Главная // Актуальные документы // ГОСТ Р (Государственный стандарт)СПРАВКА
Источник публикации
М.: Стандартинформ, 2016
Примечание к документу
Документ
введен в действие с 1 января 2015 года.
Название документа
"ГОСТ Р МЭК 60601-2-33-2013. Национальный стандарт Российской Федерации. Изделия медицинские электрические. Часть 2-33. Частные требования безопасности с учетом основных функциональных характеристик к медицинскому диагностическому оборудованию, работающему на основе магнитного резонанса"
(утв. и введен в действие Приказом Росстандарта от 08.11.2013 N 1537-ст)
"ГОСТ Р МЭК 60601-2-33-2013. Национальный стандарт Российской Федерации. Изделия медицинские электрические. Часть 2-33. Частные требования безопасности с учетом основных функциональных характеристик к медицинскому диагностическому оборудованию, работающему на основе магнитного резонанса"
(утв. и введен в действие Приказом Росстандарта от 08.11.2013 N 1537-ст)
Утвержден и введен в действие
по техническому регулированию
и метрологии
от 8 ноября 2013 г. N 1537-ст
НАЦИОНАЛЬНЫЙ СТАНДАРТ РОССИЙСКОЙ ФЕДЕРАЦИИ
ИЗДЕЛИЯ МЕДИЦИНСКИЕ ЭЛЕКТРИЧЕСКИЕ
ЧАСТЬ 2-33
ЧАСТНЫЕ ТРЕБОВАНИЯ БЕЗОПАСНОСТИ С УЧЕТОМ ОСНОВНЫХ
ФУНКЦИОНАЛЬНЫХ ХАРАКТЕРИСТИК К МЕДИЦИНСКОМУ ДИАГНОСТИЧЕСКОМУ
ОБОРУДОВАНИЮ, РАБОТАЮЩЕМУ НА ОСНОВЕ МАГНИТНОГО РЕЗОНАНСА
Medical electrical equipment. Part 2-33. Particular
requirements for the basic safety and essential performance
of magnetic resonance equipment for medical diagnosis
IEC 60601-2-33:2010
Medical electrical equipment - Part 2-33: Particular
requirements for the basic safety and essential performance
of magnetic resonance equipment for medical diagnosis
(IDT)
ГОСТ Р МЭК 60601-2-33-2013
Дата введения
1 января 2015 года
1 ПОДГОТОВЛЕН Федеральным государственным бюджетным учреждением "Всероссийский научно-исследовательский и испытательный институт медицинской техники" Федеральной службы по надзору в сфере здравоохранения и социального развития (ФГБУ "ВНИИИМТ" Росздравнадзора) на основе собственного аутентичного перевода на русский язык международного стандарта, указанного в
пункте 4
2 ВНЕСЕН Техническим комитетом по стандартизации ТК 411 "Аппараты и оборудование для лучевой диагностики, терапии и дозиметрии"
3 УТВЕРЖДЕН И ВВЕДЕН В ДЕЙСТВИЕ
Приказом Федерального агентства по техническому регулированию и метрологии от 8 ноября 2013 г. N 1537-ст
4 Настоящий стандарт идентичен международному стандарту МЭК 60601-2-33:2012 "Изделия медицинские электрические. Часть 2-33. Частные требования безопасности с учетом основных функциональных характеристик к медицинскому диагностическому оборудованию, работающему на основе магнитного резонанса" (IEC 60601-2-33:2010 "Medical electrical equipment - Part 2-33: Particular requirements for the basic safety and essential performance of magnetic resonance equipment for medical diagnosis").
При применении настоящего стандарта рекомендуется использовать вместо ссылочных международных стандартов соответствующие им национальные стандарты Российской Федерации, сведения о которых приведены в дополнительном
приложении ДА
5 ВВЕДЕН ВПЕРВЫЕ
Правила применения настоящего стандарта установлены в ГОСТ Р 1.0-2012
(раздел 8). Информация об изменениях к настоящему стандарту публикуется в ежегодном (по состоянию на 1 января текущего года) информационном указателе "Национальные стандарты", а официальный текст изменений и поправок - в ежемесячном информационном указателе "Национальные стандарты". В случае пересмотра (замены) или отмены настоящего стандарта соответствующее уведомление будет опубликовано в ближайшем выпуске ежемесячного информационного указателя "Национальные стандарты". Соответствующая информация, уведомление и тексты размещаются также в информационной системе общего пользования - на официальном сайте Федерального агентства по техническому регулированию и метрологии в сети Интернет (www.gost.ru)
Настоящий стандарт подготовлен в период бурного развития МР ОБОРУДОВАНИЯ и возрастания интереса к проблеме его безопасного использования.
В рамках данного международного стандарта рассматриваются технические аспекты медицинских диагностических МР СИСТЕМ и МР ОБОРУДОВАНИЯ, безопасность МР СОТРУДНИКОВ, принимающих участие в его эксплуатации, безопасность МР СОТРУДНИКОВ, принимающих участие в разработке, производстве, установке и обслуживании МР СИСТЕМ, а также требования безопасности при контроле МР СИСТЕМ и МР ОБОРУДОВАНИЯ, включая контроль при эксплуатации. Предельно допустимые уровни (ПДУ) воздействия электромагнитных полей (ЭМП), установленные для ПАЦИЕНТОВ и МР СОТРУДНИКОВ, не могут быть приняты за приемлемые ПДУ на других рабочих местах и населения в целом. ПДУ устанавливают целесообразный баланс между РИСКОМ для ПАЦИЕНТОВ и МР СОТРУДНИКОВ и суммарной выгодой от проведения исследования ПАЦИЕНТА.
Организация работы по обеспечению безопасности - задача ОТВЕТСТВЕННОЙ ОРГАНИЗАЦИИ. Она включает в себя соответствующее обучение персонала, правила доступа к МР СИСТЕМАМ, квалификацию и подготовку персонала для принятия решений, связанных с безопасностью, определение медицинской ответственности и специальные требования, исходя из этой ответственности, нахождения ПАЦИЕНТА внутри или рядом с МР СИСТЕМОЙ.
Примерами такой работы являются:
- работа в РЕЖИМЕ КОНТРОЛЯ ПЕРВОГО УРОВНЯ;
- операции по освобождению ПАЦИЕНТА, находящегося внутри МР СИСТЕМЫ, в случае аварийной ситуации;
- действия, направленные на предотвращение или уменьшение последствий КВЕНЧА сверхпроводящих магнитов;
- разработка и внедрение протокола осмотра ПАЦИЕНТА на предмет противопоказаний или описание неприемлемых условий проведения МР ИССЛЕДОВАНИЯ;
- правила проведения МОНИТОРИНГА и МЕДИЦИНСКОГО КОНТРОЛЯ ПАЦИЕНТОВ в процессе сканирования;
- правила сведения к минимуму и ограничение воздействия ЭМП на МР СОТРУДНИКОВ.
Подробное обоснование определений и требований приведено в
приложении AA с целью предоставления пользователю стандарта полного доступа к материалам, используемым при его разработке.
Взаимосвязь настоящего стандарта с МЭК 60601-1 и дополнительными стандартами установлена в
201.1.3 и
201.1.4.
Представленные в данном стандарте ПДУ воздействия ЭМП на МР СОТРУДНИКОВ никогда не превысят соответствующих ПДУ для ПАЦИЕНТОВ. Все ПДУ, установленные для ПАЦИЕНТА и МР СОТРУДНИКОВ, служат для их защиты от негативного влияния на организм и неожиданных РИСКОВ.
Воздействие постоянных магнитных полей может привести к возникновению минимальных субъективных физиологических эффектов, способных косвенно влиять на состояние МР СОТРУДНИКОВ в течение воздействия магнитных полей или в течение короткого времени после него.
Воздействие, обусловленное СКОРОСТЬЮ ИЗМЕНЕНИЯ МАГНИТНОЙ ИНДУКЦИИ и РЧ полями, обычно не приводит к появлению физиологических эффектов.
Кроме того, биологические эффекты накопления при воздействии ЭМП на ПДУ не были доказаны экспериментально или теоретически.
Требования, предъявляемые к воздействию акустического шума, различны для ПАЦИЕНТА и МР СОТРУДНИКОВ.
201.1. Область применения, цель и взаимосвязь с другими стандартами
Применяют раздел 1 общего стандарта, за исключением:
201.1.1 Область применения
Замена:
К области применения настоящего стандарта относятся ОБЩАЯ БЕЗОПАСНОСТЬ и ФУНКЦИОНАЛЬНЫЕ ХАРАКТЕРИСТИКИ МР ОБОРУДОВАНИЯ и МР СИСТЕМ, в дальнейшем также упоминаемых как ME ОБОРУДОВАНИЕ, безопасность СОТРУДНИКОВ, принимающих участие в разработке, установке и обслуживании МР СИСТЕМ, а также требования безопасности при контроле МР СИСТЕМ и МР ОБОРУДОВАНИЯ, включая контроль при эксплуатации.
В рамках настоящего стандарта не рассматривается применение МР ОБОРУДОВАНИЯ вне его ИСПОЛЬЗОВАНИЯ ПО НАЗНАЧЕНИЮ.
Если пункт или подпункт относится к применению только МР ОБОРУДОВАНИЯ или только МР СИСТЕМ, об этом будет упомянуто в заголовке и содержании соответствующего пункта или подпункта. В противном случае пункт или подпункт применяется как к МР ОБОРУДОВАНИЮ, так и к МР СИСТЕМАМ.
Стандарт не формулирует требований к ФУНКЦИОНАЛЬНЫМ ХАРАКТЕРИСТИКАМ, относящимся к ИНТЕРВЕНЦИОНАЛЬНЫМ МР ИССЛЕДОВАНИЯМ.
201.1.2 Цель
Замена:
Целью настоящего стандарта является установление требований к ОБЩЕЙ БЕЗОПАСНОСТИ и ФУНКЦИОНАЛЬНЫМ ХАРАКТЕРИСТИКАМ МР ОБОРУДОВАНИЯ для обеспечения безопасности ПАЦИЕНТА и МР СОТРУДНИКОВ.
Примечание - Настоящий стандарт предполагает, что МР СОТРУДНИКИ проходят надлежащий медицинский осмотр, обучение и инструктаж.
201.1.3 Дополнительные стандарты
Дополнение:
Настоящий стандарт использует дополнительные стандарты, приведенные в разделе 2 общего стандарта и
201.2 настоящего стандарта.
Применяют МЭК 60601-1-2, не применяют МЭК 60601-1-3 и МЭК 60601-1-10. Все остальные дополнительные стандарты серии МЭК 60601-1 применяются в соответствии с представленными изменениями и дополнениями.
201.1.4 Частные стандарты
Замена:
В сериях стандартов МЭК 60601 частные стандарты могут изменять, дополнять или ликвидировать требования общего стандарта МЭК 60601-1 и дополнительных стандартов, рассматривающих определенное ME ИЗДЕЛИЕ, и могут добавлять другие требования к ОБЩЕЙ БЕЗОПАСНОСТИ и ОСНОВНЫМ ФУНКЦИОНАЛЬНЫМ ХАРАКТЕРИСТИКАМ.
Требования настоящего частного стандарта имеют преимущество перед требованиями общего стандарта.
МЭК 60601-1 является общим стандартом для данного частного стандарта. Обращение к дополнительным стандартам осуществляется по росту их порядкового номера.
Изменения текста общего стандарта представлены в настоящем стандарте с использованием следующих слов:
Слово "замена" означает, что текст пункта или подпункта общего стандарта или соответствующего дополнительного стандарта заменен полностью текстом настоящего стандарта.
Слово "дополнение" означает, что текст настоящего стандарта дополняет требования общего стандарта или соответствующего дополнительного стандарта.
Слово "изменение" означает, что текст пункта или подпункта общего стандарта или соответствующего дополнительного стандарта исправлен в соответствии текстом настоящего стандарта.
Дополнительные приложения обозначены буквами AA, BB и т.д. дополнительные перечисления - aa, bb и т.д.
Под термином "настоящий стандарт" необходимо понимать совокупность стандартов, включающую общий стандарт, все соответствующие дополнительные стандарты и настоящий частный стандарт.
При отсутствии соответствующего раздела, пункта или подпункта в данном частном стандарте применяется без изменений аналогичный раздел, пункт или подпункт общего стандарта или соответствующего дополнительного стандарта. Если какая-то часть общего стандарта, возможно важная, не применяется, информация об этом приводится в настоящем частном стандарте.
201.2. Нормативные ссылки
Применяют раздел 2 общего стандарта, за исключением:
Замена:
МЭК 60601-1-2:2007 Изделия медицинские электрические. Часть 1-2. Общие требования к безопасности и основным техническим характеристикам. Дополнительный стандарт. Электромагнитная совместимость. Требования и испытания (IEC 60601-1-2:2007, Medical electrical equipment - Part 1-2: General requirement for basic safety and essential performance - Collateral standard: Electromagnetic compatibility - Requirements and tests)
Дополнение:
МЭК 60601-1 Изделия медицинские электрические. Часть 1. Общие требования безопасности с учетом основных технических характеристик (IEC 60601-1:2005, Medical electrical equipment - Part 1: General requirements for basic safety and essential performance)
NEMA MS 4:2006 Измерение акустических шумов диагностических магнитно-резонансных устройств (NEMA MS 4:2006, Acoustic noise measurements procedure for diagnostic magnetic resonance imaging devices)
NEMA MS 8:2008 Характеристика удельного коэффициента поглощения (УКП) для МР СИСТЕМ (NEMA MS 8:2008, Characterization of the specific absorption rate (SAR) for magnetic resonance imaging systems)
201.3. Термины и определения
В настоящем стандарте применены термины по МЭК 60601-1, за исключением:
Примечание - Перечень терминов, используемых в настоящем стандарте, приведен в алфавитном
указателе терминов. Список символов, используемых в тексте, приведен в
таблице 201.101.
Дополнение:
*201.3.201
B1+RMS: Среднеквадратическое значение
B1+ - корень квадратный из интеграла квадрата мгновенных значений индукции магнитного поля внутри катушки за период действия РЧ импульса.
где t - время,
tx - период действия РЧ импульса.
201.3.202 КОНТРОЛИРУЕМЫЙ ОБЪЕМ (COMPLIANCE VOLUME): Пространство, в котором находится ПАЦИЕНТ при МР ИССЛЕДОВАНИИ и внутри которого контролируется диапазон значений ГРАДИЕНТНОГО ВЫХОДА.
Для МР ОБОРУДОВАНИЯ с цилиндрическим МАГНИТОМ ДЛЯ ВСЕГО ТЕЛА КОНТРОЛИРУЕМЫЙ ОБЪЕМ представляет собой цилиндр радиусом 0,2 м и длиной, равной длине градиентной катушки. Оси такого цилиндра совпадают с осями магнита.
Для МР ОБОРУДОВАНИЯ с МАГНИТОМ С ПОПЕРЕЧНЫМ ПОЛЕМ и ГРАДИЕНТНОЙ СИСТЕМОЙ ДЛЯ ВСЕГО ТЕЛА КОНТРОЛИРУЕМЫЙ ОБЪЕМ представляет собой цилиндр, ось которого совпадает с координатной осью ПАЦИЕНТА, длина соответствует диаметру градиентных катушек, а диаметр равен либо 0,4 м, либо меньшему по сравнению с данным значением расстоянию между полюсами магнита.
Для МР ОБОРУДОВАНИЯ всех других видов КОНТРОЛИРУЕМЫЙ ОБЪЕМ представляется как объем, внутри которого любая часть тела ПАЦИЕНТА может быть локализована в соответствии с предназначением данного МР ОБОРУДОВАНИЯ.
201.3.203 ОБЛАСТЬ КОНТРОЛИРУЕМОГО ДОСТУПА (CONTROLLED ACCESS AREA): Область, доступ к которой контролируется из соображений безопасности.
201.3.204 ТЕМПЕРАТУРА ТЕЛА (CORE TEMPERATURE): Температура внутренних органов человека.
Примечание - Обычно температура тела равна ректальной, подъязычной или ушной температуре вблизи барабанной перепонки. Более точно данное значение можно определить с помощью измерения температуры пищевода или артериальной крови. Температура головного мозга соответствует ТЕМПЕРАТУРЕ ТЕЛА.
201.3.205 ЭФФЕКТИВНАЯ ДЛИТЕЛЬНОСТЬ СТИМУЛЯЦИИ,
ts,eff (EFFECTIVE STIMULUS DURATOIN,
ts,eff): Длительность периода монотонного увеличения или уменьшения градиента магнитной индукции, используемая для определения пороговых значений кардиостимуляции и возбуждения периферической нервной системы. Данная величина определяется как отношение изменения пиковых значений градиента магнитной индукции к максимальному значению времени изменения (см. рисунок 201.101).
G - градиент магнитного поля, Т/м; Gmax - максимальное
значение градиента магнитного поля, Т/м; dB/dt - скорость
изменения индукции магнитного поля, Т/м/с; (dB/dt)max -
максимальная скорость изменения индукции магнитного поля,
Т/м/с; ts,eff - эффективная длительность стимуляции, с
Рисунок 201.101 - Профиль градиента и ЭФФЕКТИВНАЯ
ДЛИТЕЛЬНОСТЬ СТИМУЛЯЦИИ
На графике a изображены три периода монотонного изменения градиента G. Соответствующие значения ГРАДИЕНТНОГО ВЫХОДА (dB/dt) и ЭФФЕКТИВНОЙ ДЛИТЕЛЬНОСТИ СТИМУЛЯЦИИ показаны на графике b.
201.3.206 СИСТЕМА АВАРИЙНОГО ОТКЛЮЧЕНИЯ МАГНИТНОГО ПОЛЯ (EMERGENCY FIELD SHUT DOWN UNIT): Устройство отключения от питания сверхпроводящего или резистивного магнита в условиях аварийной ситуации.
201.3.207 *ТЕМПЕРАТУРА ОКРУЖАЮЩЕЙ СРЕДЫ (ENVIRONMENTAL TEMPERATURE): Температура, °C, в однородной (изотермической) "черной" оболочке (изотермической замкнутой полости с черными стенками), изменение количества тепла внутри которой можно осуществить за счет процессов излучения и конвекции, как в реальной неоднородной среде.
Примечание - Для определения значения ТЕМПЕРАТУРЫ ОКРУЖАЮЩЕЙ СРЕДЫ следует применять
приложение AA.
201.3.208 РЕЖИМ КОНТРОЛЯ ПЕРВОГО УРОВНЯ (FIRST LEVEL CONTROLLED OPERATING MODE): Режим работы МР ОБОРУДОВАНИЯ, при котором некоторые рабочие параметры достигают значений, способных вызвать нежелательное физиологическое воздействие на ПАЦИЕНТОВ, что должно находиться под медицинским контролем.
201.3.209 ГРАДИЕНТНЫЙ ВЫХОД (GRADIENT OUTPUT): Параметр, характеризующий градиентную систему МР ОБОРУДОВАНИЯ и представляющий собой скорость изменения индукции магнитного поля или напряженности электрического поля, которое создается одним или несколькими ГРАДИЕНТНЫМИ БЛОКАМИ при заданных условиях в данной точке.
201.3.210 ГРАДИЕНТНЫЙ БЛОК (GRADIENT OUTPUT): Совокупность градиентных катушек и усилителей, создающих градиент магнитного поля вдоль одной из осей координатной системы МР ОБОРУДОВАНИЯ.
201.3.211 ПЕРЕДАЮЩАЯ РЧ КАТУШКА ДЛЯ ГОЛОВЫ (HEAD RF TRANSMIT COIL): ОБЪЕМНАЯ ПЕРЕДАЮЩАЯ РЧ КАТУШКА, служащая для совместного использования с МР ОБОРУДОВАНИЕМ для МР ИССЛЕДОВАНИЯ головы ПАЦИЕНТА.
201.3.212 УКП ГОЛОВЫ (HEAD SAR): Усредненный по массе головы ПАЦИЕНТА УКП, рассчитанный за указанный промежуток времени.
201.3.213 *ИНТЕРВЕНЦИОННОЕ МР ИССЛЕДОВАНИЕ (INTERVENTIONAL MR EXAMINATION): МР ИССЛЕДОВАНИЕ, используемое для позиционирования при проведении медицинских (в том числе инвазивных) процедур, например, биопсии или лечении пораженного участка.
201.3.214 ИЗОЦЕНТР (ISOCENTRE): Нулевая точка в координатной системе МР ОБОРУДОВАНИЯ, в которой значение пространственно-кодирующих градиентов равно нулю.
Примечания
1 Обычно это соответствует области максимальной однородности магнитного поля.
[МЭК 62464-1:2007, определение 3.1.15]
2 Обычно это соответствует положению мишени для получения изображений.
| | ИС МЕГАНОРМ: примечание. Нумерация пунктов дана в соответствии с официальным текстом документа. | |
203.3.215 ЛОКАЛЬНАЯ ПЕРЕДАЮЩАЯ РЧ КАТУШКА (LOCAL RF TRANSMIT COIL): Все передающие РЧ катушки, за исключением ОБЪЕМНЫХ РЧ КАТУШЕК.
201.3.216 ЛОКАЛЬНЫЙ УКП (LOCAL SAR): УКП, усредненный по массе 10 г и рассчитанный за указанный промежуток времени.
201.3.217 *МАГНИТНЫЙ РЕЗОНАНС; МР (MAGNETIC RESONANCE; MR): Явление резонансного поглощения радиочастотной электромагнитной энергии ядрами атомов, находящимися во внешнем постоянном магнитном поле.
201.3.218 МАГНИТНО-РЕЗОНАНСНОЕ ОБОРУДОВАНИЕ (МР ОБОРУДОВАНИЕ) (MAGNETIC RESONANCE EQUIPMENT): МЕДИЦИНСКОЕ ЭЛЕКТРИЧЕСКОЕ ИЗДЕЛИЕ, которое используется в медицинской диагностике и служит для проведения МР ИССЛЕДОВАНИЯ ПАЦИЕНТА in vivo. МР ОБОРУДОВАНИЕ включает в себя все части аппаратных и программных средств, начиная с ИСТОЧНИКА ПИТАНИЯ и заканчивая дисплеем монитора.
Примечание - МР ОБОРУДОВАНИЕ - это ПРОГРАММИРУЕМАЯ ЭЛЕКТРИЧЕСКАЯ МЕДИЦИНСКАЯ СИСТЕМА (ПЭМС).
201.3.219 МАГНИТНО-РЕЗОНАНСНОЕ ИССЛЕДОВАНИЕ (МР ИССЛЕДОВАНИЕ) (MAGNETIC RESONANCE EXAMINATION): Процесс сбора данных о ПАЦИЕНТЕ с помощью методов, основанных на явлении МАГНИТНОГО РЕЗОНАНСА.
201.3.220 МАГНИТНО-РЕЗОНАНСНАЯ СИСТЕМА (МР СИСТЕМА) (MAGNETIC RESONANCE SYSTEM): Совокупность МР ОБОРУДОВАНИЯ и предусмотренных ВСПОМОГАТЕЛЬНЫХ УСТРОЙСТВ, которые могут включать в себя средства для наблюдения и контроля, источники питания, с указанием ОБЛАСТИ КОНТРОЛИРУЕМОГО ДОСТУПА.
201.3.221 *СОТРУДНИК, РАБОТАЮЩИЙ С МР СИСТЕМОЙ (МР СОТРУДНИК) (MAGNETIC RESONANCE WORKER): Человек, которому по причине профессиональной деятельности приходится находиться в ОБЛАСТИ КОНТРОЛИРУЕМОГО ДОСТУПА или подобной зоне МАГНИТНО-РЕЗОНАНСНОЙ СИСТЕМЫ.
Примечание - Остальные группы лиц, такие как МР добровольцы и сиделки по уходу за ПАЦИЕНТОМ, не подпадают под данное определение. Тем не менее ОПЕРАТОРЫ и персонал ЛПУ подходят под это определение.
201.3.222 МАКСИМАЛЬНАЯ СКОРОСТЬ НАРАСТАНИЯ ГРАДИЕНТА (MAXIMUM GRADIENT SLEW RATE): Скорость нарастания градиентов индукции магнитного поля, достигнутая за максимально короткое время, которое возможно получить при нормальных условиях сканирования, при переключении между максимальными значениями градиента индукции магнитного поля
G+max и
G-max для каждого ГРАДИЕНТНОГО БЛОКА.
201.3.223 *МЕДИЦИНСКИЙ КОНТРОЛЬ (MEDICAL SUPERVISION): Медицинское сопровождение ПАЦИЕНТА, который может подвергаться опасности, обусловленной некоторыми параметрами воздействия МР ОБОРУДОВАНИЯ, а также состоянием здоровья ПАЦИЕНТА.
201.3.224 НОРМАЛЬНЫЙ РЕЖИМ РАБОТЫ (NORMAL OPERATING MODE): Режим работы МР ОБОРУДОВАНИЯ, при котором все его рабочие параметры находятся в пределах, не вызывающих физиологический стресс у ПАЦИЕНТА.
201.3.225 УКП ЧАСТИ ТЕЛА (PARTIAL ODY SAR): УКП, рассчитанный за указанный промежуток времени и усредненный по массе тела ПАЦИЕНТА, исследованного с помощью ОБЪЕМНОЙ РЧ КАТУШКИ.
201.3.226 УРОВЕНЬ ВОЗБУЖДЕНИЯ ПНС (ВПНС) (PNS OUTPUT): Величина, служащая для оценки возбуждения периферической нервной системы (ВПНС) у ПАЦИЕНТА.
201.3.227 ПОРОГОВЫЙ УРОВЕНЬ ВОЗБУЖДЕНИЯ ПНС (PNS THRESHOLD LEVEL): УРОВЕНЬ ВПНС выше порога ощущения.
201.3.228 КВЕНЧ (QUENCH): Изменение электрической проводимости катушки, при котором происходит переход из сверхпроводящего в проводящее состояние, что приводит к быстрому выбросу криогенной жидкости и снижению магнитного поля.
201.3.229 МОНИТОРИНГ (ROUTINE MONITORING): Мониторинг состояния ПАЦИЕНТА, который проводится ОПЕРАТОРОМ или обслуживающим персоналом МР ОБОРУДОВАНИЯ и заключается в поддержании речевого контакта с ПАЦИЕНТОМ и/или визуального наблюдения за ним при проведении МР ИССЛЕДОВАНИЯ.
201.3.230 ИССЛЕДОВАТЕЛЬСКАЯ КАТУШКА (SEARCH COIL): Катушка малого диаметра, используемая для измерения ГРАДИЕНТНОГО ВЫХОДА при проведении испытаний на соответствие.
201.3.231 РЕЖИМ КОНТРОЛЯ ВТОРОГО УРОВНЯ (SECOND LEVEL CONTROLLED OPERATING MODE): Режим работы МР ОБОРУДОВАНИЯ, при котором один или более рабочих параметров достигают значений, способных нести значительную УГРОЗУ для ПАЦИЕНТОВ, и для использования которого требуется исключительное этическое разрешение (т.е. протокол исследования людей, соответствующий локальным требованиям).
201.3.232 СПЕЦИАЛЬНАЯ ГРАДИЕНТНАЯ СИСТЕМА (SPECIAL PURPOSE GRADIENT SYSTEM): Градиентная система, используемая в МР ОБОРУДОВАНИИ для специальных целей.
Примечание - Примером СПЕЦИАЛЬНОЙ ГРАДИЕНТНОЙ СИСТЕМЫ может служить градиентная система, установленная в МР ОБОРУДОВАНИИ для проведения специальных исследований головы ПАЦИЕНТА.
201.3.233 *УДЕЛЬНЫЙ КОЭФФИЦИЕНТ ПОГЛОЩЕНИЯ (УКП) [(SPECIFIC ABSORPTION RATE (SAR)]: Энергия РЧ излучения, поглощенная единицей массы объекта (Вт/кг).
201.3.234 СКОРОСТЬ ИЗМЕНЕНИЯ МАГНИТНОГО ПОЛЯ,
dB/
dt (TIME RATE OF CHANGE OF THE MAGNETIC FIELD): Скорость изменения во времени индукции магнитного поля, воздействующего на ПАЦИЕНТА (Тл/с).
201.3.235 МАГНИТ С ПОПЕРЕЧНЫМ ПОЛЕМ (TRANSVERSE FIELD MAGNET): Магнит, создающий поле, направленное под прямым углом к оси ПАЦИЕНТА.
201.3.236 ОБЪЕМНАЯ ПЕРЕДАЮЩАЯ РЧ КАТУШКА (VOLUME RF TRANSMIT COIL): Передающая РЧ катушка, используемая в МР ОБОРУДОВАНИИ для создания однородного РЧ поля в объеме самой катушки.
Примечание - Примерами ОБЪЕМНОЙ ПЕРЕДАЮЩЕЙ РЧ КАТУШКИ могут быть ПЕРЕДАЮЩАЯ РЧ КАТУШКА ДЛЯ ВСЕГО ТЕЛА, ПЕРЕДАЮЩАЯ РЧ КАТУШКА ДЛЯ ГОЛОВЫ или ПЕРЕДАЮЩАЯ РЧ КАТУШКА, служащая для создания однородного РЧ поля в определенной части тела. Одновитковая катушка, охватывающая тело или его часть, относится к ОБЪЕМНЫМ ПЕРЕДАЮЩИМ РЧ КАТУШКАМ (например, одновитковая катушка для запястья).
201.3.237 ГРАДИЕНТНАЯ СИСТЕМА ДЛЯ ВСЕГО ТЕЛА (WHOLE BODY GRADIENT SYSTEM): Градиентная система, используемая в МР ОБОРУДОВАНИИ ДЛЯ ВСЕГО ТЕЛА.
201.3.238 МАГНИТ ВСЕГО ТЕЛА (WHOLE BODY MAGNET): Магнит, входящий в состав МАГНИТНО-РЕЗОНАНСНОГО ОБОРУДОВАНИЯ ДЛЯ ВСЕГО ТЕЛА.
201.3.239 МАГНИТНО-РЕЗОНАНСНОЕ ОБОРУДОВАНИЕ ДЛЯ ВСЕГО ТЕЛА (WHOLE BODY MAGNETIC RESONANCE EQUIPMENT): МР ОБОРУДОВАНИЕ, размеры которого позволяют проводить МР ИССЛЕДОВАНИЕ ВСЕГО ТЕЛА и его частей взрослых ПАЦИЕНТОВ. Оно может быть оснащено ОБЪЕМНЫМИ ПЕРЕДАЮЩИМИ РЧ КАТУШКАМИ, ЛОКАЛЬНЫМИ ПЕРЕДАЮЩИМИ РЧ КАТУШКАМИ и СПЕЦИАЛЬНОЙ ГРАДИЕНТНОЙ СИСТЕМОЙ.
201.3.240 ПЕРЕДАЮЩАЯ РЧ КАТУШКА ДЛЯ ВСЕГО ТЕЛА (WHOLE BODY RF TRANSMIT COIL): ОБЪЕМНАЯ РЧ КАТУШКА достаточных размеров для исследования всего тела взрослого ПАЦИЕНТА.
201.3.241 УКП ВСЕГО ТЕЛА (WHOLE BODY SAR): УКП, усредненный по массе всего тела ПАЦИЕНТА и рассчитанный за указанный промежуток времени.
Таблица 201.101
Обозначение | Единица измерения в системе Си | Определение |
B0 | Тл | Индукция постоянного магнитного поля |
B1+ | Тл | Индукция радиочастотного магнитного поля |
B1+RMS | Тл | Среднеквадратическое от B1+ |
dB/dt | Тл/с | СКОРОСТЬ ИЗМЕНЕНИЯ ИНДУКЦИИ МАГНИТНОГО ПОЛЯ |
E | В/м | Напряженность электрического поля, наведенная изменением индукции магнитного поля |
G | Тл/м | Градиент магнитного поля |
L01 | В/м или Тл/с | Пороговое значение ГРАДИЕНТНОГО ВЫХОДА при НОРМАЛЬНОМ РЕЖИМЕ РАБОТЫ |
L12 | В/м или Тл/с | Пороговое значение ГРАДИЕНТНОГО ВЫХОДА при РЕЖИМЕ КОНТРОЛЯ ПЕРВОГО УРОВНЯ |
O | - | УРОВЕНЬ ВПНС |
Oi | - | УРОВЕНЬ ВПНС для одного ГРАДИЕНТНОГО БЛОКА |
rb | В/м или Тл/с | Реобаза |
УКП | Вт/кг | УДЕЛЬНЫЙ КОЭФФИЦИЕНТ ПОГЛОЩЕНИЯ (УКП) |
ts,eff | мс | ЭФФЕКТИВНАЯ ДЛИТЕЛЬНОСТЬ СТИМУЛЯЦИИ |
tУКП | мин | Усредненное время, используемое для определения УКП |
T | °C | Температура |
wi | Безразмерная | Весовой коэффициент ГРАДИЕНТНОГО БЛОКА, ограничивающий ГРАДИЕНТНЫЙ ВЫХОД |
Применяют раздел 4 общего стандарта, за исключением:
201.4.3 Функциональные характеристики
Дополнение:
В настоящем стандарте не оговариваются требования к ФУНКЦИОНАЛЬНЫМ ХАРАКТЕРИСТИКАМ МР ОБОРУДОВАНИЯ.
201.5. Общие требования к проведению испытаний МР ОБОРУДОВАНИЯ
Применяют раздел 5 общего стандарта, за исключением:
201.5.7 Предварительное воздействие влаги
Дополнение:
При постоянном контроле климатических условий при эксплуатации МР СИСТЕМЫ проведение испытаний на воздействие влагой не требуется.
201.6. Классификация МР ОБОРУДОВАНИЯ и МР СИСТЕМ
Применяют раздел 6 общего стандарта.
201.7. Идентификация, маркировка и документация МР ОБОРУДОВАНИЯ
Применяют раздел 7 общего стандарта, за исключением:
201.7.9 СОПРОВОДИТЕЛЬНЫЕ ДОКУМЕНТЫ
201.7.9.1 Общие требования
Дополнение:
СОПРОВОДИТЕЛЬНЫЕ ДОКУМЕНТЫ должны предоставлять достаточное количество информации так, чтобы ОТВЕТСТВЕННАЯ ОРГАНИЗАЦИЯ могла вынести заключение о соответствии МР ОБОРУДОВАНИЯ местным правовым документам и разрешенным уровням физических факторов, воздействующих на ОПЕРАТОРА и МР СОТРУДНИКА.
201.7.9.2 Инструкция по эксплуатации
Замена:
В инструкциях по эксплуатации должен содержаться полный список системных сообщений, сообщений об ошибке и отказах, которые выводятся из соображений безопасности, за исключением сообщений, не требующих объяснений.
Дополнение:
201.7.9.2.1 *ИНСТРУКЦИИ ПО ЭКСПЛУАТАЦИИ МР ОБОРУДОВАНИЯ
a) *Предварительный скрининг ПАЦИЕНТА и МР СОТРУДНИКА
ИНСТРУКЦИИ ПО ЭКСПЛУАТАЦИИ должны содержать четкие рекомендации относительно предварительного скрининга ПАЦИЕНТОВ и МР СОТРУДНИКОВ. В особенности это касается отбора тех ПАЦИЕНТОВ и МР СОТРУДНИКОВ, которые подвергаются потенциальному РИСКУ по роду своей профессиональной деятельности, на основании истории болезней, из-за текущего состояния здоровья и/или от воздействия физических факторов, создаваемых МР ОБОРУДОВАНИЕМ. Данные инструкции должны указывать на необходимость предварительного осмотра для выявления таких ПАЦИЕНТОВ и МР СОТРУДНИКОВ, а также содержать рекомендации по их адекватной защите от вредных воздействий. Также должны быть учтены ПАЦИЕНТЫ и МР СОТРУДНИКИ, которые подвергаются потенциальному РИСКУ по роду своей прошлой профессиональной деятельности, связанной с имплантацией ферромагнитных материалов.
Следует выделить особые категории ПАЦИЕНТОВ, а именно:
- ПАЦИЕНТЫ, которым противопоказаны МР ИССЛЕДОВАНИЯ;
- ПАЦИЕНТЫ, для которых существует повышенная вероятность возникновения необходимости получения скорой медицинской помощи независимо от воздействия физических факторов, создаваемых МР ОБОРУДОВАНИЕМ;
- ПАЦИЕНТЫ, для которых существует повышенная вероятность возникновения необходимости получения скорой медицинской помощи вследствие высоких уровней воздействия электромагнитного полей при работе МР ОБОРУДОВАНИЯ в РЕЖИМЕ КОНТРОЛЯ ПЕРВОГО УРОВНЯ, описанного в
201.12.4.101.
b) *МЕДИЦИНСКИЙ КОНТРОЛЬ ПАЦИЕНТОВ
| | ИС МЕГАНОРМ: примечание. В официальном тексте документа, видимо, допущена опечатка: пункт 201.3.244 отсутствует. | |
ИНСТРУКЦИИ ПО ЭКСПЛУАТАЦИИ должны содержать четкие рекомендации для ОТВЕТСТВЕННОЙ ОРГАНИЗАЦИИ по разработке методик контроля категорий ПАЦИЕНТОВ, представленных в
201.7.9.2.101, перечисление a, и режимов работы МР ОБОРУДОВАНИЯ, определенных в
201.3.208,
201.3.231 и 201.3.244.
В ИНСТРУКЦИЯХ ПО ЭКСПЛУАТАЦИИ:
- должно быть оговорено, что всем ПАЦИЕНТАМ рекомендуется проходить по крайней мере рутинный МОНИТОРИНГ;
- если МР ОБОРУДОВАНИЕ допускает работу в РЕЖИМЕ КОНТРОЛЯ ПЕРВОГО УРОВНЯ, должны быть представлены рекомендации по контролю проведения процедуры МЕДИЦИНСКОГО КОНТРОЛЯ при входе в РЕЖИМ КОНТРОЛЯ ПЕРВОГО УРОВНЯ;
- если МР ОБОРУДОВАНИЕ допускает работу в РЕЖИМЕ КОНТРОЛЯ ВТОРОГО УРОВНЯ, должно содержаться предупреждение о том, что работы в РЕЖИМЕ КОНТРОЛЯ ВТОРОГО УРОВНЯ могут быть проведены только по специальной методике, утвержденной соответствующими организациями (например, местным комитетом по этике). В дополнение должно быть получено разрешение на используемые пороговые значения ГРАДИЕНТНОГО ВЫХОДА, УКП и индукции постоянного магнитного поля.
c) *Неотложная медицинская помощь
ИНСТРУКЦИИ ПО ЭКСПЛУАТАЦИИ должны предоставлять ОТВЕТСТВЕННОЙ ОРГАНИЗАЦИИ четкие рекомендации по определению характера и осуществлению процедур по оказанию ПАЦИЕНТУ скорой медицинской помощи. Данные рекомендации должны учитывать присутствие магнитного поля в области нахождения ПАЦИЕНТА для обеспечения оперативных действий и предоставления скорой медицинской помощи при нарушении нормального состояния ПАЦИЕНТА в условиях проведения МР ИССЛЕДОВАНИЯ.
Данные инструкции должны содержать рекомендации по быстрому выведению ПАЦИЕНТА из области воздействия магнитного поля, при необходимости с помощью УСТРОЙСТВА АВАРИЙНОГО ОТКЛЮЧЕНИЯ ПОЛЯ.
d) *Воздействие на ПАЦИЕНТА и МР СОТРУДНИКОВ повышенных уровней акустического шума
ИНСТРУКЦИИ ПО ЭКСПЛУАТАЦИИ должны:
- отмечать, что пороговый уровень звукового давления для ПАЦИЕНТА, находящегося под наркозом, ниже нормального, поэтому органы слуха таких ПАЦИЕНТОВ должны быть защищены даже при невысоких уровнях звукового давления;
- учитывать, что в законодательстве некоторых стран могут существовать требования изоляции персонала от влияния шума;
- содержать правила использования МР СОТРУДНИКАМИ средств защиты органов слуха при нахождении в ОБЛАСТИ КОНТРОЛИРУЕМОГО ДОСТУПА в соответствии с действующими нормативными документами;
- отмечать РИСК временной или постоянной потери слуха в случае несоблюдения правил ношения средств защиты органов слуха.
Для МР ОБОРУДОВАНИЯ, генерирующего среднеквадратичный уровень звукового давления по шкале A (LAeq, ч) более 99 дБА, ИНСТРУКЦИИ ПО ЭКСПЛУАТАЦИИ должны содержать следующие указания:
- среднеквадратичный уровень звукового давления по шкале A измеряют в соответствии с NEMA MS 4;
- для обеспечения безопасности ПАЦИЕНТА должны быть использованы средства защиты органов слуха, снижающие среднеквадратичный уровень звукового давления по шкале A до 99 дБА и ниже;
- специальное внимание ОПЕРАТОРА должно быть обращено на правильное положение средств защиты органов слуха, особенно когда ушная манжета не может быть приложена к уху или вообще не может быть использована для защиты, например, при исследовании неонатальных и новорожденных ПАЦИЕНТОВ;
- должно быть обращено внимание на опасность, которую создает повышение уровня звукового давления при исследовании беременных женщин, новорожденных, младенцев, детей и пожилых людей.
Примечание - Специфические предостережения приведены в ИСО 7010, поправка 3:2007.
e) *ОБЛАСТЬ КОНТРОЛИРУЕМОГО ДОСТУПА
Для определения ОБЛАСТИ КОНТРОЛИРУЕМОГО ДОСТУПА, требуемой для МР ОБОРУДОВАНИЯ, ИНСТРУКЦИИ ПО ЭКСПЛУАТАЦИИ должны:
- оговаривать, что ОТВЕТСТВЕННАЯ ОРГАНИЗАЦИЯ несет ответственность за соблюдение требований, утвержденных соответствующими организациями по ограничению доступности ОБЛАСТИ КОНТРОЛИРУЕМОГО ДОСТУПА;
- содержать четкие указания относительно размеров и расположения ОБЛАСТИ КОНТРОЛИРУЕМОГО ДОСТУПА на схематичной иллюстрации;
- содержать четкие указания соблюдения соответствующих правил по контролю нахождения в ОБЛАСТИ КОНТРОЛИРУЕМОГО ДОСТУПА в целях исключения потенциальной ОПАСНОСТИ для ПАЦИЕНТОВ и МР ПЕРСОНАЛА, связанной с притягиванием предметов, содержащих железо или другие ферромагнитные материалы или возникновением у таких предметов вращающего момента; а также ОПАСНОСТИ нарушения работоспособности имплантатов, таких как кардиостимуляторы, у входящих в эту область людей.
Примечание - В области со значением индукции магнитного поля менее 0,5 мТл административный контроль не требуется;
- содержать перечень ОБОРУДОВАНИЯ и инструментов, рекомендованных ИЗГОТОВИТЕЛЕМ для использования в ОБЛАСТИ КОНТРОЛИРУЕМОГО ДОСТУПА. Для всего ОБОРУДОВАНИЯ, ВСПОМОГАТЕЛЬНЫХ УСТРОЙСТВ или инструментов, приведенных в перечне, должны быть указаны меры предосторожности, которые необходимо соблюдать при монтаже или эксплуатации;
- должно быть указано, что периферическое оборудование, включая системы наблюдения за состоянием ПАЦИЕНТА, устройства и средства для поддержания жизнедеятельности, а также системы предупреждения аварийных ситуаций, которое не предназначено или не рекомендовано к применению в ОБЛАСТИ КОНТРОЛИРУЕМОГО ДОСТУПА, может быть выведено из строя РЧ излучением, вследствие переключения градиентов или магнитным полем рассеяния МР ОБОРУДОВАНИЯ, и что данное периферическое оборудование может нарушить нормальное функционирование МР ОБОРУДОВАНИЯ.
f) *Криогенные жидкости и газы
ИНСТРУКЦИИ ПО ЭКСПЛУАТАЦИИ МР ОБОРУДОВАНИЯ со сверхпроводящими магнитами с целью предотвращения несчастных случаев и КВЕНЧА должны:
- требовать надлежащего обеспечения магнита криогенными жидкостями;
- рекомендовать, чтобы заполнение криостата криогенными жидкостями проводилось только квалифицированным и опытным персоналом;
- предоставлять информацию о техническом обслуживании и контроле состояния магнита, включая проверку уровней криогенных жидкостей;
- предоставлять информацию о минимальных уровнях криогенных жидкостей, необходимых для нормальной эксплуатации магнита;
- содержать требование проведения ОТВЕТСТВЕННОЙ ОРГАНИЗАЦИЕЙ периодических проверок уровней криогенных жидкостей;
- предоставлять точную информацию о потенциальных ОПАСНОСТЯХ, связанных с использованием криогенных жидкостей, и методах обращения с ними.
Эта информация должна содержать:
- правила ношения защитной одежды для предотвращения обморожения;
- порядок действий, предпринимаемых после утечки газа;
- меры предосторожности против недостатка кислорода в воздухе;
- рекомендации по применению немагнитных емкостей для поставки криогенных жидкостей и газов;
- порядок действий, которые необходимо выполнить при обнаружении легко воспламеняемых материалов вблизи контейнера с криогенной жидкостью или газом.
Примечание - Вблизи контейнера с криогенной жидкостью может образоваться жидкий кислород или повыситься концентрация газообразного кислорода.
ИНСТРУКЦИИ ПО ЭКСПЛУАТАЦИИ должны содержать информацию об этапах и условиях проведения каждого из режимов работы: НОРМАЛЬНОГО РЕЖИМА РАБОТЫ, РЕЖИМА КОНТРОЛЯ ПЕРВОГО УРОВНЯ и РЕЖИМА КОНТРОЛЯ ВТОРОГО УРОВНЯ, указанных в
201.12.4.101. Кроме того, ИНСТРУКЦИИ ПО ЭКСПЛУАТАЦИИ должны содержать следующие пояснения:
- допустимые для ПАЦИЕНТА уровни индукции постоянного магнитного поля, ГРАДИЕНТНОГО ВЫХОДА и УКП устанавливаются на основе рекомендаций актуальной научной литературы, относящейся к безопасности;
- уровень воздействия, решение выхода из НОРМАЛЬНОГО РЕЖИМА РАБОТЫ, а также необходимость контроля физиологических параметров ПАЦИЕНТА должны определяться на основании медицинского заключения, исходя из принципа причинения наименьшего вреда ПАЦИЕНТУ.
В ИНСТРУКЦИЯХ ПО ЭКСПЛУАТАЦИИ должны быть четко изложены требования, касающиеся каждого режима работы:
- для МР ОБОРУДОВАНИЯ, работающего в НОРМАЛЬНОМ РЕЖИМЕ, не требуется специальных показаний и измерений;
- для МР ОБОРУДОВАНИЯ, способного работать в режиме КОНТРОЛЯ ПЕРВОГО УРОВНЯ, должны быть указаны свойства МР ОБОРУДОВАНИЯ касательно информации, отображаемой на дисплее перед входом в указанный режим, и специальных мер предупреждения в соответствии с
201.12.4.101.4, должен быть также обеспечен МЕДИЦИНСКИЙ КОНТРОЛЬ в соответствии с
201.7.9.2.101, перечисление b);
- для МР ОБОРУДОВАНИЯ, способного работать в режиме КОНТРОЛЯ ВТОРОГО УРОВНЯ, необходимо предусмотреть специальные меры безопасности в соответствии с
201.12.4.101.5 по предотвращению неправомерного использования данного режима работы. Эксплуатация МР ОБОРУДОВАНИЯ в РЕЖИМЕ КОНТРОЛЯ ВТОРОГО УРОВНЯ разрешается только в соответствии со специальной методикой, утвержденной соответствующими организациями [
201.7.9.2.101, перечисление b)].
В ИНСТРУКЦИЯХ ПО ЭКСПЛУАТАЦИИ должно быть обращено внимание на безопасность ПАЦИЕНТОВ и необходимость обеспечения выполнения ряда предусмотренных действий и проведения МЕДИЦИНСКОГО КОНТРОЛЯ, допускающих работу в РЕЖИМЕ КОНТРОЛЯ ПЕРВОГО УРОВНЯ и принятие специальных мер безопасности и соблюдение требований, указанных в утвержденной соответствующими организациями методике для начала исследования людей в РЕЖИМЕ КОНТРОЛЯ ВТОРОГО УРОВНЯ.
h) *Воздействие постоянного магнитного поля на ПАЦИЕНТА и МР СОТРУДНИКА
Для МР ОБОРУДОВАНИЯ, способного работать в РЕЖИМЕ КОНТРОЛЯ ПЕРВОГО УРОВНЯ и РЕЖИМЕ КОНТРОЛЯ ВТОРОГО УРОВНЯ, относительно значения индукции постоянного магнитного поля в ИНСТРУКЦИЯХ ПО ЭКСПЛУАТАЦИИ должны:
- быть пояснены эффекты, с которыми может столкнуться ПАЦИЕНТ или МР СОТРУДНИК при превышении уровня постоянного магнитного поля для НОРМАЛЬНОГО РЕЖИМА РАБОТЫ, обращая особое внимание на возможные эффекты у ПАЦИЕНТА или МР СОТРУДНИКА при быстром движении головой, включая дезориентацию, головокружение и металлический привкус во рту;
- быть приведены рекомендации по обеспечению неподвижности ПАЦИЕНТА, находящегося в области высокого постоянного магнитного поля;
- содержаться информация о значениях индукции магнитного поля B0, при которых МР ОБОРУДОВАНИЕ способно работать;
- быть приведены пояснения, что при значении индукции постоянного магнитного поля выше 3 Тл, но не более 4 Тл, МР СИСТЕМА постоянно работает в РЕЖИМЕ КОНТРОЛЯ ПЕРВОГО УРОВНЯ. Следовательно, для всех ПАЦИЕНТОВ должен быть предусмотрен МЕДИЦИНСКИЙ КОНТРОЛЬ;
- содержаться пояснения, что МР СОТРУДНИКИ должны проходить соответствующее обучение с целью минимизации возможных побочных эффектов при работе с сильным постоянным магнитным полем;
- быть объяснены возможные воздействия на организм вследствие повышенного постоянного магнитного поля;
- быть объяснены возможные изменения в МР совместимости вспомогательных устройств и приспособлений, используемых МР ПЕРСОНАЛОМ, как функции индукции постоянного магнитного поля;
- быть пояснения, что при значении индукции постоянного магнитного поля выше 4 Тл МР СИСТЕМА постоянно работает в РЕЖИМЕ КОНТРОЛЯ ВТОРОГО УРОВНЯ. Следовательно, для всех ПАЦИЕНТОВ должен быть предусмотрен МЕДИЦИНСКИЙ КОНТРОЛЬ. Также должно быть пояснено, что в данном случае несанкционированный доступ к МР ОБОРУДОВАНИЮ для МР СОТРУДНИКОВ запрещен.
i) Воздействие изменяющегося во времени магнитного поля на ПАЦИЕНТА
В ИНСТРУКЦИЯХ ПО ЭКСПЛУАТАЦИИ МР ОБОРУДОВАНИЯ, значение ГРАДИЕНТНОГО ВЫХОДА которого выше уровня при НОРМАЛЬНОМ РЕЖИМЕ РАБОТЫ, должны:
- быть описаны возможные воздействия на ПАЦИЕНТОВ в зависимости от уровня ГРАДИЕНТНОГО ВЫХОДА в каждом режиме эксплуатации МР ОБОРУДОВАНИЯ, уделяя особое внимание возможным воздействиям на периферическую нервную систему и сердце;
- предоставлена информация о значениях ГРАДИЕНТНОГО ВЫХОДА, при которых может работать МР ОБОРУДОВАНИЕ в каждом из режимов;
- быть пояснения, что на дисплее МР ОБОРУДОВАНИЯ должен быть отображен соответствующий режим работы, при котором значения ГРАДИЕНТНОГО ВЫХОДА превышают уровень при НОРМАЛЬНОМ РЕЖИМЕ РАБОТЫ;
- быть указан тип используемой градиентной системы: ГРАДИЕНТНАЯ СИСТЕМА ДЛЯ ВСЕГО ТЕЛА или СПЕЦИАЛЬНАЯ ГРАДИЕНТНАЯ СИСТЕМА, а также задан объем, для которого контролируется значение ГРАДИЕНТНОГО ВЫХОДА.
j) Воздействие РЧ магнитного поля на ПАЦИЕНТА
В ИНСТРУКЦИЯХ ПО ЭКСПЛУАТАЦИИ с целью привлечения внимания к факторам РИСКА, которые могут увеличить вероятность чрезмерного местного нагревания тканей ПАЦИЕНТА за счет РЧ излучения, должны быть описаны действия ОПЕРАТОРА по их устранению. Эти факторы включают в себя:
- присутствие проводящих (металлических) объектов или имплантатов в пределах области действия передающей РЧ катушки. Вся одежда, содержащая металлическую нить или ее компоненты, и все другие металлические предметы (например, часы, монеты и т.д.), должны быть сняты с ПАЦИЕНТА;
- использование лекарственных средств в трансдермальных участках, которые могут вызывать ожоги на коже;
- контакт "кожа - кожа", способный сформировать проводящий замкнутый контур через часть тела, например, "внутреннее бедро - бедро", "икра ноги - икра ноги", "рука - рука", "рука - тело", "лодыжка - лодыжка";
- присутствие влажной одежды;
- размещение тела или конечностей вплотную к поверхности передающей РЧ катушки;
- контакт между ПАЦИЕНТОМ и кабелем приемной РЧ катушки и подключение кабелем РЧ катушки в непосредственной близости от передающей РЧ катушки;
- формирование замкнутого контура между кабелями приемной РЧ катушки и ЭКГ отведениями;
- использование МР несовместимых ЭКГ электродов и отведений. ИНСТРУКЦИИ ПО ЭКСПЛУАТАЦИИ должны проинформировать ОПЕРАТОРА о необходимости использования МР совместимых электродов и отведений, рекомендованных ИЗГОТОВИТЕЛЕМ МР ОБОРУДОВАНИЯ, а также использовании электродов только до истечения их срока годности;
- сканирование ПАЦИЕНТОВ под наркозом, ПАЦИЕНТОВ без сознания или ПАЦИЕНТОВ с потерей чувствительности в любой части тела, например с параличом рук или ног, и тех ПАЦИЕНТОВ, которые не в состоянии сообщить ОПЕРАТОРУ о чрезмерном нагревании и соответствующем повреждении тканей;
- присутствие неприсоединенных принимающих катушек или электрических кабелей, оставшихся в передающей РЧ катушке при проведении исследования.
В ИНСТРУКЦИЯХ ПО ЭКСПЛУАТАЦИИ МР ОБОРУДОВАНИЯ, для которого уровни УКП превышают значения, соответствующие НОРМАЛЬНОМУ РЕЖИМУ РАБОТЫ, должны:
- быть объяснены возможные последствия повышенных значений УКП при работе данного МР ОБОРУДОВАНИЯ в соответствии с
201.12.4.103;
- быть объяснены возможные последствия влияния величины УКП на ПАЦИЕНТОВ для каждого режима работы МР ОБОРУДОВАНИЯ, уделяя при этом особое внимание безопасности ПАЦИЕНТОВ, у которых может быть снижена способность терморегуляции и повышена реакция на повышение температуры тела (например, для ПАЦИЕНТОВ с субфебрильной температурой тела, сердечной недостаточностью, нарушением потоотделения и беременных женщин). В дополнение должна быть предоставлена информация о важности контролирования параметров окружающей среды и о влиянии ОКРУЖАЮЩЕЙ ТЕМПЕРАТУРЫ на повышение ТЕМПЕРАТУРЫ ПАЦИЕНТА совместно с рекомендациями по поддержанию благоприятных окружающих условий для ПАЦИЕНТА;
- быть приведена информация о значениях УКП, обеспечиваемых МР ОБОРУДОВАНИЕМ при каждом из режимов работы;
- быть объяснено, что приведенные в
201.12.4.103 ПДУ УКП ДЛЯ ВСЕГО ТЕЛА при различных режимах работы допускаются при ТЕМПЕРАТУРЕ ОКРУЖАЮЩЕЙ СРЕДЫ не более 25 °C. В дополнение должны быть рассмотрены способы контроля значений УКП в том случае, если значения климатических факторов выходят за пределы установленных номинальных значений. Данное пояснение должно:
- устанавливать ПДУ ТЕМПЕРАТУРЫ ОКРУЖАЮЩЕЙ СРЕДЫ равным 25 °C, за пределами которого запрещается использовать МР ОБОРУДОВАНИЕ, или
- указать пониженные ПДУ УКП в РЕЖИМЕ КОНТРОЛЯ ПЕРВОГО УРОВНЯ согласно
201.12.4.103.2 (только для МР ОБОРУДОВАНИЯ, которое измеряет ТЕМПЕРАТУРУ ОКРУЖАЮЩЕЙ СРЕДЫ);
- быть обращено внимание на способы снижения РИСКА при высоком УКП, как, например, временная остановка исследования с целью снижения температуры ПАЦИЕНТА, использование облегченной одежды ПАЦИЕНТА и соответствующей вентиляции в области его нахождения;
- быть обращено внимание на то, что значение B1+RMS, отображаемое на ПУЛЬТЕ УПРАВЛЕНИЯ для каждой МР последовательности, соответствует значению интенсивности РЧ магнитного поля. Это значение может быть использовано для определения РИСКА во время сканирования для пациента с активными или пассивными имплантатами.
k) *Воздействие ЭМП, связанное с профессиональным видом деятельности
ИНСТРУКЦИИ ПО ЭКСПЛУАТАЦИИ должны обращать внимание на факт воздействия электромагнитных полей (ЭМП), генерируемых МР ОБОРУДОВАНИЕМ, на МР СОТРУДНИКОВ. В них должна быть приведена точная информация о РИСКАХ воздействия с целью выполнения МР СОТРУДНИКАМИ безопасных рабочих процедур. Требования для ПАЦИЕНТОВ, приведенные в
201.7.9.2.101, перечисления i) и
j), также распространяются и на МР СОТРУДНИКОВ. В ИНСТРУКЦИЯХ ПО ЭКСПЛУАТАЦИИ также должны:
- быть определены допустимые области пребывания МР СОТРУДНИКОВ;
- быть приведены указания, что МР СОТРУДНИКИ должны быть проинформированы и обучены в достаточной степени, чтобы выполнять безопасные рабочие процедуры, тем самым уменьшая уровень воздействия ЭМП, генерируемых МР ОБОРУДОВАНИЕМ;
- быть приведены предупреждения о возможности появления слабого возбуждения периферической нервной системы (ВПНС) у ПАЦИЕНТА и МР СОТРУДНИКОВ при работе градиентов в РЕЖИМЕ КОНТРОЛЯ ПЕРВОГО УРОВНЯ.
В ИНСТРУКЦИЯХ ПО ЭКСПЛУАТАЦИИ должны быть пояснены факторы РИСКА, связанные с ожидаемыми уровнями возбуждения, а также описаны действия МР СОТРУДНИКОВ для их смягчения.
К известным факторам относятся:
- возможный физиологический эффект, связанный с нагревом ткани за счет РЧ излучения. Уменьшение данного воздействия возможно за счет соблюдения дистанции до передающей РЧ катушки, а также сокращения времени сканирования;
- возможный физиологический эффект, связанный с воздействием ГРАДИЕНТНОГО ВЫХОДА на объект исследования и приводящий к стимуляции периферической нервной системы. При проведении ИНТЕРВЕНЦИОННОГО МР ИССЛЕДОВАНИЯ МР ПЕРСОНАЛ должен быть обучен и проинформирован о том, что БЕЗОПАСНОСТЬ ПАЦИЕНТОВ не может быть гарантирована из-за возможного возбуждения периферической нервной системы. Уменьшение воздействия величины ГРАДИЕНТНОГО ВЫХОДА возможно за счет соблюдения дистанции до градиентных катушек в процессе сканирования;
- возможные физиологические эффекты, связанные с постоянным магнитным полем. К ним относят головокружение, тошноту, металлический привкус во рту. Уменьшение воздействия постоянного магнитного поля возможно при увеличении расстояния до магнита (постоянно, не только в процессе процедуры сканирования), а также при избегании резких движений головой.
В ИНСТРУКЦИЯХ ПО ЭКСПЛУАТАЦИИ может быть сказано об отсутствии на сегодняшний день опубликованных исследований оценки или других доказательств эффекта накопления и/или отсроченных эффектов от воздействия ЭМП, генерируемого МР ОБОРУДОВАНИЕМ.
В ИНСТРУКЦИЯХ ПО ЭКСПЛУАТАЦИИ должны быть приведены рекомендации о дополнительных мерах предосторожности для МР СОТРУДНИКОВ в случае беременности, хотя до настоящего времени никакого эпидемиологического заключения о негативном влиянии на состояние здоровье не было сделано.
Примечание - Должны применяться местные законодательные акты.
В ИНСТРУКЦИЯХ ПО ЭКСПЛУАТАЦИИ должно быть отмечено, что в случае беременности МР СОТРУДНИКУ запрещается находиться в комнате сканирования во время проведения процедуры.
В том случае, если местными нормативными документами предусмотрены меньшие, по сравнению с рассмотренными выше, пороговые значения воздействия ЭМП, то это должно быть оговорено в ИНСТРУКЦИЯХ ПО ЭКСПЛУАТАЦИИ.
l) *ВСПОМОГАТЕЛЬНЫЕ УСТРОЙСТВА
ОТВЕТСТВЕННАЯ ОРГАНИЗАЦИЯ должна быть осведомлена, что любое применение приборов для контроля физиологических параметров ПАЦИЕНТА должно проводиться только по указанию ОТВЕТСТВЕННОЙ ОРГАНИЗАЦИИ и под ее ответственность.
В ИНСТРУКЦИЯХ ПО ЭКСПЛУАТАЦИИ должно содержаться предупреждение для ОТВЕТСТВЕННОЙ ОРГАНИЗАЦИИ о том, что применение такого вспомогательного оборудования, как приборы для контроля физиологических параметров, оборудование для гейтинга, передающие РЧ катушки, не прошедшего специальную проверку и не рекомендованного для использования с МР ОБОРУДОВАНИЕМ, может привести к ожогам или причинению других травм ПАЦИЕНТУ. Кроме того, ИНСТРУКЦИИ ПО ЭКСПЛУАТАЦИИ должны предупреждать ОТВЕТСТВЕННУЮ ОРГАНИЗАЦИЮ, что даже если вспомогательное оборудование имеет соответствующую маркировку о совместимости с МР ОБОРУДОВАНИЕМ или МР СИСТЕМАМИ, оно может травмировать ПАЦИЕНТА в случае несоблюдения инструкций ИЗГОТОВИТЕЛЯ, особенно по размещению питающих кабелей.
m) *УСТРОЙСТВО АВАРИЙНОГО ОТКЛЮЧЕНИЯ ПОЛЯ
В ИНСТРУКЦИЯХ ПО ЭКСПЛУАТАЦИИ должно быть оговорено, при каких условиях и каким образом необходимо использовать УСТРОЙСТВО АВАРИЙНОГО ОТКЛЮЧЕНИЯ ПОЛЯ в случае аварийной ситуации. Также должны быть приведены примеры ситуаций, требующих его применения.
Примечание - Магнитное поле в МР ОБОРУДОВАНИИ с постоянными магнитами не может быть отключено даже в аварийной ситуации.
n) Пожаробезопасность
В ИНСТРУКЦИЯХ ПО ЭКСПЛУАТАЦИИ должны быть приведены рекомендации для ОТВЕТСТВЕННОЙ ОРГАНИЗАЦИИ по согласованию мер пожарной безопасности с территориальными органами Государственной противопожарной службы, указаны мероприятия на случай возникновения пожароопасной ситуации и ответственность ОТВЕТСТВЕННОЙ ОРГАНИЗАЦИИ за их выполнение.
o) Артефакты
ИНСТРУКЦИИ ПО ЭКСПЛУАТАЦИИ должны проинформировать ОТВЕТСТВЕННУЮ ОРГАНИЗАЦИЮ, что причиной артефактов изображения могут служить технологические и физиологические факторы (например, однородность поля магнита, линейность градиента, округление отсчетов, недостаточность оцифровки, движение, поток, химический сдвиг, изменения восприимчивости и т.д.). Эти факторы могут привести к неоднородности изображения, геометрическим искажениям, артефактам движения и т.д. В ИНСТРУКЦИЯХ ПО ЭКСПЛУАТАЦИИ должны быть представлены поясняющие изображения для каждого из случаев, а также оговорены методы их корректировки и уменьшения негативного эффекта (например, изменение полосы пропускания, обнуление градиента, предварительное насыщение и т.д.).
p) Рекомендуемое обучение
ИНСТРУКЦИИ ПО ЭКСПЛУАТАЦИИ должны рекомендовать необходимость проведения обучения МР ПЕРСОНАЛА для безопасного и эффективного управления МР ОБОРУДОВАНИЕМ. Это обучение должно включать в себя чрезвычайные меры, указанные в следующих перечислениях:
- неотложная медицинская помощь;
- ОБЛАСТЬ КОНТРОЛИРУЕМОГО ДОСТУПА;
- УСТРОЙСТВО АВАРИЙНОГО ОТКЛЮЧЕНИЯ ПОЛЯ;
- пожаробезопасность;
- чрезвычайные действия в случае КВЕНЧА;
- контроль качества.
В ИНСТРУКЦИЯХ ПО ЭКСПЛУАТАЦИИ должны быть описаны процедуры контроля качества, рекомендованные для ОТВЕТСТВЕННОЙ ОРГАНИЗАЦИИ, включая описание всех применяемых фантомов.
| | ИС МЕГАНОРМ: примечание. Нумерация пунктов дана в соответствии с официальным текстом документа. | |
r) Техническое обслуживание
ИНСТРУКЦИИ ПО ЭКСПЛУАТАЦИИ должны содержать рекомендации по техническому обслуживанию МР ОБОРУДОВАНИЯ. В данном разделе должен быть представлен список основных работ, которые выполняет обслуживающий персонал.
s) *Чрезвычайные действия в случае КВЕНЧА
ИНСТРУКЦИИ ПО ЭКСПЛУАТАЦИИ должны включать указания о том, как определить КВЕНЧ и как действовать в случае его возникновения, особенно при нарушении работы системы вентиляции сверхпроводящего магнита.
t) *Сканирование ПАЦИЕНТОВ с активными и пассивными имплантатами
В ИНСТРУКЦИЯХ ПО ЭКСПЛУАТАЦИИ должна быть описана степень РИСКА, связанного со сканированием ПАЦИЕНТОВ с активными и пассивными имплантатами из проводящих материалов. Электромагнитные поля могут оказывать сильное воздействие на металлические имплантаты, а также влиять на работу активных устройств. Это может привести к заметным артефактам на изображении, явиться причиной таких побочных эффектов, как внутренний нагрев ткани, приводящий к ее повреждению, нарушение нормального функционирования организма, а также серьезные повреждения.
В том случае, если имплантат имеет соответствующую маркировку о МР совместимости, ОПЕРАТОР должен четко следовать инструкциям безопасности при проведении процедуры сканирования, представленным в технической документации на данный имплантат.
u) *Сканирование ПАЦИЕНТОВ при беременности
В ИНСТРУКЦИЯХ ПО ЭКСПЛУАТАЦИИ должно быть оговорено, что процедура сканирования беременных ПАЦИЕНТОВ с помощью ПЕРЕДАЮЩЕЙ РЧ КАТУШКИ ДЛЯ ВСЕГО ТЕЛА должна быть ограничена НОРМАЛЬНЫМ РЕЖИМОМ РАБОТЫ.
v) Сканирование ПАЦИЕНТОВ с повышенной ТЕМПЕРАТУРОЙ ТЕЛА
В ИНСТРУКЦИЯХ ПО ЭКСПЛУАТАЦИИ должно быть оговорено, что при работе с МР ОБОРУДОВАНИЕМ с целью предотвращения теплового удара и местного повреждения тканей повышение ТЕМПЕРАТУРЫ ТЕЛА должно ограничиваться значениями, приведенными в
таблице 201.104. Экспериментальным путем было установлено, что при ТЕМПЕРАТУРЕ ТЕЛА более 39,5 °C ПАЦИЕНТЫ не могут проходить процедуру сканирования, а при ТЕМПЕРАТУРЕ ТЕЛА более 39,0 °C могут проходить процедуру сканирования только в НОРМАЛЬНОМ РЕЖИМЕ РАБОТЫ.
w) Назначение
ИНСТРУКЦИИ ПО ЭКСПЛУАТАЦИИ должны содержать описание основных функций интерфейса системы. В разделе "Назначение" должно быть представлено описание программных и аппаратных средств системы, которое вместе с данными СОПРОВОДИТЕЛЬНОЙ ДОКУМЕНТАЦИИ может быть использовано для определения основных параметров и характеристик постоянного, градиентного и РЧ магнитных полей. Более подробная информация должна быть представлена для следующих параметров:
- номинальное значение индукции постоянного магнитного поля B0;
- максимальное значение градиента постоянного магнитного поля, Тл/м;
- диапазон используемых МР частот;
- максимальное значение ГРАДИЕНТНОГО ВЫХОДА внутри цилиндров диаметром 0,2, 0,4 м и с отверстием диаметром 0,1 м.
Примечание - Ось цилиндра (ось ПАЦИЕНТА) МАГНИТА С ПОПЕРЕЧНЫМ ПОЛЕМ перпендикулярна к оси магнита. Термин "апертура ПАЦИЕНТА" должен быть заменен на "зазор между полюсными башмаками магнита", термин "длина магнита" должен быть заменен на "диаметр полюсного башмака".
201.7.9.3 Техническое описание
Дополнение:
201.7.9.3.101 Техническое описание МР ОБОРУДОВАНИЯ
a) ОБЛАСТЬ КОНТРОЛИРУЕМОГО ДОСТУПА
В техническом описании на МР ОБОРУДОВАНИЕ, для которого значение индукции рассеянного поля превышает 0,5 мТл за пределами внешнего корпуса магнита и/или уровень электромагнитного поля не соответствует требованиям МЭК 60601-1-2, должны быть указаны:
- ОБЛАСТЬ КОНТРОЛИРУЕМОГО ДОСТУПА вокруг МР ОБОРУДОВАНИЯ должна быть определена таким образом, чтобы вне этой области:
1) индукция магнитного поля не превышала 0,5 мТл,
2) уровень электромагнитного поля соответствовал МЭК 60601-1-2;
- рекомендации по ограничению ОБЛАСТИ КОНТРОЛИРУЕМОГО ДОСТУПА, например, с использованием маркировок на полу, барьеров и/или других средств, позволяющих ОТВЕТСТВЕННОЙ ОРГАНИЗАЦИИ ограничивать несанкционированный доступ к этой области;
- необходимость ограничения ОБЛАСТИ КОНТРОЛИРУЕМОГО ДОСТУПА соответствующими предупреждающими знаками, указывающими на присутствие магнитных полей и действие сил притяжения или вращающего момента на ферромагнитные материалы (в
приложении AA представлены примеры предупреждающих и запрещающих знаков).
Если при проектировании МР ОБОРУДОВАНИЯ не исключается возможность его установки в помещении, где присутствует ограниченный речевой и визуальный контакт с ПАЦИЕНТОМ, то в техническом описании должны быть представлены соответствующие требования к изменению планировки комнаты и дизайна ОБОРУДОВАНИЯ с целью обеспечения речевого и визуального контакта с ПАЦИЕНТОМ в течение МР ИССЛЕДОВАНИЯ. Речевые и визуальные контакты являются достаточным условием для проведения МОНИТОРИНГА и МЕДИЦИНСКОГО КОНТРОЛЯ ПАЦИЕНТА.
b) *Техническая спецификация эксплуатационной совместимости
В дополнение к ИНСТРУКЦИИ ПО ЭКСПЛУАТАЦИИ в комплекте технической документации на МР ОБОРУДОВАНИЕ должна быть представлена техническая спецификация эксплуатационной совместимости, позволяющая проводить надлежащую проверку совместимости системы с периферийным оборудованием. Техническая спецификация эксплуатационной совместимости должна содержать следующие параметры:
- для магнита: тип, значение индукции магнитного поля, внутренний диаметр гантри, состав криогена и его скорость испарения, типовые карты магнитных полей для данной модели МР ОБОРУДОВАНИЯ:
- карты магнитных полей с тремя разрезами в ортогональных проекциях, проходящих через изоцентр магнита, для иллюстрации максимального пространственного распределения изомагнитных линий;
- изомагнитные линии на каждой проекции со значениями 0,5, 1, 3, 5, 10, 20, 40 и 200 мТл как минимум, а также масштаб и внешний контур магнита;
- положение, где значение пространственного градиента основного магнитного поля максимально, а также приведены значения индукции B0 и пространственного градиента в этой области. Здесь сила, действующая на насыщенный ферромагнитный объект, будет максимальна (зависит от значения пространственного градиента магнитного поля B0);
- положение, где произведение индукции магнитного поля B0 и его пространственного градиента максимально, а также приведены значения индукции B0 и пространственного градиента в этой области. Здесь сила, действующая на диамагнитные или парамагнитные объекты или ферромагнитный материал, находящийся в состоянии ниже точки насыщения, будет максимальна;
- карту распределения изомагнитных линий постоянного магнитного поля с индукцией 0,5, 1, 1,5, 2, 3 и 4 Тл в местах допустимого и нормального нахождения МР ПЕРСОНАЛА;
- для системы градиентов: тип, максимальная амплитуда, максимальная скорость переключения градиентов, максимальная скорость нарастания и пространственное распределение максимальной амплитуды векторной суммы индукций магнитных полей, создаваемых каждым из трех ГРАДИЕНТНЫХ БЛОКОВ:
- пространственное распределение максимальной амплитуды векторной суммы индукций магнитных полей, создаваемых каждым из трех ГРАДИЕНТНЫХ БЛОКОВ одновременно на рабочих местах МР ПЕРСОНАЛА во время сканирования (см.
201.12.4.105.2.3);
- пространственное распределение максимальной амплитуды векторной суммы индукций магнитных полей, создаваемых каждым из трех ГРАДИЕНТНЫХ БЛОКОВ, в точках на поверхностях воображаемых цилиндров, коаксиальных с осью ПАЦИЕНТА и имеющих диаметры на 0,2, 0,4 и 0,1 м меньше апертуры магнита. Длина воображаемых цилиндров должна соответствовать длине градиентных катушек, а расстояния между точками на поверхностях цилиндров не должны превышать 0,02 м. Подробный расчет должен быть выполнен на модели, представленной в приложении.
Примечание - Эти требования обеспечивают безопасность ПАЦИЕНТА и поэтому отличаются от соответствующих требований для МР ПЕРСОНАЛА, представленных в
201.12.4.105.2.3;
- для РЧ системы: типы передающих РЧ катушек, пиковые значения выходной мощности усилителей, максимальная ширина диапазона передающих РЧ катушек, максимальное значение B1+RMS для каждой объемной передающей РЧ катушки и:
- пространственное распределение максимальных значение РЧ поля, создаваемого разгруженной передающей РЧ катушкой в зоне доступа МР СОТРУДНИКА
(201.12.4.105.3.3);
- максимальное значение РЧ поля в ИЗОЦЕНТРЕ системы, создаваемого ненагруженной передающей РЧ катушкой, помещенной в ИЗОЦЕНТР, а также расстояние от ИЗОЦЕНТРА вдоль оси катушки (обычно z-направление), на котором значения РЧ поля уменьшаются на 3 и на 10 дБ по сравнению с максимальным значением в ИЗОЦЕНТРЕ.
Примечание - Эти требования обеспечивают безопасность ПАЦИЕНТА и поэтому отличаются от соответствующих требований для МР ПЕРСОНАЛА, представленных в
201.12.4.105.3.3;
- протоколы совместимости:
ИЗГОТОВИТЕЛЕМ МР ОБОРУДОВАНИЯ должен быть определен перечень протоколов, которые могут быть использованы для рутинной проверки и с помощью которых ИЗГОТОВИТЕЛЬ вспомогательного оборудования может протестировать функциональное состояние своих устройств при работе с МР ОБОРУДОВАНИЕМ. Данные протоколы должны обеспечивать работу МР ОБОРУДОВАНИЯ в условиях с сильными РЧ полями, высокой скоростью нарастания градиентов и большими значениями амплитуд градиентов, тем самым давая возможность исследовать влияние МР ОБОРУДОВАНИЯ на вспомогательные устройства. Данные испытания не предназначены для оценки возможного влияния вспомогательные устройств на качество изображения МР ОБОРУДОВАНИЯ и не гарантируют стабильную работу вспомогательных устройств;
- место ПАЦИЕНТА: размеры, вентиляция, средства связи и освещение;
- СТОЛ ПАЦИЕНТА: габаритные размеры, расположение, точность и максимальная нагрузка.
c) *Условия безопасности при КВЕНЧЕ
Для МР ОБОРУДОВАНИЯ со сверхпроводящим магнитом ТЕХНИЧЕСКАЯ ДОКУМЕНТАЦИЯ должна:
- устанавливать требования для системы вентиляции сверхпроводящего магнита, соединяющей криостат магнита с внешней атмосферой и разработанной для предотвращения КВЕНЧА и защиты находящихся поблизости людей в случае КВЕНЧА;
- содержать руководство по устройству (размеры, положение, сборка и применяемый материал) системы вентиляции сверхпроводящего магнита внутри и снаружи комнаты сканирования;
- рекомендовать профилактическую программу обслуживания, утверждающую необходимость проведения периодических проверок функционального состояния системы вентиляции сверхпроводящего магнита;
- устанавливать требования для проекта комнаты сканирования для обеспечения безопасности ПАЦИЕНТА и других людей, находящихся внутри и снаружи комнаты сканирования, в случае отказа системы вентиляции при КВЕНЧЕ. Предлагаемый план должен быть направлен на уменьшение таких процессов, как повышение давления, рост температуры или нехватка кислорода при КВЕНЧЕ. Некоторое количество принятых решений данной задачи, показавших свою эффективность при моделировании или испытании, должно быть представлено в технической документации. Это позволит значительно уменьшить вероятность ОПАСНОСТИ для ПАЦИЕНТА и других людей, находящихся как внутри, так и снаружи комнаты сканирования, причинами которой могут служить повышение давления, рост температуры или нехватка кислорода в результате отказа системы вентиляции при КВЕНЧЕ;
- указывать на необходимость разработки ОТВЕТСТВЕННОЙ ОРГАНИЗАЦИЕЙ плана эвакуации в случае отказа системы вентиляции при КВЕНЧ;
- устанавливать возможные дополнительные меры контроля системы вентиляции ПАЦИЕНТА, чтобы не подвергнуть его опасности при попадании гелия в систему вентиляции ПАЦИЕНТА. Система вентиляции ПАЦИЕНТА должна быть снабжена входным отверстием, находящимся в безопасном месте (например, расположенного в комнате сканирования на небольшом расстоянии от уровня пола или связанного с системой кондиционирования комнаты сканирования), или связана с датчиком КВЕНЧА для обеспечения автоматического управления вентиляционной системой ПАЦИЕНТА и предотвращения попадания гелия во внутреннюю часть сканера к ПАЦИЕНТУ при КВЕНЧЕ.
Примечания
1 Вентиляционная система для сверхпроводящего магнита рассматривается как криогенная вентиляционная труба и все дополнительные компоненты, обеспечивающие безопасность при КВЕНЧЕ.
2 Конфигурации комнаты сканирования, показавшие свою эффективность при моделировании или тестировании, включают в себя:
- РЧ двери, открывающиеся наружу или РЧ двери-купе;
- РЧ двери, открывающиеся внутрь, если предусмотрены дополнительные меры предосторожности для предотвращения увеличение ДАВЛЕНИЯ, а именно:
- дополнительная система вентиляции в комнате сканирования, которая может быть включена (возможно, автоматически через датчик кислорода в потолке комнаты сканирования, чтобы предотвратить попадание гелия) в случае КВЕНЧА, или
- отверстие в стене или потолке комнаты сканирования в качестве выходного клапана вентиляционной системы, или
- возможность открывания окна наблюдения из комнаты сканирования в комнату управления или наличие окна со скользящими створками, или
- вторая независимая система вентиляции для сверхпроводящего магнита, которая остается в рабочем состоянии в случае, если работа основной вентиляционной системы для сверхпроводящего магнита затруднена, или
- эквивалентные методы, подтвердившие свою эффективность при моделировании или испытании.
d) Характеристики затухания магнитного поля
Для МР ОБОРУДОВАНИЯ, оснащенного сверхпроводящим или резистивным магнитом, технические описания должны содержать характеристики затухания магнитного поля при переходе магнита из сверхпроводящего в нормальное состояние (КВЕНЧЕ) или при аварийном выключении магнита, для того чтобы ОТВЕТСТВЕННАЯ ОРГАНИЗАЦИЯ смогла принять необходимые меры безопасности и поддержания жизнеобеспечения ПАЦИЕНТА. В данных характеристиках должно быть указано время с момента срабатывания УСТРОЙСТВА АВАРИЙНОГО ОТКЛЮЧЕНИЯ ПОЛЯ до момента, когда значение индукции в центре магнита уменьшится до 20 мТл.
В технической документации должны быть приведены указания по установке датчика УСТРОЙСТВА АВАРИЙНОГО ОТКЛЮЧЕНИЯ ПОЛЯ.
e) Тип градиентной системы
В технической документации ИЗГОТОВИТЕЛЬ должен указать тип градиентной системы магнита, а именно: ГРАДИЕНТНАЯ СИСТЕМА ДЛЯ ВСЕГО ТЕЛА или СПЕЦИАЛЬНАЯ ГРАДИЕНТНАЯ СИСТЕМА.
f) Контрольный список условий безопасности
Перед первым запуском МР СИСТЕМ рекомендуется использовать контрольный список условий безопасности, в котором должны быть отражены все аспекты безопасности при монтаже МР СИСТЕМ. утвержденные соответствующими организациями, проводящими монтаж.
201.8. Защита от ОПАСНОСТЕЙ ПОРАЖЕНИЯ ЭЛЕКТРИЧЕСКИМ ТОКОМ
Применяют раздел 8 общего стандарта, за исключением:
201.8.7.3 *Допустимые уровни
Замена:
d) Допустимые уровни ТОКА УТЕЧКИ составляют 5 мА при НОРМАЛЬНЫХ УСЛОВИЯХ и 10 мА при УСЛОВИИ ЕДИНИЧНОГО НАРУШЕНИЯ. Для МР ОБОРУДОВАНИЯ, установленного надолго, ТОК УТЕЧКИ при НОРМАЛЬНЫХ УСЛОВИЯХ и УСЛОВИИ ЕДИНИЧНОГО НАРУШЕНИЯ не должен превышать 20 мА.
Примечание - Местными нормативными документами могут быть установлены граничные значения токов (см. МЭК 60364-7-710).
Дополнение:
e) Ограничения ТОКА УТЕЧКИ НА ПАЦИЕНТА и ДОПОЛНИТЕЛЬНЫХ ТОКОВ В ЦЕПИ ПАЦИЕНТА при НОРМАЛЬНЫХ УСЛОВИЯХ и УСЛОВИИ ЕДИНИЧНОГО НАРУШЕНИЯ не применяются для частот свыше 1 МГц. Опасность, возникающая при работе с токами высокой частоты, рассмотрена в
201.12.4.103.2.
201.9. ЗАЩИТА ОТ МЕХАНИЧЕСКИХ ОПАСНОСТЕЙ
Применяют раздел 9 общего стандарта, за исключением:
201.9.6 Акустический шум (включая инфра- и ультразвук) и вибрации
Изменение:
201.9.6.2.1 *Акустический шум
МР ОБОРУДОВАНИЕ не должно производить шум, уровень звукового давления которого Lp, измеренный на линейном участке частотной характеристики шумомера, превышает 140 дБ по отношению к уровню 20 мкПа.
201.9.7 Сосуды высокого давления и объекты, подверженные влиянию пневматического и гидравлического давления
Дополнение:
201.9.7.101 Сосуды с жидким гелием для МР ОБОРУДОВАНИЯ
Если сосуды высокого давления используются в качестве сосудов с жидким гелием, они должны соответствовать 9.7 общего стандарта или местным нормативным документам.
201.9.8 ОПАСНОСТИ, связанные с опорными системами
201.9.8.3.3 Динамические усилия от нагрузок, создаваемых людьми
Дополнение:
Примечание - Испытываемая масса разгоняется при падении с высоты 150 мм от опорной поверхности, а затем замедляется во время сжатия ее нижней части, выполненной из 60-мм пенопласта, создавая тем самым двойной или тройной эквивалент БЕЗОПАСНОЙ РАБОЧЕЙ НАГРУЗКИ.
Если при анализе механической системы подтверждается, что условия при проведении испытаний на статическую нагрузку являются более суровыми, чем испытания на динамическую нагрузку, то испытания на динамическую нагрузку могут быть ограничены рассмотрением ФАЙЛА МЕНЕДЖМЕНТА РИСКА.
Перед выполнением этого испытания опорную/подвесную систему ориентируют горизонтально в наименее благоприятном положении при НОРМАЛЬНОЙ ЭКСПЛУАТАЦИИ с учетом нагрузки, создаваемой ПАЦИЕНТОМ, а затем разгружают ее.
На опорной системе размещают массу, превосходящую в единицах эквивалента силы возможную динамическую нагрузку. Нижняя соприкасающаяся со СТОЛОМ ПАЦИЕНТА площадка эквивалента аналогичной, приведенной на рисунке 33 общего стандарта. Контакт массы и СТОЛА ПАЦИЕНТА должен длиться не менее одной минуты. Любую потерю функции или повреждение конструкции, которое может приводить к недопустимому РИСКУ, считают отрицательным результатом этого испытания.
Примечание - Пенопласт, представленный на рисунке 33 общего стандарта, не используется для данных испытаний.
201.10. Защита от ОПАСНОСТЕЙ, связанных с нежелательным и избыточным излучением
Применяют раздел 10 общего стандарта.
201.11. Защита от ОПАСНОСТЕЙ, связанных с избыточными температурами, и других ОПАСНОСТЕЙ
Применяют раздел 11 общего стандарта.
201.12. ТОЧНОСТЬ РАБОЧИХ ХАРАКТЕРИСТИК И ЗАЩИТА ОТ ПРЕДСТАВЛЯЮЩИХ ОПАСНОСТЬ ВЫХОДНЫХ ХАРАКТЕРИСТИК
Применяют раздел 12 общего стандарта, за исключением:
201.12.4 *Защита от представляющих опасность выходных характеристик
Дополнение:
201.12.4.101 Режимы работы
201.12.4.101.1 Общие положения
Когда в течение работы МР ОБОРУДОВАНИЯ одна или несколько выходных характеристик достигают уровня, который может вызвать нежелательное физиологическое состояние ПАЦИЕНТА, ОПЕРАТОР должен решить, действительно ли эта операция соответствует интересам ПАЦИЕНТА. В настоящем пункте приведены требования к конструкции МР ОБОРУДОВАНИЯ, которые могут помочь ОПЕРАТОРУ в принятии таких решений. Данные требования описывают три уровня работы МР ОБОРУДОВАНИЯ, которые определены с учетом интерфейса ПОЛЬЗОВАТЕЛЯ и информации, представляемой ОПЕРАТОРУ (см.
201.12.4.101), и с учетом разрешенных значений выходных характеристик (см.
201.12.4.102 -
201.12.4.104).
Требования настоящего подпункта должны применяться для всех режимов работы, оценивающих значение ГРАДИЕНТНОГО ВЫХОДА, УКП и индукции постоянного магнитного поля.
Соответствие требованиям настоящего пункта, касающимся режимов работы (т.е. средства управления, выполнение требуемого действия, представление информации и значений индикаторов), должно быть проверено осмотром. Методы измерения для демонстрации данных соответствий приведены в
201.12.4.102,
201.12.4.103 и описаны в
201.12.4.105.
201.12.4.101.2 Режимы работы
МР ОБОРУДОВАНИЕ должно соответствовать следующим требованиям:
Средства (контроль) должны гарантировать то, что предельное(ые) значение(я) при выбранном режиме работы не превышено(ы). Этот контроль должен быть проведен независимо от параметров, задаваемых ОПЕРАТОРОМ (например, размеры, масса или расположение ПАЦИЕНТА), или должен быть проверен МР ОБОРУДОВАНИЕМ, чтобы обнаружить любую ошибку в задаваемых ОПЕРАТОРОМ параметрах.
Возврат к НОРМАЛЬНОМУ РЕЖИМУ РАБОТЫ относительно УКП и dB/dt должен быть выполнен автоматически для каждого ПАЦИЕНТА.
МР ОБОРУДОВАНИЕ должно выводить на ПАНЕЛЬ УПРАВЛЕНИЯ информацию о предварительных значениях УКП. МР ОБОРУДОВАНИЕ должно выводить на ПАНЕЛЬ УПРАВЛЕНИЯ предварительное значение B1+RMS, полученное в течение 10-секундного периода сканирования. Значение B1+RMS должно выводиться только в случае, когда выбрана объемная передающая РЧ катушка.
Примечание - Предполагается, что максимальное значение ГРАДИЕНТНОГО ВЫХОДА, генерируемое системой, известно и указано в технической документации.
201.12.4.101.3 НОРМАЛЬНЫЙ РЕЖИМ РАБОТЫ
Для МР ОБОРУДОВАНИЯ, которое неспособно к работе в режимах выше НОРМАЛЬНОГО РЕЖИМА РАБОТЫ, как определено в
201.12.4.102 и
201.12.4.103, на ПАНЕЛИ УПРАВЛЕНИЯ не должны отображаться какие-либо специальные индикаторы.
201.12.4.101.4 РЕЖИМ КОНТРОЛЯ ПЕРВОГО УРОВНЯ
МР ОБОРУДОВАНИЕ, которое поддерживает РЕЖИМ КОНТРОЛЯ ПЕРВОГО УРОВНЯ, как определено в
201.12.4.102 и
201.12.4.103, должно соответствовать следующим требованиям:
Перед началом каждого сканирования идентификация режима работы, определяемого предварительным значением ГРАДИЕНТНОГО ВЫХОДА и УКП, которые будут использоваться при сканировании, должна выводиться на ПАНЕЛИ УПРАВЛЕНИЯ.
Если значения ГРАДИЕНТНОГО ВЫХОДА или УКП, которые используются при сканировании, соответствуют РЕЖИМУ КОНТРОЛЯ ПЕРВОГО УРОВНЯ, тогда внимание ОПЕРАТОРА должно быть обращено на это условие сканирования с помощью хорошо считываемой индикации на ПУЛЬТЕ УПРАВЛЕНИЯ. Запись о режиме работы или эквивалентных параметрах должна быть неотъемлемой частью результата сканирования.
Для перехода в РЕЖИМ КОНТРОЛЯ ПЕРВОГО УРОВНЯ необходима команда от ОПЕРАТОРА.
201.12.4.101.5 РЕЖИМ КОНТРОЛЯ ВТОРОГО УРОВНЯ
МР ОБОРУДОВАНИЕ, которое используют в РЕЖИМЕ КОНТРОЛЯ ВТОРОГО УРОВНЯ для значений ГРАДИЕНТНОГО ВЫХОДА и УКП, как определено в
201.12.4.102 и
201.12.4.103, должно соответствовать следующим требованиям:
a) Должны быть предусмотрены специальные меры безопасности, без соблюдения которых невозможен вход в РЕЖИМ КОНТРОЛЯ ВТОРОГО УРОВНЯ. Специальные меры безопасности должны предусматривать возможность введения данного режима работы только на основании авторизации (подтверждения личности) ответственного медицинского работника и соответствовать местным требованиям. Специальные меры безопасности должны включать в себя применение блокировки ключом, комбинированную блокировку, программный пароль или другие средства защиты.
b) Перед началом каждого сканирования должны быть определены режимы работы в соответствии с максимальными значениями ГРАДИЕНТНОГО ВЫХОДА и УКП, которые должны контролироваться в течение сканирования и отображаться на ПУЛЬТЕ УПРАВЛЕНИЯ.
c) Запись о режиме работы или эквивалентных параметрах должна быть неотъемлемой частью результата сканирования.
d) Индикация для ОПЕРАТОРА должна включать в себя информацию, что эксплуатационные режимы являются потенциально опасными и что эти режимы не должны применяться для нормального клинического использования.
e) МР ОБОРУДОВАНИЕ должно быть обеспечено средствами для установки регулируемых пределов (в РЕЖИМЕ КОНТРОЛЯ ВТОРОГО УРОВНЯ) ГРАДИЕНТНОГО ВЫХОДА или различных типов УКП, которые не могут регулироваться ОПЕРАТОРОМ без соответствующих полномочий.
201.12.4.102 *Защита от низкочастотных составляющих градиентной системы
201.12.4.102.1 Общие положения
В настоящем стандарте низкочастотными составляющими градиентной системы называются колебания индукции магнитного поля, которые могут приводить к кардиостимуляции или возбуждению периферической нервной системы (ВПНС) (т.е. при ЭФФЕКТИВНОЙ ДЛИТЕЛЬНОСТИ СТИМУЛЯЦИИ > 20 мкс и отсутствии нагрева тканей).
201.12.4.102.2 Требования для ПДУ ВПНС
В конструкции МР ОБОРУДОВАНИЯ должна быть заложена функция автоматического контроля профиля градиента, чтобы предотвратить кардиостимуляцию у ПАЦИЕНТА и МР СОТРУДНИКА при любом режиме работы.
В конструкции МР ОБОРУДОВАНИЯ должна быть заложена функция автоматического контроля профиля градиента, чтобы минимизировать вероятность недопустимого возбуждения периферической нервной системы (ВПНС) у ПАЦИЕНТА и МР СОТРУДНИКА при любом режиме работы.
Примечание - Использование МР ОБОРУДОВАНИЯ, которое удовлетворяет требованиям, приведенным в следующих подпунктах, считается допустимым, если диагностическая польза от исследования сопоставима с соответствующими рисками.
В настоящем частном стандарте принимается следующее:
- ВПНС - это ощущение активации нервной системы вследствие переключения градиентов;
- начало ощущения - это ПОРОГОВЫЙ УРОВЕНЬ ВПНС (см.
201.3.227);
- некомфортное ВПНС - это состояние ПАЦИЕНТА и МР СОТРУДНИКА, которое может быть допустимо при предварительном информировании и мотивированности;
- недопустимое ВПНС - это состояние ПАЦИЕНТА, при котором ПАЦИЕНТ просит немедленно прекратить сканирование;
- кардиостимуляция - возникновение эктопического ритма или другой аритмии.
МР ОБОРУДОВАНИЕ должно минимизировать вероятность некомфортного ВПНС при НОРМАЛЬНОМ РЕЖИМЕ РАБОТЫ.
201.12.4.102.3 ПДУ УРОВНЕЙ ВПНС
201.12.4.102.3.1 Общие положения
В настоящем подпункте ПДУ для ПАЦИЕНТА И МР СОТРУДНИКА выражаются через максимальную величину УРОВНЯ ВПНС, а также:
- напряженность электрического поля E, возникающую у ПАЦИЕНТА или МР СОТРУДНИКА в результате изменения магнитного поля градиентами, или
- dB/dt, СКОРОСТЬ ИЗМЕНЕНИЯ МАГНИТНОГО ПОЛЯ градиентов.
ПДУ - это функции ЭФФЕКТИВНОЙ ДЛИТЕЛЬНОСТИ СТИМУЛЯЦИИ (
ts,eff). ЭФФЕКТИВНАЯ ДЛИТЕЛЬНОСТЬ СТИМУЛЯЦИИ показана на
рисунке 201.101.
Условия испытаний на соответствие данным пределам указаны в
201.12.4.105.2.
Примечание - ПДУ степени воздействия на МР СОТРУДНИКА совпадают с максимально разрешенными ПДУ для ПАЦИЕНТА. Соответствие ПДУ УРОВНЕЙ ВПНС для ПАЦИЕНТА автоматически приводит к соответствию для МР СОТРУДНИКА.
201.12.4.102.3.2 ПДУ, связанные с предотвращением кардиостимуляции
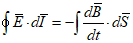
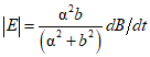
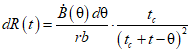
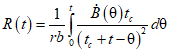
Чтобы исключить кардиостимуляцию в каждом режиме работы, ГРАДИЕНТНЫЙ ВЫХОД каждого ГРАДИЕНТНОГО БЛОКА должен удовлетворять условию:
где ts,eff - ЭФФЕКТИВНАЯ ДЛИТЕЛЬНОСТЬ СТИМУЛЯЦИИ, мс;
E - напряженность электрического поля в результате ПЕРЕКЛЮЧЕНИЯ ГРАДИЕНТОВ, В/м.
Для МР ОБОРУДОВАНИЯ с ГРАДИЕНТНОЙ СИСТЕМОЙ ДЛЯ ВСЕГО ТЕЛА данный ПДУ можно заменить:
где dB/dt - скорость изменения магнитного поля в результате переключения ГРАДИЕНТОВ, Тл/м;
ts,eff - ЭФФЕКТИВНАЯ ДЛИТЕЛЬНОСТЬ СТИМУЛЯЦИИ, мс.
201.12.4.102.3.3 ПДУ, связанные с возбуждением периферической нервной системы (ВПНС)
ПДУ УРОВНЕЙ ВПНС выводятся либо на основании экспериментальных исследований людей [см. перечисление a) настоящего подпункта], либо должны быть равны значениям из
перечисления b) настоящего подпункта.
a) ПДУ, определяемые непосредственно
ПДУ, связанные с уменьшением ВПНС для любого типа градиентной системы, могут быть определены напрямую на основании исследования добровольцев и представлены следующими значениями:
- при НОРМАЛЬНОМ РЕЖИМЕ РАБОТЫ градиентной системы ПДУ составляет 80% непосредственно определенного ПОРОГОВОГО УРОВНЯ ВПНС, и
- при работе градиентной системы в РЕЖИМЕ КОНТРОЛЯ ПЕРВОГО УРОВНЯ ПДУ составляет 100% непосредственно определенного ПОРОГОВОГО УРОВНЯ ВПНС.
Кроме того, проведенное исследование может использоваться для вычисления весовых коэффициентов для каждого ГРАДИЕНТНОГО БЛОКА, подходящих для контроля ГРАДИЕНТНОГО ВЫХОДА (см.
201.12.4.102.2).
Способ проведения исследования на добровольцах, направленного на получение непосредственно определенного ПОРОГОВОГО УРОВНЯ ВПНС и весовых коэффициентов, должен соответствовать условиям, описанным в
201.12.4.105.1.
Эти ПДУ и весовые коэффициенты не должны применяться к другим типам градиентных систем, если не показано достаточное сходство конструкции этих систем с теми, для которых были определены ПДУ и весовые коэффициенты.
Если непосредственное определение ПДУ не выполнено, то ПДУ ГРАДИЕНТНОГО ВЫХОДА при НОРМАЛЬНОМ РЕЖИМЕ РАБОТЫ (
L01) и РЕЖИМЕ КОНТРОЛЯ ПЕРВОГО УРОВНЯ (
L12) в зависимости от маркировки [как определено в
201.7.9.3.101 (e)] не должны превышать значения, приведенные ниже:
L12 = 1,0 rb (1 + 0,36/ts,eff), (ts,eff, мс);
L01 = 0,8 rb (1 + 0,36/ts,eff), (ts,eff, мс),
где ts,eff - ЭФФЕКТИВНАЯ ПРОДОЛЖИТЕЛЬНОСТЬ СТИМУЛЯЦИИ, мс;
rb - реобаза, Тл/с, приведенная в таблице 201.102.
Таблица 201.102
Значения реобазы для различных градиентных систем
Тип системы градиента | rb в единицах E, В/м | rb в единицах dB/dt, Тл/с |
ГРАДИЕНТНАЯ СИСТЕМА ДЛЯ ВСЕГО ТЕЛА | 2,2 | 20 |
СПЕЦИАЛЬНАЯ ГРАДИЕНТНАЯ СИСТЕМА | 2,2 | Не применяется |
Значения L01, L12 и rb должны быть выражены в единицах напряженности наведенного электрического поля E, В/м, или в единицах СКОРОСТИ ИЗМЕНЕНИЯ МАГНИТНОГО ПОЛЯ dB/dt, Тл/с.
На рисунке 201.102 приведено графическое представление ПДУ для ГРАДИЕНТНОЙ СИСТЕМЫ ДЛЯ ВСЕГО ТЕЛА, связанных с кардиостимуляцией и ВПНС, выраженных в единицах dB/dt, как функция ЭФФЕКТИВНОЙ ПРОДОЛЖИТЕЛЬНОСТИ СТИМУЛЯЦИИ.
Рисунок 201.102 - ПДУ для случаев кардиостимуляции и ВПНС
ПДУ ГРАДИЕНТНОГО ВЫХОДА в случае ВПНС при НОРМАЛЬНОМ РЕЖИМЕ РАБОТЫ (
L01) и при РЕЖИМЕ КОНТРОЛЯ ПЕРВОГО УРОВНЯ (
L12) в ГРАДИЕНТНОЙ СИСТЕМЕ ВСЕГО ТЕЛА выражаются в единицах
dB/
dt, Тл/с через
ts, мс. ПДУ из
201.12.4.102.3.2 в случае кардиостимуляции приводят для сравнения.
201.12.4.102.3.4 Контроль УРОВНЯ ВПНС
МР ОБОРУДОВАНИЕ должно иметь функцию контроля УРОВНЯ ВПНС (Oi) при работе градиентной системы, чтобы не превысить ПДУ ВПНС. Значение O может быть получено с помощью взвешенной суммы квадратов Oi, максимальных значений УРОВНЯ ПНС каждого ГРАДИЕНТНОГО БЛОКА i или соответствующим альтернативным методом суммирования.
Выражение для взвешенной суммы квадратов записывается следующим образом:

,
где wi - весовой коэффициент ГРАДИЕНТНОГО БЛОКА i.
Весовые коэффициенты E-полей всегда равны единице, весовые коэффициенты dB/dt приведены в таблице 201.103. Значения весовых коэффициентов получают с помощью непосредственного определения или другим принятым методом.
Таблица 201.103
Весовые коэффициенты для суммирования максимальных уровней
Oi для каждого ГРАДИЕНТНОГО БЛОКА
Тип градиентной системы | | Весовые коэффициенты |
| | |
СИСТЕМА ГРАДИЕНТОВ ДЛЯ ВСЕГО ТЕЛА | Значения по умолчанию | 1,0 | 1,0 | 1,0 |
Цилиндрические магниты | 1,0 | 0,8 | 0,7 |
Эмпирическое определение | 1,0 | | |
СПЕЦИАЛЬНАЯ ГРАДИЕНТНАЯ СИСТЕМА | Значения по умолчанию | 1,0 | 1,0 | 1,0 |
Эмпирическое определение | 1,0 | | |
<a> WAP, WLR, WHF - весовые коэффициенты для ГРАДИЕНТНЫХ БЛОКОВ в зависимости от направления, вдоль которого создается неоднородность магнитного поля, относительно системы координат, связанной с ПАЦИЕНТОМ: ось AP (направление спереди назад), ось LR (направление слева направо), ось HF (направление сверху вниз). <b> Можно использовать значения весовых коэффициентов, полученные с помощью непосредственного определения или другим соответствующим методом. Примечание - Весовые коэффициенты E-полей всегда равны единице. |
201.12.4.103 *Защита от чрезмерного РЧ излучения
201.12.4.103.1 *ПДУ для температуры
Чтобы избежать нежелательного нагрева и предотвратить локальное повреждение кожных покровов, МР ОБОРУДОВАНИЕ должно предоставлять возможность ограничения повышения температуры ткани ПАЦИЕНТА до значений, указанных в таблице 201.104, ограничивая значения параметров импульсной последовательности и мощность РЧ излучения. Разрешенные значения повышения температуры для МР СОТРУДНИКА и ПАЦИЕНТА, вызванной МР ОБОРУДОВАНИЕМ, одинаковы в случае НОРМАЛЬНОГО РЕЖИМА РАБОТЫ и РЕЖИМА КОНТРОЛЯ ПЕРВОГО УРОВНЯ, как указано в таблице 201.104.
Таблица 201.104
Режим работы | Максимальная ВНУТРЕННЯЯ ТЕМПЕРАТУРА ТЕЛА, °C | Максимальная локальная температура ткани, °C | Повышение ВНУТРЕННЕЙ ТЕМПЕРАТУРЫ ТЕЛА, °C |
НОРМАЛЬНЫЙ | 39 | 39 | 0,5 |
КОНТРОЛЬ ПЕРВОГО УРОВНЯ | 40 | 40 | 1 |
КОНТРОЛЬ ВТОРОГО УРОВНЯ | > 40 | > 40 | > 1 |
Соответствие ПДУ повышения температуры может быть достигнуто ограничением УДЕЛЬНОГО КОЭФФИЦИЕНТА ПОГЛОЩЕНИЯ (УКП), как указано в 12.4.3.2. Данные значения УКП получены из предположения, что пространственно локализованные температуры не приводят к повреждению ткани.
Значения, указанные в
таблицах 201.104 и
201.106, консервативны. Более высокие температуры и более высокие значения локального УКП могут быть приняты для определенных тканей, если отсутствует неприемлемый РИСК для ПАЦИЕНТА.
Соответствие проверяют просмотром ФАЙЛА МЕНЕДЖМЕНТА РИСКА.
Примечания
1 Продолжающееся исследование моделей нагрева ткани, например СЕМ 43, может быть включено в будущие издания настоящего стандарта.
2 Так как рассеянное излучение передающей РЧ катушки быстро затухает вне объема катушки, и по геометрическим соображениям тотальное облучение тела МР СОТРУДНИКА невозможно. Поэтому предполагается, что облучение МР СОТРУДНИКА соответствует НОРМАЛЬНОМУ РЕЖИМУ РАБОТЫ, когда система работает в РЕЖИМЕ КОНТРОЛЯ ПЕРВОГО УРОВНЯ.
3 В требованиях относительно защиты от РЧ излучения предполагается, что выполнены рекомендации ИЗГОТОВИТЕЛЯ относительно ТЕМПЕРАТУРЫ ОКРУЖАЮЩЕЙ СРЕДЫ и других условий.
4 Для ДОСТУПНЫХ ПОВЕРХНОСТЕЙ применяют температурные ПДУ общего стандарта. Для оценки см.
обоснования.
201.12.4.103.2 *ПДУ для УКП
Методы измерений для проверки соответствия данным требованиям приведены в
201.12.4.105.3.
В
таблице 201.105 приведены допустимые диапазоны значений УКП ВСЕГО ТЕЛА, УКП ЧАСТИ ТЕЛА и УКП ГОЛОВЫ для случаев НОРМАЛЬНОГО РЕЖИМА РАБОТЫ, РЕЖИМА КОНТРОЛЯ ПЕРВОГО УРОВНЯ. Для РЕЖИМА КОНТРОЛЯ ВТОРОГО УРОВНЯ ПДУ не приведены. Считается, что данные значения ПДУ берет под свою ответственность местный исследовательский комитет по надзору.
Для определения УКП ВСЕГО ТЕЛА используют массу, эквивалентную массе ПАЦИЕНТА. Масса, используемая для определения УКП ЧАСТИ ТЕЛА, называется облучаемой массой ПАЦИЕНТА. Данное значение соответствует части массы ПАЦИЕНТА, которая помещается в объеме передающей РЧ катушки. Эффективный объем передающей РЧ катушки соответствует объему однородного материала, который заполняет пространство, доступное для ПАЦИЕНТА во время исследования, и в котором остается не более 95% от общей поглощенной энергии РЧ излучения.
Для определения УКП ГОЛОВЫ используется масса головы, полученная с помощью подходящей модели. Чтобы определить ЛОКАЛЬНЫЙ УКП, используют массу 10 г.
Таблица 201.105
ПДУ УКП для различных объемных передающих катушек
Усреднение по времени | 6 мин. |
УКП ВСЕГО ТЕЛА | УКП ЧАСТИ ТЕЛА | УКП ГОЛОВЫ |
Часть тела | Все тело | Облученная часть тела | Голова |
Режим работы | (Вт/кг) | (Вт/кг) | (Вт/кг) |
НОРМАЛЬНЫЙ | 2 | | 3,2 |
КОНТРОЛЬ ПЕРВОГО УРОВНЯ | 4 | | 3,2 |
КОНТРОЛЬ ВТОРОГО УРОВНЯ | > 4 | | > 3,2 |
Определение удельной поглощенной энергии с помощью длительного МР ИССЛЕДОВАНИЯ | Максимально допустимое значение удельной поглощенной энергии составляет 14,4 кДж/кг (= 240 Вт·мин/кг) в течение МР ИССЛЕДОВАНИЯ при условии, что ПДУ данного стандарта соблюдены |
УКП при непродолжительном исследовании | ПДУ УКП на 10-секундном интервале не должны превышать удвоенных приведенных значений |
<a> Значение ПДУ зависит от отношения "облученная масса ПАЦИЕНТА/масса ПАЦИЕНТА": НОРМАЛЬНЫЙ РЕЖИМ РАБОТЫ: УКП ЧАСТИ ТЕЛА = 10 Вт/кг - (8 Вт/кг·облученная масса ПАЦИЕНТА/масса ПАЦИЕНТА); РЕЖИМ КОНТРОЛЯ ПЕРВОГО УРОВНЯ: УКП ЧАСТИ ТЕЛА = 10 Вт/кг - (6 Вт/кг·облученная масса ПАЦИЕНТА/масса ПАЦИЕНТА) |
Примечания
1 ПДУ облучения МР СОТРУДНИКА равны максимально допустимым ПДУ для ПАЦИЕНТА. Из соответствия ПДУ УКП для ПАЦИЕНТА на практике следует соответствие для МР СОТРУДНИКА.
2 Отношение УКП ВСЕГО ТЕЛА к локальному УКП приведено в
обосновании.
3 Для определения ПДУ удельной поглощенной энергии используется длительное МР ИССЛЕДОВАНИЕ, т.к. большое время исследования ПАЦИЕНТА становится распространенной практикой. Данный ПДУ является стартовой простой моделью для отражения скорости поглощения энергии и терморегуляторной способности человеческого тела. Он ограничивает либо длительность исследования, либо уровень УКП отдельно взятой импульсной последовательности и применим ко всем ПДУ УКП во всех режимах работы. Если в течение одного дня проводится несколько отдельных исследований, но при этом ПАЦИЕНТ получает необходимый отдых между ними, то каждое исследование считается независимым для метода вычисления удельной поглощенной энергии с помощью длительного МР ИССЛЕДОВАНИЯ.
4 Согласно определению ОБЪЕМНОЙ ПЕРЕДАЮЩЕЙ РЧ КАТУШКИ передающая катушка для облучения, например, колена или запястья считается ОБЪЕМНОЙ ПЕРЕДАЮЩЕЙ РЧ КАТУШКОЙ. Так как для этих типов катушек облученная масса ПАЦИЕНТА значительно уменьшена, применяют ПДУ УКП ЧАСТИ ТЕЛА.
Таблица 201.106
ПДУ УКП для локальных передающих катушек
Усреднение по времени | 6 мин. |
Локальный УКП |
Часть тела | Все тело | Облученная часть тела | Голова |
Режим работы | (Вт/кг) | (Вт/кг) | (Вт/кг) |
НОРМАЛЬНЫЙ | | 10 | 20 |
КОНТРОЛЬ ПЕРВОГО УРОВНЯ | | 20 | 40 |
КОНТРОЛЬ ВТОРОГО УРОВНЯ | | > 20 | > 40 |
УКП при непродолжительном исследовании | ПДУ УКП на 10-секундном интервале не должны превышать удвоенных приведенных значений |
<a> Примечание - Если в объеме малой ЛОКАЛЬНОЙ ПЕРЕДАЮЩЕЙ РЧ КАТУШКИ присутствует глазница, необходимо принять меры, чтобы не допустить нагрев более чем на 1 °C. |
В таблице 201.106 приведены допустимые диапазоны значений ЛОКАЛЬНОГО УКП для случаев НОРМАЛЬНОГО РЕЖИМА РАБОТЫ и РЕЖИМА КОНТРОЛЯ ПЕРВОГО УРОВНЯ. Для РЕЖИМА КОНТРОЛЯ ВТОРОГО УРОВНЯ ПДУ не приведены. Считается, что данные значения ПДУ берет под свою ответственность местный исследовательский комитет по надзору.
Если проводник поместить в переменное магнитное поле, перпендикулярное к нескольким замкнутым контурам этого проводника, то в проводнике будет возникать электрическое напряжение. Значение напряженности таких электрических полей между такими проводниками зависит от расстояния и может быть произвольным, но их локализация типична. При воздействии РЧ излучения эти локализованные электрические поля могут привести к высокому уровню ЛОКАЛЬНОГО УКП. Данного эффекта можно избежать различными способами (подавление токов с помощью симметрирующего трансформатора, использование прокладок для изолирования ПАЦИЕНТА от зон повышенного электрического поля). Безоговорочным требованием является контроль влияния электрических проводов на локализованный УКП с помощью ПДУ ЛОКАЛЬНЫХ УКП, приведенных в
таблице 201.106. ОТВЕТСТВЕННАЯ ОРГАНИЗАЦИЯ берет на себя ответственность выполнять требования ИЗГОТОВИТЕЛЯ, приведенные в ИНСТРУКЦИИ ПО ЭКСПЛУАТАЦИИ.
По возможности ИЗГОТОВИТЕЛЬ должен указать в ФАЙЛЕ МЕНЕДЖМЕНТА РИСКОВ РИСК, связанный с нежелательным РЧ эффектом.
Соответствие проверяют просмотром ФАЙЛА МЕНЕДЖМЕНТА РИСКА.
В случае УКП ВСЕГО ТЕЛА значения, приведенные в
таблице 201.105, верны при ТЕМПЕРАТУРЕ ОКРУЖАЮЩЕЙ СРЕДЫ ниже 25 °C. С ростом температуры данные значения снижаются. Уменьшение ПДУ УКП начинается при увеличении ТЕМПЕРАТУРЫ ОКРУЖАЮЩЕЙ СРЕДЫ выше 25 °C.
Если ТЕМПЕРАТУРА ОКРУЖАЮЩЕЙ СРЕДЫ выходит за температурные пределы УКП, ПДУ УКП ВСЕГО ТЕЛА будет уменьшаться на 0,25 Вт/кг при повышении температуры на 1 °C пока не достигнет значения 2 Вт/кг в случае РЕЖИМА КОНТРОЛЯ ПЕРВОГО УРОВНЯ. На рисунке 201.103 представлено данное требование.
Рисунок 201.103 - Уменьшение ПДУ УКП ВСЕГО ТЕЛА при высоких
температурах
Кривая показывает зависимость ПДУ УКП ВСЕГО ТЕЛА от ТЕМПЕРАТУРЫ ОКРУЖАЮЩЕЙ СРЕДЫ для случая РЕЖИМА КОНТРОЛЯ ПЕРВОГО УРОВНЯ.
201.12.4.103.3 Контроль УКП
Для использования ОБЪЕМНОЙ ПЕРЕДАЮЩЕЙ РЧ КАТУШКИ МР ОБОРУДОВАНИЕ должно иметь функцию контроля УКП ГОЛОВЫ, УКП ЧАСТИ ТЕЛА и УКП ВСЕГО ТЕЛА.
Для использования ЛОКАЛЬНОЙ ПЕРЕДАЮЩЕЙ РЧ КАТУШКИ МР ОБОРУДОВАНИЕ должно иметь функцию контроля ЛОКАЛЬНОГО УКП и УКП ВСЕГО ТЕЛА.
Примечания
1 В зависимости от условий облучения, определяемых размерами передающей РЧ катушки, размерами ПАЦИЕНТА и его размещением в катушке, один из видов УКП является ограничивающим фактором и, следовательно, будет определять максимальный допустимый уровень РЧ излучения.
2 Требования вывода УКП на экран приведены в 201.12.104.1.
3 Многоканальные передающие катушки имеют атрибуты ЛОКАЛЬНОЙ и ОБЪЕМНОЙ ПЕРЕДАЮЩИХ РЧ КАТУШЕК. Выбор метода контроля УКП зависит от типа используемой катушки.
| | ИС МЕГАНОРМ: примечание. Нумерация пунктов дана в соответствии с официальным текстом документа. | |
201.12.104.4 *Защита от воздействия постоянным магнитным полем
Постоянное магнитное поле МР ОБОРУДОВАНИЯ характеризуется напряженностью магнитного поля.
Для постоянного магнитного поля применяют следующие ограничения режимов работы (см. 201.12.104.1):
a) НОРМАЛЬНЫЙ РЕЖИМ РАБОТЫ доступен при напряженности постоянного магнитного поля, не превышающей 3 Тл;
b) РЕЖИМ КОНТРОЛЯ ПЕРВОГО УРОВНЯ доступен при напряженности постоянного магнитного поля от 3 Тл и не превышающей 4 Тл. Ввиду неизменности значения постоянного магнитного поля понятие команды от ОПЕРАТОРА с целью перехода в РЕЖИМ КОНТРОЛЯ ПЕРВОГО УРОВНЯ не требуется;
c) РЕЖИМ КОНТРОЛЯ ВТОРОГО УРОВНЯ доступен при напряженности постоянного магнитного поля, превышающей 4 Тл.
Должны быть минимизированы физиологические эффекты у ПАЦИЕНТА и МР СОТРУДНИКА, такие как головокружение и тошнота из-за движения в постоянном магнитном поле. Это означает, что должно быть ограничено значение dB/dt, при котором происходит облучение тела человека во время движения в постоянном рассеянном магнитном поле. Максимально допустимые значения dB/dt связаны со скоростью движения и пространственной неоднородностью постоянного магнитного поля вследствие пространственного градиента.
Допустимая скорость перемещения ПАЦИЕНТА внутри гантри в градиентном магнитном поле должна быть ограничена настолько, чтобы значение dB/dt не превышало 3 Тл/с. Этот ПДУ не зависит от состояния ПАЦИЕНТА и поэтому не связан с особенностями режима работы МР ОБОРУДОВАНИЯ.
Данная ИНСТРУКЦИЯ ПО ЭКСПЛУАТАЦИИ (см. 201.7.9.102.1) должна объяснять необходимость МР СОТРУДНИКУ пытаться ограничивать скорость своего движения.
201.12.4.105 Методы проверки соответствия требованиям
201.12.4.105.1 Непосредственное определение ПДУ ВПНС
Если ПДУ ВПНС получены с помощью метода непосредственного определения, проведение данного метода и вывод порогового значения должны удовлетворять требованиям данного подпункта.
Исследование должно быть проведено на добровольцах. Наблюдаемым параметром должен быть ПОРОГОВЫЙ УРОВЕНЬ ВПНС.
Исследование следует проводить согласно определенному протоколу, включающему тренировку испытуемых и испытание на воспроизводимость данных. Объем выборки должен быть не менее 11 человек. Репрезентативность выборки достигается включением в нее здоровых взрослых людей обоих полов.
Чтобы охватить все положения ПАЦИЕНТА, необходимо с помощью пошагового перемещения вдоль градиентной системы определить положение максимального эффекта для каждого испытуемого (наихудшего самочувствия) и каждого значения ЭФФЕКТИВНОЙ ДЛИТЕЛЬНОСТИ СТИМУЛЯЦИИ.
Чтобы охватить все профили градиента, допускаются три варианта:
a) пороговое значение должно быть зарегистрировано для всех представительных профилей;
b) пороговое значение должно быть зарегистрировано для синусоидального и трапецеидального профилей, а зависимость порогового значения от других профилей должна быть выведена с помощью соответствующей утвержденной модели, или
c) для всех профилей пороговое значение предположительно должно быть равным пороговому значению для синусоидального или трапецеидального профилей.
Чтобы охватить весь диапазон значений ЭФФЕКТИВНОЙ ДЛИТЕЛЬНОСТИ СТИМУЛЯЦИИ для данной градиентной системы, необходимо проверять не менее трех из 10 значений в клинически наиболее значимом диапазоне. Можно использовать интерполяцию результатов. Каждый ГРАДИЕНТНЫЙ БЛОК нужно испытывать отдельно, и если не получено никакой стимуляции при максимальном ВЫХОДНОМ ГРАДИЕНТЕ, то нужно проверять комбинацию двух или трех ГРАДИЕНТНЫХ БЛОКОВ, в которой как минимум один блок работал с максимальной выходной характеристикой.
Для каждого испытанного профиля градиента, каждого ГРАДИЕНТНОГО БЛОКА и каждого значения ЭФФЕКТИВНОЙ ДЛИТЕЛЬНОСТИ СТИМУЛЯЦИИ выводится среднее значение ПОРОГОВОГО УРОВНЯ ВПНС с помощью порогового значения для каждого испытуемого в положении максимального эффекта.
Различные пороговые значения для одного профиля градиента для каждого исследованного ГРАДИЕНТНОГО БЛОКА могут быть использованы для вычисления весовых коэффициентов.
Отчет о данном исследовании должен быть доступен для просмотра по любому запросу с целью записи о соответствии требованиям настоящего стандарта. Также данный отчет необходимо предоставить по запросу национальных управляющих организаций, которые занимаются реализацией данного МР ОБОРУДОВАНИЯ.
Данный отчет должен содержать по меньшей мере:
- профиль(и) градиентов и ЭФФЕКТИВНЫЕ ДЛИТЕЛЬНОСТИ СТИМУЛЯЦИИ;
- параметр, описывающий УРОВЕНЬ ВПНС;
- негативное влияние на испытуемого в МР ОБОРУДОВАНИИ;
- демографические характеристики (описания) испытуемых;
- число испытуемых;
- протокол исследования;
- наблюдаемые ПОРОГОВЫЕ УРОВНИ ВПНС;
- заявленное значение ПОРОГОВОГО УРОВНЯ ВПНС по методу непосредственного определения;
- описание модели для вывода значений порогов для неиспытанных профилей градиентов (при наличии);
- заявленные весовые коэффициенты.
201.12.4.105.2 Определение максимального значения ГРАДИЕНТНОГО ВЫХОДА
201.12.4.105.2.1 Общее требование для определения максимального значения ГРАДИЕНТНОГО ВЫХОДА
Для каждого БЛОКА ГРАДИЕНТА должен быть определен пространственный максимум ГРАДИЕНТНОГО ВЫХОДА в КОНТРОЛИРУЕМОМ ОБЪЕМЕ при МАКСИМАЛЬНОЙ СКОРОСТИ ИЗМЕНЕНИЯ ГРАДИЕНТА с помощью либо профиля градиента, выдаваемого МР ОБОРУДОВАНИЕМ при клиническом исследовании, либо трапецеидальным или синусоидальным профилями градиента.
201.12.4.105.2.2 Определение максимального значения ГРАДИЕНТНОГО ВЫХОДА для ПАЦИЕНТА
Данная операция выполняется либо a) вычислением, либо
b) испытанием следующим образом:
a) Определение соответствия вычислением
Если ГРАДИЕНТНЫЙ ВЫХОД выражен в единицах dB/dt, то вычисление может быть проведено на основании геометрии обмотки градиентных катушек с помощью закона Био - Савара.
Если ГРАДИЕНТНЫЙ ВЫХОД выражен в единицах
E, то вычисление может быть проведено на основании геометрии обмотки градиентных катушек с помощью магнитостатичного выражения векторного потенциала магнитной индукции
A. Наведенное электрическое поле
E равно отрицательной производной по времени функции
A минус градиент электростатического потенциала вследствие электрических зарядов. Значения реобазы электрического поля, наведенного градиентом, приведенные в
таблице 201.102, используются для расчета
L12 и
L01.
L12 и
L01 - это максимальные значения напряженности электрического поля, измеренные внутри или на поверхности однородного (проводимость 0,2 См/м) фантома ПАЦИЕНТА простой геометрии, например, в форме цилиндра с радиусом 0,2 м и длиной катушки для всего тела или эллипсоида для головной катушки. Напряженность электрического поля выражается формулой:

,
где A - векторный потенциал магнитной индукции, вызванный токами в градиентной катушке;

- электростатический потенциал вследствие электрических зарядов (описан в
разделе 15 обоснования).
Другие подходящие модели (например, неоднородные модели) могут порождать различные значения порога напряженности электрического поля и также могут быть применены в случае утверждения ИЗГОТОВИТЕЛЕМ.
Векторный потенциал магнитной индукции для прямолинейных сегментов может быть рассчитан в замкнутой форме и затем векторно просуммирован.
Отчет о результатах должен содержать:
- размеры КОНТРОЛИРУЕМОГО ОБЪЕМА и координаты его границ.
Необходимые отчетные данные для каждого ГРАДИЕНТНОГО БЛОКА:
- максимальная амплитуда градиента G+,max, G-,max;
- значение МАКСИМАЛЬНОЙ СКОРОСТИ НАРАСТАНИЯ ГРАДИЕНТА;
- значение времени нарастания при переключении ГРАДИЕНТНОГО БЛОКА между максимальным и минимальным значениями с МАКСИМАЛЬНОЙ СКОРОСТЬЮ НАРАСТАНИЯ ГРАДИЕНТА (мс);
- значение ГРАДИЕНТНОГО ВЫХОДА (dB/dt или E);
- координаты максимального ГРАДИЕНТНОГО ВЫХОДА;
- особенности модели неоднородной проводимости тела ПАЦИЕНТА (если использовалась).
b) Определение соответствия ГРАДИЕНТНОГО ВЫХОДА испытанием
Испытательные аппаратные средства:
1) конструкция ИССЛЕДОВАТЕЛЬСКОЙ КАТУШКИ
ИССЛЕДОВАТЕЛЬСКАЯ КАТУШКА должна быть сконструирована таким образом, чтобы можно было измерить три ортогональные компоненты (картезианские или цилиндрические) ГРАДИЕНТНОГО ВЫХОДА. Например, три независимых ортогональных элемента ИССЛЕДОВАТЕЛЬСКОЙ КАТУШКИ могут быть расположены вокруг общего центра. Такая конструкция ИССЛЕДОВАТЕЛЬСКОЙ КАТУШКИ позволяет измерять значение каждой компоненты ГРАДИЕНТНОГО ВЫХОДА без изменения положения в течение процедуры.
Каждый элемент ИССЛЕДОВАТЕЛЬСКОЙ КАТУШКИ должен иметь круглую форму и малый размер по сравнению с ГРАДИЕНТНЫМ БЛОКОМ для проведения испытания точности. Элемент ИССЛЕДОВАТЕЛЬСКОЙ КАТУШКИ состоит из n витков провода радиуса r. Длина катушки в аксиальном направлении не должна превышать 20% ее диаметра. Диаметр элемента ИССЛЕДОВАТЕЛЬСКОЙ КАТУШКИ не должен превышать 50 мм. Ответ элемента ИССЛЕДОВАТЕЛЬСКОЙ КАТУШКИ определяют вычислением или измерением. Мгновенная амплитуда компоненты dB/dt, коаксиальной с элементом ИССЛЕДОВАТЕЛЬСКОЙ КАТУШКИ, определяют через пиковое напряжение Vкат, наведенное в катушке переменным магнитным полем:

.
Например, типичный элемент ИССЛЕДОВАТЕЛЬСКОЙ КАТУШКИ может состоять из 15 витков медного провода диаметром 0,6 мм на сердечнике диаметром 50 мм. В результате получают круговую катушку приблизительно 9 мм длиной. Наведенное напряжение 200 мВ может привести к dB/dt = 6,79 Тл/с, направленной коаксиально с осью ИССЛЕДОВАТЕЛЬСКОЙ КАТУШКИ.
Каждый элемент ИССЛЕДОВАТЕЛЬСКОЙ КАТУШКИ должен иметь в составе откалиброванный делитель мощности, чтобы обеспечить одинаковую чувствительность всех элементов ИССЛЕДОВАТЕЛЬСКОЙ КАТУШКИ либо чтобы чувствительность каждого элемента можно было определить вычислением или измерением. Сигнал от каждого элемента ИССЛЕДОВАТЕЛЬСКОЙ КАТУШКИ принимается параллельно блоку, выходное значение которого равно квадратному корню из суммы квадратов входных значений. Выходное значение данного блока представляет собой электрическое напряжение ИССЛЕДОВАТЕЛЬСКОЙ КАТУШКИ. Также значение dB/dt каждого элемента можно рассчитать, измерив напряжение и определив чувствительность элемента расчетом или измерением. Затем значения dB/dt каждого элемента можно возвести в квадрат, просуммировать и взять квадратный корень из этой суммы, чтобы получить значение dB/dt ГРАДИЕНТНОГО БЛОКА с помощью испытания. Коэффициент чувствительности связан с электрическим напряжением ИССЛЕДОВАТЕЛЬСКОЙ КАТУШКИ Vвых и dB/dt следующим образом:
Vвых = S·dB/dt.
Рекомендуется использовать минимальное значение чувствительности (0,01 В/Тл/с) для измерения амплитуд сигнала в области малых значений dB/dt (в диапазоне 1 Тл/с).
2) Калибровка ИССЛЕДОВАТЕЛЬСКОЙ КАТУШКИ
Калибровка ИССЛЕДОВАТЕЛЬСКОЙ КАТУШКИ необходима для измерения коэффициента ее чувствительности S.
3) Устройство для измерения напряжения
Устройство для измерения напряжения, наведенного в ИССЛЕДОВАТЕЛЬСКОЙ КАТУШКЕ, должно иметь высокий входной импеданс и достаточную частотную характеристику, чтобы не допустить потерю сигнала (например, запоминающий осциллограф).
Устройство для измерения напряжения (запоминающий осциллограф) располагают таким образом, чтобы не снижалась точность измерений и не было влияния магнитного поля.
Напряжение ИССЛЕДОВАТЕЛЬСКОЙ КАТУШКИ должно подаваться на вход измерительного прибора посредством высокоимпедансного кабеля, например, витой пары, чтобы избежать "звона" профиля градиента, который может возникать в коаксиальных кабелях. Выход ИССЛЕДОВАТЕЛЬСКОЙ КАТУШКИ можно соединить с осциллографом посредством аналогового фильтра, чтобы максимально подавить частотные компоненты коммутации для градиентных усилителей, использующих импульсные источники питания.
4) Позиционирование устройства
Должны быть предоставлены средства стабильного и воспроизводимого позиционирования и выравнивания ИССЛЕДОВАТЕЛЬСКОЙ КАТУШКИ в магните. Устройство должно позволить разместить ИССЛЕДОВАТЕЛЬСКУЮ КАТУШКУ в КОНТРОЛИРУЕМОМ ОБЪЕМЕ.
Измерения:
Измерения проводят в пределах КОНТРОЛИРУЕМОГО ОБЪЕМА для каждого ГРАДИЕНТНОГО БЛОКА посредством либо профиля градиента, выдаваемого клиническим МР ОБОРУДОВАНИЕМ, либо трапецеидальным или синусоидальным профилями градиента.
a) выключают или максимально заглушают радиочастотный передатчик, чтобы избежать интерференции;
b) выключают ГРАДИЕНТНЫЕ БЛОКИ, не участвующие в испытании;
c) запускают требуемый ГРАДИЕНТНЫЙ БЛОК с МАКСИМАЛЬНОЙ СКОРОСТЬЮ НАРАСТАНИЯ ГРАДИЕНТА с периодическим профилем градиента;
d) перемещают ИССЛЕДОВАТЕЛЬСКУЮ КАТУШКУ в КОНТРОЛИРУЕМОМ ОБЪЕМЕ в положение, где фиксируется максимальное электрическое напряжение;
e) измеряют пиковое значение Vвых на ИССЛЕДОВАТЕЛЬСКОЙ КАТУШКЕ в этом положении;
f) амплитуду ГРАДИЕНТНОГО ВЫХОДА определяют по формуле:
dB/dt = Vвых/S.
Отчет о результатах
Общие параметры:
- размеры КОНТРОЛИРУЕМОГО ОБЪЕМА и координаты его границ, м;
- значение МАКСИМАЛЬНОЙ СКОРОСТИ НАРАСТАНИЯ ГРАДИЕНТА, мТл/м/мс.
Необходимые отчетные данные для каждого ГРАДИЕНТНОГО БЛОКА:
- максимальная амплитуда градиента G+,max, G-,max, мТл/м;
- значение времени нарастания при переключении ГРАДИЕНТНОГО БЛОКА между максимальным и минимальным значениями с МАКСИМАЛЬНОЙ СКОРОСТЬЮ НАРАСТАНИЯ ГРАДИЕНТА, мс;
- координаты максимального ГРАДИЕНТНОГО ВЫХОДА, м;
- значение ГРАДИЕНТНОГО ВЫХОДА dB/dt, Тл/м.
Чтобы оценить степень воздействия на МР СОТРУДНИКА каждого ГРАДИЕНТНОГО БЛОКА, необходимо определить максимальное по пространству значение ГРАДИЕНТНОГО ВЫХОДА в каком-либо объеме [см.
рисунок 201.104 a) и
b)]. Специальным направлением точек обозначено распределение максимального эффекта в области, к которой МР СОТРУДНИК имеет доступ и может получить максимальное воздействие от ГРАДИЕНТНОГО БЛОКА.
Примечание - У МАГНИТОВ С ПОПЕРЕЧНЫМ ПОЛЕМ ось цилиндра (ось ПАЦИЕНТА) перпендикулярна к оси магнита. Термин "апертура ПАЦИЕНТА" должен быть заменен на "зазор между полюсными башмаками магнита", термин "длина магнита" должен быть заменен на "диаметр полюсного башмака".
b) МАГНИТ С ПОПЕРЕЧНЫМ ПОЛЕМ
a - магнит; b - ИЗОЦЕНТР; c - ось ПАЦИЕНТА и ось
воображаемого цилиндра; d - диаметр воображаемого цилиндра,
равный минимальной апертуре ПАЦИЕНТА; en - точки
на поверхности цилиндра, в которых определяют значения трех
векторов магнитной индукции.
Максимальное значение магнитной индукции, полученное
на поверхности цилиндра на расстоянии zi от ИЗОЦЕНТРА (точка
b) в любой точке множества en, соответствует максимального
эффекту магнитного поля на поверхности fi
Рисунок 201.104 - Конфигурация для определения максимума
ГРАДИЕНТНОГО ВЫХОДА в пространстве
- Специальное направление точек наносят на воображаемый цилиндр, расположенный вокруг оси ПАЦИЕНТА, диаметром, равным наименьшей апертуре, доступной для ПАЦИЕНТА.
- Цилиндр начинается в ИЗОЦЕНТРЕ и продолжается за окончание апертуры ПАЦИЕНТА (половина длины магнита) на расстояние не менее 1 м и желательно вдоль всего СТОЛА ПАЦИЕНТА за окончание апертуры.
- В направлении оси цилиндра расстояние между точками должно быть не более 0,05 м.
- Для каждого положения оси цилиндра необходимо не менее 16 точек, расположенных эквидистантно на поверхности цилиндра (т.е. на окружности). Определенные точки должны быть расположены на биссектрисах градиентных осей x и y (т.е. n·45°, n = 1, 3, 5, 7).
- Вектор напряженности магнитного поля для каждого ГРАДИЕНТНОГО БЛОКА получают расчетом по закону Био - Савара или измерением в каждой точке цилиндра.
- Для каждой точки находят сумму трех векторов, а затем определяют амплитуду напряженности магнитного поля.
- Максимальное значение амплитуды наносят на схему вдоль оси цилиндра. Положение окончания апертуры ПАЦИЕНТА в аксиальном направлении выделяют.
Примечание - Данный образец считается приемлемым для оценки вероятности ВПНС для МР СОТРУДНИКА и демонстрирует относительное распределение магнитного поля вне зоны, доступной для ПАЦИЕНТА.
Отчет о результатах должен включать следующее:
- Расстояние между точками вдоль оси цилиндра;
- Количество точек на азимуте;
- График распределения значений максимальной амплитуды вдоль оси цилиндра.
201.12.4.105.3 Определение спектрального смещения радиочастоты
201.12.4.105.3.1 Температура
Температурные ПДУ, определенные в
201.12.4.103.1, могут быть использованы для получения эквивалентных ПДУ для рабочих параметров МР ОБОРУДОВАНИЯ. В этом определении используют экспериментальные данные или численные методы (например, методы конечных элементов).
201.12.4.105.3.2 Определение УКП
УКП ВСЕГО ТЕЛА определяют измерением поглощенной энергии РЧ излучения и массы ПАЦИЕНТА, введенной ОПЕРАТОРОМ, или на основании других подходящих методов. Значение поглощенной энергии РЧ излучения, определенное МР ОБОРУДОВАНИЕМ, проверяют измерением с помощью методов, приведенных ниже или аналогичных.
УКП ЧАСТИ ТЕЛА определяют с помощью УКП ВСЕГО ТЕЛА, применяя достаточно обоснованные и надежные теоретические или эмпирические модели, связывающие УКП ЧАСТИ ТЕЛА с размерами ОБЪЕМНОЙ ПЕРЕДАЮЩЕЙ РЧ КАТУШКИ, массой и размерами ПАЦИЕНТА, положением ПАЦИЕНТА. Например, подходящей моделью для определения облучаемой массы ПАЦИЕНТА является симуляция массы тела ПАЦИЕНТА с помощью однородных цилиндров. Распределение ЛОКАЛЬНОГО УКП можно определять с помощью теоретических моделей или экспериментально.
Применяемую модель в случае УКП ЧАСТИ ТЕЛА и ЛОКАЛЬНОГО УКП проверяют сравнением значений, полученных из другой модели, работающей с непосредственно измеряемыми величинами (например, распределение температуры в фантоме).
Соответствие проверяют просмотром результатов измерений, которые подтверждают способность метода моделировать значения УКП для всех уровней мощности, выдаваемых МР ОБОРУДОВАНИЕМ в безопасных условиях работы, определяемыми данными ПДУ УКП.
Применимые методы определения поглощенной энергии РЧ излучения называются "методами импульсной энергии" и "калориметрическими методами" в соответствии с NEMA MS 8.
Максимальное РЧ излучение передающей РЧ катушки измеряют или рассчитывают в зонах, доступных и важных для работы МР СОТРУДНИКОВ.
Поле B1(z) измеряют или рассчитывают в точках, расположенных вдоль оси ПАЦИЕНТА, т.е. обычно в z-направлении, начиная с ИЗОЦЕНТРА.
Примечание - Для цилиндрических магнитов ось ПАЦИЕНТА совпадает с осью магнита. Для МАГНИТОВ С ПОПЕРЕЧНЫМ ПОЛЕМ ось цилиндра (ось ПАЦИЕНТА) перпендикулярна к оси магнита.
Достаточно измерить напряженность поля B1 только вдоль оси ПАЦИЕНТА, т.к. предполагается, что поле B1 достаточно однородно во всех поперечных плоскостях передающей РЧ катушке.
- Расстояние между двумя последующими точками не должно превышать 0,1 м.
- Значение напряженности поля B1 измеряют или рассчитывают в каждой точке.
Примечание - Для магнитов с циркулярно поляризованным передаваемым РЧ излучением достаточно определить только радиальную компоненту поля.
- Можно проводить измерение с использованием подходящей приемной катушки и сетевого анализатора либо генератора РЧ сигнала и спектрального анализатора.
- Отношение B12(z) к B12(0) вычисляют в каждой точке.
- Рассчитанное значение для одной точки на расстоянии
z от ИЗОЦЕНТРА применяют ко всем точкам, находящимся на основании воображаемого конуса, чтобы представить условие максимального эффекта на этом основании [см. рисунок 201.105 a) и
b)]. Данное основание конуса является площадкой, перпендикулярной к линии, соединяющей точку с координатой
z и ИЗОЦЕНТР. Конус образуется угловым поворотом от ИЗОЦЕНТРА до апертуры магнита. Высота конуса равна
z [см. рисунок 201.105 a)].
a) Цилиндрический магнит
b) МАГНИТ С ПОПЕРЕЧНЫМ ПОЛЕМ
a - магнит; b - ИЗОЦЕНТР; c - ось ПАЦИЕНТА;
zi - расстояние от ИЗОЦЕНТРА до точки ei
B1(zi) определяют измерением или расчетом. Отношение B12(z) к B12(0) рассчитывают в каждой точке ei. Рассчитанное значение в точке ei применяют для всей поверхности fi, выделенной серым цветом. Значение в точке ei всегда представляет максимальный эффект для всех точек поверхности fi
Рисунок 201.105 - Конфигурация для определения поля
рассеяния B1
Для МАГНИТОВ С ПОПЕРЕЧНЫМ ПОЛЕМ площадка, аналогичная основанию конуса, образуется объединением таких оснований при вращении конуса вокруг ИЗОЦЕНТРА [см.
рисунок 201.105 b)].
Отчет о результатах должен содержать следующее:
- Координаты точек в аксиальной проекции, в которых измерено или рассчитано значение B12(z), т.е. в зонах, доступных и важных для работы МР СОТРУДНИКОВ.
- Отношение значения индукции магнитного поля B12(z) в точках измерения к значению индукции магнитного поля B12(0) в ИЗОЦЕНТРЕ.
201.13. Ситуации, представляющие опасность, и условия отказов
Применяют раздел 13 общего стандарта.
201.14. Программируемые электрические медицинские системы (ПЭМС)
Применяют раздел 14 общего стандарта.
201.15. Конструкция ME ИЗДЕЛИЯ
Применяют раздел 15 общего стандарта, за исключением:
Дополнение:
201.15.1 Криогенные жидкости и газы
Для МР ОБОРУДОВАНИЯ со сверхпроводящим магнитом должны быть обеспечены средства контроля уровня(ей) криогена.
Применяют раздел 16 общего стандарта, за исключением:
201.16.8 Прерывание электроснабжения частей ME СИСТЕМ
Дополнение:
201.16.8.101 СИСТЕМА АВАРИЙНОГО ОТКЛЮЧЕНИЯ МАГНИТНОГО ПОЛЯ
МР ОБОРУДОВАНИЕ со сверхпроводящим и резистивным магнитами обеспечивают СИСТЕМОЙ АВАРИЙНОГО ОТКЛЮЧЕНИЯ МАГНИТНОГО ПОЛЯ.
Примечания
1 Аварийной ситуацией является, например, захват человека магнитным полем вследствие ферромагнитных объектов.
2 Требования к наличию в ИНСТРУКЦИЯХ ПО ЭКСПЛУАТАЦИИ информации относительно СИСТЕМ АВАРИЙНОГО ОТКЛЮЧЕНИЯ МАГНИТНОГО ПОЛЯ даны в
201.7.9.2.101 m).
3 Информация о поведении характеристик магнитного поля во время аварийного отключения поля требуется в
201.7.9.3.101, перечисление d) для СОПРОВОДИТЕЛЬНЫХ ДОКУМЕНТОВ.
201.16.8.102 Прерывание сканирования
ОПЕРАТОРУ должно быть предоставлено средство немедленного прерывания сканирования посредством отключения электропитания градиентной системы и передающей РЧ катушки.
201.17. *Электромагнитная совместимость ME ИЗДЕЛИЙ и ME СИСТЕМ
Применяют раздел 17 общего стандарта.
Примечание - В разделе 18 настоящего частного стандарта приведены дополнительные требования к электромагнитной совместимости.
202. *Электромагнитная совместимость. Требования и испытания
Применяют МЭК 60601-1-2, за исключением:
202.6. ЭЛЕКТРОМАГНИТНАЯ СОВМЕСТИМОСТЬ
Дополнение:
202.6.101 Электромагнитная совместимость ME ИЗДЕЛИЙ
Вне КОНТРОЛИРУЕМОЙ ЗОНЫ ДОСТУПА магнитное поле рассеяния не должно превышать 0,5 мТл и уровень электромагнитной интерференции должен соответствовать дополнительному стандарту МЭК 60601-1-2.
Примечания
1 В целях электромагнитной совместимости после установки КОНТРОЛИРУЕМАЯ ЗОНА ДОСТУПА считается частью МР СИСТЕМЫ.
2 Внутри КОНТРОЛИРУЕМОЙ ЗОНЫ ДОСТУПА ИЗГОТОВИТЕЛЕМ МР ОБОРУДОВАНИЯ могут быть установлены специальные требования к заграждениям.
Применяют приложения общего стандарта, за исключением:
(справочное)
СИМВОЛЫ И МАРКИРОВКА
Применяют приложение D общего стандарта, за исключением:
Дополнение:
Таблица 201.D.101
Примеры предупреждающих и запрещающих знаков <1>
--------------------------------
<1> Цвет и форма знаков взяты из ИСО 3864-1.
| Предупреждающий знак Внимание, сильное магнитное поле |
| Предупреждающий знак Внимание, ионизирующее излучение |
| Запрещающий знак Не входить людям с установленными кардиостимуляторами |
| Запрещающий знак Не входить людям с металлическими имплантатами |
| Запрещающий знак Не входить с металлическими предметами или часами |
Дополнительные примеры маркировки, введенные для медицинских приборов, и других средств обеспечения безопасности в МР среде приведены в ASTM стандарта F2503-05. Они применяются для маркировки исключительно МР совместимых, МР условно совместимых и МР несовместимых устройств.
Рисунок 201.D.101 - Знаки, обозначающие только передающую
РЧ катушку, передающую и принимающую РЧ катушку
и только принимающую РЧ катушку
(справочное)
ОБЩИЕ ПОЛОЖЕНИЯ И ОБОСНОВАНИЯ
AA.1 Пояснения к отдельным пунктам и подпунктам
Ниже приведены пояснения к определенным пунктам и подпунктам настоящего стандарта, номера которых совпадают с приведенными в тексте стандарта.
В последние годы до выпуска третьего издания МЭК 60601-2-33 стало доступно некоторое количество публикаций, посвященных безопасности при работе с МРТ. Для общего ознакомления можно порекомендовать публикации
[150],
[151],
[152],
[153]. Независимо от особенностей электромагнитных полей внутри и вокруг МРТ комитетами IEEE
[154] и ICNIRP
[131],
[162] были определены значения пределов воздействия постоянных и переменных электрических, магнитных и электромагнитных полей для обслуживающего персонала в контролируемых климатических условиях. Вскоре после выхода второго издания данного стандарта ICNIRP опубликовали так называемое "утверждение", посвященное, в частности, безопасности пациентов, проходящих процедуру МРТ
[132].
Новым важным аспектом, представленным во второй редакции второго издания МЭК 60601-2-33, является то, что теперь сам работодатель МР СОТРУДНИКОВ заинтересован в определении правил и формулировании требований для МР СОТРУДНИКОВ, так как ЭМП, производимые МР ОБОРУДОВАНИЕМ, могут привести к облучению МР СОТРУДНИКОВ, контролируемому законодательными и нормативными документами.
Во второй редакции приведены предельно допустимые уровни (ПДУ) воздействия для МР СОТРУДНИКОВ, не превышающие соответствующих ПДУ для ПАЦИЕНТОВ. Все уровни воздействия, разрешенные для ПАЦИЕНТА и МР СОТРУДНИКА, защищают их от факторов, способных оказать негативное влияние на здоровье человека. Несмотря на то что физика воздействия ЭМП на МР СОТРУДНИКОВ может быть отлична от воздействия на ПАЦИЕНТОВ ввиду их различного пространственного положения, для обеих групп применяют одинаковые ПДУ воздействия. Изменения ПДУ воздействия для ПАЦИЕНТОВ, приведенные в третьей редакции стандарта, не опровергают этого утверждения. Следовательно, ПДУ воздействия для МР СОТРУДНИКОВ, приведенные в третьем издании, равны соответствующим ПДУ для ПАЦИЕНТОВ. Обоснование такого выбора, приведенное во втором издании, является действительным и приведено в
обоснованиях 201.7.9.2.101, перечисление h) и
201.7.9.2.101 перечисление k) третьего издания стандарта.
B1+RMS отображается на ПАНЕЛИ УПРАВЛЕНИЯ для обеспечения дополнительного измерения УКП (удельного коэффициента поглощения) радиочастотной поглощенной мощности. Значение B1+RMS может быть использовано, например, для контроля допустимого уровня радиочастотной поглощенной мощности для пациентов с имплантатами, отображаемой изготовителем - производителем имплантатов на этикетке изделий.
Значение
B1+RMS НА ПАНЕЛИ УПРАВЛЕНИЯ представляет собой максимальное значение индукции магнитного поля, усредненное на любом 10-секундном интервале последовательности и рассчитанное в центре радиочастотной катушки. При расчете значения используют оба поляризационных направления вращающейся системы координат
[155].

,
где B1+ - компонент радиочастотного поля во вращающейся системе координат, отвечающий за наклон магнитного момента ядра;
B1- - радиочастотный компонент, который вращается в направлении, противоположном вращению магнитного момента ядра.
Следует отметить, что для круговой поляризации |B1-(t)| = 0 и для линейной поляризации |B1+(t)| = |B1-(t)|.
Для прямоугольного импульса длительностью

и амплитудой: в системе координат, вращающейся по часовой стрелке, угол поворота

определяют как |
B1+|:

,
где

- гиромагнитное отношение данного ядра.
В настоящем стандарте ТЕМПЕРАТУРУ ОКРУЖАЮЩЕЙ СРЕДЫ рассчитывают следующим образом. Пусть температура в комнате сканирования равна Tr (в °C), температура на поверхности магнита, наиболее близкой к ПАЦИЕНТУ, Tb (в °C), длина отверстия магнита равна L. Принимают рост стандартного ПАЦИЕНТА h = 1,76 м, коэффициент конвекции hc = 9,5 Вт/(м2°C), а коэффициент излучения hr = 8,0 Вт/(м2°C). Тогда ТЕМПЕРАТУРА ОКРУЖАЮЩЕЙ СРЕДЫ Te может быть вычислена следующим образом.
Пусть температура кожи (поверхности) человека (в °C) Ts и передача энергии C со всей площади поверхности A тела ПАЦИЕНТА воздуху в комнате осуществляется за счет конвекции:
C = Ahc(Tr - Ts).
Примечание - Отрицательное значение энергии предполагает распределение энергии в теле ПАЦИЕНТА. Достаточно консервативно допущение, что распределение энергии ПАЦИЕНТА осуществляется за счет радиационного теплообмена между всей площадью поверхности тела ПАЦИЕНТА и поверхностью отверстия магнита, внутри которого находится ПАЦИЕНТ.
R = Ahc(Tb - Ts).
Общее количество тепловых потерь эквивалентно потерям на поддержание однородной температуры окружающей среды Te:
A(hc + hr)(Te - Ts) = R + C = Ahc(Tr - Ts) + Ahc(Tb - Ts).
Решая уравнение относительно Te, получаем:

.
Пример - Биопсия, биопсия молочной железы, локализация биопсийной иглы, глубина залегания ЭЭГ-электродов при проведении операции на головном мозге, химиотерапии, крио- и лазерной хирургии. Может быть использована в операционной для управления процессом резекции опухолевых тканей головного мозга после краниотомии (трепанации черепа). МРТ может быть совмещена с эндоскопическими процедурами, обеспечивающими наружную и внутреннюю локализацию или визуализацию.
Пример - Оборудование: магниты открытого типа и быстрые снимки (флюороскопия).
Пример - Специальные процедуры:
- мониторинг температуры, визуализация методом Keyhole ("замочная скважина") для динамических исследований с высоким временным разрешением;
- неинвазивная визуализация и локализация. Проблемы с геометрическими искажениями, связанными с нелинейными градиентными полями и чувствительностью к артефактам.
Безопасность воздействия на МР ПЕРСОНАЛ и ПАЦИЕНТА: открытая конструкция позволяет получить более высокие уровни для всех полей (постоянного и изменяющихся во времени магнитных полей, радиочастотных полей).
Совместимость инструментов: первым шагом на пути практического проведения интервенционной магнитно-резонансной томографии является создание инструментария, безопасно и удовлетворительно функционирующего в области действия ЭМП, создаваемых магнитно-резонансными томографами, предназначенными для клинического использования. Существует потенциальная опасность инцидентов, причиной которых является индуцированная магнитная сила, действующая на хирургические инструменты или оборудование для мониторинга. Причиной возникновения артефактов изображения могут послужить различия восприимчивости (артефакт восприимчивости). Артефакты также зависят от типа последовательности (градиентное эхо дает больший эффект). Увеличение индукции магнитного поля приводит к возрастанию артефакта. К вспомогательному оборудованию относят анестезиологический аппарат с мониторингом, лазеры, РЧ генераторы и отслеживающие системы. Работа градиентов может индуцировать ток, таким образом, необходимо избегать создания кабельных петель для предотвращения опасности возникновения электромагнитных помех в томографе и интервенционной электронике.
Совместимость игл, катетеров и других инструментов, предназначенных для интервенционных методов (выполненных из нержавеющей стали с высоким содержанием никеля), уменьшает крутящий момент, создаваемый постоянным магнитным полем, и минимизирует артефакт восприимчивости.
Увеличение количества интервенционных процедур с использованием МР СИСТЕМ приводит к необходимости измерения сопротивления контакта и напряжения прикосновения при контакте с проводящими частями МР блоков таким же образом, как и для обычных рентгенографических систем
[146].
Необходимо учитывать некоторые отличия в проведении данной процедуры вследствие высокого магнитного поля, однако общие принципы одни и те же.
Напряжения прикосновения необходимо измерять с помощью цифрового мультиметра, оснащенного множеством щупов, длина которых позволяет размещать основное измерительное оборудование на расстоянии метра от процедурной. Один щуп необходимо присоединить к земле, а другой, оснащенный заостренным зондом для измерения напряжения прикосновения, - к интересующей проводящей поверхности в процедурной. Перед проведением измерений необходимо убедиться в том, что зонд не содержит значительного количества магнитного материала. Для этого его необходимо поместить в поле работающего магнита.
Измерения напряжения также должны быть проведены между заземляющим проводом всех розеток в процедурной и очагом контура заземления. Розетки за пределами процедурной, к которым подключаются устройства, впоследствии используемые в процедурной, должны быть на той же фазе, что и розетки в самой процедурной. Напряжение прикосновения не должно превышать 10 мВ как для постоянного, так и для переменного тока. Если напряжение прикосновения превышает 10 мВ, необходимо исследовать источник напряжения. Чтобы удостовериться в отсутствии значительного напряжения прикосновения, необходимо измерить сопротивление контакта. Для этой цели следует использовать четырехпроводной омметр на батарейках, чтобы измерительный прибор мог быть расположен на безопасном расстоянии от срединной линии поля в процессе измерения. Измерительный прибор должен иметь разрешение не хуже 10 мОм, измерять электрический ток величиной более 100 мА.
Сопротивление между очагом контура заземления и всеми доступными проводящими поверхностями устанавливаемого оборудования должно быть менее 100 МОм. Сопротивление между очагом контура заземления и заземляющим проводом всех розеток также должно быть менее 100 МОм.
Любые портативные устройства должны быть непосредственно подключены к близрасположенному контактному разъему. В процедурной запрещено использование протяженных силовых кабелей.
Явление ядерного МАГНИТНОГО РЕЗОНАНСА возникает, когда частота электромагнитного излучения, воздействующего на группы атомных ядер или электронов, которые помещены в постоянное магнитное поле, совпадает с частотой прецессии (Ларморовой частотой) этих ядер в данном магнитном поле.
Понятие МР СОТРУДНИКА связано с уровнем воздействия ЭМП, генерируемых МР СИСТЕМОЙ, на группу сотрудников. Этот уровень может быть выше соответствующего разрешенного уровня для рабочих общих специальностей в некоторых странах, что приводит к необходимости определения ПДУ ЭМП, описанных в настоящем стандарте. ПДУ ЭМП, указанные в настоящем стандарте, не ограничивают время присутствия МР СОТРУДНИКА в ОБЛАСТИ КОНТРОЛИРУЕМОГО ДОСТУПА даже в процессе проведения процедуры сканирования. ПДУ и связанные с ними РИСКИ для МР СОТРУДНИКОВ обсуждаются в другой части данного приложения.
Термин МР СОТРУДНИК включает в себя всех людей, работающих рядом с МР ОБОРУДОВАНИЕМ в ОБЛАСТИ КОНТРОЛИРУЕМОГО ДОСТУПА или равнозначном месте как в лечебном учреждении, где МР СИСТЕМА была установлена, используется и обслуживается, так и на территории ИЗГОТОВИТЕЛЯ, где МР СИСТЕМА была разработана и изготовлена. Понятие МР СОТРУДНИКА включает, но не ограничивает его персональную деятельность по обслуживанию МР СИСТЕМЫ, будь то ОПЕРАТОР и медицинский персонал, или МР СОТРУДНИКОМ может быть технический персонал ИЗГОТОВИТЕЛЯ МР ОБОРУДОВАНИЯ, инженер-разработчик или инженер-конструктор, персонал по установке и сервисному обслуживанию. Обе группы МР СОТРУДНИКОВ равнозначно необходимы для эффективного решения медицинских задач. В противовес МР СОТРУДНИКАМ могут быть рассмотрены две дополнительные группы людей, подверженных воздействию ЭМП, генерируемых МР СИСТЕМОЙ: МР добровольцы и сиделки по уходу за ПАЦИЕНТОМ. МР доброволец - человек, который по взаимному согласию участвует в проведении исследовательских МР процедур, разрешенных местными нормативными актами, и поэтому является объектом, взаимоотношения с которым регулируются комитетом по этике. МР доброволец не рассматривается в качестве МР СОТРУДНИКА в соответствии с определениями, приведенными в настоящем стандарте. Сиделка по уходу за ПАЦИЕНТОМ - это человек, который помогает ПАЦИЕНТУ во время проведения процедуры и поэтому может быть подвергнут тем же уровням воздействия, что и ПАЦИЕНТ. Поэтому сиделка по уходу за ПАЦИЕНТОМ должна быть осведомлена и исследована в том же порядке, что и ПАЦИЕНТ. Сиделка по уходу за ПАЦИЕНТОМ, которая не работает в качестве МР СОТРУДНИКА, не рассматривается в качестве МР СОТРУДНИКА в соответствии с определениями, приведенными в настоящем стандарте. Сиделку по уходу за ПАЦИЕНТОМ, которая также является МР СОТРУДНИКОМ, следует рассматривать в качестве МР СОТРУДНИКА.
Проведение МЕДИЦИНСКОГО КОНТРОЛЯ необходимо для получения положительного заключения со стороны квалифицированного практикующего медицинского персонала при оценке соотношения риск/польза при проведении конкретного сканирования или принятии решения. Допускается также заключение менее опытного врача о соответствии ПАЦИЕНТА ряду объективных критериев оценки параметров сканирования и состояния ПАЦИЕНТА, сформулированных квалифицированным практикующим медицинским специалистом. При проведении медицинского осмотра может потребоваться инструментальный мониторинг функционального состояния ПАЦИЕНТА с помощью устройств, предназначенных для измерения или оценки различных физиологических параметров [например, измерение частоты сердечных сокращений, ЭКГ, артериального давления, оксиметрия и т.д.; см. меры предосторожности, указанные в
201.7.9.2.101, перечисление b)].
201.3.233 УДЕЛЬНЫЙ КОЭФФИЦИЕНТ ПОГЛОЩЕНИЯ (УКП)
УКП является функцией частоты электромагнитных волн (возрастает пропорционально приблизительно квадрату частоты), типа и числа РЧ импульсов, длительности и скорости повторения импульсов, а также типа передающей катушки. Важными биологическими факторами являются проводимость ткани, удельный вес ткани, анатомическое расположение исследуемой области, тип ткани (например, степень перфузии) и масса ПАЦИЕНТА.
ИНСТРУКЦИИ ПО ЭКСПЛУАТАЦИИ МР ОБОРУДОВАНИЯ, составленные в соответствии с требованиями настоящего стандарта, играют важную роль в обеспечении ПОЛЬЗОВАТЕЛЯ необходимой информацией.
Относительно безопасности ПАЦИЕНТОВ ИНСТРУКЦИИ ПО ЭКСПЛУАТАЦИИ должны содержать информацию о методиках проведения предварительного осмотра ПАЦИЕНТОВ, МЕДИЦИНСКОГО КОНТРОЛЯ ПАЦИЕНТОВ при использовании МР ОБОРУДОВАНИЯ в контролируемых режимах работы, а также оказания экстренной медицинской помощи (при необходимости).
Относительно безопасности обслуживающего персонала ИНСТРУКЦИИ ПО ЭКСПЛУАТАЦИИ должны содержать информацию о правилах обращения с электронным оборудованием и/или металлическими предметами в ОБЛАСТИ КОНТРОЛИРУЕМОГО ДОСТУПА, а также использования криогенных жидкостей и газов для сверхпроводящих магнитов.
Предварительный осмотр ПАЦИЕНТА и МР СОТРУДНИКА важен, поскольку МР ИССЛЕДОВАНИЕ и нахождение вблизи МР ОБОРУДОВАНИЯ могут создавать значительный РИСК
[1],
[2] для ПАЦИЕНТА и МР СОТРУДНИКА с металлическими имплантатами или электрическими, магнитными или механическими активными имплантатами (например, кардиостимуляторами). Причиной данного РИСКА являются магнитные и электромагнитные поля, создаваемые МР ОБОРУДОВАНИЕМ. Они могут привести к возникновению сильного притяжения и/или крутящего момента, действующих на металлические имплантаты, или воздействовать на работу активных устройств.
Это также относится к ПАЦИЕНТАМ и МР СОТРУДНИКАМ, которые подключены к наружным системам жизнеобеспечения с электрическим, магнитным и механическим управлением.
Сканирование противопоказано ПАЦИЕНТАМ с зажимами для лечения внутричерепной аневризмы в том случае, если врач считает, что зажим выполнен из металлов.
Особые меры предосторожности при предварительном осмотре ПАЦИЕНТОВ требуются в следующих случаях:
- ПАЦИЕНТУ имплантированы хирургические (гемостатические) зажимы или другие изделия из ферромагнитных материалов;
- В ПАЦИЕНТА в силу его профессии или вида деятельности или по другим причинам мог случайно попасть ферромагнитный или другой металлический предмет;
- У ПАЦИЕНТА имеется постоянно нанесенный макияж (ТАТУИРОВКА) в области глаз или грим на лице (т.к. может возникнуть сильное раздражение век);
- ПАЦИЕНТ обладает недостаточной системой терморегуляции (например, новорожденные младенцы, родившиеся с недостаточной массой, некоторые онкологические больные);
- ПАЦИЕНТЫ с металлическими имплантатами, наличие которых может привести к возникновению артефактов изображения вследствие возникшей магнитной неоднородности;
- ПАЦИЕНТУ имплантирован протез сердечного клапана;
- беременность ПАЦИЕНТА: степень безопасности МР ИССЛЕДОВАНИЯ для эмбриона и внутриутробного плода окончательно не установлена. В каждом конкретном случае требуется квалифицированная оценка (с учетом альтернативных решений) опытного специалиста, превышает ли значимость исследования ожидаемую степень РИСКА.
Необходимо уделить внимание безопасности ПАЦИЕНТОВ, нуждающихся в ЭКСТРЕННОЙ МЕДИЦИНСКОЙ ПОМОЩИ. Хотя ответственность за обеспечение этой помощи несет ПОЛЬЗОВАТЕЛЬ, ИЗГОТОВИТЕЛЬ может оказать ему содействие с помощью следующих рекомендаций:
- по быстрому выведению ПАЦИЕНТОВ из-под действия магнитного поля (при необходимости путем аварийного выключения магнита);
- по разработке плана оказания ЭКСТРЕННОЙ МЕДИЦИНСКОЙ ПОМОЩИ нуждающемуся в ней ПАЦИЕНТУ после выведения его из-под действия поля (поскольку вблизи магнита невозможно безопасное и эффективное использование электронных приборов и металлического оборудования);
- по разработке плана эвакуации ПАЦИЕНТОВ из-под действия магнитного поля в случае непредвиденного обнаружения имплантата. В данном случае возможно, что подходящим вариантом будет не использование АВАРИЙНОЙ СИСТЕМЫ ОТКЛЮЧЕНИЯ в силу относительно быстрого угасания статического магнитного поля, а медленное выведение ПАЦИЕНТА из-под действия магнитного поля.
В течение МАГНИТНО-РЕЗОНАНСНОГО ИССЛЕДОВАНИЯ следует постоянно поддерживать связь с ПАЦИЕНТОМ или должен быть обеспечен его мониторинг, если ПАЦИЕНТ находится под наркозом.
Некоторые из ПАЦИЕНТОВ могут испытывать реакции клаустрофобии, что должно стать предметом обсуждения с ними перед началом МАГНИТНО-РЕЗОНАНСНОГО ИССЛЕДОВАНИЯ.
Нормативные документы по защите против потери слуха связаны с РИСКОМ потери слуха в результате постоянного длительного профессионального воздействия шума. Предельно допустимый уровень воздействия шума составляет 80 дБ (
A) за 24 ч. Данный предел может быть увеличен на 3 дБ при вдвое меньшей продолжительности воздействия (например, 83 дБ за 12 ч, 86 дБ за 6 ч и т.д.). Кроме того, в некоторых странах установлено, что при ежедневных уровнях воздействия выше 85 дБ (
A) должны быть приняты соответствующие меры
[3],
[4]. Это относится к сотрудникам.
Для ПАЦИЕНТОВ настоящий стандарт требует, чтобы в ИНСТРУКЦИЯХ ПО ЭКСПЛУАТАЦИИ была оговорена необходимость использования средств защиты органов слуха, когда МР ОБОРУДОВАНИЕ способно создавать шум выше 99 дБ (
A). Данное значение получено из ограничения в 80 дБ (
A), представленного в 9.6.2.1. Увеличение предельного уровня на 14 дБ объясняется длительностью проведения процедуры, не превышающей 1 ч. Дополнительные 5 дБ объясняются тем, что воздействие применяется однократно, а не ежедневно, и могут быть получены из замечаний Крайтера
[5]. В соответствии с Крайтером разумно предположить, что постоянное изменение акустического порога в профессиональных воздействиях пропорционально полной шумовой энергии по всему диапазону, полученной за весь период трудовой деятельности. В итоге совокупность уровней звукового давления, выше которых требуется защита органов слуха для ПАЦИЕНТА:
85 дБ (A) + 9 дБ + 5 дБ = 99 дБ (A).
| | ИС МЕГАНОРМ: примечание. В официальном тексте документа, видимо, допущена опечатка: имеется в виду пункт 201.9.6.2.1, а не 20.9.6.2.1. | |
Важность данного требования объясняется тем, что современное МР ОБОРУДОВАНИЕ может производить уровни шума много выше 99 дБ (
A). Жюри и др.
[6] недавно сделали сообщение о значениях уровней шума порядка 115 дБ (
A). МР ОБОРУДОВАНИЕ может производить шумы с широким спектром частот, сосредоточенных приблизительно около частоты в 1 кГц
[7]. Однако конструкция мощных ГРАДИЕНТНЫХ БЛОКОВ в новом МР ОБОРУДОВАНИИ может привести как к более высоким уровням шума, так и к возникновению более высоких частот
[8] (см. также
20.9.6.2.1). Ослабление уровня шума при использовании средств защиты органов слуха (манжеты уха или заглушки для ушей) обычно находится в пределах от 25 до 30 дБ для 2 кГц. Случайное неоптимальное использование или отсутствие защиты слуха не является острой проблемой безопасности для большинства ПАЦИЕНТОВ
[9]. Продолжительность типичного воздействия составляет намного менее 1 ч и типичный уровень шума в большинстве сканеров на 5 - 10 дБ менее максимального значения, которое способно произвести данное МР ОБОРУДОВАНИЕ. Однако неисправная работа МР ОБОРУДОВАНИЯ может привести к более высоким уровням шума.
Кроме того, особое внимание следует уделять ПАЦИЕНТАМ, находящимся под анестезией. В этом случае слуховое восприятие может быть неэффективным или намного менее эффективным, чем у ПАЦИЕНТОВ, находящихся в сознании, из-за расслабляющего влияния анестетиков на мышцы среднего уха
[10]. Необходимость осторожного использования средств защиты органов слуха, особенно в вышеприведенной ситуации, должна быть отражена в ИНСТРУКЦИИ ПО ЭКСПЛУАТАЦИИ.
ОБЛАСТЬ КОНТРОЛИРУЕМОГО ДОСТУПА должна быть ограждена соответствующими предупреждающими и запрещающими знаками, маркировкой и т.д. в целях обеспечения контроля воздействия сильных магнитных полей на лиц с медицинскими имплантатами, а также предотвращения попадания в ОБЛАСТЬ КОНТРОЛИРУЕМОГО ДОСТУПА предметов из ферромагнитных материалов [см. также пояснения к
201.7.9.2.101, перечисление j) и
201.7.9.3.101, перечисление b)].
1) Сила притяжения и вращающий момент, действующие на объекты из ферромагнитных материалов
Примечание - Настоящий пункт относится к зонам внутри ОБЛАСТИ КОНТРОЛИРУЕМОГО ДОСТУПА.
Все магниты окружены магнитными полями рассеяния. Основным требованием безопасности является создание управляющих и физических преград для предотвращения случайного втягивания ферромагнитного тела внутрь исследуемой рабочей области. Кроме того, ферромагнитные тела даже незначительных размеров, попавшие по какой-либо причине в рабочую область магнита, искажают постоянное (основное) магнитное поле высокой однородности, что может привести к артефактам изображения. Поэтому должны быть предприняты меры для предотвращения любой возможности попадания этих тел в рабочую область магнита.
Потенциальную опасность для ПАЦИЕНТА могут представлять следующие ситуации, вызванные взаимодействием между ферромагнитными материалами и магнитным полем:
- ферромагнитный зажим или осколок в теле ПАЦИЕНТА, перемещаясь или поворачиваясь, может повредить окружающие ткани:
- внешний незакрепленный предмет из ферромагнитного материала, притянутый магнитом, может травмировать ПАЦИЕНТА;
- большая ферромагнитная масса, втягиваясь внутрь магнита, может затронуть ПАЦИЕНТА, который окажется между ней и магнитом.
Сила притяжения и/или вращающий момент, действующие на объект из ферромагнитного материала, находящегося в магнитном поле, тем больше, чем больше магнитная индукция поля, его градиент (неоднородность), магнитная восприимчивость вещества, из которого состоит тело, и его масса. Механические эффекты зависят также от формы и размеров предмета. Эти эффекты могут проявляться в отсутствии какой-либо притягивающей силы в практически постоянном магнитном поле. Тело всегда будет испытывать вращающий момент соответственно линиям магнитного поля, тогда как сила притяжения будет воздействовать только в неоднородном магнитном поле. Несмотря на то что силы, воздействующие на тело, зависят от магнитной природы и пространственной скорости изменения поля, полезно установить меры предосторожности в отношении предельных значений индукции поля, чтобы упростить измерения параметров постоянного поля. Заметным образом эти эффекты проявляются при магнитной индукции поля, превышающей 3 мТл.
Альтернативный подход к контролю взаимодействия магнитных полей с объектами из ферромагнитных материалов представлен в руководстве по безопасной эксплуатации МРТ, подготовленном Американским колледжем радиологии (ACR)
[142]. В соответствии с этим документом вместо определения граничных значений параметров поля, составляющих ОБЛАСТЬ КОНТРОЛИРУЕМОГО ДОСТУПА, предлагается область вокруг магнита концептуально разделить на четыре зоны:
- зона I включает все области, доступные для свободного пребывания;
- зона II представляет собой границу раздела между неконтролируемой
зоной I и находящимися под строгим контролем
зонами III и
IV. Это - зона пребывания ПАЦИЕНТОВ;
- зона III - область, свободный доступ в которую для необученного персонала может привести к серьезным последствиям. Зона III находится под жестким контролем МР персонала и должна быть физически отделена от общего доступа, например, с помощью замка. Доступ в зону III возможен для людей, проходящих соответствующее обучение на МРТ. Зона III или по крайней мере область с индукцией постоянного магнитного поля, превышающей 0,5 мТл, должна быть маркирована и четко обозначена как потенциально опасная зона;
- зона IV - область, соответствующая процедурной МРТ. По определению она всегда находится внутри
зоны III. Зона IV должна быть маркирована и четко обозначена как потенциально опасная зона наличия сильных магнитных полей.
Остальные доступные публикации описывают инструкции по возможной проектной реализации и оборудованию кабинетов МРТ, например, руководство по проектированию кабинета МРТ, подготовленное Министерством по делам ветеранов (Department of Veterans Affairs)
[156].
Все магниты можно приблизительно разделить на следующие категории:
- сверхпроводящие магниты;
- резистивные магниты;
- постоянные магниты.
Магнит с самоэкранированием значительно отличается от магнита без самоэкранирования распределением магнитного поля рассеяния. Сверхпроводящие магниты без самоэкранирования и резистивные магниты с воздушным сердечником, как правило, имеют одинаковое распределение магнитного поля рассеяния, за исключением значений индукции магнитных полей.
Магниты различных типов могут быть классифицированы в зависимости от силы притяжения к ним объектов из ферромагнитных материалов:
Магниты без самоэкранирования
Магниты этого типа имеют самое протяженное поле рассеяния и, как следствие, создают широкую потенциально опасную зону. Так как скорость изменения поля низка, предполагаемое значение силы будет менее притяжения, создаваемого магнитом. Из-за более низкого магнитного поля резистивные магниты имеют пропорционально меньшую потенциально опасную зону, чем сверхпроводящие магниты.
Магниты с самоэкранированием
Магнитные поля рассеяния замкнуты и, за исключением того, зона риска ограничена. Однако из-за большого значения градиента магнитного поля значение силы притяжения, создаваемой магнитом этого типа, более, чем у магнитов без самоэкранирования.
Постоянные магниты
Магниты данного типа имеют наиболее ограниченную область поля рассеяния и, как следствие, самую малую потенциально опасную зону. Однако значение градиента магнитного поля более существенно по сравнению с остальными типами. Следовательно, имеется опасность притяжения ферромагнитных материалов в зону магнита даже при малом значении индукции поля рассеяния. Также постоянные магниты практически не могут быть размагничены в условиях чрезвычайной ситуации, тогда как магниты других типов могут быть размагничены.
2) Воздействие постоянного магнитного поля на другие приборы
Использование предупредительных знаков и установление ОБЛАСТИ КОНТРОЛИРУЕМОГО ДОСТУПА необходимы для исключения возможности негативного воздействия магнитного поля на лиц с имплантатами. Обычно магнитное поле с индукцией менее 0,5 мТл не считается потенциальным источником помех для таких приборов, как, например, кардиостимулятор
[11]. Европейский региональный стандарт ЕН 50061
[12] отражает этот факт установлением порога в 1 мТл.
ОБЛАСТЬ КОНТРОЛИРУЕМОГО ДОСТУПА ограничена областью с индукцией магнитного поля 0,5 мТл с целью обеспечения надежной и безопасной работы имплантатов, до сих пор использующих герконы (герметизированные магнитоуправляемые контакты) или бесконтактные переключатели на датчике Холла, служащие для контроля лечения ПАЦИЕНТА. Типичный переключатель является работоспособным при индукции магнитного поля 1,0 мТл и более. Однако для обеспечения запаса используется предельно допустимое значение 0,5 мТл, учитывающее допуски при переключении, вариабельность при сборке и другие факторы (например, старение компонентов, изменение чувствительности).
На различные электронные устройства, которые могут находиться в лечебном учреждении (например, рентгеновские трубки, электронно-лучевые трубки, сцинтилляционные камеры, фотоумножители, УСИЛИТЕЛИ РЕНТГЕНОВСКОГО ИЗОБРАЖЕНИЯ), могут оказывать влияние магнитные поля с индукцией от 0,1 до 5 мТл. При монтаже МР ОБОРУДОВАНИЯ в местах, где магнитное поле рассеяния может воздействовать на указанное выше оборудование, потребуется установка защитных экранов, которые к тому же могут упростить проблему ограничения ОБЛАСТИ КОНТРОЛИРУЕМОГО ДОСТУПА. Следует упомянуть такие виды электронных приборов, как телевизионные системы, видеотерминалы, оборудование для хранения информации на магнитных носителях, которые получают все более широкое распространение в лечебных учреждениях. Современные электроэнцефалографы и электрокардиографы, как правило, достаточно помехоустойчивы и могут быть использованы вблизи МР ОБОРУДОВАНИЯ, но компьютерные системы, использующие магнитные средства накопления информации, могут иметь ограничения по их месторасположению. Для стирания информации на магнитных носителях, таких как кредитные карты или магнитные ленты, требуется достаточно низкое постоянное поле. Сообщается о порогах ниже 20 мТл.
Так как на выходную характеристику фотоумножителей влияют значение напряженности и ориентация магнитного поля, устройства, работа которых особенно зависит от фотоумножителей (например, принадлежащие к сцинтилляционной камере КОМПЬЮТЕРНЫЕ ТОМОГРАФИЧЕСКИЕ системы), могут попадать под влияние слабых магнитных полей. Выходные устройства или некоторые фотоумножители могут иметь защиту от воздействия магнитного поля, но защита от магнитного поля больших отверстий в сцинтилляционной камере затруднена по различным причинам.
Электроэнцефалографы и электрокардиографы, в первую очередь особенно чувствительные к переменным магнитным полям, могут быть использованы вблизи процедурных МР ОБОРУДОВАНИЯ. Однако количественное значение должно быть оговорено ИЗГОТОВИТЕЛЕМ самих электроэнцефалографов и электрокардиографов.
1) Рассматриваемые криогены: гелий и азот
a) Свойства криогена:
- вредный для здоровья;
- без запаха;
- невоспламеняющийся;
- нетоксичный;
- гелий легче воздуха;
- при испарении образует стелющуюся дымку. Дымка азота быстро опускается на пол.
При ТЕМПЕРАТУРЕ ОКРУЖАЮЩЕЙ СРЕДЫ (20 °C) 1 л жидкообразного гелия образует приблизительно 810 л газообразного гелия, а 1 л азота - приблизительно 700 л газообразного азота.
b) Наносимый вред
Неправильное обращение с гелием или азотом может привести:
- к опасности получения криогенных ожогов (обморожение кожи);
- к опасности удушения;
- к опасности сжижения кислорода.
c) Защитная одежда
При выполнении работ, связанных с жидким криогеном, необходимо использовать защитную одежду, как, например:
- защитные перчатки;
- рабочие перчатки;
- маска для лица;
- спецодежда из хлопка или льна;
- немагнитная защитная обувь.
2) КВЕНЧ
КВЕНЧ связан с чрезмерным нагреванием проводов магнита, погруженных в жидкий криоген. Сверхпроводящие магниты могут выпускать до нескольких литров криогенных газов в час при нормальном режиме работы. При КВЕНЧЕ за несколько минут выбрасывается приблизительно от 10 до 103 м3 газа, находящегося под ДАВЛЕНИЕМ.
Обычно КВЕНЧ происходит в тех случаях, когда жидкий гелий перестает эффективно охлаждать сверхпроводящую катушку. В связи с резким увеличением температуры катушки теряется сверхпроводимость ее обмоток и начинается процесс крайне быстрого испарения жидкости. В случае неправильной работы вентиляционной системы при КВЕНЧЕ испарение может сопровождаться следующими процессами:
- газы сверхнизкой температуры заморозят газообразную воду вблизи магнита, образуя плотную белую дымку;
- газообразный гелий будет вытеснять воздух в комнате, дыхание станет затруднительным или даже невозможным;
- газообразный гелий сверхнизкой температуры может заморозить объекты, находящиеся на пути его распространения.
3) Заправка криогенной жидкостью
Для МР ОБОРУДОВАНИЯ некоторых типов необходимо периодическое пополнение системы криогенной жидкостью. При заправке происходит испарение криогенной жидкости, что может привести к описанным выше последствиям. Порядка 10 - 30% жидкого гелия переходит в газообразное состояние при обычной заправке системы.
Значения индукции постоянных магнитных полей, используемых в коммерческом МР ОБОРУДОВАНИИ, находятся в диапазоне от 0,02 до 3,0 Тл. В экспериментальных установках сила магнитного поля достигает 10 Тл. Хотя постоянные и резистивные магниты все еще используются в некоторых моделях МР ОБОРУДОВАНИЯ, большая часть коммерческого МР ОБОРУДОВАНИЯ работает на сверхпроводящих магнитах.
В сверхпроводящих магнитах вектор индукции постоянного магнитного поля направлен вдоль оси ПАЦИЕНТА. В некоторых моделях МР ОБОРУДОВАНИЯ с МАГНИТОМ С ПОПЕРЕЧНЫМ ПОЛЕМ постоянное магнитное поле ориентировано по нормали к оси ПАЦИЕНТА.
Сила магнитного поля, воздействующего на ПАЦИЕНТА, обычно ограничена силой действующего магнитного поля магнита. Согласно ведомости технических требований, представленных ИЗГОТОВИТЕЛЕМ в соответствии с
201.7.9.3.101, перечисление b), видно, что некоторые магниты окружены магнитным полем, значение которого может превышать величину рабочего магнитного поля.
За исключением некоторых интервенционных процедур предполагается, что МР СОТРУДНИКИ могут быть подвержены влиянию только постоянного магнитного поля.
Необходимо принять во внимание, что европейские
директивы 2004/40/ЕС [см.
[130] в
пояснениях к 201.7.9.2.101, перечисление k)] в настоящее время не включают ПДУ воздействия магнитного поля на сотрудников. ПДУ воздействия приведены в
таблице 1 европейских директив. Нижняя граница приведенного частотного диапазона находится в районе 1 Гц и не включает нулевую частоту постоянного магнитного поля. Значения воздействия постоянного магнитного поля могут быть введены в европейские директивы, находящиеся на стадии доработки (см. поправки к европейским директивам 2008/46/ЕС). Последние обновленные ПДУ введены ICNIRP [см.
обоснование к 201.7.9.2.101, перечисление k)] в 2009
[162] (см. также
таблицу AA.1 стандартов по воздействию постоянных полей по роду профессии).
В настоящем стандарте для МР СОТРУДНИКА допускаются воздействия постоянного магнитного поля с индукцией не более 4 Тл. Полагают, что такое магнитное поле вызывает физиологические субъективные эффекты не серьезнее головокружения и тошноты. Данные наблюдения ПАЦИЕНТОВ могут быть связаны с движениями головы во время исследования и сильно варьироваться, не вызывая отрицательного воздействия на здоровье МР СОТРУДНИКА, кроме его/ее собственного ощущения. Однако вместе с возможными эффектами зрительного контроля движения оптимальное выполнение тонких манипуляций (например, хирургия) может быть нарушено, снижая уровень безопасности
[143].
Хотя для отдельных МР СОТРУДНИКОВ частота воздействия постоянным магнитных полем с индукцией более 3 Тл может быть относительно высокой, доказанный ВРЕД от данного воздействия в результате сенсорных эффектов отсутствует. Также оценка вероятности ВРЕДА для ПАЦИЕНТА в результате данных эффектов на МР СОТРУДНИКОВ (проявляющихся в потере концентрации или нестабильном контроле рук) очень низка. Данная оценка ограничена для отдельных профессий МР СОТРУДНИКОВ и указанных в руководствах и нормативных документах функций. Следовательно, РИСК для ПАЦИЕНТА и МР СОТРУДНИКА по оценкам приемлем даже для индукции постоянных полей, близких к 4 Тл. Для ПАЦИЕНТА и МР СОТРУДНИКА воздействие постоянными магнитными полями с индукцией более 4 Тл требует утверждения в местных нормативных документах.
Важным положением для рассмотрения является тот факт, что во многих публикациях не отмечается каких-либо последствий от воздействия постоянным магнитным полем, но движения при данном воздействии, включая воздействие магнитным полем рассеяния, приводит к наблюдаемым физиологическим эффектам. Заявлено, что при воздействии только постоянным магнитным полем (например, нахождение рядом с магнитом или на СТОЛЕ ПАЦИЕНТА) не создает каких-либо сенсорных эффектов. Из этого следует предположение, что ПДУ данного воздействия должен быть выражен в единицах Тл/с, а не Тл. В недавней работе Гловера
[148] предполагается наличие прямых сенсорных эффектов, вызванных воздействием постоянного магнитного поля. Автор приводит в качестве примера постуральное раскачивание и ощущение падения при индукции магнитного поля 7 Тл, наблюдаемые у добровольца, стоящего рядом с магнитом.
Движение в неоднородном магнитном поле рассеяния вызывает электрические токи в тканях тела человека, которые требуют введения значения ПДУ данного воздействия. В недавних работах
[145] было показано, что плотность вызванного электрического тока может превышать значения, установленные в руководствах ICNIRP
[131] и IEEE
[154] в диапазоне частот в несколько герц, который может наблюдаться при движении МР СОТРУДНИКОВ в поле рассеяния магнита. Движение в постоянных полях вызывает токи, значения которых превышают значимые ПДУ воздействия в случае источников ЭМП, как указано в
приложении к европейским директивам
[130], что противоречит клинической практике при работе с высокопольными МР СИСТЕМАМИ. Во время редакции третьего издания МЭК 60601-2-33 была рассмотрена интерпретация европейских
директив. Вопрос, нужно ли для воздействия при движении в неоднородном поле рассеяния за пределами магнита задавать ПДУ, соответствующие низкочастотным ЭМП, в настоящее время остается без ответа.
ПДУ воздействия, предложенный для случая движения ПАЦИЕНТА в сканере, взят из публикации Гловера и предположительно устанавливает консервативное значение воздействия от движения. Также был принят во внимание опыт, накопленный за годы наблюдения за движениями ПАЦИЕНТОВ в разных сканерах, и тот факт, что при рутинном исследовании ПАЦИЕНТЫ редко жалуются на описанные выше ощущения. Таким образом, предложенный ПДУ не зависит от режима работы сканера. Для МР СОТРУДНИКОВ не приводится конкретный ПДУ для воздействия данного вида, потому что на практике невозможно зафиксировать это поле. Подходящие измерительные приборы в настоящее время разрабатываются
[149], но недоступны для рутинного использования в больницах.
В 2006 г. Всемирная организация здравоохранения опубликовала работу под названием "232 критерия влияния окружающей среды на организм. Постоянные поля"
[143]. Данная статья является результатом тщательного изучения всей рецензированной литературы по эффектам воздействия постоянных электрических и магнитных полей на организм человека. Приведены и обсуждены результаты более 500 литературных источников. Описаны возможные механизмы воздействия на человеческий организм, включая исследования in vitro, исследования на животных, лабораторные исследования людей, эпидемиологические исследования, ОЦЕНКУ РИСКА для здоровья и рекомендации для дальнейших исследований. Данная статья была основным источником для обновления рекомендаций ICNIRP по воздействию постоянных магнитных полей на человека
[162]. Однако необходимо отметить, что вывод данной развернутой статьи, направленной на исследование воздействия на организм человека постоянными магнитными полями, формулируется следующим образом: "Тем не менее вследствие серьезного недостатка информации невозможно в достаточной степени описать РИСКИ от воздействия постоянными магнитными полями".
Биоэффекты и возможные механизмы действия
Сила, вращающий момент и магнитная проницаемость
Наименее эффектный и, возможно, самый существенный механизм МР биоэффекта - ОПАСНОСТЬ "метательного снаряда". Ферромагнитные объекты испытывают на себе действие поступательных сил, притягивающих их в область более сильного поля ближе к магниту
[15]. Эта сила зависит от произведения индукции магнитного поля на пространственный градиент индукции магнитного поля. Низкопольные экранированные магниты могут в некоторых пространственных областях создавать большие значения градиентов магнитного поля даже по сравнению с высокопольными неэкранированными магнитами
[16]. В результате такие экранированные низкопольные магниты могут вызывать большие силы притяжения объектов из ферромагнитных материалов, чем даже неэкранированные высокопольные магниты в определенных пространственных областях
[16]. Опасность "метательного снаряда" требует обучения персонала.
Диамагнитные объекты испытывают на себе действие поступательных сил в область более низкого поля дальше от магнита
[15],
[17],
[18]. Вода является слабо диамагнитной средой. Уено и Ивасака
[17],
[18] показали, что в магнитном поле с индукцией 8 Тл малого магнита молекула вода может испытать на себе действие силы, составляющей до 30% силы гравитации. Эта сила приводит к разделению воды в однородной области действия магнита. В первом приближении сверхпроводящие соленоидальные магниты, используемые в МР ОБОРУДОВАНИИ, ведут себя как пара катушек Гельмгольца. Предположим, что радиус этих катушек равен
R, а значение индукции постоянного магнитного поля внутри равно
B0. Рассмотрим объект с магнитной восприимчивостью

и удельной плотностью

. Пусть скорость свободного падения
g, магнитная проницаемость

,
z - ось симметрии пары катушек Гельмгольца. Максимальное значение ускорения
a (нормированное к значению ускорения свободного падения g), которое испытывает объект, помещенный в магнитное поле, создаваемое парой катушек Гельмгольца радиуса
R, может быть выражено:

. (AA.1)
Можно показать, что пиковое значение силы, создаваемой парой катушек Гельмгольца, приходится на расстояние
z/
R = 0,787 (при условии, что центр пары соответствует
z = 0). Уено привел максимальное значение произведения

его малой магнитной системы, составляющей 400 Т
2/м на расстоянии
z = 75 мм. Под моделью Гельмгольца подразумевается пара колец Гельмгольца радиуса
R = z/0,787 = 0,075/0,787 = 0,095, для которой максимальное значение произведения

(отклонение менее 4,7%).
Уено повторил эффект "Мозеса" в магните с индукцией 8 Тл и небольшим отверстием диаметром 0,05 м.
Формула (AA.1) показывает, что вода, которая является диамагнетиком (

и плотность = 1000 кг/м
3), испытает ускорение приблизительно 30% гравитационного ускорения. Если лоток поместить горизонтально внутрь магнита и наполнить его водой, вода испарится, оставив лоток в центре магнита сухим.
Уено также нашел другие слабовыраженные биологические эффекты
[19], связанные с силой действия магнита.
Формула (AA.1) показывает, что сила (и, по-видимому, биологические эффекты) действия магнитов, подобных магнитам Гельмгольца (магниты типа соленоид), зависит от квадрата индукции магнитного поля и обратно пропорциональна радиусу пары катушек Гельмгольца. Если предположить, что МАГНИТЫ ДЛЯ ВСЕГО ТЕЛА имеют Гельмгольц-эквивалентный радиус, равный 1 м, то значение силы действия МАГНИТА ВСЕГО ТЕЛА с индукцией 4 Тл составляет всего 4% силы действия магнита Уено. Таким образом, молекула воды, находящаяся в МАГНИТЕ ВСЕГО ТЕЛА с индукцией 4 Тл, должна испытать ускорение, приблизительно равное 1% ускорения свободного падения.
Побочный, но важный биоэффект - механизм, связанный с ферромагнитными объектами, включая кардиостимуляторы, стимуляторы работы мозга и другие активные имплантируемые медицинские устройства. Данные устройства могут иметь ферромагнитные герконовые реле, приводимые в действие магнитными полями с индукцией в несколько Гаусс
[16]. Определенные протезы, шунты, винты и другие имплантаты могут испытывать на себе действие постоянного магнитного поля. Необходимо предусмотреть соответствующие меры, чтобы гарантировать безопасность таких ПАЦИЕНТОВ.
Перед извлечением ферромагнитных объектов должен быть определен другой косвенный, потенциальный источник ОПАСНОСТИ. Этот потенциальный источник опасности включает в себя тенденцию магнитных ядер, находящихся в трансформаторах и некоторых проводниках, к насыщению в присутствии высоких постоянных полей. Оборудование, содержащее такие магнитные ядра, может быть повреждено и прекратить функционирование. Если такое оборудование контролирует или поддерживает жизненно важные функции, то насыщенность магнитных ядер может вызвать существенные потенциальные РИСКИ для ПАЦИЕНТА.
Электрические проводники, включая те, которые с учетом определенного уровня проницаемости считают одним целым, могут быть восприимчивы к механическим демпфирующим силам. Эти силы возникают, если траектории движения данных проводников пересекают силовые линии магнитного поля. Токи, индуцируемые в проводниках в соответствии с законом Ленца
[20], будут создавать магнитные поля, противодействующие постоянному магнитному полю магнита и тормозящие движение.
Скорость нервной проводимости
Заряды, перемещающиеся ортогонально в постоянном магнитном поле, будут испытывать на себе действие силы Лоренца в направлении, ортогональном как к вектору магнитной индукции статического поля, так и к вектору скорости. Этот механизм, называемый эффектом Холла, может влиять на нервную проводимость
[21]. Постоянные магнитные поля могут влиять на время распространения потенциала действия вдоль нервного волокна, изменяя пути проводимости и удельные сопротивления нерва
[21]. Тип изменения будет зависеть от ориентации нервного волокна относительно постоянного магнитного поля и силы магнитного поля. Для изменения неполярных свойств нерва хотя бы на 10% требуется статическое магнитное поле с индукцией 24 Тл
[21].
Индуцированные электрические поля
Заряженные носители, такие как поток крови, перемещающийся в постоянных магнитных полях, вызывают поперечные электродвижущие силы (ЭДС)
[22]. Напряжения
V, вызванные в результате магнетогидродинамического эффекта, могут быть получены при рассмотрении силы Лоренца
F. Эта сила при делении на элементарные заряды
q описывает действие поперечных электрических полей. Если диаметр кровеносного сосуда
D, скорость кровотока

,

- угол между вектором скорости и вектором индукции статического поля, то по закону Лоренца можно записать (см.
рисунок AA.1):

. (AA.2)
Закон индукции Фарадея связывает наводимую ЭДС в произвольном контуре или проводнике, помещенном в магнитное поле, со скоростью изменения магнитного потока поля через поверхность
A. Поток - это поверхностный интеграл вектора индукции магнитного поля

по ориентированной поверхности

. В присутствии постоянных магнитных полей наводимая ЭДС возникает за счет изменения во времени направления нормали к поверхности
A:

, (AA.3)
где dA - площадь элемента поверхности;
B - значение индукции магнитного поля;

- скалярное произведение

и

.
Дыхание, сердечные сокращения и движение крови могут наводить в тканях тела человека ЭДС. Одним из проявлений наведения ЭДС (см.
формулу AA.1) является повышение амплитуды зубца
T кардиограммы при высоких уровнях индукции статических магнитных полей
[123]. Во время систолы сердечное сокращение и движение потоков крови приводят к возникновению ЭДС, близкой к амплитуде и времени появления зубца
T на кардиограмме
[23]. Движение стенок грудной клетки в течение дыхания при нахождении в статических магнитных полях наводит малые значения ЭДС. Шенк
[24] связал головокружение, испытанное персоналом, работающим в зоне действия сильных магнитных полей, с давлением в полукруглых каналах внутреннего уха, связанным с электрическими полями, вызванными в процессе движения.
Биоэффекты, связанные с линиями электропередач, и МРТ
Вопрос о роли постоянных и переменных слабых магнитных полей, связанных с линиями электропередач, в процессе возникновения рака за недавнее время приобрел большую гласность. Эпидемиологические исследования эффектов влияния линий электропередач трехфазного переменного тока частотой 50 и 60 Гц на городских жителей показали наличие дополнительного РИСКА возникновения раковых заболеваний в детском возрасте
[25] -
[31]. Однако статистическая значимость данного явления не была доказана. Приблизительно половина исследований, проведенных среди взрослого населения, подвергающегося воздействиям линий электропередач, подтвердила вышеописанные эффекты воздействия. Тем не менее только одно исследование подтвердило статическую значимость. Другие исследования не показали никаких эффектов. Было проведено несколько исследований профессионального воздействия линий электропередач трехфазного переменного тока частотой 50 и 60 Гц
[25],
[32] -
[36], и снова результаты не доказали статистической значимости. Эти исследования устанавливают, что миллигауссовые поля с индукцией магнитного поля меньше, чем поля, имеющие естественное происхождение, вызывают биоэффекты. Интуитивная гипотеза, основанная на количественных данных, и смешанные экспериментальные результаты привели Бернхарда
[37] к выводу, что необходимы дополнительные исследования для разъяснения данного вопроса.
Имеются существенные различия между воздействием линий электропередач и воздействиями, связанными с магнитно-резонансными томографами. Одно из различий - это то, что МР магнитные поля являются статическими в отличие от полей, создаваемых линиями электропередач частотой 60 Гц. Другое отличие состоит в отсутствии компоненты электрического поля, связанного с МР постоянным магнитным полем. Предложенный механизм биоэффектов, связанных с электромагнитными полями крайне низких частот (КНЧ, до 30 Гц), включает в себя циклотронный резонанс ионов кальция
[38]. Такой механизм предполагает как магнитное поле (которое может быть динамическим), так и ортогональное электрическое поле, изменяющееся с циклотронной резонансной частотой, например, ионов кальция. Циклотронная резонансная частота для ионов кальция - 384 Гц/мТл. Значение индукции магнитного поля Земли составляет приблизительно от 0,02 до 0,05 мТл. Для наблюдения циклотронного резонанса при частоте электрического поля 60 Гц потребовалось бы ортогональное магнитное поле с индукцией 0,156 мТл. Такая комбинация электрических и магнитных полей может встречаться около линий электропередач. В магнитах со значением индукции 1,5 Тл для наблюдения циклотронного резонанса требуется наличие ортогонального электрического поля частотой 576 кГц. Резонансная частота в МР ОБОРУДОВАНИИ более чем в два раза превышает значение циклотронной частоты ионов кальция для того же самого магнита. Экранирование позволяет отделить МР ОБОРУДОВАНИЕ от присутствия вблизи него электрических полей с частотами, близкими к циклотронной частоте ионов кальция. Такая защита ограждает окружающую среду от МР сигналов и препятствует попаданию внешних сигналов, способных привести к ухудшению МР изображения.
Другие предложенные механизмы биоэффектов для постоянных полей
Скорость химических реакций, равновесие и концентрации могли бы быть изменены, если бы некоторые или все реагенты или продукты имели магнитные моменты, которые значительно изменили термодинамику реакции
[16],
[17],
[24],
[39] -
[41]. Однако для магнитных полей с индукцией до 4 Тл из термодинамических соображений эффекты должны быть незначительны
[24].
Были предложены другие возможные механизмы биоэффектов в присутствии постоянного магнитного поля. Например, туннельный эффект при получении протона ДНК, связанного с изменением высоты потенциального барьера, вызванного статическим магнитным полем
[40]. Другие механизмы были обсуждены в
[16],
[24],
[37],
[40],
[42] -
[46].
Наблюдаемые биоэффекты постоянного магнитного поля
Экспериментальные исследования
Повышение амплитуды зубца
T [артефакт электрокардиограммы (ЭКГ)] - единственный немеханический биоэффект постоянного магнитного поля, широко признанный в мире. Он проявляется у ПАЦИЕНТОВ, находящихся в постоянном магнитном поле с индукцией не менее 0,3 Тл. Причина этого явления является скорее результатом биологических процессов, чем воздействия. Движение потоков крови приводит к возникновению ЭДС, приводящей к появлению зубца
T на кардиограмме. Не обнаруживается никаких побочных эффектов; сразу после прекращения воздействия магнитного поля удается получить нормальную ЭКГ у ПАЦИЕНТА
[16],
[23]. Отметим, что Джехенсон и др.
[71] обнаружили, что 10-минутное воздействие магнитного поля с индукцией 2 Тл приводит к 17% увеличению длины сердечного цикла. Сообщается, что длина сердечного цикла возвратилась к нормальной через 10 мин. после воздействия и оставалась нормальной в течение 22 ч спустя.
Постоянные магнитные поля, используемые в МР ИССЛЕДОВАНИИ, не приводят к увеличениям температуры тела
[47], как было предположено ранее
[48], и не вызывают никаких мутагенных эффектов
[16],
[42],
[49]. Однако Нарра и др.
[70] обнаружили, что простое 30-минутное воздействие магнитного поля с индукцией 1,5 Тл привело к 15% уменьшению спермы яичек у мышей на 16-й и 26-й дни после воздействия. Влияние магнитного поля на проводимость нерва и латентный период не было обнаружено
[50],
[52]. При воздействии сильными статическими магнитными полями возбудимость нерва может как не проявляться
[50], так и значительно увеличиваться
[51].
| | ИС МЕГАНОРМ: примечание. В официальном тексте документа, видимо, допущена опечатка: имеется в виду [21], а не [20]. | |
Многие из предложенных механизмов могут проявляться при воздействии сильными магнитными полями, но, очевидно, что они не вносят значительный вклад при постоянных магнитных полях с индукцией ниже 3,0 Тл. Например, Аткинс показал
[53], что при нормальной температуре тела, исходя из термодинамических соображений, для возникновения существенных изменений в строении фермента требуется статическое магнитное поле с индукцией не менее 10 Тл. Виквсо и Барах показали
[20], что магнитные поля с индукцией порядка 24 Тл оказывают лишь небольшое влияние на проводимость нерва. Недавно Киночи, Ямагучи и Тенфорд показали
[72], что статические поля с магнитной индукцией вплоть до 10 Тл не представляют собой интереса с точки зрения ЭДС, индуцированной в аорте.
Есть несколько в значительной степени неподтвержденных сообщений о биоэффектах постоянного магнитного поля. В полях с индукцией порядка 0,7 Тл наблюдалось понижение потребления кислорода клетками почек и печени эмбриона мыши
[54]. Другое исследование, однако, не нашло никаких эффектов в поле с индукцией 0,6 Тл
[55]. Противоречивые результаты были получены относительно гематологии животных, на которых воздействовали высоким статическим магнитным полем в течение нескольких недель
[56] -
[58]. Есть несколько обзорных статей, которые исследуют эти области более глубоко
[16],
[24],
[37],
[40],
[42] -
[46].
При воздействии сверхсильными магнитными полями (более 10 Тл) Денегре
[140] наблюдал повторное тройное деление оплодотворенной клетки яйца лягушки с образованием бластомер, приводящее к возникновению аномалий.
Экспериментальная работа по статическим полям с индукцией порядка 2 Тл была безрезультатной. Празад и др.
[66] воздействовали на яйца леопардовой лягушки полем с индукцией 0,15 и 4,5 Тл и не обнаружили никаких различий в этих группах и группе, не подвергавшейся воздействию. Из этого они заключили, что магнитные поля с индукцией до 4,5 Тл не оказывают влияния на раннее развитие. Шенк и др.
[67] обнаружили у группы добровольцев увеличение вероятности головокружения в поле с индукцией 4 Тл по сравнению с 1,5 Тл. Кроме того, они нашли статистически существенное увеличение случаев появления тошноты, металлического вкуса и фосфенов. Рейлман, Клаво и Вох
[68] в течение 64 ч подвергали воздействию магнитного поля с индукцией 7 Тл клетки опухоли человека. Они обнаружили, что статическое поле уменьшало число жизнеспособных клеток опухоли на 19% в случае меланомы, на 22% в случае карциномы яичников и на 41% в случае лимфомы. Кроме того, они не нашли никакого свидетельства об изменениях в циклах роста клеток или в больших фрагментах ДНК. В другом исследовании Кровкер и др.
[69] не нашли никаких различий в шишковидном теле или показателях сывороточного мелатонина между группами крыс, подвергавшихся воздействию со стороны магнитного поля с индукцией 0,08 и 7 Тл.
Теоретические исследования Келтнера
[79] показали, что даже при сверхсильных магнитных полях, равных 10 Тл, эффекты магнитной гидродинамики в магистральных кровяных сосудах не оказывают значительного влияния на кровяное давление (см.
формулу AA.2).
Эпидемиологические исследования воздействия на человека высоким постоянным магнитным полем были проделаны в работах
[59] -
[63]. Данные относительно российских рабочих индустриальных предприятий, на которых воздействовали в течение их работы и постоянные, и низкочастотные магнитные поля с индукцией до 0,1 Тл, содержат много субъективных наблюдений (например, головные боли, боли в груди, головокружение)
[62],
[63]. В этих исследованиях также отсутствовал надлежащий контроль над такими усложняющими факторами, как наличие химикатов на рабочем месте.
В отличие от вышеупомянутого, исследования американских рабочих, работающих с высокими магнитными полями, не показали никаких опасных эффектов при нахождении в магнитных полях с индукцией до 0,5 Тл, как показано в работе
[59], и с индукцией 2,0 Тл
[60]. За последние годы 3,0 Тл МР СИСТЕМЫ устанавливают и применяют для рутинных исследований ПАЦИЕНТОВ. Во второй редакции данного стандарта было решено определять НОРМАЛЬНЫЙ РЕЖИМ РАБОТЫ при сканировании в магнитном поле с индукцией вплоть до 2,0 Тл. Это в основном объяснялось нехваткой информации и желанием обеспечить МЕДИЦИНСКИЙ КОНТРОЛЬ при сканировании ПАЦИЕНТОВ в магнитном поле с индукцией выше 2,0 Тл. По мере значительного увеличения количества 3,0 Тл магнитов появилось больше доступной информации об исследованиях ПАЦИЕНТОВ в магнитном поле с рассматриваемым значением индукции. В действительности данные о ПАЦИЕНТАХ, опубликованные в литературе, не показали отрицательных эффектов, требующих МЕДИЦИНСКОГО КОНТРОЛЯ. В то время как исследования в этой области должны быть продолжены, в настоящий момент нет никакого свидетельства о том, что при воздействии статическими магнитными полями с индукцией менее 3,0 Тл ПАЦИЕНТ подвергается РИСКУ.
Одной из проблемных областей является опасность воздействия постоянных магнитных полей на будущих детей и беременных работающих женщин. Для доказательства абсолютной безопасности требуется бесконечное число экспериментов, в литературе до настоящего времени нет никакого свидетельства, что воздействие постоянным магнитным полем является опасным. Недавний эпидемиологический обзор
[61], подготовленный МР технологами из США, не нашел никакой корреляции между воздействием высоких постоянных магнитных полей и спонтанными абортами, бесплодием, малой массой при рождении или преждевременными родами. Уено изучил эмбриональное развитие лягушек в поле с индукцией 6,34 Тл и нашел, что быстрый раскол, деление клетки и ее дифференцирование остались незатронутыми
[48]. Кей также исследовал эмбриональное развитие лягушек в высоких постоянных полях и не нашел никаких неблагоприятных эффектов
[64]. МакРобби изучил беременных мышей, подверженных действию градиентных магнитных полей, и не нашел никакого влияния на численность помета или темп роста
[65].
Постоянные магнитные поля
Нормы профессиональной безопасности
В таблице AA.1 представлен список норм профессиональной безопасности. Он включает стандарты
[74] -
[77] Национального комитета по радиологической защите (NRPB), используемые в Великобритании, Американской ассоциации промышленных гигиенистов (ACGIH), Ливерморской национальной лаборатории (LLNL) и Австралийской лучевой лаборатории (ARL). Все стандарты устанавливают требования безопасности к дозам постоянного магнитного поля со значением индукции, находящейся в пределах 200 или 60 мТл. Предполагая, что данные ПДУ относится к 8-часовому рабочему дню, только один час в день может быть проведен в магнитном поле с индукцией 0,5 Тл с учетом ПДУ для 60 мТл.
Таблица AA.1
Нормы профессиональной безопасности
для постоянный магнитных полей
Источник | Для всего тела, усредненное по времени значение (8 ч) | Для всего тела, максимальное значение | Для конечностей, усредненное по времени значение (8 ч) | Для конечностей, максимальное значение |
| 200 мТл | 2 Тл | - | 5 Тл |
| 200 мТл | 2 Тл | 200 мТл | 5 Тл |
| 60 мТл | 2 Тл | 600 мТл | 5 Тл |
| 60 мТл | 2 Тл | 600 мТл | 2 Тл |
| 60 мТл | 5 Тл | 200 мТл | 10 Тл |
| Без ограничений | | Без ограничений | 5 Тл |
| | | Без ограничений | |
<a> Международная комиссия по защите от неионизирующей радиации; 1993 [78]. <b> Национальный комитет по радиологической защите. <c> Американская ассоциация промышленных гигиенистов. <d> Ливерморская национальная лаборатория. <e> Австралийская лучевая лаборатория. <f> Международная комиссия по защите от неионизирующей радиации. <g> ПДУ увеличен до 8 Тл для контролируемого окружения. <h> Техника безопасности при работе с электромагнитными полями, июнь 2001 г. <i> ПДУ для головы и туловища увеличены до 4 Тл с максимальной продолжительностью 2 ч в день в научных и исследовательских целях (медицинское лечение). <j> ПДУ увеличены до 10 Тл в научных и исследовательских целях (медицинское лечение). |
Научное обоснование для таких пределов дозы постоянного магнитного поля отсутствует. Существуют рекомендации
[78] сохранять среднеквадратическое значение напряжения ниже 1 мВ. Очевидно, что кровяное давление может значительно подниматься при нахождении в области высоких статических полей, что ведет к ограничению продолжительности воздействия постоянных магнитных полей. Это будет рассмотрено в следующем разделе, и, как оказалось, это беспокойство было необосновано
[79]. Однако профессиональные требования к дозовым воздействиям постоянного магнитного поля сохраняются. В будущем требования стандартов к воздействиям постоянных магнитных полей могут быть обновлены.
Проблемы, связанные с профессиональной деятельностью
Как обсуждалось выше, ферромагнитные объекты испытывают на себе действие поступательных сил, притягивающих их в область более сильного поля ближе к магниту
[24]. На ферромагнитные объекты может также действовать вращающий момент, стремящийся направить магнитные моменты всех доменов по направлению линий индукции внешнего постоянного магнитного поля
[24]. Силы и моменты, действующие на движущиеся в постоянном магнитном поле проводники, описываются по закону Ленца
[24].
Движение потенциалов
[22] в электропроводящих жидкостях, таких как кровь, может быть вызвано в результате перемещения в постоянном магнитном поле. Оно является причиной возникновения артефактов, регистрируемых на электрокардиограмме (ЭКГ)
[23]. Быстрое движение головой может привести к возникновению ЭДС в полукруглых каналах внутреннего уха, достаточной для превышения порога возникновения вестибулярного головокружения
[24]. Теоретические предсказания повышения кровяного давления, вызванного потенциальным движением, очевидно, повлияли на нормы профессиональной безопасности. Однако значимость данного эффекта оказалась чрезвычайно малой
[79].
Электрические поля, вызванные потенциальным движением крови, могут привести к повышению амплитуды зубца
T на ЭКГ. Эти электрические поля могут быть описаны следующей формулой (см.
рисунок AA.1):

. (AA.4)
Вектор напряженности данного электрического поля ортогонален плоскости, содержащей вектор скорости и вектор индукции постоянного магнитного поля. Самая высокая скорость потока совпадает по времени с зубцом
T на ЭКГ. Например, предположим, что пиковая скорость крови составляет 0,6 м/с
[40], угол между вектором скорости и вектором индукции постоянного магнитного поля - 30°, а диаметр артерии равен 0,02 м, тогда для постоянного магнитного поля с индукцией 1,5 Тл значение ЭДС составит 9 мВ. Для сравнения приведем типичную амплитуду зубца
R ЭКГ, составляющую 10 мВ. В результате в постоянном магнитном поле динамика изменения зубца
T может быть незаметна.
Тем не менее до сих пор считается, что магнитные поля с индукцией по крайней мере до 7 Тл не представляют собой никакой опасности.
Отметим, что при использовании высокопольного МР ОБОРУДОВАНИЯ ПАЦИЕНТА располагают параллельно постоянному магнитному полю. В аорте могут возникнуть пиковые скорости кровотока
[80]. Предположим, что аорта направлена вдоль магнитных линий постоянного поля, тогда для типичного МР ОБОРУДОВАНИЯ индуцированное электрическое поле должно быть слабым. Теперь рассмотрим сотрудника, стоящего в зазоре магнита. Для этого случая угол

приблизительно равен 90°, а индуцированное электрическое поле сильнее. Реилли
[81] оценил, что электрическое поле напряженностью 6,2 В/м способно произвести сердечное возбуждение у самого чувствительного процентиля населения при времени спада градиента > 3 мс.
При времени спада градиента порядка 600 мс (более типичного для МР ОБОРУДОВАНИЯ) величина напряженности электрического поля, необходимого для сердечной стимуляции у самого чувствительного процентиля населения, увеличивается приблизительно до 31 В/м. Для осуществления сердечной стимуляции у самого чувствительного процентиля населения требуется, чтобы значение индукции постоянного магнитного поля было по крайней мере 10 Тл (при времени спада градиента >> 3 мс) или для более типичного случая (времени спада градиента 600 мс) приблизительно 52 Тл.
Целесообразно проводить экспериментальные исследования в области сердечно-сосудистой безопасности перед созданием сверхвысокопольных открытых магнитов для МР ОБОРУДОВАНИЯ.

;

артефакт зубца
T;
Emin вдоль оси пациента z;
1% кардиостимуляции ~ 6,2 В/м
Рисунок AA.1 - Постоянное магнитное поле: потенциалы потока
Кровь, текущая в постоянном магнитном поле, создает потенциал потока, пропорциональный скорости, значению индукции постоянного магнитного поля и углу между ними. На кровоток действует также тормозящая сила, направленная в противоположную сторону, однако значение этой силы является физиологически незначительным, по крайней мере в магнитном поле индукцией до 5 Тл.
Вызванное электрическое поле создаст поток заряженных частиц, направленный вдоль силовых линий. Эти заряженные частицы, перемещающиеся ортогонально силовым линиям магнитного поля, будут испытывать на себе действие силы, направленной против кровотока
[22] (см.
рисунок AA.1). Очевидно, эта сила, как предполагали, могла бы привести к увеличению кровяного давления. Однако Кейтли и др.
[79] показали как теоретически, так и экспериментально, что этот эффект не представляет интереса.
Заключение
Проявления вредных эффектов от воздействия постоянного магнитного поля незначительны или не очевидны (в данном обзоре экспериментально были исследованы магнитные поля с индукцией вплоть до 7 Тл). Теоретически проблемы начинают возникать при магнитных полях с индукцией в 10 Тл. Были изданы обзоры об эффектах воздействия сильных постоянных магнитных полей
[82]. Эти и другие обзоры заставили Управление по санитарному надзору за качеством пищевых продуктов и медикаментов США считать, что постоянные магнитные поля с индукцией ниже 4 Тл не представляют значительного РИСКА для здоровья
[73].
ПДУ воздействия ЭМП на рабочих представлены в европейской
директиве N 2004/40/ЕС, принятой Советом Европейского Союза и Европейским парламентом в апреле 2004 г. С того времени в нее были внесены поправки, однако их утверждение было отложено (европейская директива N 2008/46/ЕС) по крайней мере до 2012 г. Принятые в ней ПДУ основаны на общих руководящих указаниях для рабочих, представленных Международной комиссией по защите от неионизирующей радиации
[3].
ПДУ ЭМП для МР СОТРУДНИКА, представленные в данном стандарте, превышают соответствующие ПДУ, представленные в руководящих указаниях Международной комиссии по защите от неионизирующей радиации, основываясь на следующих положениях:
- проектируемые и разрабатываемые изделия при использовании в предназначенных для них условиях не подвергают опасности ПАЦИЕНТОВ или здоровье пользователей, предполагая, что любые РИСКИ, связанные с использованием данных изделий, являются оправданными при оценке соотношения риск/польза в сочетании с высоким уровнем безопасности;
- в руководящих указаниях Международной комиссии по защите от неионизирующей радиации (МКЗНР) приведены ПДУ для рабочих в целом. МКЗНР не рассматривает необходимость сочетания РИСКОВ, связанных со здоровьем, и социальных преимуществ (социальные и экономические вопросы вне компетенции МКЗНР), и более того, МКЗНР не может рассматривать возможность ослабления требований для специальных групп рабочих, основываясь на социальных аргументах. Таким образом, МКЗНР не допускает возможность рассмотрения специальных условий для МР СОТРУДНИКОВ, учитывая оценку соотношения риск/польза для ПАЦИЕНТА и баланс между этой оценкой и профессиональным РИСКОМ МР СОТРУДНИКА;
- руководящие указания МКЗНР, описывающие ПДУ воздействия ЭМП для ПАЦИЕНТОВ, уже опубликованы
[132]. Ограничения идентичны аналогичным ограничениям, принятым МЭК 60601-2-33, второе издание (2002 г.);
- ограничение частотного диапазона в пределах от нескольких Гц до 100 кГц, принятое для МР СОТРУДНИКОВ, базируется на пороговых значениях кардиостимуляции, мышечной стимуляции и возбуждения периферической нервной системы. Частота воздействия, лежащая в данном диапазоне, является достаточно низкой и позволяет избежать проявления данных физиологических эффектов;
- учитывая возможность небольшого возбуждения периферической нервной системы у МР СОТРУДНИКА при определенных условиях, для предотвращения последствий воздействия ВЫХОДНОГО ГРАДИЕНТА необходимо приводить дополнительные инструкции для МР СОТРУДНИКОВ. Прогнозируемое значение ВЫХОДНОГО ГРАДИЕНТА приводится на ПАНЕЛИ УПРАВЛЕНИЯ и может быть использовано для предотвращения последствий воздействия путем соблюдения требуемой дистанции до магнита при проведении процедуры сканирования или уменьшения значения ВЫХОДНОГО ГРАДИЕНТА. Учитывая, что поле рассеяния быстро убывает с увеличением расстояния от катушки, уровень воздействия, соответствующий НОРМАЛЬНОМУ РЕЖИМУ РАБОТЫ, является наиболее вероятным для МР СОТРУДНИКА. Таким образом, исключается возможность возбуждения периферической нервной системы МР СОТРУДНИКА.
Для беременных МР СОТРУДНИКОВ рекомендуются особые меры предосторожности. Для беременных МР СОТРУДНИКОВ не рекомендуется находиться в процедурной во время сканирования во избежание воздействия со стороны градиентных и радиочастотных электромагнитных полей. Могут быть применены местные нормативные документы.
Инструкции по эксплуатации, определяющие ПДУ воздействия на сотрудников, не следует применять в случае беременности МР СОТРУДНИКА. В некоторых странах плод приравнен к группе населения с ограниченным доступом.
Метод УПРАВЛЕНИЯ РИСКАМИ также используется для определения ПДУ воздействия ВЫХОДНОГО ГРАДИЕНТА ЭМП, генерируемого МР СИСТЕМОЙ, при оценке величины РИСКА при ионизирующем излучении в сравнении с магнитно-резонансным
[133]. Эффект накопления ионизирующего излучения широко изучен.
Величина воздействия ионизирующего излучения с энергией фотонов >= 12,4 эВ (или 2·10
-18 Дж), которому подвержены работники, контролируется значениями ПДУ, рекомендованными такими организациями, как Национальный совет защиты от излучений и их измерению (NCRP) и Международная комиссия по радиологической защите (ICRP). Для иллюстрации различия между ионизирующим излучением с энергией фотонов >= 12,4 эВ и ЭМП диапазона частот от 1 кГц до 1 ГГц приведем следующий пример. Для достижения порогового значения энергии (12,4 эВ) необходим МР томограф с индукцией магнитного поля, равной 7,04·10
7 Тл (резонансная частота протона 3,0·10
15 Гц), на пять порядков больше значения индукции всех современных томографов. Если индукции магнитного поля равна 4 Тл, энергия резонирующих протонов (предполагая, что МР СИСТЕМА является источником излучения) будет в 1,8·10
7 раз менее 12,4 эВ. В действительности энергия резонирующих протонов, находящихся в магнитном поле с индукцией 4 Тл, будет 3,4·10
5 раз менее энергии, необходимой для разрыва водородной связи H-H (самой слабой водородной связи)
[135]. Таким образом, биологические взаимодействия, являющиеся результатом излучения резонирующих протонов, не могут привести к лучевому поражению. Данные рассуждения приводят к заключению, что последствия воздействия электромагнитного излучения МР системы не включают в себя эффект накопления на молекулярном уровне. В соответствии со сведениями, полученными на сегодняшний день, работы, подтверждающие эффект накопления, не опубликованы ни в одном из рецензируемых научных журналов.
В США годовая доза облучения для сотрудников
[137] за счет ионизирующего излучения составляет 0,05 Зв (5 бэр), а максимальная допустимая годовая доза для населения - 0,001 Зв (0,1 бэр). Пороговое значение суммарной дозы облучения, при котором проявляются видимые эффекты, составляет 0,05 Зв. Во время проведения процедуры компьютерной томографии ПАЦИЕНТ получает дозу вплоть до 0,03 Зв. РИСК смерти от рака при получении дозы 0,01 Зв (1 бэр) составляет порядка 0,0005. Для сравнения, при соблюдении ОПЕРАТОРАМИ МР ОБОРУДОВАНИЯ требований стандарта МЭК 60601-2-33 неизвестны случаи смертельного исхода, которые бы являлись результатом электромагнитного воздействия.
В заключение РИСК, которому подвергаются МР СОТРУДНИКИ при электромагнитном воздействии, порождаемом МР СИСТЕМОЙ, очень мал. Опасность воздействия ионизирующего излучения для сотрудников выше, однако величина этого воздействия также не превышает допустимые значения.
При соблюдении ПДУ, представленных во второй редакции данного стандарта, вероятность возникновения кардиостимуляции близка к нулю. В публикациях
[132] в основном внимание уделено ПДУ для ПАЦИЕНТОВ.
В заключение следует сказать, что РИСКИ, которым подвержены МР СОТРУДНИКИ со стороны ЭМП, генерируемых МР ОБОРУДОВАНИЕМ, очень малы. Рабочие, находящиеся под воздействием ионизирующего излучения, подвержены большим РИСКАМ, также соответствующим допустимым уровням воздействия.
Вероятность кардиостимуляции при работе в пределах, описанных во втором издании МЭК 60601-2-33, близка к нулю [см.
201.12.4.102, перечисление 4)]. Рейли
[85] установил, что предел (значение скорости изменения индукции магнитного поля, при котором наблюдается фибрилляция предсердий) подчиняется логнормальному распределению, при этом предел, соответствующий самому чувствительному процентилю населения, составляет половину среднего значения предела. В дополнение было установлено, что для данного вида животных среднее значение предела составляет 40% уровня фибрилляция предсердий. Рейли оценил, что значение скорости изменения индукции магнитного поля, приводящее к кардиостимуляции у самого чувствительного процентиля населения, связано с длительностью изменения градиента магнитной индукции
d и константой времени

следующим соотношением:

Рейли использовал

, равное 3 мс. Бурланд и др.
[90] определили пороговые значения для кардиостимуляции у лошадей, которые после введения поправки на соотношение между людьми и лошадьми хорошо согласовались с оценками Рейли, экстраполированными на основе среднего значения. Оценки, сделанные Рейли, показали, что вероятность сердечного возбуждения при пороге, значение которого соответствует среднему значению порога возбуждения ПНС, составляет порядка 10
-9. Таким образом, при работе в пределах, описанных во втором издании МЭК 60601-2-33, кардиостимуляция маловероятна.
ВПНС в сравнении с фосфенами, определяемыми ГРАДИЕНТНЫМ ВЫХОДОМ ИНДУКЦИИ магнитного поля
Диапазон частот, соответствующий ГРАДИЕНТНОМУ ВЫХОДУ ИНДУКЦИИ, от 1 до 10 кГц, ПДУ, определяемый ICNIRP, основан на экстраполяции результатов о влиянии вызванных потенциалов в сетчатке глаза, которые приводят к стимуляции глазного нерва и возникновению фосфенов. В настоящее время отсутствуют доказательства о вредном влиянии фосфенов или причинении ими ВРЕДА. Эти эффекты проявляются при несколько меньших частотах, чем те, которые относятся к МР СИСТЕМАМ. Учитывая, что ткань сетчатки глаза можно сравнить с тканью головного мозга (центральная нервная система), эти эффекты использовались ICNIRP при моделировании эффектов, происходящих в центральной нервной системе, а полученные результаты экстраполировались на несколько большие частоты. В дополнение руководящие указания ICNIRP содержат большой коэффициент запаса безопасности и определяют ПДУ воздействия как 10 мА/м
2. Последний обзор, касающийся данного эффекта, был подготовлен NRPB в 2004 г. и подтвердил значение 10 мА/м
2 (включая коэффициент запаса безопасности, равный 10). На несколько больших частотах плотность электрического тока, индуцируемого в теле человека и определяемого ВЫХОДНЫМ ГРАДИЕНТОМ ИНДУКЦИИ магнитного поля, намного больше. Как известно, это приводит к возбуждению ПНС, при этом частота и форма волны возбуждения соответствуют аналогичным характеристикам электромагнитных волн, генерируемых МР СИСТЕМОЙ. Стимуляция глазного нерва не оказывает соответствующего физиологического эффекта на несколько больших частотах. ПДУ воздействия ЭМП на ПАЦИЕНТОВ базируются на эффектах возбуждения ПНС. Обзор
[132], подготовленный ICNIRP, посвящен ПДУ воздействия ЭМП на ПАЦИЕНТА. До настоящего времени в клинической практике не было сообщений о пределах возбуждения ПНС, которые бы привели к опасной ситуации.
Для килогерцового диапазона ICPINR сформулировал значения, выраженные через напряженность электрического поля, равную 610 В/м. Это значение много больше значения напряженности электрического поля, индуцируемого в теле человека и определяемого ВЫХОДНЫМ ГРАДИЕНТОМ ИНДУКЦИИ магнитного поля. ПДУ плотности тока составляют 10 мА/м
2 для частоты 1 кГц и 10 А/м
2 для частоты 1 МГц. В диапазоне частот от 100 кГц до 1 МГц УКП соответствует ПДУ для тела, равному 0,4 Вт/кг. Действительная величина 610 В/м является производным от НЧ/ВЧ электрического тока, порожденного электрическим полем в пространстве, близком к вакууму. Вне тела человека электрическое поле слабее из-за проводимости

. Возьмем большой конденсатор длиной
L, шириной
A и толщиной
LB (тело человека), комплексная диэлектрическая проницаемость которого

, тогда суммарную емкость системы можно выразить как:

.
При

(для рассматриваемого диапазона частот) и
LB <<
L емкость системы не зависит от присутствия в ней человека. Следовательно, значение тока
I, протекающего через емкость, равно:

,
а плотность тока J выражается как:

.
(I, J представляют собой лишь амплитудные значения, U - напряжение, B, E - напряженность электрического поля, В/м).
При частоте 1 кГц и напряженности электрического тока E = 610 В/м получаем плотность электрического тока, равную 33 мкА/м2, а при частоте 1 МГц плотность электрического тока составит 33 мА/м2 соответственно.
Рассмотрим значения УКП. УКП определяется как:

,
где

- плотность ткани.
Для

и

получаем УКП = 10
-7 Вт/кг при частоте 1 кГц и УКП = 0,1 Вт/кг при частоте 1 МГц, принимая за ПДУ плотности электрического тока значение 0,01 мА/м
2 при частоте 1 кГц и 10 А/м
2 при частоте 1 МГц соответственно.
Следует принимать меры предосторожности при отборе приборов и принадлежностей к ним для наблюдения за физиологическим состоянием ПАЦИЕНТА. Они должны быть специально приспособлены для работы с МР ОБОРУДОВАНИЕМ (например, кабели отведений для электрокардиографов должны иметь высокое электрическое сопротивление). Изделия из электропроводящих материалов, за исключением тех, которые должны иметь непосредственный контакт с телом ПАЦИЕНТА по предназначению (например, электроды для ЭКГ), должны быть электрически изолированы от ПАЦИЕНТА. Кроме того, если эти изделия могут соприкасаться с ПАЦИЕНТОМ, они должны быть снабжены теплоизоляцией. ИЗГОТОВИТЕЛИ приборов должны предоставить инструкцию по размещению проводов (например, во избежание образования замкнутых петель) и кабелей, находящихся вблизи ПАЦИЕНТА. Данные меры призваны снизить вероятность возникновения индукционных токов, возникающих при взаимодействии с радиочастотными передающими катушками и способных повысить РИСК возникновения ожогов у ПАЦИЕНТОВ, а также внести дополнительные погрешности в показания приборов.
В дополнение к информации, указанной в
201.7.9.2.101, перечисление c) об оказании скорой медицинской помощи и в
201.7.9.2.101, перечисление f), посвященного криогенным жидкостям и газам, данный пункт содержит информацию о принятии экстренных мер по предотвращению последствий аварийного выброса газообразного гелия из криостата в процедурную или другие смежные помещения при КВЕНЧЕ. Такое может произойти в случае выхода из строя вентиляционной системы сверхпроводящего магнита. В итоге это может представлять ОПАСНОСТЬ для персонала. Изложенная информация будет полезна для ОПЕРАТОРА при составлении плана действий при возникновении чрезвычайных ситуаций, соответствующего местным требованиям.
В то время как КВЕНЧ является маловероятным событием, дополняющий его отказ вентиляционной системы магнита еще более маловероятен. Хотя тысячи МР СИСТЕМ находятся в работе, было только несколько сообщений относительно несчастных случаев, повлекших за собой телесные повреждения при возникновении КВЕНЧА. Однако ИЗГОТОВИТЕЛИ обязаны указать потенциальную ОПАСНОСТЬ при данном сочетании событий и предоставить информацию о поведении в данной чрезвычайной ситуации. Следует отметить, что такая информация описывает крайне маловероятный, но все же возможный серьезный случай выхода вентиляционной системы во время КВЕНЧА сверхпроводящего магнита.
Что такое КВЕНЧ?
Во время КВЕНЧА магнит теряет свою сверхпроводимость. В течение нескольких секунд (приблизительно 20 с) происходит резкое уменьшение индукции магнитного поля. Магнит начинает нагреваться. Жидкий гелий испаряется со скоростью 500 - 1500 л/мин в течение нескольких минут и быстро распространяется. Точное значение скорости испарения зависит как от уровня заполнения, так и от значения индукции магнитного поля. Магнит с индукцией 3 Тл может иметь более высокую скорость испарения, чем магнит с индукцией 1,5 Тл. Один литр жидкого гелия превращается приблизительно в 700 л газообразного. При максимальных условиях это означает приблизительно 1000 м3 газа. Управление ситуацией во время КВЕНЧА может быть начато с активации АВАРИЙНОЙ СИСТЕМЫ ОТКЛЮЧЕНИЯ. Другой причиной КВЕНЧА является уменьшение уровня гелия до значения, при котором магнит начинает нагреваться. В редких случаях спонтанный КВЕНЧ может наблюдаться при отсутствии объяснимых очевидных причин.
КВЕНЧ может сопровождаться шипящими или свистящими звуками, вызванными быстро убегающим потоком холодного газообразного гелия. В связи с конденсацией водяного пара и воздуха наблюдается белый туман, который опускается к полу главным образом от верхней части магнита в районе линии КВЕНЧА. Поток газа гелия уменьшается в течение минут. Воздух около неизолированных компонентов магнита и линии КВЕНЧА конденсируется, превращаясь в воду, и капает на пол.
Риски, связанные с повреждением вентиляционной системы
Цель вентиляционной системы сверхпроводящего магнита состоит в том, чтобы надежно удалить газообразный гелий наружу. Главный элемент этой системы - трубопровод, который разработан, чтобы транспортировать убегающий газ гелия в безопасную открытую область. Возможность возникновения КВЕНЧА должна быть учтена как при проектировании магнита, так и вентиляционной системы сверхпроводящего магнита. В результате КВЕНЧ должен быть полностью безопасным для персонала. Кроме того, ни магнит, ни МР устройства также не должны быть повреждены в течение КВЕНЧА.
Чрезвычайная ситуация возникнет, если вентиляционная система КВЕНЧА не работает. Гелий легче воздуха, неядовитый и невоспламеняющийся. Однако так как гелий вытесняет кислород, существует риск удушья. Криогенный гелий, вырывающийся в окружающее пространство, приводит к образованию белых облаков, возникающих при конденсации. Эти облака неблагоприятно влияют на видимость.
Люди могут не знать о количестве гелия, попадающего в их дыхательную систему. В зависимости от концентрации гелия, находящегося в воздухе, небольшого числа вдохов может быть достаточно, чтобы впасть в бессознательное состояние.
В дополнение испаряющийся гелий обладает чрезвычайно низкой температурой, что может вызвать переохлаждение и обморожение. Последние сведения о повреждениях, напоминающих ожоги (криогенные ожоги) кожи, отнесены к нормальным температурным уровням. Контакт кожи с холодными частями или жидким воздухом может также привести к обморожению.
Возможны разнообразные случаи отказа вентиляционной системы сверхпроводящего магнита, как, например:
- небольшие утечки: небольшое количество газообразного гелия испарилось в окружающую среду за счет теплоотдачи и замещено свежим воздухом. Данная ситуация не является критической до тех пор, пока системы обогрева и вентиляции функционируют нормально;
- утечки - результат конструктивных ошибок, которые должны быть исправлены;
- вентиляционная система сверхпроводящего магнита частично не работает: только часть газообразного гелия испарилась наружу через интегрированную вентиляционную систему. Большее количество газообразного гелия присутствует в процедурной. Системы обогрева и кондиционирования воздуха не могут удалить весь объем гелия. Образуются большие облака, неблагоприятно влияющие на видимость. В дополнение увеличивается ДАВЛЕНИЕ в помещениях. В зависимости от размера утечки данный случай может представлять ОПАСНОСТЬ для персонала;
- полный отказ: вентиляционная система сверхпроводящего магнита полностью выходит из строя, например, из-за блокировки или поломки вентиляционного канала. Все количество газа испарилось в процедурную. При несоблюдении ранее упомянутых требований и рекомендаций увеличивается потенциальный риск летального исхода в случае полного отказа вентиляции криогенной системы;
- вплоть до 1000 м3 газа попадает в помещение объемом менее 100 м3.
Приведена ссылка на ASTM стандарт F2503-05
[144], в котором сформулированы определения МР безопасных, условно МР безопасных и МР несовместимых устройств и описано, как ИЗГОТОВИТЕЛЬ имплантатов и ОПЕРАТОР, планирующий исследование ПАЦИЕНТА со специфическим типом имплантата, должны интерпретировать маркировку и какими инструкциями руководствоваться.
Для беременных женщин можно найти компромисс в способности рассеивать тепло. В этом контексте необходимо отметить, что тепловые потери зародыша и плода через стенку плаценты могут быть меньше, чем рассеяние тепла в других хорошо васкуляризованных тканях. Известно, что увеличение температуры тела является тератогенным фактором у некоторых млекопитающих видов, в том числе и у приматов, поражающим центральную нервную систему и приводящим к дефектам лицевой области у детей, чьи матери перенесли продолжительную гипертермию (выше 39 °C), особенно в течение первого триместра беременности
[109],
[110]. В этих случаях желательно не допускать повышение температуры более, чем на 0,5 °C
[106]. Более того, тщательное численное исследование
[141] УКП и расчет повышения температуры при моделировании беременной женщины, проходящей МР ИССЛЕДОВАНИЕ, показали, что при РЕЖИМЕ КОНТРОЛЯ ПЕРВОГО УРОВНЯ температура тела плода достигает 38 °C при несущих МР частотах 64 и 128 МГц. На основании результатов этого исследования локальный нагрев у плода может быть минимизирован при НОРМАЛЬНОМ РЕЖИМЕ РАБОТЫ, т.к. в этом режиме снижен УКП матери.
Итоговую техническую спецификацию часто называют листом технологических данных изделия. Специфическая информация из этого листа может помочь ОТВЕТСТВЕННОЙ ОРГАНИЗАЦИИ оценить совместимость периферических устройств с МР ОБОРУДОВАНИЕМ. Совместимость с периферическим устройством касается обоих ИЗГОТОВИТЕЛЕЙ, и только когда оба ИЗГОТОВИТЕЛЯ утвердят совместимость, ОТВЕТСТВЕННАЯ ОРГАНИЗАЦИЯ может не беспокоиться. Во всех других случаях требуется проверить, что оба устройства не будут нарушать нормальную работу друг друга.
Важно понимать, что конфигурация системы МР ОБОРУДОВАНИЯ может отрицательно влиять на работу периферического устройства и наоборот. Например, установка более сильной градиентной системы может нарушить функциональность периферического оборудования, такого как устройство мониторинга физиологических параметров, работающего вблизи магнита. Таким образом, в случаях обновления МР ОБОРУДОВАНИЯ ОТВЕТСТВЕННАЯ ОРГАНИЗАЦИЯ должна сообщить ИЗГОТОВИТЕЛЮ периферического оборудования о необходимости проверить безопасность использования данного оборудования
[83].
Конфигурация процедурной
В настоящем стандарте рассмотрен ряд вопросов, посвященных оснащению процедурной. Особенностью процедурной является четкое разграничение вентиляционной системы сверхпроводящего магнита, необходимой в случае КВЕНЧА, и общей приточно-вытяжной вентиляционной системы, предназначенной для ежедневного обновления воздуха для ПАЦИЕНТА. Такое разграничение позволяет увеличить время, доступное для извлечения пациента из системы в случае КВЕНЧА, связанного с неисправностями вентиляционной системы сверхпроводящего магнита, до нескольких минут. В целом управление вентиляционной системой ПАЦИЕНТА должно тщательно контролироваться. В некоторых системах приток свежего воздуха осуществляется из верхней зоны процедурной. В случае КВЕНЧА, связанного с неисправностями вентиляционной системы сверхпроводящего магнита, такая работа приточно-вытяжной вентиляционной системы нежелательна и должна быть остановлена предпочтительно автоматически при срабатывании датчика КВЕНЧА. Также может быть предусмотрено автоматическое предупреждение ОПЕРАТОРА. Для раннего предупреждения утечки гелия на потолке процедурной рекомендуется установить кислородный монитор, подключенный к звуковому и визуальному сигналам тревоги. После установки эффективность радиочастотного экранирования процедурной должна быть проверена повторно.
Дверь в процедурную открывается вовнутрь. Конструктивные меры безопасности
Направление открывания двери внутрь процедурной нежелательно, так как оно может быть затруднительным при небольшом избыточном давлении, связанном с утечкой гелия. В зависимости от системы вентиляции избыточное давление может присутствовать в значительной мере в течение длительного времени. Установка системы неинвазивной респираторной поддержки ПАЦИЕНТА может позволить увеличить время, доступное для выравнивания давления в помещении.
Для решения данной проблемы должны быть приняты следующие конструктивные меры:
- установить дверь, открываемую наружу, то есть в комнату управления;
- установить раздвижную экранированную дверь. Следует убедиться, что при избыточном давлении дверь можно открыть;
- установить смотровое окно, открывающееся в сторону комнаты управления, или раздвижное экранированное окно;
- в стену, дверь или потолок процедурной встроить панель, которая может быть разблокирована и открыта в случае аварии или через которую возможно осуществить непрерывное выравнивание давления. Такие панели должны быть экранированы в радиочастотном диапазоне. Минимальные размеры прохода, образуемого при открывании панели, должны быть 60 x 60 см2. При прямоугольной форме панели короткая сторона должна составлять минимум 60 см. Также должна быть обеспечена возможность свободного открытия панели одним человеком. В дополнение расстояние от панели до другой ближайшей стены должно быть не менее 1 м. Панель должна быть установлена как можно ближе к верхней зоне процедурной для обеспечения выхода гелия с малой плотностью;
- в процедурной может быть выполнен дополнительный экранированный проем (металлическая сеть), ведущий прямо на улицу. Следует иметь в виду, что он будет служить дополнительным каналом для проникновения акустического шума, возникающего за пределами процедурной. Проемы следует устанавливать как можно ближе к потолку процедурной для обеспечения возможности удаления гелия малой плотности. Для поддержания беспрепятственного потока гелия через трубу, размер длинной стороны проема должен быть таким, чтобы обеспечить этот поток;
- кислородный датчик и сигнал тревоги могут быть соединены с аварийной системой вытяжной вентиляции для автоматического переключения в режим максимальной мощности.
Для дверей с дополнительным приводом (например, электрическим или пневматическим) должно быть предусмотрено ручное управление.
Смотровое окно, если оно предусмотрено, при необходимости может быть разбито, однако этот процесс требует физических усилий.
Для экранирования смотрового окна, как правило, используется металлизированное стекло. Тем не менее осколки, образующиеся при разбивании стекла, могут поранить персонал. В зависимости от конструкции смотрового окна и толщины стекла должны быть предусмотрены соответствующие приспособления, с помощью которых ОПЕРАТОР мог бы разбить стекло.
Обслуживание
Профилактическое обслуживание должно включать следующие действия.
Проверка вытяжной и вентиляционной систем
Вентиляционная система процедурной и система вентиляции криогенного вещества для сверхпроводящего магнита должны соответствовать требованиям и периодически визуально осматриваться персоналом для выявления следующих изменений:
- конструктивные изменения внутри и снаружи процедурной;
- несоответствие техническим условиям;
- повреждение теплоизоляции выпускного трубопровода;
- наличие препятствия в вентиляционном выходе, например, птичьих гнезд. Необходимо проверить целостность защитной сетки;
- повреждение защитных дождевых чехлов (регулярно требуется для вертикально выходящих КВЕНЧ-линий. В зависимости от конструкции они часто расположены на месте горизонтальных выводов);
- изменение кратности воздухообмена в процедурной после передачи системы заказчику. Проверяется наличие установленных позднее окон, введенных для систем отопления и кондиционирования воздуха, выходных и входных отверстий, временно установленных резервуаров и другого мусора и материалов, которые могут оказать отрицательное влияние на производительности вентиляционной системы;
- изменения системы отопления и системы кондиционирования или вентиляции воздуха, например, в результате введения дополнительных вентиляционных впускных и выпускных отверстий в смежных помещениях;
- установка дополнительных МР СИСТЕМ;
- использование существующей КВЕНЧ-линии для дополнительной МР СИСТЕМЫ.
Так как при использовании системы со временем проводятся изменение или реконструкция здания, ОПЕРАТОР должен быть хорошо знаком с понятием КВЕНЧ-линии и вентиляционной системой. По этой причине рекомендуются частые визуальные осмотры (например, в отношении конструктивных изменений в области КВЕНЧ-линии изменений, обусловленных внешней средой, таких как наличие льда, снега, песка). В случае возникновения сомнений в функциональности системы, нужно обратиться к организации, проводившей установку вентиляционной системы.
План эвакуации
При создании плана эвакуации ОПЕРАТОР должен руководствоваться следующими рекомендациями:
- по отношению к окнам, путям эвакуации персонала, вытяжной вентиляционной системе и аварийным ручным переключателям МР комплекс должен быть расположен таким образом, чтобы обеспечить быструю эвакуацию ПАЦИЕНТА;
- должна быть обеспечена доступность процедурной для экстренных и аварийных служб (например, персонала скорой помощи, аварийно-спасательных команд на месте пожара и т.д.);
- в пожарное отделение и отделение полиции необходимо предоставить инструкции и соответствующую информацию (должны быть предоставлены до возникновения реальной чрезвычайной ситуации, как описано в руководстве по эксплуатации). Инструкции включают необходимость дополнительной проверки наличия магнитного поля;
- с персоналом необходимо проводить спасательные учения;
- обслуживающий персонал должен быть обучен контролю за планом эвакуации;
- персонал должен вернуться к МР комплексу только после нормализации ситуации, т.е. после прекращения шума и установления свободной видимости. С целью безопасности все помещения должны быть тщательно проветрены, окна и двери открыты наружу. Предусматривается включение системы кондиционирования в режиме воздухообмена.
Если в процедурной находятся люди, следует рассматривать следующее:
- Стандартный сценарий: КВЕНЧ-линия работает по плану. ПАЦИЕНТ может быть извлечен. Контакт с криогенным веществом исключен.
- Небольшие утечки: это приведет к возникновению небольших облаков тумана, которые находятся выше уровня головы и удаляются системой кондиционирования и вентиляции. Белые туманоподобные облака могут опуститься к полу. Эти облака состоят из холодного воздуха и не приведут к кислородному истощению. В этом случае избыточного давления нет. Отсутствует РИСК удушья ПАЦИЕНТА или персонала. ПАЦИЕНТ может быть извлечен немедленно или после нескольких минут, в зависимости от реакции ПАЦИЕНТА на ситуацию. Контакт с криогенным веществом исключен.
- Частичный или полный выход из строя КВЕНЧ-линии: большие туманоподобные облака могут ухудшать видимость. ДАВЛЕНИЕ в процедурной будет увеличиваться. Все люди внутри помещения в опасности. При полном отказе системы вентиляции сверхпроводящего магнита внутри процедурной помещение будет быстро наполняться криогенным газообразным гелием.
Как правило, спасатели должны работать не в одиночку, а в группах из двух и более человек.
Обычно поток газа максимален в первые несколько минут, после чего он постепенно спадает. Однако поведение газового потока полностью не предсказуемо, так как во время выхода газа причина отказа КВЕНЧ-линии неизвестна.
Перед тем как открыть дверь в процедурную, все двери и окна должны быть открыты для вентиляции. Весь персонал должен покинуть процедурную до начала принятия мер по спасению ПАЦИЕНТА. Необходимо учесть возможность наличия избыточного ДАВЛЕНИЯ в помещении процедурной:
- ОПЕРАТОР должен быть осведомлен, что избыточное ДАВЛЕНИЕ облегчает открывание двери наружу в направлении комнаты управления, что может повлечь нанесение ущерба;
- избыточное ДАВЛЕНИЕ препятствует открыванию двери внутрь в направлении процедурной. В этом случае должны быть открыты окна и аварийные клапаны. Избыточное ДАВЛЕНИЕ может привести к неожиданному колебанию окон и клапанов. Если аварийные выходы заблокированы, может быть разбито смотровое окно. Осколки стекла могут поранить спасателей. В зависимости от конструкции и толщины окна ответственная организация должна обеспечить удобные приспособления для разбивания окна.
После открывания двери процедурной гелий может выйти в смежные помещения, создавая опасность спасателям. Уровень кислорода можно проверить с помощью монитора кислорода. Противогаз будет бесполезен при вытеснении кислорода гелием. Для выхода из помещения необходим воздушный баллон. К риску удушья прибавляется риск гипотермии или обморожения.
Так как гелий быстро нагревается и распространяется вниз, спасатели в положении стоя подвергаются большей опасности, чем ПАЦИЕНТ в положении лежа. Чтобы выиграть время, спасатель может опуститься на руки и колени к полу, где больше воздуха.
После того как ПАЦИЕНТ выведен из процедурной, персонал не должен находиться рядом с МР СИСТЕМОЙ до тех пор, пока не будет остановлен КВЕНЧ и не будет налажена работа системы вентиляции.
После КВЕНЧА должна быть выполнена сервисная процедура в соответствии с сопроводительным документом. Обслуживающий персонал должен быть немедленно информирован о вводе МР СИСТЕМЫ обратно в эксплуатацию.
Требования к проведению испытаний по проверке тока утечки из основного стандарта уточнены для поверхностных катушек. Допустимые значения для тока утечки, установленные в пункте 8.7.3, перечисление e) основного стандарта, могут быть измерены не во всех случаях. Ограничения по току утечки для ПАЦИЕНТА и дополнительные токи ПАЦИЕНТА при НОРМАЛЬНЫХ УСЛОВИЯХ и УСЛОВИЯХ ОДИНОЧНОЙ НЕИСПРАВНОСТИ не применимы для частот выше 1 МГц. Независимо от формы сигнала и частоты РИСК в отношении тока утечки контролируется требованиями с учетом локального УКП, как сформулировано в
201.12.4.103.2 настоящего стандарта.
Высокая скорость изменения тока, проходящего по обмотке градиентных катушек, находящихся в постоянном магнитном поле, вызывает вибрацию в слышимом диапазоне частот, которая часто воспринимается как громкий стук.
Внезапная потеря слуха может быть вызвана коротким и очень громким звуком, наподобие этого стука. Соответствующим параметром безопасности является максимальный уровень звукового давления, измеряемый в дБ по отношению к 20 мкПа.
В соответствии с международными стандартами предел максимального звукового давления составляет 140 дБ. Трудно предположить, при каких условиях МР ОБОРУДОВАНИЕ способно производить такой акустический шум. Может случиться так, что благодаря амплитудно-частотным характеристикам МР ОБОРУДОВАНИЯ максимальное значение акустического шума будет представлено в клинических протоколах (совпадение с механической резонансной частотой МР СИСТЕМЫ в конечном итоге приведет к увеличению значения акустического шума).
201.12.4 Защита от представляющих опасность выходных характеристик
Переменное во времени (градиентное) поле, радиочастотное поле и постоянное магнитное поле, создаваемые МР ОБОРУДОВАНИЕМ, могут влиять на физиологические функции в такой степени, которая требует принятия мер безопасности. Приведенные рекомендации основаны на научных знаниях и техническом понимании. При их написании были приняты во внимание существующие нормативы.
МР ИССЛЕДОВАНИЕ, как правило, длится примерно один час. Поэтому обсуждаются эффекты, касающиеся воздействия на ПАЦИЕНТА продолжительностью около 1 ч с особым вниманием к немедленным (острым) реакциям со стороны ПАЦИЕНТА.
201.12.4.102 Защита от воздействия низкочастотного магнитного поля, создаваемого градиентными катушками
1) Обзор
Переменное во времени магнитное поле индуцирует электрическое поле напряженностью
E в соответствии с законом Фарадея. При переключении градиентных катушек, входящих в состав МР ОБОРУДОВАНИЯ, создается переменное во времени магнитное поле (
dB/
dt или

), что приводит к возникновению ЭДС в теле ПАЦИЕНТА. Индуцированное электрическое поле может влиять на пороговые значения возбудимости тканей, которые также зависят от частоты. При частотах выше 10 кГц для возбуждения требуются магнитные поля с большим значением индукции
[84]. Электрическое поле, в свою очередь, создает электрический ток, который вызывает тепловой нагрев в соответствии с законом Ома. На практике эффект нагрева, связанный с ГРАДИЕНТНЫМ ВЫХОДОМ ИНДУКЦИИ, не представляет интереса.
Рассмотрим простейший случай, когда цилиндрическое тело с однородной проводимостью и осью, параллельной вектору индукции магнитного поля B, находится в однородном переменном во времени магнитном поле. Тогда вектор напряженности индуцируемого электрического поля направлен по касательной к магнитным линиям, лежащим в плоскости, перпендикулярной к вектору B, поэтому его значение пропорционально радиусу окружности. Таким образом, уровень воздействия зависит от размера градиентных катушек и степени однородности среды. Генерация переменного во времени магнитного поля с помощью больших градиентных катушек уменьшает затраты, необходимые для возбуждения ткани.
2) Вопросы безопасности
Основной проблемой, возникновение которой связано с ГРАДИЕНТНЫМ ВЫХОДОМ ИНДУКЦИИ, являются мерцательная аритмия и возбуждение ПНС. Мерцательная аритмия - процесс, требующий особого внимания, т.к. она может мгновенно привести к угрозе жизни. Стимуляция нервных волокон рассматривается здесь потому, что значительное возбуждение может сопровождаться сильной болью. Перечисленные явления возникают при надпороговых уровнях стимуляции сердца (СС) и возбуждении периферической нервной системы (ВПНС).
Второстепенной проблемой является тепловой нагрев ПАЦИЕНТА. Несмотря на то что индуцированные электрические токи малы, при добавлении радиочастотного воздействия наблюдается совместный эффект от двух источников теплового нагрева.
В своей теоретической SENN-модели Рейли представил нерв как размещенный в пространстве узел с нелинейной характеристикой. Согласно данной модели пороговые состояния при стимуляции нерва могут быть описаны с помощью напряженности локального электрического поля E в конечной точке нерва, направленной вдоль него, и длительности стимула ts. При продолжительном стимуле пороговое значение напряженности асимптотически стремится к своему наименьшему значению Emin, при коротком стимуле порог пропорционален произведению Emin на 1/ts.
Рейли предположил, что пороговая функция зависит от ts и может быть аппроксимирована экспоненциальным выражением:

. (AA.5)
В рассматриваемой модели минимальное значение порога Emin для человека при кардиостимуляции и возбуждении ПНС для монополярного прямоугольного электрического импульса составляет 6,2 В/м. Экспериментальные значения временной константы tc лежат в диапазоне от 0,12 до 0,8 мс при ПНС и от 1 до 8 мс при кардиостимуляции (Рейли предложил взять в качестве типичного значения 3 мс).
Была предложена альтернатива экспоненциальному соотношению, представленному в
формуле (AA.5), которая позволила более точно описать экспериментальные данные. Эта альтернативная функция представляет собой гиперболическую зависимость порога от длительности стимула:
ETH = реобаза (1 + хронаксия/
ts), (AA.6)
где реобаза - минимальное значение порогового стимула на низких частотах

;
хронаксия - минимальное время, требуемое для возбуждения нерва;
ts - длительность стимула.
Формула применима для униполярного прямоугольного импульса. Как обсуждалось ранее, недавние эксперименты установили, что возбуждение ПНС градиентным полем точно описывается
формулой (AA.6) при хронаксии, равной 360 мкс
[89] -
[91].
Шефер
[88] отметил, что в сравнении с экспоненциальным соотношением
формулы (AA.5) гиперболическое выражение
формулы (AA.6) также наиболее оптимально соответствует теоретическим значениям порога для SENN-модели Рейли. Таким образом,
формула (AA.6) используется здесь для вычисления порога стимуляции периферических нервов.
4) Физиологические пределы для кардиостимуляции, возбуждения периферической нервной системы и теплового нагрева
Рейли
[85] сравнил ряд исследований электрической стимуляции животных. Он заметил, что порог мерцательной аритмии имеет логнормальное распределение с наиболее чувствительной процентилью в два раза менее медианы. Более того, он оценил, что у данных животных порог стимуляции (начало эктопических сокращений) будет составлять 40% от уровня для мерцательной аритмии. При экстраполяции на человека он посчитал, что порог стимуляции по его SENN-модели составляет 20% от значения порога мерцательной аритмии для человека. Рейли оценил, что для достижения напряженности электрического поля в сердце, равной 6,2 В/м, скорости изменения индукции магнитных полей должны составлять 71,3, 72,1, 50,8 Тл/с при переключении градиентных полей в направлениях
x,
y,
z соответственно. Эти оценки реобазы были получены для наиболее чувствительной первой процентили.
Борланд и другие
[90] сообщили, что средний порог кардиостимуляции у собаки при переключении градиентного поля в направлении
HF (от головы к ногам) составляет более 2700 Тл/с при длительности спада 530 мкс. При временной константе возбуждения сердца, равной 3 мс, асимптотическое значение пороговой стимуляции составляет 440 Тл/с. С учетом различия физиологии собаки и человека был сделан вывод, что при направлении вектора индукции переменного магнитного поля вдоль объекта напряженность электрического поля, индуцируемого в сердце человека, в 2,81 раз больше, чем в сердце собаки. Таким образом, порог стимуляции для человека составляет 156 и 78 Тл/с для первой процентили населения, что приемлемо согласуется с оценкой Рейли.
В настоящем стандарте за ПДУ кардиостимуляции принят порог стимуляции, соответствующий первой процентили с коэффициентом запаса, равным 3. Значение ПДУ базируется на SENN-модели и экспериментально определенного порога возбуждения сердца. Предположительно предел будет соответствовать вероятности кардиостимуляции, меньшей 2·10-9. Таким образом, порог стимуляции периферических нервов в настоящем стандарте ниже порога кардиостимуляции для всех воздействий с длительностью в диапазоне, представляющем практический интерес.
В исследовании Борланда и др.
[90], проведенных на 84 испытуемых значение
dB/
dt, соответствующее минимальному процентилю, у которого возникали дискомфортные ощущения при стимуляции, примерно равно среднему порогу возбуждения ПНС при переключении градиентных катушек в
AP (спереди назад) и
HF (сверху вниз) направлениях. Значение
dB/
dt, соответствующее минимальному перцентилю испытуемых, у которых возникали нестерпимые ощущения при стимуляции, равно 120% среднего порога возбуждения ПНС. Болезненная стимуляция сопровождается не только сильным дискомфортом, но и произвольными мышечными сокращениями, так что эффективность исследования подвергается серьезному риску. Нестерпимая стимуляция, очевидно, крайний случай в этом отношении. Вдобавок реакция ПАЦИЕНТА на подобные ситуации представляет собой дополнительный РИСК нарушения безопасности. В настоящем стандарте порог стимуляции выбран в качестве предельного значения для РЕЖИМА КОНТРОЛЯ ПЕРВОГО УРОВНЯ, а 80% от него - в качестве предельного значения для НОРМАЛЬНОГО РЕЖИМА РАБОТЫ.
ПДУ ГРАДИЕНТНОГО ВЫХОДА ИНДУКЦИИ для МР СОТРУДНИКОВ равны соответствующим ПДУ для ПАЦИЕНТА, так что возможность возникновения нестерпимых ощущений при возбуждении ПНС минимизирована. Трудно связать этот уровень со средним порогом возбуждения ПНС ПАЦИЕНТА, так как МР СОТРУДНИКИ могут занимать такое положение возле томографа, которое недостижимо для ПАЦИЕНТА.
Необходимо принять меры предосторожности при проведении интервенционных МР ИССЛЕДОВАНИЙ, чтобы избежать неожиданного ВПНС МР СОТРУДНИКА, которое может представлять угрозу безопасности ПАЦИЕНТА.
5) Связь между напряженностью электрического поля E и скоростью изменения индукции магнитного поля dB/dt в МР ОБОРУДОВАНИИ
Для преобразования ПДУ напряженности E в ПДУ скорости изменения индукции dB/dt требуются знания соотношений между этими значениями при типичной геометрии тела ПАЦИЕНТА и градиентной системы.
Напряженность электрического поля E, индуцируемого в теле человека посредством изменения индукции магнитного поля с помощью градиентной системы, связана с пространственным распределением значения dB/dt и геометрией тела. Для любой замкнутой траектории I, охватывающей площадь S, основное физическое уравнение записывается как:

. (AA.7)
Данное уравнение может быть решено, если определены граничные условия. В качестве иллюстративного упрощения ПАЦИЕНТ может быть представлен как однородный проводящий вытянутый эллипсоид вращения с длинной полуосью

, и короткой полуосью
b во внешней изолирующей среде. Если однородное в пространстве переменное во времени магнитное поле направлено перпендикулярно к длинной оси эллипсоида, максимальное значение напряженности
E возникает в средней плоскости эллипсоида, вдоль его периметра. Это означает, что периметр является геометрическим местом точек, в которых ВПНС возникнет с наибольшей вероятностью. Рейли
[85] указал следующее выражение для
E:

. (AA.8)
Для длинной полуоси

, короткой полуоси
b = 0,2 м и при пересечении ПАЦИЕНТА полем в
AP направлении, результирующее соотношение:
где E в В/м;
dB/dt в Тл/с.
Если переменное во времени магнитное поле параллельно длинной оси эллипсоида, т.е. в случае наличия поля в HF направлении, индуцируемое электрическое поле параллельно его круговому сечению радиусом b = 0,2 м. Тогда:
где E, В/м;
dB/dt, Тл/с.
В реальности поле градиентной системы в МР ОБОРУДОВАНИИ неоднородно. Внутри градиентной системы максимальное значение
dB/
dt на периферии ПАЦИЕНТА больше усредненного значения над его телом. Недавние расчеты с морфологически реалистичной моделью человека показали, что коэффициенты в
уравнениях (AA.9) и
(AA.10) равны 0,11 и 0,08 соответственно для максимальных значений
dB/
dt в точках радиусом 0,2 м. Близкие значения были получены Ботвеллом и Були
[92]. Они рассчитали ток, индуцированный в проводящем цилиндре радиусом 0,195 м. Из результатов их работы отношение
E/(
dB/
dt) может быть определено (максимальное значение
dB/
dt при
r = 0,195 м). При переключении поперечного градиента отношение равно 0,121, и 0,087 - при переключении продольного градиента. Следует отметить, что локальный максимум электрического поля может быть в два раза больше, если модель предусматривает неоднородную проводимость, такую как, например, при включениях костной ткани.
Преобразование
уравнения (AA.6) в выражение для определения ПДУ
dB/
dt возможно, если точно известно пространственное положение. Характерная черта колебаний градиента в МР ОБОРУДОВАНИИ - это повторяющаяся биполярная форма. Для трапецеидальной формы сигнала градиента (см.
рисунок 201.101 настоящего стандарта) индуцированное поле
E будет представлять собой серию последовательных знакопеременных импульсов. Длительность линейного нарастания
ts градиента с трапецеидальной формой изменения сигнала с максимальной амплитудой
Gmax равна:

. (AA.11)
6) Экспериментально определенные ПДУ для кардиостимуляции
Для определения физиологического предела для кардиостимуляции в настоящем стандарте используется
уравнение (AA.6), как обсуждено в
пункте 4). Временная константа возбуждения сердца принята равной 3 мс. Значение первой процентили порога электрического поля используется в качестве реобазы электрического поля для кардиостимуляции
rbc.
Уравнение (AA.10) служит для пересчета из реобазы электрического поля в реобазу
dB/
dt. Также введен упомянутый в
пункте 4) коэффициент запаса 3. Предел для кардиостимуляции равен:

, (AA.12)
где rbc = 6,2 В/м или 62 Тл/с.
7) Непосредственное измерение ПДУ ГРАДИЕНТНОГО ВЫХОДА ИНДУКЦИИ при возбуждении ПНС при использовании МР ОБОРУДОВАНИЯ ДЛЯ ВСЕГО ТЕЛА
Настоящий стандарт описывает ряд методов получения порогов ВПНС, специфических для МР ОБОРУДОВАНИЯ, что обсуждается в этом и следующем
пункте. Настоящий стандарт допускает экспериментальную оценку порога для ВПНС (прямое определение). Один из подходов прямого определения, опирающийся на справедливость гиперболической зависимости порога от времени линейного нарастания сигнала, заключается в нахождении реобазы и хронаксии из тестов для ограниченного набора времен нарастания сигнала и дальнейшем рекурсивном определении порога для каждого используемого времени. Дальнейшее моделирование может быть использовано для ограничения числа тестируемых профилей градиента. Пример подобного моделирования приведен в
пункте 16).
Экспериментально полученные пределы должны подчиняться физиологическим условиям, перечисленным в
пункте 4). Объем работы при таком непосредственном определении может быть излишним, и для нескольких частых профилей градиента в настоящем стандарте в качестве альтернативы приведены численно рассчитанные пределы, что обсуждается в
пунктах с 8) по
14).
Индуцированное электрическое поле в однородной сфере зависит от
dB/
dt, времени нарастания градиента и радиуса сферы. Порог стимуляции электрическим полем примерно одинаков для взрослых и детей, однако для детей он может быть больше
[160]. Поэтому порог стимуляции, полученный для взрослых, должен быть принят и для детей, так что дети могут не принимать участия в добровольных исследованиях.
8) ПДУ возбуждения ПНС, определенные численным методом и установленные по умолчанию
Непосредственное выявление предела для ПНС не всегда осуществимо. В таких случаях в качестве альтернативы в настоящем стандарте предусмотрены определенные по умолчанию пределы для
dB/
dt и
E. Эти пределы получены на основе трех добровольных исследований, в которых МР ОБОРУДОВАНИЕ используется в целях определения порога ПНС. Результаты этих исследований опубликовали Хам и другие
[89], Борланд и другие
[90], Хебранк и другие
[91]. В каждой из публикаций порог ВПНС был рассмотрен как функция
dB/
dt и длительности импульса, и добровольцы подвергались воздействию в ГРАДИЕНТНОЙ СИСТЕМЕ ВСЕГО ТЕЛА в цилиндрическом МАГНИТЕ ВСЕГО ТЕЛА. Несмотря на то что значения
dB/
dt, используемые в этих работах для выражения порога ВПНС, не были прямо сопоставимы и параметры формы сигнала градиента различались, сравнение результатов этих авторов все-таки может быть выполнено. Для установки принципа нахождения предела для ВПНС при сравнении были использованы некоторые нераскрытые параметры. Принцип сопоставления изложен в
пункте 9). ПДУ ГРАДИЕНТНОГО ВЫХОДА ИНДУКЦИИ для МР ОБОРУДОВАНИЯ ВСЕГО ТЕЛА приведены в
пункте 10).
9) Принцип сопоставления ГРАДИЕНТНОГО ВЫХОДА ИНДУКЦИИ
Принцип сравнения экспериментов по
[89] -
[91] заключается в следующем: все значения
dB/
dt пересчитаны как величины пространственно-временного максимума модуля величины
dB/
dt, возникающего на стенке цилиндра радиусом 0,2 м, соосного с магнитом. Такой объем, как правило, подходит для представления тела ПАЦИЕНТА. Все профили градиента представляли собой EPI (эхо-планарная визуализация) профили трапецеидальной формы. Направление переключения градиента
AP - в двух из трех публикаций, а результат синхронного возбуждения всех ГРАДИЕНТНЫХ БЛОКОВ - в третьей
[89]. В этой публикации порог для
AP направления может быть получен регрессией. Длительность плоской вершины импульса равна 0,3 мс у Борланда
[90], 0,4 мс у Хама
[89] и 0,5 мс у Хебранка
[91]. Этими различиями можно пренебречь, так как они оказывают второстепенное влияние. Ширину распределений порогов вычисляют в двух из трех исследованиях
[90],
[91], т.к. в них принимало участие большое число добровольцев. Стандартные отклонения, выраженные в доли от среднего, получились близкими по величине в обоих исследованиях, для определения доверительного интервала среднего значения порога было принято значение 0,24.
Если не все значения времени импульса могут быть использованы из-за технических ограничений градиентной системы, в качестве среднего применяется усеченное среднее. Для c крайних значений порогов, которые не могут быть получены у N добровольцев, этот показатель равен среднему центральной части распределения размером N - 2c.
10) Экспериментальные ПОРОГОВЫЕ УРОВНИ ВПНС в МР ОБОРУДОВАНИИ ДЛЯ ВСЕГО ТЕЛА
Экспериментальные значения, пересчитанные по принципу, описанному в
пункте 9), представлены на
рисунке AA.2. Данные согласованы между собой, несмотря на то что МР ОБОРУДОВАНИЕ было от разных ИЗГОТОВИТЕЛЕЙ и имело различную конструкцию. Данные аппроксимировались с учетом взвешивания каждой точки, исходя из числа добровольцев в исследовании, в результате чего получилось уравнение вида:
dB/
dT = 1,0
rb(1 + 0,36/
ts,eff),
где хронаксия = 0,36 мс, rb = 19,7 +/- 1 Тл/с. Это значение округлено в настоящем стандарте до 20 Тл/с.
Двойной логарифмический график экспериментальных зависимости порогов для ВПНС с трапецеидальным EPI-профилем градиента от длительности линейного возрастания сигнала
ts (

Хам
[89], + Борланд
[90], x Хебранк
[91]). Значения порогов выражены как пространственно-временной максимум модуля величины
dB/
dt на поверхности цилиндра радиусом 0,2 м, соосного с магнитом. Сплошная линия - гипербола, аппроксимирующая все точки, взвешенные с учетом числа добровольцев, принимавших участие в исследовании. Параметры гиперболы: реобаза
rb = 19,7 Тл/с, хронаксия
tc = 0,36 мс (смотри
уравнение выше:
dB/
dT = 1,0
rb(1 + 0,36/
ts,eff)
Рисунок AA.2 - Экспериментальные ПОРОГОВЫЕ УРОВНИ ВПНС
в МР ОБОРУДОВАНИИ ДЛЯ ВСЕГО ТЕЛА
11) Экспериментальные ПОРОГОВЫЕ УРОВНИ ВПНС для профиля градиента нетрапецеидальной формы
Порог
dB/
dt зависит от длительности стимула
ts. Для сигнала градиента нетрапецеидальной формы нет однозначного определения длительности стимула. Харви и другие и Мэнсфилд показали, что порог для синусоидального профиля градиента очень близок к таковому для трапецеидального профиля, если из уравнения

ЭФФЕКТИВНУЮ ДЛИТЕЛЬНОСТЬ СТИМУЛЯЦИИ определять как отношение амплитуды к максимуму скорости изменения:

. (AA.13)
Фриз и другие
[95] сравнил трапецеидальный и синусоидальный профили на одном и том же МР ОБОРУДОВАНИИ для
AP направления градиента. На рисунке AA.3 проиллюстрирована аппроксимация данных, где по оси времени откладывается ЭФФЕКТИВНАЯ ДЛИТЕЛЬНОСТЬ СТИМУЛЯЦИИ, обозначаемая в дальнейшем
ts,eff. Приведенный пример демонстрирует справедливость использования данного значения.
Представлены значения порога для трапецеидального (+) и синусоидального

EPI профиля градиента в зависимости от ЭФФЕКТИВНОЙ ДЛИТЕЛЬНОСТИ СТИМУЛЯЦИИ, полученные Фризом
[95].
AP-направление переключения градиента. Значения порогов выражены как пространственно-временной максимум модуля величины
dB/
dt на поверхности цилиндра радиусом 0,2 м, соосного с магнитом. Сплошная линия - гипербола, аппроксимирующая все точки, аналогично линии, показанной на
рисунке AA.2
Рисунок AA.3 - Двойной логарифмический график
экспериментальных значений порогов для ВПНС
12) Экспериментальные ПОРОГОВЫЕ УРОВНИ ВПНС в зависимости от ориентации тела ПАЦИЕНТА относительно направления переключения градиента
В результате эксперимента в МР ОБОРУДОВАНИИ ВСЕГО ТЕЛА было получено значение реобазы как функции направления переключения градиента. В исследовании на 84 добровольцах реобаза была равна 29,5 Тл/с при хронаксии 0,36 мс для
HF-градиентной катушки. В этом эксперименте для симуляции переключения
HF-градиента использовалась одиночная катушка, которая воспроизводит картину магнитного поля на концах
HF-градиентной катушки. Этот эксперимент показал, что порог для ВПНС для
HF направления градиента выше, чем для
AP направления в одном и том же МР ОБОРУДОВАНИИ в соотношении 0,66. Между
LR и
AP направлениями существует примерно такое же различие. Бадингер
[96] исследовал 10 добровольцев, вращая при этом градиентную катушку относительно их тел, и выявил соотношение между порогами для
AP и
LR градиентов, равное 0,8. В связи с этими результатами в настоящем стандарте предложены взвешивающие коэффициенты для вычисления ГРАДИЕНТНОГО ВЫХОДА ИНДУКЦИИ в
HF и
LR направлениях, равные
wHF = 0,7 и
wLR = 0,8 соответственно.
13) Стимуляция нервов в случае комбинации сигналов более одного ГРАДИЕНТНОГО БЛОКА
Процесс получения МР изображения всегда сопровождается комбинацией градиента сигналов от всех трех ГРАДИЕНТНЫХ БЛОКОВ.
Наибольшая стимуляция будет происходить, когда все катушки возбуждены одновременно с одинаковыми профилями градиента на максимуме ГРАДИЕНТНОГО ВЫХОДА ИНДУКЦИИ. В каждый момент времени в пространстве вокруг магнитного ИЗОЦЕНТРА общая скорость изменения (dB/dt)total будет равна векторной сумме вкладов (dB/dt)i от каждого ГРАДИЕНТНОГО БЛОКА i. Индуцированное электрическое поле аналогичным образом будет векторной суммой электрических полей Ei, возникающих от каждого градиента. (dB/dt)total является функцией пространства и зависит от октанта градиентной системы координат. Наибольшее значение будет возникать в октанте, в котором угол между направлением (dB/dt)total и каждого из вкладов (dB/dt)i менее 90°. Это условие всегда выполняется в двух октантах, а при смене знака градиентов это условие будет выполняться в других октантах. Внутри такого октанта максимальное значение (dB/dt)total будет менее суммы пространственных максимумов (dB/dt)i, так как они не возникают в одной и той же точке. Более того, в точке максимума (dB/dt)total направления векторов (dB/dt)i не параллельны.
В рассматриваемом случае [все катушки возбуждаются синхронно с одинаковыми профилями градиентов с максимальным значением (dB/dt)] совместный эффект стимуляции менее суммы эффектов отдельных катушек.
В настоящем стандарте предполагается, что эффект при синхронно переключаемых градиентах может быть представлен как взвешенная сумма квадратов (
dB/
dt)
i от отдельных ГРАДИЕНТНЫХ БЛОКОВ. Взвешивающие коэффициенты приведены в
пункте 12).
Если при максимальном возбуждении длительность стимула ts трех градиентов различна, квадратичное суммирование может оставаться значимым, но вместо общего предела должны быть получены пределы для каждой длительности стимула ts.
При МР ИССЛЕДОВАНИИ одновременное возбуждение с максимальной амплитудой каждого градиента - редкое явление. Наиболее реалистичная оценка порога при неполном совпадении фазы сигналов от различных катушек может быть получена из более точной модели, которая учитывает форму каждого сигнала. Пример такой модели приведен в
пункте 16).
14) ПОРОГОВЫЕ УРОВНИ ВПНС для ГРАДИЕНТНОЙ СИСТЕМЫ ВСЕГО ТЕЛА
В соответствии с
пунктом 4) в качестве предела для РЕЖИМА КОНТРОЛЯ ПЕРВОГО УРОВНЯ установлен предел ГРАДИЕНТНОГО ВЫХОДА ИНДУКЦИИ для ВПНС. В количественном отношении для ГРАДИЕНТНОЙ СИСТЕМЫ ВСЕГО ТЕЛА предел основан на значении, вычисленном в
пункте 10) для переключения
AP градиента.
Этот предел ограничивает максимум ГРАДИЕНТНОГО ВЫХОДА ИНДУКЦИИ градиентной системы с заданным профилем.
- Максимум ГРАДИЕНТНОГО ВЫХОДА ИНДУКЦИИ МР ОБОРУДОВАНИЯ возникает при одновременной работе всех ГРАДИЕНТНЫХ БЛОКОВ, каждый из которых работает на максимальной скорости нарастания выходного напряжения и максимальной амплитуде градиента. Он измеряется как пространственное максимальное абсолютное значение ГРАДИЕНТНОГО ВЫХОДА ИНДУКЦИИ, возникающей в КОНТРОЛИРУЕМОМ ОБЪЕМЕ.
- Термин КОНТРОЛИРУЕМЫЙ ОБЪЕМ определен в настоящем стандарте. Его границы таковы, что исключаются все области, в которых обычно не присутствуют большие части тела ПАЦИЕНТА. Он может быть менее пространства, доступного для размещения ПАЦИЕНТА.
- Длительность стимула для трапецеидального и синусоидального профиля необходимо корректировать в соответствии с
пунктом 11).
- Проверка суммарного градиента индукции получается при контроле ГРАДИЕНТНОГО ВЫХОДА ИНДУКЦИИ отдельного ГРАДИЕНТНОГО БЛОКА с использованием зависящих от направления взвешивающих коэффициентов по
пункту 12) и правила суммирования квадратов по
пункту 13).
Результирующее неравенство имеет вид:

. (AA.14)
Значение dB/dt может быть получено экспериментально или путем вычисления. Вычисление возможно из геометрии катушки и распределения тока по закону Био - Савара:

, (AA.15)
где dI' - элемент обмотки катушки в точке r'.
15) ПОРОГОВЫЕ УРОВНИ ВПНС, основанные на вычислении поля
E
Для градиентных систем, которые отличаются по размерам от ГРАДИЕНТНОЙ СИСТЕМЫ ДЛЯ ВСЕГО ТЕЛА, информация из экспериментальной работы о соотношении ГРАДИЕНТНОГО ВЫХОДА ИНДУКЦИИ и ПОРОГОВЫХ УРОВНЕЙ ВПНС в ГРАДИЕНТНОЙ СИСТЕМЕ ДЛЯ ВСЕГО ТЕЛА не совсем применима. Это связано с зависимостью от геометрии катушки и тела ПАЦИЕНТА. Если, к примеру, градиентная система воздействует только на голову радиусом 0,1 м, предел ГРАДИЕНТНОГО ВЫХОДА ИНДУКЦИИ из
пункта 8) может быть также уменьшен примерно в два раза. Для ряда градиентных систем МР ОБОРУДОВАНИЯ специального назначения [например, специальное МР ОБОРУДОВАНИЕ для груди, конечностей или головы, или специальная градиентная система, сконструированная для использования в МР ОБОРУДОВАНИИ ДЛЯ ВСЕГО ТЕЛА (как градиентная система для микроскопии, сердца и головы)] в настоящем стандарте предложено использовать пределы электрического поля
E, индуцируемого при переключении градиента. Логическое обоснование в том, что это значение напрямую относится к физиологической модели, описанной в
пункте 3).
Несмотря на то что значение E при данной геометрии катушки и тела ПАЦИЕНТА измерить сложно, его вычисление возможно с учетом геометрии катушки и распределения тока, если пренебречь эффектом индукции тока в теле ПАЦИЕНТА. Электрическое поле в теле ПАЦИЕНТА, обусловленное переключением градиентов, может быть выражено:

, (AA.16)
где
A - векторный потенциал электромагнитного поля, обусловленный токами в градиентных катушках. Производную во времени

вычисляют из:

(AA.17)
где

- скорость изменения тока катушки,
dI' - элемент обмотки катушки в точке r'.
Электростатический потенциал

обусловлен электрическим зарядом на границе раздела между средами с разной электропроводностью (например, граница раздела "воздух - ПАЦИЕНТ") и является следствием его накопления.
Электростатический потенциал должен быть рассчитан численным методом. Примечателен случай, в котором

, когда
z-градиент с цилиндрической симметрией приложен вдоль оси проводящего цилиндра, тогда

.
Уравнение (AA.17) подходит для сложной модели тела ПАЦИЕНТА. Значительным упрощением будет аппроксимация зоны интереса цилиндром или сферой постоянной электропроводности.
В настоящем стандарте порог для
E предположительно имеет гиперболический вид пороговой функции из
уравнения (AA.6) с хронаксией 0,36 мс, как описано в
пункте 10), и с реобазой, вычисленной с учетом направления переключения градиента и численного результата для соотношения между
E и
dB/
dt [смотри
пункт 4)]. Следует отметить, что электрическое поле вычисляют с учетом постоянной электропроводности в теле ПАЦИЕНТА. Таким образом, для переключения
AP градиента реобаза электрического поля составляет 2,16 и 2,4 В/м - для
HF градиента. Различие в этих значениях незначительно, поэтому 2,2 В/м принимается в качестве оценки реобазы электрического поля для ВПНС при последовательности трапецеидальных градиентных импульсов для всех направлений градиента. Подобно обсуждению предела
dB/
dt, предел
E в РЕЖИМЕ КОНТРОЛЯ ПЕРВОГО УРОВНЯ равен порогу
E. Для НОРМАЛЬНОГО РЕЖИМА РАБОТЫ предел уменьшен с коэффициентом 0,8. Предел
E подходит для всех типов МР ОБОРУДОВАНИЯ. Значение
E представляет собой максимальное значение в КОНТРОЛИРУЕМОМ ОБЪЕМЕ для данного ГРАДИЕНТНОГО ВЫХОДА ИНДУКЦИИ. Утверждения
пункта 14) применимы в данном случае. Суммарный градиент индукции от всех ГРАДИЕНТНЫХ БЛОКОВ может быть получен из способа суммирования квадратов по
пункту 13), но зависящие от направления коэффициенты взвешивания не используются. В качестве примера для
EPI профиля с длительностью стимула
ts,eff:

. (AA.18)
16) Модель для нахождения ПОРОГОВЫХ УРОВНЕЙ ВПНС при комбинированных профилях градиентов
Гиперболическая пороговая функция, подобная
уравнению (AA.6), с реобазой и хронаксией, определенных в
пункте 10), подходит для повторяющихся биполярных прямоугольных импульсов [а также для синусоид с использованием ЭФФЕКТИВНОЙ ДЛИТЕЛЬНОСТИ СТИМУЛА, определенной в
уравнении (AA.14)]. Чтобы иметь дело с комбинированными профилями градиента, которые часто применяются при получении МР изображений, может потребоваться усовершенствование методики. Более общая пороговая функция может быть вычислена. Рассмотрим такую функцию

, которая представляет собой последовательность функций Дирака, каждая из которых последовательно добавляет возможность возникновения ответной реакции нервной системы
[97], в результате чего порог либо достигается, либо нет. Из
уравнения (AA.6) можно выразить
Rrect - подпороговую ответную реакцию на единичный прямоугольный импульс длительностью
ts:

. (AA.19)
Rrect может быть рассмотрена как функция ts. Ее производная по ts равна:

. (AA.20)
Уравнение (AA.20) описывает вклад стимула в виде функции Дирака при
t = 0 значения

в ответную реакцию в момент времени
t =
ts. В более общем случае увеличение ответной реакции

в момент времени
t от стимула в виде функции Дирака величиной

в момент времени

равно:

. (AA.21)
Итоговая ответная реакция нервной системы
R(
t) на стимул

при

получается с помощью свертки:

. (AA.22)
На рисунке AA.4 показана R(t) для одиночного прямоугольного импульса. Возбуждение произойдет, если при амплитуде стимула dB/dtmax максимальное временное значение R(t) будет больше 1.
Символизирует свертку: n(t) = tc/rb(tc + t)2
Рисунок AA.4 - Значение ответной реакции tc, полученное
сверткой прямоугольного стимула dB/dt и импульсной
передаточной характеристикой нерва

Например, для
EPI профиля градиента комбинированный импульс представляет собой серию знакопеременных прямоугольных импульсов, в которой первый импульс имеет длительность, равную половине длительности всех остальных. Длительность плоской вершины профиля градиента соответствует временному промежутку между импульсами. Результат интегрирования
уравнения (AA.21) в этом случае показан для ВПНС на рисунке AA.5. Максимальное значение
R(
t) достигается в конце первого импульса. На рисунке проиллюстрировано, что модель может быть применена для вычисления порога для любого импульса с использованием значения порога для простого сигнала.
Вертикальная ось выражена в относительных единицах.
R вычисляется из
уравнения (AA.19) при
tc = 0,36 мс. Штриховые линии показывают, что максимум значения ответной реакции нерва достигнут после первого отрицательного спада градиентного сигнала
Рисунок AA.5 - Профиль градиента G, сигнал стимула dB/dt
и значение ответной реакции R для трапецеидального EPI
профиля с началом в точке t = 0
Результаты моделирования сравниваются с экспериментом на
рисунках AA.6 и
AA.7. На
рисунке AA.6 показан порог для трапецеидального профиля в исследовании Пердью [см. подробности в
пункте 10)]. Для нахождения пороговой функции использовалось
уравнение (AA.22) при преобразовании трапецеидального профиля в

. Реобаза
rb и хронаксия
tc [см.
уравнение (AA.22)] были получены из наилучшей аппроксимации. Можно видеть, что полученные значения не равны вычисленным при том же наборе данных в
пункте 10). Это обусловлено различием в их определении: в
уравнении (AA.22) rb и
tc определены для монополярных прямоугольных импульсов. В дополнение на
рисунке AA.6 показана пороговая функция, которая была получена из
уравнения (AA.22) для тех же реобазы и хронаксии, но для синусоидального профиля в зависимости от ЭФФЕКТИВНОЙ ДЛИТЕЛЬНОСТИ СТИМУЛЯЦИИ, как в
уравнении (AA.14). Модель хорошо показывает полезность этого определения. Модель предсказывает, что для обоих профилей пороги будут равны с точностью 10% в широком диапазоне ЭФФЕКТИВНОЙ ДЛИТЕЛЬНОСТИ СТИМУЛЯЦИИ. Хотя модель прогнозирует сильный перепад порога в экспериментах с длительностью непрерывной синусоиды в один полупериод, более тонкие результаты, полученные экспериментально для синусоид длительностью от одного и десяти периодов, не были спрогнозированы. Необходимы более расширенные модели
[91].
SAFE-модель (аппроксимация стимуляции при фильтрации и вычислении) предполагает применение трех временных фильтров к градиентному профилю и суммирование выхода. Фильтры моделируют генерацию потенциалов действия в нерве и распространение сигнала через синапсы. Так, модель не требует описания физиологических свойств, она прогнозирует все зависимости порога стимуляции от длительности стимула, синусоидального или трапецеидального профиля и числа градиентных циклов.

Нижняя кривая для трапецеидального профиля получена аппроксимацией экспериментальных данных (+) Борланда
[90] уравнением (AA.19). Реобаза = 17,3 Тл/с, хронаксия = 0,3 мс.
Верхняя кривая для синусоидального профиля, реобаза и хронаксия те же
Рисунок AA.6 - Пороги
dB/
dt для двух профилей
градиента, построенных в зависимости от
ЭФФЕКТИВНОЙ ДЛИТЕЛЬНОСТИ СТИМУЛЯЦИИ
Примечание - Экспериментальные данные Бадингера
[96]: Сплошная линия из
уравнения (AA.22), совпадение при N = 64.
Рисунок AA.7 - Пороговое значение
dB/
dt для синусоидального
профиля градиента как функция числа полупериодов
На
рисунке AA.7 показана зависимость порога от числа полупериодов синусоидального профиля. Порог масштабирован в соответствии с экспериментальными данными Бадингера
[96].
Нагрев является основным следствием воздействия радиочастотного электромагнитного излучения, используемого в магнитно-резонансных томографах (обычно более 1 МГц). Многие из биологических эффектов, вызываемых воздействием радиочастот, связаны с создаваемым нагревом, приводящим к увеличению температуры в тканях или температуры тела на 1 °C или более, или с реакцией на общую тепловой нагрузку
[98].
Радиочастотное поле, вызывающее тепловую нагрузку, может быть прямо связано с УКП. Важными факторами, которые влияют на УКП ПАЦИЕНТА, являются температура окружающего воздуха, относительная влажность, скорость воздушных потоков и степень изоляции ПАЦИЕНТА. В то время как ЛОКАЛЬНЫЙ УКП и УКП ДЛЯ ВСЕГО ТЕЛА иногда оказываются полезными для оценки общего уровня воздействия, подъем температуры является основным критерием РИСКА. По этой причине критерий подъема температуры включен в настоящий стандарт.
Ограниченные зоны нагрева или "горячие точки" могут вызывать локальный подъем температуры. Важно экранировать ПАЦИЕНТОВ от имплантатов, татуировок и т.д., которые могут привести к увеличению локальной температуры
[2]. Значение поглощенной энергии возрастает пропорционально квадрату расстояния от центра тела
[99]. Электрическая неоднородность тела меняет потоки и локальное поглощение энергии. Изучение сферических моделей показывает, что в горячих точках создаются сферы низкой проводимости (кости или жир), расположенные в зоне высокой проводимости (например, мышцы). Может возникать "горячая точка" УКП, в 2,5 раза превышающая локальное среднее значение
[100]. Расчеты, основанные на гетерогенной модели человеческого тела
[101],
[102], предполагают, что УКП локализованной ткани внутри тела может быть в 5 - 8 раз выше по сравнению со средним значением УКП тела человека
[103]. Однако эти относительные увеличения уменьшаются до 2 - 4 при усреднении по индивидуальным органам тела
[103],
[104]. Возможность высокого значения ЛОКАЛЬНОГО УКП тканей уменьшается и из-за диффузии и потоков крови.
Эффект повышения температуры связан с температурной чувствительностью большинства биологических объектов. Температурные эффекты возрастают благодаря температурной чувствительности большинства биологических процессов. Первоочередной задачей при воздействии радиочастотной энергии на организм является сведение к минимуму физиологической реакции на повышение температуры тела и снижение подъема температуры отдельный тканей до безопасного уровня
[1].
Наиболее чувствительной реакцией человеческого организма является повышение общей температуры тела при воздействии радиочастот, что связано с механизмом терморегуляции, включая увеличение сердечных реакций и потока крови вплоть до увеличения артериального давления
[105]. Эти реакции становятся максимальными даже у объектов, лежащих пассивно, при нормальных температурах. При этом температура может возрасти на 2 °C. Неблагоприятные эффекты для здоровья не ожидаются у людей с ненарушенной терморегуляторной и кардиоваскулярной функциями, если увеличение температуры не превышает 1 °C
[106]. Некоторые исключения приведены ниже.
Терморегуляторная реакция тела человека, подвергаемого МР ИССЛЕДОВАНИЯМ, была промоделирована математически. Адер и Берглунд
[111] рассчитали, что температура тела легко одетого ПАЦИЕНТА, чья терморегуляторная способность не нарушена, будет возрастать на 0,6 °C в зависимости от окружающих условий при УКП ВСЕГО ТЕЛА 4 Вт/кг. Результаты этих расчетов и экспериментов на добровольцах, подвергаемых РЧ облучению, 4 Вт/кг за время 20 - 30 мин.
[112] -
[115]. Не наблюдалось ухудшения состояния здоровья ПАЦИЕНТОВ, подвергаемых УКП ВСЕГО ТЕЛА до 1,5 Вт/кг
[116].
Предел 2,0 Вт/кг при нормальном режиме рекомендован как наибольший УКП, который могут перенести все ПАЦИЕНТЫ, независимо от состояния здоровья, без последствий. Лица с неповрежденными терморегуляторными и кардиоваскулярными системами могут переносить воздействия с большим УКП. Рекомендуется ориентироваться на наибольший предел 4 Вт/кг для РЕЖИМА КОНТРОЛЯ ПЕРВОГО УРОВНЯ. Индивидуальная чувствительность на подъем температуры тела может существенно колебаться даже у здоровых людей, поэтому необходим медицинский контроль
[117].
Вышеуказанные ПДУ установлены при температуре в МР процедурной меньше чем 25 °C, при минимальных движениях воздуха, при легко одетом ПАЦИЕНТЕ. Расчеты Адера и Берглунда
[118] -
[119] могут быть использованы для введения корректирующего коэффициента для температуры окружающей среды. Может быть установлено, что на каждый градус выше 24 °C окружающей среды следует снижение УКП на 0,25 Вт/кг. Соответственно на каждые 10% относительной влажности при значениях до 60% пределы могут уменьшаться на 0,1 Вт/кг. Температурная чувствительность установлена в настоящем стандарте введением требований об уменьшении пределов УКП при повышении температуры. Поскольку чувствительность к влажности относительно мала и трудноконтролируема, зависимости чувствительности УКП от влажности не включены в третье издание МЭК 60601-2-33. Индивидуальные реакции могут быть различными, что требует повышенного внимания.
Некоторые области тела человека, такие, например, как голова, могут быть чувствительными к повышению температуры. Развивающийся зародыш или утробный плод должны быть особенно чувствительны к повышению температуры
[147]. Ткани туловища и конечностей оказываются менее чувствительными. Черский и Атей
[120] предположили, что локальная температура головы около 38 °C, 39 °C туловища и 40 °C конечностей вызывают один и тот же эффект. Простые расчеты
[121], связывающие локальный нагрев в области глаза и УКП головы, предполагают, что воздействие 3 Вт/кг на голову может привести к подъему температуры глаза больше чем на 1,6 °C, при этом температура мозга при этих же условиях поднимается не больше чем на 1 °C. В экспериментальных исследованиях остриженных овец
[122] у некоторых животных уровень УКП головы достигал 4 Вт/кг за время 60 - 90 мин., одновременно измерялась температура периферических глубоко расположенных тканей, включая роговицу, стекловидное тело, кожу головы, язык, прямую кишку. В другом эксперименте были измерены температуры у шести животных при УКП всего тела 1,5, 2, 4 Вт/кг. При сканировании головы температура кожи и глаз увеличивалась примерно на 1,5 °C. Температура мозга повышалась на (0,46 +/- 0,05) °C за время 60 - 90 мин. При сканировании всего тела температура прямой кишки и яремной вены поднималась на 1 °C, в то время как температура кожи конечностей поднималась на 7 °C. Основываясь на моделях и экспериментах на животных, уровень УКП головы, не превышающий 4 Вт/кг, можно считать ниже опасного уровня. ПДУ УКП, равный 3,2 Вт/кг, для головы приводит к повышению температуры глаза на 1 °C. В США в течение десяти лет не наблюдалось неблагоприятных последствий при этом значении УКП. ICNIR устанавливает другой ПДУ ЛОКАЛЬНЫХ УКП.
Подъем температуры в объекте из-за поглощения энергии радиочастотного излучения, например от пульсирующего источника, может быть приравнен к изменению УКП за половину времени достижения температурного равновесия. Это время повышения температуры в центре нагреваемой области на 50% максимума значения, возможного при заданном источнике нагрева. Время температурного равновесия тела человека точно неизвестно, но ориентировочно составляет 15 - 30 мин., в то время как малые массы ткани, такие как глаз, имеют время температурного равновесия около 5 мин.
[123]. В настоящем стандарте 6 мин. приняты в качестве среднего периода для определения УКП всех тканей и тела.
ПЕРЕДАЮЩИЕ РЧ КАТУШКИ можно разделить на два типа: ОБЪЕМНЫЕ РЧ КАТУШКИ и ЛОКАЛЬНЫЕ РЧ КАТУШКИ. Типичными примерами ОБЪЕМНЫХ РЧ КАТУШЕК являются резонаторы для тела и катушки для головы. ЛОКАЛЬНЫЕ РЧ КАТУШКИ используются при спектроскопии.
Разделение на два типа сделано для того, чтобы максимально просто и в целях безопасности достаточно точно проводить контроль УКП.
ОБЪЕМНЫМИ РЧ КАТУШКАМИ можно контролировать УКП ВСЕГО ТЕЛА и его частей (включая УКП головы), в то время как локальные катушки контролируют как все тело, так и ЛОКАЛЬНЫЕ УКП.
Необходимо осуществлять одновременный контроль УКП ВСЕГО ТЕЛА и УКП ДЛЯ ЧАСТИ ТЕЛА или с ЛОКАЛЬНЫМ УКП, чтобы учесть большую вариабельность воздействий, порождаемую вариабельностью катушек, размеров тела ПАЦИЕНТА и их взаимной ориентацией. Это требование автоматически определяет предварительный УКП в наиболее критических его аспектах. Это демонстрируется четырьмя примерами.
Примеры
1 Исследование взрослого ПАЦИЕНТА с помощью РЧ КАТУШКИ ДЛЯ ГОЛОВЫ требует облучения части тела (в общем случае головы). В этом случае УКП ДЛЯ ГОЛОВЫ определяет количество передаваемой энергии. Однако исследование детей той же самой катушкой следует рассматривать как облучение всего тела (если ребенок находится внутри упомянутой катушки). В этом случае УКП ДЛЯ ВСЕГО ТЕЛА будет определяющим фактором.
2 Исследование головы ребенка внутри резонатора для всего тела относительно большого размера может создать более опасное значение УКП ДЛЯ ВСЕГО ТЕЛА, чем УКП ДЛЯ ГОЛОВЫ.
3 При исследовании крупного взрослого ПАЦИЕНТА с помощью относительно короткого резонатора для всего тела воздействие на часть тела более предпочтительно, чем воздействие на все тело. В этом случае УКП облученной части тела должен быть ограничен до безопасного уровня.
4 Исследование взрослого ПАЦИЕНТА с помощью ЛОКАЛЬНОЙ ПЕРЕДАЮЩЕЙ РЧ КАТУШКИ, очевидно, требует контроля ЛОКАЛЬНОГО УКП. Однако при исследовании ребенка с помощью данной катушки относительно больших размеров УКП ВСЕГО ТЕЛА может стать критическим параметром.
ПДУ УКП ГОЛОВЫ, УКП ВСЕГО ТЕЛА и ЛОКАЛЬНОГО УКП многократно исследовались экспериментально и на теоретических моделях. Однако стремление к упрощению контроля УКП при использовании РЧ катушек различных типов делает необходимым установление ПДУ УКП ЧАСТИ ТЕЛА в зависимости от исследуемой части тела (см.
пример 3). Эти пределы выбираются из отношения масса исследуемой части тела/общая масса ПАЦИЕНТА.
Следующее положение нуждается в разъяснение. Если ПАЦИЕНТ находится полностью внутри ПЕРЕДАЮЩЕЙ РЧ КАТУШКИ, облучаемая масса равна общей массе ПАЦИЕНТА и, таким образом, ПДУ облучения части тела должен быть идентичен ПДУ УКП ВСЕГО ТЕЛА. С другой стороны, ПДУ может увеличиваться при уменьшении длины катушки. Для очень коротких ПЕРЕДАЮЩИХ РЧ КАТУШЕК ПДУ УКП ЧАСТИ ТЕЛА становится равным ПДУ ЛОКАЛЬНОГО УКП. Зависимость вышеупомянутого отношения масс считается линейной при значениях данного отношения, превышающих 0,3. Для меньших значений возрастание ПДУ УКП происходит быстрее, т.к. ЛОКАЛЬНЫЙ УКП получают усреднением по 10 г ткани. По этой причине ПДУ ЛОКАЛЬНОГО УКП (см.
таблицу 201.106) для ЛОКАЛЬНЫХ ПЕРЕДАЮЩИХ РЧ КАТУШЕК не применим к УКП ЧАСТИ ТЕЛА, т.к. он относится к большим массам. В
таблице 201.105 значение 10 Вт/кг остается наибольшим ПДУ для УКП ЧАСТИ ТЕЛА. Рисунок AA.8 является графической иллюстрацией этого утверждения.

Примечание - Для того чтобы определить распределение поглощенной РЧ энергии и массы облученной части тела, форма ПАЦИЕНТА должна быть моделирована на основе данных ПАЦИЕНТА (например, простые цилиндры моделируют голову, туловище и конечности). Могут быть использованы также статистические данные антропометрические измерения, как, например, опубликованные Американским национальным центром статистики здоровья (NICHS).
Рисунок AA.8 - ПДУ УКП для экспонированной
(облученной) массы ПАЦИЕНТА
Существует несколько исследований терморегуляторной реакции добровольцев, подвергнутых РЧ облучению в МР установке
[119],
[161]. Эти исследования показывают, что облучение в течение 30 мин. при условии, что УКП ВСЕГО ТЕЛА менее 4 Вт/кг, вызывает увеличение температуры тела менее чем на 1 °C. Максимальный подъем до 1 °C хорошо воспринимается ПАЦИЕНТОМ. В соответствии с указаниями ICNIRP
[131] существует коэффициент безопасности равный 10 для ПАЦИЕНТОВ и персонала, который обеспечивает адекватную защиту при РЧ облучениях. Результирующее значение 0,4 Вт/кг по оценкам приводит к возрастанию температуры на 0,1 °C. Естественные дневные колебания температуры тела превышают 0,1 °C на порядок и даже больше. Таким образом, ПДУ, указанные ICNIRP, представляются весьма консервативными. На практике предполагается, что МР СОТРУДНИКИ работают в положении, при котором их голова и руки расположены ближе к изоцентру, чем другие части тела. Таким образом, УКП ВСЕГО ТЕЛА МР СОТРУДНИКОВ будет меньше, чем у ПАЦИЕНТОВ.
Можно оценить, что при проведении МР ИССЛЕДОВАНИЯ в РЕЖИМЕ КОНТРОЛЯ ПЕРВОГО УРОВНЯ УКП ВСЕГО ТЕЛА МР СОТРУДНИКА приближается к уровню, определяемому НОРМАЛЬНЫМ РЕЖИМОМ РАБОТЫ. РЧ поле B1 при НОРМАЛЬНОМ РЕЖИМЕ РАБОТЫ составляет 70% данного значения при РЕЖИМЕ КОНТРОЛЯ ПЕРВОГО УРОВНЯ. Можно предположить с достаточной точностью, что поле B1 РЧ катушки падает ниже уровня 70% при перемещении от центра катушки к ее краю. Таким образом, УКП ВСЕГО ТЕЛА МР СОТРУДНИКОВ всегда находится на уровне, определяемом НОРМАЛЬНЫМ РЕЖИМОМ РАБОТЫ, если МР СОТРУДНИК не пересекает границ эффективного объема РЧ катушки (объем, ограниченный РЧ катушкой), даже если система работает в РЕЖИМЕ КОНТРОЛЯ ПЕРВОГО УРОВНЯ. Предположение, что режим работы МР ОБОРУДОВАНИЯ одинаков для МР СОТРУДНИКОВ и ПАЦИЕНТА, является достаточно консервативным.
В третьем издании МЭК 60601-1 установлен ПДУ температуры поверхности (Tlimit = 43 °C) для объектов, которые могут находиться в контакте с телом человека. Этот ПДУ зависит от продолжительности контакта и материала объекта, поэтому допустим более высокий ПДУ температуры для более коротких интервалов времени контакта и материалов, отличных от металлов и жидкостей.
Во втором издании МЭК 60601-2-33 введены ПДУ пространственно распределенных температур, которые различаются для головы, туловища, конечностей, в то время как на допускалось никаких температурных различий для НОРМАЛЬНОГО РЕЖИМА РАБОТЫ и РЕЖИМА КОНТРОЛЯ ПЕРВОГО УРОВНЯ. Только для РЕЖИМА КОНТРОЛЯ ВТОРОГО УРОВНЯ допускались более высокие неограниченные значения температур. Настоящее третье издание допускает ПДУ температур, пытаясь привести эти температурные пределы в соответствие с текущей практикой и допустимыми температурами тела человека. В результате максимально допустимая температура тела человека может подниматься в РЕЖИМЕ КОНТРОЛЯ ПЕРВОГО УРОВНЯ до 40 °C, и была введена максимальная локальная температура ткани. Однако следует понимать, что для определения соответствия с ПДУ локальной температуры ткани не существует конкретной методологии. Соответствие ПДУ температуры и скорости ее увеличения достигается ограничением УКП.
Однако полезно определить ПДУ поверхностного нагрева в электронных цепях (т.е. в самой катушке). Температура кожи при нормальных условиях (в отсутствие сканирования) составляет около 33 °C, но во время МР ИССЛЕДОВАНИЯ с высоким УКП всего тела из-за подкожного кровотока температура кожи может достигать 37 °C.
Рекомендуются следующие параметры:
- ТЕМПЕРАТУРА ОКРУЖАЮЩЕЙ СРЕДЫ

(294 К);
- температура поверхности кожи

;
- УКП ВСЕГО ТЕЛА;
- значение основного метаболизма 1,2 Вт/кг;
- масса ПАЦИЕНТА m = 75 кг;
- постоянная Стефана - Больцмана 5,67·10-8 Вт/(м2К4);
- площадь поверхности ПАЦИЕНТА A = 1,9 м2.
Испытуемую электронную схему устанавливают на специальный термоизолированный фантом и проводят 20-минутное сканирование при максимальном для МР ОБОРУДОВАНИЯ клиническом УКП ВСЕГО ТЕЛА.
При этом температура нагрева электронной схемы должна быть ограничена

или 4 °C (в зависимости от того, что больше).
Во втором издании все ПДУ УКП приведены в одной таблице. В тексте данного подпункта по контролю УКП объяснено, что для ОБЪЕМНОЙ ПЕРЕДАЮЩЕЙ РЧ КАТУШКИ необходимо контролировать только УКП ВСЕГО ТЕЛА, УКП ЧАСТИ ТЕЛА или УКП ГОЛОВЫ, в то время как ЛОКАЛЬНЫЙ УКП должен контролироваться при использовании ЛОКАЛЬНОЙ ПЕРЕДАЮЩЕЙ РЧ КАТУШКИ. В третьем издании стандарта приведены две таблицы (
201.105 и
201.106). Условия контроля не изменились. В третьем издании фигурируют большие значения ЛОКАЛЬНОГО УКП для РЕЖИМА КОНТРОЛЯ ПЕРВОГО УРОВНЯ по сравнению со вторым изданием. Обоснование этого увеличения приведено в литературе: было проведено численное моделирование ЛОКАЛЬНОГО УКП при сканировании ОБЪЕМНОЙ ПЕРЕДАЮЩЕЙ РЧ КАТУШКОЙ. В многочисленных публикациях
[157] -
[159],
[163] -
[164] указывалось, что значения ЛОКАЛЬНОГО УКП могут быть в 10 - 15 раз выше, чем УКП ВСЕГО ТЕЛА. Уже при индукции постоянного магнитного поля 1,5 Тл моделирование распределения электромагнитного поля по всему телу показывает значительную неравномерность поля
B1 и "горячие точки" ЛОКАЛЬНОГО УКП, которые могут превышать указанное в литературе значение, даже если УКП ВСЕГО ТЕЛА находится в допустимых пределах. Из результатов данных публикаций, в которых применялся консервативный подход, обусловливающий необходимость дополнительных исследований, взяты максимальные значения ЛОКАЛЬНОГО УКП для
таблицы 201.106.
201.12.4.104 Защита от воздействия постоянных магнитных полей
УКП для ПАЦИЕНТА, размещенного в РЧ катушке, контролируется системой. Известны значения УКП ПАЦИЕНТА и соответствующего РЧ магнитного поля B1 в центре РЧ катушки. Ожидаемое УКП МР СОТРУДНИКОВ в точках, отличных от центра РЧ катушки, определяется как отношение B12 в данной точке (B12(z)) и B12 в центре катушки (B12(0)).
Это отношение для наихудшего случая УКП МР СОТРУДНИКА в области интереса:
УКПМР СОТРУДНИК <= УКППАЦИЕНТ * (B12(z))/B12(0)).
Мощность РЧ излучения уменьшается на 50%, если B1(z) падает на 3 dB (приблизительно 70%). Для катушки типа "птичья клетка" данный спад происходит ближе к физическому окончанию катушки.
Поскольку МР СОТРУДНИКИ должны работать в положении, когда их голова и руки находятся ближе к ИЗОЦЕНТРУ, чем другие части тела, УКП рук и особенно головы более важны, чем УКП ВСЕГО ТЕЛА. Можно предположить, что УКП ВСЕГО ТЕЛА МР СОТРУДНИКА значительно ниже, чем ПАЦИЕНТА.
201.17 Электромагнитная совместимость ME ОБОРУДОВАНИЯ и ME СИСТЕМ
202 Электромагнитная совместимость: требования и испытания
В пределах ОБЛАСТИ КОНТРОЛИРУЕМОГО ДОСТУПА МР СИСТЕМЫ обычно не предъявляется требований к радиочастотному излучению. Первоначально эти требования были предназначены для защиты радиосвязи и указывались в международных стандартах, таких как CISPR 11. ПДУ радиочастотного излучения находятся в диапазоне от 30 до 50 дВ·мкм·В/м. Предполагалось, что уровень излучения для МР ОБОРУДОВАНИЯ, оборудования для КОМПЬЮТЕРНОЙ ТОМОГРАФИИ и РЕНТГЕНОВСКОГО ОБОРУДОВАНИЯ измеряется на границе комнаты или здания.
Стандарты МЭК по ЭМС, находящиеся в стадии подготовки, должны оценивать степень защищенности медицинского оборудования от радиочастотных полей. Ожидается, что нормальная работа оборудования должна быть обеспечена при полях, не превышающих 1 В/м или 3 В/м в общем случае, и при полях, не превышающих 10 В/м или 100 В/м в случаях оборудования для мониторинга и поддержания жизненных функций ПАЦИЕНТА.
В действительности в пределах ОБЛАСТИ КОНТРОЛИРУЕМОГО ДОСТУПА вокруг МР ОБОРУДОВАНИЯ значение радиочастотного поля может превышать эти ПДУ и достигать значения 100 В/м. Очевидно, что периферическое оборудование, находящееся в ОБЛАСТИ КОНТРОЛИРУЕМОГО ДОСТУПА, может быть повреждено при таких полях.
(справочное)
СВЕДЕНИЯ О СООТВЕТСТВИИ ССЫЛОЧНЫХ МЕЖДУНАРОДНЫХ СТАНДАРТОВ
НАЦИОНАЛЬНЫМ СТАНДАРТАМ РОССИЙСКОЙ ФЕДЕРАЦИИ
Таблица ДА.1
Обозначение ссылочного международного стандарта | Степень соответствия | Обозначение и наименование соответствующего национального стандарта |
МЭК 60601-1-2:2007 | - | |
МЭК 60601-1:2005 | IDT | ГОСТ Р МЭК 60601-1-2010 "Изделия медицинские электрические. Часть 1. Общие требования безопасности с учетом основных технических характеристик" |
NEMA MS 4:2006 | - | |
NEMA MS 8:2008 | - | |
<*> Соответствующий национальный стандарт отсутствует. До его утверждения рекомендуется использовать перевод на русский язык данного международного стандарта. Перевод данного международного стандарта находится в Федеральном информационном фонде технических регламентов и стандартов. Примечание - В настоящей таблице использовано следующее условное обозначение степени соответствия стандарта: - IDT - идентичный стандарт. |
| SHELLOCK F.G. and KANAL E. Magnetic Resonance: Bioeffects, Safety, and Patient Management, New York: Lippincott Raven Press, 1996 |
| SHELLOCK F.G. Pocket Guide to mr Procedures and Metallic Objects: Update 2000. New York: Lippincott, Williams and Wilkins, 2000 |
| Occupational Health and Safety Administration, USA. Occupational noise exposure. Occupational health and safety standards. 1970. Part 1910.95. 29 CFR. Ch. XVII |
| European Community. Council directive 86/188/EEC of 26 June 1986 on the protection of workers from the risks related to exposure to noise at work |
| KRYTER K.D. Interruption in days or years of exposure. In The effects of noise on man. 2nd edition. Acad. Press. 1985, pp. 274 - 275. ISBN 0-12-427460-9 |
| MC JURY M. and SHELLOCK F.G. Auditory noise associated with MRI procedures: a review. J Mag Res Im., 2000 |
| COUNTER S.A., OLOFSSON A., GRAHN H., BORG. E. MRI acoustic noise: sound pressure and frequency. analysis. J Mag Res Im, 1997, 7:606-61 |
| FOSTER J.R., HALL D.A., SUMMERFIELD A.Q., BOWTELI R.W. Sound level measurements and calculation of safe noise dosage at 3 T. J Mag Res Im. 2000, 12:157-164 |
| BRUMMET R.E., TALBOTT J.M., CHARUHAS P. Potential earing loss resulting from MR imaging. Radiology, 169:539-540 |
| MANGHAM C.A. The effect of drugs and systemic disease on the acoustic reflex. In SILMAN S., ed. The acoustic reflex, basic principles and clinical applications. Acad. Press, 1984, pp. 441 - 464. ISBN 0-12-64350-6 |
| BARBARO V., BARTOLINI P., TARRICONE L. Evaluation of static magnetic fieto levels interfenng with pacemakers. Physica Medica, VII, 1991, pp. 73 - 76 |
| EN 45502-2-1:2003 Safety of Implantable Cardiac Pacemakers |
[13] | ATHEY T.W. Current FDA guidance for MR patient exposure and considerations for the Future. Annals of the New York: Academy of Sciences, 1992, 649, pp. 242 - 257 |
[14] | FDA, 1988. (August 2) Guidance for content and review of a magnetic resonance diagnostic device 510 (k) application: safety parameter action levels. Center for Devices and Radiological Health Report (Rockville, Maryland) |
| STRATTON J.A. Electromagnetic Theory. New York: MacGraw-Hill, 1941, pp. 153 - 156 |
| KANAL E. An overview of electromagnetic safety considerations associated with magnetic resonance imaging. Annals of the New York: Academy of Sciences, 1992, 649, pp. 204 - 224 |
| UENO S. and IWASAKA M. Properties of diamagnetic fluid in high gradient magnetic fields. J. Appl. Phys., 1994, 75, pp. 7177 - 7179 |
| UENO S. and IWASAKA M. Parting of water by magnetic fields. IEEE Trans. Magn., 1994, 30, pp. 4698 - 4700 |
| ICHIOKA S., MINEGISHI M., IWASAKA M., SHIBATA M., NAKATSUKA T., HARM K., KAMIYA A. and UENO S. High-intensity static magnetic fields modulate skin microcirculation and temperature in vivo. Bioelectromagnetics. 2000, 21, pp. 183 - 188 |
| HALLIDAY D. and RESNICK R. Physics. New York: John Wiley, 1966, p. 873 |
| WIKWSO J.P. Jr. and BARACH J.P. An Estimate of the Steady Magnetic Field Strength Required to Influence Nerve Conduction. IEEE Trans. Biomed. Eng., 1980, 27, p. 722 |
| KOLIN A. Improved apparatus and technique for electromagnetic determination of blood ftow. Rev. Sci. Instrum. 1952, 23, pp. 235 - 240 |
| BEISCHER D.E. and KNEPTON J.C. Jr. Influence of strong magnetic fields on the electrocardiogram of squirrel monkeys. (Saimiri Sciureus). Aerospace Med., 1964, 35, p. 939 |
| SCHENCK J.F. Health and physiological effects of human exposure to whole-body four-Tesla magnetic fields during MRI. Annals of the New York: Academy of Sciences. 1992, 649, pp. 285 - 301 |
| COLEMAN M.P. and BERAL V. A Review of epidemiological studies of health effects of living near or working with electricity generation and transmission equipment. Int. J. Epid., 1988, 17, pp. 1 - 13 |
[26] | DENNIS J.A., MUIRHEAD C.R. and ENNIS J.R. Epidemiological studies of exposure to electromagnetic fields. II: cancer. J. Radiol. Prot., 1991, 11, pp. 13 - 25 |
[27] | KNAVE G.G. and TORNOUIST S.G. Epidemiological studies on effects of exposure to ELF electromagnetic fields. A review of Biological Effects of Static and ELF Magnetic Fields. Ed. J.H. Bernhardt. Munich: mmV Metfain, 1986, pp. 143 - 153 |
[28] | SAVITZ D.A., WACHTEL H., BARNES F.A., JOHN E.M. and TORDIK J.G. Case control study of childhood cancer and exposure to 60 Hz magnetic fields. Am. J. Epidemiol., 1988, 128, pp. 21 - 38 |
[29] | TOMENIUS L., HALLSTROM L. and ENANDER B. Electrical constructions and 50 Hz magnetic fields at the dwellings of tumor cases (0 - 18 years of age) in the country of Stockholm. Proc. Int. Symp. Occup. Health and Safety in Mining and Tunneling, 1982 |
[30] | WERTHEIMER N. and LEEPER E. Electrical wiring configuration and childhood cancer. Am. J. Epidemiol. 1979, 109, pp. 273 - 284 |
| WERTHEIMER N. and LEEPER E. Adult cancer related to electrical wires near the home. Int. J. Epidemiol, 1982, pp. 345 - 355 |
| CALLE E.E. and SAVITZ D.A. Leukemia in occupational groups with presumed exposure to electrical and magnetic fields. New England J. Med., 1985, 313, pp. 1476 - 1477 |
[33] | COLEMAN M., BELL J. and SKEET R. Leukaemia incidence in electrical workers. Lancet, 1981, 1, pp. 982 - 983 |
[34] | LIN R.S., et al. Occupational exposure to electromagnetic fields and the occurrence of brain tumors: an analysis of possible association. J. Occup. Med., 1985, 27, pp. 413 - 419 |
[35] | MCDOWALL M.E. Leukemia mortality in electrical workers in England and Wales. Lancet, 1983, 1, p. 246 |
| MILHAM S.Jr. Mortality from leukemia in workers exposed to electrical and magnetic fields. New Engl. J. Med., 1982, 307, p. 249 |
| BERNHARDT J.H. Non-ionizing radiation safety: radio-frequency radiation, electric and magnetic fields. Phys. Med. Biol., 1992, 4, pp. 807 - 844 |
| LYLE B.L., et al. Modulation of Calcium Uptake by concanavalin A and ouabain in normal and leukemic T-lymphocytes exposed to magnetic fields under calcium cyclotron resonance conditions. Abstracts of the Twelfth Annual Meeting of the Bioeiectromagnetics Society. San Antonio, TX, 1990, p. 51 |
| HABERDITZL W. Enzyme activity in high magnetic fields. Nature, 1967, 213, pp. 72 - 73 |
| MANSFIELD P. and MORRIS P.G. NMR Imaging in Biomedicine. In WAUGH. J.S., ed. Advances in Magnetic Resonance. Suppl. 2. New York: Academic Press, 1982 |
| MCLAUCHLAN K.A. The effects of magnetic fields on chemical reactions. Sci Prog., 1981, 67, pp. 509 - 529 |
| WAUGH J. Biomagnetic effects. In WAUGH. JS, ed. Advances in Magnetic Resonance. Suppl. 2. New York: Academic Press, 1982 |
[43] | PERSSON B. R. R. and STAHLBERG F. Potential health hazards and safety aspects of clinical NMR examinations. In BERTIL. B. R. R., ed. Seminars on Biomedical Applications of Nuclear Magnetic Resonance Lund. Sweden: Radiation Physics Dept., Lasarettet |
[44] | SAUNDERS R.D. and SMITH H. Safety aspects of NMR clinical imaging. British Medical Bulletin, 1984, 40 (2), pp. 148 - 154 |
[45] | SHELLOCK F.G. Biological effects and safety aspects of magnetic resonance imaging. Magnetic Resonance Quarterly, 1989, 5(4), pp. 243 - 261 |
| TENFORDE T.S. and BUDINGER T.F. Biological effects and physical safety aspects of NMR imaging and in-vivo spectroscopy. In THOMAS S.R. and DIXON R.L., eds. NMR in Medicine: Instrumentation and Clinical Applications, Medical Monograph No. 14. New York: Amer. Assoc. Phys. Med., 1986, pp. 493 - 548 |
| SHELLOCK F.G., SCHAEFER D.J. and GORDON C.J. Effect of a 1.5 T static magnetic field on body temperature of DJ man. Magn. Reson. Med., 1986, 3, pp. 644 - 647 |
| SPERBER D., OLDENBOURG R. and DRANSFIELD D.K. Magnetic field induced temperature change in mice. Naturwissenschaften, 1984, 71, p. 101 |
| UENO S. Embryonic development of xenopus laevis under static magnetic fields up to 6.34 T.J. AppJ. Phys., 1990, 67, pp. 5841 - 5843 |
| GAFFEY C.T. and TENFORDE T.S. Bioelectric properties of frog sciatic nerves during exposure to stationary magnetic fields. Radiat. Environ. Biophys., 1983, 22, pp. 61 - 73 |
| HONG C.Z. and SHELLOCK F.G. Short-term exposure to a 1.5 Tesla static magnetic field does not affect somato-sensory-evoked potentials in man. Magnetic Resonance Imaging, 1990, 8, pp. 65 - 69 |
| HONG C.Z., HARMON D. and YU J. Static magnetic field influence on rat tail nerve function. Arch. Phys. Med. Rehabil., 1986, 67, pp. 746 - 749 |
| ATKINS P.W. Magnetic field effects. Chem Brit, 1976, 12, pp. 214 - 218 |
| COOK E.S., FARDON J.C. and NUTINI L.G. Effects of magnetic fields on cellular respiration. In BARNOTHY M.F., ed. Biological Effects of Magnetic Fields, vol. 2. New York: Plenum Press, 1969, pp. 67 - 78 |
| FARDON J.C., POYDOK S.M.E. and BASULTO G. Effect of magnetic fields on the respiration of malignant, embryonic, and adult tissue. Nature, 1966, 211, p. 433 |
| BARNOTHY M.F. Hematological changes in mice. In BARNOTHY M.F., ed. Biological Effects of Magnetic Fields. Vol. 1. New York: Plenum Press, 1964, pp. 109 - 126 |
[57] | EISELEIN J.E., BOUTELL H.M. and BIGGS M.W. Biological effects of magnetic fields-negative results. Aerospace Med., 1961, 32, pp. 383 - 386 |
| BATTOCLETTI J.H., SALLES CUNHA S., HALBACH R.E., et al. Exposure of Rhesus Monkeys to 20.000 G Steady Magnetic Field: Effect on Blood Parameters. Med Phys., 1981, 8, pp. 115 - 118 |
| BEISCHER D.E. Human tolerance to magnetic fields. Astronautics 1962, 7, p. 24 |
| BUDINGER T.F., BRISTOL K.S., YEN C.K., et al. Biological effects of static magnetic fields. Abstracts. Third Annualmeeting. Society of Magnetic Resonance in Medicine. New York, 1984, p. 113 |
| KANAL E., SHELLOCK F.G. and SAVITZ D.A. Survey of reproductive health among female MR operators. Abstract presented at the Seventy-seventh Annual Meeting of the Radiological Society of North America, 1991 |
| VYALOV A.M. Magnetic fields as a factor in the industrial environment. Vestn Akad Med Nauk SSSR, 1967, 8, pp. 72 - 79 |
| VYALOV A.M. Clinico hygenic and experimental data on the effects of magnetic fields under industrial conditions. In KHOLODOV Yu.A., ed. Influence of Magnetic Fields on Biological Objects. Joint Publ Res Service Rep No. 63038. Springfield. VA; National Technical Information Service, 1974, pp. 163 - 174 |
| KAY H.H., HERFKENS R.J. and KAY B.K. Effect of magnetic resonance imaging on Xenopus laevis embryogenesis. Magn Reson Imaging 1988, 6, pp. 501 - 506 |
| MCROBBIE D., FOSTER M.A. Pulsed magnetic field exposure during pregnancy and implications for NMR foetal imaging: a study with mice. Magn Reson Imaging 1985, 3, pp. 231 - 234 |
| PRASAD N., WRIGHT D.A., FORD. J.J., THORNBY J.I. Safely of 4-T MR imaging: study of effects on developing frog embryos. Radiology, 1990, Jan., 174 (1), pp. 251 - 253 |
| SCHENCK J.F., DUMOULIN C.L., REDINGTON R.W., KRESSEL H.Y., ELLIOTT R.T., MCDOUGALL I.L. Human exposure to 4.0-Tesla magnetic fields in a whole-body scanner. Med Phys., 1992, July, 19 (4), pp. 1089 - 1098 |
| RAYLMAN R.R., CLAVO A.C., WAHL R.L. Exposure to strong static magnetic field slows the growth of human cancer cells in vitro. Bioelectromagnetics, 1996, 17 (5), pp. 358 - 363 |
| KROEKER G., PARKINSON D., VRIEND J., PEELING J. Neurochemical effects of static magnetic field exposure. Surg Neurol, 1996, Jan., 45 (1), pp. 62 - 66 |
| NARRA V.R., HOWELL R.W., GODDU S.M., RAO D.V. Effects of a 1,5-Tesla static magnetic field on spermatogenesis and embryogenesis in mice. Invest Radiol, 1996, Sep., 31 (9), pp. 586 - 590 |
| JEHENSON P., DUBOC D., LAVERGNE T., GUIZE L., GUERIN F., DEGEORGES M., SYROTA A. Change in human cardiac rhythm induced by a 2-T static magnetic field. Radiology 1988 Jan., 166 (1 Pt 1), pp. 227 - 230 |
| KINOUCHI Y., YAMAGUCHI H., TENFORDE T.S. Theoretical analysis of magnetic field interactions with aortic blood flow. Bioeiectromagnetics, 1996, 17 (1), pp. 21 - 32 |
| U.S. Department of Health and Human Services. Food and Drug Administration. Center for Devices and Radiological Health. Guidance for Magnetic Resonance Diagnostic Devices - Criteria for Significant Risk Investigations, 1997 |
| National Radiological Protection Board (UK). Guidance as to Restrictions on Exposures to Static (DC) Electric and Magnetic Fields. Document of the NRPB: Vol. 15, No 2, 2004 |
[75] | American Conference of Governmental Industrial Hygienists (ACGIH). Threshold Limit Values for Chemical Substances and Physical Agents, 1993 - 1994 |
[76] | MILLER G. Exposure Guidelines for Magnetic Fields. Am Ind Hyg Assoc Jour., 1987, 48, pp. 957 - 968 |
| Australian Radiation Laboratory. Safety Guidelines for Magnetic Resonance Diagnostic Facilities, 1991 |
| International Commission on Non-ionizing Radiation Protection (ICNIRP). Guidelines on Limits of Exposure to Static Magnetic Fields. Health Physics, 1994, 66 (1), pp. 100 - 106 |
| KELTNER J.R., ROOS M.S., BRAKEMAN P.R. and BUDINGER T.F. Magnetohydrodynamics of Blood Row. Magnetic Resonance in Medicine, 1990, 16, pp. 139 - 149 |
| GANONG W.F. Review of Medical Physiology, 6th Edition. Los Altos. CA: Lange Medical Publ., 1973 |
| REILLY J.P. Cardiac sensitivity to electrical stimulation. U.S. Food and Drug Administration Report MT 89-101, 1989 |
| SCHENCK J.F. Safety of Strong. Static Magnetic Fields. J of Magn. Res. Imaging, 2000, 12, pp. 2 - 19 |
| National Electrical Manufacturers Association. MR Section. Accessory equipment considerations with respect to magnetic resonance imaging compatibility. J of Magn. Res. Imaging, 1998 |
| BERNHARDT J.H. The establishment of frequency dependent limits for electric and magnetic fields and evaluation of indirect effects. Radiat. Environ. Biophys, 1988, 27, pp. 1 - 27 |
| REILLY J.P. Peripheral nerve and cardiac excitation by time-varying magnetic fields: A comparison of thresholds. NY Acad. of Sd., 1992, 649, pp. 96 - 117 |
[86] | LAPICQUE L. Definition experimental de l'excitation. Comptes Rendues Acad. Sci., 1909, 67, pp. 280 - 285 |
[87] | IRNICH W., SCHMITT F. Magnetostimulation in MRI. Mag. Res. Med., 1995, 33, pp. 619 - 623 |
| SCHAEFER D.J. Safety Aspects of Radio Frequency Power Deposition in Magnetic Resonance. E. Kanal. ed. MRI Clinics of North America, 1998, 6(4), pp. 775 - 789 |
| HAM C.G.L., ENGELS J.M.L., VAN DE WIEL G.T., MACHIELSEN A. Peripheral nerve stimulation during MRI: effects of high gradient amplitudes and switching rates. J. Mag. Res. Imaging, 1997, 5, pp. 933 - 937 |
| BOURLAND J.D., NYENHUIS J.A. and SCHAEFER D.J. Physiologic Effects of Intense MRI Gradient Fields. Neuroimaging Clinics of North America, 1999, 9 (2), pp. 363 - 377 |
| HEBRANK F.X. and GEBHARDT M. SAFE Model - a new method for predicting peripheral nerve stimulations m MRI. Soc. Mag. Res. Im. Proceedings 2000 conference, 2000, p. 2007 |
| BOTWELL R. and BOWLEY L.M. Analytic calculations of the E-Fields Induced by Time-Varying Magnetic Fields Generated by Cylindrical Gradient Coils. Mag. Res. Med., 2000, 44. pp. 782 - 790 |
[93] | HARVEY P.R. and MANSFIELD P. Avoiding Peripheral Nerve Stimulation: Gradient Waveform Criteria For Optimum Resolution in EPI. Mag. Res. Med., 1994, 32, pp. 236 - 241 |
[94] | MANSFIELD P. and HARVEY P.R. Limits to Neural Stimulation in EPI. Mag. Res. Med., 1993, 29, pp. 746 - 758 |
| FRESE G., HEBRANK F.X., RENZ W., STORCH T. Physikalische Parameter bei der Anv-endung der MRT. Radiologe, 1998, 38, pp. 750 - 758 |
| BUDINGER TF., FISCHER H., HENTSCHEL D., REINFELDER H.E., SCHMITT F. Physiological effects of fast oscillating magnetic field gradients. Jour. Comp. Ass. Tech, 1991, 15, pp. 909 - 914 |
| DEN BOER J.A., BAKKER R., HAM C.G.L., SMINK J. Generalization to complex stimulus shape of the nerve stimulation threshold based on existing knowledge of its relation to stimulus duration for rectangular stimuli. Proceedings ISMRM, 1999, p. 108 |
| SAUNDERS R.D., SIENKIEWICZ Z.J. and KOWALCZUK C.L. Biological effects of electromagnetic fields and radiation. J. Radiol. Prot., 1991, 11, pp. 27 - 42 |
| BOTTOMLEY P.A. and ANDREW E.R. RF magnetic field penetration, phase shift and power dissipation in biological tissue: Implications for NMR imaging. Phys. Med. Biol., 1978, 23, pp. 630 - 643 |
| SCHENCK J.F. and HUSSAIN M.A. Power deposition during magnetic resonance. The effects of local inhomogeneities and field exclusion. General Electric Corporate Research and development Labs. NMR Project Memo No. 84 - 199, Oct. 17, 1984 |
| GANDHI O.P. and CHEN J.Y. Absorption and Distribution Patterns of RF Fields. Annals of the New York Academy of Sciences, 1992, 649, pp. 131 - 143 |
| GRANDOLFO M., POLICHETTI A., VECCHIA P. and GANDHI O.P. Spatial Distribution of RF Power in Critical Organs during Magnetic resonance Imaging. Annals of the New York: Academy of Sciences, 1992, 649, pp. 176 - 187 |
| GABRIEL C. Localised УПМ in people undergoing NMR imaging. A report prepared for the National Radiological Protection Board, Chilton. Didcot. Oxon. UK. by University Microwave. London, 1989 |
| GRANDOLFO M., VECCHIA P., GANDHI O.P. Magnetic resonance imaging: Calculation of rates of energy absorption by a human-torso model. Bioelectromagnetics, 1990, 11, pp. 117 - 128 |
| ROWELL L.B. Cardiovascular aspects of human thermoregulation. Circ. Res., 1983, 52, p. 367 |
| International Radiation Protection Association (IRPA)/International Non-Ionizing Radiation Committee (INRC)/Protection of the patient undergoing a magnetic resonance examination. Health Physics, 1991, 61, pp. 923 - 928 |
[107] | KENNEY W.L. Physiological correlates of heat intolerance. Sports Med., 1985, 2, pp. 279 - 286 |
[108] | MINARD D. Pre-employment and periodic medical examinations for workers on hot jobs. In DUKESDUBOS F.N. and HENSCHEL A., eds. Proceedings of a NIOSH Workshop on Recommended Heat Stress Standards. Cincinnati. Ohio: U S Department of Health and Human Services. DHSS (NIOSH) 81-108, 1980, pp. 61 - 70 |
| SMITH D.A., CLARREN S.K., HARVEY MAS. Hyperthermia as a possible teratogenic agent. Pediatrics, 1978, 92, pp. 878 - 883 |
| PLEET H., GRAHAM J.M. and SMITH D.W. Central nervous system and facial defects associated with maternal hyperthermia at four to 14 weeks' gestation. Pediatrics, 1981, 67, pp. 785 - 789 |
| ADAIR E.R., and BERGLUND L.G. On the thermoregulatory consequences of NMR imaging. Magn. Reson. Imaging, 1986, 4, pp. 321 - 333 |
| SCHAEFER D.J., BARBER B.J., GORDON C.J., ZIELONKA J. and HECKER J. Thermal effects of magnetic resonance imaging (MRI). In Abstracts: Society of Magnetic Resonance in Medicine. Vol. 2. Berkeley. California: Society of Magnetic Resonance in Medicine, 1985, pp. 925 - 926 |
[113] | KIDO D.K., MORRIS T.W., ERICKSON J.L., PLEWES D.B. and SIMON J.H. Physiologic changes during high field strength MR imaging. Am J Neuroradiol, 1987, 8, pp. 263 - 266 |
[114] | ABART J., BRINKER G., IRLBACHER W., GREBMEIER J. Temperature and heart rate changes in. MRI at УПМ levels of up to 3 W/kg. Abstract. Society for Magnetic Resonance in Medicine, 1989, August, p. 998 |
| SHELLOCK F.G., SCHAEFER D.J., CRUES J.V. Alterations in body and skin temperatures caused by magnetic resonance imaging: is the recommended exposure for radio frequency radiation too conservative, Brit. J. Radiol., 1989, 62, pp. 902 - 909 |
| SCHAEFER D.J. Dosimetry and effects of MR exposure to RF and switched magnetic fields. In MAGIN R.I., LIBURDY R.P. and PERSSON B., eds. Biological Effects and Safety Aspects of Nuclear Magnetic Resonance Imaging and Spectroscopy. The New York Academy of Sciences, 1991, 649, pp. 225 - 236 |
| NIOSH, 1986. Occupational exposure to hot environments. Revised criteria. 1986. National Institute for Occupational Safety and Health. U.S. Dept, of Health and Human Services. DHHS (NIOSH), pp. 86 - 113 |
| ADAIR E.R. and BERGLUND L.G. Thermoregulatory consequences of cardiovascular impairment during NMR imaging in warm/humid environments. Magn. Reson. Imag, 1989, 7, pp. 25 - 37 |
| ADAIR E.R. and BERGLUND L.G. Predicted thermophysiological responses of humans to MRI fields. In MAGIN RL., LIBURDY RP. and PERSSON B., eds. Biological Effects and Safety Aspects of Nuclear Magnetic Resonance Imaging and Spectroscopy. Annals of the New York Academy of Sciences, 1992, 649, pp. 188 - 200 |
| CZERSKI P. and ATHEY T.W. Safety of magnetic resonance in vivo diagnostic examinations: Theoretical and clinical considerations. Rockville. Maryland: Centre for Devices and Radiological Health, 1987 |
| ATHEY T.W. A model of the temperature rise in the head due to magnetic resonance imaging procedures. Magn. Reson. Med., 1989, 9, pp. 177 - 184 |
| BARBER B.J., SCHAEFER D.J., GORDON C.J., ZAWIEJA D.C. and HECKER J. Thermal effects of MR imaging: worst-case studies on sheep. American Journal of Roentgenology, 1990, 155, pp. 1105 - 1110 |
| SCOTT J.A. A finite element model of heat transport in the human eye. Phys. Med. Biol., 1988, 33, pp. 227 - 241. |
[124] | BOTTOMLEY P.A. and EDELSTEIN W.A. Power deposition in whole-body NMR imaging. Med. Phys., 1981, 8, pp. 510 - 512 |
[125] | SHELLOCK F.G. and KANAL E. Magnetic Resonance: Bioeffects, Safety and Patient Management. New York: Lippincot Raven Press, 1996. |
[126] | SCHAEFER D.J. Safety Aspects of Radio Frequency Power Deposition. In Magnetic Resonance. KANAL E., ed. MRI Clinics of North America, 1998, 6(4), p. 775 - 789 |
[127] | SHELLOCK F.G. Pocket Guide to MR Procedures and Metallic Objects: Update 2000. New York: Lippincott Williams and Wilkins, 2000 |
[128] | SCHAEFER D.J. and BOURLAND J.D. Review of Patient Safety in Time-Varying Gradient Fields. J of Magn. Res. Imaging, 2000, 12(1), p. 20 - 29 |
[129] | SHELLOCK F.G., ed. Magnetic Resonance Procedures: Health Effects and Safety. CRC Press, 2001 |
| European Directive on EMF exposure for workers, 2004/40/EC, http://eur-lex.europa.eu/LexUriServ/LexUriServ.do?uri=OJ:L:2004:159:0001:0026:EN:PDF |
| International Commission on Non-Ionizing Radiation Protection (ICNIRP), Guidelines for limiting exposure to time-varying electric, magnetic, and electromagnetic fields (up to 300 GHz). Health Physics, April, 1998, vol. 74, No 4, pp. 494 - 522 |
| International Commission on Non-Ionizing Radiation Protection (ICNIRP). Medical magnetic resonance (MR) procedures: protection of patients. Health Physics, August, 2004, vol. 87, No 2, pp. 197 - 216 |
| International Commission on Non-Ionizing Radiation Protection (ICNIRP), Use of the ICNIRP EMF guidelines. (March 31, 1999), http://www.icnirp.de/documents/Use.htm. p. 2 |
[134] | American Conference of Government and Industrial Hygienists, Threshold Limit Values for Chemical Substances and Physical Agents and Biological Exposure Indices, 1994, p. 89 |
| LEHNINGER A.L. Biochemistry, 1970, Worth, New York, pp. 40 - 41 |
[136] | SCHAEFER D.J. Safety Aspects of Switched Gradient Fields. MRI Clinics of North America, vol. 6, No. 4, November, 1998, p. 743 |
| U.S. Nuclear Regulatory Commission, 10 CFR 20 subpart C, at http://www.nrc.gov/reading-rm/doc-collections/cfr/part020/ |
[138] | NYENHUIS J.A., BOURLAND J.D., KILDISHEV A.V. and SCHAEFER D.J. Health Effects and Safety of Intense MRI Gradient Fields, In Magnetic Resonance Procedures: Health Effects and Safety, edited by F.G. Shellock, CRC Press, 2001, pp. 31 - 54 |
[139] | DEN BOER J.A., BOURLAND J.D., NYENHUIS J.A., HAM C.L.G., ENGELS J.M.L., HEBRANK F.X., FRESE G. AND SCHAEFER D.J. Comparison of the Threshold for Peripheral Nerve Stimulation during Gradient Switching in Whole Body MR SYSTEMS, J. Magn. Reson. Imaging, vol. 15, pp. 520 - 525, 2002 |
| DENEGRE J.M., VALLES JR. J.M., LIN K., JORDAN W.B., MOWRY K.L. Cleavage planes in frog eggs are altered by strong magnetic fields. Proc Natl Acad Sci, 95, 14729-32, 1998 |
| WU D., SHAMSI S., CHEN J., KAINZ W., et al. Evaluations of Specific Absorption Rate and Temperature Increase Within Pregnant Female Models in Magnetic Resonance Imaging Birdcage Coils. Microwave Theory and Techniques, vol. 54, Issue: 12, Part 2: 4472 - 4478, Dec. 2006 |
| ACR Guidance Document for safe MR practises, Amer. Journal of Radiology, June 2007, Vol. 188, pages 1 - 27, or http://www.acr.org/SecondaryMainMenuCategories/quality_safety/MRSafety/safe_mr07.aspx |
| World Health Organization, Environmental health Criteria 232, Static fields, 2006 |
| ASTM standard F2503-05:2005, Standard Practise for Marking Medical Devices and Other items for safety in the Magnetic Resonance Environment |
| CROZIER S., LIU F. Numerical evaluation of the fields induced by body motion in or near high-field MRI scanners. Prog in Biophysics & Molecular Biology, 2005, vol. 87, Nrs 2 - 3, pp. 267 - 278 |
| Medical Electrical Installation Guidance, http://www.mhra.gov.uk/Safety information/General safety information and advice/Technical information/MEIGaN-Medical Electrical Installation Guidance/index.htm |
| GOWLAND P. AND DE WILDE J. Temperature increase in the fetus due to RF exposure during MR scanning, Phys. Med. Biol. 53, 2008, L15 - L18 |
| GLOVER P.M., CAVIN C., QIAN W., BOWTELL R. AND GOWLAND P. Magnetic-Field induced Vertigo: A Theoretical and Experimental Investigation. Bioelectromagnetics 28: 349 - 361, 2007 |
| FUENTES M.A., TRAKIC A., WILSON S.J. AND CROZIER S. Analysis and Measurements of Magnetic Field Exposures for Healthcare Workers in Selected MR environments. IEEE Transactions on Biomedical Engineering, vol. 55, No. 4, p. 1355, 2008 |
| MR Safety special issue, JMRI, vol. 26, 2007 |
| Protection of Patients and Volunteers Undergoing MRI procedures, 2008, publication by the Health Protection Agency, ISBN 978-0-85951-623-5, http://www.hpa.org.uk/webw/HPAweb&HPAwebStandard/HPAweb_C/1222673275443?p=1199451989432 |
| MHRA Device Bulletin, Safety guidelines for MRI equipment in clinical use, 2007 |
| EC study on 4 hospital sites: An investigation into occupational exposure ot electromagnetic fields for personnel with and around medical MRI equipment, 2008 |
| IEEE C95.6: Standard for Safety Levels with Respect to Human Exposure to Electromagnetic Fields (0-3 kHz). New York: IEEE, 2002 |
| HOULT D.I. The Principle of Reciprocity in Signal Strength Calculations-A Mathematical Guide, Concepts. In Magnetic Resonance, Part A, Wiley Periodicals, vol. 12, pp. 173 - 187, 2000. |
| MRI Design Guide as published by the Department of Veterans Affairs. http://www.va.gov/facmgt/standard/dguide/mri/mri01.pdf |
| COLLINS C.M., MAO W., LIU W. and SMITH M.B. Calculated Local and Average SAR in Comparison with Regulatory Limits. 14th Scientific Meeting and Exhibition held in Seattle, WA USA, 6 - 12 May, 2006, p. 2044 |
[158] | DEN BOER J., ATALAR E., SZIMTENINGS M., KLEIHORST R., ENGELS H. ISMRM Safety Workshop, 2005 |
| NADOBNY J., BRINKER G., DIEHL D., STETTER E., SZIMTENINGS M. and WUST P. Evaluation of MR-induced hot spots for different temporal SAR modes using a time-dependent finite difference method with explicit temperature gradient treatment. IEEE Trans Biomed Eng 54 (10) Oct., 2007, pp. 1837 - 1850 |
| ELLIS R.R. and ELLINGSON R.J. Responses to electrical stimulation of the median nerve in the human newborn. Developmental Psychobiology, vol. 6 Issue 3, pp. 235 - 244, Published Online: 13 Oct., 2004 |
| SHELLOCK F.G., CRUES J.V. Temperature, heart rate and blood pressure changes associated with clinical imaging at 1./5T. Radiology, 163, 1987, pp. 259 - 262 |
| International Commission on Non-Ionizing Radiation Protection (ICNIRP), Guidelines on limits of exposure to static magnetic fields. Health Physics, 2009, vol. 96, Nr. 4, p. 504 |
| HAND J.F., LI Y., THOMAS E.L., RUTHERFORD M.A. and HAJNAL J.V. Prediction of Specific Absorption Rate in mother and fetus associated with MRI examinations during pregnancy. Magnetic resonance in Medicine, 2006, 55, p. 883 |
| WANG Z., LIN J.C., MAO W., LIU W., SMITH M.B. and Collins C.M. SA and temperature: Simulations and comparison of regulatory limits for MRI. Journal of magnetic resonance, 2007, 26, p. 437 |
[165] | CEI 60364-7-710, Installations electriques des bitiments - Partie 7-710: Regies pour les installations ou emplacements speciaux - Locaux & usages medicaux |
[166] | ISO 7731:2003, Symboles graphiques - Couleurs de security et signaux de securite - Signaux de securite utilises sur les lieux de travail et dans les lieux publics Amendement 3 (2007) |
Алфавитный указатель терминов
БЕЗОПАСНОСТЬ ОБЩАЯ | МЭК 60601-2, 3.10 |
БЛОК ГРАДИЕНТНЫЙ | |
B1+RMS | |
ВРЕД | МЭК 60601-1, 3.38 |
ВЫХОД ГРАДИЕНТНЫЙ | |
ДЛИТЕЛЬНОСТЬ СТИМУЛЯЦИИ ЭФФЕКТИВНАЯ | |
ДОКУМЕНТЫ СОПУТСТВУЮЩИЕ | МЭК 60601-1, 3.4 |
ЗНАЧЕНИЕ НОМИНАЛЬНОЕ | МЭК 60601-1, 3.69 |
ИЗГОТОВИТЕЛЬ | МЭК 60601-1, 3.55 |
ИЗДЕЛИЕ МЕДИЦИНСКОЕ ЭЛЕКТРИЧЕСКОЕ (ME ИЗДЕЛИЕ) | МЭК 60601-1, 3.63 |
ИЗОЦЕНТР | |
ИСПОЛЬЗОВАНИЕ ПО НАЗНАЧЕНИЮ | МЭК 60601-1, 3.44 |
ИССЛЕДОВАНИЕ МАГНИТНО-РЕЗОНАНСНОЕ (МР ИССЛЕДОВАНИЕ) | |
ИСТОЧНИК ПИТАНИЯ | МЭК 60601-1, 3.20 |
КАТУШКА ИССЛЕДОВАТЕЛЬСКАЯ | |
КВЕНЧ | |
КОНТРОЛЬ МЕДИЦИНСКИЙ | |
КОЭФФИЦИЕНТ ПОГЛОЩЕНИЯ УДЕЛЬНЫЙ (УКП) | |
МАГНИТ ДЛЯ ВСЕГО ТЕЛА | |
МАГНИТ С ПОПЕРЕЧНЫМ ПОЛЕМ | |
МОНИТОРИНГ | |
МР ИССЛЕДОВАНИЕ ИНТЕРВЕНЦИОННОЕ | |
ОБЛАСТЬ КОНТРОЛИРУЕМОГО ДОСТУПА | |
ОБОРУДОВАНИЕ МАГНИТНО-РЕЗОНАНСНОЕ (МР ОБОРУДОВАНИЕ) | |
ОБОРУДОВАНИЕ МАГНИТНО-РЕЗОНАНСНОЕ ДЛЯ ВСЕГО ТЕЛА (МР ОБОРУДОВАНИЕ ДЛЯ ВСЕГО ТЕЛА) | |
ОБЪЕМ КОНТРОЛИРУЕМЫЙ | |
ОПАСНОСТЬ | МЭК 60601-1, 3.39 |
ОПЕРАТОР | МЭК 60601-1, 3.73 |
ОРГАНИЗАЦИЯ ОТВЕТСТВЕННАЯ | МЭК 60601-1, 3.1 |
ПАЦИЕНТ | МЭК 60601-1, 3.76 |
ПУЛЬТ УПРАВЛЕНИЯ | МЭК/ТО 60788-2, Rm-83-02 |
РЕЖИМ КОНТРОЛЯ ВТОРОГО УРОВНЯ | |
РЕЖИМ КОНТРОЛЯ ПЕРВОГО УРОВНЯ | |
РЕЖИМ РАБОТЫ НОРМАЛЬНЫЙ | |
РЕЗОНАНС МАГНИТНЫЙ (МР) | |
РИСК | МЭК 60601-1, 3.2 |
РЧ КАТУШКА ДЛЯ ГОЛОВЫ ПЕРЕДАЮЩАЯ | |
РЧ КАТУШКА ЛОКАЛЬНАЯ ПЕРЕДАЮЩАЯ | |
РЧ КАТУШКА ОБЪЕМНАЯ ПЕРЕДАЮЩАЯ | |
РЧ КАТУШКА ПЕРЕДАЮЩАЯ ДЛЯ ВСЕГО ТЕЛА | |
СИСТЕМА АВАРИЙНОГО ОТКЛЮЧЕНИЯ МАГНИТНОГО ПОЛЯ | |
СИСТЕМА МАГНИТНО-РЕЗОНАНСНАЯ (МР СИСТЕМА) | |
СИСТЕМА МЕДИЦИНСКАЯ ЭЛЕКТРИЧЕСКАЯ (ME СИСТЕМА) | МЭК 60601-1, 3.64 |
СИСТЕМА СПЕЦИАЛЬНАЯ ГРАДИЕНТНАЯ | |
СИСТЕМА ГРАДИЕНТНАЯ ДЛЯ ВСЕГО ТЕЛА | |
СИТУАЦИЯ ОПАСНАЯ | МЭК 60601-1, 3.40 |
СКОРОСТЬ ИЗМЕНЕНИЯ МАГНИТНОГО ПОЛЯ (dB/dt) | |
СКОРОСТЬ НАРАСТАНИЯ ГРАДИЕНТА МАКСИМАЛЬНАЯ | |
СОТРУДНИК, РАБОТАЮЩИЙ С МАГНИТНО-РЕЗОНАНСНОЙ СИСТЕМОЙ (МР СОТРУДНИК) | |
ТЕМПЕРАТУРА ТЕЛА | |
ТЕМПЕРАТУРА ОКРУЖАЮЩЕЙ СРЕДЫ | |
ТОК В ЦЕПИ ПАЦИЕНТА ДОПОЛНИТЕЛЬНЫЙ | МЭК 60601-1, 3.77 |
ТОК УТЕЧКИ НА ПАЦИЕНТА | МЭК 60601-1, 3.80 |
УКП ВСЕГО ТЕЛА | |
УКП ГОЛОВЫ | |
УКП ЛОКАЛЬНЫЙ | |
УКП ЧАСТИ ТЕЛА | |
УРОВЕНЬ ВОЗБУЖДЕНИЯ ПНС (ВПНС) | |
УРОВЕНЬ ВПНС ПОРОГОВЫЙ | |
ХАРАКТЕРИСТИКИ ФУНКЦИОНАЛЬНЫЕ | МЭК 60601-1, 3.27 |