Главная // Актуальные документы // ГОСТ (Государственный стандарт)СПРАВКА
Источник публикации
М.: Издательство стандартов, 1987
Примечание к документу
Документ утратил силу на территории Российской Федерации с 1 июля 2014 года в связи с изданием
Приказа Росстандарта от 20.02.2014 N 41-ст. Взамен введен в действие
ГОСТ Р 55452-2013.
Документ включен в
Перечень используемых в Республике Казахстан документов в области стандартизации, а также документов, содержащих правила и методы исследований (испытаний) и измерений, в том числе правила отбора образцов, необходимых для применения и исполнения обязательных требований, предусмотренных
перечнем, утв. Постановлением Правительства РФ от 09.03.2010 N 132, и осуществления оценки соответствия в отношении отдельных видов продукции и связанных с требованиями к ней процессов (
Приказ Ростехрегулирования от 26.03.2010 N 867).
С 1 июля 2003 года до вступления в силу технических регламентов акты федеральных органов исполнительной власти в сфере технического регулирования носят рекомендательный характер и подлежат обязательному исполнению только в части, соответствующей целям, указанным в
пункте 1 статьи 46 Федерального закона от 27.12.2002 N 184-ФЗ.
Ограничение срока действия снято по Протоколу Межгосударственного совета по стандартизации, метрологии и сертификации ("ИУС", N 2, 1993).
Документ
введен в действие с 1 мая 1988 года.
Взамен ГОСТ 4808-75, кроме п. 3.7.
Название документа
"ГОСТ 4808-87. Государственный стандарт Союза ССР. Сено. Технические условия"
(утв. и введен в действие Постановлением Госстандарта СССР от 24.09.1987 N 3646)
"ГОСТ 4808-87. Государственный стандарт Союза ССР. Сено. Технические условия"
(утв. и введен в действие Постановлением Госстандарта СССР от 24.09.1987 N 3646)
Утвержден и введен в действие
Постановлением Государственного
комитета СССР по стандартам
от 24 сентября 1987 г. N 3646
ГОСУДАРСТВЕННЫЙ СТАНДАРТ СОЮЗА ССР
СЕНО
ТЕХНИЧЕСКИЕ УСЛОВИЯ
Hay. Specifications
ГОСТ 4808-87
Группа С14
ОКП 97 5950
Срок действия
с 1 мая 1988 года
до 1 мая 1993 года
1. Разработан и внесен Госагропромом СССР.
Исполнители: В.Г. Игловиков, Н.С. Усанкин, Н.Г. Григорьев, Е.Т. Рыбин, В.М. Соколков, А.А. Макаров, А.И. Фицев, Н.П. Трунов, Л.М. Постовалова, Л.В. Денисевич, В.И. Сироткин.
2. Утвержден и введен в действие Постановлением Государственного комитета СССР по стандартам от 24.09.1987 N 3646.
3. Срок первой проверки - 1990 г.
4. Взамен ГОСТ 4808-75, кроме п. 3.7.
5. Ссылочные нормативно-технические документы
Обозначение НТД, на который дана ссылка | Номер пункта |
|
|
ГОСТ 13496.2-84 | |
| | ИС МЕГАНОРМ: примечание. Взамен ГОСТ 13496.4-84 Постановлением Госстандарта России от 02.06.1994 N 160 с 1 января 1995 года введен в действие ГОСТ 13496.4-93. | |
|
ГОСТ 13496.4-84 | |
| | ИС МЕГАНОРМ: примечание. ГОСТ 13496.14-87 утратил силу с 1 января 2003 года в связи с введением в действие ГОСТ Р 51418-99 (Постановление Госстандарта России от 22.12.1999 N 573-ст). | |
|
ГОСТ 13496.14-87 | |
| | ИС МЕГАНОРМ: примечание. Взамен ГОСТ 23637-79, кроме п.п. 3.1; 3.4; 3.5; 3.6; 3.7; 3.8, Постановлением Госстандарта СССР от 28.03.1990 N 673 с 1 мая 1991 года введен в действие ГОСТ 23637-90. | |
|
ГОСТ 23637-79 | |
| | ИС МЕГАНОРМ: примечание. Взамен ГОСТ 24104-80 с 1 января 1989 года Постановлением Госстандарта СССР от 23.06.1988 N 2472 введен в действие ГОСТ 24104-88. Взамен ГОСТ 24104-88 с 1 июля 2002 года Постановлением Госстандарта России от 26.10.2001 N 439-ст введен в действие ГОСТ 24104-2001. | |
|
ГОСТ 24104-80 | |
| |
Настоящий стандарт распространяется на сено (прессованное и рассыпное), приготовленное из трав сеяных и естественных кормовых угодий.
1. ТЕХНИЧЕСКИЕ ТРЕБОВАНИЯ
1.1. Сено должно соответствовать требованиям настоящего стандарта и приготавливаться по технологической документации, утвержденной в установленном порядке.
1.2. Характеристики
1.2.1. Сено в зависимости от ботанического состава и условий произрастания трав подразделяют на виды:
1) сеяное бобовое (бобовых растений более 60%);
2) сеяное злаковое (злаковых более 60% и бобовых менее 20%);
3) сеяное бобово-злаковое (бобовых от 20 до 60%);
4) естественных кормовых угодий (злаковое, бобовое и пр.).
Примечание. Допускаются в сене естественных кормовых угодий не более 50%: щучка дернистая, белоус торчащий, вейник наземный, манник наплывающий и манник водяной.
1.2.2. На сено сеяные травы и травы естественных кормовых угодий должны быть скошены:
1) бобовые - в фазе бутонизации, но не позднее полного цветения;
2) злаковые - в фазе колошения, но не позднее начала цветения.
1.2.3. Цвет сена должен быть:
1) сеяного бобового (бобово-злакового) - от зеленого и зеленовато-желтого до светло-бурого;
2) сеяного злакового и сена естественных кормовых угодий - от зеленого до желто-зеленого (зелено-бурого).
1.2.4. Сено, приготовленное из сеяных трав и трав естественных кормовых угодий, не должно иметь затхлого, плесневелого и гнилостного запаха.
1.2.5. В сене из сеяных трав и трав естественных кормовых угодий массовая доля сухого вещества должна быть не менее 83% (влаги - не более 17%).
1.2.6. Массовая доля золы, нерастворимой в соляной кислоте, не должна превышать 0,7%.
1.2.7. Сено из сеяных трав и трав естественных угодий подразделяют на три класса в соответствии с требованиями, указанными в таблице.
Наименование показателя | |
сеяного бобового | сеяного злакового | сеяного бобово-злакового | естественных сенокосов |
Классы |
1 | 2 | 3 | 1 | 2 | 3 | 1 | 2 | 3 | 1 | 2 | 3 |
1. Массовая доля в сухом веществе сырого протеина, %, не менее | 16 | 13 | 10 | 13 | 10 | 8 | 14 | 11 | 9 | 11 | 9 | 7 |
2. Питательность 1 кг сухого вещества: | | | | | | | | | | | | |
обменной энергии, МДж/кг, не менее | 9,2 | 8,8 | 8,2 | 8,9 | 8,5 | 8,2 | 9,1 | 8,6 | 8,2 | 8,9 | 8,5 | 7,9 |
или кормовых единиц, не менее | 0,68 | 0,62 | 0,54 | 0,64 | 0,58 | 0,54 | 0,67 | 0,60 | 0,54 | 0,64 | 0,58 | 0,50 |
Примечание. Нормы установлены с учетом, что классы сена определяют не ранее 30 сут после закладки его на хранение и не позднее чем за 10 сут до реализации (начала скармливания животным). |
1.2.8. Содержание нитритов и нитратов в сене не должно превышать допустимых норм, утвержденных в установленном порядке.
1.2.9. Если сено не соответствует нормам, указанным в
таблице, хотя бы по одному из показателей - сырому протеину или обменной энергии (кормовых единиц), его переводят в более низший класс или относят к неклассному.
1.2.10. В сене, приготовленном из сеяных трав, содержание вредных и ядовитых растений не допускается.
1.2.11. Допускается в сене естественных кормовых угодий содержание вредных и ядовитых растений для 1-го класса - не более 0,5%, 2 и 3-го классов - не более 1% (см.
Приложение 1).
1.2.12. Сено, содержащее вредные и ядовитые растения сверх установленных настоящим стандартом норм, а также с признаком порчи (плесневения, затхлости, гниения) относят к неклассному.
1.3. Упаковка
1.3.1. Сено, предназначенное для поставок в централизованные фонды, должно быть прессованным в тюки (рулоны).
2.1. Сено принимают партиями. Партией считают любое количество сена одного вида и класса, оформленное одним документом о качестве (см.
Приложение 2).
2.2. Для проверки соответствия качества сена требованиям настоящего стандарта от партии прессованного сена массой до 15 т отбирают выборку в количестве 3% тюков, но не менее 5 тюков, от партии массой свыше 15 т, но не более 50 т - 1%, но не менее 15 тюков.
2.3. При получении неудовлетворительных результатов испытаний проводят повторно отбор проб и испытание.
Результаты повторных испытаний распространяются на всю партию.
3.1. Определение фазы развития трав, предназначенных для уборки на сено
3.1.1. Фазу развития трав определяют визуально в полевых условиях.
Началом данной фазы развития считают, если она наступила у 10% растений доминирующего вида в травостое, полной - у 70%.
3.3. Определение внешнего вида, цвета и запаха
3.3.1. Внешний вид и цвет сена определяют визуально при естественном дневном освещении, осматривая сено, отобранное из внутренних слоев тюков, рулонов или скирд.
Запах сена определяют органолептически. При подозрении на затхлость для усиления запаха 50 - 100 г сена помещают в стакан вместимостью 1 дм3, заливают горячей водой, полностью смачивая навеску сена. Стакан покрывают стеклом, через 2 - 3 мин сливают воду и определяют запах разогретого сена.
3.4. Определение ботанического состава
Для проведения испытания применяют:
| | ИС МЕГАНОРМ: примечание. Взамен ГОСТ 24104-80 с 1 января 1989 года Постановлением Госстандарта СССР от 23.06.1988 N 2472 введен в действие ГОСТ 24104-88. Взамен ГОСТ 24104-88 с 1 июля 2002 года Постановлением Госстандарта России от 26.10.2001 N 439-ст введен в действие ГОСТ 24104-2001. | |
весы лабораторные 4-го класса точности по ГОСТ 24104-80 с наибольшим пределом взвешивания 500 г.
3.4.2. Подготовка к испытанию
Из пробы для анализа отбирают сено массой 400 - 500 г. Сено 3 - 4 раза встряхивают над брезентом для отделения частей растений длиной до 3 см и сорной примеси. Оставшееся сено взвешивают с погрешностью не более +/- 0,1 г.
3.4.3. Проведение испытания
Навеску сена разбирают на следующие фракции: бобовые, злаковые, вредные и ядовитые растения, прочие растения и взвешивают их с погрешностью не более +/- 0,1 г.
3.4.4. Обработка результатов
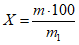
Массу отдельных фракций (X) в процентах вычисляют по формуле

,
где m - масса фракции, г;

- масса навески сена, г.
Допускаемые расхождения между контрольными испытаниями не должны превышать для фракции вредных и ядовитых растений - 0,01%, для других фракций растений - 1%.
Результат вычисляют до второго десятичного знака и округляют до первого десятичного знака.
| | ИС МЕГАНОРМ: примечание. Взамен ГОСТ 23637-79, кроме п.п. 3.1; 3.4; 3.5; 3.6; 3.7; 3.8, Постановлением Госстандарта СССР от 28.03.1990 N 673 с 1 мая 1991 года введен в действие ГОСТ 23637-90. | |
3.5. Определение массовой доли сухого вещества - по ГОСТ 23637-79.
| | ИС МЕГАНОРМ: примечание. ГОСТ 13496.14-87 утратил силу с 1 января 2003 года в связи с введением в действие ГОСТ Р 51418-99 (Постановление Госстандарта России от 22.12.1999 N 573-ст). | |
3.6. Определение массовой доли золы, нерастворимой в соляной кислоте, - по ГОСТ 13496.14-87.
| | ИС МЕГАНОРМ: примечание. Взамен ГОСТ 13496.4-84 Постановлением Госстандарта России от 02.06.1994 N 160 с 1 января 1995 года введен в действие ГОСТ 13496.4-93. | |
3.7. Определение массовой доли сырого протеина - по ГОСТ 13496.4-84.
3.8. Определение количества обменной энергии и кормовых единиц
3.8.1. Количество обменной энергии (ОЭ) в МДж/кг сухого вещества определяют по формуле

,
где СК - содержание сырой клетчатки, кг/кг сухого вещества сена (содержание сырой клетчатки определяют по ГОСТ 13496.2-84);
13,1; 1,0; 1,05 - постоянные коэффициенты.
Результат вычисляют до второго десятичного знака и округляют до первого десятичного знака.
3.8.2. Количество кормовых единиц (Корм. ед.) определяют по формуле

,
где ОЭ - количество обменной энергии, МДж/кг сухого вещества;
0,0081 - постоянный коэффициент.
Результат вычисляют до третьего десятичного знака и округляют до второго десятичного знака.
4.1. Сено транспортируют всеми видами транспорта в соответствии с правилами перевозки грузов, действующими на данном виде транспорта.
4.2. Тюки и рулоны прессованного сена должны быть увязаны в соответствии с технологической документацией, утвержденной в установленном порядке.
4.3. Сено на дальнее расстояние (свыше 100 км) транспортируют в тюках (рулонах) в крытых или защищенных брезентом (полиэтиленовой пленкой) транспортных средствах.
4.4. Сено хранят раздельно по видам и классам в соответствии с технологической документацией, утвержденной в установленном порядке.
Обязательное
НАИБОЛЕЕ РАСПРОСТРАНЕННЫЕ ЯДОВИТЫЕ И ВРЕДНЫЕ РАСТЕНИЯ,
ВСТРЕЧАЮЩИЕСЯ В СЕНЕ ЕСТЕСТВЕННЫХ КОРМОВЫХ УГОДИЙ
Русское название растения | Латинское название растения |
Авран аптечный | Gratiola officinalis L. |
Белена черная | Hyoscyamus niger L. |
Белокрыльник болотный | Calla palustris L. |
Болиголов пятнистый | Conium maculatum L. |
Ветреница дубравная | Anemone nemorosa L. |
Ветреница лютиковая | Anemone ranunculoides L. |
Вех ядовитый | Cicuta virosa L. |
Гармала обыкновенная | Peganum harmala L. |
Горчак ползучий | Acroptilon repens L. |
Дубровник обыкновенный | Teucrium scordium L. |
Дурман обыкновенный | Datura stramonium L. |
Звездчатка злаковая | Stellaria graminea L. |
Калужница болотная | Caltha palustris L. |
Лютики | Ranunculus L. |
Молочай острый | Euphorbia esula L. |
Мордовник степной | Echinops ritro L. |
Наперстянки | Digitalis L. |
Орляк обыкновенный | Pteridium aquilinum L. |
Полынь таврическая | Artemisia taurica Wild. |
Плевел опьяняющий | Lolium temulentum L. |
Повилика европейская | Cuscuta europaea L. |
Резуховидка стрелолистная | Arabidopsis toxophylla M.B. |
Термопсис ланцетолистный | Thermopsis lanceolata R.Br. |
Хвощ болотный | Equisetum palustre L. |
Хвощ полевой | Equisetum arvense L. |
Хвощ топяной | Equisetum heleocharis Ehrh. |
Чемерица Лобеля | Veratrum lobelianum Bernh. |
Чистец однолетний | Stachys annua L. |
Чистец прямой | Stachys recta L. |
Чистотел большой | Chelidonium majus L. |
Обязательное
Хозяйство, район, область _________________________________________________
Отделение, бригада, звено _________________________________________________
Вид сена _____________ Наименование травостоя _____________________________
Фаза вегетации растений в период уборки ___________________________________
Укос ______________ Год урожая ____________________________________________
номер
Способ хранения и тип хранилища ___________________________________________
___________________________________________________________________________
Масса заложенного в хранилище (скирду) сена, т ____________________________
Дата начала заготовки "____" ______________ Окончания "____" ______________
Вид укрытия _______________________________________________________________
Дата укрытия ______________________________________________________________
Дата отбора пробы на анализ "______" __________________________ 19______ г.
Подписи лиц, ответственных за отбор проб: _________________________________
РЕЗУЛЬТАТЫ ИСПЫТАНИЙ
Органолептическая оценка: Цвет ____________________________________________
Запах ___________________ Наличие плесени (пыли) __________________________
Массовая доля сухого вещества, % __________________________________________
Массовая доля в сухом веществе сена: ______________________________________
1. Сырого протеина, % _____________________________________________________
2. Сырой клетчатки, % _____________________________________________________
3. Сырой золы, нерастворимой в соляной кислоте, % _________________________
Питательность 1 кг сухого вещества сена:
1. Обменной энергии, МДж/кг _______________________________________________
2. Кормовых единиц ________________________________________________________
Ботанический состав _______________________________________________________
Массовая доля ядовитых и вредных растений, % ______________________________
Класс качества сена _______________________________________________________
Место для печати
"_____" _______________ 198___ г. Зав. лабораторией ________________