,85003 | 0,85013 | 0,85023 | 0,85034 |
0,793 | 0,85044 | 0,85054 | 0,85065 | 0,85075 | 0,85085 | 0,85096 | 0,85106 | 0,85116 | 0,85126 | 0,85137 |
0,794 | 0,85147 | 0,85157 | 0,85168 | 0,85178 | 0,85189 | 0,85199 | 0,85209 | 0,85220 | 0,85230 | 0,85241 |
0,795 | 0,85251 | 0,85261 | 0,85272 | 0,85282 | 0,85292 | 0,85303 | 0,85313 | 0,85323 | 0,85333 | 0,85344 |
0,796 | 0,85354 | 0,85364 | 0,85375 | 0,85385 | 0,85395 | 0,85406 | 0,85416 | 0,85426 | 0,85436 | 0,85447 |
0,797 | 0,85457 | 0,85467 | 0,85477 | 0,85488 | 0,85498 | 0,85508 | 0,85518 | 0,85528 | 0,85539 | 0,85549 |
0,798 | 0,85559 | 0,85569 | 0,85579 | 0,85590 | 0,85600 | 0,85610 | 0,85620 | 0,85630 | 0,85641 | 0,85651 |
0,799 | 0,85661 | 0,85671 | 0,85681 | 0,85692 | 0,85702 | 0,85712 | 0,85722 | 0,85732 | 0,85743 | 0,85753 |
0,800 | 0,85763 | 0,85773 | 0,85783 | 0,85794 | 0,85804 | 0,85814 | 0,85824 | 0,85834 | 0,85845 | 0,85855 |
0,801 | 0,85865 | 0,85875 | 0,85885 | 0,85895 | 0,85905 | 0,85916 | 0,85926 | 0,85936 | 0,85946 | 0,85956 |
0,802 | 0,85966 | 0,85976 | 0,85986 | 0,85996 | 0,86006 | 0,86016 | 0,86026 | 0,86036 | 0,86046 | 0,86056 |
0,803 | 0,86066 | 0,86076 | 0,86086 | 0,86096 | 0,86106 | 0,86116 | 0,86126 | 0,86136 | 0,86146 | 0,86156 |
0,804 | 0,86166 | 0,86176 | 0,86186 | 0,86196 | 0,86206 | 0,86217 | 0,86227 | 0,86237 | 0,86247 | 0,86257 |
0,805 | 0,86267 | 0,86277 | 0,86287 | 0,86297 | 0,86307 | 0,86318 | 0,86328 | 0,86338 | 0,86348 | 0,86358 |
0,806 | 0,86368 | 0,86378 | 0,86388 | 0,86398 | 0,86408 | 0,86419 | 0,86429 | 0,86439 | 0,86449 | 0,86459 |
0,807 | 0,86469 | 0,86479 | 0,86489 | 0,86499 | 0,86509 | 0,86519 | 0,86529 | 0,86539 | 0,86549 | 0,86559 |
0,808 | 0,86569 | 0,86579 | 0,86589 | 0,86599 | 0,86609 | 0,86619 | 0,86629 | 0,86639 | 0,86649 | 0,86659 |
0,809 | 0,86670 | 0,86679 | 0,86689 | 0,86700 | 0,86710 | 0,86720 | 0,86730 | 0,86740 | 0,86751 | 0,86761 |
0,810 | 0,86771 | 0,86781 | 0,86791 | 0,86801 | 0,86811 | 0,86821 | 0,86831 | 0,86841 | 0,86851 | 0,86861 |
0,811 | 0,86871 | 0,86881 | 0,86891 | 0,86901 | 0,86911 | 0,86921 | 0,86930 | 0,86940 | 0,86950 | 0,86960 |
0,812 | 0,86970 | 0,86980 | 0,86990 | 0,87000 | 0,87010 | 0,87020 | 0,87030 | 0,87040 | 0,87050 | 0,87060 |
0,813 | 0,87070 | 0,87080 | 0,87090 | 0,87100 | 0,87110 | 0,87120 | 0,87130 | 0,87140 | 0,87150 | 0,87160 |
0,814 | 0,87170 | 0,87180 | 0,87190 | 0,87200 | 0,87210 | 0,87220 | 0,87229 | 0,87239 | 0,87249 | 0,87259 |
0,815 | 0,87269 | 0,87279 | 0,87289 | 0,87298 | 0,87308 | 0,87318 | 0,87328 | 0,87338 | 0,87347 | 0,87357 |
0,816 | 0,87367 | 0,87377 | 0,87387 | 0,87396 | 0,87406 | 0,87416 | 0,87426 | 0,87436 | 0,87445 | 0,87455 |
0,817 | 0,87465 | 0,87475 | 0,87485 | 0,87494 | 0,87504 | 0,87514 | 0,87524 | 0,87534 | 0,87543 | 0,87553 |
0,818 | 0,87563 | 0,87573 | 0,87583 | 0,87593 | 0,87603 | 0,87613 | 0,87623 | 0,87633 | 0,87643 | 0,87653 |
0,819 | 0,87663 | 0,87673 | 0,87683 | 0,87693 | 0,87703 | 0,87714 | 0,87724 | 0,87734 | 0,87744 | 0,87754 |
0,820 | 0,87764 | 0,87774 | 0,87784 | 0,87794 | 0,87804 | 0,87814 | 0,87823 | 0,87833 | 0,87843 | 0,87853 |
0,821 | 0,87863 | 0,87873 | 0,87883 | 0,87892 | 0,87902 | 0,87912 | 0,87922 | 0,87932 | 0,87941 | 0,87951 |
0,822 | 0,87961 | 0,87971 | 0,87981 | 0,87990 | 0,88000 | 0,88010 | 0,88020 | 0,88030 | 0,88039 | 0,88049 |
0,823 | 0,88059 | 0,88069 | 0,88078 | 0,88088 | 0,88097 | 0,88107 | 0,88116 | 0,88126 | 0,88135 | 0,88145 |
0,824 | 0,88154 | 0,88164 | 0,88173 | 0,88183 | 0,88192 | 0,88202 | 0,88211 | 0,88221 | 0,88230 | 0,88240 |
0,825 | 0,88249 | 0,88259 | 0,88268 | 0,88278 | 0,88287 | 0,88297 | 0,88306 | 0,88316 | 0,88325 | 0,88335 |
0,826 | 0,88344 | 0,88354 | 0,88363 | 0,88373 | 0,88382 | 0,88392 | 0,88401 | 0,88411 | 0,88420 | 0,88430 |
0,827 | 0,88439 | 0,88449 | 0,88458 | 0,88468 | 0,88477 | 0,88487 | 0,88496 | 0,88506 | 0,88515 | 0,88525 |
0,828 | 0,88534 | 0,88544 | 0,88553 | 0,88563 | 0,88573 | 0,88583 | 0,88592 | 0,88602 | 0,88612 | 0,88621 |
0,829 | 0,88631 | 0,88641 | 0,88650 | 0,88660 | 0,88670 | 0,88680 | 0,88689 | 0,88699 | 0,88709 | 0,88718 |
0,830 | 0,88728 | 0,88738 | 0,88744 | 0,88757 | 0,88767 | 0,88776 | 0,88786 | 0,88795 | 0,88805 | 0,88814 |
0,831 | 0,88824 | 0,88834 | 0,88843 | 0,88853 | 0,88862 | 0,88872 | 0,88881 | 0,88891 | 0,88900 | 0,88910 |
0,832 | 0,88919 | 0,88929 | 0,88938 | 0,88948 | 0,88957 | 0,88967 | 0,88976 | 0,88986 | 0,88995 | 0,89005 |
0,833 | 0,89014 | 0,89024 | 0,89033 | 0,89043 | 0,89052 | 0,89062 | 0,89071 | 0,89081 | 0,89090 | 0,89100 |
0,834 | 0,89109 | 0,89118 | 0,89128 | 0,89137 | 0,89146 | 0,89155 | 0,89165 | 0,89174 | 0,89183 | 0,89193 |
0,835 | 0,89202 | 0,89211 | 0,89221 | 0,89230 | 0,89240 | 0,89249 | 0,89258 | 0,89268 | 0,89277 | 0,89287 |
0,836 | 0,89296 | 0,89306 | 0,89315 | 0,89325 | 0,89334 | 0,89344 | 0,89353 | 0,89363 | 0,89372 | 0,89382 |
0,837 | 0,89391 | 0,89400 | 0,89410 | 0,89419 | 0,89429 | 0,89438 | 0,89447 | 0,89457 | 0,89466 | 0,89476 |
0,838 | 0,89485 | 0,89495 | 0,89504 | 0,89514 | 0,89523 | 0,89533 | 0,89542 | 0,89552 | 0,89561 | 0,89571 |
0,839 | 0,89580 | 0,89589 | 0,89600 | 0,89608 | 0,89617 | 0,89627 | 0,89636 | 0,89645 | 0,89654 | 0,89664 |
0,840 | 0,89673 | 0,89682 | 0,89692 | 0,89701 | 0,89710 | 0,89720 | 0,89729 | 0,89739 | 0,89747 | 0,89757 |
0,841 | 0,89766 | 0,89775 | 0,89784 | 0,89794 | 0,89803 | 0,89812 | 0,89821 | 0,89830 | 0,89840 | 0,89849 |
0,842 | 0,89858 | 0,89867 | 0,89876 | 0,89886 | 0,89895 | 0,89904 | 0,89913 | 0,89922 | 0,89932 | 0,89941 |
0,843 | 0,89950 | 0,89959 | 0,89968 | 0,89978 | 0,89987 | 0,89996 | 0,90005 | 0,90014 | 0,90024 | 0,90033 |
0,844 | 0,90042 | 0,90051 | 0,90060 | 0,90070 | 0,90079 | 0,90088 | 0,90097 | 0,90106 | 0,90116 | 0,90125 |
0,845 | 0,90134 | 0,90143 | 0,90152 | 0,90162 | 0,90171 | 0,90180 | 0,90189 | 0,90198 | 0,90208 | 0,90217 |
0,846 | 0,90226 | 0,90235 | 0,90244 | 0,90254 | 0,90263 | 0,90272 | 0,90281 | 0,90290 | 0,90300 | 0,90309 |
0,847 | 0,90318 | 0,90327 | 0,90336 | 0,90346 | 0,90355 | 0,90364 | 0,90373 | 0,90382 | 0,90392 | 0,90401 |
0,848 | 0,90410 | 0,90419 | 0,90428 | 0,90438 | 0,90447 | 0,90456 | 0,90465 | 0,90474 | 0,90484 | 0,90493 |
0,849 | 0,90502 | 0,90511 | 0,90520 | 0,90530 | 0,90539 | 0,90548 | 0,90557 | 0,90566 | 0,90576 | 0,90585 |
0,850 | 0,90594 | 0,90603 | 0,90612 | 0,90622 | 0,90631 | 0,90640 | 0,90649 | 0,90658 | 0,90668 | 0,90677 |
0,851 | 0,90686 | 0,90695 | 0,90704 | 0,90713 | 0,90722 | 0,90731 | 0,90740 | 0,90749 | 0,90758 | 0,90767 |
0,852 | 0,90776 | 0,90785 | 0,90794 | 0,90803 | 0,90812 | 0,90821 | 0,90830 | 0,90839 | 0,90848 | 0,90857 |
0,853 | 0,90866 | 0,90875 | 0,90887 | 0,90893 | 0,90902 | 0,90911 | 0,90920 | 0,90929 | 0,90938 | 0,90947 |
0,854 | 0,90956 | 0,90965 | 0,90974 | 0,90983 | 0,90992 | 0,91001 | 0,91009 | 0,91018 | 0,91027 | 0,91036 |
0,855 | 0,91045 | 0,91054 | 0,91063 | 0,91072 | 0,91080 | 0,91090 | 0,91098 | 0,91107 | 0,91116 | 0,91125 |
0,856 | 0,91134 | 0,91143 | 0,91152 | 0,91160 | 0,91169 | 0,91178 | 0,91187 | 0,91196 | 0,91204 | 0,91213 |
0,857 | 0,91222 | 0,91231 | 0,91240 | 0,91249 | 0,91258 | 0,91267 | 0,91276 | 0,91285 | 0,91294 | 0,91303 |
0,858 | 0,91312 | 0,91321 | 0,91330 | 0,91339 | 0,91348 | 0,91357 | 0,91366 | 0,91375 | 0,91384 | 0,91393 |
0,859 | 0,91402 | 0,91411 | 0,91420 | 0,91429 | 0,91438 | 0,91447 | 0,91456 | 0,91465 | 0,91474 | 0,91483 |
0,860 | 0,91492 | 0,91501 | 0,91510 | 0,91519 | 0,91528 | 0,91537 | 0,91546 | 0,91555 | 0,91564 | 0,91573 |
0,861 | 0,91582 | 0,91591 | 0,91599 | 0,91608 | 0,91616 | 0,91625 | 0,91634 | 0,91642 | 0,91651 | 0,91659 |
0,862 | 0,91668 | 0,91677 | 0,91685 | 0,91694 | 0,91702 | 0,91711 | 0,91720 | 0,91728 | 0,91737 | 0,91745 |
0,863 | 0,91754 | 0,91763 | 0,91771 | 0,91780 | 0,91789 | 0,91798 | 0,91806 | 0,91815 | 0,91824 | 0,91832 |
0,864 | 0,91841 | 0,91850 | 0,91858 | 0,91867 | 0,91876 | 0,91885 | 0,91893 | 0,91902 | 0,91911 | 0,91919 |
0,865 | 0,91928 | 0,91937 | 0,91945 | 0,91954 | 0,91963 | 0,91972 | 0,91980 | 0,91989 | 0,91998 | 0,92006 |
0,866 | 0,92015 | 0,92024 | 0,92032 | 0,92041 | 0,92050 | 0,92059 | 0,92067 | 0,92076 | 0,92085 | 0,92093 |
0,867 | 0,92102 | 0,92111 | 0,92119 | 0,92128 | 0,92136 | 0,92145 | 0,92154 | 0,92162 | 0,92171 | 0,92179 |
0,868 | 0,92188 | 0,92197 | 0,92205 | 0,92214 | 0,92222 | 0,92231 | 0,92240 | 0,92248 | 0,92257 | 0,92265 |
0,869 | 0,92274 | 0,92283 | 0,92292 | 0,92300 | 0,92309 | 0,92318 | 0,92327 | 0,92336 | 0,92344 | 0,92353 |
0,870 | 0,92362 | 0,92371 | 0,92379 | 0,92388 | 0,92396 | 0,92405 | 0,92414 | 0,92422 | 0,92431 | 0,92439 |
0,871 | 0,92448 | 0,92457 | 0,92465 | 0,92474 | 0,92482 | 0,92491 | 0,92500 | 0,92508 | 0,92517 | 0,92525 |
0,872 | 0,92534 | 0,92542 | 0,92551 | 0,92559 | 0,92568 | 0,92576 | 0,92584 | 0,92593 | 0,92601 | 0,92610 |
0,873 | 0,92618 | 0,92626 | 0,92635 | 0,92643 | 0,92651 | 0,92660 | 0,92668 | 0,92676 | 0,92684 | 0,92693 |
0,874 | 0,92701 | 0,92709 | 0,92718 | 0,92726 | 0,92734 | 0,92743 | 0,92751 | 0,92759 | 0,92767 | 0,92776 |
0,875 | 0,92784 | 0,92793 | 0,92801 | 0,92810 | 0,92818 | 0,92827 | 0,92835 | 0,92844 | 0,92852 | 0,92861 |
0,876 | 0,92869 | 0,92878 | 0,92886 | 0,92895 | 0,92903 | 0,92912 | 0,92920 | 0,92929 | 0,92937 | 0,92946 |
0,877 | 0,92954 | 0,92962 | 0,92971 | 0,92979 | 0,92987 | 0,92996 | 0,93004 | 0,93012 | 0,93020 | 0,93029 |
0,878 | 0,93037 | 0,93045 | 0,93054 | 0,93062 | 0,93070 | 0,93079 | 0,93087 | 0,93095 | 0,93103 | 0,93112 |
0,879 | 0,93120 | 0,93128 | 0,93137 | 0,93145 | 0,93154 | 0,93162 | 0,93170 | 0,93179 | 0,93187 | 0,93196 |
0,880 | 0,93204 | 0,93212 | 0,93220 | 0,93229 | 0,93237 | 0,93245 | 0,93253 | 0,93261 | 0,93270 | 0,93278 |
0,881 | 0,93286 | 0,93294 | 0,93303 | 0,93311 | 0,93319 | 0,93328 | 0,93336 | 0,93344 | 0,93352 | 0,93361 |
0,882 | 0,93369 | 0,93377 | 0,93386 | 0,93394 | 0,93402 | 0,93411 | 0,93419 | 0,93427 | 0,93435 | 0,93444 |
0,883 | 0,93452 | 0,93460 | 0,93469 | 0,93477 | 0,93485 | 0,93494 | 0,93502 | 0,93510 | 0,93518 | 0,93527 |
0,884 | 0,93535 | 0,93543 | 0,93551 | 0,93559 | 0,93567 | 0,93576 | 0,93584 | 0,93592 | 0,93600 | 0,93608 |
0,885 | 0,93616 | 0,93624 | 0,93632 | 0,93640 | 0,93648 | 0,93657 | 0,93665 | 0,93673 | 0,93681 | 0,93689 |
0,886 | 0,93697 | 0,93705 | 0,93713 | 0,93722 | 0,93730 | 0,93738 | 0,93746 | 0,93754 | 0,93763 | 0,93771 |
0,887 | 0,93779 | 0,93787 | 0,93795 | 0,93803 | 0,93811 | 0,93819 | 0,93826 | 0,93834 | 0,93842 | 0,93850 |
0,888 | 0,93858 | 0,93866 | 0,93874 | 0,93882 | 0,93890 | 0,93898 | 0,93905 | 0,93913 | 0,93921 | 0,93929 |
0,889 | 0,93937 | 0,93945 | 0,93953 | 0,93961 | 0,93969 | 0,93977 | 0,93984 | 0,93992 | 0,94000 | 0,94008 |
0,890 | 0,94016 | 0,94024 | 0,94032 | 0,94040 | 0,94048 | 0,94056 | 0,94063 | 0,94071 | 0,94079 | 0,94087 |
0,891 | 0,94095 | 0,94103 | 0,94111 | 0,94119 | 0,94127 | 0,94135 | 0,94142 | 0,94150 | 0,94158 | 0,94166 |
0,892 | 0,94174 | 0,94182 | 0,94190 | 0,94198 | 0,94206 | 0,94214 | 0,94221 | 0,94229 | 0,94237 | 0,94245 |
0,893 | 0,94253 | 0,94261 | 0,94269 | 0,94277 | 0,94285 | 0,94293 | 0,94300 | 0,94308 | 0,94316 | 0,94324 |
0,894 | 0,94332 | 0,94340 | 0,94348 | 0,94355 | 0,94363 | 0,94371 | 0,94379 | 0,94387 | 0,94394 | 0,94409 |
0,895 | 0,94410 | 0,94418 | 0,94426 | 0,94433 | 0,94441 | 0,94449 | 0,94457 | 0,94465 | 0,94472 | 0,94480 |
0,896 | 0,94488 | 0,94496 | 0,94504 | 0,94511 | 0,94519 | 0,94527 | 0,94535 | 0,94543 | 0,94550 | 0,94558 |
0,897 | 0,94566 | 0,94574 | 0,94582 | 0,94589 | 0,94597 | 0,94605 | 0,94613 | 0,94621 | 0,94628 | 0,94636 |
0,898 | 0,94644 | 0,94652 | 0,94660 | 0,94667 | 0,94675 | 0,94683 | 0,94691 | 0,94699 | 0,94706 | 0,94714 |
0,899 | 0,94722 | 0,94730 | 0,94738 | 0,94745 | 0,94753 | 0,94761 | 0,94769 | 0,94777 | 0,94784 | 0,94793 |
0,900 | 0,94800 | 0,94808 | 0,94815 | 0,94823 | 0,94831 | 0,94839 | 0,94846 | 0,94854 | 0,94862 | 0,94869 |
0,901 | 0,94877 | 0,94885 | 0,94892 | 0,94900 | 0,94907 | 0,94915 | 0,94923 | 0,94930 | 0,94938 | 0,94945 |
0,902 | 0,94953 | 0,94961 | 0,94968 | 0,94976 | 0,94983 | 0,94991 | 0,94998 | 0,95006 | 0,95013 | 0,95021 |
0,903 | 0,95028 | 0,95035 | 0,95043 | 0,95050 | 0,95058 | 0,95065 | 0,95073 | 0,95080 | 0,95088 | 0,95095 |
0,904 | 0,95103 | 0,95110 | 0,95118 | 0,95125 | 0,95133 | 0,95140 | 0,95148 | 0,95155 | 0,95163 | 0,95170 |
0,905 | 0,95178 | 0,95185 | 0,95193 | 0,95200 | 0,95207 | 0,95214 | 0,95221 | 0,95229 | 0,95236 | 0,95244 |
0,906 | 0,95251 | 0,95258 | 0,95266 | 0,95273 | 0,95280 | 0,95288 | 0,95295 | 0,95302 | 0,95309 | 0,95317 |
0,907 | 0,95324 | 0,95331 | 0,95339 | 0,95346 | 0,95354 | 0,95361 | 0,95368 | 0,95376 | 0,95383 | 0,95391 |
0,908 | 0,95398 | 0,95405 | 0,95413 | 0,95420 | 0,95427 | 0,95435 | 0,95442 | 0,95449 | 0,95456 | 0,95464 |
0,909 | 0,95471 | 0,95478 | 0,95485 | 0,95492 | 0,95499 | 0,95507 | 0,95514 | 0,95521 | 0,95528 | 0,95535 |
0,910 | 0,95542 | 0,95549 | 0,95556 | 0,95564 | 0,95571 | 0,95578 | 0,95585 | 0,95592 | 0,95600 | 0,95607 |
0,911 | 0,95614 | 0,95621 | 0,95628 | 0,95635 | 0,95642 | 0,95650 | 0,95657 | 0,95664 | 0,95671 | 0,95678 |
0,912 | 0,95685 | 0,95692 | 0,95699 | 0,95706 | 0,95713 | 0,95721 | 0,95728 | 0,95735 | 0,95742 | 0,95749 |
0,913 | 0,95756 | 0,95763 | 0,95770 | 0,95777 | 0,95784 | 0,95792 | 0,95799 | 0,95806 | 0,95813 | 0,95820 |
0,914 | 0,95827 | 0,95834 | 0,95841 | 0,95848 | 0,95855 | 0,95863 | 0,95870 | 0,95877 | 0,95884 | 0,95891 |
0,915 | 0,95898 | 0,95905 | 0,95912 | 0,95919 | 0,95926 | 0,95934 | 0,95941 | 0,95948 | 0,95955 | 0,95962 |
0,916 | 0,95969 | 0,95976 | 0,95983 | 0,95990 | 0,95997 | 0,96005 | 0,96012 | 0,96019 | 0,96026 | 0,96033 |
0,917 | 0,96040 | 0,96047 | 0,96054 | 0,96061 | 0,96068 | 0,96076 | 0,96083 | 0,96090 | 0,96097 | 0,96104 |
0,918 | 0,96111 | 0,96118 | 0,96125 | 0,96132 | 0,96139 | 0,96147 | 0,96154 | 0,96161 | 0,96168 | 0,96175 |
0,919 | 0,96182 | 0,96189 | 0,96196 | 0,96203 | 0,96210 | 0,96217 | 0,96223 | 0,96230 | 0,96237 | 0,96244 |
0,920 | 0,96251 | 0,96258 | 0,96265 | 0,96272 | 0,96279 | 0,96286 | 0,96292 | 0,96299 | 0,96306 | 0,96313 |
0,921 | 0,96320 | 0,96327 | 0,96334 | 0,96341 | 0,94348 | 0,96354 | 0,96361 | 0,96368 | 0,96375 | 0,96382 |
0,922 | 0,96389 | 0,96396 | 0,96403 | 0,96410 | 0,96417 | 0,96424 | 0,96430 | 0,96437 | 0,96444 | 0,96451 |
0,923 | 0,96458 | 0,96465 | 0,96472 | 0,96479 | 0,96486 | 0,96493 | 0,96499 | 0,96506 | 0,96513 | 0,96520 |
0,924 | 0,96527 | 0,96534 | 0,96540 | 0,96547 | 0,96553 | 0,96560 | 0,96567 | 0,96573 | 0,96580 | 0,96586 |
0,925 | 0,96593 | 0,96600 | 0,96606 | 0,96613 | 0,96619 | 0,96626 | 0,96633 | 0,96639 | 0,96646 | 0,96652 |
0,926 | 0,96659 | 0,96666 | 0,96672 | 0,96679 | 0,96685 | 0,96692 | 0,96698 | 0,96705 | 0,96711 | 0,96718 |
0,927 | 0,96724 | 0,96731 | 0,96737 | 0,96744 | 0,96750 | 0,96757 | 0,96764 | 0,96770 | 0,96777 | 0,96783 |
0,928 | 0,96790 | 0,96797 | 0,96803 | 0,96810 | 0,96816 | 0,96823 | 0,96830 | 0,96836 | 0,96843 | 0,96849 |
0,929 | 0,96856 | 0,96862 | 0,96869 | 0,96875 | 0,96882 | 0,96888 | 0,96894 | 0,96901 | 0,96907 | 0,96914 |
0,930 | 0,96920 | 0,96926 | 0,96933 | 0,96939 | 0,96945 | 0,96952 | 0,96958 | 0,96964 | 0,96970 | 0,96977 |
0,931 | 0,96983 | 0,96989 | 0,96996 | 0,97002 | 0,97009 | 0,97015 | 0,97021 | 0,97028 | 0,97034 | 0,97041 |
0,932 | 0,97047 | 0,97053 | 0,97060 | 0,97066 | 0,97072 | 0,97079 | 0,97085 | 0,97091 | 0,97097 | 0,97104 |
0,933 | 0,97110 | 0,97116 | 0,97123 | 0,97129 | 0,97136 | 0,97142 | 0,97148 | 0,97155 | 0,97161 | 0,97168 |
0,934 | 0,97174 | 0,97180 | 0,97187 | 0,97193 | 0,97199 | 0,97206 | 0,97212 | 0,97218 | 0,97224 | 0,97231 |
0,935 | 0,97237 | 0,97243 | 0,97250 | 0,97256 | 0,97263 | 0,97269 | 0,97275 | 0,97282 | 0,97288 | 0,97295 |
0,936 | 0,97301 | 0,97407 | 0,97314 | 0,97320 | 0,97326 | 0,97333 | 0,97339 | 0,97345 | 0,97351 | 0,97358 |
0,937 | 0,97364 | 0,97370 | 0,97377 | 0,97383 | 0,97390 | 0,97396 | 0,97402 | 0,97409 | 0,97415 | 0,97422 |
0,938 | 0,97428 | 0,97434 | 0,97441 | 0,97447 | 0,97453 | 0,97460 | 0,97466 | 0,97472 | 0,97478 | 0,97485 |
0,939 | 0,97491 | 0,97497 | 0,97503 | 0,97509 | 0,97515 | 0,97521 | 0,97527 | 0,97533 | 0,97539 | 0,97545 |
0,940 | 0,97551 | 0,97557 | 0,97563 | 0,97569 | 0,97575 | 0,97582 | 0,97588 | 0,97594 | 0,97600 | 0,97606 |
0,941 | 0,97612 | 0,97618 | 0,97624 | 0,97630 | 0,97636 | 0,97643 | 0,97649 | 0,97655 | 0,97661 | 0,97667 |
0,942 | 0,97673 | 0,97679 | 0,97685 | 0,97691 | 0,97697 | 0,97703 | 0,97709 | 0,97715 | 0,97721 | 0,97727 |
0,943 | 0,97733 | 0,97739 | 0,97745 | 0,97751 | 0,97757 | 0,97763 | 0,97768 | 0,97774 | 0,97780 | 0,97786 |
0,944 | 0,97792 | 0,97798 | 0,97804 | 0,97809 | 0,97815 | 0,97821 | 0,97827 | 0,97832 | 0,97838 | 0,97844 |
0,945 | 0,97850 | 0,97856 | 0,97862 | 0,97867 | 0,97873 | 0,97879 | 0,97885 | 0,97891 | 0,97896 | 0,97902 |
0,946 | 0,97908 | 0,97914 | 0,97919 | 0,97925 | 0,97930 | 0,97936 | 0,97942 | 0,97947 | 0,97953 | 0,97958 |
0,947 | 0,97964 | 0,97970 | 0,97975 | 0,97981 | 0,97986 | 0,97992 | 0,97997 | 0,98003 | 0,98008 | 0,98014 |
0,948 | 0,98019 | 0,98025 | 0,98030 | 0,98036 | 0,98041 | 0,98047 | 0,98053 | 0,98058 | 0,98064 | 0,98069 |
0,949 | 0,98075 | 0,98081 | 0,98086 | 0,98092 | 0,98097 | 0,98103 | 0,98109 | 0,98114 | 0,98120 | 0,98125 |
0,950 | 0,98131 | 0,98137 | 0,98142 | 0,98148 | 0,98153 | 0,98159 | 0,98164 | 0,98170 | 0,98175 | 0,98181 |
0,951 | 0,98186 | 0,98191 | 0,98197 | 0,98203 | 0,98208 | 0,98214 | 0,98219 | 0,98225 | 0,98230 | 0,98236 |
0,952 | 0,98241 | 0,98247 | 0,98252 | 0,98258 | 0,98263 | 0,98269 | 0,98274 | 0,98280 | 0,98285 | 0,98291 |
0,953 | 0,98296 | 0,98301 | 0,98307 | 0,98312 | 0,98318 | 0,98323 | 0,98328 | 0,98334 | 0,98340 | 0,98345 |
0,954 | 0,98350 | 0,98355 | 0,98361 | 0,98366 | 0,98371 | 0,98377 | 0,98382 | 0,98387 | 0,98392 | 0,98398 |
0,955 | 0,98403 | 0,98408 | 0,98413 | 0,98419 | 0,98424 | 0,98429 | 0,98434 | 0,98439 | 0,98445 | 0,98450 |
0,956 | 0,98455 | 0,98460 | 0,98465 | 0,98470 | 0,98475 | 0,98481 | 0,98486 | 0,98491 | 0,98496 | 0,98501 |
0,957 | 0,98506 | 0,98511 | 0,98516 | 0,98521 | 0,98526 | 0,98531 | 0,98536 | 0,98541 | 0,98546 | 0,98551 |
0,958 | 0,98556 | 0,98561 | 0,98566 | 0,98571 | 0,98576 | 0,98581 | 0,98586 | 0,98591 | 0,98596 | 0,98601 |
0,959 | 0,98606 | 0,98612 | 0,98617 | 0,98622 | 0,98627 | 0,98632 | 0,98637 | 0,98642 | 0,98648 | 0,98653 |
0,960 | 0,98658 | 0,98663 | 0,98668 | 0,98673 | 0,98678 | 0,98684 | 0,98689 | 0,98694 | 0,98699 | 0,98704 |
0,961 | 0,98709 | 0,98714 | 0,98719 | 0,98724 | 0,98729 | 0,98734 | 0,98738 | 0,98743 | 0,98748 | 0,98753 |
0,962 | 0,98758 | 0,98763 | 0,98767 | 0,98772 | 0,98777 | 0,98782 | 0,98786 | 0,98791 | 0,98796 | 0,98800 |
0,963 | 0,98805 | 0,98810 | 0,98815 | 0,98819 | 0,98824 | 0,98829 | 0,98834 | 0,98839 | 0,98843 | 0,98848 |
0,964 | 0,98853 | 0,98858 | 0,98863 | 0,98867 | 0,98872 | 0,98877 | 0,98882 | 0,98887 | 0,98891 | 0,98896 |
0,965 | 0,98901 | 0,98906 | 0,98910 | 0,98915 | 0,98919 | 0,98924 | 0,98928 | 0,98933 | 0,98937 | 0,98942 |
0,966 | 0,98946 | 0,98951 | 0,98955 | 0,98960 | 0,98964 | 0,98969 | 0,98974 | 0,98978 | 0,98983 | 0,98987 |
0,967 | 0,98992 | 0,98996 | 0,99001 | 0,99005 | 0,99010 | 0,99014 | 0,99018 | 0,99023 | 0,99027 | 0,99032 |
0,968 | 0,99036 | 0,99041 | 0,99045 | 0,99050 | 0,99054 | 0,99059 | 0,99063 | 0,99068 | 0,99072 | 0,99077 |
0,969 | 0,99081 | 0,99086 | 0,99090 | 0,99095 | 0,99099 | 0,99104 | 0,99108 | 0,99113 | 0,99117 | 0,99122 |
0,970 | 0,99126 | 0,99131 | 0,99135 | 0,99140 | 0,99144 | 0,99149 | 0,99153 | 0,99158 | 0,99162 | 0,99167 |
0,971 | 0,99171 | 0,99175 | 0,99179 | 0,99184 | 0,99188 | 0,99192 | 0,99196 | 0,99200 | 0,99205 | 0,99209 |
0,972 | 0,99213 | 0,99217 | 0,99221 | 0,99225 | 0,99229 | 0,99234 | 0,99238 | 0,99242 | 0,99246 | 0,99250 |
0,973 | 0,99254 | 0,99258 | 0,99262 | 0,99266 | 0,99270 | 0,99274 | 0,99278 | 0,99282 | 0,99286 | 0,99290 |
0,974 | 0,99294 | 0,99298 | 0,99302 | 0,99306 | 0,99310 | 0,99314 | 0,99318 | 0,99322 | 0,99326 | 0,99330 |
0,975 | 0,99334 | 0,99338 | 0,99342 | 0,99346 | 0,99350 | 0,99354 | 0,99358 | 0,99362 | 0,99366 | 0,99370 |
0,976 | 0,99374 | 0,99378 | 0,99382 | 0,99385 | 0,99389 | 0,99393 | 0,99397 | 0,99401 | 0,99404 | 0,99408 |
0,977 | 0,99412 | 0,99416 | 0,99420 | 0,99423 | 0,99427 | 0,99431 | 0,99435 | 0,99439 | 0,99442 | 0,99446 |
0,978 | 0,99450 | 0,99454 | 0,99458 | 0,99461 | 0,99465 | 0,99469 | 0,99473 | 0,99477 | 0,99480 | 0,99484 |
0,979 | 0,99488 | 0,99492 | 0,99495 | 0,99499 | 0,99502 | 0,99506 | 0,99510 | 0,99513 | 0,99517 | 0,99520 |
0,980 | 0,99524 | 0,99528 | 0,99531 | 0,99535 | 0,99538 | 0,99542 | 0,99545 | 0,99549 | 0,99552 | 0,99556 |
0,981 | 0,99559 | 0,99563 | 0,99566 | 0,99570 | 0,99573 | 0,99577 | 0,99580 | 0,99584 | 0,99587 | 0,99591 |
0,982 | 0,99594 | 0,99597 | 0,99601 | 0,99604 | 0,99607 | 0,99611 | 0,99614 | 0,99617 | 0,99620 | 0,99624 |
0,983 | 0,99627 | 0,99630 | 0,99633 | 0,99637 | 0,99640 | 0,99643 | 0,99646 | 0,99649 | 0,99653 | 0,99656 |
0,984 | 0,99659 | 0,99662 | 0,99665 | 0,99668 | 0,99671 | 0,99675 | 0,99678 | 0,99681 | 0,99684 | 0,99687 |
0,985 | 0,99690 | 0,99693 | 0,99696 | 0,99699 | 0,99702 | 0,99705 | 0,99708 | 0,99711 | 0,99714 | 0,99717 |
0,986 | 0,99720 | 0,99723 | 0,99726 | 0,99729 | 0,99732 | 0,99735 | 0,99737 | 0,99740 | 0,99743 | 0,99746 |
0,987 | 0,99749 | 0,99752 | 0,99755 | 0,99758 | 0,99761 | 0,99764 | 0,99766 | 0,99769 | 0,99772 | 0,99775 |
0,988 | 0,99778 | 0,99781 | 0,99784 | 0,99786 | 0,99789 | 0,99792 | 0,99795 | 0,99798 | 0,99800 | 0,99803 |
0,989 | 0,99806 | 0,99809 | 0,99811 | 0,99814 | 0,99816 | 0,99819 | 0,99821 | 0,99824 | 0,99826 | 0,99829 |
0,990 | 0,99831 | 0,99834 | 0,99836 | 0,99839 | 0,99841 | 0,99844 | 0,99846 | 0,99849 | 0,99851 | 0,99854 |
0,991 | 0,99856 | 0,99858 | 0,99861 | 0,99863 | 0,99865 | 0,99868 | 0,99870 | 0,99872 | 0,99874 | 0,99877 |
0,992 | 0,99879 | 0,99881 | 0,99883 | 0,99886 | 0,99888 | 0,99890 | 0,99892 | 0,99894 | 0,99897 | 0,99899 |
0,993 | 0,99901 | 0,99903 | 0,99905 | 0,99907 | 0,99909 | 0,99911 | 0,99913 | 0,99915 | 0,99917 | 0,99919 |
0,994 | 0,99921 | 0,99923 | 0,99925 | 0,99927 | 0,99929 | 0,99931 | 0,99932 | 0,99934 | 0,99936 | 0,99938 |
0,995 | 0,99940 | 0,99942 | 0,99943 | 0,99945 | 0,99947 | 0,99949 | 0,99950 | 0,99952 | 0,99954 | 0,99955 |
0,996 | 0,99957 | 0,99959 | 0,99960 | 0,99962 | 0,99963 | 0,99965 | 0,99966 | 0,99968 | 0,99969 | 0,99971 |
0,997 | 0,99972 | 0,99973 | 0,99975 | 0,99976 | 0,99977 | 0,99979 | 0,99980 | 0,99981 | 0,99982 | 0,99984 |
0,998 | 0,99985 | 0,99986 | 0,99987 | 0,99988 | 0,99989 | 0,99990 | 0,99991 | 0,99992 | 0,99993 | 0,99994 |
0,999 | 0,99995 | 0,99996 | 0,99996 | 0,99997 | 0,99997 | 0,99998 | 0,99998 | 0,99999 | 0,99999 | 0,99999 |
H/D | Коэффициент | |||
1/5 | 1/8 | ![]() | ![]() | |
0,000 | 0,000 | 0,000 | 0,000 | 0,000 |
0,020 | 0,000 | 0,000 | 0,000 | 0,000 |
0,030 | 0,001 | 0,001 | 0,001 | 0,001 |
0,040 | 0,002 | 0,002 | 0,002 | 0,002 |
0,050 | 0,003 | 0,003 | 0,003 | 0,003 |
0,055 | 0,004 | 0,004 | 0,004 | 0,004 |
0,060 | 0,005 | 0,005 | 0,005 | 0,005 |
0,065 | 0,006 | 0,006 | 0,006 | 0,006 |
0,070 | 0,007 | 0,007 | 0,007 | 0,007 |
0,075 | 0,009 | 0,008 | 0,008 | 0,008 |
0,080 | 0,010 | 0,009 | 0,009 | 0,009 |
0,085 | 0,012 | 0,011 | 0,011 | 0,011 |
0,090 | 0,013 | 0,012 | 0,012 | 0,012 |
0,095 | 0,015 | 0,014 | 0,014 | 0,014 |
0,100 | 0,017 | 0,016 | 0,016 | 0,015 |
0,105 | 0,019 | 0,018 | 0,018 | 0,017 |
0,110 | 0,021 | 0,020 | 0,020 | 0,019 |
0,115 | 0,023 | 0,022 | 0,022 | 0,021 |
0,120 | 0,026 | 0,025 | 0,024 | 0,024 |
0,125 | 0,028 | 0,027 | 0,027 | 0,026 |
0,130 | 0,031 | 0,030 | 0,029 | 0,029 |
0,135 | 0,033 | 0,032 | 0,032 | 0,032 |
0,140 | 0,036 | 0,035 | 0,035 | 0,034 |
0,145 | 0,039 | 0,038 | 0,037 | 0,037 |
0,150 | 0,042 | 0,041 | 0,040 | 0,040 |
0,151 | 0,043 | 0,041 | 0,041 | 0,041 |
0,152 | 0,044 | 0,042 | 0,042 | 0,041 |
0,153 | 0,044 | 0,043 | 0,042 | 0,042 |
0,154 | 0,045 | 0,043 | 0,043 | 0,043 |
0,155 | 0,046 | 0,044 | 0,044 | 0,043 |
0,156 | 0,046 | 0,045 | 0,044 | 0,044 |
0,157 | 0,047 | 0,045 | 0,045 | 0,044 |
0,158 | 0,048 | 0,046 | 0,046 | 0,045 |
0,159 | 0,048 | 0,047 | 0,046 | 0,046 |
0,160 | 0,049 | 0,047 | 0,047 | 0,046 |
0,161 | 0,050 | 0,048 | 0,048 | 0,047 |
0,162 | 0,050 | 0,049 | 0,048 | 0,048 |
0,163 | 0,051 | 0,049 | 0,049 | 0,048 |
0,164 | 0,052 | 0,050 | 0,050 | 0,049 |
0,165 | 0,052 | 0,051 | 0,050 | 0,050 |
0,166 | 0,053 | 0,052 | 0,051 | 0,050 |
0,167 | 0,054 | 0,052 | 0,052 | 0,051 |
0,168 | 0,055 | 0,053 | 0,052 | 0,052 |
0,169 | 0,055 | 0,054 | 0,053 | 0,052 |
0,170 | 0,056 | 0,054 | 0,054 | 0,053 |
0,171 | 0,057 | 0,055 | 0,055 | 0,054 |
0,172 | 0,058 | 0,056 | 0,055 | 0,055 |
0,173 | 0,059 | 0,057 | 0,056 | 0,055 |
0,174 | 0,059 | 0,057 | 0,057 | 0,056 |
0,175 | 0,060 | 0,058 | 0,058 | 0,057 |
0,176 | 0,061 | 0,059 | 0,058 | 0,058 |
0,177 | 0,062 | 0,060 | 0,059 | 0,058 |
0,178 | 0,062 | 0,061 | 0,060 | 0,059 |
0,179 | 0,063 | 0,061 | 0,061 | 0,060 |
0,180 | 0,064 | 0,062 | 0,061 | 0,061 |
0,181 | 0,065 | 0,063 | 0,063 | 0,062 |
0,182 | 0,066 | 0,064 | 0,063 | 0,062 |
0,183 | 0,067 | 0,065 | 0,064 | 0,063 |
0,184 | 0,067 | 0,065 | 0,065 | 0,064 |
0,185 | 0,068 | 0,066 | 0,065 | 0,065 |
0,186 | 0,069 | 0,067 | 0,066 | 0,066 |
0,187 | 0,070 | 0,068 | 0,067 | 0,066 |
0,188 | 0,071 | 0,069 | 0,068 | 0,067 |
0,189 | 0,071 | 0,069 | 0,069 | 0,068 |
0,190 | 0,072 | 0,070 | 0,070 | 0,069 |
0,191 | 0,073 | 0,071 | 0,070 | 0,070 |
0,192 | 0,074 | 0,072 | 0,071 | 0,071 |
0,193 | 0,075 | 0,073 | 0,072 | 0,071 |
0,194 | 0,076 | 0,074 | 0,073 | 0,072 |
0,195 | 0,077 | 0,074 | 0,074 | 0,073 |
0,196 | 0,077 | 0,075 | 0,074 | 0,074 |
0,197 | 0,078 | 0,076 | 0,075 | 0,075 |
0,198 | 0,079 | 0,077 | 0,076 | 0,075 |
0,199 | 0,080 | 0,078 | 0,077 | 0,076 |
0,200 | 0,081 | 0,079 | 0,078 | 0,077 |
0,201 | 0,082 | 0,079 | 0,079 | 0,078 |
0,202 | 0,083 | 0,080 | 0,080 | 0,079 |
0,203 | 0,083 | 0,081 | 0,081 | 0,080 |
0,204 | 0,084 | 0,082 | 0,081 | 0,081 |
0,205 | 0,085 | 0,083 | 0,082 | 0,082 |
0,206 | 0,086 | 0,084 | 0,083 | 0,083 |
0,207 | 0,087 | 0,085 | 0,084 | 0,083 |
0,208 | 0,088 | 0,086 | 0,085 | 0,084 |
0,209 | 0,089 | 0,087 | 0,086 | 0,085 |
0,210 | 0,090 | 0,088 | 0,087 | 0,086 |
0,211 | 0,091 | 0,089 | 0,088 | 0,087 |
0,212 | 0,092 | 0,090 | 0,089 | 0,088 |
0,213 | 0,093 | 0,091 | 0,090 | 0,089 |
0,214 | 0,094 | 0,092 | 0,091 | 0,090 |
0,215 | 0,095 | 0,093 | 0,092 | 0,091 |
0,216 | 0,096 | 0,094 | 0,092 | 0,092 |
0,217 | 0,097 | 0,095 | 0,093 | 0,093 |
0,218 | 0,098 | 0,095 | 0,094 | 0,094 |
0,219 | 0,099 | 0,096 | 0,095 | 0,095 |
0,220 | 0,100 | 0,097 | 0,096 | 0,096 |
0,221 | 0,101 | 0,098 | 0,097 | 0,097 |
0,222 | 0,102 | 0,099 | 0,098 | 0,098 |
0,223 | 0,103 | 0,100 | 0,099 | 0,099 |
0,224 | 0,104 | 0,101 | 0,100 | 0,100 |
0,225 | 0,105 | 0,102 | 0,101 | 0,101 |
0,226 | 0,106 | 0,103 | 0,102 | 0,102 |
0,227 | 0,107 | 0,104 | 0,103 | 0,103 |
0,228 | 0,108 | 0,105 | 0,104 | 0,104 |
0,229 | 0,109 | 0,106 | 0,105 | 0,105 |
0,230 | 0,110 | 0,107 | 0,106 | 0,106 |
0,231 | 0,111 | 0,108 | 0,107 | 0,107 |
0,232 | 0,112 | 0,109 | 0,108 | 0,108 |
0,233 | 0,113 | 0,110 | 0,109 | 0,109 |
0,234 | 0,114 | 0,111 | 0,110 | 0,110 |
0,235 | 0,115 | 0,112 | 0,111 | 0,111 |
0,236 | 0,116 | 0,113 | 0,112 | 0,112 |
0,237 | 0,117 | 0,115 | 0,114 | 0,113 |
0,238 | 0,118 | 0,116 | 0,115 | 0,114 |
0,239 | 0,119 | 0,117 | 0,116 | 0,115 |
0,240 | 0,120 | 0,118 | 0,117 | 0,116 |
0,241 | 0,121 | 0,119 | 0,118 | 0,117 |
0,242 | 0,122 | 0,120 | 0,119 | 0,118 |
0,243 | 0,123 | 0,121 | 0,120 | 0,119 |
0,244 | 0,124 | 0,122 | 0,121 | 0,120 |
0,245 | 0,125 | 0,123 | 0,122 | 0,121 |
0,246 | 0,126 | 0,124 | 0,123 | 0,122 |
0,247 | 0,128 | 0,125 | 0,124 | 0,123 |
0,248 | 0,129 | 0,126 | 0,125 | 0,124 |
0,249 | 0,130 | 0,127 | 0,126 | 0,125 |
0,250 | 0,131 | 0,128 | 0,127 | 0,127 |
0,251 | 0,132 | 0,129 | 0,128 | 0,128 |
0,252 | 0,133 | 0,130 | 0,129 | 0,129 |
0,253 | 0,134 | 0,131 | 0,130 | 0,130 |
0,254 | 0,135 | 0,133 | 0,132 | 0,131 |
0,255 | 0,136 | 0,134 | 0,133 | 0,132 |
0,256 | 0,138 | 0,135 | 0,134 | 0,133 |
0,257 | 0,139 | 0,136 | 0,135 | 0,134 |
0,258 | 0,140 | 0,137 | 0,136 | 0,136 |
0,259 | 0,141 | 0,138 | 0,137 | 0,137 |
0,260 | 0,142 | 0,139 | 0,138 | 0,138 |
0,261 | 0,143 | 0,140 | 0,140 | 0,139 |
0,262 | 0,145 | 0,142 | 0,141 | 0,140 |
0,263 | 0,146 | 0,143 | 0,142 | 0,141 |
0,264 | 0,147 | 0,144 | 0,143 | 0,142 |
0,265 | 0,148 | 0,145 | 0,144 | 0,144 |
0,266 | 0,149 | 0,146 | 0,145 | 0,145 |
0,267 | 0,150 | 0,147 | 0,147 | 0,146 |
0,268 | 0,152 | 0,149 | 0,148 | 0,147 |
0,269 | 0,153 | 0,150 | 0,149 | 0,148 |
0,270 | 0,154 | 0,151 | 0,150 | 0,150 |
0,271 | 0,155 | 0,152 | 0,151 | 0,151 |
0,272 | 0,156 | 0,153 | 0,153 | 0,152 |
0,273 | 0,157 | 0,155 | 0,154 | 0,153 |
0,274 | 0,159 | 0,156 | 0,155 | 0,154 |
0,275 | 0,160 | 0,157 | 0,156 | 0,155 |
0,276 | 0,161 | 0,158 | 0,157 | 0,157 |
0,277 | 0,162 | 0,159 | 0,159 | 0,158 |
0,278 | 0,164 | 0,161 | 0,160 | 0,159 |
0,279 | 0,165 | 0,162 | 0,161 | 0,160 |
0,280 | 0,166 | 0,163 | 0,162 | 0,161 |
0,281 | 0,167 | 0,164 | 0,164 | 0,163 |
0,282 | 0,168 | 0,166 | 0,165 | 0,164 |
0,283 | 0,170 | 0,167 | 0,166 | 0,165 |
0,284 | 0,171 | 0,168 | 0,167 | 0,166 |
0,285 | 0,172 | 0,170 | 0,169 | 0,168 |
0,286 | 0,173 | 0,171 | 0,170 | 0,169 |
0,287 | 0,174 | 0,172 | 0,171 | 0,170 |
0,288 | 0,175 | 0,173 | 0,172 | 0,171 |
0,289 | 0,176 | 0,175 | 0,174 | 0,173 |
0,290 | 0,177 | 0,176 | 0,175 | 0,174 |
0,291 | 0,179 | 0,177 | 0,176 | 0,175 |
0,292 | 0,180 | 0,178 | 0,177 | 0,176 |
0,293 | 0,181 | 0,180 | 0,179 | 0,178 |
0,294 | 0,183 | 0,181 | 0,180 | 0,179 |
0,295 | 0,184 | 0,182 | 0,181 | 0,180 |
0,296 | 0,187 | 0,183 | 0,183 | 0,182 |
0,297 | 0,188 | 0,185 | 0,184 | 0,183 |
0,298 | 0,189 | 0,186 | 0,185 | 0,184 |
0,299 | 0,190 | 0,187 | 0,186 | 0,185 |
0,300 | 0,192 | 0,189 | 0,188 | 0,187 |
0,301 | 0,193 | 0,190 | 0,189 | 0,188 |
0,302 | 0,194 | 0,191 | 0,190 | 0,189 |
0,303 | 0,196 | 0,192 | 0,192 | 0,191 |
0,304 | 0,197 | 0,194 | 0,193 | 0,192 |
0,305 | 0,198 | 0,195 | 0,194 | 0,194 |
0,306 | 0,199 | 0,197 | 0,196 | 0,195 |
0,307 | 0,201 | 0,198 | 0,197 | 0,196 |
0,308 | 0,202 | 0,199 | 0,198 | 0,197 |
0,309 | 0,203 | 0,201 | 0,200 | 0,199 |
0,310 | 0,205 | 0,202 | 0,201 | 0,200 |
0,311 | 0,206 | 0,203 | 0,202 | 0,201 |
0,312 | 0,207 | 0,205 | 0,204 | 0,203 |
0,313 | 0,209 | 0,206 | 0,205 | 0,204 |
0,314 | 0,210 | 0,207 | 0,206 | 0,205 |
0,315 | 0,212 | 0,209 | 0,208 | 0,207 |
0,316 | 0,213 | 0,210 | 0,209 | 0,208 |
0,317 | 0,214 | 0,212 | 0,210 | 0,209 |
0,318 | 0,216 | 0,213 | 0,212 | 0,211 |
0,319 | 0,217 | 0,214 | 0,213 | 0,212 |
0,320 | 0,218 | 0,215 | 0,215 | 0,214 |
0,321 | 0,220 | 0,217 | 0,216 | 0,215 |
0,322 | 0,221 | 0,218 | 0,217 | 0,216 |
0,323 | 0,223 | 0,220 | 0,219 | 0,218 |
0,324 | 0,224 | 0,221 | 0,220 | 0,219 |
0,325 | 0,225 | 0,222 | 0,222 | 0,221 |
0,326 | 0,227 | 0,224 | 0,223 | 0,222 |
0,327 | 0,228 | 0,225 | 0,224 | 0,223 |
0,328 | 0,229 | 0,227 | 0,226 | 0,225 |
0,329 | 0,231 | 0,228 | 0,227 | 0,226 |
0,330 | 0,232 | 0,229 | 0,229 | 0,228 |
0,331 | 0,234 | 0,231 | 0,230 | 0,229 |
0,332 | 0,235 | 0,232 | 0,231 | 0,230 |
0,333 | 0,237 | 0,234 | 0,233 | 0,232 |
0,334 | 0,238 | 0,235 | 0,234 | 0,233 |
0,335 | 0,239 | 0,237 | 0,236 | 0,235 |
0,336 | 0,240 | 0,238 | 0,237 | 0,236 |
0,337 | 0,242 | 0,239 | 0,239 | 0,238 |
0,338 | 0,243 | 0,241 | 0,240 | 0,239 |
0,339 | 0,245 | 0,242 | 0,241 | 0,241 |
0,340 | 0,246 | 0,244 | 0,243 | 0,242 |
0,341 | 0,248 | 0,245 | 0,244 | 0,243 |
0,342 | 0,249 | 0,247 | 0,246 | 0,245 |
0,343 | 0,250 | 0,248 | 0,247 | 0,246 |
0,344 | 0,252 | 0,250 | 0,249 | 0,248 |
0,345 | 0,254 | 0,251 | 0,250 | 0,249 |
0,346 | 0,255 | 0,252 | 0,252 | 0,251 |
0,347 | 0,257 | 0,254 | 0,253 | 0,252 |
0,348 | 0,258 | 0,255 | 0,254 | 0,254 |
0,349 | 0,260 | 0,257 | 0,256 | 0,255 |
0,350 | 0,261 | 0,258 | 0,257 | 0,257 |
0,351 | 0,262 | 0,260 | 0,259 | 0,258 |
0,352 | 0,264 | 0,261 | 0,260 | 0,260 |
0,353 | 0,266 | 0,263 | 0,262 | 0,261 |
0,354 | 0,267 | 0,264 | 0,263 | 0,263 |
0,355 | 0,268 | 0,266 | 0,265 | 0,264 |
0,356 | 0,270 | 0,267 | 0,266 | 0,266 |
0,357 | 0,271 | 0,269 | 0,268 | 0,267 |
0,358 | 0,273 | 0,270 | 0,269 | 0,269 |
0,359 | 0,274 | 0,272 | 0,271 | 0,270 |
0,360 | 0,276 | 0,273 | 0,272 | 0,272 |
0,361 | 0,277 | 0,275 | 0,274 | 0,273 |
0,362 | 0,278 | 0,276 | 0,275 | 0,274 |
0,363 | 0,280 | 0,278 | 0,277 | 0,276 |
0,364 | 0,281 | 0,279 | 0,278 | 0,278 |
0,365 | 0,283 | 0,281 | 0,280 | 0,279 |
0,366 | 0,284 | 0,282 | 0,281 | 0,281 |
0,367 | 0,286 | 0,284 | 0,283 | 0,282 |
0,368 | 0,287 | 0,285 | 0,284 | 0,284 |
0,369 | 0,289 | 0,287 | 0,286 | 0,285 |
0,370 | 0,290 | 0,288 | 0,287 | 0,287 |
0,371 | 0,292 | 0,290 | 0,289 | 0,289 |
0,372 | 0,293 | 0,291 | 0,290 | 0,290 |
0,373 | 0,295 | 0,293 | 0,292 | 0,291 |
0,374 | 0,296 | 0,294 | 0,294 | 0,293 |
0,375 | 0,298 | 0,296 | 0,295 | 0,294 |
0,376 | 0,299 | 0,297 | 0,297 | 0,296 |
0,377 | 0,301 | 0,299 | 0,298 | 0,298 |
0,378 | 0,302 | 0,300 | 0,300 | 0,299 |
0,379 | 0,304 | 0,302 | 0,301 | 0,301 |
0,380 | 0,306 | 0,303 | 0,303 | 0,302 |
0,381 | 0,307 | 0,305 | 0,304 | 0,304 |
0,382 | 0,309 | 0,307 | 0,306 | 0,305 |
0,383 | 0,310 | 0,308 | 0,308 | 0,307 |
0,384 | 0,312 | 0,310 | 0,309 | 0,308 |
0,385 | 0,313 | 0,311 | 0,311 | 0,310 |
0,386 | 0,315 | 0,313 | 0,312 | 0,312 |
0,387 | 0,317 | 0,314 | 0,314 | 0,313 |
0,388 | 0,318 | 0,316 | 0,315 | 0,315 |
0,389 | 0,319 | 0,318 | 0,317 | 0,316 |
0,390 | 0,321 | 0,319 | 0,319 | 0,318 |
0,391 | 0,323 | 0,320 | 0,320 | 0,319 |
0,392 | 0,324 | 0,322 | 0,321 | 0,321 |
0,393 | 0,326 | 0,324 | 0,323 | 0,323 |
0,394 | 0,327 | 0,325 | 0,325 | 0,324 |
0,395 | 0,329 | 0,327 | 0,326 | 0,326 |
0,396 | 0,330 | 0,328 | 0,328 | 0,327 |
0,397 | 0,332 | 0,330 | 0,329 | 0,329 |
0,398 | 0,334 | 0,332 | 0,331 | 0,330 |
0,399 | 0,335 | 0,333 | 0,332 | 0,332 |
0,400 | 0,337 | 0,335 | 0,334 | 0,334 |
0,401 | 0,338 | 0,336 | 0,336 | 0,335 |
0,402 | 0,340 | 0,338 | 0,337 | 0,337 |
0,403 | 0,341 | 0,339 | 0,339 | 0,338 |
0,404 | 0,343 | 0,341 | 0,340 | 0,340 |
0,405 | 0,345 | 0,343 | 0,342 | 0,342 |
0,406 | 0,346 | 0,344 | 0,344 | 0,343 |
0,407 | 0,348 | 0,346 | 0,345 | 0,345 |
0,408 | 0,349 | 0,347 | 0,347 | 0,346 |
0,409 | 0,351 | 0,349 | 0,348 | 0,348 |
0,410 | 0,352 | 0,351 | 0,350 | 0,350 |
0,411 | 0,354 | 0,352 | 0,352 | 0,351 |
0,412 | 0,356 | 0,354 | 0,353 | 0,353 |
0,413 | 0,357 | 0,356 | 0,355 | 0,354 |
0,414 | 0,359 | 0,357 | 0,356 | 0,356 |
0,415 | 0,360 | 0,359 | 0,358 | 0,358 |
0,416 | 0,362 | 0,360 | 0,360 | 0,359 |
0,417 | 0,364 | 0,362 | 0,361 | 0,361 |
0,418 | 0,365 | 0,364 | 0,363 | 0,362 |
0,419 | 0,367 | 0,365 | 0,365 | 0,364 |
0,420 | 0,368 | 0,367 | 0,366 | 0,366 |
0,421 | 0,370 | 0,368 | 0,368 | 0,367 |
0,422 | 0,372 | 0,370 | 0,369 | 0,369 |
0,423 | 0,373 | 0,372 | 0,371 | 0,370 |
0,424 | 0,375 | 0,373 | 0,373 | 0,372 |
0,425 | 0,376 | 0,375 | 0,374 | 0,374 |
0,426 | 0,378 | 0,376 | 0,376 | 0,375 |
0,427 | 0,380 | 0,378 | 0,378 | 0,377 |
0,428 | 0,381 | 0,380 | 0,379 | 0,379 |
0,429 | 0,383 | 0,381 | 0,381 | 0,380 |
0,430 | 0,384 | 0,383 | 0,383 | 0,382 |
0,431 | 0,386 | 0,385 | 0,384 | 0,384 |
0,432 | 0,388 | 0,386 | 0,386 | 0,385 |
0,433 | 0,389 | 0,388 | 0,387 | 0,387 |
0,434 | 0,391 | 0,390 | 0,389 | 0,389 |
0,435 | 0,393 | 0,391 | 0,391 | 0,390 |
0,436 | 0,394 | 0,393 | 0,392 | 0,392 |
0,437 | 0,396 | 0,395 | 0,394 | 0,394 |
0,438 | 0,397 | 0,396 | 0,396 | 0,395 |
0,439 | 0,399 | 0,398 | 0,397 | 0,397 |
0,440 | 0,401 | 0,399 | 0,399 | 0,399 |
0,441 | 0,402 | 0,401 | 0,401 | 0,400 |
0,442 | 0,404 | 0,403 | 0,402 | 0,402 |
0,443 | 0,406 | 0,404 | 0,404 | 0,404 |
0,444 | 0,407 | 0,406 | 0,406 | 0,405 |
0,445 | 0,409 | 0,408 | 0,407 | 0,407 |
0,446 | 0,410 | 0,409 | 0,409 | 0,409 |
0,447 | 0,412 | 0,411 | 0,411 | 0,410 |
0,448 | 0,414 | 0,413 | 0,412 | 0,412 |
0,449 | 0,415 | 0,415 | 0,414 | 0,414 |
0,450 | 0,417 | 0,416 | 0,416 | 0,415 |
0,451 | 0,419 | 0,418 | 0,417 | 0,417 |
0,452 | 0,420 | 0,419 | 0,419 | 0,419 |
0,453 | 0,422 | 0,421 | 0,421 | 0,420 |
0,454 | 0,424 | 0,423 | 0,422 | 0,422 |
0,455 | 0,425 | 0,425 | 0,424 | 0,424 |
0,456 | 0,427 | 0,426 | 0,426 | 0,426 |
0,457 | 0,429 | 0,428 | 0,427 | 0,427 |
0,458 | 0,430 | 0,429 | 0,429 | 0,429 |
0,459 | 0,432 | 0,431 | 0,431 | 0,431 |
0,460 | 0,434 | 0,433 | 0,432 | 0,432 |
0,461 | 0,435 | 0,434 | 0,434 | 0,434 |
0,462 | 0,437 | 0,436 | 0,436 | 0,436 |
0,463 | 0,438 | 0,438 | 0,437 | 0,437 |
0,464 | 0,440 | 0,439 | 0,439 | 0,439 |
0,465 | 0,442 | 0,441 | 0,441 | 0,441 |
0,466 | 0,443 | 0,443 | 0,443 | 0,442 |
0,467 | 0,445 | 0,445 | 0,444 | 0,444 |
0,468 | 0,447 | 0,446 | 0,446 | 0,446 |
0,469 | 0,448 | 0,448 | 0,448 | 0,447 |
0,470 | 0,450 | 0,449 | 0,449 | 0,449 |
0,471 | 0,452 | 0,451 | 0,451 | 0,451 |
0,472 | 0,453 | 0,453 | 0,453 | 0,453 |
0,473 | 0,455 | 0,455 | 0,454 | 0,454 |
0,474 | 0,457 | 0,456 | 0,456 | 0,456 |
0,475 | 0,458 | 0,458 | 0,458 | 0,458 |
0,476 | 0,460 | 0,460 | 0,459 | 0,459 |
0,477 | 0,462 | 0,461 | 0,461 | 0,461 |
0,478 | 0,463 | 0,463 | 0,463 | 0,463 |
0,479 | 0,465 | 0,465 | 0,464 | 0,464 |
0,480 | 0,467 | 0,466 | 0,466 | 0,466 |
0,481 | 0,468 | 0,468 | 0,468 | 0,468 |
0,482 | 0,470 | 0,470 | 0,470 | 0,470 |
0,483 | 0,472 | 0,471 | 0,471 | 0,471 |
0,484 | 0,473 | 0,473 | 0,473 | 0,473 |
0,485 | 0,475 | 0,475 | 0,474 | 0,474 |
0,486 | 0,477 | 0,476 | 0,476 | 0,476 |
0,487 | 0,478 | 0,478 | 0,478 | 0,478 |
0,488 | 0,480 | 0,480 | 0,480 | 0,480 |
0,489 | 0,482 | 0,481 | 0,481 | 0,481 |
0,490 | 0,484 | 0,483 | 0,483 | 0,483 |
0,491 | 0,485 | 0,485 | 0,485 | 0,485 |
0,492 | 0,487 | 0,486 | 0,486 | 0,486 |
0,493 | 0,489 | 0,488 | 0,488 | 0,488 |
0,494 | 0,490 | 0,490 | 0,490 | 0,490 |
0,495 | 0,492 | 0,492 | 0,492 | 0,492 |
0,496 | 0,493 | 0,493 | 0,493 | 0,493 |
0,497 | 0,495 | 0,495 | 0,495 | 0,495 |
0,498 | 0,497 | 0,497 | 0,497 | 0,497 |
0,499 | 0,498 | 0,498 | 0,498 | 0,498 |
0,500 | 0,500 | 0,500 | 0,500 | 0,500 |
0,501 | 0,501 | 0,501 | 0,501 | 0,501 |
0,502 | 0,503 | 0,503 | 0,503 | 0,503 |
0,503 | 0,505 | 0,505 | 0,505 | 0,505 |
0,504 | 0,507 | 0,507 | 0,507 | 0,507 |
0,505 | 0,508 | 0,508 | 0,508 | 0,508 |
0,506 | 0,510 | 0,510 | 0,510 | 0,510 |
0,507 | 0,511 | 0,512 | 0,512 | 0,512 |
0,508 | 0,513 | 0,514 | 0,514 | 0,514 |
0,509 | 0,515 | 0,515 | 0,515 | 0,515 |
0,510 | 0,516 | 0,517 | 0,517 | 0,517 |
0,511 | 0,518 | 0,519 | 0,519 | 0,519 |
0,512 | 0,520 | 0,520 | 0,520 | 0,520 |
0,513 | 0,522 | 0,522 | 0,522 | 0,522 |
0,514 | 0,523 | 0,524 | 0,524 | 0,524 |
0,515 | 0,525 | 0,526 | 0,526 | 0,526 |
0,516 | 0,527 | 0,527 | 0,527 | 0,527 |
0,517 | 0,528 | 0,529 | 0,529 | 0,529 |
0,518 | 0,530 | 0,530 | 0,530 | 0,530 |
0,519 | 0,532 | 0,532 | 0,532 | 0,532 |
0,520 | 0,533 | 0,534 | 0,534 | 0,534 |
0,521 | 0,535 | 0,535 | 0,535 | 0,536 |
0,522 | 0,537 | 0,537 | 0,537 | 0,537 |
0,523 | 0,538 | 0,539 | 0,539 | 0,539 |
0,524 | 0,540 | 0,540 | 0,541 | 0,541 |
0,525 | 0,542 | 0,542 | 0,542 | 0,542 |
0,526 | 0,543 | 0,544 | 0,544 | 0,544 |
0,527 | 0,545 | 0,545 | 0,546 | 0,546 |
0,528 | 0,547 | 0,547 | 0,547 | 0,547 |
0,529 | 0,548 | 0,549 | 0,549 | 0,549 |
0,530 | 0,550 | 0,551 | 0,551 | 0,551 |
0,531 | 0,552 | 0,552 | 0,552 | 0,553 |
0,532 | 0,553 | 0,554 | 0,554 | 0,554 |
0,533 | 0,555 | 0,555 | 0,556 | 0,556 |
0,534 | 0,557 | 0,557 | 0,557 | 0,558 |
0,535 | 0,558 | 0,559 | 0,559 | 0,559 |
0,536 | 0,560 | 0,561 | 0,561 | 0,561 |
0,537 | 0,562 | 0,562 | 0,563 | 0,563 |
0,538 | 0,563 | 0,564 | 0,564 | 0,564 |
0,539 | 0,565 | 0,566 | 0,566 | 0,566 |
0,540 | 0,566 | 0,567 | 0,568 | 0,568 |
0,541 | 0,568 | 0,569 | 0,569 | 0,569 |
0,542 | 0,570 | 0,571 | 0,571 | 0,571 |
0,543 | 0,571 | 0,572 | 0,573 | 0,573 |
0,544 | 0,573 | 0,574 | 0,574 | 0,574 |
0,545 | 0,575 | 0,575 | 0,576 | 0,576 |
0,546 | 0,576 | 0,577 | 0,578 | 0,578 |
0,547 | 0,578 | 0,579 | 0,579 | 0,580 |
0,548 | 0,580 | 0,581 | 0,581 | 0,581 |
0,549 | 0,581 | 0,582 | 0,583 | 0,583 |
0,550 | 0,583 | 0,584 | 0,584 | 0,585 |
0,551 | 0,585 | 0,585 | 0,586 | 0,586 |
0,552 | 0,586 | 0,587 | 0,588 | 0,588 |
0,553 | 0,588 | 0,589 | 0,589 | 0,590 |
0,554 | 0,590 | 0,591 | 0,591 | 0,591 |
0,555 | 0,591 | 0,592 | 0,593 | 0,593 |
0,556 | 0,593 | 0,594 | 0,594 | 0,595 |
0,557 | 0,594 | 0,596 | 0,596 | 0,596 |
0,558 | 0,596 | 0,597 | 0,598 | 0,598 |
0,559 | 0,598 | 0,599 | 0,599 | 0,600 |
0,560 | 0,599 | 0,601 | 0,601 | 0,601 |
0,561 | 0,601 | 0,602 | 0,603 | 0,603 |
0,562 | 0,603 | 0,604 | 0,604 | 0,605 |
0,563 | 0,604 | 0,605 | 0,606 | 0,606 |
0,564 | 0,606 | 0,607 | 0,608 | 0,608 |
0,565 | 0,607 | 0,609 | 0,609 | 0,610 |
0,566 | 0,609 | 0,610 | 0,611 | 0,611 |
0,567 | 0,611 | 0,612 | 0,613 | 0,613 |
0,568 | 0,612 | 0,614 | 0,614 | 0,615 |
0,569 | 0,614 | 0,615 | 0,616 | 0,616 |
0,570 | 0,616 | 0,617 | 0,617 | 0,618 |
0,571 | 0,617 | 0,619 | 0,619 | 0,620 |
0,572 | 0,619 | 0,620 | 0,621 | 0,621 |
0,573 | 0,620 | 0,622 | 0,622 | 0,623 |
0,574 | 0,622 | 0,624 | 0,624 | 0,625 |
0,575 | 0,624 | 0,625 | 0,626 | 0,626 |
0,576 | 0,625 | 0,627 | 0,627 | 0,628 |
0,577 | 0,627 | 0,628 | 0,629 | 0,630 |
0,578 | 0,628 | 0,630 | 0,631 | 0,631 |
0,579 | 0,630 | 0,632 | 0,632 | 0,633 |
0,580 | 0,632 | 0,633 | 0,634 | 0,634 |
0,581 | 0,633 | 0,635 | 0,635 | 0,636 |
0,582 | 0,635 | 0,636 | 0,637 | 0,638 |
0,583 | 0,636 | 0,638 | 0,639 | 0,639 |
0,584 | 0,638 | 0,640 | 0,640 | 0,641 |
0,585 | 0,640 | 0,641 | 0,642 | 0,642 |
0,586 | 0,641 | 0,643 | 0,644 | 0,644 |
0,587 | 0,643 | 0,644 | 0,645 | 0,646 |
0,588 | 0,644 | 0,646 | 0,647 | 0,647 |
0,589 | 0,646 | 0,648 | 0,648 | 0,649 |
0,590 | 0,648 | 0,649 | 0,650 | 0,650 |
0,591 | 0,649 | 0,651 | 0,652 | 0,652 |
0,592 | 0,651 | 0,653 | 0,653 | 0,654 |
0,593 | 0,652 | 0,654 | 0,655 | 0,655 |
0,594 | 0,654 | 0,656 | 0,656 | 0,657 |
0,595 | 0,655 | 0,657 | 0,658 | 0,658 |
0,596 | 0,657 | 0,659 | 0,660 | 0,660 |
0,597 | 0,659 | 0,661 | 0,661 | 0,662 |
0,598 | 0,660 | 0,662 | 0,663 | 0,663 |
0,599 | 0,662 | 0,664 | 0,664 | 0,665 |
0,600 | 0,663 | 0,665 | 0,666 | 0,666 |
0,601 | 0,665 | 0,667 | 0,668 | 0,668 |
0,602 | 0,666 | 0,669 | 0,669 | 0,670 |
0,603 | 0,668 | 0,670 | 0,671 | 0,671 |
0,604 | 0,670 | 0,672 | 0,672 | 0,673 |
0,605 | 0,671 | 0,673 | 0,674 | 0,674 |
0,606 | 0,673 | 0,675 | 0,675 | 0,676 |
0,607 | 0,674 | 0,676 | 0,677 | 0,677 |
0,608 | 0,676 | 0,678 | 0,679 | 0,679 |
0,609 | 0,677 | 0,680 | 0,680 | 0,681 |
0,610 | 0,679 | 0,681 | 0,681 | 0,682 |
0,611 | 0,681 | 0,682 | 0,683 | 0,684 |
0,612 | 0,682 | 0,684 | 0,685 | 0,685 |
0,613 | 0,683 | 0,686 | 0,686 | 0,687 |
0,614 | 0,685 | 0,687 | 0,688 | 0,688 |
0,615 | 0,687 | 0,689 | 0,689 | 0,690 |
0,616 | 0,688 | 0,690 | 0,691 | 0,692 |
0,617 | 0,690 | 0,692 | 0,692 | 0,693 |
0,618 | 0,691 | 0,693 | 0,694 | 0,695 |
0,619 | 0,693 | 0,695 | 0,696 | 0,696 |
0,620 | 0,694 | 0,697 | 0,697 | 0,698 |
0,621 | 0,696 | 0,698 | 0,699 | 0,699 |
0,622 | 0,698 | 0,700 | 0,700 | 0,701 |
0,623 | 0,699 | 0,701 | 0,702 | 0,702 |
0,624 | 0,701 | 0,703 | 0,703 | 0,704 |
0,625 | 0,702 | 0,704 | 0,705 | 0,706 |
0,626 | 0,704 | 0,706 | 0,706 | 0,707 |
0,627 | 0,705 | 0,707 | 0,708 | 0,709 |
0,628 | 0,707 | 0,709 | 0,710 | 0,710 |
0,629 | 0,708 | 0,710 | 0,711 | 0,711 |
0,630 | 0,710 | 0,712 | 0,713 | 0,713 |
0,631 | 0,711 | 0,713 | 0,714 | 0,715 |
0,632 | 0,713 | 0,715 | 0,716 | 0,716 |
0,633 | 0,714 | 0,716 | 0,717 | 0,718 |
0,634 | 0,716 | 0,718 | 0,719 | 0,719 |
0,635 | 0,717 | 0,719 | 0,720 | 0,721 |
0,636 | 0,719 | 0,721 | 0,721 | 0,722 |
0,637 | 0,720 | 0,722 | 0,723 | 0,724 |
0,638 | 0,722 | 0,724 | 0,725 | 0,726 |
0,639 | 0,723 | 0,725 | 0,726 | 0,727 |
0,640 | 0,724 | 0,727 | 0,728 | 0,728 |
0,641 | 0,726 | 0,728 | 0,729 | 0,730 |
0,642 | 0,727 | 0,730 | 0,731 | 0,731 |
0,643 | 0,729 | 0,731 | 0,732 | 0,733 |
0,644 | 0,730 | 0,733 | 0,734 | 0,734 |
0,645 | 0,732 | 0,734 | 0,735 | 0,735 |
0,646 | 0,733 | 0,736 | 0,737 | 0,737 |
0,647 | 0,734 | 0,737 | 0,738 | 0,739 |
0,648 | 0,736 | 0,739 | 0,740 | 0,740 |
0,649 | 0,738 | 0,740 | 0,741 | 0,742 |
0,650 | 0,739 | 0,742 | 0,743 | 0,743 |
0,651 | 0,740 | 0,743 | 0,744 | 0,745 |
0,652 | 0,742 | 0,745 | 0,746 | 0,746 |
0,653 | 0,743 | 0,746 | 0,747 | 0,748 |
0,654 | 0,745 | 0,748 | 0,748 | 0,749 |
0,655 | 0,746 | 0,749 | 0,750 | 0,751 |
0,656 | 0,748 | 0,750 | 0,751 | 0,752 |
0,657 | 0,750 | 0,752 | 0,753 | 0,754 |
0,658 | 0,751 | 0,753 | 0,754 | 0,755 |
0,659 | 0,752 | 0,755 | 0,756 | 0,757 |
0,660 | 0,754 | 0,756 | 0,757 | 0,758 |
0,661 | 0,755 | 0,758 | 0,759 | 0,759 |
0,662 | 0,757 | 0,759 | 0,760 | 0,761 |
0,663 | 0,758 | 0,761 | 0,761 | 0,762 |
0,664 | 0,760 | 0,762 | 0,763 | 0,764 |
0,665 | 0,761 | 0,763 | 0,764 | 0,765 |
0,666 | 0,762 | 0,765 | 0,766 | 0,767 |
0,667 | 0,763 | 0,766 | 0,767 | 0,768 |
0,668 | 0,765 | 0,768 | 0,769 | 0,770 |
0,669 | 0,766 | 0,769 | 0,770 | 0,771 |
0,670 | 0,768 | 0,771 | 0,771 | 0,772 |
0,671 | 0,769 | 0,772 | 0,773 | 0,774 |
0,672 | 0,771 | 0,773 | 0,774 | 0,775 |
0,673 | 0,772 | 0,775 | 0,776 | 0,777 |
0,674 | 0,773 | 0,776 | 0,777 | 0,778 |
0,675 | 0,775 | 0,778 | 0,778 | 0,779 |
0,676 | 0,776 | 0,779 | 0,780 | 0,781 |
0,677 | 0,777 | 0,780 | 0,781 | 0,782 |
0,678 | 0,779 | 0,782 | 0,783 | 0,784 |
0,679 | 0,780 | 0,783 | 0,784 | 0,785 |
0,680 | 0,782 | 0,785 | 0,785 | 0,786 |
0,681 | 0,783 | 0,786 | 0,787 | 0,788 |
0,682 | 0,784 | 0,787 | 0,788 | 0,789 |
0,683 | 0,786 | 0,788 | 0,790 | 0,791 |
0,684 | 0,787 | 0,790 | 0,791 | 0,792 |
0,685 | 0,788 | 0,791 | 0,792 | 0,793 |
0,686 | 0,790 | 0,793 | 0,794 | 0,795 |
0,687 | 0,791 | 0,794 | 0,795 | 0,796 |
0,688 | 0,793 | 0,795 | 0,796 | 0,797 |
0,689 | 0,794 | 0,797 | 0,798 | 0,799 |
0,690 | 0,795 | 0,798 | 0,799 | 0,800 |
0,691 | 0,797 | 0,799 | 0,800 | 0,801 |
0,692 | 0,798 | 0,801 | 0,802 | 0,803 |
0,693 | 0,799 | 0,802 | 0,803 | 0,804 |
0,694 | 0,801 | 0,803 | 0,804 | 0,805 |
0,695 | 0,802 | 0,805 | 0,806 | 0,806 |
0,696 | 0,803 | 0,806 | 0,807 | 0,808 |
0,697 | 0,804 | 0,808 | 0,808 | 0,809 |
0,698 | 0,806 | 0,809 | 0,810 | 0,811 |
0,699 | 0,807 | 0,810 | 0,811 | 0,812 |
0,700 | 0,808 | 0,811 | 0,812 | 0,813 |
0,701 | 0,810 | 0,813 | 0,814 | 0,815 |
0,702 | 0,811 | 0,814 | 0,815 | 0,816 |
0,703 | 0,812 | 0,815 | 0,816 | 0,817 |
0,704 | 0,813 | 0,817 | 0,817 | 0,818 |
0,705 | 0,815 | 0,818 | 0,819 | 0,820 |
0,706 | 0,816 | 0,819 | 0,820 | 0,821 |
0,707 | 0,817 | 0,820 | 0,821 | 0,822 |
0,708 | 0,819 | 0,822 | 0,823 | 0,824 |
0,709 | 0,820 | 0,823 | 0,824 | 0,825 |
0,710 | 0,821 | 0,824 | 0,825 | 0,826 |
0,711 | 0,823 | 0,825 | 0,826 | 0,827 |
0,712 | 0,824 | 0,827 | 0,828 | 0,829 |
0,713 | 0,825 | 0,828 | 0,829 | 0,830 |
0,714 | 0,826 | 0,829 | 0,830 | 0,831 |
0,715 | 0,828 | 0,830 | 0,831 | 0,832 |
0,716 | 0,829 | 0,832 | 0,833 | 0,834 |
0,717 | 0,830 | 0,833 | 0,834 | 0,835 |
0,718 | 0,832 | 0,834 | 0,835 | 0,836 |
0,719 | 0,833 | 0,836 | 0,836 | 0,837 |
0,720 | 0,834 | 0,837 | 0,838 | 0,839 |
0,721 | 0,835 | 0,838 | 0,839 | 0,840 |
0,722 | 0,836 | 0,839 | 0,840 | 0,841 |
0,723 | 0,838 | 0,841 | 0,841 | 0,842 |
0,724 | 0,839 | 0,842 | 0,843 | 0,843 |
0,725 | 0,840 | 0,843 | 0,844 | 0,845 |
0,726 | 0,841 | 0,844 | 0,845 | 0,846 |
0,727 | 0,843 | 0,845 | 0,846 | 0,847 |
0,728 | 0,844 | 0,847 | 0,847 | 0,848 |
0,729 | 0,845 | 0,848 | 0,849 | 0,849 |
0,730 | 0,846 | 0,849 | 0,850 | 0,850 |
0,731 | 0,847 | 0,850 | 0,851 | 0,852 |
0,732 | 0,848 | 0,851 | 0,852 | 0,853 |
0,733 | 0,850 | 0,853 | 0,853 | 0,854 |
0,734 | 0,851 | 0,854 | 0,855 | 0,855 |
0,735 | 0,852 | 0,855 | 0,856 | 0,856 |
0,736 | 0,853 | 0,856 | 0,857 | 0,858 |
0,737 | 0,854 | 0,857 | 0,858 | 0,859 |
0,738 | 0,855 | 0,858 | 0,859 | 0,860 |
0,739 | 0,857 | 0,860 | 0,860 | 0,861 |
0,740 | 0,858 | 0,861 | 0,862 | 0,862 |
0,741 | 0,859 | 0,862 | 0,863 | 0,863 |
0,742 | 0,860 | 0,863 | 0,864 | 0,864 |
0,743 | 0,861 | 0,864 | 0,865 | 0,865 |
0,744 | 0,862 | 0,865 | 0,866 | 0,867 |
0,745 | 0,864 | 0,866 | 0,867 | 0,868 |
0,746 | 0,865 | 0,867 | 0,868 | 0,869 |
0,747 | 0,866 | 0,869 | 0,870 | 0,870 |
0,748 | 0,867 | 0,870 | 0,871 | 0,871 |
0,749 | 0,868 | 0,871 | 0,872 | 0,872 |
0,750 | 0,869 | 0,872 | 0,873 | 0,873 |
0,751 | 0,870 | 0,873 | 0,874 | 0,875 |
0,752 | 0,871 | 0,874 | 0,875 | 0,876 |
0,753 | 0,872 | 0,875 | 0,876 | 0,877 |
0,754 | 0,874 | 0,876 | 0,877 | 0,878 |
0,755 | 0,875 | 0,877 | 0,878 | 0,879 |
0,756 | 0,876 | 0,878 | 0,879 | 0,880 |
0,757 | 0,877 | 0,879 | 0,880 | 0,881 |
0,758 | 0,878 | 0,880 | 0,881 | 0,882 |
0,759 | 0,879 | 0,881 | 0,882 | 0,883 |
0,760 | 0,880 | 0,882 | 0,883 | 0,884 |
0,761 | 0,881 | 0,883 | 0,884 | 0,885 |
0,762 | 0,882 | 0,884 | 0,885 | 0,886 |
0,763 | 0,883 | 0,885 | 0,886 | 0,887 |
0,764 | 0,884 | 0,887 | 0,888 | 0,888 |
0,765 | 0,885 | 0,888 | 0,889 | 0,889 |
0,766 | 0,886 | 0,889 | 0,890 | 0,890 |
0,767 | 0,887 | 0,890 | 0,891 | 0,891 |
0,768 | 0,888 | 0,891 | 0,892 | 0,892 |
0,769 | 0,889 | 0,892 | 0,893 | 0,893 |
0,770 | 0,890 | 0,893 | 0,894 | 0,894 |
0,771 | 0,891 | 0,894 | 0,895 | 0,895 |
0,772 | 0,892 | 0,895 | 0,896 | 0,896 |
0,773 | 0,893 | 0,896 | 0,897 | 0,897 |
0,774 | 0,894 | 0,897 | 0,898 | 0,898 |
0,775 | 0,895 | 0,898 | 0,899 | 0,899 |
0,776 | 0,896 | 0,899 | 0,900 | 0,900 |
0,777 | 0,897 | 0,900 | 0,901 | 0,901 |
0,778 | 0,898 | 0,901 | 0,902 | 0,902 |
0,779 | 0,899 | 0,902 | 0,903 | 0,903 |
0,780 | 0,900 | 0,903 | 0,904 | 0,904 |
0,781 | 0,901 | 0,904 | 0,905 | 0,905 |
0,782 | 0,902 | 0,905 | 0,906 | 0,906 |
0,783 | 0,903 | 0,905 | 0,907 | 0,907 |
0,784 | 0,904 | 0,906 | 0,908 | 0,908 |
0,785 | 0,905 | 0,907 | 0,908 | 0,909 |
0,786 | 0,906 | 0,908 | 0,909 | 0,910 |
0,787 | 0,907 | 0,909 | 0,910 | 0,911 |
0,788 | 0,909 | 0,910 | 0,911 | 0,912 |
0,789 | 0,909 | 0,911 | 0,912 | 0,913 |
0,790 | 0,910 | 0,912 | 0,913 | 0,914 |
0,791 | 0,911 | 0,913 | 0,914 | 0,915 |
0,792 | 0,912 | 0,914 | 0,915 | 0,916 |
0,793 | 0,913 | 0,915 | 0,916 | 0,917 |
0,794 | 0,914 | 0,916 | 0,917 | 0,917 |
0,795 | 0,915 | 0,917 | 0,918 | 0,918 |
0,796 | 0,916 | 0,918 | 0,919 | 0,919 |
0,797 | 0,917 | 0,919 | 0,919 | 0,920 |
0,798 | 0,917 | 0,920 | 0,920 | 0,921 |
0,799 | 0,918 | 0,921 | 0,921 | 0,922 |
0,800 | 0,919 | 0,921 | 0,922 | 0,923 |
0,801 | 0,920 | 0,922 | 0,923 | 0,924 |
0,802 | 0,921 | 0,923 | 0,924 | 0,925 |
0,803 | 0,922 | 0,924 | 0,925 | 0,925 |
0,804 | 0,923 | 0,925 | 0,926 | 0,926 |
0,805 | 0,923 | 0,926 | 0,926 | 0,927 |
0,806 | 0,924 | 0,926 | 0,927 | 0,928 |
0,807 | 0,925 | 0,927 | 0,928 | 0,929 |
0,808 | 0,926 | 0,928 | 0,929 | 0,929 |
0,809 | 0,927 | 0,929 | 0,930 | 0,930 |
0,810 | 0,928 | 0,930 | 0,930 | 0,931 |
0,811 | 0,929 | 0,931 | 0,931 | 0,932 |
0,812 | 0,929 | 0,931 | 0,932 | 0,933 |
0,813 | 0,930 | 0,932 | 0,933 | 0,934 |
0,814 | 0,931 | 0,933 | 0,934 | 0,934 |
0,815 | 0,932 | 0,934 | 0,935 | 0,935 |
0,816 | 0,933 | 0,935 | 0,935 | 0,936 |
0,817 | 0,933 | 0,935 | 0,936 | 0,937 |
0,818 | 0,934 | 0,936 | 0,937 | 0,938 |
0,819 | 0,935 | 0,937 | 0,938 | 0,938 |
0,820 | 0,936 | 0,938 | 0,939 | 0,939 |
0,821 | 0,937 | 0,939 | 0,939 | 0,940 |
0,822 | 0,938 | 0,939 | 0,940 | 0,941 |
0,823 | 0,938 | 0,940 | 0,941 | 0,942 |
0,824 | 0,939 | 0,941 | 0,942 | 0,942 |
0,825 | 0,940 | 0,942 | 0,942 | 0,943 |
0,826 | 0,941 | 0,943 | 0,943 | 0,944 |
0,827 | 0,941 | 0,943 | 0,944 | 0,945 |
0,828 | 0,942 | 0,944 | 0,945 | 0,945 |
0,829 | 0,943 | 0,945 | 0,945 | 0,946 |
0,830 | 0,944 | 0,946 | 0,946 | 0,947 |
0,831 | 0,945 | 0,946 | 0,947 | 0,948 |
0,832 | 0,945 | 0,947 | 0,948 | 0,948 |
0,833 | 0,946 | 0,948 | 0,948 | 0,949 |
0,834 | 0,947 | 0,948 | 0,949 | 0,950 |
0,835 | 0,948 | 0,949 | 0,950 | 0,950 |
0,836 | 0,948 | 0,950 | 0,950 | 0,951 |
0,837 | 0,949 | 0,951 | 0,951 | 0,952 |
0,838 | 0,950 | 0,951 | 0,952 | 0,952 |
0,839 | 0,950 | 0,952 | 0,952 | 0,953 |
0,840 | 0,951 | 0,953 | 0,953 | 0,954 |
0,841 | 0,952 | 0,953 | 0,954 | 0,954 |
0,842 | 0,952 | 0,954 | 0,954 | 0,954 |
0,843 | 0,953 | 0,955 | 0,955 | 0,956 |
0,844 | 0,954 | 0,955 | 0,956 | 0,956 |
0,845 | 0,954 | 0,956 | 0,956 | 0,957 |
0,846 | 0,955 | 0,957 | 0,957 | 0,957 |
0,847 | 0,956 | 0,957 | 0,958 | 0,958 |
0,848 | 0,956 | 0,958 | 0,958 | 0,959 |
0,849 | 0,957 | 0,959 | 0,959 | 0,959 |
0,850 | 0,958 | 0,959 | 0,960 | 0,960 |
0,855 | 0,961 | 0,962 | 0,963 | 0,963 |
0,860 | 0,964 | 0,965 | 0,965 | 0,966 |
0,865 | 0,967 | 0,968 | 0,968 | 0,968 |
0,870 | 0,969 | 0,970 | 0,970 | 0,971 |
0,875 | 0,972 | 0,973 | 0,973 | 0,974 |
0,880 | 0,974 | 0,975 | 0,976 | 0,976 |
0,885 | 0,977 | 0,978 | 0,978 | 0,979 |
0,890 | 0,979 | 0,980 | 0,980 | 0,981 |
0,895 | 0,981 | 0,982 | 0,982 | 0,983 |
0,900 | 0,983 | 0,984 | 0,984 | 0,985 |
0,905 | 0,985 | 0,986 | 0,986 | 0,986 |
0,910 | 0,987 | 0,988 | 0,988 | 0,988 |
0,915 | 0,988 | 0,989 | 0,989 | 0,989 |
0,920 | 0,990 | 0,991 | 0,991 | 0,991 |
0,925 | 0,991 | 0,992 | 0,992 | 0,992 |
0,930 | 0,993 | 0,993 | 0,993 | 0,993 |
0,935 | 0,994 | 0,994 | 0,994 | 0,994 |
0,940 | 0,995 | 0,995 | 0,995 | 0,995 |
0,945 | 0,996 | 0,996 | 0,996 | 0,996 |
0,950 | 0,997 | 0,997 | 0,997 | 0,997 |
0,960 | 0,998 | 0,998 | 0,998 | 0,998 |
0,970 | 0,999 | 0,999 | 0,999 | 0,999 |
0,980 | 1,000 | 1,000 | 1,000 | 1,000 |
1,000 | 1,000 | 1,000 | 1,000 | 1,000 |
H/D | |
0,000 | 0,000 |
0,020 | 0,000 |
0,030 | 0,001 |
0,040 | 0,001 |
0,050 | 0,002 |
0,055 | 0,003 |
0,060 | 0,003 |
0,065 | 0,004 |
0,070 | 0,005 |
0,075 | 0,006 |
0,080 | 0,007 |
0,085 | 0,008 |
0,090 | 0,009 |
0,095 | 0,011 |
0,100 | 0,012 |
0,105 | 0,014 |
0,110 | 0,015 |
0,115 | 0,017 |
0,120 | 0,019 |
0,125 | 0,021 |
0,130 | 0,023 |
0,135 | 0,025 |
0,140 | 0,028 |
0,145 | 0,030 |
0,150 | 0,033 |
0,152 | 0,034 |
0,154 | 0,035 |
0,156 | 0,036 |
0,158 | 0,037 |
0,160 | 0,038 |
0,162 | 0,039 |
0,164 | 0,041 |
0,166 | 0,042 |
0,168 | 0,043 |
0,170 | 0,044 |
0,172 | 0,045 |
0,174 | 0,047 |
0,176 | 0,048 |
0,178 | 0,049 |
0,180 | 0,051 |
0,182 | 0,052 |
0,184 | 0,053 |
0,186 | 0,055 |
0,188 | 0,056 |
0,190 | 0,058 |
0,192 | 0,059 |
0,194 | 0,061 |
0,196 | 0,062 |
0,198 | 0,064 |
0,200 | 0,065 |
0,201 | 0,066 |
0,202 | 0,067 |
0,203 | 0,067 |
0,204 | 0,068 |
0,205 | 0,069 |
0,206 | 0,070 |
0,207 | 0,071 |
0,208 | 0,072 |
0,209 | 0,072 |
0,210 | 0,073 |
0,211 | 0,074 |
0,212 | 0,075 |
0,213 | 0,076 |
0,214 | 0,077 |
0,215 | 0,077 |
0,216 | 0,078 |
0,217 | 0,079 |
0,218 | 0,080 |
0,219 | 0,081 |
0,220 | 0,082 |
0,221 | 0,082 |
0,222 | 0,083 |
0,223 | 0,084 |
0,224 | 0,085 |
0,225 | 0,086 |
0,226 | 0,087 |
0,227 | 0,088 |
0,228 | 0,089 |
0,229 | 0,090 |
0,230 | 0,091 |
0,231 | 0,092 |
0,232 | 0,092 |
0,233 | 0,093 |
0,234 | 0,094 |
0,235 | 0,095 |
0,236 | 0,096 |
0,237 | 0,097 |
0,238 | 0,098 |
0,239 | 0,099 |
0,240 | 0,100 |
0,241 | 0,101 |
0,242 | 0,102 |
0,243 | 0,103 |
0,244 | 0,104 |
0,245 | 0,105 |
0,246 | 0,106 |
0,247 | 0,107 |
0,248 | 0,108 |
0,249 | 0,109 |
0,250 | 0,110 |
0,251 | 0,111 |
0,252 | 0,112 |
0,253 | 0,113 |
0,254 | 0,114 |
0,255 | 0,115 |
0,256 | 0,116 |
0,257 | 0,117 |
0,258 | 0,118 |
0,259 | 0,120 |
0,260 | 0,121 |
0,261 | 0,122 |
0,262 | 0,123 |
0,263 | 0,124 |
0,264 | 0,125 |
0,265 | 0,126 |
0,266 | 0,127 |
0,267 | 0,128 |
0,268 | 0,129 |
0,269 | 0,130 |
0,270 | 0,132 |
0,271 | 0,133 |
0,272 | 0,134 |
0,273 | 0,135 |
0,274 | 0,136 |
0,275 | 0,137 |
0,276 | 0,138 |
0,277 | 0,140 |
0,278 | 0,141 |
0,279 | 0,142 |
0,280 | 0,143 |
0,281 | 0,144 |
0,282 | 0,145 |
0,283 | 0,147 |
0,284 | 0,148 |
0,285 | 0,149 |
0,286 | 0,150 |
0,287 | 0,151 |
0,288 | 0,153 |
0,289 | 0,154 |
0,290 | 0,155 |
0,291 | 0,156 |
0,292 | 0,158 |
0,293 | 0,159 |
0,294 | 0,160 |
0,295 | 0,161 |
0,296 | 0,162 |
0,297 | 0,164 |
0,298 | 0,165 |
0,299 | 0,166 |
0,300 | 0,167 |
0,301 | 0,169 |
0,302 | 0,170 |
0,303 | 0,171 |
0,304 | 0,173 |
0,305 | 0,174 |
0,306 | 0,175 |
0,307 | 0,177 |
0,308 | 0,178 |
0,309 | 0,179 |
0,310 | 0,180 |
0,311 | 0,182 |
0,312 | 0,183 |
0,313 | 0,184 |
0,314 | 0,186 |
0,315 | 0,187 |
0,316 | 0,188 |
0,317 | 0,190 |
0,318 | 0,191 |
0,319 | 0,193 |
0,320 | 0,194 |
0,321 | 0,195 |
0,322 | 0,197 |
0,323 | 0,198 |
0,324 | 0,199 |
0,325 | 0,201 |
0,326 | 0,202 |
0,327 | 0,204 |
0,328 | 0,205 |
0,329 | 0,206 |
0,330 | 0,208 |
0,331 | 0,209 |
0,332 | 0,211 |
0,333 | 0,212 |
0,334 | 0,213 |
0,335 | 0,215 |
0,336 | 0,216 |
0,337 | 0,218 |
0,338 | 0,219 |
0,339 | 0,221 |
0,340 | 0,222 |
0,341 | 0,224 |
0,342 | 0,225 |
0,343 | 0,227 |
0,344 | 0,228 |
0,345 | 0,229 |
0,346 | 0,231 |
0,347 | 0,232 |
0,348 | 0,234 |
0,349 | 0,235 |
0,350 | 0,237 |
0,351 | 0,238 |
0,352 | 0,240 |
0,353 | 0,241 |
0,354 | 0,243 |
0,355 | 0,244 |
0,356 | 0,246 |
0,357 | 0,248 |
0,358 | 0,249 |
0,359 | 0,251 |
0,360 | 0,252 |
0,361 | 0,254 |
0,362 | 0,255 |
0,363 | 0,257 |
0,364 | 0,258 |
0,365 | 0,260 |
0,366 | 0,261 |
0,367 | 0,263 |
0,368 | 0,265 |
0,369 | 0,266 |
0,370 | 0,268 |
0,371 | 0,269 |
0,372 | 0,271 |
0,373 | 0,273 |
0,374 | 0,274 |
0,375 | 0,276 |
0,376 | 0,277 |
0,377 | 0,279 |
0,378 | 0,281 |
0,379 | 0,282 |
0,380 | 0,284 |
0,381 | 0,285 |
0,382 | 0,287 |
0,383 | 0,289 |
0,384 | 0,290 |
0,385 | 0,292 |
0,386 | 0,294 |
0,387 | 0,295 |
0,388 | 0,297 |
0,389 | 0,299 |
0,390 | 0,300 |
0,391 | 0,302 |
0,392 | 0,304 |
0,393 | 0,305 |
0,394 | 0,307 |
0,395 | 0,309 |
0,396 | 0,310 |
0,397 | 0,312 |
0,398 | 0,314 |
0,399 | 0,315 |
0,400 | 0,317 |
0,401 | 0,319 |
0,402 | 0,320 |
0,403 | 0,322 |
0,404 | 0,324 |
0,405 | 0,325 |
0,406 | 0,326 |
0,407 | 0,329 |
0,408 | 0,331 |
0,409 | 0,332 |
0,410 | 0,334 |
0,411 | 0,336 |
0,412 | 0,338 |
0,413 | 0,339 |
0,414 | 0,341 |
0,415 | 0,343 |
0,416 | 0,345 |
0,417 | 0,346 |
0,418 | 0,348 |
0,419 | 0,350 |
0,420 | 0,352 |
0,421 | 0,353 |
0,422 | 0,355 |
0,423 | 0,357 |
0,424 | 0,359 |
0,425 | 0,360 |
0,426 | 0,362 |
0,427 | 0,364 |
0,428 | 0,366 |
0,429 | 0,368 |
0,430 | 0,369 |
0,431 | 0,371 |
0,432 | 0,373 |
0,433 | 0,375 |
0,434 | 0,377 |
0,435 | 0,378 |
0,436 | 0,380 |
0,437 | 0,382 |
0,438 | 0,384 |
0,439 | 0,386 |
0,440 | 0,387 |
0,441 | 0,389 |
0,442 | 0,391 |
0,443 | 0,393 |
0,444 | 0,395 |
0,445 | 0,396 |
0,446 | 0,398 |
0,447 | 0,400 |
0,448 | 0,402 |
0,449 | 0,404 |
0,450 | 0,406 |
0,451 | 0,408 |
0,452 | 0,409 |
0,453 | 0,411 |
0,454 | 0,413 |
0,455 | 0,415 |
0,456 | 0,417 |
0,457 | 0,419 |
0,458 | 0,421 |
0,459 | 0,422 |
0,460 | 0,424 |
0,461 | 0,426 |
0,462 | 0,428 |
0,463 | 0,430 |
0,464 | 0,432 |
0,465 | 0,434 |
0,466 | 0,435 |
0,467 | 0,437 |
0,468 | 0,439 |
0,469 | 0,441 |
0,470 | 0,443 |
0,471 | 0,445 |
0,472 | 0,447 |
0,473 | 0,449 |
0,474 | 0,451 |
0,475 | 0,452 |
0,476 | 0,454 |
0,477 | 0,456 |
0,478 | 0,458 |
0,479 | 0,460 |
0,480 | 0,462 |
0,481 | 0,464 |
0,482 | 0,466 |
0,483 | 0,468 |
0,484 | 0,469 |
0,485 | 0,471 |
0,486 | 0,473 |
0,487 | 0,475 |
0,488 | 0,477 |
0,489 | 0,479 |
0,490 | 0,481 |
0,491 | 0,483 |
0,492 | 0,485 |
0,493 | 0,487 |
0,494 | 0,488 |
0,495 | 0,490 |
0,496 | 0,492 |
0,497 | 0,494 |
0,498 | 0,496 |
0,499 | 0,498 |
0,500 | 0,500 |
0,501 | 0,502 |
0,502 | 0,504 |
0,503 | 0,506 |
0,504 | 0,508 |
0,505 | 0,510 |
0,506 | 0,512 |
0,507 | 0,513 |
0,508 | 0,515 |
0,509 | 0,517 |
0,510 | 0,519 |
0,511 | 0,521 |
0,512 | 0,523 |
0,513 | 0,525 |
0,514 | 0,527 |
0,515 | 0,529 |
0,516 | 0,531 |
0,517 | 0,532 |
0,518 | 0,534 |
0,519 | 0,536 |
0,520 | 0,538 |
0,521 | 0,540 |
0,522 | 0,542 |
0,523 | 0,544 |
0,524 | 0,546 |
0,525 | 0,548 |
0,526 | 0,549 |
0,527 | 0,551 |
0,528 | 0,553 |
0,529 | 0,555 |
0,530 | 0,557 |
0,531 | 0,559 |
0,532 | 0,561 |
0,533 | 0,563 |
0,534 | 0,565 |
0,535 | 0,566 |
0,536 | 0,568 |
0,537 | 0,570 |
0,538 | 0,572 |
0,539 | 0,574 |
0,540 | 0,576 |
0,541 | 0,578 |
0,542 | 0,579 |
0,543 | 0,581 |
0,544 | 0,583 |
0,545 | 0,585 |
0,546 | 0,587 |
0,547 | 0,589 |
0,548 | 0,591 |
0,549 | 0,592 |
0,550 | 0,594 |
0,551 | 0,596 |
0,552 | 0,598 |
0,553 | 0,600 |
0,554 | 0,602 |
0,555 | 0,604 |
0,556 | 0,605 |
0,557 | 0,607 |
0,558 | 0,609 |
0,559 | 0,611 |
0,560 | 0,613 |
0,561 | 0,614 |
0,562 | 0,616 |
0,563 | 0,618 |
0,564 | 0,620 |
0,565 | 0,622 |
0,566 | 0,623 |
0,567 | 0,625 |
0,568 | 0,627 |
0,569 | 0,629 |
0,570 | 0,631 |
0,571 | 0,632 |
0,572 | 0,634 |
0,573 | 0,636 |
0,574 | 0,638 |
0,575 | 0,640 |
0,576 | 0,641 |
0,577 | 0,643 |
0,578 | 0,645 |
0,579 | 0,647 |
0,580 | 0,648 |
0,581 | 0,650 |
0,582 | 0,652 |
0,583 | 0,654 |
0,584 | 0,655 |
0,585 | 0,657 |
0,586 | 0,659 |
0,587 | 0,661 |
0,588 | 0,662 |
0,589 | 0,664 |
0,590 | 0,666 |
0,591 | 0,668 |
0,592 | 0,669 |
0,593 | 0,671 |
0,594 | 0,673 |
0,595 | 0,675 |
0,596 | 0,676 |
0,597 | 0,678 |
0,598 | 0,680 |
0,599 | 0,681 |
0,600 | 0,683 |
0,601 | 0,685 |
0,602 | 0,686 |
0,603 | 0,688 |
0,604 | 0,690 |
0,605 | 0,691 |
0,606 | 0,693 |
0,607 | 0,695 |
0,608 | 0,696 |
0,609 | 0,698 |
0,610 | 0,700 |
0,611 | 0,701 |
0,612 | 0,703 |
0,613 | 0,705 |
0,614 | 0,706 |
0,615 | 0,708 |
0,616 | 0,710 |
0,617 | 0,711 |
0,618 | 0,713 |
0,619 | 0,715 |
0,620 | 0,716 |
0,621 | 0,718 |
0,622 | 0,719 |
0,623 | 0,721 |
0,624 | 0,723 |
0,625 | 0,724 |
0,626 | 0,726 |
0,627 | 0,727 |
0,628 | 0,729 |
0,629 | 0,731 |
0,630 | 0,732 |
0,631 | 0,734 |
0,632 | 0,735 |
0,633 | 0,737 |
0,634 | 0,739 |
0,635 | 0,740 |
0,636 | 0,742 |
0,637 | 0,743 |
0,638 | 0,745 |
0,639 | 0,746 |
0,640 | 0,748 |
0,641 | 0,749 |
0,642 | 0,751 |
0,643 | 0,752 |
0,644 | 0,754 |
0,645 | 0,755 |
0,646 | 0,757 |
0,647 | 0,759 |
0,648 | 0,760 |
0,649 | 0,762 |
0,650 | 0,763 |
0,651 | 0,765 |
0,652 | 0,766 |
0,653 | 0,768 |
0,654 | 0,769 |
0,655 | 0,771 |
0,656 | 0,772 |
0,657 | 0,773 |
0,658 | 0,775 |
0,659 | 0,776 |
0,660 | 0,778 |
0,661 | 0,779 |
0,662 | 0,781 |
0,663 | 0,782 |
0,664 | 0,784 |
0,665 | 0,785 |
0,666 | 0,787 |
0,667 | 0,788 |
0,668 | 0,789 |
0,669 | 0,791 |
0,670 | 0,792 |
0,671 | 0,794 |
0,672 | 0,795 |
0,673 | 0,796 |
0,674 | 0,798 |
0,675 | 0,799 |
0,676 | 0,801 |
0,677 | 0,802 |
0,678 | 0,803 |
0,679 | 0,805 |
0,680 | 0,806 |
0,681 | 0,807 |
0,682 | 0,809 |
0,683 | 0,810 |
0,684 | 0,812 |
0,685 | 0,813 |
0,686 | 0,814 |
0,687 | 0,816 |
0,688 | 0,817 |
0,689 | 0,818 |
0,690 | 0,820 |
0,691 | 0,821 |
0,692 | 0,822 |
0,693 | 0,823 |
0,694 | 0,825 |
0,695 | 0,826 |
0,696 | 0,827 |
0,697 | 0,829 |
0,698 | 0,830 |
0,699 | 0,831 |
0,700 | 0,833 |
0,701 | 0,834 |
0,702 | 0,835 |
0,703 | 0,836 |
0,704 | 0,838 |
0,705 | 0,839 |
0,706 | 0,840 |
0,707 | 0,841 |
0,708 | 0,842 |
0,709 | 0,844 |
0,710 | 0,845 |
0,711 | 0,846 |
0,712 | 0,847 |
0,713 | 0,849 |
0,714 | 0,850 |
0,715 | 0,851 |
0,716 | 0,852 |
0,717 | 0,853 |
0,718 | 0,855 |
0,719 | 0,856 |
0,720 | 0,857 |
0,721 | 0,858 |
0,722 | 0,859 |
0,723 | 0,860 |
0,724 | 0,862 |
0,725 | 0,863 |
0,726 | 0,864 |
0,727 | 0,865 |
0,728 | 0,866 |
0,729 | 0,867 |
0,730 | 0,868 |
0,731 | 0,870 |
0,732 | 0,871 |
0,733 | 0,872 |
0,734 | 0,873 |
0,735 | 0,874 |
0,736 | 0,875 |
0,737 | 0,876 |
0,738 | 0,877 |
0,739 | 0,878 |
0,740 | 0,879 |
0,741 | 0,880 |
0,742 | 0,882 |
0,743 | 0,883 |
0,744 | 0,884 |
0,745 | 0,885 |
0,746 | 0,886 |
0,747 | 0,887 |
0,748 | 0,888 |
0,749 | 0,889 |
0,750 | 0,890 |
0,751 | 0,891 |
0,752 | 0,892 |
0,753 | 0,893 |
0,754 | 0,894 |
0,755 | 0,895 |
0,756 | 0,896 |
0,757 | 0,897 |
0,758 | 0,898 |
0,759 | 0,899 |
0,760 | 0,900 |
0,761 | 0,901 |
0,762 | 0,902 |
0,763 | 0,903 |
0,764 | 0,904 |
0,765 | 0,905 |
0,766 | 0,906 |
0,767 | 0,907 |
0,768 | 0,908 |
0,769 | 0,908 |
0,770 | 0,909 |
0,771 | 0,910 |
0,772 | 0,911 |
0,773 | 0,912 |
0,774 | 0,913 |
0,775 | 0,914 |
0,776 | 0,915 |
0,777 | 0,916 |
0,778 | 0,917 |
0,779 | 0,918 |
0,780 | 0,918 |
0,781 | 0,919 |
0,782 | 0,920 |
0,783 | 0,921 |
0,784 | 0,922 |
0,785 | 0,923 |
0,786 | 0,923 |
0,787 | 0,924 |
0,788 | 0,925 |
0,789 | 0,926 |
0,790 | 0,927 |
0,791 | 0,928 |
0,792 | 0,928 |
0,793 | 0,929 |
0,794 | 0,930 |
0,795 | 0,931 |
0,796 | 0,932 |
0,797 | 0,933 |
0,798 | 0,933 |
0,799 | 0,934 |
0,800 | 0,935 |
0,802 | 0,936 |
0,804 | 0,938 |
0,806 | 0,939 |
0,808 | 0,941 |
0,810 | 0,942 |
0,812 | 0,944 |
0,814 | 0,945 |
0,816 | 0,947 |
0,818 | 0,948 |
0,820 | 0,949 |
0,822 | 0,951 |
0,824 | 0,952 |
0,826 | 0,953 |
0,828 | 0,955 |
0,830 | 0,956 |
0,832 | 0,957 |
0,834 | 0,958 |
0,836 | 0,959 |
0,838 | 0,961 |
0,840 | 0,962 |
0,842 | 0,963 |
0,844 | 0,964 |
0,846 | 0,965 |
0,848 | 0,966 |
0,850 | 0,967 |
0,855 | 0,970 |
0,860 | 0,972 |
0,865 | 0,975 |
0,870 | 0,977 |
0,875 | 0,979 |
0,880 | 0,981 |
0,885 | 0,983 |
0,890 | 0,985 |
0,895 | 0,986 |
0,900 | 0,988 |
0,905 | 0,989 |
0,910 | 0,991 |
0,915 | 0,992 |
0,920 | 0,993 |
0,925 | 0,994 |
0,930 | 0,995 |
0,935 | 0,996 |
0,940 | 0,997 |
0,945 | 0,997 |
0,950 | 0,998 |
0,960 | 0,999 |
0,970 | 0,999 |
0,980 | 1,000 |
0,990 | 1,000 |
1,000 | - |
Высота наполнения, см | Объем продукта, м3 | Объем на 1 мм высоты наполнения, м3 |
1 | 0,019 | 0,0034 |
2 | 0,053 | |
... | .... | ... |
106 | 18,91 | 0,016 |
107 | 19,07 | |
... | ... | ... |
259 | 50,34 | 0,007 |
260 | 50,41 |
имеет диаметр D = 265 см (значение, обратное диаметру
).
;
.
имеет диаметр D = 265 см, выпуклость f =40 см
.

,

имеет диаметр D = 265 см
.

