Главная // Актуальные документы // ГОСТ (Государственный стандарт)СПРАВКА
Источник публикации
М.: Издательство стандартов, 1986
Примечание к документу
Документ утратил силу с 1 марта 1990 года. Действует ТУ 26-04-622-87 ("ИУС", N 12, 1989).
С 1 июля 2003 года до вступления в силу технических регламентов акты федеральных органов исполнительной власти в сфере технического регулирования носят рекомендательный характер и подлежат обязательному исполнению только в части, соответствующей целям, указанным в
пункте 1 статьи 46 Федерального закона от 27.12.2002 N 184-ФЗ.
Документ
введен в действие с 1 января 1981 года.
Взамен ГОСТ 16024-70, ГОСТ 5.837-71, ГОСТ 5.1409-72.
Название документа
"ГОСТ 16024-79*. Государственный стандарт Союза ССР. Сосуды криогенные. Технические условия"
(введен в действие Постановлением Госстандарта СССР от 26.10.1979 N 4078)
(ред. от 01.07.1985)
"ГОСТ 16024-79*. Государственный стандарт Союза ССР. Сосуды криогенные. Технические условия"
(введен в действие Постановлением Госстандарта СССР от 26.10.1979 N 4078)
(ред. от 01.07.1985)
Постановлением Государственного
комитета СССР по стандартам
от 26 октября 1979 г. N 4078
ГОСУДАРСТВЕННЫЙ СТАНДАРТ СОЮЗА ССР
СОСУДЫ КРИОГЕННЫЕ
ТЕХНИЧЕСКИЕ УСЛОВИЯ
Cryogenic vessels. Specifications
ГОСТ 16024-79*
Е
| | Список изменяющих документов (в ред. Изменения N 1, утв. в июле 1985 г.) | |
Группа Г43
ОКП 36 4238
Взамен
ГОСТ 16024-70,
ГОСТ 5.837-71,
ГОСТ 5.1409-72
Постановлением Государственного комитета СССР по стандартам от 26 октября 1979 г. N 4078 срок введения установлен с 01.01.1981.
Проверен в 1985 г. Постановлением Госстандарта от 20.06.1985 N 1810 срок действия продлен до 01.01.1991.
Переиздание (декабрь 1985 г.) с Изменением N 1, утвержденным в июле 1985 г. (ИУС 9-85).
Настоящий стандарт распространяется на криогенные сосуды для хранения и транспортирования криопродуктов: азота, аргона, кислорода и воздуха, изготовляемые для нужд народного хозяйства, а также для экспорта в страны с умеренным и тропическим климатом в исполнении О, категории 2 по
ГОСТ 15150-69.
1. ОСНОВНЫЕ ПАРАМЕТРЫ И РАЗМЕРЫ
1.1. Основные параметры и размеры криогенных сосудов (далее - сосуды) должны соответствовать указанным на чертеже и в
табл. 1.
| Номинальный объем, л | Количество хранимого продукта, л, не менее | Диаметр, D, мм, не более | Высота H, мм, не более | Внутренний диаметр горловины d, мм, не менее | Масса порожнего сосуда, кг, не более | Потери от испарения криопродукта в сосудах (при температуре 293 К (20 °C) и давлении 0,1 МПа (760 мм рт. ст.), кг/ч, не более |
по азоту | по кислороду | по аргону | по воздуху |
СК-6 | 6,3 | 6,0 | 260 | 510 | 22 | 4,5 | 0,0002 | 0,0086 | 0,0114 | 0,0090 |
СК-10 | 10,0 | 10,0 | 260 | 650 | 32 | 6,5 | 0,0145 | 0,0136 | 0,0179 | 0,0141 |
СК-16 | 16,0 | 17,5 | 380 | 650 | 32 | 8,5 | 0,0132 | 0,0124 | 0,0163 | 0,0129 |
СК-25 | 25,0 | 26,5 | 460 | 630 | 56 | 11,5 | 0,0167 | 0,0157 | 0,0206 | 0,0163 |
СК-40 | 40,0 | 40,0 | 460 | 800 | 71 | 14,5 | 0,0227 | 0,0213 | 0,0280 | 0,0221 |
--------------------------------
<*> Ранее принятое условное обозначение сосудов приведено в справочном
Приложении 1.
Примечание. Предельное отклонение от номинальных объемов: плюс 10 и минус 5%.
(Измененная редакция, Изм. N 1).
1.2. Пример условного обозначения криогенного сосуда номинальным объемом 25 л для:
азота
Сосуд СК-25 ГОСТ 16024-79
кислорода
Сосуд СК-25 ГОСТ 16024-79 для кислорода
аргона
Сосуд СК-25 ГОСТ 16024-79 для аргона
воздуха
Сосуд СК-25 ГОСТ 16024-79 для воздуха
1.3. Коды ОКП криогенных сосудов по общесоюзному классификатору должны соответствовать указанным в справочном
Приложении 2.
(Введен дополнительно, Изм. N 1).
2. ТЕХНИЧЕСКИЕ ТРЕБОВАНИЯ
2.1. Сосуды должны изготовляться в соответствии с требованиями настоящего стандарта по рабочим чертежам, утвержденным в установленном порядке, а предназначенные для экспорта - также и заказ-наряда внешнеторговой организации.
2.2. Внутренний сосуд и наружный кожух сосудов должны изготовляться из алюминиевого сплава по ГОСТ 4784-74, горловина - из стали по
ГОСТ 5632-72.
2.3. Сосуды должны изготовляться с жесткой горловиной высотой 180 - 220 мм.
2.4. Овальность цилиндрической части наружных кожухов сосудов СК-6 и СК-10 не должна превышать 2 мм, а СК-16, СК-25 и СК-40 - 3 мм.
2.6. На внутренний сосуд должен быть нанесен ленточный двухслойный изоляционный материал. Толщина изоляционного слоя на цилиндрической части сосуда должна быть не менее:
20 мм - для сосудов СК-6 и СК-10
30 мм " " СК-16
35 мм " " СК-25 и СК-40.
2.7. Число склеек изоляционного материала при его обрыве не должно быть более 10 на один сосуд.
2.8. Адсорбционная камера должна быть заполнена отрегенерированным адсорбентом для поддержания вакуума.
2.9. Внутренние и наружные сосуды должны быть герметичны.
Межстенное пространство должно быть откачано до давления

с началом откачки не позднее чем через 2 ч после засыпки адсорбента.
2.10. Поверхности сосудов, соприкасающихся с криопродуктом, должны быть обезжирены.
2.11. Наружные поверхности сосудов должны быть окрашены серебристой или белой эмалью.
Качество лакокрасочного покрытия должно соответствовать классу III - по
ГОСТ 9.032-74, а для экспортного исполнения - классу II.
2.12. Срок службы сосудов - не менее 8 лет.
2.13. В комплект сосуда должна входить пробка для закрывания горловины.
2.14. К каждому сосуду должен прикладываться паспорт и инструкция по эксплуатации по ГОСТ 2.601-68, а предназначенным для экспорта - и по ГОСТ 6.37-79.
3. ТРЕБОВАНИЯ БЕЗОПАСНОСТИ
3.1. Помещение, где находятся сосуды, заполненные криопродуктом, должно иметь приточно-вытяжную вентиляцию, обеспечивающую содержание кислорода в воздухе не менее 19 об. %.
3.2. При эксплуатации сосудов с криопродуктом запрещается:
ставить сосуды вблизи объектов, излучающих тепло (радиаторы отопления, печи и т.д.), а также на прямом солнечном свету;
работать без защитных средств (очков по ГОСТ 12.4.013-85, брезентовых рукавиц по
ГОСТ 12.4.010-75), предохраняющих обслуживающий персонал от попадания низкотемпературной жидкости на открытые участки кожных покровов;
транспортировать сосуды совместно с жировыми веществами.
(Измененная редакция, Изм. N 1).
3.3. При появлении на поверхности сосуда инея, "снеговой шубы" или резком повышении испаряемости, что является признаком потери вакуума, необходимо криопродукт из сосуда слить, а сосуд поставить на отогрев в помещение, куда запрещен доступ людей.
3.4. Транспортные устройства, на которых перевозят сосуды с криопродуктом, должны быть безопасными в противопожарном отношении.
3.5. Адсорбент и химпоглотитель должны быть пожаро- и взрывобезопасными при соприкосновении с жидким кислородом или воздухом.
3.6. Запрещается закрывать горловину сосуда какими-либо пробками, кроме пробки, входящей в комплект.
3.7. Максимальное избыточное давление при передавливании жидкости из сосуда - 0,03 МПа (0,3 кгс/см2).
3.6, 3.7. (Введены дополнительно, Изм. N 1).
4.1. Для проверки соответствия сосудов требованиям настоящего стандарта каждый сосуд должен подвергаться приемо-сдаточным испытаниям на соответствие требованиям
пп. 1.1;
2.3;
2.4;
2.5;
2.6;
2.8;
2.9;
2.11;
2.13.
Примечание. На соответствие требованиям
пп. 2.3 и
2.8 сосуды проверяют в процессе изготовления.
5.1. Все испытания сосудов должны проводиться при температуре окружающей среды 20 +/- 5 °C и атмосферном давлении.
5.2. Массу порожнего сосуда
(п. 1.1) проверяют взвешиванием его на технических весах, обеспечивающих точность взвешивания +/- 0,1 кг.
5.3. Проверку габаритных размеров (
пп. 1.1 и
2.3), овальности
(п. 2.4), толщины намотки изоляционного
(п. 2.6) проводят при помощи мерительного инструмента, обеспечивающего точность измерений до 0,5 мм.
Контролю должны быть подвергнуты 100% швов.
5.5. Герметичность внутреннего и наружного сосудов
(п. 2.9) проверяют гелиевым течеискателем.
5.6. В качестве рабочего продукта при определении потерь от испарения должен быть использован жидкий азот по
ГОСТ 9293-74.
5.7. Определение потерь от испарения
(п. 1.1) необходимо проводить в стационарном режиме по разности результатов двух взвешиваний. Для испытаний используются весы с погрешностью до 25 г при массе сосуда с жидкостью до 30 кг и погрешностью до 0,1% от действительного значения массы при массе сосуда с жидкостью более 30 кг.
Определение потерь от испарения следует проводить следующим образом:
сосуды СК-6 и СК-10 залить жидким азотом на 70% от количества хранимого продукта, сосуды СК-16, СК-25, СК-40 залить жидким азотом на 30% от количества хранимого продукта и закрыть горловину пробкой, входящей в комплект сосуда;
через 48 ч после заливки азота произвести первое взвешивание сосуда.
Величины интервалов времени между двумя взвешиваниями для определения потерь от испарения с точностью до 5% следующие:
для СК-6; СК-40 - не менее 72 ч;
для СК-10; СК-16; СК-25 - не менее 48 ч.
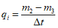
Потери от испарения определяются по формуле

,
где

- потери от испарения жидкого азота при температуре окружающей среды, кг/ч;

;

- массы сосуда после первого и второго взвешиваний соответственно, кг;

- интервал времени между взвешиваниями, ч.
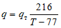
Определение потерь от испарения должно проводиться при температуре воздуха T = (20 +/- 5) °C.
При больших отклонениях температуры следует приводить фактическую испаряемость к испаряемости при 293 К по формуле

,
где q - потери от испарения жидкого азота при 293 К, кг/ч;
T - средняя температура воздуха при испытаниях, К.
Если значение измеренных потерь от испарения превышает указанные в
табл. 1, то через 72 ч для сосудов СК-6, СК-40 и 48 ч для сосудов СК-10, СК-16, СК-25 производят третье взвешивание и вторично определяют потери от испарения жидкого азота по формуле

,
где

- масса сосуда после третьего взвешивания, кг.
Если значение вторично измеренных потерь от испарения превышает указанные в
табл. 1, то испытания на испаряемость прекращаются.
Сосуд считается не выдержавшим испытания.
5.8. Потери от испарения жидкого кислорода, аргона и воздуха следует вычислять по формуле

,
где

- потери от испарения жидкого азота, кг/ч;

- потери от испарения жидкого кислорода, аргона или воздуха, кг/ч;

- теплота испарения жидкого азота, равная 200 кДж/кг;

- теплота испарения жидкого кислорода, аргона или воздуха, соответственно равна:

;

;

;

- температура кипения жидкого кислорода, аргона или воздуха, соответственно равна:

;

;

.
5.7, 5.8. (Измененная редакция, Изм. N 1).
5.9. Качество покрытия сосуда
(2.11), нанесение отличительной полосы и наименования криопродукта, а также отсутствие видимых механических повреждений (вмятины, трещины и т.д.) проверяют внешним осмотром.
6. МАРКИРОВКА, УПАКОВКА, ТРАНСПОРТИРОВАНИЕ И ХРАНЕНИЕ
6.1. На кожухе сосуда должна быть прикреплена табличка по ГОСТ 12964-80 и
ГОСТ 12971-67 с указанием:
товарного знака предприятия-изготовителя;
клейма ОТК;
условного обозначения сосуда;
вместимости;
массы порожнего сосуда;
номера сосуда по системе нумерации предприятия-изготовителя;
даты выпуска;
изображения государственного Знака качества по ГОСТ 1.9-67 на сосудах, которым в установленном порядке присвоен государственный Знак качества;
слов "Сделано в СССР" на сосудах, предназначенных для экспорта.
6.2. Крепление таблички к сосуду должно осуществляться точечной сваркой или эпоксидной смолой. Допускается изготовление и крепление табличек в виде липких аппликаций.
(Измененная редакция, Изм. N 1).
6.3. Горловина сосуда должна быть опломбирована по ГОСТ 18680-73, обернута полиэтиленовой пленкой или водонепроницаемой бумагой по ГОСТ 8828-75 и обвязана шпагатом по ГОСТ 16266-70.
К ручке сосуда должна быть привязана эксплуатационная документация, упакованная в пакет из полиэтиленовой пленки или водонепроницаемой бумаги.
6.4. В зависимости от вида криопродукта, для которого предназначен сосуд, на его средней части должна быть нанесена отличительная полоса с наименованием на ней криопродукта.
Текст надписи, ее цвет и цвет отличительной полосы должны соответствовать указанным в табл. 2.
Таблица 2
Текст надписи | Цвет отличительной полосы | Цвет надписи |
Азот | Черный | Желтый |
Аргон | Черный | Желтый |
Кислород | Голубой | Черный |
Воздух | Черный | Белый |
6.5. Наименование криопродукта наносят прописным шрифтом ПО по
ГОСТ 2930-62.
6.6. Сосуды должны упаковываться в дощатые обрешетки по
ГОСТ 12082-82 и в ящики, изготовленные из картона по
ГОСТ 7376-84, а сосуды, предназначенные для экспорта, - в ящики по
ГОСТ 24634-81 или в соответствии с заказом-нарядом внешнеторговой организации.
Допускается в один ящик упаковывать по несколько сосудов. Сосуды внутри ящика должны быть зафиксированы от перемещений в любом направлении.
6.7. На боковых стенках транспортной тары криогенных сосудов должна быть нанесена маркировка: основные, дополнительные, информационные надписи и манипуляционные знаки: "Осторожно, хрупкое", "Боится сырости", "Верх, не кантовать", а для сосудов, предназначенных для экспорта, дополнительно в соответствии с требованиями заказа-наряда внешнеторговой организации. Маркировку следует наносить краской по трафарету.
6.8. Транспортирование и хранение сосудов - по группе ОЖ2
ГОСТ 15150-69.
Транспортирование порожних сосудов производится транспортом всех видов в соответствии с правилами перевозки грузов, действующими на транспорте каждого вида.
При транспортировании сосуды должны быть зафиксированы от перемещений в любом направлении относительно опорной поверхности.
Запрещается транспортировать сосуды в наклонном и горизонтальном положении.
6.6 - 6.8. (Измененная редакция, Изм. N 1).
6.9. Сосуды с жидкостью транспортируют автомобильным транспортом в соответствии с правилами перевозки грузов автомобильным транспортом.
(Введен дополнительно, Изм. N 1).
7.1. Предприятие-изготовитель гарантирует соответствие сосудов требованиям настоящего стандарта при соблюдении условий эксплуатации, транспортирования и хранения, установленных стандартом и эксплуатационной документацией по ГОСТ 2.601-68.
7.2. Гарантийный срок эксплуатации - 12 месяцев со дня ввода их в эксплуатацию.
7.3. Гарантийный срок эксплуатации сосудов, предназначенных для экспорта, - 12 мес с момента ввода их в эксплуатацию, но не более 24 мес с момента проследования через Государственную границу СССР.
Справочное
СООТВЕТСТВИЕ РАНЕЕ ПРИНЯТЫХ УСЛОВНЫХ ОБОЗНАЧЕНИЙ
СОСУДОВ И УСТАНАВЛИВАЕМЫХ НАСТОЯЩИМ СТАНДАРТОМ
Должно быть |
Условное обозначение по настоящему стандарту | Условное обозначение по НТД |
СК-6 | АСД-5; СДП-5 |
СК-10 | СДП-10 |
СК-16 | АСД-16; СДП-16 |
СК-25 | АСД-25; СДП-25 |
СК-40 | СДП-40 |
Справочное
ОБОЗНАЧЕНИЕ КОДОВ ОКП КРИОГЕННЫХ СОСУДОВ
Типоразмер | Код ОКП | Код ОКП сосудов экспортного исполнения |
Умеренный климат | Тропический климат |
СК-6 | 36 4238 1155 10 | 36 4238 1162 00 | 36 4238 1165 08 |
СК-10 | 36 4238 1156 09 | 36 4238 1166 07 | 36 4238 1167 06 |
СК-16 | 36 4238 1157 08 | 36 4238 1163 10 | 36 4238 1164 09 |
СК-25 | 36 4238 1158 07 | 36 4238 1168 05 | 36 4238 1161 01 |
СК-40 | 36 4238 1159 06 | 36 4238 1169 04 | 36 4238 1170 00 |
(Введено дополнительно, Изм. N 1).