Главная // Актуальные документы // ГОСТ (Государственный стандарт)СПРАВКА
Источник публикации
М.: Стандартинформ, 2015
Примечание к документу
Документ утратил силу с 01.12.2023 в связи с изданием
Приказа Росстандарта от 29.09.2023 N 1007-ст. Взамен введен в действие
ГОСТ 32974.2-2023.
Документ включен в
Перечень международных и региональных (межгосударственных) стандартов, а в случае их отсутствия - национальных (государственных) стандартов, содержащих правила и методы исследований (испытаний) и измерений, в том числе правила отбора образцов, необходимые для применения и исполнения требований технического
регламента Таможенного союза "О безопасности машин и оборудования" (ТР ТС 010/2011) и осуществления оценки соответствия объектов технического регулирования (
Решение Коллегии Евразийской экономической комиссии от 09.03.2021 N 28).
Текст данного документа приведен с учетом
поправки, введенной в действие с 12.10.2021, опубликованной в "ИУС", N 3, 2022.
Документ
введен в действие с 01.09.2015.
Название документа
"ГОСТ 32974-2014 (ISO 21360-2:2012). Межгосударственный стандарт. Вакуумная технология. Стандартные методы измерения характеристик вакуумных насосов. Часть 2. Вакуумные насосы объемного действия"
(введен в действие Приказом Росстандарта от 27.05.2015 N 449-ст)
"ГОСТ 32974-2014 (ISO 21360-2:2012). Межгосударственный стандарт. Вакуумная технология. Стандартные методы измерения характеристик вакуумных насосов. Часть 2. Вакуумные насосы объемного действия"
(введен в действие Приказом Росстандарта от 27.05.2015 N 449-ст)
по техническому регулированию
и метрологии
от 27 мая 2015 г. N 449-ст
МЕЖГОСУДАРСТВЕННЫЙ СТАНДАРТ
ВАКУУМНАЯ ТЕХНОЛОГИЯ
СТАНДАРТНЫЕ МЕТОДЫ ИЗМЕРЕНИЯ
ХАРАКТЕРИСТИК ВАКУУМНЫХ НАСОСОВ
ЧАСТЬ 2
ВАКУУМНЫЕ НАСОСЫ ОБЪЕМНОГО ДЕЙСТВИЯ
Vacuum technology. Standard methods for measuring
vacuum-pump performance. Part 2. Positive displacement
vacuum pumps
(ISO 21360-2:2012, MOD)
ГОСТ 32974-2014
(ISO 21360-2:2012)
Дата введения
1 сентября 2015 года
Цели, основные принципы и основной порядок проведения работ по межгосударственной стандартизации установлены
ГОСТ 1.0-92 "Межгосударственная система стандартизации. Основные положения" и
ГОСТ 1.2-2009 "Межгосударственная система стандартизации. Стандарты межгосударственные, правила и рекомендации по межгосударственной стандартизации. Правила разработки, принятия, применения, обновления и отмены"
1 ПОДГОТОВЛЕН Открытым акционерным обществом "Вакууммаш" (ОАО "Вакууммаш") на основе собственного аутентичного перевода на русский язык международного стандарта, указанного в
пункте 5
2 ВНЕСЕН Межгосударственным техническим комитетом по стандартизации МТК 249 "Вакуумная техника"
3 ПРИНЯТ Межгосударственным советом по стандартизации, метрологии и сертификации (протокол от 20 октября 2014 г. N 71-П)
За принятие проголосовали:
Краткое наименование страны по МК (ИСО 3166) 004-97 | Код страны по МК (ИСО 3166) 004-97 | Сокращенное наименование национального органа по стандартизации |
Армения | AM | Минэкономики Республики Армения |
Беларусь | BY | Госстандарт Республики Беларусь |
Казахстан | KZ | Госстандарт Республики Казахстан |
Киргизия | KG | Кыргызстандарт |
Россия | RU | Росстандарт |
Таджикистан | TJ | Таджикстандарт |
4
Приказом Федерального агентства по техническому регулированию и метрологии от 27 мая 2015 г. N 449-ст межгосударственный стандарт ГОСТ 32974-2014 (ISO 21360-2:2012) введен в действие в качестве национального стандарта Российской Федерации с 1 сентября 2015 г.
5 Настоящий стандарт модифицирован по отношению к международному стандарту ISO 21360-2:2012 Vacuum technology - Standard methods for measuring vacuum-pump performance - Part 2: Positive displacement vacuum pumps (Вакуумная технология. Стандартные методы измерения характеристик вакуумных насосов. Часть 2. Вакуумные насосы объемного действия), путем внесения дополнительных положений, что обусловлено необходимостью учета потребностей национальной экономики и особенностей российской национальной стандартизации.
Дополнительные положения и требования, а также сноски, включенные в текст настоящего стандарта для учета потребностей национальной экономики и особенностей российской национальной стандартизации, выделены курсивом.
Международный стандарт разработан техническим комитетом по стандартизации ISO/TC 112 "Вакуумная техника" международной организации по стандартизации (ISO).
Перевод с английского языка (en).
Официальные экземпляры международного стандарта, на основе которого подготовлен настоящий межгосударственный стандарт, имеются во ФГУП "Стандартинформ".
Степень соответствия - модифицированная (MOD)
6 ВВЕДЕН ВПЕРВЫЕ
Информация об изменениях к настоящему стандарту публикуется в ежегодном информационном указателе "Национальные стандарты" (по состоянию на 1 января текущего года), а текст изменений и поправок - в ежемесячном информационном указателе "Национальные стандарты". В случае пересмотра (замены) или отмены настоящего стандарта соответствующее уведомление будет опубликовано в ежемесячном информационном указателе "Национальные стандарты". Соответствующая информация, уведомление и тексты размещаются также в информационной системе общего пользования - на официальном сайте Федерального агентства по техническому регулированию и метрологии в сети Интернет
Настоящий стандарт содержит требования и информацию по методам измерения технических характеристик вакуумных насосов объемного действия. Настоящий стандарт дополняет
[1], в котором приведены общие положения по измерению характеристик вакуумных насосов.
Приведенные в этом документе методы широко применяются в существующих международных стандартах. Цель настоящего стандарта - объединить соответствующие методы измерения технических характеристик вакуумных насосов объемного действия. Настоящий стандарт является приоритетным в случае возникновения противоречий с
[1].
Целью настоящего стандарта является установление минимальных требований к поставщику/изготовителю, которые должны соблюдаться им для заявления о соответствии настоящему стандарту.
Международный стандарт ISO 21360 состоит из следующих частей под общим наименованием "Вакуумная технология. Стандартные методы измерения характеристик вакуумных насосов":
- Часть 1. Общие положения;
- Часть 2. Вакуумные насосы объемного действия.
Пользователи настоящего стандарта должны учитывать, что помимо требований, предусмотренных настоящим стандартом, для индивидуальных случаев применения могут потребоваться дополнительные требования. Настоящий стандарт не запрещает поставщику/изготовителю предлагать, а пользователю/заказчику использовать альтернативное оборудование или инженерные решения. Это может в частности быть применимо к инновационным и разрабатываемым технологиям. Если предлагаются альтернативные технологии, то поставщик/изготовитель несут ответственность за указание любых отклонений от требований данного стандарта и сообщение подробностей.
В настоящий стандарт внесено следующее редакционное изменение: введен
раздел 5 "Требования безопасности", изменение выделено курсивом.
Настоящий стандарт распространяется на механические вакуумные насосы объемного действия (далее - насосы).
Стандарт устанавливает требования к методикам измерений быстроты действия, базового давления, наибольшего давления паров воды, потребляемой мощности и минимальной температуры запуска насосов объемного действия, которые осуществляют выхлоп газа при атмосферном давлении, с предельным давлением обычно менее 10 кПа.
В настоящем стандарте необходимо использовать определения быстроты действия и базового давления, приведенные в
[1].
Настоящий стандарт также применяется при проведении испытаний других типов насосов, выпускающих газ при атмосферном давлении.
В настоящем стандарте применены термины по
[1], а также следующие термины с соответствующими определениями:
2.1 газобалластное устройство (gas ballast device): Устройство напуска газа или воздуха в рабочий объем насоса.
2.2
наибольшее давление паров воды 
(water vapour tolerance): Максимальное давление водяных паров, проходящих через насос без образования конденсата.
Примечание - В случае отсутствия проблем с конденсацией водяных паров, например, при использовании установки для разделения масла и воды, максимальное давление водяных паров является допустимым.
2.3 производительность по водяным парам (water vapour capacity): Количество воды, которое может проходить через насос без образования конденсата за единицу времени.
2.4 рабочий объем Vsw (swept volume): Объем газа, проходящий через насос за один цикл.
2.5 давление насыщенных паров ps (saturation vapour pressure): Давление, создаваемое паром чистого химического вещества, находящегося в равновесном состоянии с конденсированной фазой (жидкой или твердой, или в обеих) в закрытой системе.
Примечание - Для каждого вещества давление насыщенных паров зависит от температуры.
2.6 температура насыщенного водяного пара (water vapour saturation temperature): Температура, соответствующая давлению насыщенных водяных паров.
2.7 энергия сжатия (compression energy): Энергия, необходимая для сжатия объема газа.
В настоящем стандарте применены следующие условные обозначения:

- коэффициент повышения давления при открытии выпускного клапана

- относительная влажность воздуха, %
к - показатель адиабаты
L - энергия молярного испарения, Дж/моль
P0 - потребляемая мощность насоса при предельном остаточном давлении с указанной частотой вращения, Вт
P0B - потребляемая мощность насоса при предельном остаточном давлении с указанной частотой вращения с максимально открытым газобалластным устройством, Вт
Pmax - максимальная потребляемая мощность насоса с указанной частотой вращения, Вт
p0 - атмосферное давление, Па
p2 - парциальное давление воздуха в выхлопном газе, Па
pa - парциальное давление водяного пара в атмосферном воздухе, Па
pB - парциальное давление воздуха в атмосфере, Па

- наибольшее давление паров воды, Па
ps - давление насыщенного водяного пара, Па

- давление насыщенного водяного пара при температуре
T0, Па
qV - быстрота действия насоса, м3/с
qVB - расход воздуха через газобалластное устройство, м3/с
R - универсальная газовая постоянная: R = 8,3143, Дж/(моль·К)
T0 - температура, соответствующая

, К
T1 - температура окружающей среды, °C
T2 - температура выхлопных газов насоса, °C
T20 - температура выхлопных газов при нулевой производительности, К
T2cr - скорректированное значение температуры выхлопных газов насоса, К
T2s - температура насыщенных выхлопных газов, зависящая от давления на входе p1, К
V2 - объем сжимаемого газа, м3
VB - рабочий объем газобалластного устройства, м3
Vsw - рабочий объем, м3
Wad - энергия адиабатического сжатия, Дж

- энергия адиабатического сжатия для водяных паров, Дж
Wada - энергия адиабатического сжатия для воздуха, Дж
Wcr - поправочный коэффициент для температуры выхлопных газов насоса.
4.1 Измерение быстроты действия
4.1.1 Методика проведения измерений
Методики проведения измерений быстроты действия насоса приведены в
[1], подразделы 5.1 и 5.3. Для измерения быстроты действия должны применяться методика постоянного потока или методика постоянного объема. Если не указаны иные, то следует использовать указания и экспериментальные установки, приведенные в
[1].
4.1.2 Методика постоянного потока
Стандартной методикой является методика постоянного потока. Она может быть использована для всех насосов, на которые распространяется настоящая часть стандарта.
Для роторных насосов плунжерного типа и пластинчато-статорных вакуумных насосов объем измерительной камеры должен быть не менее 2Vsw, где Vsw - рабочий объем.
Для других типов вакуумных насосов объем измерительной камеры должен быть не менее 5
Vsw. Тип измерительной камеры должен соответствовать
[1].
Если диаметр входного фланца
DN менее внутреннего диаметра
D измерительной камеры для вакуумных насосов объемного действия, то переход к входному фланцу насоса производится с помощью конического переходника на 45°, как показано на рисунке 1
[1].
4.1.3 Методика постоянного объема
Методика постоянного объема подходит для насосов малой производительности (например, до 0,01 м3/с), так как требуется большая измерительная камера. Объем измерительной камеры должен быть более, чем предполагаемая максимальная быстрота действия, м3/с, умноженная на 120 с.
Подсоединяют насос к экспериментальной установке и запускают его. Перед началом измерений насос должен проработать до достижения им обычной рабочей температуры. Частота вращения не должна отличаться от номинальной более чем на +/- 3%.
Если испытуемый насос использует газобалластное устройство, то быстрота действия должна измеряться сначала без, а затем с газобалластным устройством.
Температура окружающей среды - в соответствии с
[1].
4.2 Измерение базового давления
Измерение базового давления приведено в
[1], подраздел 5.4. Измерение осуществляется на экспериментальной установке, указанной в
[1], раздел 5. Измерение сначала проводится без, а потом - с газобалластным устройством. Измерения можно проводить в любой последовательности, если это не оказывает влияния на результат измерений.
4.3 Измерение наибольшего давления паров воды
Наибольшее давление паров воды определяется как максимальное давление чистых водяных паров на входе в насос. Существует несколько методик измерения наибольшего давления паров воды (Па). Пример методики измерения наибольшего давления паров воды приведен в
приложении А.
Также существует несколько методик измерений производительности по водяным парам (кг/с). Пример преобразования значения наибольшего давления паров воды в значение производительности по водяным парам указан в
[2] (стр. 331).
См. также
[2] (стр. 329 - 333) и
[3] (стр. 60).
4.4 Измерение потребляемой мощности
Потребление мощности насосом зависит от значения впускного давления и изменяется при использовании газобалластного устройства. Потребляемая мощность должна измеряться при следующих условиях: при измерении предельного давления насоса с газобалластным устройством и без него, и при максимальной потребляемой мощности на соответствующем впускном давлении. Максимальная потребляемая мощность достигается тогда, когда насос работает при максимальной необходимой электрической мощности.
Примечание - Существует ряд насосов, которые не могут постоянно работать при максимальной потребляемой мощности.
Частота вращения должна находиться в диапазоне, устанавливаемом производителем. Если нет ограничений, то она не должна отклоняться от указанной частоты вращения более чем на +/- 3%.
Устанавливают устройство измерения потребляемой электрической мощности между источником питания и насосом. Измеряют реальную потребляемую мощность с использованием этого устройства. Если насос имеет электронный источник питания, то допускается установка частотных фильтров.
Сначала насос, заполненный рабочей жидкостью, указанной производителем, должен работать в течение 1 ч, как с закрытым впускным клапаном, так и с закрытым клапаном газобалластного устройства. Измерение потребляемой мощности проводят три раза в течение 15 мин. Потребляемая мощность для базового давления P0 является среднеарифметическим от этих трех значений.
После того как насос достиг состояния температурного равновесия, измеряют потребляемую мощность при базовом давлении для указанного диапазона непрерывной работы с газобалластным устройством P0B при открытом клапане газобалластного устройства. Измерение потребляемой мощности проводят три раза в течение 15 мин. Потребляемая мощность для базового давления с открытым клапаном газобалластного устройства P0B является среднеарифметическим от этих трех значений.
После этого насос должен работать в течение периода, указанного производителем. Затем измеряют максимальную потребляемую мощность в типичных рабочих режимах и при разной частоте вращения, включая режим максимальной потребляемой мощности. Измеряют потребляемую мощность три раза в течение 15 мин. Максимальная потребляемая мощность Pmax является максимальной от этих трех измерений. Если указывается диапазон давлений, измеряют Pmax, в указанном диапазоне.
Значение тока следует измерять так же, как и потребляемую мощность.
4.5 Минимальная температура запуска
Минимальная температура запуска - это температура, при которой двигатель запускает насос при атмосферном давлении на входе. Охлаждают вакуумный насос, заполненный рабочей жидкостью, указанной производителем, до самой низкой температуры запуска, указанной производителем. Если минимальная температура запуска не указана, охлаждают до температуры 12 °C. Перед началом запуска измеряют температуру насоса. Если используется какое-либо электронное оборудование, подключенное к насосу, то следует удостовериться, что на его компонентах не конденсируется влага.
Затем запускают насос, он должен набрать 80% своей номинальной частоты вращения в течение 10 мин.
Для насосов, запуск которых осуществляется под вакуумом на входе насоса, температура запуска должна быть не более 18 °C.
4.6 Погрешности измерения
Погрешности измерения определяются в соответствии с
[1].
5 Требования безопасности
При проведении измерений необходимо соблюдать предъявляемые к вакуумным насосам требования безопасности, которые изложены в [4].
(справочное)
ИЗМЕРЕНИЕ НАИБОЛЬШЕГО ДАВЛЕНИЯ ПАРОВ ВОДЫ
А.1 Измерение наибольшего давления паров воды
А.1.1 Общие положения
В случае, когда пары, в особенности - водяные, проходят через вакуумный насос, они могут конденсироваться внутри него до того момента, когда выпускной клапан откроется и выпустит их в атмосферу. Конденсат смешивается с рабочей жидкостью внутри насоса и повторно испаряется в процессе всасывания насоса. Это приводит к возрастанию базового давления насоса и может вызвать коррозию. Для того, чтобы избежать появления конденсата, воздух или иной неконденсирующийся газ подается в насос через особый канал в газобалластном устройстве, который может закрываться клапаном.
Откачка насосом водяных паров может привести к увеличению потребляемой мощности и повышению температуры некоторых типов насосов, что ведет к возрастанию давления насыщенных паров, которое определяет значение наибольшего давления паров воды.
Использование водяных паров для измерений - это прямой метод, который может привести к незаметной конденсации воды внутри насоса. Поэтому в настоящем стандарте для насосов с масляным уплотнением вместо водяных паров используется сухой воздух. Повышение температуры насоса вызвано использованием эквивалентного расхода воздуха для определения температуры выхлопных газов насоса. Температура выхлопных газов насоса измеряется в зависимости от значения давления на входе p1. Разница мощностей, необходимых для сжатия трехатомных молекул воды и двухатомных молекул воздуха, вызывает необходимость коррекции повышения температуры, вызванной наличием воздуха.
А.1.2 Установка для испытаний
1 - измерительная камера (относится к режиму испытания
методикой постоянного потока по
[1] пункт 5.1.2);
2 - расходомер [измерение расхода воздуха передаваемого
через газобалластное устройство: B (pB + pa)];
3 - испытуемый насос; 4 - клапан напуска газа; 5 - гигрометр
(для измерения относительной влажности

);
6 - вакуумметр
(для измерения впускного давления p1); 7 - термометр
для измерения температуры выхлопных газов насоса;
8 - манометр для измерения выпускного давления; 9 - манометр
для измерения атмосферного давления
Рисунок А.1 - Схема установки для измерения наибольшего
давления паров воды
1 - точка измерения температуры T2; 2 - вакуумметр
для измерения давления на выходе из насоса;
D - внутренний диаметр трубы; a - от 0 до 0,5D
Рисунок А.2 - Угловой патрубок для измерения температуры
и давления на выходе из насоса (пример)
А.1.3 Определение наибольшего давления паров воды
Формула для определения наибольшего давления паров воды

(А.1)
Подстановка коэффициентов 1 + (
pa/
pB) и

равных 1, приводит к широко используемой
формуле (А.2)

. (А.2)
Для получения большей точности
формула (А.1) используется следующим образом:
Значения
qVB,
qV,

,
p0,
pB и
pa могут измеряться непосредственно, в отличие от значения давления насыщенных водяных паров
ps. Так как вместо водяных паров используется воздух, то температуру выхлопных газов насоса
T2 измеряют при различных значениях давления на входе
p1. В течение того времени, пока в насосе происходит сжатие, теплообмен с окружающей средой не происходит. Это означает, что сжатие является адиабатическим. Разные показатели адиабаты
k для воздуха и водяных паров обуславливают то, что потребляемая мощность, необходимая для сжатия, будет разной.
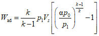
Формула (А.3) для энергии адиабатического сжатия (см.
[2], стр. 249):

. (А.3)
Повышение температуры выхлопных газов насоса происходит пропорционально потребляемой мощности, необходимой для сжатия, и отличается для воздуха и водяного пара. В результате значение измеренной температуры выхлопных газов насоса
T2 следует скорректировать с использованием коэффициента

.
Соотношение между давлением насыщенных водяных паров
ps и его соответствующей температуры
T2s определяют по
формуле (А.4)

, (А.4)
где L - энергия молярного испарения;
R - универсальная газовая постоянная;
T0,

- два значения из уравнения для водяных паров, см.
приложение В (например,
T0 = 323 К и

).
Значение T0 следует выбирать близким к диапазону температур насоса.
В
формуле (А.1) значение

можно заменить значением давления на входе
p1

(А.5)

(А.6)

(А.7)
которое показывает соотношение между впускным давлением p1 и температурой насыщенных выхлопных газов T2s. Таким образом, можно получить кривую температуры насыщенных выхлопных газов в зависимости от впускного давления.
ВАЖНО: Формула (А.7) действительна только для постоянного значения энергии молярного испарения в используемом диапазоне температур.
На данном этапе обе кривые, кривую измеренной температуры выхлопных газов насоса
T2(
p1) и расчетную кривую температуры насыщенных выхлопных газов
T2s(
p1), можно нанести на график (см.
рисунок А.3).
1 - температура выхлопных газов испытуемого насоса T2;
2 - скорректированное значение температуры выхлопных газов
испытуемого насоса T2cr; 3 - температура насыщенных
выхлопных газов T2s; T - температура выхлопных газов;
p - давление насыщенных водяных паров;

- значение
наибольшего давления паров воды
Рисунок А.3 - График зависимости температуры выхлопных газов
и температуры насыщенных водяных паров
от впускного давления (пример)
А.1.4 Методика измерения
До начала измерения необходимо стабилизировать температуру насоса. Для этого насос должен проработать с таким расходом газа, чтобы значения впускного давления были приблизительно равны предполагаемому наибольшему давлению паров воды

, при этом клапан газобалластного устройства должен быть открыт.
На
рисунке А.1 показана установка для испытаний. Сначала насос должен работать с закрытым клапаном для впуска газа и открытым клапаном газобалластного устройства до тех пор, пока рост температуры не станет менее 0,5 К в течение 15 мин. Затем измеряют температуру выхлопных газов
T20 и расход газобалластного устройства
qVB(
pB +
pa), поддерживают их значения на постоянном уровне в течение всех последующих измерений. На вход насоса подают сухой воздух, давление
p1 устанавливают с помощью впускного клапана, а затем измеряют значение установившейся температуры выхлопных газов насоса
T2. Повторяют это действие не менее чем для четырех разных значений впускного давления. Из них хотя бы одно значение должно быть выше, чем предполагаемое наибольшее давление паров воды.
Затем измеряют следующие величины: температуру окружающей среды
T1, которая должна находиться в пределах, указанных в
[1]; атмосферное давление
p0; относительную влажность

окружающей среды (воздуха) в процентах.
Предварительно следует измерить значение быстроты действия насоса
qV (см.
раздел 4). К измерениям можно приступать только тогда, когда атмосферное давление
p0 < 107 кПа. Разница между парциальным давлением воздуха в выхлопном газе
p2 и атмосферным давлением должна быть +/- 1 кПа.
А.1.5 Оценка измерения
Измеренные значения температуры
T2 следует уменьшить на коэффициент адиабатического сжатия [указывается в
формуле (А.3)] для водяных паров

, при
k = 1,3333, и воздуха
Wada при
k = 1,4. Поправочный коэффициент
Wcr определяют по формуле

. (А.8)
Таблица А.1
| |
1000 | 0,8497 |
200 | 0,8875 |
100 | 0,9034 |
50 | 0,9189 |
20 | 0,9389 |
10 | 0,9535 |
Значение T20 вычитают из значений T2, измеренных при впускных давлениях p1, а полученную разницу умножают на значение Wcr. Затем скорректированное значение разницы температур прибавляют к T20, что можно представить в виде формулы
T2cr = Wcr(T2 - T20) + T20. (А.9)
T2cr - скорректированное значение температуры выхлопных газов насоса для водяного пара по отношению к
p1 наносят на график, пример которого приведен на
рисунке А.3.
Для построения кривой температуры насыщенных выхлопных газов
T2s(
p1) на первом этапе подставляют в
формулу (А.6) измеренные значения
p1,
qVB, и
p0, при этом получают давление насыщенного водяного пара
ps.
С учетом содержания водяных паров атмосферное давление p0 может быть получено из формулы
p0 = pB + pa.
Измеряют относительную влажность

в процентном соотношении от давления насыщенных водяных паров. Парциальное давление водяных паров составляет

.
В
таблице В.1 приведены значения
ps(
T1). Таким образом:
pB =
p0 -
pa. Коэффициент

может быть принят приблизительно равным 1,1. Имея эти данные, значение
ps вычисляют с помощью
формулы (А.6) для всех значений впускного давления
p1.
На втором этапе необходимо вычислить значения температуры насыщенных выхлопных газов
T2s с помощью
формулы (А.7), подставляя значения давления насыщенного водяного пара
ps из
формулы (А.6). Устанавливают значение
T0 на 323 К; а соответствующее давление

насыщенного водяного пара при температуре
T0 - 12,34 кПа. В критическом диапазоне температур от 50 °C до 100 °C значение энергии молярного испарения
L составляет 41922 Дж/моль, а универсальная газовая постоянная
R = 8,3143 Дж/(К·моль).
Рассчитанные таким образом значения температур насыщенных газов по отношению к впускному давлению
p1 нанесите на график, пример которого приведен на
рисунке А.3. Абсцисса точки пересечения этих двух кривых и дает наибольшее давление паров воды

.
А.1.6 Погрешность измерений
На точность измерения наибольшего давления паров воды

могут оказывать влияние следующие параметры:
а) температура окружающей среды T1;
б) атмосферное давление p0;
в) коэффициент повышения давления при открытии выпускного клапана

;
г) энергия молярного испарения L;
д) содержание воды в воздухе напускаемого в измерительную камеру;
е) температура выхлопных газов насоса T2;
ж) скорректированное значение температуры выхлопных газов насоса T2cr; а также все другие величины, использованные в указанных выше формулах.
(справочное)
РАСЧЕТ НАИБОЛЬШЕГО ДАВЛЕНИЯ ПАРОВ ВОДЫ
Расчет потока пара на входе в насос за один цикл хорошо аппроксимируется законами для идеального газа:

. (Б.1)
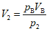
Закон Бойля - Мариотта воздушного газобалластного устройства:
pBVB = p2V2.
Таким образом следует:

.
Давление открытия выпускного клапана:

. (Б.2)
Подставляем значения p2 и V2:

(Б.3)
Отсюда следует:

, (Б.4)
или

(Б.5)
Формула для расчета наибольшего давления паров воды (см.
[2] стр. 247):

. (Б.6)
Формула (Б.5) содержит коэффициенты: 1 + (
pa/
pB), который приблизительно равен 1, и

, тогда как
формула (Б.6) их не содержит. Для расчета достаточно учитывать два этих коэффициента.
(справочное)
ДАВЛЕНИЕ НАСЫЩЕННЫХ ВОДЯНЫХ ПАРОВ
Таблица В.1
Давление насыщенных водяных паров
T0, К |  , Па |
273 | 603,6 |
274 | 649,1 |
275 | 697,5 |
276 | 749,1 |
277 | 804,0 |
278 | 862,4 |
279 | 924,6 |
280 | 990,7 |
281 | 1060,9 |
282 | 1135,4 |
283 | 1214,6 |
284 | 1298,5 |
285 | 1387,5 |
286 | 1481,8 |
287 | 1581,7 |
288 | 1687,5 |
289 | 1799,4 |
290 | 1917,7 |
291 | 2042,9 |
292 | 2175,1 |
293 | 2314,8 |
294 | 2462,2 |
295 | 2617,8 |
296 | 2782,0 |
297 | 2955,0 |
298 | 3137,4 |
299 | 3329,5 |
300 | 3531,8 |
301 | 3744,7 |
302 | 3968,7 |
303 | 4204,3 |
304 | 4452,0 |
305 | 4712,3 |
306 | 4985,6 |
307 | 5272,7 |
308 | 5573,9 |
309 | 5889,9 |
310 | 6221,4 |
311 | 6568,9 |
312 | 6933,0 |
313 | 7314,5 |
314 | 7714,0 |
315 | 8132,1 |
316 | 8569,7 |
317 | 9027,4 |
318 | 9506,0 |
319 | 10006,3 |
320 | 10529,0 |
321 | 11075,1 |
322 | 11645,3 |
323 | 12240,6 |
324 | 12861,8 |
325 | 13509,7 |
326 | 14185,5 |
327 | 14889,9 |
328 | 15624,1 |
329 | 16389,0 |
330 | 17185,6 |
331 | 18015,0 |
332 | 18878,4 |
333 | 19776,8 |
334 | 20711,4 |
335 | 21683,3 |
336 | 22693,6 |
337 | 23743,8 |
338 | 24834,9 |
339 | 25968,2 |
340 | 27145,1 |
341 | 28367,0 |
342 | 29635,1 |
343 | 30950,9 |
344 | 32315,7 |
345 | 33731,1 |
346 | 35198,5 |
347 | 36719,3 |
348 | 38295,2 |
349 | 39927,8 |
350 | 41618,6 |
351 | 43369,2 |
352 | 45181,4 |
(рекомендуемое)
СРАВНЕНИЕ СТРУКТУРЫ МЕЖДУНАРОДНОГО СТАНДАРТА
СО СТРУКТУРОЙ МЕЖГОСУДАРСТВЕННОГО СТАНДАРТА
Таблица ДА.1
Структура международного стандарта ISO 21360-2:2012 | Структура межгосударственного стандарта |
Раздел 2 | - |
Раздел 3 | |
Раздел 4 | |
Раздел 5 | |
Подраздел | Пункт | Подраздел | Пункт |
5.1 | 5.1.1 | | |
5.1.2 | |
5.1.3 | |
5.1.4 | |
5.2 | - | | - |
5.3 | - | | - |
5.4 | 5.4.1 | | |
5.4.2 | |
5.4.3 | |
5.5 | - | | - |
5.6 | - | | - |
- | |
Примечания 1 Сравнение структур стандартов приведено начиная с раздела 2, так как предыдущие разделы стандарта и их иные структурные элементы (за исключением предисловия) идентичны. 2 В межгосударственный стандарт был добавлен раздел 5 "Требования безопасности". |
| ISO 21360-1:2012 | Vacuum technology. Standard methods for measuring vacuum-pump performance. Part 1. General description (Вакуумная технология. Стандартные методы измерения характеристик вакуумных насосов. Часть 1. Общие положения) |
| Справочник по вакуумной технологии под редакцией JOUSTEN K., перевод Benjamin Nakhosteen C, г. Вайнхайм: издательство Wiley-VCH, 2008 г., 1002 стр. |
| Naser, K.H. Физическая химия для технологов и инженеров, 3-е издание, г. Лейпциг:, 1960, 428 стр. |
| EN 1012-2:1996 | Compressor and vacuum pumps. Safety precautions. Part 2. Vacuum pumps (Компрессоры и вакуумные насосы. Требования безопасности. Часть 2. Вакуумные насосы) |
УДК 621:006:354 | |
Ключевые слова: насосы вакуумные объемного действия, базовое давление, быстрота действия, наибольшее давление паров воды, давление насыщенных паров, потребляемая мощность, энергия сжатия |