Главная // Актуальные документы // ГОСТ (Государственный стандарт)СПРАВКА
Источник публикации
М.: ИПК Издательство стандартов, 1996
Примечание к документу
Документ утратил силу с 1 июня 2019 года в части
разделов 2,
3,
4,
5 в связи с изданием
Приказа Росстандарта от 04.12.2018 N 1062-ст. Взамен введен в действие
ГОСТ 34.13-2018.
Документ утратил силу с 1 июня 2019 года в части
раздела 1 в связи с изданием
Приказа Росстандарта от 04.12.2018 N 1061-ст. Взамен введен в действие
ГОСТ 34.12-2018.
С 1 июля 2003 года до вступления в силу технических регламентов акты федеральных органов исполнительной власти в сфере технического регулирования носят рекомендательный характер и подлежат обязательному исполнению только в части, соответствующей целям, указанным в
пункте 1 статьи 46 Федерального закона от 27.12.2002 N 184-ФЗ.
Документ
введен в действие с 1 июля 1990 года.
Название документа
"ГОСТ 28147-89. Государственный стандарт Союза ССР. Системы обработки информации. Защита криптографическая. Алгоритм криптографического преобразования"
(утв. и введен в действие Постановлением Госстандарта СССР от 02.06.1989 N 1409)
"ГОСТ 28147-89. Государственный стандарт Союза ССР. Системы обработки информации. Защита криптографическая. Алгоритм криптографического преобразования"
(утв. и введен в действие Постановлением Госстандарта СССР от 02.06.1989 N 1409)
Утвержден и введен в действие
Постановлением Государственного
комитета СССР по стандартам
от 2 июня 1989 г. N 1409
ГОСУДАРСТВЕННЫЙ СТАНДАРТ СОЮЗА ССР
СИСТЕМЫ ОБРАБОТКИ ИНФОРМАЦИИ. ЗАЩИТА КРИПТОГРАФИЧЕСКАЯ
АЛГОРИТМ КРИПТОГРАФИЧЕСКОГО ПРЕОБРАЗОВАНИЯ
ГОСТ 28147-89
Группа П85
ОКП 40 4000
Дата введения
1 июля 1990 года
1. Утвержден и введен в действие Постановлением Государственного комитета СССР по стандартам от 02.06.1989 N 1409.
2. Введен впервые.
3. Ссылочные нормативно-технические документы
Обозначение НТД, на который дана ссылка | Номер пункта |
| |
ГОСТ 17657-79 | |
| |
4. Переиздание, апрель 1996 г.
Настоящий стандарт устанавливает единый алгоритм криптографического преобразования для систем обработки информации в сетях электронных вычислительных машин (ЭВМ), отдельных вычислительных комплексах и ЭВМ, который определяет правила шифрования данных и выработки имитовставки.
Алгоритм криптографического преобразования предназначен для аппаратной или программной реализации, удовлетворяет криптографическим требованиям и по своим возможностям не накладывает ограничений на степень секретности защищаемой информации.
Стандарт обязателен для организаций, предприятий и учреждений, применяющих криптографическую защиту данных, хранимых и передаваемых в сетях ЭВМ, в отдельных вычислительных комплексах или в ЭВМ.
Термины, применяемые в настоящем стандарте, и их определения приведены в
Приложении 1.
1. СТРУКТУРНАЯ СХЕМА АЛГОРИТМА
КРИПТОГРАФИЧЕСКОГО ПРЕОБРАЗОВАНИЯ
1.1. Структурная схема алгоритма криптографического преобразования (криптосхема) содержит (см.
черт. 1):
ключевое запоминающее устройство (КЗУ) на 256 бит, состоящее из восьми 32-разрядных накопителей (

,

,

,

,

,

,

,

);
четыре 32-разрядных накопителя (

,

,

,

);
два 32-разрядных накопителя (

,

) с записанными в них постоянными заполнениями

,

;
два 32-разрядных сумматора по модулю

(

,

);
32-разрядный сумматор поразрядного суммирования по модулю 2

;
32-разрядный сумматор по модулю

;
сумматор по модулю 2

, ограничение на разрядность сумматора

не накладывается;
блок подстановки (K);
регистр циклического сдвига на одиннадцать шагов в сторону старшего разряда (R).
1.2. Блок подстановки K состоит из восьми узлов замены

,

,

,

,

,

,

,

с памятью на 64 бита каждый. Поступающий на блок подстановки 32-разрядный вектор разбивается на восемь последовательно идущих 4-разрядных векторов, каждый из которых преобразуется в 4-разрядный вектор соответствующим узлом замены, представляющим собой таблицу из шестнадцати строк, содержащих по четыре бита заполнения в строке. Входной вектор определяет адрес строки в таблице, заполнение данной строки является выходным вектором. Затем 4-разрядные выходные векторы последовательно объединяются в 32-разрядный вектор.
1.3. При сложении и циклическом сдвиге двоичных векторов старшими разрядами считаются разряды накопителей с большими номерами.
1.4. При записи ключа (

,

,...,

),

,

в КЗУ значение

вводится в 1-й разряд накопителя

, значение

вводится во 2-й разряд накопителя

,..., значение

вводится в 32-й разряд накопителя

; значение

вводится в 1-й разряд накопителя

, значение

вводится во 2-й разряд накопителя

,..., значение

вводится в 32-й разряд накопителя

; значение

вводится в 1-й разряд накопителя

и т.д., значение

вводится в 32-й разряд накопителя

.
1.5. При перезаписи информации содержимое p-го разряда одного накопителя (сумматора) переписывается в p-й разряд другого накопителя (сумматора).
1.6. Значения постоянных заполнений

,

(констант) накопителей

,

приведены в
Приложении 2.
1.7. Ключи, определяющие заполнения КЗУ и таблиц блока подстановки K, являются секретными элементами и поставляются в установленном порядке.
Заполнение таблиц блока подстановки K является долговременным ключевым элементом, общим для сети ЭВМ.
Организация различных видов связи достигается построением соответствующей ключевой системы. При этом может быть использована возможность выработки ключей (заполнений КЗУ) в режиме простой замены и зашифрования их в режиме простой замены с обеспечением имитозащиты для передачи по каналам связи или хранения в памяти ЭВМ.
1.8. В криптосхеме предусмотрены четыре вида работы:
зашифрование (расшифрование) данных в режиме простой замены;
зашифрование (расшифрование) данных в режиме гаммирования;
зашифрование (расшифрование) данных в режиме гаммирования с обратной связью;
режим выработки имитовставки.
Схемы программной реализации алгоритма криптографического преобразования приведены в
Приложении 3.
2.1. Зашифрование открытых данных в режиме простой замены
2.1.1. Криптосхема, реализующая алгоритм зашифрования в режиме простой замены, должна иметь вид, указанный на черт. 2.
Открытые данные, подлежащие зашифрованию, разбивают на блоки по 64 бита в каждом. Ввод любого блока

двоичной информации в накопители

и

производится так, что значение

вводится в 1-й разряд

, значение

вводится во 2-й разряд

и т.д., значение

вводится в 32-й разряд

; значение

вводится в 1-й разряд

, значение

вводится во 2-й разряд

и т.д., значение

вводится в 32-й разряд

. В результате получают состояние

накопителя

и состояние

накопителя

.
2.1.2. В КЗУ вводятся 256 бит ключа. Содержимое восьми 32-разрядных накопителей

,

,...,

имеет вид:
2.1.3. Алгоритм зашифрования 64-разрядного блока открытых данных в режиме простой замены состоит из 32 циклов.
В первом цикле начальное заполнение накопителя

суммируется по модулю

в сумматоре

с заполнением накопителя

, при этом заполнение накопителя

сохраняется.
Результат суммирования преобразуется в блоке подстановки K и полученный вектор поступает на вход регистра R, где циклически сдвигается на одиннадцать шагов в сторону старших разрядов. Результат сдвига суммируется поразрядно по модулю 2 в сумматоре

с 32-разрядным заполнением накопителя

. Полученный в

результат записывается в

, при этом старое заполнение

переписывается в

. Первый цикл заканчивается.
Последующие циклы осуществляются аналогично, при этом во 2-м цикле из КЗУ считывается заполнение

, в 3-м цикле из КЗУ считывается заполнение

и т.д., в 8-м цикле из КЗУ считывается заполнение

. В циклах с 9-го по 16-й, а также в циклах с 17-го по 24-й заполнения из КЗУ считываются в том же порядке:
В последних восьми циклах с 25-го по 32-й порядок считывания заполнений КЗУ обратный:
Таким образом, при зашифровании в 32 циклах осуществляется следующий порядок выбора заполнений накопителей:
В 32 цикле результат из сумматора

вводится в накопитель

, а в накопителе

сохраняется старое заполнение.
Полученные после 32-го цикла зашифрования заполнения накопителей

и

являются блоком зашифрованных данных, соответствующим блоку открытых данных.
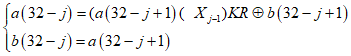
2.1.4. Уравнения зашифрования в режиме простой замены имеют вид:
при

;
при

;
a(32) = a(31)
при j = 32,
где

- начальное заполнение

перед первым циклом зашифрования;

- начальное заполнение

перед первым циклом зашифрования;

- заполнение

после j-го цикла зашифрования;

- заполнение

после j-го цикла зашифрования,

.
Знак

означает поразрядное суммирование 32-разрядных векторов по модулю 2.
Знак

означает суммирование 32-разрядных векторов по модулю

. Правила суммирования по модулю

приведены в
Приложении 4;
R - операция циклического сдвига на одиннадцать шагов в сторону старших разрядов, т.е.

.
2.1.5. 64-разрядный блок зашифрованных данных

выводится из накопителей

,

в следующем порядке: из 1-го, 2-го,..., 32-го разрядов накопителя

, затем из 1-го, 2-го,..., 32-го разрядов накопителя

, т.е.

.
Остальные блоки открытых данных в режиме простой замены зашифровываются аналогично.
2.2. Расшифрование зашифрованных данных в режиме простой замены
2.2.1. Криптосхема, реализующая алгоритм расшифрования в режиме простой замены, имеет тот же вид (см.
черт. 2), что и при зашифровании. В КЗУ вводятся 256 бит того же ключа, на котором осуществлялось зашифрование. Зашифрованные данные, подлежащие расшифрованию, разбиты на блоки по 64 бита в каждом. Ввод любого блока
в накопители

и

производятся так, что значение

вводится в 1-й разряд

, значение

вводится во 2-й разряд

и т.д., значение

вводится в 32-й разряд

; значение

вводится в 1-й разряд

и т.д., значение

вводится в 32-й разряд

.
2.2.2. Расшифрование осуществляется по тому же алгоритму, что и зашифрование открытых данных, с тем изменением, что заполнения накопителей

,

,...,

считываются из КЗУ в циклах расшифрования в следующем порядке:
2.2.3. Уравнения расшифрования имеют вид:
при

;
при

;
при j = 32.
2.2.4. Полученные после 32 циклов работы заполнения накопителей

и

составляют блок открытых данных.

, соответствующий блоку зашифрованных данных, при этом значение

блока

соответствует содержимому 1-го разряда

, значение

соответствует содержимому 2-го разряда

и т.д., значение

соответствует содержимому 32-го разряда

; значение

соответствует содержимому 1-го разряда

, значение

соответствует содержимому 2-го разряда

и т.д., значение

соответствует содержимому 32-го разряда

.
Аналогично расшифровываются остальные блоки зашифрованных данных.
2.3. Алгоритм зашифрования в режиме простой замены 64-битового блока

обозначается через A, т.е.

.
2.4. Режим простой замены допускается использовать для зашифрования (расшифрования) данных только в случаях, приведенных в
п. 1.7.
3.1. Зашифрование открытых данных в режиме гаммирования
3.1.1. Криптосхема, реализующая алгоритм зашифрования в режиме гаммирования, имеет вид, указанный на черт. 3.
Открытые данные, разбитые на 64-разрядные блоки

,

,...,

,

, зашифровываются в режиме гаммирования путем поразрядного суммирования по модулю 2 в сумматоре

с гаммой шифра

, которая вырабатывается блоками по 64 бита, т.е.

,
где M - определяется объемом шифруемых данных.

- i-й 64-разрядный блок,

, число двоичных разрядов в блоке

может быть меньше 64, при этом неиспользованная для зашифрования часть гаммы шифра из блока

отбрасывается.
3.1.2. В КЗУ вводятся 256 бит ключа. В накопители

,

вводится 64-разрядная двоичная последовательность (синхропосылка)

, являющаяся исходным заполнением этих накопителей для последующей выработки M блоков гаммы шифра. Синхропосылка вводится в

и

так, что значение

вводится в 1-й разряд

, значение

вводится во 2-й разряд

и т.д., значение

вводится в 32-й разряд

; значение

вводится в 1-й разряд

, значение

вводится во 2-й разряд

и т.д., значение

вводится в 32-й разряд

.
| | ИС МЕГАНОРМ: примечание. Формула дана в соответствии с официальным текстом документа. | |
3.1.3. Исходное заполнение накопителей

и

(синхропосылка S) зашифровывается в режиме простой замены в соответствии с требованиями
п. 2.1. Результат зашифрования

переписывается в 32-разрядные накопители

и

, так, что заполнение

переписывается в

, а заполнение

переписывается в

.
3.1.4. Заполнение накопителя

суммируется по модулю

в сумматоре

с 32-разрядной константой

из накопителя

, результат записывается в

. Правила суммирования по модулю

приведены в
Приложении 4. Заполнение накопителя

суммируется по модулю

в сумматоре

в 32-разрядной константой

из накопителя

, результат записывается в

.
Заполнение

переписывается в

, а заполнение

переписывается в

, при этом заполнение

,

сохраняется.
Заполнение

и

зашифровывается в режиме простой замены в соответствии с требованиями
п. 2.1. Полученное в результате зашифрования заполнение

,

образует первый 64-разрядный блок гаммы шифра

, который суммируется поразрядно по модулю 2 в сумматоре

с первым 64-разрядным блоком открытых данных

.
В результате суммирования получается 64-разрядный блок зашифрованных данных

.
Значение

блока

является результатом суммирования по модулю 2 в

значения

из блока

со значением 1-го разряда

, значение

блока

является результатом суммирования по модулю 2 в

значения

из блока

со значением 2-го разряда

и т.д., значение

блока

является результатом суммирования по модулю 2 в

значения

из блока

со значением 32-го разряда

.
3.1.5. Для получения следующего 64-разрядного блока гаммы шифра

заполнение

суммируется по модулю

в сумматоре

с константой

из

, заполнение

суммируется по модулю

в сумматоре

с константой

из

. Новое заполнение

переписывается в

, а новое заполнение

переписывается в

, при этом заполнение

и

сохраняется.
Заполнение

и

зашифровывается в режиме простой замены в соответствии с требованиями
п. 2.1. Полученное в результате зашифрования заполнение

,

образует второй 64-разрядный блок гаммы шифра

, который суммируется поразрядно по модулю 2 в сумматоре

со вторым блоком открытых данных

. Аналогично вырабатываются блоки гаммы шифра

,

,...,

и зашифровываются блоки открытых данных

,

,...,

. Если длина последнего M-го блока открытых данных

меньше 64 бит, то из последнего M-го блока гаммы шифра

для зашифрования используется только соответствующее число разрядов гаммы шифра, остальные разряды отбрасываются.
3.1.6. В канал связи или память ЭВМ передаются синхропосылка S и блоки зашифрованных данных

,

,...,

.
3.1.7. Уравнение зашифрования имеет вид:

,
i = 1... M,
где

- означает суммирование 32-разрядных заполнений по модулю

;

- поразрядное суммирование по модулю 2 двух заполнений;

- содержимое накопителя

после зашифрования i-го блока открытых данных

;

- содержимое накопителя

после зашифрования i-го блока открытых данных

;

.
3.2. Расшифрование зашифрованных данных в режиме гаммирования
3.2.1. При расшифровании криптосхема имеет тот же вид, что и при зашифровании (см.
черт. 3). В КЗУ вводятся 256 бит ключа, с помощью которого осуществлялось зашифрование данных

,

,...,

. Синхропосылка S вводится в накопители

и

и аналогично
пп. 3.1.2 -
3.1.5 осуществляется процесс выработки M блоков гаммы шифра

,

,...,

. Блоки зашифрованных данных

,

,...,

суммируются поразрядно по модулю 2 в сумматоре

с блоками гаммы шифра, в результате получаются блоки открытых данных

,

,...,

, при этом

может содержать меньше 64 разрядов.
3.2.2. Уравнение расшифрования имеет вид:

,

.
4. РЕЖИМ ГАММИРОВАНИЯ С ОБРАТНОЙ СВЯЗЬЮ
4.1. Зашифрование открытых данных в режиме гаммирования с обратной связью
4.1.1. Крипстосхема, реализующая алгоритм зашифрования в режиме гаммирования с обратной связью, имеет вид, указанный на черт. 4.
Открытые данные, разбитые на 64-разрядные блоки

,...,

, зашифровываются в режиме гаммирования с обратной связью путем поразрядного суммирования по модулю 2 в сумматоре

с гаммой шифра

, которая вырабатывается блоками по 64 бита, т.е.

, где M определяется объемом открытых данных,

- i-й 64-разрядный блок,

. Число двоичных разрядов в блоке

может быть меньше 64.
4.1.2. В КЗУ вводятся 256 бит ключа. Синхропосылка

из 64 бит вводится в

и

аналогично
п. 3.1.2.
4.1.3. Исходное заполнение

и

зашифровывается в режиме простой замены в соответствии с требованиями
п. 2.1. Полученное в результате зашифрования заполнение

и

образует первый 64-разрядный блок гаммы шифра

, который суммируется поразрядно по модулю 2 в сумматоре

с первым 64-разрядным блоком открытых данных

.
В результате получается 64-разрядный блок зашифрованных данных

.
4.1.4. Блок зашифрованных данных

одновременно является также исходным состоянием

,

для выработки второго блока гаммы шифра

и по обратной связи записывается в указанные накопители. При этом значение

вводится в 1-й раздел N1, значение

вводится во 2-й разряд N1 и т.д., значение

вводится в 32-й разряд N1; значение

вводится в 1-й разряд N2, значение

вводится во 2-й разряд N2 и т.д., значение

вводится в 32-й разряд N2.
Заполнение

,

зашифровывается в режиме простой замены в соответствии с требованиями
п. 2.1. Полученное в результате зашифрования заполнение

,

образует второй 64-разрядный блок гаммы шифра

, который суммируется поразрядно по модулю 2 в сумматоре

со вторым блоком открытых данных

.
Выработка последующих блоков гаммы шифра

и зашифрование соответствующих блоков открытых данных

производится аналогично. Если длина последнего M-го блока открытых данных

меньше 64 разрядов, то из

используется только соответствующее число разрядов гаммы шифра, остальные разряды отбрасываются.
4.1.5. Уравнения зашифрования в режиме гаммирования с обратной связью имеют вид:
4.1.6. В канал связи или память ЭВМ передаются синхропосылка S и блоки зашифрованных данных

,

,...,

.
4.2. Расшифрование зашифрованных данных в режиме гаммирования с обратной связью
4.2.1. При расшифровании криптосхема имеет тот же вид (см.
черт. 4), что и при зашифровании.
В КЗУ вводятся 256 бит того же ключа, на котором осуществлялось зашифрование

,

,...,

. Синхропосылка S вводится в

и

аналогично
п. 3.1.2.
4.2.2. Исходное заполнение

,

(синхропосылка S) зашифровывается в режиме простой замены согласно
подразделу 2.1. Полученное в результате зашифрования заполнение

,

образует первый блок гаммы шифра

, который суммируется поразрядно по модулю 2 в сумматоре

с блоком зашифрованных данных

. В результате получается первый блок открытых данных

.
4.2.3. Блок зашифрованных данных

является исходным заполнением

,

для выработки второго блока гаммы шифра

. Блок

записывается в

,

в соответствии с требованиями
п. 4.1.4. Полученное заполнение

,

зашифровывается в режиме простой замены в соответствии с требованиями
п. 2.1, полученный в результате блок

суммируется поразрядно по модулю 2 в сумматоре

со вторым блоком зашифрованных данных

. В результате получается блок открытых данных

.
Аналогично в

,

последовательно записываются блоки зашифрованных данных

,

,...,

, из которых в режиме простой замены вырабатываются блоки гаммы шифра

,

,...,

. Блоки гаммы шифра суммируются поразрядно по модулю 2 в сумматоре

с блоками зашифрованных данных

,

,...,

, в результате получаются блоки открытых данных

,

,...,

, при этом длина последнего блока открытых данных

может содержать меньше 64 разрядов.
4.2.4. Уравнения расшифрования в режиме гаммирования с обратной связью имеют вид:

,
5. РЕЖИМ ВЫРАБОТКИ ИМИТОВСТАВКИ
5.1. Для обеспечения имитозащиты открытых данных, состоящих из M 64-разрядных блоков

,

,...,

, M >= 2, вырабатывается дополнительный блок из l бит (имитовставка

). Процесс выработки имитовставки единообразен для всех режимов шифрования.
5.2. Первый блок открытых данных
записывается в накопители

и

, при этом значение

вводится в 1-й разряд

, значение

вводится во 2-й разряд

и т.д., значение

вводится в 32-й разряд

; значение

вводится в 1-й разряд

и т.д., значение

вводится в 32-й разряд

.
5.3. Заполнение

и

подвергается преобразованию, соответствующему первым 16 циклам алгоритма зашифрования в режиме простой замены (см.
подраздел 2.1). В КЗУ при этом находится тот же ключ, которым зашифровываются блоки открытых данных

,

,...,

в соответствующие блоки зашифрованных данных

,

,...,

.
Полученное после 16 циклов работы заполнение

и

, имеющее вид

,

,...,

,

,

,...,

, суммируется в

по модулю 2 со вторым блоком

.
Результат суммирования
заносится в

и

и подвергается преобразованию, соответствующему первым 16 циклам алгоритма зашифрования в режиме простой замены.
| | ИС МЕГАНОРМ: примечание. Формула дана в соответствии с официальным текстом документа. | |
Полученное заполнение

и

суммируется по

по модулю 2 с третьим блоком

и т.д., последний блок

, при необходимости дополненный до полного 64-разрядного блока нулями, суммируется в

по модулю 2 с заполнением

,

Результат суммирования
заносится в

,

и зашифровывается в режиме простой замены по первым 16 циклам работы алгоритма. Из полученного заполнения накопителей

и

выбирается отрезок

(имитовставка) длиной l бит:

.
Имитовставка

передается по каналу связи или в память ЭВМ в конце зашифрованных данных, т.е.

,

,...,

,

.
5.4. Поступившие зашифрованные данные

,

,...,

расшифровываются, из полученных блоков открытых данных

,

,...,

аналогично
п. 5.3 вырабатывается имитовставка

, которая затем сравнивается с имитовставкой

, полученной вместе с зашифрованными данными из канала связи или из памяти ЭВМ. В случае несовпадения имитовставок полученные блоки открытых данных

,

,...,

считают ложными.
Выработка имитовставки

может производиться или перед зашифрованием (после расшифрования) всего сообщения, или параллельно с зашифрованием (расшифрованием) по блокам. Первые блоки открытых данных, которые участвуют в выработке имитовставки, могут содержать служебную информацию (адресную часть, отметку времени, синхропосылку и др.) и не зашифровываться.
Значение параметра l (число двоичных разрядов в имитовставке) определяется действующими криптографическими требованиями, при этом учитывается, что вероятность навязывания ложных данных равна

.
Справочное
ТЕРМИНЫ, ПРИМЕНЯЕМЫЕ В НАСТОЯЩЕМ
СТАНДАРТЕ, И ИХ ОПРЕДЕЛЕНИЯ
Термин | Определение |
Алгоритм | |
Гаммирование | Процесс наложения по определенному закону гаммы шифра на открытые данные |
Гамма шифра | Псевдослучайная двоичная последовательность, вырабатываемая по заданному алгоритму для зашифрования открытых данных и расшифрования зашифрованных данных |
Данные | |
Зашифрование данных | Процесс преобразования открытых данных в зашифрованные при помощи шифра |
Имитозащита | Защита системы шифрованной связи от навязывания ложных данных |
Имитовставка | Отрезок информации фиксированной длины, полученной по определенному правилу из открытых данных и ключа и добавленный к зашифрованным данным для обеспечения имитозащиты |
Канал связи | По ГОСТ 17657 |
Ключ | Конкретное секретное состояние некоторых параметров алгоритма криптографического преобразования данных, обеспечивающее выбор одного преобразования из совокупности всевозможных для данного алгоритма преобразований |
Криптографическая защита | Защита данных при помощи криптографического преобразования данных |
Криптографическое преобразование | Преобразование данных при помощи шифрования и (или) выработки имитовставки |
Расшифровка данных | Процесс преобразования зашифрованных данных в открытые при помощи шифра |
Синхропосылка | Значения исходных открытых параметров алгоритма криптографического преобразования |
Уравнение зашифрования | Соотношение, выражающее процесс образования зашифрованных данных из открытых данных в результате преобразований, заданных алгоритмом криптографического преобразования |
Уравнение расшифрования | Соотношение, выражающее процесс образования открытых данных из зашифрованных данных в результате преобразований, заданных алгоритмом криптографического преобразования |
Шифр | Совокупность обратимых преобразований множества возможных открытых данных на множество возможных зашифрованных данных, осуществляемых по определенным правилам с применением ключей |
Шифрование | Процесс зашифрования или расшифрования |
Обязательное
ЗНАЧЕНИЯ КОНСТАНТ

,

1. Константа

имеет вид:
Разряд накопителя N6 | 32 | 31 | 30 | 29 | 28 | 27 | 26 | 25 | 24 | 23 | 22 | 21 | 20 | 19 | 18 | | |
Значение разряда | 0 | 0 | 0 | 0 | 0 | 0 | 0 | 0 | 0 | 0 | 0 | 0 | 0 | 0 | 0 | | |
Разряд накопителя N6 | 17 | 16 | 15 | 14 | 13 | 12 | 11 | 10 | 9 | 8 | 7 | 6 | 5 | 4 | 3 | 2 | 1 |
Значение разряда | 1 | 0 | 0 | 0 | 0 | 0 | 0 | 0 | 1 | 0 | 0 | 0 | 0 | 0 | 1 | 0 | 0 |
2. Константа

имеет вид:
Разряд накопителя N5 | 32 | 31 | 30 | 29 | 28 | 27 | 26 | 25 | 24 | 23 | 22 | 21 | 20 | 19 | 18 | | |
Значение разряда | 0 | 0 | 0 | 0 | 0 | 0 | 0 | 1 | 0 | 0 | 0 | 0 | 0 | 0 | 0 | | |
Разряд накопителя N5 | 17 | 16 | 15 | 14 | 13 | 12 | 11 | 10 | 9 | 8 | 7 | 6 | 5 | 4 | 3 | 2 | 1 |
Значение разряда | 1 | 0 | 0 | 0 | 0 | 0 | 0 | 0 | 1 | 0 | 0 | 0 | 0 | 0 | 0 | 0 | 1 |
Справочное
СХЕМЫ ПРОГРАММНОЙ РЕАЛИЗАЦИИ АЛГОРИТМА
КРИПТОГРАФИЧЕСКОГО ПРЕОБРАЗОВАНИЯ
1. Схема одного цикла шифрования
Черт. 5
2. Схема 32-х циклов зашифрования
Черт. 6
3. Схема 32-х циклов расшифрования
Черт. 7
4. Схема алгоритма зашифрования в режиме простой замены
Черт. 8
5. Схема алгоритма расшифрования в режиме простой замены
Черт. 9
6. Схема алгоритма зашифрования в режиме гаммирования
Черт. 10
7. Схема алгоритма расшифрования в режиме гаммирования
Черт. 11
8. Схема алгоритма зашифрования
в режиме гаммирования с обратной связью
Черт. 12
9. Схема алгоритма расшифрования
в режиме гаммирования с обратной связью
Черт. 13
10. Схема алгоритма криптографического
преобразования в режиме выработки имитовставки
Черт. 14
Справочное
ПРАВИЛА СУММИРОВАНИЯ ПО МОДУЛЮ

И ПО МОДУЛЮ

1. Два целых числа a, b, где 0 <= a,

, представленные в двоичном виде

,

,
т.е.

,

,
суммируются по модулю

(операция

) по следующему правилу:

, если

,

, если

,
где операция + (-) есть арифметическая сумма (разность) двух целых чисел.
2. Два целых числа a, b, где 0 <= a,

, представленные в двоичном виде

,

,
суммируются по модулю

(операция

) по следующему правилу:

, если

,

, если

.