Главная // Актуальные документы // ГОСТ (Государственный стандарт)СПРАВКА
Источник публикации
М.: Стандартинформ, 2013
Примечание к документу
Документ утратил силу на территории Российской Федерации с 1 января 2015 года в связи с изданием
Приказа Росстандарта от 08.11.2013 N 1537-ст. Взамен введен
ГОСТ Р МЭК 60601-2-33-2013.
Документ
введен в действие с 1 января 2013 года.
Название документа
"ГОСТ IEC 60601-2-33-2011. Межгосударственный стандарт. Изделия медицинские электрические. Часть 2-33. Частные требования безопасности к медицинскому диагностическому оборудованию, работающему на основе магнитного резонанса"
(введен в действие Приказом Росстандарта от 13.12.2011 N 1339-ст)
"ГОСТ IEC 60601-2-33-2011. Межгосударственный стандарт. Изделия медицинские электрические. Часть 2-33. Частные требования безопасности к медицинскому диагностическому оборудованию, работающему на основе магнитного резонанса"
(введен в действие Приказом Росстандарта от 13.12.2011 N 1339-ст)
по техническому регулированию
и метрологии
от 13 декабря 2011 г. N 1339-ст
МЕЖГОСУДАРСТВЕННЫЙ СТАНДАРТ
ИЗДЕЛИЯ МЕДИЦИНСКИЕ ЭЛЕКТРИЧЕСКИЕ
ЧАСТЬ 2-33
ЧАСТНЫЕ ТРЕБОВАНИЯ БЕЗОПАСНОСТИ К МЕДИЦИНСКОМУ
ДИАГНОСТИЧЕСКОМУ ОБОРУДОВАНИЮ, РАБОТАЮЩЕМУ НА ОСНОВЕ
МАГНИТНОГО РЕЗОНАНСА
Medical electrical equipment. Part 2-33. Particular
requirements for the safety of magnetic resonance
equipment for medical diagnosis
(IEC 60601-2-33:2006, IDT)
ГОСТ IEC 60601-2-33-2011
Дата введения
1 января 2013 года
Цели, основные принципы и порядок проведения работ по межгосударственной стандартизации установлены
ГОСТ 1.0-92 "Межгосударственная система стандартизации. Основные положения" и
ГОСТ 1.2-2009 "Межгосударственная система стандартизации. Стандарты межгосударственные, правила и рекомендации по межгосударственной стандартизации. Правила разработки, принятия, применения, обновления и отмены"
1 ПОДГОТОВЛЕН Федеральным государственным унитарным предприятием "Всероссийский научно-исследовательский институт стандартизации и сертификации в машиностроении" (ВНИИНМАШ)
2 ВНЕСЕН Федеральным агентством по техническому регулированию и метрологии (Росстандарт)
3 ПРИНЯТ Межгосударственным советом по стандартизации, метрологии и сертификации (протокол N 40-2011 от 29 ноября 2011 г)
За принятие стандарта проголосовали:
Краткое наименование страны по МК (ИСО 3166) 004-97 | Код страны по МК (ИСО 3166) 004-97 | Сокращенное наименование национального органа по стандартизации |
Беларусь | BY | Госстандарт Республики Беларусь |
Казахстан | KZ | Госстандарт Республики Казахстан |
Кыргызстан | KG | Кыргызстандарт |
Российская Федерация | RU | Росстандарт |
4
Приказом Федерального агентства по техническому регулированию и метрологии от 13 декабря 2011 г. N 1339-ст межгосударственный стандарт ГОСТ IEC 60601-2-33-2011 введен в действие в качестве национального стандарта Российской Федерации с 1 января 2013 г.
5 Настоящий стандарт идентичен международному стандарту IEC 60601-2-33:2006 Medical electrical equipment - Part 2-33: Particular requirements for the safety of magnetic resonance equipment for medical diagnosis (Изделия медицинские электрические. Часть 2-33. Частные требования безопасности к медицинскому диагностическому оборудованию, работающему на основе магнитного резонанса).
Степень соответствия - идентичная (IDT).
Сведения о соответствии межгосударственных стандартов ссылочным международным стандартам приведены в дополнительном
приложении ДА.
| | ИС МЕГАНОРМ: примечание. Нумерация пунктов дана в соответствии с официальным текстом документа. | |
5 ВВЕДЕН ВПЕРВЫЕ
Информация о введении в действие (прекращении действия) настоящего стандарта публикуется в ежемесячно издаваемом указателе "Национальные стандарты".
Информация об изменениях к настоящему стандарту публикуется в ежегодно издаваемом информационном указателе "Национальные стандарты", а текст изменений - в информационных указателях "Национальные стандарты". В случае пересмотра или отмены настоящего стандарта соответствующая информация будет опубликована в информационном указателе "Национальные стандарты"
Требования настоящего частного стандарта (далее - настоящий стандарт) имеют преимущества перед аналогичными требованиями общего стандарта (IEC 60601-1).
Требования настоящего стандарта, которые изложены в пунктах и подпунктах, помеченных знаком **, носят информационно-справочный характер, остальные требования являются рекомендуемыми.
В настоящем стандарте приняты следующие шрифтовые выделения:
- методы испытаний выделены курсивом;
- термины, применяемые в настоящем стандарте, которые определены в
разделе 2 общего (IEC 60601-1) и
разделе настоящего стандартов, а также в IEC 60788, набраны прописными буквами.
Нумерация разделов, пунктов и подпунктов настоящего стандарта соответствует нумерации, принятой в общем стандарте. Пунктам, подпунктам, рисункам, являющимся дополнением к тем, которые имеются в общем стандарте, присвоен номер 101 и далее; дополнительные приложения обозначены буквами AA, BB и т.д., а дополнительные перечисления - aa), bb) и т.д.
Пункты и подпункты, к которым приведены обоснования, помечены знаком *, проставляемым перед их номером. Обоснование терминов и требований настоящего стандарта приведено в
приложении BB.
Если нет соответствующего раздела или подпункта в настоящем стандарте, применяют раздел или пункт общего стандарта, если не указано, что этот раздел или пункт не применим к рассматриваемому оборудованию.
Настоящий стандарт содержит нормы и требования, которые заменяют, дополняют или изменяют соответствующие разделы и (или) пункты общего стандарта.
"Замена" означает, что пункт общего стандарта заменяется полностью текстом настоящего стандарта.
"Дополнение" означает, что текст настоящего стандарта является дополнительным к тексту общего стандарта.
"Изменение" означает, что текст пункта общего стандарта изменяется в соответствии с указаниями настоящего стандарта.
РАЗДЕЛ ПЕРВЫЙ. ОБЩИЕ ПОЛОЖЕНИЯ
1. Область распространения и цель
Применяется
пункт общего стандарта, за исключением:
1.1 Область распространения
Дополнение
Настоящий стандарт распространяется на безопасность МАГНИТНО-РЕЗОНАНСНОГО (МР) ОБОРУДОВАНИЯ по
2.2.101 и МР-СИСТЕМЫ по
2.2.102.
Этот стандарт не распространяется при применении МР-ОБОРУДОВАНИЯ не по назначению.
1.2 Цель
Замена
Настоящий стандарт устанавливает требования безопасности МР-ОБОРУДОВАНИЯ для обеспечения защиты ПАЦИЕНТА.
Это устанавливается требованиями обеспечения информацией ОПЕРАТОРА, персонала, работающего с МР-ОБОРУДОВАНИЕМ, а также посторонних лиц и методами проверки соответствия этим требованиям.
Требования настоящего стандарта являются рекомендуемыми.
Применяют
пункт общего стандарта, за исключением:
Дополнительные определения
2.2 Типы ОБОРУДОВАНИЯ (классификация)
2.2.101 МАГНИТНО-РЕЗОНАНСНОЕ ОБОРУДОВАНИЕ (МР-ОБОРУДОВАНИЕ): МЕДИЦИНСКОЕ ЭЛЕКТРИЧЕСКОЕ ОБОРУДОВАНИЕ, которое используется в медицинской диагностике для МР-ОБСЛЕДОВАНИЯ in vivo ПАЦИЕНТА. МР-ОБОРУДОВАНИЕ включает как мониторы, так и жесткие диски и гибкие носители информации. МР-ОБОРУДОВАНИЕ - это Программируемая Электрическая Медицинская Система (ПЭМС).
2.2.102 МАГНИТНО-РЕЗОНАНСНАЯ СИСТЕМА (МР-СИСТЕМА): Комплекс, включающий в себя МР-ОБОРУДОВАНИЕ, ВСПОМОГАТЕЛЬНЫЕ УСТРОЙСТВА, средства для наблюдения и контроля, источники электрического питания и ОБЛАСТЬ КОНТРОЛИРУЕМОГО ДОСТУПА.
2.2.103 МАГНИТНО-РЕЗОНАНСНОЕ ОБОРУДОВАНИЕ для исследования ВСЕГО ТЕЛА (МР-ОБОРУДОВАНИЕ ВСЕГО ТЕЛА): МР-ОБОРУДОВАНИЕ с размерами, обеспечивающими МР-ОБСЛЕДОВАНИЕ ВСЕГО ТЕЛА и его частей взрослых ПАЦИЕНТОВ. Оно может быть оснащено ОБЪЕМНЫМИ РЧ-КАТУШКАМИ, ЛОКАЛЬНЫМИ РЧ-КАТУШКАМИ и СПЕЦИАЛЬНЫМИ ГРАДИЕНТНЫМИ СИСТЕМАМИ.
2.2.104 МАГНИТ ВСЕГО ТЕЛА: Магнит для использования в МР-ОБОРУДОВАНИИ ВСЕГО ТЕЛА
2.2.105 МАГНИТ ПОПЕРЕЧНОГО ПОЛЯ: Магнит, поле которого направлено под прямым углом к оси ПАЦИЕНТА.
2.2.106 ГРАДИЕНТНАЯ СИСТЕМА ВСЕГО ТЕЛА: Градиентная система, используемая в МР-ОБОРУДОВАНИИ ВСЕГО ТЕЛА.
2.2.107 СПЕЦИАЛЬНАЯ ГРАДИЕНТНАЯ СИСТЕМА: Градиентная система, используемая в МР-ОБОРУДОВАНИИ для специальных целей.
Пример СПЕЦИАЛЬНОЙ ГРАДИЕНТНОЙ СИСТЕМЫ - это градиентная система, установленная в МР-ОБОРУДОВАНИИ для специальных обследований головы ПАЦИЕНТА.
2.2.108 ГРАДИЕНТНЫЙ БЛОК: Все градиентные катушки, которые вместе создают градиент магнитного поля, вдоль одной из осей координатной системы МР-ОБОРУДОВАНИЯ.
2.2.109 ОБЪЕМНАЯ РЧ-ПЕРЕДАЮЩАЯ КАТУШКА: РЧ-КАТУШКА, используемая в МР-ОБОРУДОВАНИИ для создания гомогенного РЧ поля в заданном объеме, определяемая катушкой.
ОБЪЕМНАЯ РЧ-КАТУШКА может быть КАТУШКОЙ ВСЕГО ТЕЛА, для головы или РЧ-КАТУШКОЙ гомогенного облучения определенной части тела. Одиночный виток катушки, окружающей тело или его часть, может быть ОБЪЕМНОЙ РЧ-КАТУШКОЙ (например, одновитковая грудная катушка).
2.2.110 ПЕРЕДАЮЩАЯ РЧ-КАТУШКА ВСЕГО ТЕЛА: ОБЪЕМНАЯ РЧ-КАТУШКА достаточных размеров для обследования всего тела взрослого ПАЦИЕНТА.
2.2.111 РЧ-ПЕРЕДАЮЩАЯ КАТУШКА ГОЛОВЫ: ОБЪЕМНАЯ РЧ-ПЕРЕДАЮЩАЯ КАТУШКА, используемая в МР-ОБОРУДОВАНИИ для МР-ОБСЛЕДОВАНИЯ головы ПАЦИЕНТА.
2.2.112 ЛОКАЛЬНАЯ РЧ-ПЕРЕДАЮЩАЯ КАТУШКА: РЧ-КАТУШКА, отличающаяся от ОБЪЕМНОЙ РЧ-КАТУШКИ. ЛОКАЛЬНАЯ РЧ-КАТУШКА может быть катушкой для спектрометрии.
2.10 Режимы работы ОБОРУДОВАНИЯ
2.10.101 НОРМАЛЬНЫЙ РЕЖИМ РАБОТЫ: Режим работы МР-ОБОРУДОВАНИЯ, при котором все его рабочие параметры находятся в пределах, рекомендуемых для предотвращения УГРОЗ БЕЗОПАСНОСТИ во время проведения МР-ОБСЛЕДОВАНИЯ. При соблюдении этих пределов для предотвращения ОПАСНОСТИ для ПАЦИЕНТА требуется лишь ОБЫЧНЫЙ КОНТРОЛЬ его состояния.
2.10.102 РЕЖИМ КОНТРОЛЯ ПЕРВОГО УРОВНЯ: Режим работы МР-ОБОРУДОВАНИЯ, при котором некоторые рабочие параметры достигают значений, способных вызвать нежелательное физиологическое воздействие на ПАЦИЕНТОВ, и требуется контроль.
2.10.103 РЕЖИМ КОНТРОЛЯ ВТОРОГО УРОВНЯ: Режим работы МР-ОБОРУДОВАНИЯ, при котором некоторые рабочие параметры достигают значений, способных создать значительную угрозу ПАЦИЕНТАМ.
*2.10.104 МР-ОБСЛЕДОВАНИЕ: Процесс сбора сведений о ПАЦИЕНТЕ методом МР в течение одной процедуры, при выполнении которой ПАЦИЕНТ находится в рабочем пространстве магнита.
2.11 Механическая безопасность
2.11.101 ОБЛАСТЬ КОНТРОЛИРУЕМОГО ДОСТУПА: Область, доступность которой для ПАЦИЕНТОВ и персонала контролируется из соображений безопасности.
2.11.102 УСТРОЙСТВО АВАРИЙНОГО ОТКЛЮЧЕНИЯ ПОЛЯ: В МР-ОБОРУДОВАНИИ с резистивным или сверхпроводящим магнитом - устройство аварийного выключения магнита и эвакуации накопленной в нем энергии.
2.11.103 КВЕНЧ: Состояние электрической проводимости катушки, которое вызывается переходом из сверхпроводящего в проводящее состояние, создающее быстрый выброс криогенной жидкости и нарушения магнитного поля.
2.12 Разное
*2.12.101 МАГНИТНЫЙ РЕЗОНАНС: Резонансное поглощение электромагнитной энергии ансамблем атомных ядер, помещенных в магнитное поле.
2.12.102 ОБЫЧНЫЙ КОНТРОЛЬ: Обычный контроль состояния ПАЦИЕНТА, который проводится ОПЕРАТОРОМ и обслуживающим персоналом МР-ОБОРУДОВАНИЯ и заключается в поддержании речевого контакта с ПАЦИЕНТОМ и/или визуальном наблюдении за ним при проведении МР-ОБСЛЕДОВАНИЯ.
*2.12.103 МЕДИЦИНСКОЕ НАБЛЮДЕНИЕ: Управление состоянием ПАЦИЕНТА, который может подвергаться опасности, обусловленной некоторыми факторами МР-ОБОРУДОВАНИЯ, особенностями здоровья ПАЦИЕНТА, временем процедуры или комбинацией этих факторов.
2.12.104 ОБЪЕМ ИССЛЕДОВАНИЯ: Область расположения ПАЦИЕНТА в соответствии с ВЫХОДОМ ГРАДИЕНТА при исследовании.
В МР-ОБОРУДОВАНИИ с цилиндрическим МАГНИТОМ ВСЕГО ТЕЛА ОБЪЕМ ИССЛЕДОВАНИЯ представляет собой цилиндр радиусом 0,20 м, ось которого совпадает с осью магнита.
В МР-ОБОРУДОВАНИИ с ПОПЕРЕЧНЫМ МАГНИТНЫМ ПОЛЕМ и ГРАДИЕНТНОЙ СИСТЕМОЙ ВСЕГО ТЕЛА ОБЪЕМ ИССЛЕДОВАНИЯ - это объем, образованный плоскостью, параллельной магнитному полюсу, который определяется либо наибольшим расстоянием между полюсами магнита, либо размером 0,40 м.
В МР-ОБОРУДОВАНИИ ОБЪЕМ ИССЛЕДОВАНИЯ - это объем, где любая часть тела ПАЦИЕНТА может быть размещена в соответствии с использованием МР-ОБОРУДОВАНИЯ.
2.12.105 МАКСИМАЛЬНЫЙ УРОВЕНЬ ИЗМЕНЕНИЯ ГРАДИЕНТА: Степень изменения градиента при включении ГРАДИЕНТНОГО БЛОКА между максимумами
G+,max и
G-,max в возможно короткое время, достигаемая при нормальных условиях сканирования.
2.12.106 ПОИСКОВАЯ КАТУШКА: Катушка малого диаметра, используемая при испытаниях ВЫХОДА ГРАДИЕНТА.
2.101 ВЫХОДНЫЕ ПАРАМЕТРЫ
*2.101.1 УДЕЛЬНАЯ ПОГЛОЩЕННАЯ МОЩНОСТЬ (УПМ): Энергия РЧ излучения, поглощенная единицей массы объекта за 1 с, Вт/кг.
2.101.2 УПМ ВСЕГО ТЕЛА: УПМ, усредненная по всей массе тела ПАЦИЕНТА в заданное время.
2.101.3 УПМ ЧАСТИ ТЕЛА: УПМ, усредненная по массе тела ПАЦИЕНТА, подвергаемой обследованию с помощью ОБЪЕМНОЙ РЧ-ПЕРЕДАЮЩЕЙ КАТУШКИ в заданное время.
2.101.4 УПМ ГОЛОВЫ: УПМ, усредненная по массе головы ПАЦИЕНТА в заданное время.
2.101.5 МАКСИМАЛЬНАЯ УПМ: УПМ, усредненная по 10 г ткани тела в заданное время.
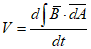
2.101.6 СКОРОСТЬ ИЗМЕНЕНИЯ МАГНИТНОГО ПОЛЯ (
dB/
dt): Скорость изменения во времени магнитной индукции магнитного поля, воздействующего на ПАЦИЕНТА, Тл/с.
2.101.7 ВЫХОД ГРАДИЕНТА: Параметр, характеризующий градиент как скорость изменения значения магнитного поля или электрического поля, создаваемого одним или более ГРАДИЕНТНЫМИ БЛОКАМИ при заданных условиях и в заданной позиции.
2.101.8 ЭФФЕКТИВНАЯ ДЛИТЕЛЬНОСТЬ СТИМУЛА
ts,eff: Длительность периода монотонно увеличивающегося или уменьшающегося градиента при кардиальной или периферической нервной стимуляции. Это определяется как отношение пиковой вариации поля и максимального значения времени изменения градиента в этот период.
G - градиент магнитного поля; Gmax - максимальный градиент;
dB/dt - скорость изменения магнитного поля; (dB/dt)max -
максимальная скорость изменения магнитного поля;
ts,eff - эффективная длительность стимула
Три монотонных периода изменения градиента G на графике a. Соответствие выходного градиента dB/dt на графике b. Там же показана ЭФФЕКТИВНАЯ ДЛИТЕЛЬНОСТЬ СТИМУЛА ts,eff
Рисунок 101 - Форма градиента
и ЭФФЕКТИВНАЯ ДЛИТЕЛЬНОСТЬ СТИМУЛА
Таблица 101
Перечень обозначений
Обозначения | Единицы измерений | Наименование обозначений |
B0 | Тл | Постоянное магнитное поле |
B1 | Тл | Магнитная индукция РЧ излучения магнитного поля |
dB/dt | Тл/с | СКОРОСТЬ ИЗМЕНЕНИЯ МАГНИТНОГО ПОЛЯ (dB/dt) |
E | В/м | Электрическое поле, возбуждающее градиент переключения |
G | Тл/м | Градиент магнитного поля |
L01 | В/м или Тл/с | Предел ВЫХОД ГРАДИЕНТА для НОРМАЛЬНОГО РЕЖИМА РАБОТЫ |
L12 | В/м или Тл/с | Предел ВЫХОД ГРАДИЕНТА для РЕЖИМА КОНТРОЛЯ ПЕРВОГО УРОВНЯ |
O | Не применяется | ВЫХОД ГРАДИЕНТА |
Oi | Не применяется | ВЫХОД ГРАДИЕНТА конкретного ГРАДИЕНТНОГО БЛОКА |
Rb | В/м или Тл/с | Реобаза |
УПМ | Вт/кг | УДЕЛЬНАЯ ПОГЛОЩЕННАЯ МОЩНОСТЬ (УПМ) |
ts,eff | мс | ЭФФЕКТИВНАЯ ДЛИТЕЛЬНОСТЬ СТИМУЛА |
tУМП | мин | Среднее время для определения УПМ |
T | °C | Температура |
Wj | - | Коэффициент весомости ГРАДИЕНТНОГО БЛОКА, определяющий ВЫХОД ГРАДИЕНТА |
Применяют
пункт общего стандарта, за исключением:
3.1 Дополнение
МР-ОБОРУДОВАНИЕ не должно создавать ОПАСНОСТИ для ПАЦИЕНТА, ОПЕРАТОРА, персонала и посторонних лиц.
Считается, что МР-ОБОРУДОВАНИЕ соответствует этому требованию, если оно отвечает требованиям настоящего стандарта.
Примечание - Общие аспекты безопасности МЕДИЦИНСКИХ ЭЛЕКТРИЧЕСКИХ СИСТЕМ рассмотрены в IEC 60601-1-1.
Требования идентификации опасности, оценка рисков и соответствующие проверки и обоснования контроля рисков в соответствии с IEC 60601-1-4. Действия в соответствии с требованиями настоящего стандарта будут включены в часть этого процесса и сохранятся для ИЗГОТОВИТЕЛЯ как постоянная запись. Все испытания должны включать в себя точно повторяющиеся протоколы испытаний, включая все даты и ожидаемые результаты.
6. Идентификация, маркировка и документация
Применяется
пункт общего стандарта, за исключением:
*6.8 ЭКСПЛУАТАЦИОННЫЕ ДОКУМЕНТЫ
6.8.1 Общие требования
Дополнение
ЭКСПЛУАТАЦИОННЫЕ ДОКУМЕНТЫ должны содержать информацию об уровнях физических факторов, воздействующих на ОПЕРАТОРА, персонал, работающий с МР-ОБОРУДОВАНИЕМ, и посторонних лиц, достаточную для получения ПОЛЬЗОВАТЕЛЕМ разрешения на эксплуатацию этого ОБОРУДОВАНИЯ.
*6.8.2 ИНСТРУКЦИИ ПО ЭКСПЛУАТАЦИИ
Дополнение
*aa) Отбор пациентов к МР-ОБСЛЕДОВАНИЮ
ИНСТРУКЦИИ ПО ЭКСПЛУАТАЦИИ должны содержать четкие рекомендации для ПОЛЬЗОВАТЕЛЯ по отбору ПАЦИЕНТОВ. Это особенно касается отбора тех ПАЦИЕНТОВ, которые под воздействием физических факторов, действующих в МР-ОБОРУДОВАНИИ, могут подвергнуться опасности, обусловленной их профессиональной деятельностью, прошлыми заболеваниями и состоянием здоровья в настоящее время. Эти инструкции должны указывать на необходимость предварительных обследований для выявления таких ПАЦИЕНТОВ и содержать рекомендации по их адекватной защите от вредных воздействий.
Должны быть выделены следующие специальные категории ПАЦИЕНТОВ:
- ПАЦИЕНТЫ, которым противопоказаны МР-ОБСЛЕДОВАНИЯ;
- ПАЦИЕНТЫ, для которых существует повышенная вероятность возникновения необходимости срочной медицинской помощи независимо от воздействия физических факторов, действующих в МР-ОБОРУДОВАНИИ;
- ПАЦИЕНТЫ, для которых существует повышенная вероятность возникновения необходимой экстренной медицинской помощи вследствие воздействия магнитного поля и РЧ излучения с более высокими значениями
dB/
dt и УПМ, если будет использоваться МР-ОБОРУДОВАНИЕ, допускающее РЕЖИМ КОНТРОЛЯ ПЕРВОГО УРОВНЯ по
пункту 51.
*bb) МЕДИЦИНСКОЕ НАБЛЮДЕНИЕ ПАЦИЕНТОВ
ИНСТРУКЦИИ ПО ЭКСПЛУАТАЦИИ должны содержать четкие рекомендации ПОЛЬЗОВАТЕЛЮ по разработке методик МЕДИЦИНСКОГО НАБЛЮДЕНИЯ ПАЦИЕНТОВ в соответствии с их категориями по
6.8.2, перечисление aa), и режима работы МР-ОБОРУДОВАНИЯ согласно
2.10 (см. также
2.12.103).
ИНСТРУКЦИИ ПО ЭКСПЛУАТАЦИИ:
- ИНСТРУКЦИИ ПО ЭКСПЛУАТАЦИИ должны содержать рекомендации, что все ПАЦИЕНТЫ подлежат, по крайней мере, ОБЫЧНОМУ КОНТРОЛЮ.
- Если используется МР-ОБОРУДОВАНИЕ, допускающее работу в РЕЖИМЕ КОНТРОЛЯ ПЕРВОГО УРОВНЯ, ИНСТРУКЦИИ ПО ЭКСПЛУАТАЦИИ должны содержать рекомендации, что следует установить процедуры, обеспечивающие МЕДИЦИНСКОЕ НАБЛЮДЕНИЕ при входе в этот режим работы.
- Если используется МР-ОБОРУДОВАНИЕ, которое обеспечивает работу в РЕЖИМЕ КОНТРОЛЯ ВТОРОГО УРОВНЯ, ИНСТРУКЦИИ ПО ЭКСПЛУАТАЦИИ должны включать предупреждение о том, что работы в этом режиме могут проводиться только по специальной методике, утвержденной соответствующими организациями.
В дополнение должно быть получено разрешение на пределы для ВЫХОДА ГРАДИЕНТА, УПМ и постоянного магнитного поля.
*cc) Неотложная медицинская помощь
ИНСТРУКЦИИ ПО ЭКСПЛУАТАЦИИ должны давать ПОЛЬЗОВАТЕЛЮ четкие рекомендации по определению характера и осуществлению специальной неотложной медицинской помощи (с учетом магнитного поля), чтобы, если во время МР-ОБСЛЕДОВАНИЯ ПАЦИЕНТ почувствовал себя плохо или ему был причинен ущерб внешними факторами, эта помощь была ему оказана как можно скорее.
Эти инструкции должны включать в себя рекомендации по быстрому выведению ПАЦИЕНТА из-под влияния магнитного поля (если необходимо, с помощью УСТРОЙСТВА АВАРИЙНОГО ОТКЛЮЧЕНИЯ ПОЛЯ).
dd) Предельный уровень акустического шума
Для МР-ОБОРУДОВАНИЯ, способного производить уровень звука (LA экв. 1 ч) более 99 дБА, ИНСТРУКЦИИ ПО ЭКСПЛУАТАЦИИ должны содержать указания:
- для обеспечения безопасности ПАЦИЕНТА требуется его защита от шума, защита органов слуха должна быть достаточной, чтобы уменьшить это значение до уровня ниже 99 дБА.
- специальное внимание ПОЛЬЗОВАТЕЛЯ должно быть обращено на правильное положение защиты органов слуха, особенно, когда ушная манжета не может быть приложена к уху или вообще не может быть использована защита, например, для неонатальных и новорожденных младенцев;
- должно быть обращено внимание на опасность, которую создает повышение звукового давления при обследовании беременных женщин, новорожденных, младенцев, детей и пожилых;
- должно быть обращено внимание на ограничения уровня шума у ПУЛЬТА УПРАВЛЕНИЯ для безопасности ПОЛЬЗОВАТЕЛЯ и персонала до пределов, установленных Санитарными нормами, а также уровня инфразвука до пределов, установленных Санитарными нормами;
- следует иметь в виду, что для ПАЦИЕНТОВ под анестезией должна быть обеспечена защита даже при умеренных звуковых уровнях;
- в законодательстве некоторых стран может существовать ограничение шума для ПОЛЬЗОВАТЕЛЯ.
Примечание - Специфические предостережения содержатся в ISO 7731.
*ee) ОБЛАСТЬ КОНТРОЛИРУЕМОГО ДОСТУПА
Когда настраивается ОБЛАСТЬ КОНТРОЛИРУЕМОГО ДОСТУПА, требования для МР-ОБОРУДОВАНИЯ (см.
6.8.3, перечисление aa), и 36.101) ИНСТРУКЦИИ ПО ЭКСПЛУАТАЦИИ должны:
- четко указывать на то, что ПОЛЬЗОВАТЕЛЬ несет ответственность за соблюдение требований, утвержденных соответствующими организациями по ограничению доступности ОБЛАСТИ КОНТРОЛИРУЕМОГО ДОСТУПА.
- содержать четкие указания относительно размеров и расположения ОБЛАСТИ КОНТРОЛИРУЕМОГО ДОСТУПА, желательно со схемой;
- содержать четкие указания о необходимости установления соответствующих правил по контролю за ОБЛАСТЬЮ КОНТРОЛИРУЕМОГО ДОСТУПА во избежание потенциальных опасностей для ПАЦИЕНТОВ и персонала, связанных с притягиванием предметов, содержащих железо или другие ферромагнитные материалы, возникновением на таких предметах вращающего момента, угрозой возможного нарушения функций имплантатов у входящих в эту область людей.
Примечание - При значениях магнитных полей менее 0,5 мТл меры административного контроля не требуются;
- содержать перечень ОБОРУДОВАНИЯ и инструментов, рекомендованных ИЗГОТОВИТЕЛЕМ для использования в ОБЛАСТИ КОНТРОЛИРУЕМОГО ДОСТУПА. Для всего ОБОРУДОВАНИЯ, каждого ВСПОМОГАТЕЛЬНОГО УСТРОЙСТВА или инструмента, приведенного в перечне, должны быть указаны специальные меры безопасности, которые необходимо соблюдать при монтаже или эксплуатации;
- должно быть четко указано, что периферическое оборудование, включая приборы наблюдения за ПАЦИЕНТОМ, устройства для поддержания жизнедеятельности и оборудование для аварийных ситуаций, не указанные или не рекомендованные к применению в ОБЛАСТИ КОНТРОЛИРУЕМОГО ДОСТУПА, могут быть выведены из строя из-за РЧ излучения или магнитного поля рассеяния МР-ОБОРУДОВАНИЯ, а само это периферическое ОБОРУДОВАНИЕ может нарушить нормальное функционирование МР-ОБОРУДОВАНИЯ.
*ff) Криогенные жидкости и газы
ИНСТРУКЦИИ ПО ЭКСПЛУАТАЦИИ МР-ОБОРУДОВАНИЯ со сверхпроводящими магнитами для предотвращения несчастных случаев и аварийного перехода в состояние КВЕНЧ должны:
- требовать надлежащего обеспечения магнита криогенными жидкостями;
- рекомендовать, чтобы заполнение криостата криогенными жидкостями проводилось только квалифицированным и опытным персоналом;
- предоставлять информацию о техническом обслуживании и контроле состояния магнита, включая проверку уровней криогенных жидкостей;
- предоставлять информацию о минимальных уровнях криогенных жидкостей, необходимых для нормальной эксплуатации магнита;
- содержать требование о том, чтобы обычные проверки уровней криогенных жидкостей проводил ПОЛЬЗОВАТЕЛЬ;
- предоставлять четкую информацию о возможных опасностях, связанных с использованием криогенных жидкостей, и методы обращения с ними. Эта информация должна содержать:
- правила ношения защитной одежды для предотвращения обморожения;
- порядок действий, предпринимаемых после утечки газа;
- меры предосторожности против недостатка кислорода в воздухе;
- рекомендации по применению немагнитных емкостей для поставки криогенных жидкостей и газов;
- порядок действий, которые необходимо выполнить при обнаружении легковоспламеняемых материалов вблизи контейнера с криогенной жидкостью или газом.
Примечание - Вблизи контейнера с криогенной жидкостью может образоваться жидкий кислород или повыситься концентрация газообразного кислорода.
ИНСТРУКЦИИ ПО ЭКСПЛУАТАЦИИ должны содержать информацию о составе и условиях каждого режима работы: НОРМАЛЬНОГО РЕЖИМА РАБОТЫ, РЕЖИМА КОНТРОЛЯ ПЕРВОГО УРОВНЯ и РЕЖИМА КОНТРОЛЯ ВТОРОГО УРОВНЯ, как они определены в
51.101. Кроме того, ИНСТРУКЦИИ ПО ЭКСПЛУАТАЦИИ должны пояснять, что ВЫХОД ГРАДИЕНТА и УПМ устанавливаются на основе рекомендаций текущей научной литературы, относящихся к безопасности, и что продолжительность процедуры, и решение выйти из процедуры в НОРМАЛЬНЫЙ РЕЖИМ РАБОТЫ, а также необходимость контроля физиологических параметров ПАЦИЕНТА должны определяться врачом исходя из принципа причинения наименьшего вреда ПАЦИЕНТУ.
В ИНСТРУКЦИЯХ ПО ЭКСПЛУАТАЦИИ должны быть четко изложены требования, касающиеся каждого режима работы:
- Для МР-ОБОРУДОВАНИЯ, работающего в НОРМАЛЬНОМ РЕЖИМЕ, не требуется никаких инструментальных наблюдений, рекомендуется только ОБЫЧНЫЙ КОНТРОЛЬ состояния ПАЦИЕНТА;
- Для МР-ОБОРУДОВАНИЯ, способного работать в режиме КОНТРОЛЯ ПЕРВОГО УРОВНЯ, должны быть указаны свойства данной СИСТЕМЫ, информация, отображаемая на дисплее перед входом в указанный режим, и специальные меры, необходимые для входа в этот режим, в соответствии с
51.101.3. Должно быть также обеспечено МЕДИЦИНСКОЕ НАБЛЮДЕНИЕ по
6.8.2, перечисление bb);
- Для МР-ОБОРУДОВАНИЯ, способного работать в режиме КОНТРОЛЯ ВТОРОГО УРОВНЯ, необходимо предусмотреть специальные меры безопасности в соответствии с
51.101.4 по предотвращению неправомерного применения этого режима работы. Как указано в
6.8.2, перечисление bb), эксплуатация МР-ОБОРУДОВАНИЯ в РЕЖИМЕ КОНТРОЛЯ ВТОРОГО УРОВНЯ разрешается только в соответствии со специальной методикой, утвержденной соответствующими организациями.
ИНСТРУКЦИИ ПО ЭКСПЛУАТАЦИИ должны рекомендовать ПОЛЬЗОВАТЕЛЮ обратить внимание на безопасность ПАЦИЕНТОВ, что связано с принятием предусмотренных мер и МЕДИЦИНСКИМ НАБЛЮДЕНИЕМ, требуемыми для начала работы в РЕЖИМЕ КОНТРОЛЯ ПЕРВОГО УРОВНЯ, или с принятием специальных мер безопасности и соблюдением других требований, указанных в методике, утвержденной по специальной методике соответствующими организациями, что необходимо для начала работы в РЕЖИМЕ КОНТРОЛЯ ВТОРОГО УРОВНЯ.
*hh) Постоянное магнитное поле
Для МР-ОБОРУДОВАНИЯ, которое может обеспечивать постоянное магнитное поле, соответствующее по числовым значениям РЕЖИМУ КОНТРОЛЯ ПЕРВОГО УРОВНЯ и РЕЖИМУ КОНТРОЛЯ ВТОРОГО УРОВНЯ, ИНСТРУКЦИИ ПО ЭКСПЛУАТАЦИИ должны:
- объяснять эффекты, с которыми может столкнуться ПАЦИЕНТ, когда постоянное магнитное поле превысит уровень НОРМАЛЬНОГО РЕЖИМА РАБОТЫ, обращая особое внимание на возможные эффекты при быстром движении ПАЦИЕНТА, включая дезориентацию, головокружение и металлический привкус во рту;
- рекомендовать неподвижность ПАЦИЕНТА, находящегося в области высокого постоянного магнитного поля;
- обеспечивать информацией о значениях B0, при которых МР-ОБОРУДОВАНИЕ способно работать.
ii) Изменяющееся во времени магнитное поле
Для МР-ОБОРУДОВАНИЯ, способного работать по значениям ВЫХОДА ГРАДИЕНТА выше уровня НОРМАЛЬНОГО РЕЖИМА РАБОТЫ, ИНСТРУКЦИИ ПО ЭКСПЛУАТАЦИИ должны:
- описывать возможные воздействия на ПАЦИЕНТОВ уровня ВЫХОДА ГРАДИЕНТА в каждом режиме эксплуатации МР-ОБОРУДОВАНИЯ, уделяя особое внимание возможным воздействиям на периферическую нервную систему и сердце;
- предоставить информацию о значениях ВЫХОДА ГРАДИЕНТА, при которых может работать МР-ОБОРУДОВАНИЕ в каждом режиме;
- пояснить, что на дисплее МР-ОБОРУДОВАНИЯ должен быть указан соответствующий режим работы, при котором значения ВЫХОДА ГРАДИЕНТА превышают уровень НОРМАЛЬНОГО РЕЖИМА РАБОТЫ;
- должно быть указано, используется ли ГРАДИЕНТНАЯ СИСТЕМА ВСЕГО ТЕЛА или СПЕЦИАЛЬНАЯ ГРАДИЕНТНАЯ СИСТЕМА, и должно быть приведено соответствующее значение объема ВЫХОДА ГРАДИЕНТА.
ИНСТРУКЦИИ ПО ЭКСПЛУАТАЦИИ должны привлечь внимание к факторам риска, которые могут увеличить потенциал для местного чрезмерного нагревания РЧ ИЗЛУЧЕНИЯ, и они должны описать пути для ПОЛЬЗОВАТЕЛЯ, чтобы смягчить эти факторы риска. Эти факторы, чтобы привлечь внимание, должны включать указания на:
- присутствие проводящих (металлических) объектов или имплантатов в пределах области чувствительности РЧ ИЗЛУЧЕНИЯ передающей катушки. Вся одежда, содержащая металлическую нить или ее компоненты и все другие металлические объекты (например, часы, монеты и т.д.), должны быть удалены от ПАЦИЕНТА;
- использование лекарственных средств в трансдермальных участках, которые могут вызвать ожоги на коже;
- упоминание того, что контакт "кожа - кожа" может сформировать проводящую петлю через часть тела, например, "внутреннее бедро - бедро", "икра ноги - икра ноги", "рука - рука", "рука - тело", контакт "лодыжка - лодыжка";
- присутствие влажной одежды;
- размещение тела или конечностей против поверхности РЧ ИЗЛУЧЕНИЯ передающей катушки;
- следует упомянуть, что контакт между ПАЦИЕНТОМ и РЧ приемным кабелем катушки и обычным РЧ кабелем катушки находится в непосредственной близости от РЧ передающей катушки;
- упомянуть о возможном формировании петель с РЧ приемным кабелем и ЭКГ отведениями;
- указать на недопустимость использования несовместимых, нестандартных электродов кардиограммы. Проинформировать ОПЕРАТОРА о необходимости использования МР совместимых кардиограмм и электродов, которые рекомендованы ИЗГОТОВИТЕЛЕМ МР-ОБОРУДОВАНИЯ. Необходимо информировать ОПЕРАТОРА об использовании электродов только до истечения их срока годности;
- особенности сканирования ПАЦИЕНТОВ без сознания или ПАЦИЕНТОВ с потерей чувствительности в любой части тела, например с параличом рук или ног, и тех ПАЦИЕНТОВ, которые не в состоянии сообщить ОПЕРАТОРУ о чрезмерном нагревании и повреждении ткани;
- присутствие присоединительных принимающих катушек или электрических кабелей, которые остаются в РЧ-КАТУШКЕ.
Для МР-ОБОРУДОВАНИЯ, которое может обеспечивать УПМ, соответствующие по числовым значениям НОРМАЛЬНОМУ РЕЖИМУ РАБОТЫ, ИНСТРУКЦИИ ПО ЭКСПЛУАТАЦИИ должны:
- объяснить возможные последствия воздействий повышения значений УПМ выше предельных для МР-ОБОРУДОВАНИЯ
51.103;
- объяснить возможные последствия воздействия на ПАЦИЕНТОВ РЧ излучения при уровнях УПМ, соответствующих каждому режиму работы МР-ОБОРУДОВАНИЯ, уделяя при этом особое внимание безопасности ПАЦИЕНТОВ, у которых может быть снижена способность терморегулирования и повышена реакция на повышение температуры тела (например, ПАЦИЕНТОВ с субфебрильной температурой тела, сердечной недостаточностью, нарушением потоотделения или у беременных женщин); следует также предоставить информацию о важности контролирования параметров окружающей среды и о влиянии температуры воздуха на повышение температуры тела ПАЦИЕНТА, а также рекомендации по поддержанию благоприятных для ПАЦИЕНТА окружающих условий;
- предоставить информацию о значениях УПМ, которые могут быть обеспечены в МР-ОБОРУДОВАНИИ;
- привести погрешность, с которой указаны значения УПМ;
- объяснить, что критерии режимов работы по УПМ всего тела, приведенные в
51.103, определены в предположении, что температура в помещении, где проводится обследование, не превышает 24 °C, а относительная влажность воздуха не превышает 60%. Это объясняется тем, что:
1) ОБОРУДОВАНИЕ не должно использоваться, когда температура выше 24 °C или относительная влажность 60%, или
2) пределы режимов работы для УПМ автоматически уменьшаются согласно
51.103.2 (только для МР-ОБОРУДОВАНИЯ, которое измеряет температуру и влажность);
- обратить внимание на средства уменьшения риска от воздействия высокой УПМ, например, предотвращение нагрева ПАЦИЕНТА, облегченная одежда ПАЦИЕНТА и соответствующая вентиляция.
*kk) Облучение, связанное с характером работы или профессиональное облучение
ИНСТРУКЦИИ ПО ЭКСПЛУАТАЦИИ должны привлечь внимание к факту, что в законодательстве некоторых стран существуют пределы для профессионального облучения в постоянных магнитных полях и переменных магнитных полях. Однако, ИНСТРУКЦИИ ПО ЭКСПЛУАТАЦИИ могут сообщить ПОЛЬЗОВАТЕЛЮ, что не существует норм для оценки совокупного воздействия.
ll) ВСПОМОГАТЕЛЬНЫЕ УСТРОЙСТВА
ПОЛЬЗОВАТЕЛЬ должен отдавать себе отчет в том, что любое применение приборов и входящих в их состав принадлежностей для контроля физиологических параметров ПАЦИЕНТА должно проводиться только по указанию ПОЛЬЗОВАТЕЛЯ и под его ответственность.
ИНСТРУКЦИИ ПО ЭКСПЛУАТАЦИИ должны предупреждать ПОЛЬЗОВАТЕЛЯ о том, что применение ВСПОМОГАТЕЛЬНЫХ УСТРОЙСТВ, таких как приборы для мониторинга и отбора ПАЦИЕНТОВ или высокочастотные катушки, не прошедших специальную проверку и не рекомендованных для использования в МР-ОБОРУДОВАНИИ, может привести к ожогам или причинению ПАЦИЕНТУ других травм. Кроме того, ИНСТРУКЦИИ ПО ЭКСПЛУАТАЦИИ должны предупреждать ПОЛЬЗОВАТЕЛЯ, что даже если ВСПОМОГАТЕЛЬНЫЕ УСТРОЙСТВА отнесены к категориям приборов, совместимых с МР-ОБОРУДОВАНИЕМ или МР-СИСТЕМАМИ, они могут травмировать ПАЦИЕНТА, если в инструкциях ИЗГОТОВИТЕЛЯ отсутствуют указания по использованию этих устройств в подобных условиях, особенно по размещению подводящих кабелей.
mm) УСТРОЙСТВО АВАРИЙНОГО ОТКЛЮЧЕНИЯ ПОЛЯ
В ИНСТРУКЦИЯХ ПО ЭКСПЛУАТАЦИИ должно быть указано, когда и каким образом в случае аварии следует пользоваться УСТРОЙСТВОМ АВАРИЙНОГО ОТКЛЮЧЕНИЯ ПОЛЯ. Должны быть приведены примеры ситуаций, требующих его применения.
Примечание - Магнитное поле в МР-ОБОРУДОВАНИИ с постоянными магнитами не может быть отключено даже в аварийной ситуации.
В ИНСТРУКЦИЯХ ПО ЭКСПЛУАТАЦИИ должны быть даны рекомендации ПОЛЬЗОВАТЕЛЮ по согласованию мер пожарной безопасности с органами противопожарной службы, государств проголосовавших за принятие настоящего стандарта, указаны мероприятия на случай возникновения пожароопасной ситуации и ответственность ПОЛЬЗОВАТЕЛЯ за их выполнение.
oo) Артефакты
ИНСТРУКЦИИ ПО ЭКСПЛУАТАЦИИ должны подготовить ПОЛЬЗОВАТЕЛЯ к факту, что артефакты изображения могут произойти в результате технологических и физиологических факторов (например, однородность магнита, линейность градиента, усечение, ступенчатость, движение, поток, химическое изменение, изменения восприимчивости, и т.д.). Воздействие этих факторов (например, неоднородность изображения, геометрическое искажение, ореол изображения, изогнутое изображение и т.д.) на изображение должно быть описано. Методы исправления или смягчения таких эффектов (например, изменение полосы пропускания, обнуление градиента, предварительное насыщение и т.д.) должны также быть отображены.
pp) Рекомендуемое обучение
ИНСТРУКЦИИ ПО ЭКСПЛУАТАЦИИ должны рекомендовать необходимость обучения для врачей и ОПЕРАТОРА для безопасного и эффективного управления МР-ОБОРУДОВАНИЕМ. Это обучение должно включать в себя чрезвычайные меры, в том числе и те проблемы, которые описаны в этих перечислениях:
-
cc) неотложная медицинская помощь;
-
ee) ОБЛАСТЬ КОНТРОЛИРУЕМОГО ДОСТУПА;
-
mm) УСТРОЙСТВО АВАРИЙНОГО ОТКЛЮЧЕНИЯ ПОЛЯ;
-
nn) пожаробезопасность;
-
ss) чрезвычайные действия в случае КВЕНЧ;
qq) Гарантия качества
ИНСТРУКЦИИ ПО ЭКСПЛУАТАЦИИ должны описать процедуры гарантии качества, рекомендованные для ПОЛЬЗОВАТЕЛЯ, включая описание всех применяемых фантомов.
rr) Обслуживание
ИНСТРУКЦИИ ПО ЭКСПЛУАТАЦИИ должны включать рекомендованные перечни обслуживания для МР-ОБОРУДОВАНИЯ. Должны быть указаны пункты, которые должен выполнять обслуживающий персонал.
*ss) Чрезвычайные действия в случае КВЕНЧ
ИНСТРУКЦИИ ПО ЭКСПЛУАТАЦИИ должны включать указания о том, как определить КВЕНЧ и как действовать в случае его возникновения, особенно, когда нарушена система вентиляции системы сверхпроводящего магнита.
**6.8.3 Техническое описание
Дополнительные перечисления
aa) ОБЛАСТЬ КОНТРОЛИРУЕМОГО ДОСТУПА
Для МР-ОБОРУДОВАНИЯ, которое производит поле рассеяния, превышающее 0,5 мТл вне области, и/или электромагнитный уровень не выполняется по IEC 60601-1-2, в техническом описании должно быть указано:
- ОБЛАСТЬ КОНТРОЛИРУЕМОГО ДОСТУПА вокруг МР-ОБОРУДОВАНИЯ должна быть определена так, чтобы вне этой области:
1) магнитная сила поля края не превышала 0,5 мТл, и
2) электромагнитный уровень соответствовал положениям IEC 60601-1-2:2001;
- рекомендации, как ОБЛАСТЬ КОНТРОЛИРУЕМОГО ДОСТУПА должна быть разграничена, например маркировками на полу, барьерах и/или других средствах. Ответственный персонал должен ограничивать доступ к этой области неуполномоченных людей;
- что в ОБЛАСТИ КОНТРОЛИРУЕМОГО ДОСТУПА все входы должны быть помечены соответствующими предупредительными знаками, включая индикацию присутствия магнитных полей и их притягивающих сил или вращающего момента ферромагнитных материалов (см.
приложение AA для примеров предупредительных знаков и препятствующих признаков).
Для МР-ОБОРУДОВАНИЯ, установленного в помещении с ограниченным аудиовизуальным контактом с ПАЦИЕНТОМ, в техническом описании должно быть указано, что проект помещения для сканирования и конструкция ОБОРУДОВАНИЯ должны предусматривать возможность речевого и визуального контакта с ПАЦИЕНТОМ в течение МР-ОБСЛЕДОВАНИЯ. Звуковой и визуальный контакты будут достаточны для ОБЫЧНОГО КОНТРОЛЯ и МЕДИЦИНСКОГО НАБЛЮДЕНИЯ ПАЦИЕНТА.
*bb) Лист совместимости технической спецификации
В дополнение к ИНСТРУКЦИИ ПО ЭКСПЛУАТАЦИИ для МР-ОБОРУДОВАНИЯ лист совместимости технической спецификации будет предоставлять информацию для проведения испытаний за периферийным оборудованием. Лист совместимости технической спецификации (лист данного продукта) должен содержать следующие параметры:
- магнит: тип, сила поля, диаметр отверстия, криогенные типы и показатель кипения, пространственное распределение окружающего поля в картах, касающихся типичной установки МР-ОБОРУДОВАНИЯ;
- карты должны содержать три подходящие ортогональные плоскости, проходящие через изоцентр, чтобы иллюстрировать максимальное пространственное распределение изомагнитных контуров;
- каждая карта должна содержать, по крайней мере, изомагнитные контуры со значениями 0,5, 1, 3, 5, 10, 20, 40, и 200 мТл, масштаб и контуры магнита;
- положение, где значения пространственного градиента главного магнитного поля - максимальное значение B0 и пространственного градиента B0 совпадают, сила на ферромагнитном объекте из пространственного градиента главного магнитного поля максимальна;
- положение, где значения магнитного поля B0 и пространственного градиента B0 - максимум, а значение B0 и B0 совпадают, сила на диамагнитном или парамагнитном объекте, или ферромагнитном материале ниже его магнитной точки насыщенности, является максимумом;
- градиент системы: тип, амплитуда, время повышения, коэффициент вращения;
- система РЧ: типы РЧ передающей катушки, пик усилителя, среднее квадратичное значение энергии, прикладной максимум передающего РЧ поля и полосу пропускания;
- протоколы совместимости:
ИЗГОТОВИТЕЛЬ МР-ОБОРУДОВАНИЯ должен предложить протоколы, по которым можно управлять МР-ОБОРУДОВАНИЕМ, что позволит ИЗГОТОВИТЕЛЮ периферийного оборудования проверить функциональные возможности его оборудования. Протоколы для управления МР-ОБОРУДОВАНИЕМ с высоким передающим РЧ-полем или высоким градиентом коэффициента вращения и амплитуды разработаны так, чтобы ИЗГОТОВИТЕЛЬ периферийного оборудования мог исследовать влияние МР-ОБОРУДОВАНИЯ на его периферийное оборудование. Тесты не предназначены для оценки возможного эффекта периферийного оборудования на качестве получающегося изображения МР-ОБОРУДОВАНИЯ и не гарантируют, что периферийное оборудование будет функционировать должным образом.
- место ПАЦИЕНТА: размеры, вентиляция, коммуникация и освещение;
- ПОДДЕРЖКА ПАЦИЕНТА: измерения, расположение, точность и максимальная нагрузка.
*cc) Условия безопасности в случае КВЕНЧ
Для МР-ОБОРУДОВАНИЯ со сверхпроводящим магнитом ИНСТРУКЦИИ ПО ЭКСПЛУАТАЦИИ должны:
- устанавливать требования для выходной системы для сверхпроводящего магнита, который соединяет криостат магнита с внешней атмосферой и который разработан, чтобы предотвратить КВЕНЧ и защитить находящихся поблизости людей в случае КВЕНЧ;
- устанавливать руководящие принципы для построения (измерения, положение, сборка и материал, который будет применен) выходной системы для сверхпроводящего магнита внутри и снаружи помещения обследования;
- устанавливать профилактическую программу обслуживания, которая заявляет, что должны быть проведены регулярные проверки адекватности функции выходной системы для сверхпроводящего магнита;
- устанавливать требования для проекта помещения обследования, чтобы увеличить безопасность пациента и других людей внутри и снаружи помещения обследования в случае отказа системы выражения в течение КВЕНЧ. Предложенный проект должен обратиться к проблемам сокращения наращивания давления, температурного уменьшения и истощения кислорода в течение КВЕНЧ. Несколько допустимых решений для таких условий демонстрируют эффективность моделирования или проверки, которые должны быть перечислены так, чтобы, даже в случае, когда выходная система сверхпроводящего магнита не в состоянии работать, она не создавала опасность для ПАЦИЕНТА или других людей как внутри, так и вне помещения для обследования. Это может быть вызвано наращиванием ДАВЛЕНИЯ, значительным уменьшением температур или уменьшением количества кислорода в течение КВЕНЧ;
- устанавливать для ПОЛЬЗОВАТЕЛЯ чрезвычайный план относительно КВЕНЧ, включая ситуацию, в которой выходная система для сверхпроводящего магнита не в состоянии функционировать соответственно;
- устанавливать возможные дополнительные меры контроля за системой вентиляции ПАЦИЕНТА, чтобы не подвергнуть опасности ПАЦИЕНТА при попадании гелия к ПАЦИЕНТУ через систему вентиляции ПАЦИЕНТА. Система вентиляции ПАЦИЕНТА должна быть снабжена входным отверстием, открывающимся в безопасном месте (например, расположенном на низком уровне в помещении обследования или непосредственно связанном с системой кондиционирования помещения обследования), или связана с датчиком КВЕНЧ так, чтобы системой вентиляции ПАЦИЕНТА можно было автоматически управлять, когда КВЕНЧ происходит, и гелий не будет попадать во внутреннюю часть сканера к ПАЦИЕНТУ
Примечание 1 - Выходная система для сверхпроводящего магнита рассматривается как криогенный клапан трубы, и все дополнительные компоненты необходимо сочетать для безопасного обеспечения КВЕНЧ.
Примечание 2 - Конфигурации помещения обследования, демонстрируемые моделированием или тестом, которые являются приемлемыми, включают в себя:
- конфигурации, в которых дверь РЧ открывается наружу помещения, или скользящая дверь РЧ;
- конфигурации, в которых дверь РЧ открывается внутрь помещения, если они включают дополнительные предосторожности, чтобы предотвратить увеличение ДАВЛЕНИЯ. Это может быть обеспечено одним из следующих условий:
- дополнительной системой вентиляции помещения обследования, которая может быть включена (возможно автоматически через монитор кислорода в потолке помещения обследования, чтобы предотвратить попадание гелия) в случае КВЕНЧ,
или
- открыванием в стене или потолке помещения обследования выходного клапана,
или
- возможностью открывания окна наблюдения в помещении обследования наружу или наличием скользящего окна, или
- второй независимой выходной системой для сверхпроводящего магнита, которая остается в рабочем состоянии в случае, если регулярная выходная система для сверхпроводящего магнита затруднена, или
- эквивалентными методами, подтверждающими свою эффективность моделированием или тестированием.
dd) Характеристики затухания магнитного поля
Для МР-ОБОРУДОВАНИЯ, оснащенного сверхпроводящим или резистивным магнитом, технические описания должны содержать характеристики затухания магнитного поля при переходе сверхпроводящего магнита в нормальное состояние или при аварийном выключении магнита, для того чтобы ПОЛЬЗОВАТЕЛЬ смог принять необходимые меры по поддержанию жизнеобеспечения и безопасности ПАЦИЕНТА. Эти характеристики должны указывать время от момента срабатывания УСТРОЙСТВА АВАРИЙНОГО ОТКЛЮЧЕНИЯ ПОЛЯ до момента, когда магнитная индукция в центре магнита уменьшится до 20 мТл.
В руководстве по установке должны быть приведены указания о том, где и каким образом следует устанавливать исполнительный механизм УСТРОЙСТВА АВАРИЙНОГО ОТКЛЮЧЕНИЯ ПОЛЯ.
ee) Тип системы градиента
Система градиента должна быть помечена в техническом описании ИЗГОТОВИТЕЛЕМ или в целом как ГРАДИЕНТНАЯ СИСТЕМА ВСЕГО ТЕЛА, или как СПЕЦИАЛЬНАЯ ГРАДИЕНТНАЯ СИСТЕМА.
РАЗДЕЛ ВТОРОЙ. УСЛОВИЯ ОКРУЖАЮЩЕЙ СРЕДЫ
Применяют
раздел общего стандарта.
РАЗДЕЛ ТРЕТИЙ. ЗАЩИТА ОТ ОПАСНОСТЕЙ ПОРАЖЕНИЯ ЭЛЕКТРИЧЕСКИМ ТОКОМ
Применяют
раздел общего стандарта.
РАЗДЕЛ ЧЕТВЕРТЫЙ. ЗАЩИТА ОТ МЕХАНИЧЕСКИХ ОПАСНОСТЕЙ
Применяют
пункты общего стандарта, за исключением:
Применяют
пункт общего стандарта, за исключением:
Дополнение
МР-ОБОРУДОВАНИЕ не должно производить шум, уровень звукового давления которого (Lp), измеренный на линейном участке частотной характеристики шумомера, превышает 140 дБ по отношению к уровню 20 мкПа.
Методы измерения шума для подтверждения соответствия этим требованиям и оценки уровня звукового давления:
a) Уровни шума измеряют в средних квадратических и максимальных значениях. Без ПАЦИЕНТА на СТОЛЕ ПАЦИЕНТА располагают микрофон в изоцентре магнита, двигают микрофон параллельно СТОЛУ ПАЦИЕНТА вдоль осей размещения ПАЦИЕНТА, чтобы определить самое шумное местоположение микрофона, и проводят тест в этом месте.
Микрофон устанавливают на СТОЛЕ ПАЦИЕНТА в изоцентре магнита под прямым углом к оси размещения ПАЦИЕНТА для имитации положения его уха. Микрофон не следует располагать внутри головной катушки, если она не покрывает полностью голову ПАЦИЕНТА во время всех МР-ОБСЛЕДОВАНИЙ.
b) Измерительный блок шумомера должен находиться как можно дальше от изоцентра магнита, чтобы магнитное поле рассеяния не влияло на результаты измерений. Для этого может потребоваться удлинительный кабель между измерительным блоком и микрофоном. Микрофон должен быть не направленным и не чувствительным к магнитным полям или отградуирован по чувствительности к магнитным полям для возможности введения поправок в результаты измерений.
Должны быть приняты меры для устранения или компенсации некоторых внешних воздействий (например, импульсных градиентных магнитных полей, электромагнитных помех и т.п.).
c) Шумомер должен удовлетворять требованиям IEC 60651 для классов 0 и 1 и/или IEC 60804 для класса 0 или 1 и иметь указанные ниже характеристики.
d) Измерения должны проводиться с обычной компенсацией вихревых токов, как при получении стандартного клинического изображения.
e) Измерения должны быть проведены с использованием МР-ОБОРУДОВАНИЯ способом, производящим худшую ситуацию случая акустики. Это может быть достигнуто как использованием максимальной амплитуды биполярной формы волны градиента (см. рисунок 102), примененной одновременно ко всем трем осям градиента, так и клиническими условиями сканирования, производящими максимальный акустический шум.
t1, t2, t3, t4 - длительности фронта и среза биполярных
импульсов; tвкл - время включения; TR - период процесса;
A+max и A-max - максимальный градиент силы
Рисунок 102 - Форма импульсов ВЫХОДА ГРАДИЕНТА
при измерениях акустического шума
При использовании максимальной формы волны градиента длительности фронта и среза биполярных импульсов (t1, t2, t3, t4 на рисунке 102) должны быть минимально возможными для данного МР-ОБОРУДОВАНИЯ при всех условиях его клинического использования. Амплитуды A+max и A-max определяются как максимальные значения магнитной индукции градиентного магнитного поля, создаваемого МР-ОБОРУДОВАНИЕМ в нормальных рабочих условиях. Время включения должно быть как можно меньше при условии достижения импульсом максимальной амплитуды. Период процесса TR также должен быть как можно короче.
f) Используя характеристику "max hold" (удержание максимального значения) шумомера, измеряют максимальный уровень звукового давления Lp при следующих режимах работы прибора:
детектор: | peak (ПИК); |
временная характеристика (F, S): | не используется; |
частотная характеристика: | lin (ЛИН); |
период измерений: | >= 20 с. |
g) Измеряют эквивалентный уровень звука за время 1 ч Lэкв. 1 ч при следующих режимах работы прибора:
детектор: | среднее квадратических значений; |
временная характеристика: | F или S (быстро или медленно); |
частотная характеристика: | A; |
период измерений: | >= 20 с. |
РАЗДЕЛ ПЯТЫЙ. ЗАЩИТА ОТ ОПАСНОСТЕЙ НЕЖЕЛАТЕЛЬНОГО ИЛИ ЧРЕЗМЕРНОГО ИЗЛУЧЕНИЯ
Применяют
пункт общего стандарта, за исключением:
*36. Электромагнитная совместимость
Применяют
пункт общего стандарта, за исключением:
Дополнение
Вне ОБЛАСТИ КОНТРОЛИРУЕМОГО ДОСТУПА магнитная область рассеяния будет меньшей, чем 0,5 мТл и электромагнитный уровень помех по IEC 60601-1-2. В ОБЛАСТИ КОНТРОЛИРУЕМОГО ДОСТУПА применимы требования по
6.8.2, перечисление ee).
Примечания
1 При решении проблем электромагнитной совместимости ОБЛАСТЬ КОНТРОЛИРУЕМОГО ДОСТУПА считается частью МР-СИСТЕМЫ. Измерения напряженности поля радиопомех следует проводить вне этой зоны или экранированного помещения, в котором установлено МР-ОБОРУДОВАНИЕ.
2 Для внутренней части ОБЛАСТИ КОНТРОЛИРУЕМОГО ДОСТУПА ИЗГОТОВИТЕЛЕМ МР-ОБОРУДОВАНИЯ могут быть выдвинуты специальные требования по сопряжению его аппаратуры с сетью питания и другой аппаратурой ПОЛЬЗОВАТЕЛЯ.
РАЗДЕЛ ШЕСТОЙ. ЗАЩИТА ОТ ОПАСНОСТЕЙ ВОСПЛАМЕНЕНИЯ ГОРЮЧИХ СМЕСЕЙ АНЕСТЕТИКОВ
Применяют
раздел общего стандарта.
РАЗДЕЛ СЕДЬМОЙ. ЗАЩИТА ОТ ЧРЕЗМЕРНЫХ ТЕМПЕРАТУР И ДРУГИХ ОПАСНОСТЕЙ
Применяют
пункт общего стандарта, за исключением:
45. Сосуды и части, находящиеся под давлением
Применяют
пункт общего стандарта со следующим дополнением:
Дополнение
45.101 Если гелиевый криостат спроектирован как сосуд высокого давления, рекомендуется, чтобы он прошел испытания в соответствии с
пунктом 45 общего стандарта или в соответствии с национальными требованиями.
49. Прерывание электропитания
Применяют
пункт общего стандарта, за исключением:
Дополнительные подпункты
49.101 УСТРОЙСТВО АВАРИЙНОГО ОТКЛЮЧЕНИЯ ПОЛЯ
МР-ОБОРУДОВАНИЕ со сверхпроводящим или резистивным магнитом должно быть оснащено УСТРОЙСТВОМ АВАРИЙНОГО ОТКЛЮЧЕНИЯ ПОЛЯ.
Примечания
1 Примером аварийной ситуации, когда может понадобиться использование этого устройства, является втягивание в магнит человека с предметами из ферромагнитных материалов.
2 Требования к условиям в ИНСТРУКЦИЯХ ПО ЭКСПЛУАТАЦИИ к информации, относящейся к УСТРОЙСТВАМ АВАРИЙНОГО ОТКЛЮЧЕНИЯ, приведены в
6.8.2, перечисление mm).
3 Согласно
6.8.3, перечисление cc), в ЭКСПЛУАТАЦИОННЫХ ДОКУМЕНТАХ должна содержаться информация о характеристиках затухания магнитного поля после аварийного выключения магнита.
49.102 Прерывание сканирования
Должно быть предусмотрено устройство, позволяющее ОПЕРАТОРУ немедленно прекратить сканирование, выключив питание градиента системы и РЧ-ПЕРЕДАЮЩЕЙ КАТУШКИ (по IEC 60601-1-2).
РАЗДЕЛ ВОСЬМОЙ. ТОЧНОСТЬ РАБОЧИХ ХАРАКТЕРИСТИК И ЗАЩИТА ОТ ПРЕДСТАВЛЯЮЩИХ ОПАСНОСТЬ ВЫХОДНЫХ ХАРАКТЕРИСТИК
Применяют
пункт общего стандарта, за исключением:
*51. Защита от представляющих опасность выходных характеристик
Применяют
пункт общего стандарта, за исключением:
51.1 Намеренное превышение пределов безопасности
Не применяют.
51.2 Признаки параметров, относящихся к безопасности
Не применяют.
51.4 Случайная выборка крайних производимых значений
Не применяют.
Дополнительные подпункты
Когда в течение одной или большего числа операций МР-ОБОРУДОВАНИЕ достигает уровня, который может вызвать нежелательное физиологическое напряжение ПАЦИЕНТА, ПОЛЬЗОВАТЕЛЬ должен решить, действительно ли эта операция соответствует интересам ПАЦИЕНТА. В этом пункте даются требования решения МР-ОБОРУДОВАНИЯ, которые могут помочь ПОЛЬЗОВАТЕЛЮ принимать решения. Требования в этом пункте описывают три уровня операции МР-ОБОРУДОВАНИЯ, которые определены с учетом интерфейса ПОЛЬЗОВАТЕЛЯ и информации, данной ОПЕРАТОРУ (51.101) и относительно величины значений разрешенной продукции (
51.102 -
51.104).
Требования этого подпункта должны применяться отдельно для всех режимов работы, и более определенно для режимов работы ВЫХОД ГРАДИЕНТА, УПМ и постоянного магнитного поля.
Демонстрация согласия с требованиями этого пункта, касающимися режимов работы (то есть средства для контроля, требуемое действие, информация и предоставленные признаки), должна быть проверена осмотром. Методы измерения для подтверждения пределов режимов работы содержатся в
51.102 и
51.103 и описаны в
51.105.1 -
51.105.3.
51.101.1 Все режимы работы
МР-ОБОРУДОВАНИЕ должно соответствовать следующим требованиям:
a) средства (контроль) должны обеспечивать гарантию того, что выбранный(ые) предел(ы) отобранного режима работы не превышен(ы). Этот контроль будет независим от входа ОПЕРАТОРА (относительно размеров ПАЦИЕНТА, массы или положения) или должен быть проверен МР-ОБОРУДОВАНИЕМ, чтобы обнаружить любую ошибку входа ОПЕРАТОРА;
b) сброс к НОРМАЛЬНОМУ РЕЖИМУ РАБОТЫ относительно УПМ и dB/dt должен быть выполнен автоматически с изменением ПАЦИЕНТА;
c) МР-ОБОРУДОВАНИЕ должно обеспечить информацией относительно запроса о правильных значениях УПМ [см. ИНСТРУКЦИИ ПО ЭКСПЛУАТАЦИИ в
6.8.2, перечисление jj)].
51.101.2 НОРМАЛЬНЫЙ РЕЖИМ РАБОТЫ
Для МР-ОБОРУДОВАНИЯ, которое не способно к операции на уровнях выше НОРМАЛЬНОГО РЕЖИМА РАБОТЫ, как определено в
51.102 и
51.103, на ПАНЕЛИ УПРАВЛЕНИЯ должны быть показаны нехарактерные признаки режима работы или максимального ВЫХОДА ГРАДИЕНТА, или полученных значений УПМ.
51.101.3 РЕЖИМ КОНТРОЛЯ ПЕРВОГО УРОВНЯ
МР-ОБОРУДОВАНИЕ, которое обеспечивает проведение операций в РЕЖИМЕ КОНТРОЛЯ ПЕРВОГО УРОВНЯ, как определено в
51.102 и
51.103, должно выполнять следующие требования:
a) Перед началом каждого просмотра идентификация режима работы, определенного максимальным значением ВЫХОДА ГРАДИЕНТА для просмотра, и предсказанное значение УПМ, которое будет фактически применено в течение просмотра, должны быть показаны на ПАНЕЛИ УПРАВЛЕНИЯ.
b) Если значение ВЫХОДА ГРАДИЕНТА или УПМ, которое управляет просмотром, такое, как вход в РЕЖИМ КОНТРОЛЯ ПЕРВОГО УРОВНЯ, тогда внимание ОПЕРАТОРА должно быть обращено к этому условию, отображенному на ПУЛЬТЕ КОНТРОЛЯ. Отчет режима работы или эквивалентных данных должен быть неотъемлемой частью данных изображения.
c) Преднамеренное действие оператора будет необходимо, для того чтобы войти в первый уровень контролируемого режима работы.
51.101.4 РЕЖИМ КОНТРОЛЯ ВТОРОГО УРОВНЯ
МР-ОБОРУДОВАНИЕ, не предназначенное для нормального использования в больнице, которое используют в РЕЖИМЕ КОНТРОЛЯ ВТОРОГО УРОВНЯ для значений ВЫХОДА ГРАДИЕНТА или УПМ, как определено в
51.102 и
51.103, должно соответствовать следующим требованиям:
a) Должны быть предусмотрены специальные меры безопасности, без соблюдения которых невозможен вход в РЕЖИМ КОНТРОЛЯ ВТОРОГО УРОВНЯ. Эти меры должны включать в себя указания ОПЕРАТОРУ о том, что условия работы потенциально опасны и что они недопустимы для нормального клинического использования. Специальные меры безопасности должны предусматривать возможность введения данного режима работы только на основании авторизации (подтверждения личности) ответственного медицинского работника и быть одобрены согласно местным требованиям. Специальные меры безопасности должны включать в себя применение блокировки ключом, комбинированную блокировку, программный пароль или другие средства защиты.
b) Перед началом каждого просмотра должны быть определены режимы работы в соответствии с максимальным ГРАДИЕНТОМ ВЫХОДА и заданным значением УПМ, которые должны контролироваться в течение просмотра и быть показаны на ПУЛЬТЕ УПРАВЛЕНИЯ.
c) Отчет ВЫХОД ГРАДИЕНТА или УПМ, который контролирует значения просмотра и эквивалентные данные, должен быть неотъемлемой частью данных изображения.
d) Индикация для ОПЕРАТОРА должна включать в себя информацию, что эксплуатационные режимы являются потенциально опасными и что эти режимы не должны применяться для нормального клинического использования.
e) МР-ОБОРУДОВАНИЕ должно быть обеспечено средствами для установки регулируемых пределов (в РЕЖИМЕ КОНТРОЛЯ ВТОРОГО УРОВНЯ) ВЫХОДА ГРАДИЕНТА или различных типов УПМ, которые не могут регулироваться ОПЕРАТОРОМ, если он не имеет соответствующих полномочий.
*51.102 Защита против чрезмерных низкочастотных полей, произведенных системой градиента
Низкочастотные поля, произведенные системой градиента, представлены в настоящем стандарте с изменениями, цель которых - предотвращение сердечного или периферийного возбуждения нерва (ПВН) (ЭФФЕКТИВНАЯ ДЛИТЕЛЬНОСТЬ СТИМУЛА > 20 мс).
51.102.1 Ограничения ВЫХОДА ГРАДИЕНТА
МР-ОБОРУДОВАНИЕ должно предотвратить сердечное возбуждение ПАЦИЕНТА в любом режиме работы. МР-ОБОРУДОВАНИЕ должно минимизировать возникновение невыносимого периферийного возбуждения нерва (ПВН) ПАЦИЕНТА при любом режиме работы.
Примечание - МР-ОБОРУДОВАНИЕ, которое отвечает требованиям, приведенным в следующих подпунктах, принимают удовлетворяющим этим целям при условии достижения баланса с диагностической эффективностью.
Для настоящего стандарта принято, что
- (ПВН) - сенсация активации нервной системы из-за переключения градиента,
- пороговый (ПВН) - начало сенсации,
- болезненный (ПВН) - уровень порога чувствительности ПАЦИЕНТА, который должным образом сообщен и мотивирован,
- невыносимый (ПВН) - уровень, на котором ПАЦИЕНТ попросит, чтобы процедура обследования была завершена немедленно,
- сердечное возбуждение - индукция смещения сердечного ритма или другой сердечной аритмии.
МР-ОБОРУДОВАНИЕ должно минимизировать возникновение болезненного (ПВН) в НОРМАЛЬНОМ РЕЖИМЕ РАБОТЫ.
51.102.2 Пределы для ВЫХОДА ГРАДИЕНТА
В этом подпункте пределы выражены или как электрическая область
E, вызванная в пациенте изменяющимся магнитным полем градиентов, или как
dB/
dt норма изменения магнитного поля в течение ПЕРЕКЛЮЧЕНИЯ ГРАДИЕНТА. Пределы функции ЭФФЕКТИВНОЙ ДЛИТЕЛЬНОСТИ СТИМУЛА
ts,eff. ЭФФЕКТИВНАЯ ДЛИТЕЛЬНОСТЬ СТИМУЛА проиллюстрирована на
рисунке 101 для волны некоторых форм.
Испытательные условия, использованные для демонстрации к этим пределам, определены в
51.105.2.
51.102.2.1 Пределы, предотвращающие сердечное возбуждение
Чтобы защититься от сердечного возбуждения в каждом режиме работы, ГРАДИЕНТ ВЫХОДА всех ГРАДИЕНТОВ БЛОКА должен удовлетворять
где ts,eff - ЭФФЕКТИВНАЯ ДЛИТЕЛЬНОСТЬ СТИМУЛА, мс;
E - электрическое поле, возбуждающее градиент переключения, В/м.
Поскольку МР-ОБОРУДОВАНИЕ предоставляет ГРАДИЕНТ СИСТЕМЫ ВСЕГО ТЕЛА, этот предел может быть заменен
где dB/dt - норма изменения магнитного поля в течение ПЕРЕКЛЮЧЕНИЯ ГРАДИЕНТА, Тл/с;
ts,eff - ЭФФЕКТИВНАЯ ДЛИТЕЛЬНОСТЬ СТИМУЛА, мс.
51.102.2.2 Пределы, предотвращающие периферийное возбуждение нерва (ПВН)
Пределы ВЫХОДА ГРАДИЕНТА или должны быть основаны на результатах экспериментального исследования человека, как описано в
перечислении a) этого подпункта, или должны соответствовать значениям, как заявлено в
перечислении b) этого подпункта.
a) Непосредственно установленные пределы
Пределы, связанные с уменьшением ПВН, для системы градиента любого типа могут быть основаны на непосредственном определении при исследовании на добровольцах и могут быть следующими:
- для операции в НОРМАЛЬНОМ ОПЕРАЦИОННОМ СПОСОБЕ система градиента должна работать на уровне, который не превышает 80% из непосредственно установленных средних пороговых ПВН, и
- для операции в ПЕРВОМ УРОВНЕ УПРАВЛЕНИЯ ОПЕРАЦИОННЫМ СПОСОБОМ система градиента должна работать на уровне, который не превышает 100% из непосредственно установленных средних пороговых ПВН.
Кроме того, исследование может использоваться, чтобы получить коэффициенты весомости для каждого ГРАДИЕНТНОГО БЛОКА, подходящего для использования в контроле ВЫХОДА ГРАДИЕНТА (см.
51.102.2.3).
Способ, при котором непосредственно установленный пороговый ПВН и коэффициенты весомости были получены при исследовании добровольца, должен соответствовать условиям, заявленным в
51.105.1.
Эти пределы и коэффициенты весомости не должны быть применены к системам градиента других типов, если такие типы не имеют достаточно подобную конструкцию.
Когда никакое прямое определение пределов не получено, пределы ВЫХОДА ГРАДИЕНТА для НОРМАЛЬНОГО РЕЖИМА РАБОТЫ (
L01) и РЕЖИМ КОНТРОЛЯ ПЕРВОГО УРОВНЯ (
L12), будут в зависимости от ярлыка [как определено в
6.8.3, перечисление ee)] не больше значений, установленных ниже:
L12 = 1,0 rb (1 + 0,36/ts,eff);
L01 = 0,8 rb (1 + 0,36/ts,eff),
где ts,eff - ЭФФЕКТИВНАЯ ДЛИТЕЛЬНОСТЬ СТИМУЛА, мс;
rb - реобаза, приведенная в таблице 102, Тл/с.
L01 и L12 также, как rb, должны или быть выражены как электрическое поле E, В/м, или как СКОРОСТЬ ИЗМЕНЕНИЯ МАГНИТНОГО ПОЛЯ, dB/dt, Тл/с.
Таблица 102
Значения реобазы через тип системы градиента
Тип системы градиента | rb, выраженный как E, В/м | rb, выраженный как dB/dt, Тл/с |
ГРАДИЕНТ СИСТЕМЫ ВСЕГО ТЕЛА | 2,2 | 20 |
СПЕЦИАЛЬНЫЙ ЦЕЛЕВОЙ ГРАДИЕНТ СИСТЕМЫ | 2,2 | Не применяется |
Рисунок 103 дает графическое представление пределов для ВЫХОДА ГРАДИЕНТА для ГРАДИЕНТА СИСТЕМЫ ВСЕГО ТЕЛА, связанных с сердечным возбуждением и периферийным возбуждением нерва, выраженных в dB/dt как функции ЭФФЕКТИВНОЙ ДЛИТЕЛЬНОСТИ СТИМУЛА.
Рисунок 103 - Пределы для сердечного
и периферийного возбуждения нерва
Пределы для периферийного возбуждения нерва ВЫХОДА ГРАДИЕНТА для НОРМАЛЬНОГО РЕЖИМА РАБОТЫ (
L01) и РЕЖИМ КОНТРОЛЯ ПЕРВОГО УРОВНЯ (
L12) ГРАДИЕНТА СИСТЕМЫ ВСЕГО ТЕЛА, выраженные как
dB/
dt, Тл/с против
ts, мс. Предел
51.102.2.1 для сердечного возбуждения приведен для сравнения.
51.102.2.3 Контроль ГРАДИЕНТА ВЫХОДА
МР-ОБОРУДОВАНИЕ должно управлять ГРАДИЕНТОМ ВЫХОДА значением O системы градиента так, чтобы оно не превысило пределы для периферийного возбуждения нерва. Значение O должно быть получено или взвешенным квадратным дополнением от значения O максимального ВЫХОДА ГРАДИЕНТА каждого ГРАДИЕНТНОГО БЛОКА, или должным образом утвержденными альтернативными правилами суммирования. Уравнение, выражающее значение квадратного дополнения, будет

,
где wi - коэффициент весомости в ГРАДИЕНТНОМ БЛОКЕ.
Коэффициенты весомости для E-полей всегда равны единице, коэффициенты весомости для dB/dt представлены в таблице 103. Значения коэффициентов весомости, полученных прямым определением или другими должным образом утвержденными средствами, могут быть использованы.
Таблица 103
Коэффициент весомости для суммирования
максимального выхода O через ГРАДИЕНТНЫЙ БЛОК
Тип системы градиента | | Коэффициент весомости |
| | |
ГРАДИЕНТ СИСТЕМЫ ВСЕГО ТЕЛА | Невыполнение значений | 1,0 | 1,0 | 1,0 |
Цилиндрические магниты | 1,0 | 0,8 | 0,7 |
Эмпирические определения | 1,0 | | |
СПЕЦИАЛЬНЫЙ ЦЕЛЕВОЙ ГРАДИЕНТ СИСТЕМЫ | Невыполнение значений | 1,0 | 1,0 | 1,0 |
Эмпирические определения | 1,0 | | |
Примечание - Коэффициенты весомости для поля E являются всегда равными единице. -------------------------------- <a> WAP, WLR, WHF - коэффициенты весомости через ГРАДИЕНТНЫЙ БЛОК в зависимости от ориентации ГРАДИЕНТНОГО БЛОКА относительно системы координат ПАЦИЕНТА с осями AP (последующий), LR (слева направо) и HF (голова к ногам). <b> Значения коэффициентов весомости, полученных прямым определением или другими должным образом утвержденными средствами, могут быть использованы. |
*51.103 Защита от РЧ излучения
51.103.1 Предельные значения температур
МР-ОБОРУДОВАНИЕ должно ограничить внутреннее повышение температуры тела и ограничить пространственно локализованные значения температуры в теле ПАЦИЕНТА до значений, приведенных в таблице 104, ограничивая параметры последовательности пульса и ограничивая РЧ-излучение.
Таблица 104
Температурные пределы
Режимы работы | Повышение температуры тела, °C | Пространственно локализованные температурные пределы, °C |
Голова | Туловище | Конечности |
НОРМАЛЬНЫЙ | 0,5 | 38 | 39 | 40 |
КОНТРОЛЬ ПЕРВОГО УРОВНЯ | 1 | 38 | 39 | 40 |
КОНТРОЛЬ ВТОРОГО УРОВНЯ | > 1 | > 38 | > 39 | > 40 |
Значения, удовлетворяющие предельным значениям температур и температурному повышению, могут быть достигнуты ограничением УПМ, как определено в
51.103.2.
Примечание - Требования, касающиеся РЧ-излучения, предполагают, что температура, влажность и прочие условия окружающей среды соответствуют рекомендациям ИЗГОТОВИТЕЛЯ.
Для ДОСТУПНЫХ ПОВЕРХНОСТЕЙ применяют температурные пределы в соответствии с IEC 60601-1. Для оценки см. целесообразность.
Методы измерений для демонстрации согласия с этими требованиями описаны в
51.105.3.
В таблице 105 представлены диапазоны значений УПМ ВСЕГО ТЕЛА, УПМ ЧАСТИ ТЕЛА, УПМ ГОЛОВЫ и местная УПМ. Пределы УПМ указаны для нормального режима работы и первого уровня управления режимом работы. Для второго уровня управления режимом работы пределы не указаны. Эти пределы относят к ответственности местного государственного наблюдательного совета, который разрешил его использование.
Таблица 105
Усреднение времени | 6 мин |
| УПМ ВСЕГО ТЕЛА | УПМ ЧАСТИ ТЕЛА | УПМ ГОЛОВЫ | Местные УПМ |
Область тела | Все тело | Часть тела, подвергнутая воздействию | Голова | Голова | Туловище | Конечности |
Режимы работы | Вт/кг | Вт/кг | Вт/кг | Вт/кг | Вт/кг | Вт/кг |
НОРМАЛЬНЫЙ | 2 | | 3,2 | | 10 | 20 |
КОНТРОЛЬ ПЕРВОГО УРОВНЯ | 4 | | 3,2 | | 10 | 20 |
КОНТРОЛЬ ВТОРОГО УРОВНЯ | > 4 | | > 3,2 | | > 10 | > 20 |
Короткий срок УПМ | Пределы УПМ за любые 10 с периодов не должны превышать увеличения установленных значений более чем в три раза |
<a> Динамический предел с отношением "выставленная масса ПАЦИЕНТА/масса ПАЦИЕНТА": НОРМАЛЬНЫЙ РЕЖИМ РАБОТЫ: УПМ ЧАСТИ ТЕЛА = 10 Вт/кг - (8 Вт/кг выставленная масса ПАЦИЕНТА/масса ПАЦИЕНТА); РЕЖИМ КОНТРОЛЯ ПЕРВОГО УРОВНЯ: УПМ ЧАСТИ ТЕЛА = 10 Вт/кг - (6 Вт/кг выставленная масса ПАЦИЕНТА/масса ПАЦИЕНТА). <b> В случаях, в которых орбита находится в области маленькой ЛОКАЛЬНОЙ (МЕСТНОЙ) РЧ ПЕРЕДАЮЩЕЙ КАТУШКИ, следует обратить внимание на обеспечение того, что, температурное повышение ограничено 1 °C. |
УПМ ВСЕГО ТЕЛА ПАЦИЕНТА - это значение УПМ, усредненное на массу тела ПАЦИЕНТА в целом.
УПМ ЧАСТИ ТЕЛА называют массу ПАЦИЕНТА, которая подвергалась воздействию. Эта масса ПАЦИЕНТА получается в пределах эффективного объема РЧ-передающей катушки. Эффективным объемом РЧ-передающей катушки будет тот объем, в котором не больше чем 95% из полной поглощенной РЧ-энергии сохраняется в гомогенном материале, который заполняет объем, обычно доступный для ПАЦИЕНТА.
Масса для определения УПМ ГОЛОВЫ должна быть массой головы, приближенной с помощью подходящей модели. Масса для определения местной УПМ должна составлять 10 г.
Для УПМ ВСЕГО ТЕЛА значения в
таблице 105 действительны при температурах окружающей среды ниже 24 °C. При более высоких температурах эти значения должны быть уменьшены в зависимости от фактической температуры и влажности окружающей среды. Сокращение пределов УПМ для температур окружающей среды запускает ненормированную температуру. Ненормированная температура 25 °C для относительной влажности менее 60%. Для каждых 10% увеличений относительной влажности, превышающих 60%, ненормированная температура снижена на 0,25 °C (например, 24 °C при 100% относительной влажности). Для каждого понижения температуры окружающей среды, которое превышает УПМ-уменьшающую температуру, предел УПМ ВСЕГО ТЕЛА должен быть снижен на 0,25 Вт/кг до тех пор, пока УПМ равно 2 Вт/кг или 0 Вт/кг для РЕЖИМА КОНТРОЛЯ ПЕРВОГО УРОВНЯ или для НОРМАЛЬНОГО РЕЖИМА РАБОТЫ соответственно.
На рисунке 104 показано графическое представление требований в этом подпункте.
Рисунок 104 - Сокращение пределов УПМ ВСЕГО ТЕЛА
при высоких температурах и влажности
Кривые показывают зависимость пределов УПМ ВСЕГО ТЕЛА и окружающей температуры T для трех значений относительной влажности h. Нижние кривые: НОРМАЛЬНЫЙ РЕЖИМ РАБОТЫ; верхние кривые: РЕЖИМ КОНТРОЛЯ ПЕРВОГО УРОВНЯ.
51.103.3 Контроль УПМ
Для экспозиции объемной РЧ передающей катушки МР-ОБОРУДОВАНИЕ должно управлять УПМ ГОЛОВЫ, УПМ ЧАСТИ ТЕЛА и УПМ ВСЕГО ТЕЛА.
Для экспозиции локальной РЧ передающей катушки МР-ОБОРУДОВАНИЕ должно управлять местной УПМ и УПМ ВСЕГО ТЕЛА.
Примечание 1 - В зависимости от фактически заданной экспозиции, определенной размерами РЧ передающей катушки и ПАЦИЕНТА, а также его положением относительно катушки, один из аспектов УПМ будет ограничивающим фактором, который устанавливает максимальную допустимую передаваемую энергию РЧ-катушки.
Примечание 2 - Требования к индикации УПМ указаны в
51.101.1.
*51.104 Защита от воздействия постоянного магнитного поля
Постоянное магнитное поле МР-ОБОРУДОВАНИЯ представляет собой силу рабочего магнитного поля.
Для постоянного магнитного поля применяют следующие пределы режимов работы, как определено в
51.101:
a) Нормальный режим работы включает в себя значения постоянного магнитного поля, равного или ниже чем 2 T.
b) РЕЖИМ КОНТРОЛЯ ПЕРВОГО УРОВНЯ включает в себя значения постоянного магнитного поля выше, чем 2
T и равные или ниже чем 4 T. Ввиду постоянного характера значений постоянного магнитного поля понятие "преднамеренное действие оператора" для входа в РЕЖИМ КОНТРОЛЯ ПЕРВОГО УРОВНЯ, которым управляют, не требуется. Все действия оператора, информация, выданная пациенту, и наблюдение за пациентами, как описано в
6.8.2, перечисление bb), должны быть представлены.
c) РЕЖИМ КОНТРОЛЯ ВТОРОГО УРОВНЯ, которым управляют, включает значения постоянного магнитного поля выше чем 4 T в изоцентре.
51.105 Методы демонстрации в соответствии с требованиями
51.105.1 Прямое определение пределов ВЫХОДА градиента
Когда пределы ВЫХОДА ГРАДИЕНТА основаны на прямом изучении определения, условия изучения и происхождения порога должны выполнять требования этого подпункта. Изучение должно проходить на человеке-добровольце. Наблюдаемым параметром должен быть пороговый ПВН.
Примечание - Пороговый ПВН определен в этом стандарте как начало сенсации.
Изучение должно быть оформлено в виде ясного определенного протокола, включающего период обучения на человеческих объектах и тест на воспроизводимость опыта. Типовой размер должен составлять, по крайней мере, 11 объектов. В репрезентативные протоколы должны быть включены обследования нормальных здоровых взрослых людей обоих полов.
Чтобы охватить все позиции ПАЦИЕНТОВ, худшие позиции должны быть определены для одной ЭФФЕКТИВНОЙ ДЛИТЕЛЬНОСТИ СТИМУЛА и одного добровольца пошаговым смещением добровольца в градиентной системе.
Чтобы охватить волны всех форм, существуют три варианта:
a) порог должен быть зарегистрирован для волн всех представленных форм,
b) порог должен быть зарегистрирован для волн синусоидальной или трапецеидальной формы и зависимость порога от форм волны для волн других форм должна быть выведена из соответственно утвержденной модели или
c) для волн всех форм порог будет предположительно равным зарегистрированному для волн формы синусоиды или трапецоида.
Чтобы охватить целый диапазон ЭФФЕКТИВНОЙ ДЛИТЕЛЬНОСТИ СТИМУЛА, допустимый системой градиента, по крайней мере, три значения из десяти должны быть проверены до максимума при клиническом диапазоне. Возможно применение интерполяции результатов. Все ГРАДИЕНТНЫЕ БЛОКИ должны быть проверены индивидуально, и когда никакого возбуждения не достигнуто максимальным ВЫХОДОМ ГРАДИЕНТА, комбинации двух или трех ГРАДИЕНТНЫХ БЛОКОВ должны быть проверены, по крайней мере, в одном блоке при максимальном выходе.
Для каждой проверенной формы волны градиента, для каждого ГРАДИЕНТНОГО БЛОКА и каждой ЭФФЕКТИВНОЙ ДЛИТЕЛЬНОСТИ СТИМУЛА средний пороговый ПВН должен быть получен из пороговых значений, наблюдаемых у добровольца в наихудшем расположении.
Различия в пороге для той же самой формы волны в ГРАДИЕНТНОМ БЛОКЕ, наблюдаемые при изучении, могут быть использованы как базисные для коэффициентов весомости.
Отчет по обучению на человеческих объектах должен быть доступным после запроса для контроля на любом испытательном средстве, которое соответствует требованиям настоящего стандарта. Отчет должен также быть доступным для любого национального регулирующего органа, в который МР-ОБОРУДОВАНИЕ коммерчески распределено после запроса.
Этот отчет должен содержать, как минимум:
- форму(ы) волны и эффективные длительности стимула;
- параметры, используемые для описания выхода градиента;
- наихудшее расположение добровольцев в МР-ОБОРУДОВАНИИ;
- демографические особенности добровольцев;
- число добровольцев;
- протокол обучения;
- значения наблюдаемых порогов возбуждения;
- прямое определение требований порога возбуждения;
- описание модели использования вывода порога для форм волны, которые не проверены (если другие);
- требования коэффициента весомости.
51.105.2 Определение максимального ВЫХОДА ГРАДИЕНТА
Задача определения.
Для каждого ГРАДИЕНТНОГО БЛОКА пространственный максимум ВЫХОДА ГРАДИЕНТА в ОБЪЕМЕ ИССЛЕДОВАНИЯ должен быть определен в МАКСИМАЛЬНЫЙ УРОВЕНЬ ИЗМЕНЕНИЯ ГРАДИЕНТА, используя или волну формы, которая обеспечивается МР-ОБОРУДОВАНИЕМ для клинического использования, или волну синусоидальной или трапецеидальной формы. Это определение вычисляется по
перечислению a) или испытанием по
перечислению b) следующим образом.
a) Определение исследования вычислением
Когда ВЫХОД ГРАДИЕНТА выражен в dB/dt, вычисление может быть основано на геометрии токов утечки градиентных катушек, используя закон Био-Савара.
Когда ВЫХОД ГРАДИЕНТА выражен в
E, вычисление может быть основано на геометрии токов утечки градиентных катушек с использованием магнитостатического выражения для магнитного векторного потенциала
A. Индукция электрического поля
E - отрицание производной времени минус градиент электростатического потенциала из-за электрических зарядов. Значения градиентной индукции реобазы электрического поля, которые используются для вычисления
L12 и
L01 и приведены в
таблице 102, являются самой высокой величиной электрического поля, определяемой внутри или на однородной (проводимость = 0,2 См/м) простой геометрической модели ПАЦИЕНТА, например, цилиндр радиуса 0,2 м для всего тела, цилиндр или эллипсоид для головы катушки. Электрическое поле должно быть вычислено по формуле

,
где A - векторный магнитный потенциал из-за тока в катушках градиента;

- электростатический потенциал из-за электрического заряда (как далее описано в разделе 15).
Другие подходящие модели (типа неоднородных моделей) могут производить различные пороговые значения электрического поля и могут использоваться как альтернативы, если это оправдано ИЗГОТОВИТЕЛЕМ.
Магнитный векторный потенциал для прямых линейных сегментов может быть вычислен в закрытой форме и затем суммирован (как векторные компоненты).
Протокол результатов должен содержать:
- результаты измерения ОБЪЕМА ИССЛЕДОВАНИЯ и координаты его границ.
Нужно сообщить данные для каждого индивидуального ГРАДИЕНТНОГО БЛОКА:
- максимальный градиент силы G+ max; G--max;
- значение МАКСИМАЛЬНОГО УРОВНЯ ИЗМЕНЕНИЯ ГРАДИЕНТА;
- значение временного ската, происходящее от переключения ГРАДИЕНТНОГО БЛОКА между максимальными указанными силами градиента в МАКСИМАЛЬНОМ УРОВНЕ ИЗМЕНЕНИЯ ГРАДИЕНТА, мс;
- значение ВЫХОДА ГРАДИЕНТА (dB/dt или E);
- координаты местоположения максимального ВЫХОДА ГРАДИЕНТА;
- детали модели для неоднородной проводимости пациента, если используется.
b) Определение ВЫХОДА ГРАДИЕНТА при испытании
Испытательные средства:
1) Проект ПОИСКОВОЙ КАТУШКИ
ПОИСКОВЫЕ КАТУШКИ должны быть построены так, чтобы могли быть измерены три ортогональных компонента ВЫХОДА ГРАДИЕНТА (Декартовские или цилиндрические). Например, три независимых ортогональных элемента ПОИСКОВОЙ КАТУШКИ могут быть построены в общем центре. Этот проект ПОИСКОВОЙ КАТУШКИ позволяет измерять каждый независимый компонент ВЫХОДА ГРАДИЕНТА, не требуя повторно процедуры измерения.
Каждый элемент ПОИСКОВОЙ КАТУШКИ будет круглым и будет малым относительно ГРАДИЕНТНОГО БЛОКА при испытании, чтобы гарантировать точность. Элемент ПОИСКОВОЙ КАТУШКИ состоит из n поворотов провода с радиусом r. Осевая длина катушки должна быть меньше на 20%, чем ее диаметр. Элементы ПОИСКОВОЙ КАТУШКИ должны быть не больше чем 50 мм в диаметре. Ответ элемента ПОИСКОВОЙ КАТУШКИ должен быть определен вычислением или измерением. Мгновенное значение компонента dB/dt коаксиала с элементом ПОИСКОВОЙ КАТУШКИ должно быть определено от пикового напряжения Vcoil, вызванного в катушке к этому времени переменным магнитным потоком

.
Например, типичный элемент ПОИСКОВОЙ КАТУШКИ состоял бы из 15 поворотов медного провода толщиной 0,6 мм на стержень диаметром 50 мм (r = 25 мм) с длиной полученной круглой катушки приблизительно 9 мм. Вызванное напряжение в 200 милливольт тогда привело бы к значению dB/dt = 6,79 Тл/с коаксиалов ПОИСКОВОЙ КАТУШКИ.
Каждый отдельный элемент ПОИСКОВОЙ КАТУШКИ будет представлять единицу аттенюатора, которая должна быть калибрована, чтобы обеспечить ту же самую чувствительность для каждого из элементов ПОИСКОВОЙ КАТУШКИ. Сигналы отдельных элементов ПОИСКОВОЙ КАТУШКИ должны быть расположены параллельно к блоку, у которого выход является квадратным корнем суммы квадрата каждого входа. Этот блок должен представить его выход как напряжение ПОИСКОВОЙ КАТУШКИ. Фактор чувствительности связывает напряжение ПОИСКОВОЙ КАТУШКИ Vout со значением dB/dt, Тл/с, как
Vout = S dB/dt.
Минимальную чувствительность 0,01 В/Тл/с рекомендуют измерять как амплитуды сигнала в областях малого dB/dt (в диапазоне 1 Тл/с).
2) Калибровка ПОИСКОВОЙ КАТУШКИ
Калибровка ПОИСКОВОЙ КАТУШКИ необходима, чтобы измерить ее фактор чувствительности S.
3) Устройство измерения напряжения
Устройство использует измерение напряжения, вызванное в ПОИСКОВОЙ КАТУШКЕ, которое должно иметь высокий импеданс и достаточную полосу пропускания, чтобы предотвратить ослабление сигнала, например осциллограф хранения.
Измерительное устройство напряжения (осциллограф хранения) должно быть расположено в месте, где обеспечена точность его показаний и нет влияния магнитных полей.
Напряжение ПОИСКОВОЙ КАТУШКИ должно быть связано с устройством измерения напряжения посредством высокого кабеля импеданса; например, витая пара, чтобы избежать шума на форме волны, которая может быть испытана с коаксиальными кабелями. Выходы ПОИСКОВОЙ КАТУШКИ могут быть связаны с осциллографом посредством аналогового устройства фильтрования, которое максимально уменьшает компоненты частоты переключения, для использования усилителей градиента, переключающего электропитания.
4) Устройство позиционирования (помещения)
Средства позиционирования должны обеспечить размещение и выравнивание ПОИСКОВОЙ КАТУШКИ в магните и поддержание устойчивости и восстанавливаемости ее расположения. Устройство должно разрешить позиционирование ПОИСКОВОЙ КАТУШКИ везде по ОБЪЕМУ ИССЛЕДОВАНИЯ.
Измерения:
Измерения проводят в пределах ОБЪЕМА ИССЛЕДОВАНИЯ для каждого единичного ГРАДИЕНТНОГО БЛОКА с использованием формы волны, которую обеспечивает МР-ОБОРУДОВАНИЕ для клинического использования, или градиента синусоидальной или трапецеидальной формы волны.
1) Выключают или максимально уменьшают радиочастоту (РЧ) передатчика, чтобы предотвратить вмешательство.
2) Выключают все ГРАДИЕНТНЫЕ БЛОКИ, прежде чем испытывать ГРАДИЕНТНЫЙ БЛОК.
3) Вводят ГРАДИЕНТНЫЙ БЛОК в МАКСИМАЛЬНЫЙ УРОВЕНЬ ИЗМЕНЕНИЯ ГРАДИЕНТА с повторяющейся формой волны.
4) Перемещают ПОИСКОВУЮ КАТУШКУ в пределах ОБЪЕМА ИССЛЕДОВАНИЯ в местоположение, где напряжение максимально.
5) Измеряют пик, оценивают Vout напряжения ПОИСКОВОЙ КАТУШКИ в этом местоположении.
6) Значение ВЫХОДА ГРАДИЕНТА должно быть определено как
dB/dt = Vout/S.
Протокол результатов |
Общие параметры: | Измерение |
- измерения объема исследования и координат его границ .................... | м; |
- значение МАКСИМАЛЬНОГО УРОВНЯ ИЗМЕНЕНИЯ ГРАДИЕНТА в ГРАДИЕНТНОМ БЛОКЕ ............................................... | мТл/м/мс. |
Представленные данные для каждого индивидуального ГРАДИЕНТНОГО БЛОКА: |
- максимальный градиент силы G+max, G-min ............................................ | мТл/м; |
- значение времени ската при переключении ГРАДИЕНТНОГО БЛОКА между максимальным указанным градиентом силы и МАКСИМАЛЬНЫМ УРОВНЕМ ИЗМЕНЕНИЯ ГРАДИЕНТА ........... | мс; |
- координаты местоположения максимального ВЫХОДА ГРАДИЕНТА | м; |
- значение ВЫХОДА ГРАДИЕНТА dB/dt ................................................ | Тл/с. |
51.105.3 Определение смещения энергии радиочастоты
51.105.3.1 Температуры
Температурные пределы, определенные в
51.103.1 могут использоваться, чтобы получить эквивалентные пределы для операционных параметров МР-ОБОРУДОВАНИЯ. Это определение должно использовать экспериментальные данные или числовые методы (например, конечные методы элемента).
51.105.3.2 Определение УПМ
УПМ ВСЕГО ТЕЛА должна быть определена измерением поглощенной РЧ-энергии и массы ПАЦИЕНТА, основанной на значении, введенном ОПЕРАТОРОМ, или на других подходящих средствах. Поглощенная РЧ-энергия, определенная МР-ОБОРУДОВАНИЕМ, должна быть проверена измерением с использованием одного из методов, определенных ниже, или эквивалентного.
УПМ ЧАСТИ ТЕЛА должна быть определена от УПМ ВСЕГО ТЕЛА, применяя утвержденные теоретические или эмпирические модели, связывающие УПМ ЧАСТИ ТЕЛА с измерением ОБЪЕМНОЙ РЧ-ПЕРЕДАЮЩЕЙ КАТУШКИ, массу ПАЦИЕНТА и размер и положение ПАЦИЕНТА. Подходящая модель для определения выставленной массы ПАЦИЕНТА, например, должна моделировать тело ПАЦИЕНТА разнообразными однородными цилиндрами. Распределение МАКСИМАЛЬНОЙ УПМ может быть определено теоретическими моделями или экспериментом.
Прикладная модель в случае УПМ ЧАСТИ ТЕЛА и МАКСИМАЛЬНОЙ УПМ должна быть утверждена при сравнении значений, полученных из модели с теми фигурами, которые непосредственно доступны для измерения (например, температурное распределение в фантоме).
Соответствие должно быть определено проверками измерений, что подтверждает определение УПМ по всему диапазону энергии, МР-ОБОРУДОВАНИЕ способно гарантированно безопасно доставлять операцию в указанных пределах УПМ.
Приемлемые методы для определения поглощенной РЧ-энергии - это "импульсно-энергетический метод" и "калориметрический метод".
Импульсно-энергетический метод
a) Дополнительные определения:
угол отклонения: Угол, на который отклоняется макроскопический вектор намагниченности ядер при воздействии на них импульсом РЧ-излучения.
Pпадающая 2 (Pforward 2): Пиковая энергия РЧ-излучения, поступающая на вход РЧ-катушки, когда она нагружена тест-объектом N 2.
Pотраженная 2 (Preflected 2): Пиковая энергия РЧ-излучения, отраженная от РЧ-катушки, когда она нагружена тест-объектом N 2.
Pпрочая 2 (Pother 2): Пиковая энергия РЧ-излучения, поглощенная или рассеянная где-либо в системе, когда РЧ-катушка нагружена тест-объектом N 2. Например, в квадратурной системе, питаемой через четырехвходовый разветвитель, - это пиковая мощность РЧ-излучения, подаваемая в эквивалентную нагрузку.
Pобъекта (Pobject): Чистая энергия РЧ-излучения, поглощенная тест-объектом N 2.
Pкатушки (Pcoil): Чистая энергия РЧ-излучения, поглощенная передающей катушкой при достижении указанного угла отклонения.
Pпадающая 1 (Pforward 1): Пиковая энергия РЧ-излучения, поступающая на вход РЧ-катушки, когда она нагружена тест-объектом N 1.
Pотраженная 1 (Preflected 1): Пиковая энергия РЧ-излучения, отраженная от РЧ-катушки, когда она нагружена тест-объектом N 1.
Pпрочая 1 (Pother 1): Пиковая энергия РЧ-излучения, поглощенная или рассеянная где-либо в системе, когда РЧ-катушка практически не нагружена. Например, в квадратурной системе, питаемой через четырехвходовый разветвитель, - это пиковая энергия РЧ-излучения, подаваемая в эквивалентную нагрузку, когда катушка нагружена тест-объектом N 1.
B1: Индукция магнитной составляющей РЧ-поля, используемого для получения МАГНИТНО-РЕЗОНАНСНОГО изображения и в спектроскопии.
b) Испытательное оборудование
Тест-объект N 1
Тест-объект N 1 используется при калибровке углов отклонения и определении потерь в РЧ-катушке импульсно-энергетическим методом. Тест-объект N 1 заполняется материалом, изображение которого может быть получено МАГНИТНО-РЕЗОНАНСНЫМ ОБОРУДОВАНИЕМ, но проводимость материала должна быть менее 0,003 См/м. Благодаря низкой электрической проводимости потери в объекте незначительны, что позволяет измерять потери непосредственно в РЧ-катушке, обеспечивая при этом пренебрежимо малые потери в системе. Тест-объект N 1 должен иметь физически малые размеры (по сравнению с длиной волны РЧ-излучения) и компактную форму. Его объем должен быть менее 250 мл. Соотношение максимального и минимального размеров тест-объекта N 1 не должно превышать 3.
Тест-объект N 2
Тест-объект N 2 - это объект, УПМ которого определяется импульсно-энергетическим методом. Нагрузка на РЧ-катушку, создаваемая объектом, должна быть такой же, как нагрузка, создаваемая при обследовании ПАЦИЕНТА.
Для УПМ ВСЕГО ТЕЛА - масса ПАЦИЕНТА и для УПМ ГОЛОВЫ - масса головы могут быть назначены как эквивалентные массы этого фантома.
c) Процедура измерений
1) Измерения пиковой энергии РЧ-излучения можно проводить с помощью осциллографа, обеспечивающего измерение параметров однократных и редко повторяющихся импульсных сигналов с полосой пропускания, превышающей частоту РЧ-излучения не менее чем в 5 раз, и двойного направленного ответвителя, направленность которого превышает 30 дБ.
Соединить направленный ответвитель, осциллограф и другие приборы для измерения энергии с помощью коаксиальных линий передачи, имеющих волновое сопротивление 50 Ом, как показано на рисунке 105 или
рисунке 106. Полное входное сопротивление осциллографа должно быть равно 50 Ом. Осциллограф должен быть размещен так, чтобы исключить влияние на него наводок и магнитного поля.
Примечание - На схеме не приведены согласующие нагрузки 50 Ом на входе осциллографа
Рисунок 105 - Схема измерений УПМ квадратурной катушки
импульсно-энергетическим методом
Примечание - На схеме не приведены согласующие нагрузки 50 Ом на входе осциллографа.
Рисунок 106 - Схема измерений УПМ линейной катушки
импульсно-энергетическим методом
2) Процедура измерения
ШАГ 1: разместить тест-объект N 1 в изоцентре МР-ОБОРУДОВАНИЯ.
ШАГ 2: прокалибровать угол отклонения. Должен быть использован стандартный метод, обеспечиваемый каждым ИЗГОТОВИТЕЛЕМ (техническими и/или программными средствами), чтобы установить угол отклонения, требуемый для данного выбранного типа сканирования. При измерениях энергии с тест-объектами N 1 и N 2 должен использоваться одинаковый угол отклонения.
ШАГ 3: запустить выработку последовательности импульсов РЧ-излучения для сканирования, выбранной для измерения УПМ. Убедиться в том, что время сканирования достаточно для проведения необходимых измерений, или установить сканирующее устройство в режим бесконечного повторения последовательности импульсов.
ШАГ 4: измерить пиковый размах напряжения огибающей РЧ-колебаний (прямой, отраженной и прочих) для каждого импульса в данной последовательности.
ШАГ 5: измерить ослабление энергии в линии передачи между катушкой для обследования тела и осциллографа и в канале эквивалентной нагрузки.
ШАГ 6: преобразовать размеры напряжения пика-к-пику в эффективную энергию в пике пульса. Эффективная энергия в пике пульса, измеренном в осциллографе Vpp2/8Z0,
где Z0 - характерный импеданс линии передачи (входной импеданс осциллографа);
Vpp - измеренное напряжение пика-к-пику.
Рассчитанная пиковая энергия должна быть преобразована в пиковую энергию, приведенную ко входу РЧ-катушки с учетом коэффициентов ослабления линии передачи и коэффициента ослабления направленного осциллографа.
Для квадратурной РЧ-катушки
Pпадающая = Pfm x a1/a3;
Pотраженная = Prm/(a2a3);
Pпрочая = Pom/a4,
где Pfm - падающая энергия, измеренная на входе осциллографа;
Prm - отраженная энергия, измеренная на входе осциллографа;
Pom - "прочая" энергия, измеренная на входе осциллографа;
a1 - фракционное ослабление энергии (не в децибелах) передового сцепного прибора энергии;
a2 - фракционное ослабление энергии (не в децибелах) отраженного сцепного прибора власти;
a3 - фракционное ослабление энергии (не в децибелах) линии передачи между катушкой тела и сцепным прибором;
a4 - ослабление между фиктивным портом груза и осциллографом (= 0 для линейной РЧ-передающей катушки).
В линии передачи с рассогласованными линейными катушками ослабление возрастает в зависимости от степени рассогласования. Действительное ослабление a вычисляют по формуле
a = a0(R2 + I)/(2R),
где a0 - ослабление при полном согласовании;
R - напряжение постоянное отношение волны.
Пиковую энергию Pкатушки, поглощенную непогруженной катушкой, вычисляют по формуле
Pкатушки = Pпадающая 1 - Pотраженная 1 - Pпрочая 1
Отмечают, что Pпадающая 1, Pотраженная 1, Pпрочая 1 получены из эксперимента, использующего тест-объект N 1. После того, как начальные размеры сделаны на тест-объект N 1, их повторяют, используя тест-объект N 2. Удаляют тест-объект N 1 из катушки, помещают тест-объект N 2 в изоцентре сканера и повторяют ШАГИ 4 и 6. Тот же самый угол наконечника должен быть использован для тест-объекта N 2, как был использован для тест-объекта N 1. Вычисляют пиковую энергию, поглощенную тест-объектом N 2, Pобъекта (Pobject)
Pобъекта = Pпадающая 2 - Pотраженная 2 - Pпрочая 2 -
- Pкатушки
Значения Pпадающая 2, Pотраженная 2 и Pпрочая 2 получены в результате измерений с испытательным объектом 2, а Pкатушки - когда РЧ-катушка нагружена на тест-объект N 1.
После завершения перечисленных измерений и вычислений необходимо рассчитать энергию импульса РЧ-излучения, поглощенную объектом, для чего определить среднее значение импульсов для каждой формы в импульсной последовательности и найти эквивалентную длительность прямоугольных импульсов, имеющих те же уровни пиковой мощности, что и последовательность оцениваемых импульсов. Эта операция должна быть выполнена для каждого типа импульсов в импульсной последовательности (например, для импульсов 90° и 180°). Эквивалентные прямоугольные импульсы должны иметь те же пиковую мощность и энергию, что и оцениваемые импульсы. Продолжительность прямоугольного импульса Wпрямоуг определяется интегрированием по времени импульса магнитной составляющей РЧ поля B1 (t), приведенного к пиковому значению B1пик

.
Например, импульс типа sinc (или
) приблизительно эквивалентен по энергии прямоугольному импульсу, имеющему ту же пиковую мощность и ту же длительность, равную половине длительности основного лепестка.
Энергию импульса Ui, вычисляют по формуле
Ui = PОБЪЕКТА WПРЯМОУГ
Общую среднюю мощность Pсредн, поглощенную объектом при определенном периоде повторения импульсов TR, вычисляют как сумму энергий всех импульсов, отнесенную к периоду их повторения

.
Для последовательностей импульсов, где период их повторения точно не определен (например, для однократных последовательностей), общую среднюю мощность вычисляют как сумму энергий всех импульсов, использованных при сканировании, отнесенную ко времени сканирования S

.
УПМ тест-объекта N 2 массой, равной M, вычисляют по формуле
УПМ = Pсредн/M.
d) Результаты измерений и расчетов УПМ должны быть занесены в протокол, включающий в себя следующие данные для каждого тест-объекта и каждой использованной последовательности импульсов:
Энергия пиковая падающая, Вт;
Энергия пиковая отраженная, Вт;
Энергия потерь в катушке пиковая, Вт;
Прочие потери энергии (пиковые), Вт;
Форма импульса;
Параметры импульса;
Угол (углы) отклонения, град;
Погрешность измерений мощности, %;
Длительность эквивалентного прямоугольного импульса, мкс;
Период повторения импульсов (время сканирования), мс;
Масса тест-объекта N 2, кг;
Другие параметры, необходимые для обеспечения повторяемости результатов.
Показанная УПМ, которая управляет МР-ОБОРУДОВАНИЕМ, не менее измеренной УПМ, (y/n)
e) Калориметрический метод (только для УПМ ВСЕГО ТЕЛА ПАЦИЕНТА)
Испытательное оборудование
Тест-объект N 1
Тест-объект N 1 должен быть испытательным объектом, используемым в течение калибровки углов наконечника и в течение определения потерь РЧ-передающей катушки импульсно-энергетическим методом. Тест-объект N 1 будет заполнен материалом, который может быть отображен МР-ОБОРУДОВАНИЕМ, но чья проводимость должна быть меньше чем 0,003 См/м. Это гарантирует, что потери радиочастоты объекта незначительны, таким образом, измерения потерь катушки вносят немного в потери системы. Тест-объект N 1 будет физически маленьким и компактным по форме. Испытательный объем объекта должен быть меньше чем 250 мл. Самое длинное измерение испытательного объекта должно быть не больше чем в три раза самого короткого.
Тест-объект N 3
Тест-объект N 3 должен быть кольцевым испытательным объектом, УПМ которого должна быть определена, используя калориметрический метод. Этот испытательный объект должен иметь катушку, подобную нагрузке ПАЦИЕНТА. Для определения УПМ ВСЕГО ТЕЛА испытательный объект должен иметь нагрузку, эквивалентную массе человека в диапазоне 50 - 90 кг. Для определения УПМ ГОЛОВЫ этот испытательный объект должен иметь нагрузки, эквивалентные массе головы ПАЦИЕНТА в пределах РЧ-ПЕРЕДАЮЩЕЙ КАТУШКИ ГОЛОВЫ. В первом случае масса ПАЦИЕНТА и во втором случае масса головы могут быть назначены на фантом (эквивалентная масса фантома, Mequivaient). Кольцо должно быть достаточно широким, чтобы получить тест-объект N 1.
Примечание - Например, сам фантом может быть заполнен водным раствором поваренной соли, концентрация которого должна обеспечить проводимость, позволяющую проводить погружение, определенное выше. Заполняющий раствор может также содержать материал разбавления, типа хлорида марганца. Полный объем испытательного объекта может быть меньше чем 25 л, испытательный объект полностью расположен в пределах эффективной области РЧ-поля РЧ-передающей катушки (то есть геометрическая длина испытательного объекта менее эффективной длины катушки).
Тепловая инерционность тест-объекта N 3 должна быть такой, чтобы превышение его температуры над температурой окружающей среды на 2 °C сохранялось в пределах +/- 5% в течение одного часа.
Измерение температуры
Для измерения начальной и конечной температур тест-объекта N 3 следует использовать приборы с погрешностью измерения не менее 0,1 °C в пределах от 15 °C до 45 °C. Приборы не обязательно должны быть устойчивыми к воздействию РЧ электромагнитного и постоянного магнитного полей. Наиболее подходящими являются средства измерений температуры на основе термопарных и термисторных измерительных преобразователей.
Размещают оборудование для измерения температуры в удобном месте на удалении от магнита (для исключения погрешностей, которые могут быть обусловлены магнитным полем) таким образом, чтобы обеспечить быстрое измерение температуры тест-объекта N 3 до и после сканирования.
При сканировании использовать РЧ-катушку для исследования всего тела; число РЧ-импульсов должно обеспечивать достаточно продолжительный период сканирования, для того чтобы тест-объект N 3 нагрелся до температуры, по крайней мере, в 20 раз превышающей погрешность прибора для измерения температуры. Обычно воздействие на объект в течение 1 ч при УПМ, равной 1 Вт/кг, приводит к среднему повышению температуры 0,86 °C (0,0143 °C/мин) при отсутствии тепловых потерь. Чем больше температура нагрева объекта, тем меньше погрешность измерения превышения температуры, но больше погрешность, обусловленная ростом потерь тепла.
g) Процедура измерения УПМ
ШАГ 1) Устанавливают тест-объект N 3 в изоцентре магнита при выключенной системе его продува.
ШАГ 2) Измеряют начальную температуру в канале магнита и начальную температуру в помещении для сканирования.
ШАГ 3) Извлекают тест-объект N 3 и три раза переворачивают его для уравновешивания температуры по всему объему.
ШАГ 4) Измеряют начальную температуру Ti тест-объекта N 3, вводя внутрь его измерительный преобразователь. Начальная температура в магните должна отличаться от температуры тест-объекта Ti не более чем на 1 °C.
ШАГ 5) Быстро возвращают тест-объект N 3 в изоцентр магнита и помещают внутрь его тест-объект N 1.
ШАГ 6) Калибруют угол отклонения. Должен быть использован стандартный метод, обеспечиваемый каждым ИЗГОТОВИТЕЛЕМ (техническими и/или программными средствами), чтобы установить угол отклонения, требуемый для данного выбранного типа сканирования.
ШАГ 7) Сканируют тест-объекты с достаточным для обеспечения требуемой точности измерений числом РЧ-импульсов (см. перечисление f).
Извлекают тест-объекты из магнита и измеряют конечную температуру Tf внутри тест-объекта N 3 после трехкратного его перевертывания.
Если Tf - Ti менее 2 °C, эксперимент следует продолжить, возвратив тест-объекты в канал магнита и возобновив сканирование. Для обеспечения требуемой точности время измерения температуры следует вычесть из общего времени исследований.
Измерить конечные температуры в изоцентре магнита и в помещении для сканирования. Если температура в помещении или в магните изменяется быстрее чем на 0,5 °C за 1 ч, эксперимент должен быть повторен при более стабильных температурных условиях.
Энергию U, Дж, поглощенную тест-объектом N 3, вычисляют по формуле
U = Mc(Tf - Ti),
где M - масса раствора, кг;
c - удельная теплоемкость раствора, Дж/(кг °C).
Среднюю мощность P, Вт, за период сканирования t, с, вычисляют по формуле
P = U/t.
Действительную УПМ тест-объекта вычисляют по формуле
УПМ = P/M.
Кажущуюся УПМкаж вычисляют по формуле
УПМкаж = P/Mэквив,
где Mэквив - масса тела ПАЦИЕНТА, моделируемого тест-объектом N 3 (в предположении, что достоверность такого моделирования подтверждена в ходе независимой проверки).
h) Результаты измерений и расчетов должны быть занесены в протокол, включающий следующие данные:
Начальная температура тест-объекта N 3, °C;
Конечная температура тест-объекта N 3, °C;
Начальная температура в канале магнита, °C;
Конечная температура в канале магнита, °C;
Начальная температура в помещении для сканирования, °C;
Конечная температура в помещении для сканирования, °C;
Масса тест-объекта N 3, кг;
Масса тела, моделируемого тест-объектом N 3 (Mэквив), кг;
Емкость тест-объекта N 3, л;
Габариты тест-объекта N 3, м;
Характеристики РЧ-импульсов;
Угол отклонения, использованный при исследовании, град;
Период повторения импульсов (TR), мс;
Период эха (TE), мс;
Число срезов;
Количество эхо;
Общее время сканирования, с;
Другие параметры, необходимые для обеспечения повторяемости;
УПМкаж, В/кг
Показанная УПМ МР-ОБОРУДОВАНИЯ, В/кг;
Погрешность, тип прибора, измеряющего температуру, и его местоположение во время измерения;
Показанная УПМ, которой управляет МР-ОБОРУДОВАНИЕ >= УПМкаж, y/n.
РАЗДЕЛ ДЕВЯТЫЙ. НЕНОРМАЛЬНАЯ РАБОТА И УСЛОВИЯ НАРУШЕНИЯ; ИСПЫТАНИЯ НА ВОЗДЕЙСТВИЕ ВНЕШНИХ ФАКТОРОВ
Применяют
раздел общего стандарта, за исключением
52. Аномальная работа и дефект состояния
52.1 Дополнение
Безопасность МР-ОБОРУДОВАНИЯ изложена в части 52 IEC 60601-1-4.
Вся информация о возможных рисках должна быть включена в ИНСТРУКЦИИ ПО ЭКСПЛУАТАЦИИ. Требования к файлам риска в ИНСТРУКЦИИ ПО ЭКСПЛУАТАЦИИ изложены в IEC 60601-1-4.
Программное контролирующее обеспечение и микропрограммируемые контроллеры должны быть обеспечены защитой от доступа неуполномоченных лиц.
Примечание - Неразрешенные изменения к программному обеспечению или программируемому оборудованию могут создать опасные условия и могут сделать МР-ОБОРУДОВАНИЕ несоответствующим требованиям настоящего стандарта.
РАЗДЕЛ ДЕСЯТЫЙ. ТРЕБОВАНИЯ К КОНСТРУКЦИИ
Применяют
раздел общего стандарта, за исключением
Применяют
раздел общего стандарта, за исключением
Дополнение
59.101 Криогенные жидкости и газы
МР-ОБОРУДОВАНИЕ со сверхпроводящим магнитом должно быть оснащено приборами для контроля уровня криогенных жидкостей.
В ИНСТРУКЦИИ ПО ЭКСПЛУАТАЦИИ должны быть изложены требования относительно криогенных жидкостей и газов, полученных по
6.8.2, перечисление ff).
(справочное)
ССЫЛКИ. ПУБЛИКАЦИИ, УПОМЯНУТЫЕ В НАСТОЯЩЕМ СТАНДАРТЕ
Замена:
IEC 60601-1-2:2001 <1> Medical electrical equipment. Part 1-2. General requirements for safety. Collateral standard: Electromagnetic compatibility. Requirements and tests (Медицинское электрическое оборудование. Часть 1-2. Общие требования к безопасности. Дополняющий стандарт. Электромагнитная совместимость. Требования и испытания).
--------------------------------
<1> Заменен. Действует IEC 60601-1-2:2007.
Дополнение:
IEC 60651:1979 <2> Sound level meters (Измерители уровня звука. (Шумомеры))
Изменение 2 (2000) <2>
Изменение 1 (1993) <2>
IEC 60788:1984 Medical radiology - Terminology (Медицинская радиология. Терминология)
IEC 60804:2000 <2> Integrating-averaging sound level meters (Измерители уровня звука интегрирующие усредняющие)
--------------------------------
<2> Заменен. Действуют IEC 61672-1:2002 и МЭК 61672-2:2003.
ISO 3846:1989 <3> Liquid flow measurement in open channels by weirs and flumes; rectangular broad-crested weirs (Измерение потока жидкости в открытых каналах с помощью лотков и водосливов. Измерительный прямоугольный свободный водослив с широким порогом)
--------------------------------
<3> Заменен. Действует ISO 3846:2008.
ISO 3864 Safety colours and safety sings (Цвета и знаки безопасности)
ISO 1999:1990 Acoustics; determination of occupational noise exposure and estimation of noise-induced hearing impairment Акустика. (Определение воздействия шума на рабочем месте и оценка его влияния на ухудшение слуха)
ISO 7731:1986 <4> Danger signals for work places; Auditory danger signals (Сигналы опасности для рабочих мест. Сигналы опасности звуковые)
--------------------------------
<4> Заменен. Действует ISO 7731:2003
(справочное)
ПРИМЕРЫ ПРЕДУПРЕЖДАЮЩИХ И ЗАПРЕЩАЮЩИХ ЗНАКОВ <1>
--------------------------------
<1> Цвета и форма предупреждающих и запрещающих знаков взяты из 8.3 и 8.2 ISO 3864.
| Предупреждающий знак Предупреждение о появлении сильного магнитного поля |
| Предупреждающий знак Предупреждение о появлении неионизирующего излучения |
| Запрещающий знак Запрещено использование для человека с кардиостимулятором |
| Запрещающий знак Запрещено использование для человека с металлическим имплантатом |
| Запрещающий знак Запрещено использование с металлическими частями или часами |
(справочное)
ОБОСНОВАНИЕ ТЕРМИНОВ И ТРЕБОВАНИЙ НАСТОЯЩЕГО СТАНДАРТА
Ниже приведены пояснения к некоторым специфическим терминам, принятым в настоящем стандарте, и обоснование требований.
Явление ядерного МАГНИТНОГО РЕЗОНАНСА возникает, если частота электромагнитного излучения, воздействующего на группы атомных ядер, которые помещены в постоянное магнитное поле, совпадает с частотой прецессии (Ларморовой частотой) этих ядер в данном магнитном поле.
МЕДИЦИНСКОЕ НАБЛЮДЕНИЕ требует квалифицированной оценки медицинским специалистом, имеющим опыт МАГНИТНО-РЕЗОНАНСНЫХ ОБСЛЕДОВАНИЙ, соотношения риска/пользы для данного конкретного обследования; допустимо также заключение менее опытного врача, что ПАЦИЕНТ отвечает ряду объективных критериев, сформулированных квалифицированным специалистом относительно состояния ПАЦИЕНТА и параметров сканирования. При МЕДИЦИНСКОМ НАБЛЮДЕНИИ может потребоваться инструментальный мониторинг физиологического состояния ПАЦИЕНТА (измерение частоты сердечных сокращений и артериального давления, электрокардиография, оксиметрия и т.д); см., однако, меры предосторожности, указанные в
6.8.2, перечисление bb).
2.101.1 УДЕЛЬНАЯ ПОГЛОЩЕННАЯ МОЩНОСТЬ (УПМ)
УПМ зависит от частоты РЧ-излучения (в первом приближении она пропорциональна квадрату частоты), формы и числа высокочастотных импульсов, длительности и частоты повторения импульсов, а также типа высокочастотной катушки. Важными биофизическими факторами являются: электрическая проводимость биоткани, ее плотность; исследуемая анатомическая область; тип биоткани (например, по степени РЧ-излучения) и масса тела ПАЦИЕНТА.
6.8 ЭКСПЛУАТАЦИОННЫЕ ДОКУМЕНТЫ
Помимо обычных требований, касающихся монтажа МАГНИТНО-РЕЗОНАНСНОГО ОБОРУДОВАНИЯ, следует учитывать возможное влияние расположенных вблизи него объектов на однородность магнитного поля, а также влияние создаваемых им магнитных полей рассеяния на другое оборудование. Постоянное магнитное поле, создаваемое МАГНИТНО-РЕЗОНАНСНЫМ ОБОРУДОВАНИЕМ, может оказывать сильное притягивающее и/или вращающее действие на ферромагнитные массы внутри и на поверхности тела ПАЦИЕНТА или вблизи магнита.
Высокочастотные электромагнитные поля, создаваемые МАГНИТНО-РЕЗОНАНСНЫМ ОБОРУДОВАНИЕМ, могут воздействовать на близлежащие технические средства, а также на электронные приборы ПАЦИЕНТОВ, ОПЕРАТОРОВ или других лиц, находящихся недалеко от МАГНИТНО-РЕЗОНАНСНОГО ОБОРУДОВАНИЯ.
6.8.2 ИНСТРУКЦИИ ПО ЭКСПЛУАТАЦИИ
Инструкции по эксплуатации МАГНИТНО-РЕЗОНАНСНОГО ОБОРУДОВАНИЯ, составленные в соответствии с настоящим стандартом, играют важную роль в обеспечении ПОЛЬЗОВАТЕЛЯ необходимой информацией.
Относительно безопасности ПАЦИЕНТОВ эти документы должны содержать специальную информацию о методах отбора и предварительного обследования ПАЦИЕНТОВ и методиках МЕДИЦИНСКОГО НАБЛЮДЕНИЯ ПАЦИЕНТОВ при использовании МАГНИТНО-РЕЗОНАНСНОГО ОБОРУДОВАНИЯ в контролируемых режимах работы, а также о мерах экстренной медицинской помощи (при необходимости).
Что касается безопасности обслуживающего персонала, аналогичные документы должны содержать специальную информацию об обращении с электронным оборудованием и/или металлическими предметами в ЗОНЕ КОНТРОЛИРУЕМОГО ДОСТУПА, а также об использовании криогенных жидкостей и газов, если в МАГНИТНО-РЕЗОНАНСНОМ ОБОРУДОВАНИИ используется сверхпроводящий магнит.
МАГНИТНО-РЕЗОНАНСНОЕ ОБСЛЕДОВАНИЕ создает постоянное магнитное поле, градиентное переменное магнитное поле и высокочастотное электромагнитное поле
[1],
[2]. Постоянное магнитное поле может производить сильное механическое воздействие (сила втягивания и/или вращающий момент) на предметы из ферромагнитных материалов. Градиентное переменное магнитное поле и высокочастотное электромагнитное поле по закону электромагнитной индукции возбуждают электрические поля, которые могут нагревать металлические предметы и биоткани вследствие протекания по ним вихревых токов и, самое главное, создавать электромагнитные помехи работе различных электронных устройств, в том числе кардиостимуляторов. Понятно, что степень нагрева биотканей и расположенных в теле человека металлических предметов зависит от времени и интенсивности воздействия.
Инородные тела могут также ухудшать характеристики МАГНИТНО-РЕЗОНАНСНОГО ОБОРУДОВАНИЯ. Металлические предметы, поглощая часть энергии переменного магнитного и высокочастотного электромагнитного полей, искажают эти поля и влияют на работу генераторов. Кроме того, ферромагнитные массы искажают однородность постоянного (основного) магнитного поля.
Поэтому считается, что МАГНИТНО-РЕЗОНАНСНОЕ ОБСЛЕДОВАНИЕ противопоказано ПАЦИЕНТАМ с металлическими имплантатами или имплантатами с электрическим, магнитным и механическим управлением (например, кардиостимуляторами), а также ПАЦИЕНТАМ, которые подключены к наружным системам жизнеобеспечения с электрическим, магнитным и механическим управлением.
Сканирование противопоказано ПАЦИЕНТАМ с зажимами для лечения внутричерепной аневризмы, если врач считает, что зажим выполнен из металлов.
Особые предосторожности при отборе ПАЦИЕНТОВ для МАГНИТНО-РЕЗОНАНСНОГО ОБСЛЕДОВАНИЯ требуются в следующих случаях:
- если ПАЦИЕНТУ имплантированы хирургические (гемостатические) зажимы или другие изделия из металлов, и особенно из ферромагнетиков;
- если в тело ПАЦИЕНТА в силу его профессии или вида деятельности или по другим причинам мог случайно попасть ферромагнитный или другой металлический предмет;
- если речь идет о новорожденных или младенцах (для которых при времени, необходимом для сбора данных, не обеспечивается требуемая безопасность);
- если у ПАЦИЕНТА имеется постоянно нанесенный макияж в области глаз или грим на лице (может возникнуть сильное раздражение век);
- если у ПАЦИЕНТОВ недостаточно эффективно работает система терморегулирования (например, у новорожденных, младенцев, родившихся с недостаточной массой, некоторых онкологических больных);
- если ПАЦИЕНТУ имплантирован протез сердечного клапана;
- беременность: степень безопасности МАГНИТНО-РЕЗОНАНСНОГО ОБСЛЕДОВАНИЯ для эмбриона и утробного плода окончательно не установлена. В каждом конкретном случае требуется квалифицированная оценка (с учетом альтернативных решений) опытного специалиста, превышает ли значимость этого исследования ожидаемую степень риска.
Особые меры предосторожности при проведении обследования с точки зрения необходимости медицинского контроля принимаются в следующих случаях:
- если у ПАЦИЕНТА повышенная вероятность остановки сердца;
- если у ПАЦИЕНТА возможно развитие приступов или реакций клаустрофобии;
- в отношении ПАЦИЕНТОВ, страдающих сердечной недостаточностью, лихорадочными состояниями и недостаточным потоотделением;
- в отношении ПАЦИЕНТОВ, находящихся в бессознательном состоянии, с неуравновешенной психикой, пребывающих в сильном эмоциональном расстройстве, а также больных, с которыми нет возможности поддерживать общение;
- если обследования проводятся в помещении, где температура воздуха превышает 24 °C, а относительная влажность более 60%.
Необходимо уделить внимание безопасности ПАЦИЕНТОВ, нуждающихся в экстренной медицинской помощи. Ответственность за обеспечение этой помощи несет ПОЛЬЗОВАТЕЛЬ. ИЗГОТОВИТЕЛЬ может оказать ему содействие с помощью следующих рекомендаций:
- по быстрому выведению ПАЦИЕНТОВ из-под действия магнитного поля (при необходимости, путем аварийного выключения магнита);
- по разработке плана лечения ПАЦИЕНТА, которому требуется экстренная медицинская помощь, после выведения его из-под действия поля (поскольку вблизи магнита невозможно безопасное и эффективное использование электронных приборов и металлического оборудования).
В течение МАГНИТНО-РЕЗОНАНСНОГО ОБСЛЕДОВАНИЯ должна постоянно поддерживаться связь с ПАЦИЕНТОМ или должен обеспечиваться его мониторинг, если ПАЦИЕНТ находится под наркозом.
Некоторые из ПАЦИЕНТОВ могут испытывать реакции клаустрофобии, что должно стать предметом обсуждения с ним перед началом МАГНИТНО-РЕЗОНАНСНОГО ОБСЛЕДОВАНИЯ.
Нормативы для защиты против потери слуха от постоянного воздействия, вызванного долгосрочным профессиональным воздействием. Широко принятый предел - 90 дБ (
А) составлял в среднем более чем 8 ч в день. Для воздействий меньше чем 8 ч в день предел может быть увеличен на 3 дБ в 2 раза меньшей продолжительности. Кроме того, в некоторых странах установлено, что при ежедневных уровнях воздействия выше 85 дБ (
А) должны быть приняты соответствующие меры
[3],
[4]. Этот стандарт требует, чтобы ИНСТРУКЦИИ ПО ЭКСПЛУАТАЦИИ указали наличие защиты слуха ПАЦИЕНТА, когда МР-ОБОРУДОВАНИЕ способно создавать интенсивный шум. Шумовой уровень, выше которого применяется это требование, получен из числа 85 дБ (
А), как изложено выше. Используемая коррекция: +9 дБ применена, потому что продолжительность воздействия составляет только 1 ч; +5 дБ применена, потому что воздействие применено однократно, а не ежедневно. Вторая коррекция может быть введена по сравнению с замечанием Крайтер
[5], которое устанавливает, что разумно предположить, что постоянное изменение акустического порога в профессиональных воздействиях, пропорционально полной шумовой энергии по всему диапазону. Совокупность уровней звуков, выше которых требуется защита слуха для ПАЦИЕНТА:
85 дБ (А) + 9 дБ + 5 дБ = 99 дБ (А).
Требование важно, потому что современное МР-ОБОРУДОВАНИЕ может произвести шум, воздействующий на ПАЦИЕНТА, уровень которого намного выше, чем 99 дБ (А). Жюри и др.
[6] недавно сделали сообщение о значениях уровней до 115 дБ (А). МР-ОБОРУДОВАНИЕ может произвести шумы с широким спектром частот, сосредоточенным приблизительно около частоты 1 кГц
[7]. Однако, параметры мощных ГРАДИЕНТНЫХ БЛОКОВ в новом МР-ОБОРУДОВАНИИ могут привести к более высоким уровням шума так же как более высоким частотам
[8] (см. также
пункт 26). Ослабление уровня шума от использования прикладной защиты слуха (манжеты уха или заглушки для ушей) обычно находится в пределах от 25 до 30 дБ для 2 кГц. Случайное оптимальное использование или отсутствие защиты слуха не является острой проблемой безопасности для большинства ПАЦИЕНТОВ
[9]. Продолжительность типичного воздействия будет менее 1 ч, и типичный уровень шума в большинстве сканеров - менее (5 - 10 дБ) максимального значения, которое способно произвести МР-ОБОРУДОВАНИЕ. Однако что-то может быть неправильным в МР-ОБОРУДОВАНИИ, которое может произвести очень высокие уровни шума. Кроме того, должна быть принята во внимание ситуация, в которой ПАЦИЕНТУ дают анестезию. В этом случае слуховое восприятие может быть неэффективным или намного менее эффективным, чем для ПАЦИЕНТОВ в обычном состоянии сознания, из-за расслабляющего влияния наркотиков на мускулы среднего уха
[10]. В ИНСТРУКЦИИ ПО ЭКСПЛУАТАЦИИ должна быть подчеркнута необходимость осторожного использования защиты уха, особенно в вышеописанной ситуации.
| | ИС МЕГАНОРМ: примечание. В официальном тексте документа, видимо, допущена опечатка: пояснение к подпункту 6.8.2, перечислению jj) отсутствует. | |
ОБЛАСТЬ КОНТРОЛИРУЕМОГО ДОСТУПА должна быть оборудована соответствующими предупредительными знаками, маркировкой, барьерами и т.д. в целях обеспечения контроля за воздействием сильных магнитных полей на лиц с медицинскими имплантатами и для предотвращения попадания в зону магнита предметов из ферромагнитных материалов [см. также пояснения к подпунктами 6.8.2, перечисление jj), и
6.8.3, перечисление bb)].
1) Сила притяжения и вращающий момент ферромагнитных материалов.
Примечание - Настоящее перечисление относится к зонам внутри ОБЛАСТИ КОНТРОЛИРУЕМОГО ДОСТУПА.
Все магниты окружены магнитными полями рассеяния. Основным требованием безопасности является создание управляющих и физических преград для предотвращения случайного втягивания ферромагнитного тела внутрь исследуемой рабочей области. Кроме того, ферромагнитные тела даже незначительных размеров, попавшие по любой причине в рабочую область магнита, искажают постоянное (основное) магнитное поле очень высокой однородности, что может привести к искажению либо полной потере изображения. Поэтому должны быть предприняты меры для предотвращения случайного попадания этих тел в рабочую область магнита.
Потенциальную опасность для ПАЦИЕНТА могут представлять следующие ситуации, вызванные взаимодействием между ферромагнитными материалами и магнитным полем:
- ферромагнитный зажим или осколок в теле ПАЦИЕНТА, перемещаясь или поворачиваясь, может повредить окружающие ткани;
- внешний незакрепленный предмет из ферромагнитного материала, притянутый магнитом, может травмировать ПАЦИЕНТА;
- большая ферромагнитная масса, втягиваясь внутрь магнита, может затянуть ПАЦИЕНТА, который окажется между ней и магнитом.
Сила притяжения и/или вращающий момент, действующие на ферромагнитное тело в магнитном поле, тем больше, чем больше магнитная индукция поля и его градиент (неоднородность), магнитная восприимчивость вещества, из которого состоит тело, его масса. Механические эффекты зависят также от формы и размеров предмета. Аналогично, вращающий момент, действующий на тело в магнитном поле, зависит от тех же значений. Эти эффекты также могут проявляться в отсутствии какой-либо притягивающей силы в практически постоянном магнитном поле. Тело всегда будет испытывать вращающий момент соответственно линиям магнитного поля, тогда как сила притяжения будет воздействовать только в неоднородном магнитном поле. Силы, воздействующие на тело, зависят от магнитной природы и пространственной скорости изменения поля, поэтому полезно установить необходимые предупреждения пределов значений поля, чтобы упростить измерения в постоянном поле. Заметным образом эти эффекты проявляются при магнитной индукции поля, превышающей 3 мТл.
В МАГНИТНО-РЕЗОНАНСНОМ ОБОРУДОВАНИИ используют магниты следующих основных типов:
- сверхпроводящий магнит;
- резистивный магнит;
- постоянный магнит.
Магнит с самоэкранированием значительно отличается от магнита без самоэкранирования распределением магнитного поля рассеяния. Сверхпроводящие магниты без самоэкранирования и резистивные магниты с воздушным сердечником соленоида стремятся иметь то же распределение магнитного поля рассеяния, кроме значений интенсивности.
Магниты различных типов могут быть классифицированы в зависимости от притяжения ферромагнитных материалов:
Магниты без самоэкранирования
Магнит этого типа имеет самое протяженное поле рассеяния и, кроме того, создает широкую зону риска. Так как скорость изменения поля низкая, возникающие значения сил будут меньше. Из-за более низкого магнитного поля резистивные магниты имеют пропорционально меньшую область риска, чем у сверхпроводящего магнита.
Магниты с самоэкранированием
Магнитные поля рассеяния нестрогие и, кроме того, зона риска ограничена. Однако из-за значительного градиента поля максимальные значения сил притяжения, создаваемые магнитом этого типа, больше, чем у магнитов без самоэкранирования.
Постоянные магниты
Область поля рассеяния более всего ограничена, и, как результат, самая маленькая зона риска. Однако градиент поля имеет большее значение. Следовательно, имеется опасность притяжения ферромагнитных материалов в зону магнита, даже при малой интенсивности поля рассеяния. В дополнение, постоянные магниты практически не могут быть размагничены, тогда как магниты других типов могут быть размагничены при отсутствии энергии.
2) Воздействие постоянного магнитного поля на другие приборы.
Использование предупредительных знаков и установление ОБЛАСТИ КОНТРОЛИРУЕМОГО ДОСТУПА необходимы, чтобы исключить возможность воздействия магнитного поля на лиц с имплантатами. Обычно магнитное поле с индукцией менее 0,5 мТл не считается потенциальным источником помехи, например, для кардиостимуляторов
[11]. Европейский стандарт EN 50061
[12] отражает этот факт установлением порога в 1 мТл.
На различные электронные устройства, которые могут находиться в лечебном учреждении (например, рентгеновские трубки, электронно-лучевые трубки, сцинтилляционные камеры, фотоумножители, УСИЛИТЕЛИ РЕНТГЕНОВСКОГО ИЗОБРАЖЕНИЯ), могут оказывать влияние магнитные поля с индукцией от 0,1 до 5 мТл. При монтаже МАГНИТНО-РЕЗОНАНСНОГО ОБОРУДОВАНИЯ в местах, где магнитное поле рассеяния может воздействовать на указанное выше оборудование, потребуется установка защитных экранов, которые к тому же ограничат посещение ОБЛАСТИ КОНТРОЛИРУЕМОГО ДОСТУПА. Следует упомянуть такие виды электронных приборов, как телевизионные системы, видеотерминалы, оборудование для хранения информации на магнитных носителях, которые получают все более широкое распространение в лечебных учреждениях.
Современные электроэнцефалографы и электрокардиографы, как правило, достаточно помехоустойчивы и могут использоваться вблизи МАГНИТНО-РЕЗОНАНСНОГО ОБОРУДОВАНИЯ, но компьютерные системы, использующие магнитные средства накопления информации, могут иметь ограничения по их месторасположению. Для стирания информации на магнитных носителях, таких как кредитные карты или магнитные ленты, требуется достаточно низкое постоянное поле. Сообщается о порогах ниже 20 мТл.
Так как на выход фотоумножителей влияют значение и ориентация магнитного поля, устройства, работа которых особенно зависит от фотоумножителей (например, принадлежащие к сцинтилляционной камере компьютерных томографических систем), могут попадать под влияние низких магнитных полей. Выходные устройства или некоторые фотоумножители могут иметь защиту от воздействия магнитного поля, но защита от магнитного поля больших отверстий в сцинтилляционной камере затруднена по различным причинам.
Электроэнцефалографы и электрокардиографы могут использоваться вблизи МР-ОБОРУДОВАНИЯ, в первую очередь особенно чувствительные к переменным магнитным полям и далее - относительно нечувствительные. Однако, количественное значение должно быть обеспечено ИЗГОТОВИТЕЛЕМ электроэнцефалографов и электрокардиографов.
1) Обращение с жидкими азотом и гелием
a) Свойства криогенных жидкостей:
- при попадании на открытые участки тела могут вызвать глубокое обморожение (см.
пункт 2);
- не имеют запаха;
- непожароопасны;
- нетоксичны;
- испарившийся гелий легче воздуха;
- при испарении конденсируют влагу из воздуха и образуют холодный туман, который может распространяться вокруг. Туман, образованный испаряющимся азотом, быстро опускается к полу.
При комнатной температуре 20 °C 1 л жидкого гелия при испарении образует примерно 750 л газообразного гелия, а 1 л жидкого азота примерно 700 л газообразного азота.
b) Опасности, связанные с криогенными жидкостями
При неправильном обращении с жидкими азотом и гелием могут возникнуть опасности:
- обморожения;
- удушья;
- конденсации кислорода.
Опасность обморожения
При обращении с жидкими азотом и гелием следует избегать попадания этих жидкостей на открытые участки тела, особо следует беречь глаза.
Удушье
Утечка газообразного азота или гелия в закрытом помещении приводит к вытеснению кислорода из воздуха. Уменьшение концентрации кислорода до 17% - 18% и ниже может вызвать удушье. Поэтому работа с этими хладагентами разрешается только в хорошо вентилируемых помещениях, транспортирование сосудов с жидкими азотом и гелием в лифтах разрешено только при условии, что они хорошо проветриваются.
Если облако азота или гелия попадает в помещение для проведения исследований, рекомендуется немедленно эвакуировать из него людей. Последующий вход в это помещение должен быть разрешен только после соответствующей проверки, которая покажет, что содержание кислорода в воздухе достаточно высоко.
Конденсация кислорода
Температура поверхности сосудов с жидкими азотом и гелием в случае аварийного ухудшения теплоизоляции может стать крайне низкой, что вызовет конденсацию на них кислорода или обогащение кислородом воздуха вблизи сосудов. Это повышает опасность возникновения пожара. Если рядом с этими сосудами находится смазка, масло или другой горючий материал, утечка или аварийное испарение криогенных жидкостей и связанное с этим глубокое охлаждение поверхностей сосудов могут привести к образованию потенциально горючей смеси в результате ожижения воздуха и повышения концентрации кислорода.
c) Защитная одежда
При выполнении любых работ с жидкими азотом и гелием персонал должен быть снабжен средствами индивидуальной защиты. Они включают в себя:
- защитные рукавицы (ни в коем случае не перчатки);
- защитный козырек для лица;
- лабораторные халаты (из хлопка или льна);
- защитную обувь.
2) Переход в нормальное состояние КВЕНЧ
Переход сверхпроводящей обмотки с текущим по ней электрическим током в нормальное состояние является аварийной ситуацией, которая может возникнуть либо при недостаточном охлаждении обмотки (например, из-за понижения уровня жидкого гелия в криостате ниже предельно допустимого), либо из-за вызванного какой-либо причиной увеличения силы тока выше установленной.
При переходе сверхпроводящего магнита в нормальное состояние энергия магнитного поля преобразуется в тепловую, что приводит к быстрому выкипанию жидкого гелия. При этом за несколько минут может образоваться от 104 до 106 л газообразного гелия очень низкой температуры, что сопровождается следующими явлениями:
- образованием в зоне, примыкающей к магниту, плотного тумана и даже выпадением снега вследствие конденсации и переохлаждения паров воды из воздуха;
- глубоким охлаждением объектов вблизи магнита, что может вызвать обморожение при прикосновении к ним;
- вытеснением кислорода воздуха газообразным гелием, снижением концентрации кислорода вплоть до уровней, не совместимых с жизнью.
3) Заливка жидкого гелия
Для поддержания нормального уровня жидкого гелия в криостате с целью предотвращения перехода сверхпроводящего магнита в нормальное состояние необходимо регулярно добавлять в криостат жидкие азот и гелий. При проведении этих операций необходимо учитывать опасности и принимать меры предосторожности, описанные выше. От 10% до 30% жидкого гелия может переходить в газообразное состояние при проведении нормальной процедуры заливки.
Постоянные магнитные поля, используемые в МР-ОБОРУДОВАНИИ, имеют значения приблизительно от 0,02 до 3,0 Тл. Экспериментальные единицы в настоящее время располагаются в пределах до 10 Тл. В то время как постоянные магниты и магниты, имеющие сопротивление, используются в некотором МР-ОБОРУДОВАНИИ, наибольшее коммерческое использование имеет МР-ОБОРУДОВАНИЕ со сверхпроводящим магнитом.
В сверхпроводящем магните постоянное поле параллельно длинной оси тела. В некотором МР-ОБОРУДОВАНИИ, снабженном МАГНИТНЫМ ПОЛЕМ, направление постоянного магнитного поля перпендикулярно к длинной оси ПАЦИЕНТА.
Магнитное поле, которому обычно подвергается ПАЦИЕНТ, ограничивается операционной полевой силой магнита. В техническом листе спецификации в соответствии с требованиями ИЗГОТОВИТЕЛЯ по
6.8.3, перечисление bb), может быть отмечено, что для некоторых магнитов выходное поле магнита бывает выше, чем рабочее поле магнита.
В некоторых случаях работы ОПЕРАТОР может подвергаться воздействию постоянного магнитного поля МР-ОБОРУДОВАНИЯ, в частности магнитного поля рассеяния. Влияние на ОПЕРАТОРА переменного поля будет чрезвычайно незначительным вне МР-ОБОРУДОВАНИЯ. Нет никакого экспериментального или теоретического основания для совокупных биологических эффектов на людей, подвергающихся воздействию постоянных или переменных магнитных полей.
Потенциальные механизмы для биоэффектов
Сила, вращающий момент и проходимость
Возможно, самый существенный механизм для МР биоэффекта - ракетная опасность. Ферромагнитные объекты испытывают переводные силы, которые притягивают их к высоким областям магнитного поля в магните
[15]. Эта сила зависит от продукта постоянной силы магнитного поля и пространственного градиента силы магнитного поля. Огражденные магниты низкой области в определенных пространственных местоположениях могут произвести большие магнитные градиенты, чем высокая область неэкранированного магнита
[16]. Результат состоит в том, что такие огражденные низко-полевые магниты могут проявить большие силы на ферромагнитных объектах, чем даже неэкранированные высоко-полевые магниты в определенных местоположениях
[16]. Ракетная опасность требует обучения персонала.
Диамагнитные объекты испытывают переводные силы, притягивающие их к низким областям магнитного поля далеко от магнита
[15],
[17],
[18]. Вода является слабо диамагнитной. Уено и Ивасака
[17],
[18], показали, что в поле 8 Тл малого магнита вода может испытать силу до 30% силы гравитации. Эта сила заставляет воду отделяться в однородной полевой области магнита. В первом приближении, сверхпроводимость соленоидов магнитов, используемых в МР-ОБОРУДОВАНИИ, может быть принята как пара Гельмгольца. Предполагают, что пара Гельмгольца имеет радиус
R и что постоянное магнитное поле в центре пары катушки является
B0. Рассматривают объект, восприимчивость которого

, плотность -

. Ускорение гравитации будет
g, проходимость свободного места будет

и
z - ось пары Гельмгольца. Максимальное ускорение
a (нормализованное к ускорению), которое объект должен испытать в магнитном поле пары Гельмгольца радиусом
R, может быть выражено как

. (BB.1)
Можно показать, что пиковая сила от катушки Гельмгольца равняется
z/
R = 0,787 (при принятии, что центр пары соответствует
z = 0). Уено сообщил, что максимальный продукт силы

его малой системы был 400 T
2/м в
z = 75 мм. При применении модели Гельмгольца радиус пары Гельмгольца должен быть
R = z/0,787 = 0,075/0,787 = 0,095 и максимальный продукт силы -

(меньше чем 4,7% несоответствия).
Эффект "Моисея" Уено был соблюден в небольшом (0,05 м), 8 Тл магните.
Уравнение (BB.1) показывает, что вода, которая является диамагнетиком (

и плотность = 1000 кг/м
3), испытает ускорение приблизительно 30% гравитационного ускорения.
Уено также нашел другие тонкие биологические эффекты
[19], связанные с силой, произведенной магнитом.
Уравнение (BB.1) предсказывает, что сила (и, по-видимому, биологические эффекты) от магнитов, подобных магнитам Гельмгольца (магниты типа соленоид), зависит от квадрата силы магнитного поля и обратно пропорциональна радиусу эффективной пары Гельмгольца. Принимающие МАГНИТЫ ВСЕГО ТЕЛА имеют Гельмгольц-эквивалентный радиус 1 м, в то время как продукт силы МАГНИТА ВСЕГО ТЕЛА с 4 Тл - только 4% магнита Уено. Так, в МАГНИТЕ ВСЕГО ТЕЛА с 4 Тл вода должна испытать ускорение приблизительно 1% гравитации.
Очень косвенный, но важный механизм биоэффекта связан с ферромагнитными объектами, включающими в себя кардиостимуляторы. Кардиостимуляторы могут иметь ферромагнитные реле выключателей, которые приводятся в действие магнитными полями в несколько гаусс
[16]. Определенные процессы, шунты, винты и другие имплантаты могут испытывать воздействие силы в постоянном магнитном поле. Необходимо предусмотреть необходимые меры, чтобы гарантировать безопасность таких ПАЦИЕНТОВ. Перед извлечением ферромагнитных объектов должен быть идентифицирован другой косвенный, потенциальный механизм опасности. Этот потенциальный механизм опасности включает в себя тенденцию насыщения магнитных ядер в трансформаторах и некоторых проводниках в присутствии высоких постоянных полей. Оборудование, содержащее такие магнитные ядра, может быть повреждено и прекратить функционирование. Если такое оборудование контролирует или поддерживает жизненно важные функции, то насыщенность магнитных ядер может вызвать существенные потенциальные риски для ПАЦИЕНТА.
Электрически проводящие объекты, в том числе с относительной проходимостью, близкой к единице, могут быть восприимчивыми к механическим силам демпфирования. Эти силы возникнут, если движение объектов сократится поперек магнитных линий силы. Потоки, произведенные в проводящих объектах, согласно закону Ленца
[20] произведут магнитные поля, которые направлены против постоянного магнитного поля и уменьшают движение. Скорости проводимости нерва, перемещающиеся ортогонально в постоянном магнитном поле, испытают силы Лоренца в ортогональных направлениях к постоянному полю и к векторам скорости. Этот механизм, эффект Холла, мог бы влиять на проводимость нерва
[21]. Постоянные магнитные поля могут влиять на время распространения потенциала действия вниз волокна нерва, изменяя пути проводимости и удельные сопротивления нерва
[21]. Тип изменения зависел бы от ориентации волокна нерва относительно постоянного магнитного поля и силы магнитного поля. Даже 10% изменений неполярных свойств нерва потребовали бы силы статического магнитного поля 24 Тл
[21].
Вызванные электрические поля
Заряженные носители, такие как поток крови, перемещающийся в постоянных магнитных полях, вызывают поперечные напряжения
[22]. Напряжения
V, вызванные магнетогидродинамическим эффектом, могут быть получены путем использования силы Лоренца
F. Эта сила, при разделении на элементарные заряды
q, выражает поперечные электрические поля. Если диаметр кровеносного сосуда
D, скорость кровотока

и

- угол между вектором скорости и статическим полем, то по закону Лоренца имеем (см.
рисунок BB.1)

. (BB.2)
Закон индукции Фарадея связывает вызванное напряжение со скоростью изменения потока через область A. Поток - интеграл точечного продукта силы магнитного поля B по области. В статических магнитных полях перпендикуляры области должны изменяться со временем t, в результате создаются вызванные напряжения V:

. (BB.3)
Дыхание, сердечные смещения и потоки крови могут вызвать создание электрического напряжения в теле. Одно из проявлений этих вызванных напряжений
(формула BB.1) - возвышение "
T" в части волны электрокардиограммы на высоких статических полевых уровнях
[23]. В течение систолы перемещающееся сердце и потоки крови вызывают напряжение тела близкое к амплитуде и рядом с временем сердечного цикла волны "
T"
[23]. Движение стенки грудной клетки в течение дыхания в статических магнитных полях вызовет маленькие напряжения в теле. Шенк
[24] связал головокружение, испытанное персоналом, работающим около высоких магнитных полей, с давлением, произведенным в полукруглых каналах внутреннего уха, вызванным движением электрических областей.
Низкоуровневые постоянные и динамические магнитные поля, связанные с линиями электропередачи, играют определенную роль в возникновении рака, эта проблема недавно приобрела большую гласность. Эпидемиологические исследования эффектов подвергания постоянных жителей воздействиям линий электропередач с током в 50 и 60 Гц показали наличие дополнительного риска возникновения заболеваний раком в детском возрасте
[25] -
[31]. Однако статистическое значение полученных данных было смешано. Приблизительно половина исследований взрослого населения, подвергающегося воздействиям линий электропередач, подтвердила эффекты воздействия. Вместе с тем, только одно исследование подтвердило статистическое воздействие. Другие исследования не показали никаких эффектов. Были проведены несколько исследований профессионального воздействия полями токов 50 - 60 Гц
[25],
[32] -
[36]. Снова результаты оказались смешанными и определены как статистическое значение. Эти исследования устанавливают, что миллигауссовские поля ниже, чем те, которые имеют естественное происхождение, вызывают биоэффекты. Количественно-интуитивная гипотеза и смешанные экспериментальные результаты недавно привели Бернхарда
[37] к выводу, что необходимы дополнительные исследования, чтобы разъяснить этот вопрос. Есть важные различия между подверганиями воздействий линий электропередач и подверганиями воздействий, с которыми сталкиваются в МР. Одно из различий - то, что МР магнитные поля являются статическими, в отличие от полей линии электропередачи с током 60 Гц. Другое отличие - отсутствие компонента электрического поля, связанного с МР постоянным магнитным полем. Предложенный механизм для биоэффектов любой дополнительной низкой частоты (ДНЧ) включает в себя резонанс циклотрона ионов кальция
[38]. Такой механизм предполагает как магнитное поле (которое может быть динамическим), так и ортогональное электрическое поле, изменяющееся в частоте резонанса циклотрона, возможно, кальция. Частота резонанса циклотрона для ионов кальция - 38,4 Гц/Гс. Земля имеет силу магнитного поля приблизительно 0,2 Гс частотой 0,5 Гц. Электрическое поле частотой 60 Гц потребовало бы ортогональное магнитное поле силой 1,56 Гс для резонанса циклотрона ионов кальция. Такая комбинация электрических и магнитных полей может произойти около линий электропередач. В магнитах 1,5 Тл ортогональное электрическое поле в 576 кГц требуется для резонанса циклотрона. Резонансная частота в МР-ОБОРУДОВАНИИ более чем в два раза превышает значение резонансной частоты циклотрона для кальция для того же самого магнита. Не присутствует никакого электрического поля около частоты резонанса циклотрона в МР-ОБОРУДОВАНИИ, так как используется электромагнитная защита. Эта защита ограждает окружающую среду от МР-сигналов и препятствует сигналам из окружающей среды ухудшить МР-изображения.
Другие предложенные механизмы для статических полей биоэффектов
Скорость химических реакций, равновесие и концентрации могли бы быть изменены, если бы некоторые или все реагенты или продукты имели магнитные моменты, которые значительно изменили бы термодинамику реакции
[16],
[17],
[24],
[39] -
[41]. Однако в полях до 4 Тл термодинамические составляющие должны быть незначительны
[24]. Были предложены другие возможные механизмы для биоэффектов постоянного магнитного поля, например туннельный эффект для протонов в ДНК из-за изменений в потенциальной высоте, вызванной статическим магнитным полем
[40]. Другие механизмы были обсуждены в обзорах
[16],
[24],
[37],
[40],
[42] -
[46].
Наблюдаемое постоянное поле биоэффектов
Экспериментальные исследования повышения
T-волны электрокардиограммы - единственное немеханическое постоянное поле биоэффектов, которое широко признано. Это распространяется на ПАЦИЕНТОВ, размещенных в статических полях, значением, по крайней мере, 0,3 Тл. Причина этого явления находится скорее в биологической сфере, чем в результате воздействия. Поток крови приводит к вызванному напряжению, которое приводит к выбросу
T-волны. Не обнаруживается никаких неблагоприятных эффектов; с ПАЦИЕНТА продолжают снимать электрокардиограмму нормального вида сразу после снятия воздействия магнитного поля
[16],
[23]. Отметим, что Джехенсон и др.
[71] также нашли 17% увеличение длины сердечного цикла после 10-минутного воздействия полем в 2 Тл. Длина сердечного цикла возвратилась к нормальной через 10 мин после воздействия и оставалась нормальной 22 ч спустя. Постоянные магнитные поля, используемые в МР-ОБСЛЕДОВАНИИ, не приводят к увеличениям температуры тела
[47], как было предложено
[48]. Кажется, нет никаких мутагенных эффектов
[16],
[42],
[49]. Однако Нарра и др.
[70] обнаружили, что простое 30-минутное воздействие на мышей полем в 1,5 Тл вызвало 15% сокращений, относящихся к сперме яичка на 16-й и 26-й дни после воздействия. Не обнаружено влияний на проводимость нерва и в латентный период
[50] -
[52]. Возбудимость нерва является или незатронутой
[50], или значительно увеличивалась
[51] высокими статическими магнитными полями. Многие из предложенных механизмов могут применяться в поле очень высокой силы, но, очевидно, они не вносят значительный вклад при постоянных магнитных полях ниже значения 2,0 Тл. Например, Аткинс показал
[53], что при нормальной температуре тела термодинамические рассмотрения требуют, чтобы значение статического поля было, по крайней мере, 10 Тл для возникновения существенных изменений в строении фермента. Виквсо и Барах показали
[20], что поля столь же высокие, как 24 Тл, оказывали бы только небольшое влияние на проводимость нерва. Недавно Киночи, Ямагучи и Тенфорд показали
[72], что статические поля значением 10 Тл не должны быть приняты во внимание с точки зрения напряжений, вызванных в аорте. Есть несколько в значительной степени неподтвержденных сообщений о биоэффектах постоянного магнитного поля. Потребление кислорода, как наблюдали, было несколько понижено в ячейках почки и печени эмбриона мыши в полях значением 0,7 Тл
[54]. Другое исследование, однако, не нашло никаких эффектов в поле 0,6 Тл
[55]. О противоречащих результатах сообщают относительно гематологии животных, на которых воздействовало в течение многих недель высокое статическое магнитное поле
[56] -
[58]. Есть несколько обзорных статей, которые исследуют эти области более глубоко
[16],
[24],
[37],
[40],
[42] -
[46]. Экспериментальная работа по статическим полям около 2 Тл была безрезультатной. Празад и др.
[66] воздействовали на яйца леопардовой лягушки полем 0,15 или 4,5 Тл и не обнаружили никаких различий в этих группах и группе, не подвергавшейся воздействию. Из этого они заключили, что магнитные поля до 4,5 Тл не оказывают влияния на раннее развитие. Шенк и др.
[67] обнаружили увеличения вероятности головокружения в поле 4 Тл по сравнению с 1,5 Тл у добровольцев. Кроме того, они нашли статистически существенное увеличение тошноты, металлического вкуса и других эффектов.
Рейлман, Клаво и Вох
[68] подвергали воздействию ячейки опухоли человека магнитным полем 7 Тл в течение 64 ч. Они нашли, что статическое поле уменьшало число жизнеспособных ячеек опухоли на 19% для меланомы, на 22% для карциномы яичников, и на 41% для лимфомы. Кроме того, они не нашли никакого свидетельства для изменений в циклах роста ячейки или в больших фрагментах ДНК. В другом исследовании Кроекер и др.
[69] не нашли никаких различий в шишковидном теле или уровне мелатонина в сыворотке крыс после воздействия полями 0,08 или 7 Тл.
Эпидемиологические исследования воздействия на человека высоким постоянным магнитным полем были сделаны в работах
[59] -
[63]. Данные относительно рабочих индустриальных предприятий, на которых воздействовали в течение их работы и постоянные, и низкочастотные магнитные поля до 0,1 Тл, содержат много субъективных наблюдений (например, головные боли, боли в груди, головокружение)
[62],
[63]. Эти исследования также испытывали недостаток в адекватных средствах контроля из-за усложняющих факторов, таких как наличие химикатов на рабочем месте. В отличие от вышеупомянутого, исследования американских рабочих, которые работают с высокими магнитными полями, не показали никаких опасных эффектов в полях 0,5 Тл, как показано в работе
[59], и исследования в полях 2,0 Тл в
[60]. В то время как исследования в этой области должны быть продолжены, нет никакого свидетельства, что воздействия статическим магнитным полем меньше чем 2,0 Тл подвергают ПАЦИЕНТА опасности. Одна область беспокойства - опасны ли статические магнитные поля для будущих детей беременных работающих женщин, подвергающихся воздействию этих полей. Для доказательства абсолютной безопасности требуется бесконечное число экспериментов, в литературе до настоящего времени нет никакого свидетельства, что воздействие статическим магнитным полем является опасным. Недавний эпидемиологический обзор
[61] из МР-технологов в Соединенных Штатах не нашел никакой корреляции между воздействием высоким статическим магнитным полем и спонтанными абортами, бесплодием, низкой массой при рождении или преждевременными родами. Уено изучил эмбриональное развитие лягушек в поле 6,34 Тл и нашел, что быстрый раскол, умножение ячейки и дифференцирование были не затронуты
[48]. Кей также исследовала эмбриональное развитие лягушек в высоких статических полях и не нашла никаких неблагоприятных эффектов
[64]. МакРобби изучил беременных мышей в градиентных магнитных полях и не нашел никакого воздействующего эффектов на число помета или темп роста
[65].
Постоянные поля: Профессиональные требования безопасности
В
таблице BB.1 представлен список профессиональных требований безопасности. Он включает стандарты
[74] -
[77] Национального Радиологического Управления Защиты (NRPB), используемые в Великобритании, Американского Конгресса Правительства Индустриальных Гигиенистов (ACGIH), Национальной Лаборатории Лоренс Ливермор (LLNL) и Австралийской Лучевой Лаборатории (ARL). Все стандарты устанавливают требования безопасности к "дозам" постоянного магнитного поля, находящимся в пределах 200 или 60 мТл. Принятие этих пределов относится к 8-часовому рабочему дню при 0,5 Тл; только один час в день может быть проведен в поле уровнем 60 мТл. Научное основание для таких пределов дозы постоянного магнитного поля отсутствует. Есть ссылка
[78] о среднем квадрате (r.m.s) напряжения ниже 1 милливольта. Очевидно, что кровяное давление может значительно подниматься в высоких статических полях, что ведет к ограничению продолжительности воздействия постоянных магнитных полей. Это будет рассмотрено в следующем разделе и, как оказалось, это беспокойство было не обосновано
[79]. Однако профессиональные требования к воздействиям постоянного магнитного поля на основе дозы сохраняются. В будущем требования стандартов к воздействиям постоянных магнитных полей от МР могут быть обновлены.
Таблица BB.1
Профессиональные требования к постоянному полю
Источник | Среднее время для всего тела (8 ч) | Максимум для всего тела | Среднее время для конечностей (8 ч) | Максимум для конечностей |
Международная Комиссия по Защите Неатомной радиации (ICNIRP) | 200 мТл | 2 Тл | - | 5 Тл |
Национальное Радиологическое Правление Защиты (NRPB) (Великобритания) | 200 мТл | 2 Тл | 200 мТл | 4 Тл |
Американский Конгресс Правительства Индустриальных Гигиенистов (ACGIH) | 60 мТл | 2 Тл | 600 мТл | 2 Тл |
Национальная Лаборатория Лоренс Ливермор (LLNL) | 60 мТл | 2 Тл | 600 мТл | 2 Тл |
Австралийская Лучевая Лаборатория (ARL) | 60 мТл | 5 Тл | 200 мТл | 10 Тл |
Постоянные поля: механизмы для профессиональных проблем
Как было обсуждено выше, в присутствии постоянных магнитных полей ферромагнитные материалы могут испытывать переводные силы к областям более высокой силы магнитного поля
[24]. Ферромагнитные объекты могут также испытывать вращающий момент, имеющий тенденцию выравнивать их магнитные моменты к постоянному магнитному полю
[24]. При перемещении электрически проводящие объекты могут испытывать силы и вращающие моменты в постоянных магнитных полях по закону Ленца
[24].
Потенциалы потока
[22] могут быть вызваны в проводящих жидкостях (таких как кровь), перемещающихся через статические магнитные поля. Вызванные потоком потенциалы являются причиной возникновения артефактов, зарегистрированных на электрокардиограмме (ЭКГ)
[23]. Быстрое движение головы может создать напряжение в полукруглых каналах внутреннего уха, превышающее порог восприятия головокружения
[24]. Теоретические предсказания повышения кровяного давления, вызванного потоком, очевидно, влияли на профессиональные требования безопасности. Однако значение этого эффекта оказывается чрезвычайно малым
[79].
Поток, вызванный потенциалом электрического поля, может произвести увеличение 7-волны на электрокардиограммах. Эти электрические поля
E могут быть получены из уравнения (BB.4) (см.
рисунок BB.1)

. (BB.4)
Это электрическое поле ортогонально плоскости, содержащей вектор скорости потока и постоянного магнитного поля. Самая высокая скорость потока совпадает по времени с
T-волной на электрокардиограмме. Например, пиковая скорость крови - 0,6 м/с
[40], поток и постоянное поле образуют угол 30°, и диаметр артерии равен 0,02 м, тогда вызванное напряжение - 9 мВ. Сравнивают этот результат с типичной электрокардиограммой амплитуды волны
R на 10 мВ. Получающиеся
T-выпуклости исчезают с постоянным магнитным полем.
T-выпуклости, предполагают, не имеют никакого биологического значения. Однако нет никаких угроз безопасности, по крайней мере, в полях до 7 Тл. Отмечено, что в более высоких полях МР-ОБОРУДОВАНИЯ ПАЦИЕНТА необходимо расположить параллельно постоянному магнитному полю. В аорте могут возникнуть пиковые скорости кровотока
[80]. Принимая во внимание, что аорта выровнена по линиям постоянного магнитного поля, следует, что для типичного МР-ОБОРУДОВАНИЯ вызванное электрическое поле должно быть малым. Затем рассматривают представителя персонала, стоящего в промежутке магнита. Для этого случая

приблизительно равен 90°, и вызванное электрическое поле увеличивается. Реилли
[81] оценил, что электрическое поле в 6,2 В/м необходимо, чтобы произвести сердечное возбуждение в самой чувствительной популяции в течение времени ската градиента значительно больше 3 мс. В течение времени ската градиента 600 мс (более типичного для МР-ОБОРУДОВАНИЯ) сердечное возбуждение в самых чувствительных популяциях повышается приблизительно до 31 В/м. Сердечное возбуждение в самой чувствительной популяции требует, чтобы постоянные магнитные поля были, по крайней мере, 10 Тл (время ската значительно больше 3 мс, но более типично приблизительно 52 Тл в течение времени ската 600 мс).
Было бы разумно провести экспериментальные исследования безопасности сердца перед созданием открытых магнитов для МР-ОБОРУДОВАНИЯ с чрезвычайно высокими полями.
Кровоток тормозной силы:

;
E, минимизированный для оси ПАЦИЕНТА по Z;
1% сердечное возбуждение - 6,2 В/м.
Тормозные силы:

- незначащий
BP
эффект Келтнера и др.
[79]
Рисунок BB.1 - Постоянное магнитное поле: потенциалы потока
Кровь, текущая в статическом магнитном поле, производит потенциал потока, пропорциональный скорости, статическому магнитному полю и углу между ними. Тормозная сила, направленная против кровотока, также создается, но ее величина является физиологически незначащей, по крайней мере, до 5 Тл.
Вызванное электрическое поле создаст поток заряженных частиц по электрическому полю. Эти заряженные частицы, перемещающиеся ортогонально в магнитном поле, испытывают силу, которая направлена против кровотока
[22] (см.
рисунок BB.1). Очевидно, эта сила, как предполагали, могла бы привести к увеличению кровяного давления. Однако, Кейтли и др.
[79] показал как теоретически, так и экспериментально, что этот эффект не представляет никакого интереса.
Появляется небольшое количество свидетельств о вредных эффектах от воздействия статического магнитного поля (экспериментально до 7 Тл в этом обзоре). Теоретически проблемы начинают возникать при полях 10 Тл. Были изданы обзоры об эффектах воздействия сильных статических магнитных полей
[82]. Эти и другие обзоры и данные принудили американское Управление по санитарному надзору за качеством пищевых продуктов и медикаментов полагать, что статические области ниже 4 Тл не являются причиной значительного риска
[73].
Следует принять меры предосторожности при отборе приборов для наблюдения за физиологическим состоянием ПАЦИЕНТА и принадлежностей к ним. Они должны быть специально приспособлены для работы с МАГНИТНО-РЕЗОНАНСНЫМ ОБОРУДОВАНИЕМ (например, кабели для ЭКГ должны иметь высокое электрическое сопротивление). Изделия из электропроводящих материалов, за исключением тех, которые должны иметь непосредственный контакт с телом ПАЦИЕНТА по предназначению (например, электроды для ЭКГ), должны быть электрически изолированы от ПАЦИЕНТА. Кроме того, если эти изделия могут соприкасаться с ПАЦИЕНТОМ, они должны быть снабжены теплоизоляцией. ИЗГОТОВИТЕЛИ приборов должны предоставить инструкцию по размещению проводов и кабелей, находящихся вблизи ПАЦИЕНТА (например, во избежание образования замкнутых петель). Эти меры должны снизить индукционные наводки от высокочастотных катушек, которые могут явиться причиной получения ПАЦИЕНТАМИ ожогов, а также внести дополнительные погрешности в показания приборов.
В дополнение к информации, указанной в
перечислении cc) 6.8.2 на процедурах скорой медицинской помощи и
перечислении ff) 6.8.2 на жидких и газообразных криогенах, этот пункт обеспечивает информацию, подходящую для данного критического положения, когда газ гелий покидает магнит и распространяется в помещении обследования или других смежных помещениях в течение КВЕНЧ. Эта ситуация может присутствовать, когда вентильная система сверхпроводящего магнита не срабатывает частично или полностью в течение КВЕНЧ магнита. В этом случае может возникнуть риск опасности для вовлеченного персонала. Полезно обеспечить ОПЕРАТОРА информацией для установления чрезвычайного плана действий, приспособленных к местным требованиям. В то время как КВЕНЧ является редким случаем, дополнительный отказ вентильной системы магнита еще более маловероятен. Хотя тысячи МР-СИСТЕМ находятся в работе, было только несколько сообщений относительно несчастных случаев, повлекших телесные повреждения при возникновении КВЕНЧ. Однако ИЗГОТОВИТЕЛИ обязаны указывать потенциальную опасность объединенного случая и обеспечивать информацию, подходящую для этого типа критического положения. Отметим, что информация покрывает очень маловероятный, но все же возможно серьезный случай работы со сбоями вентильной системы во время КВЕНЧ сверхпроводящего магнита.
Что такое КВЕНЧ? В течение КВЕНЧ магнит теряет свою сверхпроводимость. Магнитное поле сползает вниз в течение секунд - обычно длительность сползания составляет приблизительно 20 с.
Магнит начинает нагреваться. Жидкий гелий выпаривается со скоростью 500 - 1500 л в течение нескольких минут и быстро расширяется. Точное значение скорости выпарки зависит как от уровня заполнения, так и от силы поля магнита. Магнит в 3 Тл может иметь более высокую скорость выпарки, чем магнит в 1,5 Тл. Один литр жидкого гелия переходит приблизительно в 700 л газообразного гелия. При максимальных условиях это означает приблизительно 1000 м3 газа. Ручное управление КВЕНЧ может быть начато путем активации устройства закрытия критического состояния поля. Другой источник для КВЕНЧ - случай, когда уровень заполнения гелия уменьшается до значения, при котором магнит начинает нагреваться. В редких случаях спонтанный КВЕНЧ может наблюдаться при отсутствии объяснимых очевидных причин. Шипение или свистящие шумы, вызванные быстро убегающим потоком холодного газа гелия, могут сопровождать КВЕНЧ. Белый туман снижается к полу главным образом от верхней части магнита от близости линии КВЕНЧ из-за конденсации водяного пара и воздуха. Поток газа гелия уменьшается в течение минут. Воздух около неизолированных компонентов магнита и линии КВЕНЧ конденсируется, превращаясь в воду, и капает на пол.
Риски, связанные с повреждением вентильной системы
Цель вентильной системы сверхпроводящего магнита состоит в том, чтобы надежно выкачать газообразный гелий наружу. Главный элемент этой системы - трубопровод, который разработан, чтобы транспортировать убегающий газ гелия в безопасную открытую область. Возможность возникновения КВЕНЧ должна быть учтена как при проектировании магнита, так и вентильной системы сверхпроводящего магнита. В результате КВЕНЧ должен быть полностью безопасным для персонала. Кроме того, ни магнит, ни МР-устройства также не должны быть повреждены в течение КВЕНЧ. Чрезвычайная ситуация возникнет, если вентильная система КВЕНЧ не работает. Гелий легче воздуха, неядовитый и невоспламеняющийся. Однако, так как гелий замещает кислород, существует риск удушья. Криогенный гелий, убегающий в окружающий воздух, приводит к белым облакам, возникающим при конденсации. Эти облака неблагоприятно влияют на видимость. Люди могут не знать о количестве гелия, попадающего в их дыхательную систему. В зависимости от концентрации гелия, находящегося в воздухе, небольшого числа вдохов может быть достаточно, чтобы привести к бессознательному состоянию. Кроме того, утекающий гелий чрезвычайно холоден, что может вызвать переохлаждение и обморожение. Последние сведения о повреждениях, напоминающих ожоги (криогенные ожоги) кожи, отнесены к нормальным температурным уровням. Контакт кожи с холодными частями или жидким воздухом может также привести к обморожению. Разнообразие отказов вентильной системы сверхпроводящего магнита должно быть предусмотрено. Например, может произойти следующее:
- Небольшие утечки: меньшее количество газа гелия выкачано наружу через систему нагревания и кондиционирования воздуха и заменено свежим воздухом. Это не критическая ситуация, пока системы нагревания и кондиционирования воздуха функционируют, как требуется. Эти утечки - результат конструктивных ошибок, которые должны быть исправлены.
- Вентильная система сверхпроводящего магнита частично не работает: только часть газа гелия выкачана наружу через интегрированную вентильную систему. Большее количество гелия присутствует в помещении обследования. Системы нагревания и кондиционирования воздуха не могут удалить гелий из-за его объема. Формируются большие облака, которые неблагоприятно влияют на видимость. Дополнительно увеличивается ДАВЛЕНИЕ в помещениях. В зависимости от размера утечки могут возникать опасные условия для вовлеченного персонала.
- Полный отказ: вентильная система сверхпроводящего магнита полностью отказывает, например, через блокировку или прерывание линии. Все количество газа выкачано в помещение обследования. Если не следовали предварительно упомянутым требованиям и рекомендациям, увеличивается потенциальный риск потери жизни в случае полного отказа криогенного вентиля.
- До 1000 м3 газа попало в помещение, которое часто имеет объем меньше чем 100 м3.
Итоговый лист спецификации часто упоминается как лист данных продукта. Определенная информация относительно этого листа может помочь ПОЛЬЗОВАТЕЛЮ оценить совместимость периферийного оборудования с определенным МР-ОБОРУДОВАНИЕМ. Совместимость периферийного оборудования должна быть обеспечена ИЗГОТОВИТЕЛЯМИ. В ином случае ПОЛЬЗОВАТЕЛЬ должен гарантировать, что оба типа оборудования не нарушают надлежащее функционирование друг друга.
Очень важно понять, что конфигурация системы МР-ОБОРУДОВАНИЯ может затронуть надлежащую работу периферийного оборудования и наоборот. Например, установка более сильных систем градиента на МР-ОБОРУДОВАНИИ может затронуть функциональные возможности периферийного оборудования, таких как физиологический контроль и сенсорное устройство, примененного около отверстия магнита. Поэтому в случае модернизации МР-ОБОРУДОВАНИЯ ПОЛЬЗОВАТЕЛЬ должен сообщить об этом ИЗГОТОВИТЕЛЮ периферийного оборудования, чтобы гарантировать безопасность и работу оборудования
[83].
В стандарте предлагается ряд характеристик помещения обследования. В помещении обследования должно быть сделано четкое различие между вентильной системой гелия для сверхпроводящего магнита, необходимой в случае возникновения КВЕНЧ, и системой вентиляции ПАЦИЕНТА, необходимой для ежедневного воздушного проветривания ПАЦИЕНТОВ. Характеристики помещения обследования увеличивают промежуток времени, в течение которого возможно удалить ПАЦИЕНТА из системы в случае возникновения КВЕНЧ, связанного с отказом вентильной системы сверхпроводящего магнита. Эти характеристики помогут увеличить промежуток времени, в течение которого возможно удалить ПАЦИЕНТА из системы, в среднем до нескольких минут. В общем, работа системы вентиляции ПАЦИЕНТА должна тщательно проверяться. Некоторые системы вентиляции ПАЦИЕНТА приносят свежий воздух от потолка помещения обследования. В случае КВЕНЧ, связанного с отказом вентильной системы сверхпроводящего магнита, это очень неблагоприятно для ПАЦИЕНТА, и работа системы вентиляции ПАЦИЕНТА должна быть остановлена, предпочтительно автоматически датчиком после обнаружения КВЕНЧ. Кроме того, может быть рассмотрено автоматизированное предупреждение ОПЕРАТОРУ во всех ситуациях. Рекомендуется приспособление монитора кислорода для оповещения звуковыми и визуальными сигналами тревоги и закрепление в потолке помещения обследования для более раннего предупреждения при обнаружении газа гелия. Когда выполнено реконструирование помещения обследования, должна быть снова проверена целостность ограждения РЧ.
Дверь помещения обследования открывается внутрь - конструктивные меры по обеспечению безопасности
Самая неблагоприятная ситуация для помещения обследования возникает, когда дверь помещения обследования открывается внутрь. В этой ситуации небольшое повышенное давление из-за утечки газа гелия может сделать открытие двери чрезвычайно трудным. В зависимости от системы вентиляции помещения повышенное давление может присутствовать в течение значительного отрезка времени. Обеспечение установки условия в помещении обследования, позволяющей людям дышать воздухом в помещении обследования в течение КВЕНЧ, в этой ситуации может помочь увеличить доступное время для выравнивания давления в помещении.
При этой ситуации доступны следующие альтернативы:
- дверь перестраивают так, чтобы она открывалась наружу, в диспетчерскую;
- дверь заменяют РЧ запечатанной раздвижной дверью. Должно быть обеспечено закрытие двери так, чтобы в случае возникновения сверхдавления была возможность открытия двери;
- неподвижное окно наблюдения заменяют окном, открывающимся в диспетчерскую, или РЧ запечатанным скользящим окном;
- устанавливают панели в стене помещения обследования, двери или потолке, которые можно отпереть и открыть наружу в случае критического положения или принять в расчет при непрерывном выравнивании давления в промежуточном пространстве. Эти панели требуют запечатанной РЧ установки. После открытия панели выход должен иметь размеры, по крайней мере, 60 X 60 см2. При использовании прямоугольных панелей длина более короткой стороны должна составлять минимум 60 см. Кроме того, должно быть обеспечено легкое удаление панели усилиями одного человека. Дополнительно должно быть соблюдено минимальное расстояние до следующей стены 1 метр. Панель должна быть установлена максимально близко к потолку помещения, чтобы дать возможность улетучиться разреженному гелию;
- ИЗГОТОВИТЕЛЬ помещения обследования может обеспечить дополнительные запечатанные РЧ отверстия комнаты (металлические сетки), которые ведут непосредственно к внешней стороне. Однако эти отверстия являются также трубопроводами для акустического шума, произведенного вне помещения обследования. Кроме того, эти отверстия должны быть установлены максимально близко к потолку, чтобы дать возможность улетучиться разреженному гелию. Для поддержания свободного потока через трубу должен быть обеспечен соответствующий диаметр длинной линии.
Для дверей, перемещенных через вспомогательные двигатели (например, электрический или пневматический), также должно быть обеспечено ручное управление.
Если в установку включено окно наблюдения, то оно может быть разрушено. Окно обычно включает провода для РЧ ограждения, которое также должно работать. Однако образующиеся осколки стекла могут ранить спасательный персонал. В зависимости от конструкции и толщины окна ОПЕРАТОР должен быть обеспечен подходящим инструментом для разрушения окна.
Обслуживание
Программа профилактического обслуживания должна включать следующие действия.
Проверка системы выпуска и вентиляции помещения.
Установка системы вентиляции помещения и системы вентиляции криогена для сверхпроводящего магнита должна соответствовать требованиям и должна быть проверена обученным персоналом. Обе системы должны визуально осматриваться через определенные интервалы времени для определения:
- конструкторских изменений внутри и снаружи огражденного помещения обследования;
- несоответствующих изменений;
- повреждений тепловой изоляции выпускной линии;
- повреждений выпускной линии;
- затрудненного выхода, например присутствия гнезд птиц (отсутствие повреждений защитной сетки);
- повреждений защитного покрытия от дождя (покрытие регулярно используется для вертикально расположенных КВЕНЧ линий. В зависимости от проекта покрытия также часто располагаются в месте для горизонтальных выходов);
- наличия изменений направления выхлопа к внешней стороне после передачи системы клиенту; наличия воздействия разряженного газа на окружающих. Это может включать, например, окна, установленные позднее, выходы и входы, сделанные для систем нагревания и кондиционирования воздуха, новые строения или временно установленные контейнеры и любые другие посторонние включения или качество строительства, которое может отрицательно влиять на работу системы вентиляции;
- наличия изменений в системе нагревания или кондиционирования воздуха в помещении, например, при добавлении дополнительных входных или выходных вентиляционных отверстий в смежных комнатах;
- установки дополнительных МР-СИСТЕМ;
- продолжения использования первоначальной КВЕНЧ линии для дополнительной МР-СИСТЕМЫ.
Так как каждая система должна изменяться или реконструироваться в течение ее срока службы, ОПЕРАТОР должен полностью изучить систему и знать о важности КВЕНЧ линии и вентиляционной системы. Поэтому рекомендованы частые визуальные осмотры (например, относительно конструктивных изменений около КВЕНЧ линии, серьезные, связанные с изменениями погоды, такие как лед, снег или песок). В случае сомнительных функциональных возможностей системы нужно связаться с подрядчиком установки вентиляционной системы.
План чрезвычайного положения
Следующие рекомендации разработаны, чтобы помочь ОПЕРАТОРУ в установлении чрезвычайного плана, который должен включать следующее:
- расположение МР-набора относительно окон, запасные выходы как для персонала, так и для вентиляции газа к внешней стороне, чрезвычайное переключение управления на ПАЦИЕНТА для поддержки быстрого удаления;
- наличие персонала чрезвычайных ситуаций (например, персонал санитарной машины, местные пожарные команды и команды безопасности вне участка);
- инструкции и информацию, предназначенные отделам пожарной охраны и полицейским отделам (для предварительного обеспечения перед фактическим критическим положением, как описано в операционном руководстве), включая необходимость в экстренной проверке наличия или отсутствия магнитного поля;
- упражнения по спасению, выполняемые с соответствующим персоналом;
- требование к управляющему персоналу по обучению в наблюдении за эвакуацией МР-набора и за смежными помещениями;
- требование, что персонал должен возвратиться в МР-набор только после того, как ситуация вернулась к нормальной, то есть шумы прекратились и видимость не затруднена. Из соображений безопасности все помещения должны быть полностью проветрены; окна и двери должны быть открыты наружу. Обычно система кондиционирования воздуха предусматривает эффективный воздушный обмен.
Если люди присутствуют в помещении, где находится магнит, рассматривают следующее:
- Стандартный сценарий: КВЕНЧ линия работает, как запланировано. ПАЦИЕНТ может быть легко удален. Контакт с криогенными частями запрещен.
- Маленькие утечки: они привели бы к маленьким облакам тумана, которые четко остаются выше главного уровня и явно удалены системой нагревания и кондиционирования воздуха. Белые, подобные туману, облака могут опуститься к полу. Эти облака состоят из холодного воздуха и не приводят к истощению кислорода. В этом случае сверхдавление отсутствует. Нет никакого риска удушья как для ПАЦИЕНТА, так и для персонала. ПАЦИЕНТ может быть удален немедленно или через несколько минут в зависимости от реакции ПАЦИЕНТА на ситуацию. Контакт с криогенными частями запрещен.
- Частичный или полный отказ КВЕНЧ линии: присутствуют большие, подобные туману, облака, которые могут ухудшить видимость, ДАВЛЕНИЕ в помещении обследования увеличится. Все люди в помещении или приходящие на помощь находятся в опасности. В течение полного отказа вентиляционной системы сверхпроводящего магнита в помещении обследования помещение обследования быстро заполняется криогенным газом гелия.
Как правило, персонал не должен работать поодиночке, а скорее в группах, состоящих из двух или более человек.
Обычно самый сильный газовый поток происходит в течение первых нескольких минут и впоследствии спадает. Однако направление газового потока полностью непредсказуемо, так как во время возникновения КВЕНЧ в линии тип ошибки полностью не известен. До открытия двери в помещение обследования все доступные двери и окна должны быть открыты, чтобы гарантировать достаточную вентиляцию. Весь персонал, не задействованный для спасательных работ, должен покинуть помещение обследования. При открытии двери возможное возникновение сверхдавления в помещении может вызвать следующее:
- Если дверь открывается наружу в направлении диспетчерской, дверь может отскочить из-за сверхдавления. ОПЕРАТОР должен знать об этой возможности, чтобы можно было избежать повреждений, вызванных неожиданным открытием двери.
- Если дверь открывается внутрь помещения обследования, из-за сверхдавления в помещении ее невозможно будет открыть. В этом случае должны быть открыты существующие окна и чрезвычайные откидные створки. Сверхдавление может привести к неожиданным качаниям окон или откидных створок. Если нет никаких чрезвычайных открытий, окно наблюдения может быть разбито. Однако возникшие осколки стекла могут ранить спасательный персонал. В зависимости от конструкции и толщины окна ПОЛЬЗОВАТЕЛЬ должен быть обеспечен подходящими инструментами для разрушения окна.
После открытия двери в помещение обследования газ гелия может распространиться в смежные комнаты, подвергая опасности безопасность спасательного персонала. Имеется возможность проверить уровни кислорода в воздухе с помощью монитора кислорода. Противогаз не защищает от замещения кислорода газом гелия. Необходим воздушный ресивер, чтобы остаться в объекте с испаряющимся гелием. В дополнение к риску удушья имеется также дополнительный риск гипотермии или обморожения.
Так как газ гелия нагревается быстро и распространяется вниз от потолка, спасатель, стоящий вертикально, подвержен большей опасности, чем ПАЦИЕНТ, лежащий на СТОЛЕ ДЛЯ ПАЦИЕНТА. Ближе к полу возможно наличие большего количества воздуха. Спасатель может выиграть время, спускаясь на руках и коленях, чтобы вдохнуть воздуха.
После того, как ПАЦИЕНТ был удален из помещения обследования, никакой персонал не должен присутствовать вблизи МР-СИСТЕМЫ, пока КВЕНЧ не остановлен и не обеспечена вентиляция.
После КВЕНЧ должна быть выполнена процедура обслуживания, как описано в СОПРОВОДИТЕЛЬНЫХ ДОКУМЕНТАХ. Персоналу обслуживания нужно сообщить немедленно, чтобы отключить МР-СИСТЕМУ.
Когда через катушки градиентного магнитного поля, находящиеся в достаточно сильном постоянном магнитном поле, проходит электрический ток, эти катушки вибрируют и производят колебания в слышимом диапазоне частот. Это часто выражается громкими "стучащими" звуками.
Кратковременные очень громкие ударные шумы могут вызвать внезапную потерю слуха. Основным критерием безопасности при этом является пиковый уровень звукового давления, измеренный в дБ относительно уровня 20 мкПа. Допустимый пиковый уровень звукового давления, согласованный на международном уровне для профессионального применения, составляет 140 дБ. Трудно предсказать, при каких обстоятельствах МР-ОБОРУДОВАНИЕ создает наихудшие условия для создания звукового шума. Может так случиться, что из-за частотных характеристик МР-ОБОРУДОВАНИЯ в клиническом протоколе обнаружится ситуация звукового шума (который возникает из-за совпадения стимуляции МР-ОБОРУДОВАНИЯ механической резонансной частотой и, как следствие, создает больший звуковой шум).
36 ЭЛЕКТРОМАГНИТНАЯ СОВМЕСТИМОСТЬ
В ОБЛАСТИ КОНТРОЛИРУЕМОГО ДОСТУПА МАГНИТНО-РЕЗОНАНСНАЯ СИСТЕМА, как правило, не удовлетворяет обычным требованиям, касающимся напряженности поля высокочастотного излучения. Эти требования, в первую очередь, направлены на защиту радиосвязи и определены международными стандартами, такими как SISPR 11. Допустимые пределы напряженности поля радиопомех (индустриальных помех) находятся в пределах от 30 до 50 дБмВ/м. Это предполагает, что стандартные эмиссионные уровни МР-ОБОРУДОВАНИЯ, компьютерного томографа и комплексного рентгеновского оборудования измеряются на границе помещения или строения.
В стадии подготовки находятся стандарты МЭК по ЭМС, в которых указаны мероприятия, связанные с помехоустойчивостью медицинского ОБОРУДОВАНИЯ. Предполагается, что будут указаны требования по устойчивости к воздействию полей напряженностью от 1 до 3 В/м, а в специальных случаях, таких как системы жизнеобеспечения и некоторые виды ОБОРУДОВАНИЯ для мониторинга ПАЦИЕНТА, - от 10 до 100 В/м.
В настоящее время напряженность высокочастотного поля вокруг МАГНИТНО-РЕЗОНАНСНОГО ОБОРУДОВАНИЯ в пределах ОБЛАСТИ КОНТРОЛИРУЕМОГО ДОСТУПА может превысить указанные ограничения и достичь значений свыше 100 В/м. Очевидно, что ВСПОМОГАТЕЛЬНЫЕ УСТРОЙСТВА, используемые в ОБЛАСТИ КОНТРОЛИРУЕМОГО ДОСТУПА, могут быть выведены из строя таким полем.
51 ЗАЩИТА ОТ ПРЕДСТАВЛЯЮЩИХ ОПАСНОСТЬ ВЫХОДНЫХ ХАРАКТЕРИСТИК
Изменяющееся во времени градиентное магнитное поле и высокочастотное поле, генерируемые МАГНИТНО-РЕЗОНАНСНЫМ ОБОРУДОВАНИЕМ, могут воздействовать на физиологические функции ПАЦИЕНТА в такой степени, что потребуется оценка безопасности ОБОРУДОВАНИЯ по этим параметрам. Предписания настоящего стандарта основываются на современных научных данных и нуждаются в постоянном пересмотре по мере появления новых фактов.
Диагностические МАГНИТНО-РЕЗОНАНСНЫЕ ОБСЛЕДОВАНИЯ обычно завершаются в течение часа, поэтому в настоящем стандарте рассматриваются последствия воздействий, продолжающихся примерно около часа, причем особое внимание уделяется острым неблагоприятным реакциям.
51.102 ЗАЩИТА ОТ НИЗКОЧАСТОТНОГО ПЕРЕМЕННОГО ПОЛЯ, СОЗДАВАЕМОГО ГРАДИЕНТНОЙ СИСТЕМОЙ
1) Изменяющиеся во времени магнитные поля индуцируют электрические поля
E и вихревые токи в соответствии с законом электромагнитной индукции Фарадея. Переключение катушек градиента в МР-ОБОРУДОВАНИИ создает переменное магнитное поле (

или
B) так, что тело ПАЦИЕНТА подвержено воздействию созданного электрического поля. Это поле может затронуть легковозбудимую ткань с порогами, которые зависят от частоты. При частотах выше 10 кГц требуются более высокие поля для эффекта
[84]. Электрическое поле в свою очередь вызывает электрический ток, и это вызовет нагревание согласно закону Ома. На практике эффекты нагревания от ВЫХОДА ГРАДИЕНТА не рассматриваются.
В случае однородного переменного магнитного поля и цилиндрического тела с однородной проводимостью и параллельными осями к магнитному полю B электрическое поле E направлено вдоль витков перпендикулярно к B. Поэтому его значение пропорционально радиусу витка. Как следствие, уровни беспокойства зависят от размера, системы градиента и проводимости среды. Возбуждение ткани происходит более легко, когда переменное поле градиента создается в больших градиентных системах.
2) Проблемы безопасности
Первое, что доставляет беспокойство при ВЫХОДЕ ГРАДИЕНТА, - сердечная фибрилляция и стимуляция периферийных нервов. Сердечная фибрилляция является самым серьезным осложнением, потому что быстро создаются опасные для жизни условия. Возбуждение нервов рассматривается, потому что при сильной стимуляции могут возникнуть невыносимые болезненные ощущения. Эти явления беспокойства происходят на вышепороговых уровнях сердечного возбуждения (СС) и периферийного возбуждения нерва (ПВН). Во-вторых, вопрос нагревания ПАЦИЕНТА. Хотя нагревание, вызванное электрическими токами мало, оно добавляется к нагреванию, вызванному РЧ воздействием МР-ОБОРУДОВАНИЯ, и взаимосвязано с объединенным эффектом двух нагревающих источников.
Теоретический пространственный расширенный нелинейный узел (SENN), модель нерва Реилли
[85], предсказывает, что пороговые условия для возбуждения нерва могут быть хорошо описаны силой
E локального электрического поля в конечной точке нерва, параллельного его направлению, и продолжительностью стимула
ts. При большой продолжительности стимула пороговая область асимптотически достигает ее самого низкого уровня
Emin, и при короткой продолжительности стимула порог пропорционален произведению
Emin и
1/
ts.
Реилли предложил, что пороговая функция ts может быть выражена как экспонента

. (BB.5)
Исходя из модели, минимальное значение порога для людей Emin для сердечного возбуждения и ПВН для монополярных прямоугольных электрических стимулов, как оценивают, составляет 6,2 В/м. Экспериментальные значения для постоянной времени tc располагаются приблизительно между 0,12 и 0,8 мс для ПВН. Для сердечного возбуждения этот диапазон от 1 до 8 мс, и Реилли предлагает 3 мс в качестве представительного значения.
В отличие от экспоненциального выражения
уравнения (BB.5), было предложено более точное описание экспериментальных данных
[86],
[87]. Эта альтернативная функция показывает порог, имеющий гиперболическую зависимость от продолжительности стимула
ETH = реобаза (1 + хронакси/
ts). (BB.6)
В этом уравнении "реобаза" есть нижний предел частоты порогового стимула и "хронакси" - характерное время реакции нервов. Как в
уравнении (BB.5),
ts - продолжительность стимуляции. Уравнение применяется для униполярных прямоугольных стимулов. Как обсуждено ранее, недавние эксперименты устанавливают, что ПВН областей градиента точно характеризуется
уравнением (BB.6) при использовании "хронакси" 360 мс
[89],
[90],
[91].
Шифер
[88] указал, что по сравнению с экспоненциальным
уравнением (BB.5) гиперболическому выражению
уравнения (BB.6) также лучше удовлетворяют теоретические значения порога модели SENN Реилли. Таким образом,
уравнение (BB.6) используется здесь для описания пределов для периферийного возбуждения нерва.
4) Физиологические пределы для сердечного и периферийного возбуждения нерва и нагревание
Реилли
[85] сравнил разнообразные исследования электрического возбуждения у животных. Он заметил, что сердечные пороги распределены перпендикулярно с большой долей чувствительности с коэффициентом 2 ниже, чем медиана. Кроме того, он оценивает, что в данном животном порог возбуждения (начало смещенных ударов) будет 40% сердечного уровня. При экстраполяции на людей он предполагает, что человеческий порог возбуждения от его модели SENN является 20% человеческого среднего уровня фибрилляции. Реилли оценил, что
dB/
dt (71,3; 72,1; 50,8) Тл/с для переключения (
x,
y,
z) градиентов необходимо, чтобы электрическое поле в сердечнике достигло 6,2 В/м, его оценка поля "реобазы" возбуждения для самой чувствительной - 1%.
Боуланд и др.
[90] сообщили о срединном сердечном пороге возбуждения у собаки для переключения из градиента в пределе 2700 Тл/с при продолжительности ската 530 мс. При постоянной сердечного времени в 3 мс это соответствует величине уровня возбуждения 440 Тл/с. Из вычислений данных, касающихся физиологии собак и человека, единица
dB/
dt вдоль длины объекта создает электрическое поле в сердце человека в 2,81 раза больше, чем в сердце собаки, поэтому для людей был выведен асимптотический уровень стимула 156 Тл/с и однопроцентный ожидаемый уровень в 78 Тл/с, в разумном соглашении с оценкой Реилли.
Предел, установленный настоящим стандартом для исключения возбуждения сердца, должен быть ниже однопроцентного порога с трехкратным запасом прочности. Это основано на модели SENN и экспериментально определенном уровне порога сердечного возбуждения. С данными предположениями этот предел будет зависеть от вероятности сердечного возбуждения, меньшей чем 2x10-9. Кроме того, оказывается, что предел возбуждения периферийного нерва, указанный в данном стандарте, ниже предела сердечного возбуждения для всех продолжительностей стимула, находящихся в области практического интереса.
В исследовании Боуланда и др.
[90] на 84 объектах значение
dB/
dt предполагает, что низкий процент некомфортной стимуляции приблизительно равен среднему порогу ПВН для переключения градиента, как в предшествующем - последующем (
AP) и голова - ноги (
HF) направлениях градиента. Низкий процент невыносимой стимуляции
dB/
dt находится около 20% среднего порога ПВН. Болевая стимуляция является не только источником неудобства; она также связана с неуправляемым сокращением мышц, так что учет особенностей ПАЦИЕНТА и эффективности обследования является серьезным компромиссом на этом уровне. Невыносимая стимуляция является конечным пунктом в этом отношении. К тому же, реакция ПАЦИЕНТА в такой ситуации образует дальнейший риск безопасности. Итак, в настоящем стандарте значение уровня стимуляции выбрано как предел для ПЕРВОГО УРОВНЯ КОНТРОЛИРУЕМОГО ДОСТУПА и 80% от него выбрано как предел НОРМАЛЬНОГО КОНТРОЛИРУЕМОГО ДОСТУПА.
5) Отношение между E-полем и dB/dt в МР-ОБОРУДОВАНИИ
Преобразование пределов поля E в пределы dB/dt требует знания о соотношениях между этими параметрами в типичной геометрии тела ПАЦИЕНТА и градиентной системы.
Электрическое поле E, вызванное системой градиента в теле, связано с пространственным распределением dB/dt и геометрией тела. Для любой закрытой траектории I, которая ограничивает поверхность S, - основное уравнение физики

. (BB.7)
Уравнение может быть решено, когда определены граничные условия. Как иллюстративное упрощение, ПАЦИЕНТ может быть представлен как однородный проводящий вытянутый вращающийся эллипсоид с полуглавной осевой длиной a и полунезначительной осевой длиной b и пространством вне ПАЦИЕНТА в виде среды изоляции. Когда пространственно однородное переменное магнитное поле применено перпендикулярно к главной оси этого эллипсоида, максимальное значение E возникает в середине эллипсоида, по его периметру. Из этого следует, что этот периметр является местоположением, в котором, как ожидают, ПВН возникнет сначала.
Реилли
[85] показал в этом положении
|E| = a2b/(a2 + b2)dB/dt. (BB.7a)
Когда эллипсоид имеет полуосевые длины a = 0,4 м и b = 0,2 м, представляя поперечное сечение ПАЦИЕНТА с полем в ПП направлении, получается отношение
|
E| = 0,16
dB/
dt, (BB.7b)
где E, В/м,
и dB/dt, Тл/с.
Когда переменное магнитное поле является параллельным главной оси эллипсоида, случай, который представляет поле в ГН-направлении, вызванное электрическое поле параллельно ее круглому поперечному сечению с радиусом b = 0,2 м, в этом случае
|
E| = 0,10
dB/
dt, (BB.7c)
где E, В/м,
и dB/dt, Тл/с.
В действительности поле системы градиента в МР-ОБОРУДОВАНИИ неоднородно. В пределах системы градиента пространственное максимальное значение
dB/
dt на периферии ПАЦИЕНТА выше, чем среднее число
dB/
dt по его телу. Недавние вычисления с морфологически реалистическими моделями человека показывают, что параметры в
уравнениях (BB.7b) и
(BB.7c) являются 0,11 и 0,08 соответственно, для
dB/
dt, взятого как максимальное значение в радиусе 0,2 м. О подобных значениях сообщали Ботвелл и Боулей
[92]. Они вычислили потоки, вызванные в проводящем цилиндре радиусом 0,195 м в пределах блока формирования изображений. Из результатов, представленных в их отчетах, могут быть определены значения
E/(
dB/
dt) (
dB/
dt является максимальной величиной при
r = 0,195 м): для переключения из поперечного градиента отношение 0,121 и отношение 0,087 для переключения из продольного градиента. Отметим, что локальное максимальное электрическое поле будет возможно больше с коэффициентом 2, если модель будет рассматривать неоднородную проводимость, такую как включение кости.
Возможно преобразование
уравнения (BB.6) в выражение для пороговой величины
dB/
dt, когда ее значение связано с определенным представительным местоположением. Характерной особенностью формы волны градиента в МР-ОБОРУДОВАНИИ является ее повторяющаяся биполярная форма. Для трапецоидной формы волны градиента, как показано на
рисунке 102, вызванное поле
E будет рядом прямоугольных стимулов с переменным знаком. Продолжительность стимула
ts биполярного ската в трапецоидной форме волны градиента с максимальной амплитудой
Gmax следует из

. (BB.8)
6) Инструментально определенные пределы для СС
В настоящем стандарте
уравнение (BB.6) используется для преобразования физиологического предела для сердечного возбуждения, как обсуждено в
перечислении 4). Постоянная сердечного времени
tc принимается равной 3 мс. Значение по Реилли одного порога электрического поля используется как реобаза
rbc сердечного возбуждения электрического поля.
Уравнение (BB.7c) используется для преобразования из реобазы электрического поля в
dB/
ldt реобазы. Используется запас прочности, равный 3, введенный в
перечислении 4). Предел защиты от сердечной фибрилляции становится

, (BB.9)
где rbc = 6,2 В/м или 62 Тл/с.
7) Прямая демонстрация предела ВЫХОДА ГРАДИЕНТА для ПВН ВСЕГО ТЕЛА МР-ОБОРУДОВАНИЯ
Настоящий стандарт описывает множество подходов для получения значения порога ПВН МР-ОБОРУДОВАНИЯ. Они обсуждены в этом и в следующих пунктах. Для установления пределов ПВН настоящий стандарт принимает экспериментальную оценку порогов в качестве основания для определения пределов (прямое определение). Прямое определение требует экспериментальной работы с добровольцами на представительной модели ГРАДИЕНТНОГО БЛОКА. Основанное на принятой гиперболической взаимосвязи между порогом и временем ската, возможное приближение для прямой демонстрации состоит в том, чтобы установить реобазу и хронаксии, основанные на тесте для ограниченного числа времен ската, и произвести отношения рекурсии для каждого используемого времени ската. Дальнейшее моделирование может использоваться для ограничения числа фактически проверенных форм волны. Один пример такого моделирования приведен в
перечислении 16).
Пределы, полученные из экспериментальной работы с добровольцами, должны соответствовать физиологическим требованиям, как указано в
перечислении 4). Рабочая нагрузка от такой прямой демонстрации может быть чрезмерной, и для некоторых значимых форм волны стандарт обеспечивает числовые пределы как альтернативу, обсужденную в перечислениях 8) -
14).
8) Цифровое определение пределов для ПВН
Прямая демонстрация пределов ПВН не всегда выполнима. Чтобы предлагать альтернативу в этом случае, настоящий стандарт обеспечивает определенные в цифровой форме недостающие пределы для
dB/
dt и для
E. Эти пределы основаны на трех исследованиях добровольца, в которых использовалось МР-ОБОРУДОВАНИЕ для получения ПВН. Результаты этих исследований изданы Хемом и др.
[89], Боулендом и др.
[90] и Хебранком и др.
[91]. В каждой из этих публикаций пороговый ПВН был рассмотрен как функция
dB/
dt и продолжительности пульса у добровольцев, подверженных воздействию переключения градиентов в СИСТЕМЕ ГРАДИЕНТА ВСЕГО ТЕЛА в цилиндрическом МАГНИТЕ ВСЕГО ТЕЛА. Хотя значения
dB/
dt, используемые в этих публикациях для выражения порогового ПВН, не были непосредственно сопоставимы и части форм волны градиента отличались, могло быть получено сравнение результатов этих авторов. Сравнение использует некоторые неопубликованные подробности, собранные для установления основания для пределов ПВН, используемых в настоящем стандарте. Основание сравнения получено суммированием, указанным в перечислении 9). Пределы ВЫХОДА ГРАДИЕНТА для всего тела МР-ОБОРУДОВАНИЯ на этом основании получены в
перечислении 10).
9) Основание сравнения для выхода градиента
Основание, использованное для сравнения экспериментальной работы
[89],
[90],
[91], следующее: все значения
dB/
dt были повторно вычислены к
dB/
dt как пространственно-временной максимум величины модуля
dB/
dt, возникающего на стенке цилиндра 0,2 м, коаксиально к магниту. Этот объем был выбран для представления объема, обычно доступного для ПАЦИЕНТА. Все используемые формы волны градиента были формами волны
EPI с формой трапецоида. Управление переключенного градиента было предшествующе-последующим (
AP) в двух из трех этих публикаций, и результаты всех ГРАДИЕНТНЫХ БЛОКОВ даны одновременно в третьем
[89]. В этой публикации пороги для
AP управления переключенного градиента могли быть получены регрессом. Плоские вершины форм волны были 0,3 мс у Боуланда
[90], 0,4 мс у Хема
[89] и 0,5 мс у Хебранка
[91]. Эти различия в продолжительности плоской вершины, как предполагали, имели второй порядок влияния, и этими различиями пренебрегли. Ширина распределений индивидуальных порогов могла быть оценена для двух из трех исследований
[90],
[91], потому что в этих исследованиях участвовало большое число добровольцев. Наблюдаемые стандартные отклонения, выраженные как дробь среднего, имели подобный размер в обоих исследованиях и значением 0,24 были приняты для определения достоверных областей средних порогов.
Когда для времени ската порог не мог быть достигнут для всех объектов из-за технических пределов системы градиента, выровненное среднее значение использовалось для оценки среднего значения. В случае, когда не мог быть соблюден самый высокий порог c от N добровольцев, это статистически определялось как среднее число по центральной фракции N - 2c заказанных порогов.
10) Экспериментальные данные относительно порога ПВН для человеческих добровольцев в МР-ОБОРУДОВАНИИ всего тела
Результаты экспериментальных величин, преобразованных на основании сравнения, как описано в
перечислении 9), приведены на
рисунке BB.2. Данные представляются последовательными, хотя использованное МР-ОБОРУДОВАНИЕ было представлено различными ИЗГОТОВИТЕЛЯМИ так, что присутствовали различия в проекте аппаратных средств градиента. Была получена единственная гиперболическая пороговая функция возбуждения согласно уравнению (2) путем подгонки ко всем пунктам данных со статистической массой к каждому пункту данных, который принимает во внимание число добровольцев, исследованных в каждом из указанных сообщений. Полученные значения реобазы следующие:
rb = 19,7 +/- 1 Тл/с,
который в настоящем стандарте округлен до 20 Тл/с,
хроник tc = 0,36 мс.
Двойной логарифм экспериментальных пороговых значений для возбуждения периферийного нерва с формами волны EPI трапецоида против времени ската
ts (Хем
[89] + Боуланд
[90], x Хебранк
[91]). Во всех экспериментах данные придерживаются ориентации для ПП направления переключенного градиента. Пороговые величины выражены как
dB/
dt, пространственно-временной максимум модуля
dB/
dt на цилиндрической поверхности, коаксиальный к магниту, с радиусом 0,2 м. Сплошная линия является гиперболой, приспособленной ко всем пунктам данных, со статистической массой через точку, которая отражает количество добровольцев, проверенных в каждом из указанных сообщений. Характерные параметры гиперболы - реобаза
rb = 19,7 Тл/с и хроник
tc = 0,36 мс [см. уравнение (2)].
Рисунок BB.2 - Экспериментальные данные относительно порога
ПВН человеческих добровольцев МР-ОБОРУДОВАНИЯ ВСЕГО ТЕЛА
11) Экспериментальные данные относительно порога ПВН форм волны, отличных от трапецоида Порог
dB/
dt зависит от продолжительности стимула
ts. Для градиента форм волны, отличных от трапециевидных, продолжительность стимула не имеет особенных определений. Харвей и др.
[93] и Мансфилд и др.
[94] показали, что пороги для формы волны становятся почти равными для трапецоидов, когда в синусоидальной форме волны

ЭФФЕКТИВНАЯ ДЛИТЕЛЬНОСТЬ СТИМУЛА определена как отношение амплитуды к максимальной скорости изменения

. (BB.10)
Фрез и др.
[95] сравнивают ПП направленных трапецеидальных и синусоидальных форм волны в том же самом МР-ОБОРУДОВАНИИ. Рисунок BB.3 иллюстрирует дополнение, полученное как функция
ts,eff эффективности. Пример демонстрирует правомерность его использования. В настоящем стандарте
ts,eff будет использоваться для описания эффективной длительности стимула.
Формы волны
EPI трапецоида (+) и формы волны
EPI синусоиды (0). Они показаны против эффективной длительности стимула, эффективность - данные от Фрез
[95]. Данные держатся для ориентации
AP переключенного градиента. Пороговые ценности выражены как пространственный максимум модуля
dB/
dt на цилиндрическом поверхностном коаксиале к магниту с радиусом 0,2 м. Твердая линия - гипербола, приспособленная ко всем пунктам данных, идентичным одному, показанному на
рисунке BB.2.
Рисунок BB.3 - Двойной логарифмический участок
экспериментальных пороговых значений для периферийного
возбуждения нерва
12) Экспериментальные данные пороговых значений ПВН в зависимости от ориентации тела пациента относительно направления переключенного градиента
Значение реобазы как функции направления переключенного градиента было получено экспериментально полностью в МР-ОБОРУДОВАНИИ ВСЕГО ТЕЛА. Для
HF-градиентной катушки в исследовании Пурди на 84 добровольцах выявили значения реобазы 29,5 Тл/с и хроник - 0,36 мс. В этих экспериментах использовалось только проветривание, воспроизводящее модель магнитного поля на каждом конце активной
HF-градиентной катушки, которое использовалось для моделирования побудительных эффектов для переключения
HF. Объект был расположен в длину для самого низкого порога ПВН. Этот эксперимент показывает, что порог ПВН для направления градиента голова - нога (
HF) в таком МР-ОБОРУДОВАНИИ выше, чем для направления (
AP), с отношением для
AP и
HF градиента, равным 0,66. Существует похожее отличие в порогах между
LR и
AP градиентами. Данные Будингера
[96], полученные на 10 добровольцах, исследовавшего пороги при вращении катушки градиента относительно добровольцев, показывают отношение между порогами для
AP и
LR градиентов, равное 0,8. Исходя из этих результатов, данный стандарт вводит коэффициенты весомости для вычисления ВЫХОДА ГРАДИЕНТА из
HF и
LR градиента, равные
WHF = 0,7 и
WLR = 0,8.
13) Возбуждение нерва в случае комбинации форм волны от больше чем одного ГРАДИЕНТНОГО БЛОКА МР последовательности отображения всегда содержат комбинацию форм волны градиента от всех трех ГРАДИЕНТНЫХ БЛОКОВ. Самое сильное возбуждение происходит, когда все катушки перемещаются одновременно с идентичными формами волны в максимальном ВЫХОДЕ ГРАДИЕНТА. В каждый момент в месте вокруг изоцентра магнита величина полной скорости изменения (
dB/
dt)
total будет векторной суммой
dB/
dt для каждого ГРАДИЕНТНОГО БЛОКА
i Вызванное электрическое поле, которое, как полагают, является механизмом для возбуждения, будет возникать из-за векторного дополнения электрических полей
Ei, увеличиваясь при каждом переключении градиента. Значение
(dB/
dt)
total будет функцией от расстояния, которая зависит от октанта, как определено системой координат градиента. Наибольшие значения возникают в октантах, в которых направление (
dB/
dt)
total и каждого (
dB/
dt)
I находятся под углами, меньшими чем 90°. Это условие будет всегда существовать в двух из октантов и в течение комбинации сложных форм волны, в которых изменяется знак градиентов, это худшее условие переключит к другим октантам. В пределах худшего случая октанта пространственная максимальная величина
(dB/
dt)
total будет меньше суммы пространственного максимума (
dB/
dt)
I, потому что последние максимумы не возникают в той же самой точке. Кроме того, даже в таком октанте векторные направления
(dB/
dt)I в положении максимума
(dB/
dt)
total не полностью параллельны.
Поэтому, в рассматриваемом случае (все катушки, которые перемещаются одновременно с идентичными формами волны в максимуме (dB/dt) объединенный эффект на возбуждения меньше, чем линейная сумма эффектов индивидуальных катушек.
Настоящий стандарт предполагает, что эффект одновременных переключенных градиентов может быть представлен взвешенным квадратным суммированием
(dB/
dt) индивидуальных ГРАДИЕНТНЫХ БЛОКОВ. Коэффициенты весомости представлены в
перечислении 12).
Когда продолжительность стимула ts этих трех градиентов в максимальном перемещении не одинаковая, квадратичное дополнение может быть значащим, но общий предел должен быть заменен индивидуальными пределами для каждой продолжительности стимула ts.
В МР-ОБСЛЕДОВАНИЯХ последовательности с одновременными формами волны в максимальной амплитуде каждого градиента - редкий случай, таким образом, предположение об их возникновении - консервативное событие. Более реалистические оценки порога для частично одновременных форм волны от различных катушек могут быть получены от более точных моделей, которые принимают во внимание форму каждой волны. Пример такой модели описан в
перечислении 16).
14) Пределы для ПВН для систем градиента всего тела
Как указано в
перечислении 4), пределом первого режима контролируемого управления является то, что ВЫХОД ГРАДИЕНТА дает пороговый ПВН. Это физиологическое определение может быть вновь заявлено количественно: для ГРАДИЕНТНОЙ СИСТЕМЫ ВСЕГО ТЕЛА этот предел основан на пороговых величинах, найденных для переключения
AP градиентов в
перечислении 10).
Существует предел, который взаимосвязывает максимальный ВЫХОД ГРАДИЕНТА системы градиента с данной формой волны:
- максимальный ВЫХОД ГРАДИЕНТА МР-ОБОРУДОВАНИЯ, как предполагают, вызван одновременной продукцией всех ГРАДИЕНТНЫХ БЛОКОВ, каждый при максимальной скорости вращения и в максимальной амплитуде градиента. Это измеряется как модуль пространственной максимальной величины ВЫХОДА ГРАДИЕНТА, возникающего в ОБЪЕМЕ ИССЛЕДОВАНИЯ.
- ОБЪЕМ ИССЛЕДОВАНИЯ определен в стандарте. Его измерения, как предполагают, исключают область, где части тела ПАЦИЕНТА большого диаметра обычно не присутствуют, и объем может быть меньшим, чем фактическое место, доступное для ПАЦИЕНТА.
- зависимость включает коррекцию продолжительности стимула для порогов между синусоидами и трапецоидами из
перечисления 11).
- одновременный выход получен из рассмотрения ВЫХОДА ГРАДИЕНТА индивидуальных ГРАДИЕНТНЫХ БЛОКОВ, используя отношения порога ориентации
w, из
перечисления 12) и правила квадратичного суммирования
перечисления 13).
Это приводит к

. (BB.11)
dB/dt значения могут быть получены вычислением или тестированием. Вычисление возможно исходя из геометрии катушки и распределения потока по закону Био-Савара

, (BB.12)
где dI' является элементом проветриваний катушки в положении r'.
15) Пределы для ПВН, основанные на вычислении поля E
Для систем градиента, которые отличаются по размеру от СИСТЕМЫ ГРАДИЕНТА ВСЕГО ТЕЛА, информация из экспериментальной работы, связывающей ВЫХОД ГРАДИЕНТА с пороговым ПВН СИСТЕМЫ ГРАДИЕНТА ВСЕГО ТЕЛА, непосредственно неприменима. Это зависит от геометрии катушки и тела ПАЦИЕНТА. Если, например, система градиента воздействует только на голову радиусом 0,1 м, то пределы ВЫХОДА ГРАДИЕНТА по
перечислению 8) могут быть слишком ограничительными факторами приблизительно 2 [см. уравнение (4a)]. Для различных систем градиента для разных целей МР-ОБОРУДОВАНИЯ (например, специальное МР-ОБОРУДОВАНИЕ для груди, конечностей или головы, или специальных проектов системы градиента для использования МР-ОБОРУДОВАНИЯ ВСЕГО ТЕЛА (типа систем градиента для микроскопии сердца и головы) - настоящий стандарт устанавливает использование пределов для электрического поля
E, вызванного переключением градиентов. Объясняется это тем, что
E является количеством, которое непосредственно взаимосвязано с физиологической моделью, описанной в
перечислении 3).
Хотя значение E в данной катушке и геометрия тела ПАЦИЕНТА не могут быть легко измерены, вычисление возможно исходя из геометрии катушки и распределения потока, когда эффектами потоков, вызванных в теле ПАЦИЕНТА, пренебрегают. Электрическое поле в теле ПАЦИЕНТА из-за переключенных градиентов может тогда быть выражено как

, (BB.13)
где
A - магнитный векторный потенциал из-за потоков в катушках градиента. Производная времени, от которой

вычисляется

, (BB.14)
где I - норма изменения потока катушки и dI', является элементом проветриваний катушки в положении r'.
Электростатический потенциал

происходит из-за электрического влияния между электрической проводимостью (типа воздух - ПАЦИЕНТ) и является следствием сохранения электрического влияния.
Электростатический потенциал для общих потребностей вычисляют с помощью компьютерной техники. Примечательный специальный случай, в котором

равняется нулю, возникает для цилиндрически симметричного z-градиента, примененного по оси проводящего цилиндра. В этом случае

.
Уравнение (BB.14) действительно для сложной модели ПАЦИЕНТА. Полезное упрощение должно приблизить секцию тела ПАЦИЕНТА как цилиндр или сфероид однородной проводимости.
В настоящем стандарте порог для
E, как предполагают, имеет гиперболическую форму пороговой функции
уравнения (BB.6), с хроник 0,36 мс, как указано в
перечислении 10), и с реобазой, которая базируется на ориентационно связанных величинах для
dB/
dt и вычислительных Пурди результатов для отношения между
E и
dB/
dt [см.
перечисление 4)]. Подчеркнуто, что электрическое поле вычислено, принимая во внимание однородную проводимость ПАЦИЕНТА. При этом получена реобаза электрического поля 2,16 В/м для переключения градиента
AP и 2,4 В/м для градиента
HF. Различия в этих двух значениях несущественны, и таким образом величина 2,2 В/м принимается как хорошая оценка для реобазы электрического поля для ПВН трапециевидного пульса для всех ориентаций градиента. Параллельно аргументу для пределов
dB/
dt предел
E в РЕЖИМЕ КОНТРОЛЯ ПЕРВОГО УРОВНЯ равен пороговой величине
E. Для НОРМАЛЬНОГО РЕЖИМА РАБОТЫ предел уменьшен фактором 0,8. Предел для
E действителен для всех типов МР-ОБОРУДОВАНИЯ. Величина
E является максимальной, возникающей в ОБЪЕМЕ ИССЛЕДОВАНИЯ для данного выхода градиента. Утверждения аналогичны утверждениям в
перечислении 14), но
- ОБЪЕМ ИССЛЕДОВАНИЯ - это все место, доступное для ПАЦИЕНТА;
- одновременно ГРАДИЕНТНЫЕ БЛОКИ могут быть получены по правилу суммирования
перечисления 13). Например, для форм волны
EPI с продолжительностью стимула
ts,eff это приводит

. (BB.15)
16) Модель пороговых значений ПВН для сложных форм волны
Гиперболическая пороговая функция, подобная
уравнению (BB.6), с реобазой и хроник, определенными в
перечислении 10), является действительной для повторных биполярных прямоугольных стимулов [и для синусоид с использованием ЭФФЕКТИВНОЙ ДЛИТЕЛЬНОСТИ СТИМУЛА, определенной в
уравнении (BB.11)]. Чтобы иметь дело со сложными формами волны градиента, часто используемыми в МР-отображении, расширение желательно, потому что для таких форм волны порог может быть выше. Более общая пороговая функция может быть найдена оценкой стимула
B(t), который принадлежит этой форме волны как ряд функций Дирака, которые заставляют возрастать ответ нерва, так что в конечном счете достигается порог
[97]. Из
уравнения (BB.6) можно выразить
Rrect подпороговый ответ для единичного прямоугольного стимула с продолжительностью
ts как

, (BB.16)
поскольку Rrect можно рассмотреть как функцию ts, его производная относительно ts

. (BB.17)
Уравнение (BB.17) описывает вклад в значение ответа
t =
ts, имеющего форму Дирака, дополнения к стимулу при
t = 0 со значением
B. Для более общего случая значение

ответа во время
t по Дираку сформировало стимул во время

с силой


. (BB.18)
Полная величина ответа нерва
R(t) в любое время для любого стимула

для

получена скручиванием

. (BB.19)
Рисунок BB.4 показывает
R(t) для простого прямоугольного стимула. Возбуждение происходит, когда амплитуда
dB/
dtmax стимула заставляет максимальную временную величину
R(t) быть большей 1.
Как пример для
EPI формы волны сложный стимул - ряд прямоугольных стимулов с чередованием знака, в которых первый стимул в ряду имеет половину продолжительности других. Плоские вершины формы волны градиента соответствуют временным интервалам между стимулами. Результат интеграции
уравнения (BB.18) для этого случая показан графически для ПВН на
рисунке BB.5. Максимальное значение
R(t) достигнуто в конце первого полного стимула продолжительности. Рисунки предлагают, что модель может использоваться, чтобы получить пороговые условия для любой формы волны, учитывая порог для простой формы волны.
Предсказания модели - по сравнению с экспериментом на
рисунках BB.6 и
BB.7.
Рисунок BB.6 показывает пороги для форм волны трапецоида в исследовании Пурди (более подробно см.
пункт 10).
Уравнение (BB.19) использовалось, чтобы найти пороговую функцию, включая в экспериментальной форме волны трапецоида в B(8). Реобаза
rb и хроник
tc [уравнение (BB.19)] были приспособлены для лучшего применения. Можно видеть, что полученные величины не равны реобазе и хроник, найденным для того же самого набора данных в
пункте 10. Это вызвано различием в их определении: в
уравнении (BB.19) rb и
tc определены для монополярных прямоугольных стимулов. Кроме того,
рисунок BB.6 показывает пороговую функцию, которая была бы получена от
уравнения (BB.19) для той же самой реобазы и хроник, но для формы волны синусоиды, нанесенных вместо ЭФФЕКТИВНОЙ ДЛИТЕЛЬНОСТЬ СТИМУЛА, как определено в
уравнении (BB.11). Модель показана для поддержания разумности использования этого определения. Модель предсказывает, что для обеих форм волны пороги будут в пределах 10% по большому диапазону ЭФФЕКТИВНОЙ ДЛИТЕЛЬНОСТИ СТИМУЛА. Хотя модель предсказывает сильное снижение в экспериментальном пороге между единственной половиной периода и непрерывной экспериментальной синусоидой более тонкие изменения, найденные экспериментально для синусоид с продолжительностью между 1 и 10 периодами, не предсказаны. Необходимы более обширные модели
[91]. Их SAFE модель (Приближение Возбуждения Проникновения и Оценка) применяет три временных фильтра к форме волны градиента и суммирует выход. Фильтры моделируют поколение потенциалов действия в пределах нервных клеток и распространяются из сигнала через синапсы. В то время как модель не утверждает, что описала физиологическое поведение, это действительно предсказывает все зависимости порога возбуждения от продолжительности стимула, синусоидального против трапециевидного и числа циклов градиента.
Рисунок BB.7 показывает порог как функцию числа половины периодов стимула синусоиды. Порог был измерен, чтобы соответствовать экспериментальным данным Будингера
[96].

символизирует скручивание.
n(
t) =
tc/
rb(
tc +
t)
2.
Рисунок BB.4 - Значение ответа
R(t), произведенного
скручиванием прямоугольного стимула dB/dt, и функции ответа
импульса нерва

Вертикальные оси имеют относительные единицы. R вычисляют из уравнения (16) с tc = 0,36 мс. Штриховые линии по равным величинам ординаты иллюстрируют максимальный ответ нерва, достигнутый после первого отрицательного ската.
Рисунок BB.5 - Формы волны градиента
G, форма волны
стимула dB/dt и значение ответа R для формы
волны EPI трапецоида, начинающейся в t = 0
Более низкая кривая - для форм волны трапецоида; это получено приближением экспериментальных данных (+) Борланда
[90] к уравнению (16). Полученные значения реобазы и хроник - 17,3 Тл/с и 0,3 мс. Верхняя кривая для формы волны синусоиды, используя те же самые величины реобазы и хроник.
Рисунок BB.6 - Порог значений
dB/
dt для двух форм волны
градиента в зависимости от ЭФФЕКТИВНОЙ ДЛИТЕЛЬНОСТИ СТИМУЛА
Примечание - Экспериментальные данные Будингера
[96] включают сплошную линию: из уравнения (19), при
N = 64.
Рисунок BB.7 - Пороговые значения
dB/
dt для формы волны
градиента синусоиды как функция числа половины
периодов в форме волны
Нагревание биотканей является важнейшим следствием воздействия РЧ-излучения, генерируемого МАГНИТНО-РЕЗОНАНСНЫМ ОБОРУДОВАНИЕМ (частота излучения составляет более 1 МГц). Многие биологические эффекты воздействия РЧ-излучения сходны с реакциями на индуцированное нагревание, вызванное повышением температуры биоткани или человеческого тела на 1 °C и выше, или с реакциями, связанными с уменьшением до минимального уровня общей тепловой нагрузки на человеческий организм
[98].
Индуцированную РЧ-излучением тепловую нагрузку на организм можно связать непосредственно с УДЕЛЬНОЙ ПОГЛОЩЕННОЙ ЭНЕРГИЕЙ (УПЭ) или УДЕЛЬНОЙ ПОГЛОЩЕННОЙ МОЩНОСТЬЮ (УПМ). Другими важными факторами, влияющими на реакцию ПАЦИЕНТА на данную тепловую нагрузку, являются температура воздуха, относительная влажность, скорость воздушного потока, воздействующего на ПАЦИЕНТА, и степень его теплоизоляции. В то время как местные пределы или пределы всего тела УПМ иногда полезны для определения уровня интереса, повышение температуры является первостепенным критерием. По этой причине критерий повышения температуры рассматривается в настоящем стандарте.
Локализованные участки нагревания или "горячие точки" могут вызвать местное повышение температуры. Это важно для экранирования ПАЦИЕНТА от неиндицируемых имплантатов, тату и др., которые могут повлиять на повышение местной температуры
[2]. Поглощение мощности возрастает пропорционально квадрату расстояния от центра тела
[99], и электрические неоднородности тела изменяют потоки и местные поглощения энергии. Исследования с использованием сферических моделей показывают, что наиболее тяжелый случай реализуется в случае, когда "горячие точки" образованы сферами с низкой электрической проводимостью (костная или жировая ткани), расположенными на наружной поверхности сферы с более высокой проводимостью (например, мышечная ткань); "горячие точки" могут возникать при УПМ, превышающей местный средний уровень в 2,5 раза и больше
[100]. Последние расчеты, основанные на математической модели неоднородности человеческого тела
[101],
[102], показывают, что локализированная УПМ отдельных, относительно малых, участков тела может в 5 - 8 раз превышать средний показатель для всего тела
[103]. Однако это соотношение уменьшается примерно в 2 - 4 раза, когда оно усредняется на целый орган
[103],
[104]. Вероятность высоких местных значений УПМ уменьшается при квадратурном возбуждении ядерных спинов, при этом его последствия сглаживаются за счет тепловой диффузии и переноса тепла кровотоком.
Тепловые эффекты определяются чувствительностью большинства биологических процессов к температурному воздействию. В первую очередь меры защиты от РЧ-излучения должны быть направлены на избежание чрезмерных физиологических реакций, вызванных повышением температуры тела, и на избежание повышения температуры тканей до уровня, при котором организму может быть причинен какой-либо ущерб
[1].
Наиболее заметными реакциями человеческого организма на сильное нагревание тела РЧ-излучением, вероятно, являются реакции системы терморегулирования, включающие рост частоты сердечных сокращений и усиление кровоснабжения кожи при одновременном незначительном падении артериального давления
[105]. Эти реакции проявляются в максимальной степени, даже если ПАЦИЕНТЫ пассивно лежат в условиях комнатной температуры, поскольку температура тела поднимается более чем на 2 °C. У больных с нарушенной функцией терморегулирования и сердечно-сосудистой недостаточностью не отмечается вредных воздействий на здоровье, если температура тела возрастает не более чем на 1 °C
[106]; имеются, однако, отдельные исключения, о которых речь пойдет ниже.
Отрицательное воздействие на некоторых ПАЦИЕНТОВ может быть вызвано их физиологическими и физическими показателями, связанными со слабыми возможностями адаптации к повышению температурной нагрузки, которые обусловлены преклонным возрастом, тучностью и повышенным артериальным давлением
[107]. Различные лекарственные препараты, например мочегонные средства, транквилизаторы, снотворные, сосудорасширяющие и другие средства, снижают выносливость к повышению температуры
[108].
Кроме того, недостаточно изучена способность к терморегулированию грудных младенцев; у беременных женщин эта функция организма также может быть снижена. Следует заметить, что отвод тепла от эмбриона или утробного плода, который осуществляется через плацентарный барьер, может оказаться менее значительным, чем рассеяние тепла в других тканях, богатых кровеносными сосудами. Известно, что повышение температуры тела может привести к возникновению уродств у ряда млекопитающих, включая приматов, влияет на центральную нервную систему и вызывает образование дефектов лица у детей, матери которых долгое время испытывали сильное повышение температуры (выше 39 °C), особенно в течение первых трех месяцев беременности
[109],
[110]. Поэтому желательно, чтобы воздействие РЧ-излучения не приводило к повышению температуры тела у этого контингента более чем на 0,5 °C
[106].
Было выполнено математическое моделирование функции терморегулирования человеческого организма при воздействии МАГНИТНО-РЕЗОНАНСНОГО ОБОРУДОВАНИЯ. В
[111] рассчитано, что повышение температуры тела ПАЦИЕНТА в легкой одежде с нормально работающей системой терморегулирования должно составить до 0,6 °C в зависимости от условий окружающей среды при воздействии ОБОРУДОВАНИЯ на ПАЦИЕНТА в целом при уровнях УПМ до 4 Вт/кг. Результаты расчетов вполне согласуются с исследованиями на добровольцах, которые подвергались воздействию УПМ, равной 4 Вт/кг, в течение 20 - 30 мин
[112],
[115]. Отсутствуют какие-либо сообщения о вредном влиянии на здоровье человека чрезмерного местного или систематического нагрева, вызванного воздействием на ПАЦИЕНТА УПМ при уровне для всего тела до 1,5 Вт/кг
[116].
Пределы УПМ всего тела указаны в
51.103. Значение 2,05 Вт/кг для НОРМАЛЬНОГО РЕЖИМА РАБОТЫ рекомендуется как наиболее высокий уровень УПМ всего тела, допустимый для всех ПАЦИЕНТОВ независимо от их состояния здоровья. ПАЦИЕНТЫ, у которых не отмечены нарушения терморегуляторной функции и сердечно-сосудистая недостаточность, могут подвергаться воздействию РЧ-излучения при более высоких значениях УПМ всего тела; для работы в РЕЖИМЕ КОНТРОЛЯ ПЕРВОГО УРОВНЯ рекомендуется верхний предел 4 Вт/кг. Следует отметить, что индивидуальная устойчивость к повышению температуры тела весьма различна даже у здоровых людей, поэтому при повышенных значениях УПМ всегда требуется МЕДИЦИНСКОЕ НАБЛЮДЕНИЕ
[117].
Указанные выше пределы установлены при условии, что температура в помещении, где проводится МАГНИТНО-РЕЗОНАНСНОЕ ОБСЛЕДОВАНИЕ, менее 24 °C, относительная влажность воздуха менее 60%, движение воздуха минимально, ПАЦИЕНТ легко одет. Расчеты, выполненные авторами
[118],
[119], могут быть использованы для корректирования допустимых значений УПМ в соответствии с условиями окружающей среды, ограничивающими теплоотвод. Можно приблизительно считать, что при повышении температуры воздуха на каждый 1 °C от уровня 24 °C допустимый верхний предел УПМ всего тела для работы в РЕЖИМЕ КОНТРОЛЯ ПЕРВОГО УРОВНЯ должен быть снижен на 0,25 Вт/кг. Равным образом на каждые 10% превышения относительной влажности воздуха этот предел должен быть снижен на 0,1 Вт/кг. При НОРМАЛЬНОМ РЕЖИМЕ РАБОТЫ пределы УПМ должны быть снижены на половину указанных значений, уровень менее 1 Вт/кг при температуре ниже 30 °C уменьшать нет необходимости. При внесении указанного корректирования следует помнить, что индивидуальные реакции ПАЦИЕНТОВ могут быть различными, поэтому за ними должно вестись усиленное наблюдение.
Некоторые участки тела, например голова, могут быть весьма чувствительны к повышениям температуры. Особо восприимчивыми к этому явлению следует считать развивающийся эмбрион и утробный плод. Ткани туловища и конечностей наименее чувствительны к повышению температуры. В
[120] показано, что местное повышение температуры до 38 °C головы, 39 °C туловища и 40 °C конечностей не должно приводить к отрицательным последствиям для организма. Простой расчет показывает, что при УПМ ГОЛОВЫ, равной 3 Вт/кг, температура глаз вряд ли повысится более чем на 1,6 °C; при тех же условиях температура мозга не должна возрасти более чем на 1 °C
[121].
В другом эксперименте подобные температуры были измерены у шести животных, которые были подвергнуты УПМ ВСЕГО ТЕЛА 1,5, 2 или 4 Вт/кг. В экспериментах просмотра головы температура кожи и глаз увеличилась приблизительно на 1,5 °C. Температура яремной вены (мозговая температура) повысилась на (0,46 +/- 0,05) °C после 60 мин к 90 мин просмотра. В просмотрах всего тела температуры ректальной и яремной вен повысились приблизительно на 1 °C, в то время как температура кожи живота повысилась на 7 °C. Основанный на моделях и данных, полученных на животных, уровень значений УПМ (усредненный по голове) до 3,2 Вт/кг считают незначительным. Предел УПМ ГОЛОВЫ 3,2 Вт/кг является значением, необходимым для ограничения повышения температуры глаз на 1 °C, что используется в Соединенных Штатах Америки десятилетиями. Кроме того, другие МЕСТНЫЕ пределы УПМ были сделаны совместимыми с ICNIRP.
Повышение температуры какого-либо участка тела как реакция на прерывистое поглощение энергии РЧ-излучения, например от импульсного источника, может быть соотнесено со значением УПМ, усредненным за половину времени установления теплового равновесия, причем этим временем считается время, отсчитываемое от начала воздействия источника тепла и необходимое для повышения температуры в центре нагреваемого участка на 50% максимального значения. Время установления теплового равновесия человеческого тела точно неизвестно, однако оно может составлять от 15 до 30 мин, тогда как температура органов, имеющих меньшую массу, устанавливается гораздо быстрее (например, время установления теплового равновесия для глаза составляет приблизительно 5 мин)
[123]. Этот стандарт консервативно использует 6 мин как период усреднения, для того чтобы определить УПМ для всех тканей тела. РЧ-передающие катушки могут быть выделены в два класса: ОБЪЕМ РЧ-ПЕРЕДАЮЩЕЙ КАТУШКИ И ЛОКАЛЬНАЯ РЧ-ПЕРЕДАЮЩАЯ КАТУШКА. Популярные значения класса ОБЪЕМ РЧ-ПЕРЕДАЮЩЕЙ КАТУШКИ - резонатор тела и главная катушка. ЛОКАЛЬНЫЕ РЧ-ПЕРЕДАЮЩИЕ КАТУШКИ обычно используются для спектроскопии.
Разделение в эти два класса введено, чтобы позволить простые, но - ввиду безопасности - все еще достаточные правила относительно контроля УПМ. Относительно ОБЪЕМА РЧ-ПЕРЕДАЮЩЕЙ КАТУШКИ достаточно управлять УПМ ВСЕГО ТЕЛА и ЧАСТИ ТЕЛА (включая УПМ ГОЛОВЫ), в то время как для ЛОКАЛЬНОЙ РЧ-ПЕРЕДАЮЩЕЙ КАТУШКИ, контроль всего тела и аспекты ЛОКАЛЬНОЙ УПМ адекватны. Необходим одновременный контроль УПМ ВСЕГО ТЕЛА вместе с УПМ ЧАСТИ ТЕЛА или с УПМ ГОЛОВЫ, чтобы найти значительное изменение ситуаций воздействия, которые связаны с изменчивостью катушки и измерениями ПАЦИЕНТА, и их относительных положений. Это требование автоматически регулирует наблюдение УПМ к самому критическому аспекту УПМ. Это демонстрируется в следующих четырех примерах:
Пример 1 - Исследование взрослого с РЧ-ПЕРЕДАЮЩЕЙ КАТУШКОЙ ГОЛОВЫ ясно означает частичную экспозицию тела (голова в общем). В этом случае УПМ ЧАСТИ ТЕЛА, ГОЛОВА ограничит количество передачи РЧ-энергии. Однако, исследование младенца с той же самой РЧ-ПЕРЕДАЮЩЕЙ КАТУШКОЙ ГОЛОВЫ должно быть оценено как воздействие УПМ ВСЕГО ТЕЛА (если младенец полностью помещается в упомянутой катушке). В этом случае УПМ ВСЕГО ТЕЛА будет ограничивающим фактором.
Пример 2 - Исследование головы ребенка в пределах относительного большого размера резонатора может вызвать более критическое значение УПМ ВСЕГО ТЕЛА, чем значение УПМ части тела.
Пример 3 - Исследование взрослого человека большого размера с относительным коротким резонатором тела означает частичное воздействие на тело больше, чем целое воздействие на тело. В этом случае УПМ выставленного частичного тела должен быть ограничен безопасным уровнем.
Пример 4 - Исследование взрослого с ЛОКАЛЬНОЙ РЧ-ПЕРЕДАЮЩЕЙ КАТУШКОЙ, очевидно, требует контроля ЛОКАЛЬНОЙ УПМ. Однако, в случае младенца и относительно большой ЛОКАЛЬНОЙ РЧ-ПЕРЕДАЮЩЕЙ КАТУШКИ УПМ ВСЕГО ТЕЛА может стать самым критическим значением.
УПМ ГОЛОВЫ, УПМ ВСЕГО ТЕЛА и ЛОКАЛЬНЫЕ пределы УПМ были подтверждены ранее несколькими источниками экспериментальных данных и теоретического моделирования. Однако желательное упрощение контроля УПМ относительно типа объема РЧ-ПЕРЕДАЮЩЕЙ КАТУШКИ заставляет вводить предел УПМ ЧАСТИ ТЕЛА относительно части тела, подвергнутой воздействию (см., например,
пример 3). Этот предел был выбран для отношения
Масса исследуемой части тела/Полная масса ПАЦИЕНТА.
Следующее рассмотрение приводит к данному утверждению. Если ПАЦИЕНТ полностью приспосабливает РЧ-ПЕРЕДАЮЩУЮ КАТУШКУ исследуемая масса равняется полной массе ПАЦИЕНТА и, следовательно, предел части тела должен быть идентичным пределу УПМ ВСЕГО ТЕЛА. С другой стороны, предел может увеличиться с уменьшающейся длиной катушки. В случае очень короткой РЧ-ПЕРЕДАЮЩЕЙ КАТУШКИ ЧАСТИ ТЕЛА предел УПМ равняется ЛОКАЛЬНОМУ пределу УПМ. Кажется оправданным применение линейной зависимости вышеупомянутого массового отношения. Рисунок BB.8 показывает графическую иллюстрацию этого.

- режим контроля первого уровня;

- нормальный режим работы
Примечание - Для определения формы распределения поглощения РЧ и определения массы исследуемой части тела ПАЦИЕНТА должны быть оформлены регистрационные данные ПАЦИЕНТА (например, простыми цилиндрами, моделирующими голову, туловище и конечности). Для этих статистических данных применены нормальные размеры исходя из антропометрических источников данных, например, изданные американским Национальным Центром Статистики Здоровья (NCHS).
Рисунок BB.8 - Зависимость пределов УПМ от массы ПАЦИЕНТА
В IEC 60601-1 дан поверхностный температурный предел (Tlimit = 41 °C) для объектов, которые могут войти в контакт с человеческим телом. Однако, было бы полезно идентифицировать пределы для поверхностного нагревания электронной схемы (например, РЧ-получающую катушку). Температура кожи в нормальных условиях (непросмотр) - приблизительно 33 °C, но в течение МР-ОБСЛЕДОВАНИЯ с высокой УПМ ВСЕГО ТЕЛА кровеносные сосуды кожи расширяются и температура кожи будет приблизительно 37 °C. Приняты следующие величины для параметров:
- температура окружающей среды Ta - 273 К + 21 К;
- температурный
Ts кожи
Ta -

;
- УПМ ВСЕГО ТЕЛА, определенная поглотительная норма;
- МЕТ основным метаболическим (= 1,2 Вт/кг),
- m масса ПАЦИЕНТА (= 75 кг),
- постоянная

[5,67·10
-8 Вт/(м
2 К
4)],
- область A - область поверхности ПАЦИЕНТА (= 1,9 м2).
Электронная схема при тесте помещена в соответствующий (теплоизолированный) фантом, и протокол просмотра длится 20 мин при использовании в самой высокой клинической УПМ ВСЕГО ТЕЛА для МР-ОБОРУДОВАНИЯ.
Тогда нагревание электронного повышения температуры поверхности схемы могло бы быть ограничено

или 4 °C, в зависимости от того, что больше.
51.104 Защита от высоких постоянных магнитных полей
Рациональный выбор предела 2
T для НОРМАЛЬНОГО РЕЖИМА РАБОТЫ и 4
T как предела для РЕЖИМА КОНТРОЛЯ ПЕРВОГО УРОВНЯ описан в
6.8.2, перечисление hh) этого приложения.
(справочное)
ПЕРЕЧЕНЬ
ТЕРМИНОВ, ПРИМЕНЯЕМЫХ В НАСТОЯЩЕМ СТАНДАРТЕ
IEC 60788, Medical radiology - Terminology .................................... | rm-..-. |
Clause 2 of the General Standard ........................................................ | NG-2 |
Clause 2 of this Particular Standard .................................................... | MR-2 |
Accompanying documents | rm-82-01 |
Accessible surface | rm-84-07 |
Compliance volume | MR-2.12.104 |
Computed tomography | rm-41-20 |
Control panel | rm-83-02 |
Controlled access area 2.11.101 ОБЛАСТЬ КОНТРОЛИРУЕМОГО ДОСТУПА | MR-2.11.101 |
Emergency field shut down unit 2.11.102 УСТРОЙСТВО АВАРИЙНОГО ОТКЛЮЧЕНИЯ ПОЛЯ | MR-2.11.102 |
Equipment ОБОРУДОВАНИЕ | NG-2.2.11 |
Effective stimulus duration 2.101.8 ЭФФЕКТИВНАЯ ДЛИТЕЛЬНОСТЬ СТИМУЛА ts,eff | MR-2.101.8 |
First level controlled operating mode | MR-2.10.102 |
Gradient output | MR-2.101.7 |
Gradient unit | MR-2.2.108 |
Head RF transmit coil 2.2.111 РЧ-ПЕРЕДАЮЩАЯ КАТУШКА ГОЛОВЫ | MR-2.2.111 |
Head УПМ | MR-2.101.4 |
Instructions for use ИНСТРУКЦИИ ПО ЭКСПЛУАТАЦИИ | rm-82-02 |
Local RF transmit coil 2.2.112 ЛОКАЛЬНАЯ РЧ-ПЕРЕДАЮЩАЯ КАТУШКА | MR-2.2.112 |
Local УПМ | MR-2.101.5 |
Magnetic resonance | MR-2.12.101 |
Magnetic resonance equipment (Mr equipment) | MR-2.2.101 |
Magnetic resonance examination (MR examination) | MR-2.10.104 |
Magnetic resonance system (Mr system) 2.2.102 МАГНИТНО-РЕЗОНАНСНАЯ СИСТЕМА (МР-СИСТЕМА) | MR-2.2.102 |
Manufacturer | rm-85-03 |
Maximum gradient slew rate 2.12.105 МАКСИМАЛЬНЫЙ УРОВЕНЬ ИЗМЕНЕНИЯ ГРАДИЕНТА | MR-2.12.105 |
Medical electrical equipment | NG-2.2.15 |
Medical supervision | MR-2.12.103 |
Normal operating mode | MR-2.10.101 |
ROUTINE MONITORING | - |
SEARCH COIL | - |
SPECIFIC ABSORBTION RATE (УПМ) 2.101.1 УДЕЛЬНАЯ ПОГЛОЩЕННАЯ МОЩНОСТЬ (УПМ) | - |
WHOLE BODY (УПМ) | - |
PARTIAL BODY УПМ | - |
2.2.106 ГРАДИЕНТНАЯ СИСТЕМА ВСЕГО ТЕЛА | - |
2.2.107 СПЕЦИАЛЬНАЯ ГРАДИЕНТНАЯ СИСТЕМА | - |
2.2.109 ОБЪЕМНАЯ РЧ ПЕРЕДАЮЩАЯ КАТУШКА | - |
2.2.110 ПЕРЕДАЮЩАЯ РЧ КАТУШКА ВСЕГО ТЕЛА | - |
| - |
| - |
| - |
| - |
| - |
| - |
2.12.105 МАКСИМАЛЬНЫЙ УРОВЕНЬ ИЗМЕНЕНИЯ ГРАДИЕНТА | - |
| - |
2.101.6 СКОРОСТЬ ИЗМЕНЕНИЯ МАГНИТНОГО ПОЛЯ ( dB/ dt) | - |
| SHELLOCK, FG. and KANAL, E. Magnetic Resonance: Bioeffects, Safety, and Patient Management. New York: Lippincott Raven Press, 1996 |
| SHELLOCK, FG. Pocket Guide to mr Procedures and Metallic Objects: Update 2000. New York: Lippincott, Williams and Wijkins, 2000 |
| Occupational Health and Safety Administration, USA. Occupational noise exposure. Occupational health and safety standards, 1970, Part 1910.95, 29 CFR. Ch XVII |
| European Community. Council directive 86/188/EEC of 26 June 1986 on the protection of workers from the risks related to exposure to noise at work |
| KRYTER, KD. Interruption in days or years of exposure. In The effects of noise on man. 2nd edition. Acad. Press, 1985, pp. 274 - 275, ISBN 0-12-427460-9 |
| MC JURY, M. and SHELLOCK, FG. Auditory noise associated with MRI procedures: a review. J Mag Res Im, 2000, 12:37 - 45 |
| COUNTER, SA., OLOFSSON, A., GRAHN, H., BORG, E. MRI acoustic noise: sound pressure and frequency analysis. J Mag Res Im, 1997, 7:606 - 611 |
| FOSTER, JR., HALL, DA., SUMMERFIELD, AQ., BOWTELI, RW. Sound level measurements and calculation of safe noise dosage at 3 T. J Mag Res Im, 2000, 12:157 - 164 |
| BRUMMET, RE., TALBOTT, JM., CHARUHAS, P. Potential hearing loss resulting from MR imaging. Radiology, 1988, 169:539 - 540 |
| MANGHAM, CA. The effect of drugs and systemic disease on the acoustic reflex. In SILMAN, S., ed. The acoustic reflex, basic principles and clinical applications. Acad. Press 1984, pp. 441 - 464, ISBN 0-12-64350-6 |
| BARBARO, V, BARTOLINI, P., TARRICONE, L. Evaluation of static magnetic field levels interfering with pacemakers. Physica Medica, VII. 1991, pp. 73 - 76 |
| EN 50061:1988 Safety of Implantable Cardiac Pacemakers |
[13] | ATHEY, TW. Current FDA guidance for MR patient exposure and considerations for the Future. Annals of the New York Academy of Sciences, 1992, 649, pp. 242 - 257 |
[14] | FDA, 1988, (August 2) Guidance for content and review of a magnetic resonance diagnostic device 510 (k) application: safety parameter action levels, Center for Devices and Radiological Health Report (Rockville, Maryland) |
| STRATTON, JA. Electromagnetic Theory. New York: MacGraw-Hill, 1941, pp. 153 - 156 |
| KANAL, E. An overview of electromagnetic safety considerations associated with magnetic resonance imaging. Annals of the New York Academy of Sciences, 1992, 649, pp. 204 - 224 |
| UENO, S. and IWASAKA, M. Properties of diamagnetic fluid in high gradient magnetic fields. J. Appl. Phys., 1994, 75, pp. 7177 - 7179 |
| UENO, S. and IWASAKA, M. Parting of water by magnetic fields. IEEE Trans. Magn., 1994, 30, pp. 4698 - 4700 |
| ICHIOKA, S., MINEGISHI, M., IWASAKA, M., SHIBATA, M., NAKATSUKA, T., HARM, K., KAMIYA, A., and UENO S. High-intensity static magnetic fields modulate skin microcirculation and temperature in vivo. Bioelectromagnetics, 2000, 21. pp. 183 - 188 |
| HALLIDAY, D. and RESNICK, R. Physics, New York: John Wiley, 1966, p. 873 |
| WIKWSO, JP. Jr. and BARACH, JP. An Estimate of the Steady Magnetic Field Strength Required to Influence Nerve Conduction. IEEE Trans. Biomed. Eng., 1980, 27, p. 722 |
| KOLIN, A. Improved apparatus and technique for electromagnetic determination of blood flow. Rev. Sci. Instrum. 1952, 23, pp. 235 - 240 |
| BEISCHER, DE., and KNEPTON, JC. Jr. Influence of strong magnetic fields on the electrocardiogram of squirrel monkeys, (Saimiri Sciureus). Aerospace Med., 1964, 35, p. 939 |
| SCHENCK, JF. Health and physiological effects of human exposure to whole-body four-Tesla magnetic fields during MRI. Annals of the New York Academy of Sciences, 1992, 649, pp. 285 - 301 |
| COLEMAN, MP. and BERAL V. A Review of epidemiological studies of health effects of living near or working with electricity generation and transmission equipment. Int. J. Epid., 1988, 17, pp. 1 - 13 |
[26] | DENNIS, JA., MUIRHEAD, CR. and ENNIS, JR. Epidemiological studies of exposure to electromagnetic fields, II: cancer. J. Radiol. Prot., 1991, 11, pp. 13 - 25 |
[27] | KNAVE, GG. and TORNQUIST, SG. Epidemiological studies on effects of exposure to ELF electromagnetic fields. A review of Biological Effects of Static and ELF Magnetic Fields. Ed. JH. Bernhardt. Munich: mmV Medizin, 1986, pp. 143 - 153 |
[28] | SAVITZ, DA., WACHTEL, H., BARNES, FA., JOHN, EM. and TORDIK, JG. Case control study of childhood cancer and exposure to 60 Hz magnetic fields. Am. J. Epidemiol., 1988, 128, pp. 21 - 38 |
[29] | TOMENIUS, L., HALLSTROM, L. and ENANDER, B. Electrical constructions and 50 Hz magnetic fields at the dwellings of tumor cases (0 - 18 years of age) in the country of Stockholm. Proc. Int. Symp. Occup. Health and Safety in Mining and Tunneling, 1982 |
[30] | WERTHEIMER, N. and LEEPER, E. Electrical wiring configuration and childhood cancer. Am. J. Epidemiol. 1979, 109, pp. 273 - 284 |
| WERTHEIMER, N. and LEEPER, E. Adult cancer related to electrical wires near the home. Int. J. Epidemiol. 1982, 11, pp. 345 - 355 |
| CALLE, EE. and SAVITZ, DA. Leukemia in occupational groups with presumed exposure to electrical and magnetic fields. New England J. Med., 1985, 313, pp. 1476 - 1477 |
[33] | COLEMAN, M., BELL J., and SKEET R. Leukaemia incidence in electrical workers. Lancet, 1981, 1, pp. 982 - 983 |
[34] | LIN, R.S. et al. Occupational exposure to electromagnetic fields and the occurrence of brain tumors: an analysis of possible association. J. Occup. Med. 1985, 27, pp. 413 - 419 |
[35] | MCDOWALL, ME. Leukemia mortality in electrical workers in England and Wales. Lancet, 1983, 1, p. 246 |
| MILHAM, S. Jr. Mortality from leukemia in workers exposed to electrical and magnetic fields. New Engl. J. Med. 1982, 307, p. 249 |
| BERNHARDT, JH. Non-ionizing radiation safety: radio-frequency radiation, electric and magnetic fields. Phys. Med. Biol., 1992, 4, pp. 807 - 844 |
| LYLE, B.L., et al. Modulation of Calcium Uptake by concanavalin A and ouabain in normal and leukemic T-lymphocytes exposed to magnetic fields under calcium cyclotron resonance conditions. Abstracts of the Twelfth Annual Meeting of the Bioelectromagnetics Society, San Antonio, TX, 1990, p. 51 |
| HABERDITZL, W. Enzyme activity in high magnetic fields. Nature, 1967, 213, pp. 72 - 73 |
| MANSFIELD, P. and MORRIS, PG. NMR Imaging in Biomedicine. In WAUGH, JS., ed. Advances in Magnetic Resonance, Suppl. 2. New York: Academic Press, 1982 |
| MCLAUCHLAN, KA. The effects of magnetic fields on chemical reactions. Sci Prog, 1981, 67, pp. 509 - 529 |
| WAUGH, J. Biomagnetic effects, In WAUGH, JS, ed. Advances in Magnetic Resonance, Suppl. 2. New York: Academic Press, 1982 |
[43] | PERSSON, BRR. and STAHLBERG, F. Potential health hazards and safety aspects of clinical NMR examinations. In BERTIL, BRR, ed. Seminars on Biomedical Applications of Nuclear Magnetic Resonance Lund, Sweden: Radiation Physics Dept., LaTASettet |
[44] | SAUNDERS, RD. and SMITH, H. Safety aspects of NMR clinical imaging. British Medical Bulletin, 1984, 40 (2), pp. 148 - 154 |
[45] | SHELLOCK, FG. Biological effects and safety aspects of magnetic resonance imaging. Magnetic Resonance Quarterly, 1989, 5(4), pp. 243 - 261 |
| TENFORDE, TS., and BUDINGER, TF. Biological effects and physical safety aspects of NMR imaging and in-vivo spectroscopy. In THOMAS, SR. and DIXON, RL, eds. NMR in Medicine: Instrumentation and Clinical Applications, Medical Monograph No. 14, New York: Amer. Assoc. Phys. Med., 1986, pp. 493 - 548 |
| SHELLOCK, FG., SCHAEFER, DJ, and GORDON CJ. Effect of a 1,5 T static magnetic field on body temperature of DJ man. Magn. Reson. Med., 1986, 3, pp. 644 - 647 |
| SPERBER, D., OLDENBOURG, R. and DRANSFIELD, DK. Magnetic field induced temperature change in mice. Naturwissenschaften, 1984, 71, p. 101 |
| UENO, S. Embryonic development of xenopus laevis under static magnetic fields up to 6,34 T. J. Appl. Phys., 1990, 67, pp. 5841 - 5843 |
| GAFFEY, CT. and TENFORDE, TS. Bioelectric properties of frog sciatic nerves during exposure to stationary magnetic fields. Radiat. Environ. Biophys., 1983, 22, pp. 61 - 73 |
| HONG, CZ. AND SHELLOCK, FG. Short-term exposure to a 1,5 Tesla static magnetic field does not affect somato-sensory-evoked potentials in man. Magnetic Resonance Imaging, 1990, 8, pp. 65 - 69 |
| HONG, CZ., HARMON, D., and YU, J. Static magnetic field influence on rat tail nerve function. Arch. Phys. Med. Rehabil., 1986, 67, pp. 746 - 749 |
| ATKINS, PW. Magnetic field effects. Chem Brit, 1976, 12, pp. 214 - 218 |
| COOK, ES., FARDON, JC. and NUTINI, LG. Effects of magnetic fields on cellular respiration. In BARNOTHY, M.F., ed. Biological Effects of Magnetic Fields, Vol. 2. New York: Plenum Press, 1969, pp. 67 - 78 |
| FARDON, JC, POYDOK, SME. and BASULTO, G. Effect of magnetic fields on the respiration of malignant, embryonic, and adult tissue. Nature, 1966, 211, p. 433 |
| BARNOTHY, MF. Hematological changes in mice. In Barnothy, MF., ed. Biological Effects of Magnetic Fields, Vol. 1. New York: Plenum Press, 1964, pp. 109 - 126 |
[57] | EISELEIN, JE., BOUTELL, HM. and BIGGS, MW. Biological effects of magnetic fields-negative results. Aerospace Med, 1961, 32, pp. 383 - 386 |
| BATTOCLETTI, JH., SALLES-CUNHA, S., HALBACH, RE. et al. Exposure of Rhesus Monkeys to 20,000 G Steady Magnetic Field: Effect on Blood Parameters. Med Phys, 1981, 8, pp. 115 - 118 |
| BEISCHER, DE. Human tolerance to magnetic fields. Astronautics 1962, 7, p. 24 |
| BUDINGER, TF., BRISTOL, KS., YEN, CK. et al. Biological effects of static magnetic fields. Abstracts, Third Annual meeting, Society of Magnetic Resonance in Medicine, New York, 1984, p. 113 |
| KANAL, E., SHELLOCK, FG. and SAVITZ, DA. Survey of reproductive health among female mr operators. Abstract presented at the Seventy-seventh Annual Meeting of the Radiological Society of North America, 1991 |
| VYALOV, A.M. Magnetic fields as a factor in the industrial environment. Vestn Akad Med Nauk SSSR, 1967, 8, pp. 72 - 79 |
| VYALOV, A.M. Clinico-hygenic and experimental data on the effects of magnetic fields under industrial conditions. KHOLODOV, Yu. A., ed. Influence of Magnetic Fields on Biological Objects, Joint Publ Res Service Rep No. 63038. Springfield, VA; National Technical Information Service, 1974, pp. 163 - 174 |
| KAY, HH., HERFKENS, RJ., and KAY, BK. Effect of magnetic resonance imaging on Xenopus laevis embryogenesis Magn Reson Imaging 1988, 6, pp. 501 - 506 |
| MCROBBIE D., FOSTER MA. Pulsed magnetic field exposure during pregnancy and implications for NMR foetal imaging: a study with mice. Magn Reson Imaging 1985, 3, pp. 231 - 234 |
| PRASAD, N., WRIGHT, DA., FORD, JJ., THORNBY, JI. Safety of 4-T MR imaging: study of effects on developing frog embryos. Radiology, 1990 Jan., 174(1), pp. 251 - 253 |
| SCHENCK, JF., DUMOULIN, CL, REDINGTON, RW., KRESSEL, HY., ELLIOTT, RT., MCDOUGALL, IL. Human exposure to 4,0-Tesla magnetic fields in a whole-body scanner. Med Phys, 1992 July, 19(4), pp. 1089-1098 |
| RAYLMAN, RR., CLAVO, AC, WAHL, RL. Exposure to strong static magnetic field slows the growth of human cancer cells in vitro. Bioelectromagnetics, 1996, 17(5), pp. 358 - 363 |
| KROEKER, G., PARKINSON, D., VRIEND, J., PEELING, J. Neurochemical effects of static magnetic field exposure. Surg Neurol, 1996 Jan., 45(1), pp. 62 - 66 |
| NARRA, VR., HOWELL, RW., GODDU, SM., RAO, DV. Effects of a 1,5-Tesla static magnetic field on spermatogenesis and embryogenesis in mice. Invest Radiol, 1996 Sep, 31(9), pp. 586 - 590 |
| EHENSON, P., DUBOC, D., LAVERGNE, T., GUIZE, L, GUERIN, F., DEGEORGES, M., SYROTA, A. Change in human cardiac rhythm induced by a 2-T static magnetic field. Radiology 1988 Jan., 166(1 Pt 1), pp. 227 - 230 |
| KINOUCHI, Y., YAMAGUCHI, H., TENFORDE, TS. Theoretical analysis of magnetic field interactions with aortic blood flow. Bioelectromagnetics, 1996, 17(1), pp. 21 - 32 |
| U.S. Department of Health and Human Services, Food and Drug Administration, Center for Devices and Radiological Health. Guidance for Magnetic Resonance Diagnostic Devices - Criteria for Significant Risk Investigations. 1997 |
| National Radiological Protection Board (UK). Guidance as to Restrictions on Exposures to Static (DC) Electric and Magnetic Fields. Supplement to NRPB-GS11, 1989 |
[75] | American Conference of Governmental Industrial Hygienists (ACGIH), Threshold Limit Values for Chemical Substances and Physical Agents, 1993 - 1994 |
[76] | MILLER, G. Exposure Guidelines for Magnetic Fields. Am Ind Hyg Assoc Jour, 1987, 48, pp. 957 - 968 |
| Australian Radiation Laboratory. Safety Guidelines for Magnetic Resonance Diagnostic Facilities. 1991. |
| International Commission on Non-ionizing Radiation Protection (IC-NIRP). Guidelines on Limits of Exposure to Static Magnetic Fields. Health Physics, 1994, 66 (1), pp. 100 - 106 |
| KELTNER, JR., ROOS, MS., BRAKEMAN, PR. and BUDINGER, TF. Magnetohydrodynamics of Blood Flow. Magnetic Resonance in Medicine, 1990, 16, pp. 139 - 149 |
| GANONG, WF. Review of Medical Physiology, 6th Edition. Los Altos, CA: Lange Medical Publ, 1973 |
| REILLY, JP. Cardiac sensitivity to electrical stimulation. U.S. Food and Drug Administration Report MT 89 - 101, 1989 |
| SCHENCK, JF. Safety of Strong, Static Magnetic Fields. J of Magn. Res. Imaging, 2000, 12, 2 - 19 |
| National Electrical Manufacturers Association, MR Section. Accessory equipment considerations with respect to magnetic resonance imaging compatibility. J of Magn. Res. Imaging, 1998 |
| BERNHARDT, JH. The establishment of frequency dependent limits for electric and magnetic fields and evaluation of indirect effects. Radiat. Environ. Biophys, 1988, 27, pp. 1 - 27 |
| REILLY, JP. Peripheral nerve and cardiac excitation by time-varying magnetic fields: A comparison of thresholds. NY Acad. of Sci., 1992, 649, pp. 96 - 117 |
| LAPICQUE, L. Definition experimental de l'excitation. Comptes Rendues Acad. Sci., 1909, 67, pp. 280 - 285 |
| IRNICH W., SCHMITT F. Magnetostimulation in MRI. Mag. Res. Med., 1995, 33, pp. 619 - 623 |
| SCHAEFER, D.J. Safety Aspects of Radio Frequency Power Deposition in Magnetic Resonance. E. Kanal, ed. MRI Clinics of North America, 1998, 6(4), pp. 775 - 789 |
| HAM, CGL, ENGELS, JML., VAN DE WIEL, GT., MACHIELSEN, A. Peripheral nerve stimulation during MRI: effects of high gradient amplitudes and switching rates. J. Mag. Res. Imaging, 1997, 5, pp. 933 - 937 |
| BOURLAND, JD., NYENHUIS, JA. and SCHAEFER, DJ. Physiologic Effects of Intense MRI Gradient Fields. Neuroimaging Clinics of North America, 1999, 9(2), pp. 363 - 377 |
| HEBRANK, FX. and GEBHARDT M. SAFE Model - a new method for predicting peripheral nerve stimulations in MRI. Soc. Mag. Res. Im. Proceedings 2000 conference, 2000, p. 2007 |
| BOTWELL, R. and BOWLEY, L.M. Analytic calculations of the E-Fields Induced by Time-Varying Magnetic Fields Generated by Cylindrical Gradient Coils. Mag. Res. Med., 2000, 44, pp. 782 - 790 |
| HARVEY, P.R. and MANSFIELD, P. Avoiding Peripheral Nerve Stimulation: Gradient Waveform Criteria For Optimum Resolution in EPI. Mag. Res. Med., 1994, 32, pp. 236 - 241 |
| MANSFIELD, P. and HARVEY, PR. Limits to Neural Stimulation in EPI. Mag. Res. Med., 1993, 29, pp. 746 - 758 |
| FRESE, G., HEBRANK, FX., RENZ, W., STORCH, T. Physikalische Parameter bei der Anwendung der MRT. Radiologe, 1998, 38, pp. 750 - 758 |
| BUDINGER, TF., FISCHER, H., HENTSCHEL, D., REINFELDER, HE., SCHMITT, F. Physiological effects of fast oscillating magnetic field gradients. Jour. Comp. Ass. Tech, 1991, 15, pp. 909 - 914 |
| DEN BOER, JA., BAKKER, R., HAM, CGL., SMINK, J. Generalization to complex stimulus shape of the nerve stimulation threshold based on existing knowledge of its relation to stimulus duration for rectangular stimuli. Proceedings ISMRM 1999, p. 108 |
| SAUNDERS, RD., SIENKIEWICZ, ZJ. and KOWALCZUK, Cl. Biological effects of electromagnetic fields and radiation. J. Radiol. Prot., 1991, 11, pp. 27 - 42 |
| BOTTOMLEY, PA. and ANDREW, ER. RF magnetic field penetration, phase shift and power dissipation in biological tissue: Implications for NMR imaging. Phys. Med. Biol., 1978, 23, pp. 630 - 643 |
| SCHENCK, JF. and HUSSAIN, MA. Power deposition during magnetic resonance. The effects of local inhomogeneities and field exclusion. General Electric Corporate Research and development Labs. NMR Project Memo No. 84-199, Oct 17, 1984 |
| GANDHI, OP. and CHEN, JY. Absorption and Distribution Patterns of RF Fields. Annals of the New York Academy of Sciences, 1992, 649, pp. 131 - 143 |
| GRANDOLFO, M., POLICHETTI, A., VECCHIA, P. and GANDHI, OP. Spatial Distribution of RF Power in Critical Organs during Magnetic resonance Imaging. Annals of the New York Academy of Sciences, 1992, 649, pp. 176 - 187 |
| GABRIEL, C. Localised SAR in people undergoing NMR imaging. A report prepared for the National Radiological Protection Board, Chilton, Didcot, Oxon, UK. by University Microwave, London, 1989 |
| GRANDOLFO, M., VECCHIA, P., GANDHI, OP. Magnetic resonance imaging: Calculation of rates of energy absorption by a human-torso model. Bioelectromagnetics, 1990, 11, pp. 117 - 128 |
| ROWELL, LB. Cardiovascular aspects of human thermoregulation. Circ. Res., 1983, 52, p. 367 |
| International Radiation Protection Association (IRPA)/International Non-Ionizing Radiation Committee (INRC). Protection of the patient undergoing a magnetic resonance examination. Health Physics, 1991, 61, pp. 923 - 928 |
| KENNEY, WL. Physiological correlates of heat intolerance. Sports Med., 1985, 2, pp. 279 - 286 |
| MINARD, D. Pre-employment and periodic medical examinations for workers on hot jobs. In DUKES-DUBOS, FN and HENSCHEL, A., eds., Proceedings of a NIOSH Workshop on Recommended Heat Stress Standards. Cincinnati, Ohio: U S Department of Health and Human Services, DHSS (NIOSH) 81-108, 1980, pp. 61 - 70 |
| SMITH, DA., CLARREN, SK., HARVEY, MAS. Hyperthermia as a possible teratogenic agent. Pediatrics, 1978, 92, pp. 878 - 883 |
| PLEET, H., GRAHAM JM. and SMITH, DW. Central nervous system and facial defects associated with maternal hyperthermia at four to 14 weeks' gestation. Pediatrics, 1981, 67, pp. 785 - 789 |
| ADAIR, ER., and BERGLUND, LG. On the thermoregulatory consequences of NMR imaging. Magn. Reson. Imaging, 1986, 4, pp. 321 - 333 |
| SCHAEFER, DJ., BARBER, BJ., GORDON, CJ., ZIELONKA, J., and HECKER, J. Thermal effects of magnetic resonance imaging (MRI). In Abstracts: Society of Magnetic Resonance in Medicine. Volume 2. Berkeley, California: Society of Magnetic Resonance in Medicine, 1985, pp. 925 - 926 |
[113] | KIDO, DK., MORRIS, TW., ERICKSON, JL, PLEWES, DB., and SIMON, JH. Physiologic changes during high field strength MR imaging. Am J Neuroradiol, 1987, 8, pp. 263 - 266 |
[114] | ABART, J., BRINKER, G., IRLBACHER, W., GREBMEIER, J. Temperature and heart rate changes in, MRI at SAR levels of up to 3 W/kg. Abstract, Society for Magnetic Resonance in Medicine, 1989 August, p. 998 |
| SHELLOCK, FG., SCHAEFER, DJ., CRUES, JV. Alterations in body and skin temperatures caused by magnetic resonance imaging: is the recommended exposure for radio frequency radiation too conservative? Brit. J. Radiol., 1989, 62, pp. 902 - 909 |
| SCHAEFER, DJ.,. Dosimetry and effects of MR exposure to RF and switched magnetic fields. In MAGIN, RI., LIBURDY, RP. and PERSSON, B., eds. Biological Effects and Safety Aspects of Nuclear Magnetic Resonance Imaging and Spectroscopy. The New York Academy of Sciences, 1991, 649, pp. 225 - 236 |
| NIOSH, 1986. Occupational exposure to hot environments. Revised criteria, 1986. National Institute for Occupational Safety and Health, U.S. Dept. of Health and Human Services, DHHS (NIOSH), pp. 86 - 113 |
| ADAIR, ER., and BERGLUND, LG., Thermoregulatory consequences of cardiovascular impairment during NMR imaging in warm/humid environments. Magn. Reson. Imag. 1989, 7, pp. 25 - 37 |
| ADAIR, ER. and BERGLUND LG. Predicted thermophysiological responses of humans to MRI fields. In.MAGIN, RL, LIBURDY, RP., and PERSSON, B., eds. Biological Effects and Safety Aspects of Nuclear Magnetic Resonance Imaging and Spectroscopy. Annals of the New York Academy of Sciences, 1992, 649, pp. 188 - 200 |
| CZERSKI, P. and ATHEY, TW. Safety of magnetic resonance in vivo diagnostic examinations: Theoretical and clinical considerations. Rockville, Maryland: Centre for Devices and Radiological Health, 1987 |
| ATHEY, TW. A model of the temperature rise in the head due to magnetic resonance imaging procedures. Magn. Reson. Med., 1989, 9, pp. 177 - 184 |
[122] | BARBER, BJ., SCHAEFER, DJ., GORDON, CJ., ZAWIEJA, DC. and HECKER, J. Thermal effects of MR imaging: worst-case studies on sheep. American Journal of Roentgenology, 1990, 155, pp. 1105 - 1110 |
| SCOTT, JA. A finite element model of heat transport in the human eye. Phys. Med. Biol., 1988, 33, pp. 227 - 241 |
Общие ссылки на документы:
BOTTOMLEY, PA., and EDELSTEIN, WA. Power deposition in whole-body NMR imaging. Med. Phys., 1981, 8, pp. 510 - 512
SHELLOCK, FG. and KANAL, E. Magnetic Resonance: Bioeffects, Safety and Patient Management. New York: Lippincot Raven Press, 1996
SCHAEFER, DJ. Safety Aspects of Radio Frequency Power Deposition in Magnetic Resonance., E. Kanal, ed. MRI Clinics of North America, 1998, 6(4), pp. 775 - 789
SHELLOCK, FG., Pocket Guide to mr Procedures and Metallic Objects: Update 2000. New York: Lippincott Williams and Wilkins, 2000
SCHAEFER, DJ. and BOURLAND, JD. Review of Patient Safety in Time-Varying Gradient Fields. J of Magn. Res. Imaging, 2000, 12(1), pp. 20 - 29
SHELLOCK, F.G., ed. Magnetic Resonance Procedures: Health Effects and Safety, CRC Press, 2001
(справочное)
СВЕДЕНИЯ О СООТВЕТСТВИИ ССЫЛОЧНЫХ МЕЖДУНАРОДНЫХ СТАНДАРТОВ
МЕЖГОСУДАРСТВЕННЫМ СТАНДАРТАМ
Таблица Д.А.1
Обозначение и наименование ссылочного международного стандарта | Обозначение и наименование международного стандарта другого года издания | Степень соответствия | Обозначение и наименование межгосударственного стандарта |
ISO 1999:1990 Определение воздействия шума на рабочем месте и оценка его влияния на ухудшение слуха | - | - | |
ISO 3846:1989 Измерение потока жидкости в открытых каналах с помощью лотков и водосливов. Измерительный прямоугольный свободный водослив с широким порогом | - | - | |
| | ИС МЕГАНОРМ: примечание. Взамен ГОСТ 12.4.026-76 Постановлением Госстандарта России от 19.09.2001 N 387-ст с 1 января 2003 года на территории Российской Федерации введен в действие ГОСТ Р 12.4.026-2001. | |
|
ISO 3864 Цвета и знаки безопасности | - | MOD | ГОСТ 12.4.026-76 Система стандартов безопасности труда. Цвета сигнальные и знаки безопасности |
ISO 7731:1986 Сигналы опасности для рабочих мест. Сигналы опасности звуковые | - | MOD | ГОСТ 30860-2002 Безопасность машин. Основные характеристики оптических и звуковых сигналов опасности. Технические требования и методы испытаний |
IEC 60804:2000 Измерители уровня звука интегрирующие усредняющие | - | - | |
IEC 60601-1:1988 Изделия медицинские электрические. Часть 1. Общие требования безопасности | - | IDT | Изделия медицинские электрические. Часть 1. Общие требования безопасности |
IEC 60601-1-1:1992 Изделия медицинские электрические. Часть 1-1: Общие требования безопасности. Дополняющий стандарт: Требования безопасности к медицинским электрическим системам | IEC 60601-1-1:2000 Изделия медицинские электрические. Часть 1-1: Общие требования безопасности. Дополняющий стандарт: Требования безопасности к медицинским электрическим системам | IDT | Изделия медицинские электрические. Часть 1-1. Общие требования безопасности. Требования безопасности к медицинским электрическим системам (IEC 60601-1-1:2000, IDT) |
IEC 60601-1-2:2001 Изделия медицинские электрические. Часть 1-2. Общие требования безопасности. Дополняющий стандарт. Электромагнитная совместимость. Требования и испытания | - | - | |
IEC 60601-1-4:1996 Изделия медицинские электрические. Часть 1. Общие требования безопасности. 4. Дополняющий стандарт: Программируемые медицинские электрические системы | - | MOD | Изделия медицинские электрические. Часть 1. Общие требования безопасности. 4. Требования безопасности к программируемым медицинским электронным системам |
IEC 60788:1984 Медицинская радиология. Терминология | - | - | |
IEC 60651:1979 Измерители уровня звука. (Шумомеры) | - | - | |
<*> Соответствующий межгосударственный стандарт отсутствует. До его утверждения рекомендуется использовать перевод на русский язык данного международного стандарта. Перевод данного международного стандарта находится в Федеральном информационном фонде технических регламентов и стандартов. Примечание - В настоящей таблице использованы следующие условные обозначения степени соответствия стандартов: - IDT - идентичные стандарты; - MOD - модифицированные стандарты. |