Главная // Актуальные документы // ГОСТ (Государственный стандарт)
СПРАВКА
Источник публикации
Документ опубликован не был
Примечание к документу
Документ был включен в Перечень стандартов, содержащих правила и методы исследований (испытаний) и измерений, в том числе правила отбора образцов, необходимые для применения и исполнения требований технического регламента Таможенного союза "О безопасности отдельных видов специализированной пищевой продукции, в том числе диетического лечебного и диетического профилактического питания" (ТР ТС 027/2012) и осуществления оценки (подтверждения) соответствия продукции (Решение Коллегии Евразийской экономической комиссии от 18.10.2012 N 191)

Документ включен в Перечень стандартов, содержащих правила и методы исследований (испытаний) и измерений, в том числе правила отбора образцов, необходимые для применения и исполнения требований технического регламента "О безопасности пищевой продукции" (ТР ТС 021/2011) и осуществления оценки (подтверждения) соответствия продукции (Решение Комиссии Таможенного союза от 09.12.2011 N 880).

С 1 июля 2003 года до вступления в силу технических регламентов акты федеральных органов исполнительной власти в сфере технического регулирования носят рекомендательный характер и подлежат обязательному исполнению только в части, соответствующей целям, указанным в пункте 1 статьи 46 Федерального закона от 27.12.2002 N 184-ФЗ.

Документ введен в действие с 1 января 1979 года.

Взамен ГОСТ 15113.1-69.
Название документа
"ГОСТ 15113.5-77*. Государственный стандарт Союза ССР. Концентраты пищевые. Методы определения кислотности"
(введен Постановлением Госстандарта СССР от 24.08.1977 N 2026)
(ред. от 01.04.1984)


"ГОСТ 15113.5-77*. Государственный стандарт Союза ССР. Концентраты пищевые. Методы определения кислотности"
(введен Постановлением Госстандарта СССР от 24.08.1977 N 2026)
(ред. от 01.04.1984)


Содержание


Введен
Постановлением Государственного
комитета стандартов
Совета Министров СССР
от 24 августа 1977 г. N 2026
ГОСУДАРСТВЕННЫЙ СТАНДАРТ СОЮЗА ССР
КОНЦЕНТРАТЫ ПИЩЕВЫЕ
МЕТОДЫ ОПРЕДЕЛЕНИЯ КИСЛОТНОСТИ
Food concentrates. Methods for determination of acidity
ГОСТ 15113.5-77*
Список изменяющих документов
(в ред. Изменения N 1, утв. в апреле 1984 г.)
Группа Н39
ОКСТУ 9109
Взамен
ГОСТ 15113.1-69
Постановлением Государственного комитета стандартов Совета Министров СССР от 24 августа 1977 г. N 2026 дата введения установлена
1 января 1979 года
Ограничение срока действия снято по Протоколу N 3-93 Межгосударственного Совета по стандартизации, метрологии и сертификации (ИУС 5-6-93).
Настоящий стандарт распространяется на пищевые концентраты и устанавливает методы определения кислотности.
Переиздание (август 1997 г.) с Изменением N 1, утвержденным в апреле 1984 г. (ИУС 8-84).
1. ОТБОР И ПОДГОТОВКА ПРОБ
1.1. Отбор и подготовку проб для лабораторных испытаний проводят по ГОСТ 15113.0-77.
2. ОПРЕДЕЛЕНИЕ ОБЩЕЙ КИСЛОТНОСТИ
2.1. Сущность метода
Метод основан на титровании щелочью всех кислот, находящихся в испытуемом продукте. Метод применяется при разногласиях в оценке качества продукции.
2.2. Аппаратура, реактивы и материалы
Весы лабораторные общего назначения по ГОСТ 24104-88.
Бюретки по ГОСТ 29251-91, вместимостью 25 см3.
Воронки стеклянные по ГОСТ 25336-82, диаметром 9 - 15 см.
Колбы мерные по ГОСТ 1770-74, вместимостью 250 см3.
Колбы конические по ГОСТ 25336-82, вместимостью от 100 до 250 см3.
Пипетки по ГОСТ 29227-91, вместимостью 20 - 25 см3.
Стаканы стеклянные лабораторные по ГОСТ 25336-82, вместимостью 50, 150 и 200 см3.
Капельницы лабораторные стеклянные по ГОСТ 25336-82.
Гидроокись натрия по ГОСТ 4328-77 или гидроокись калия по ГОСТ 24363-80.
Спирт этиловый ректификованный по ГОСТ 5962-67.
Фенолфталеин по ТУ 6-09-5360-87, 1%-ный спиртовой раствор.
Вода дистиллированная по ГОСТ 6709-72.
Бумага фильтровальная лабораторная по ГОСТ 12026-76.
Бумага лакмусовая.
Вата медицинская гигроскопическая по ГОСТ 5556-81.
Палочки стеклянные оплавленные.
2.3. Подготовка к испытанию
Из пробы пищевого концентрата помещают в стакан навеску массой 5 - 10 г с погрешностью не более 0,01 г, небольшими порциями добавляют дистиллированную воду. Содержимое стакана перемешивают стеклянной палочкой до получения однородной массы, а затем количественно через воронку переносят в мерную колбу вместимостью 250 см3, смывая частицы продукта дистиллированной водой так, чтобы объем жидкости в мерной колбе не превышал 0,75% ее вместимости. Колбу интенсивно встряхивают и оставляют в покое на 30 мин.
Затем содержимое колбы доводят дистиллированной водой до метки, хорошо перемешивают и фильтруют через складчатый фильтр или вату в сухую колбу. Полученный фильтрат используют для определения кислотности.
2.2; 2.3. (Измененная редакция, Изм. N 1).
2.4. Проведение испытания
Пипеткой отбирают 20 - 25 см3 полученного фильтрата в коническую колбу вместимостью 100 см3, прибавляют две-три капли 1%-ного спиртового раствора фенолфталеина и титруют 0,1 моль/дм3 раствором гидроокиси натрия или гидроокиси калия до получения розового окрашивания, не исчезающего в течение 30 с.
Интенсивно окрашенный фильтрат перед титрованием разбавляют два-три раза дистиллированной водой.
Конец титрования окрашенных растворов устанавливают по лакмусовой бумаге.
2.5. Обработка результатов
Кислотность X, %, в пересчете на соответствующую кислоту, вычисляют по формуле
где V - объем точно 0,1 моль/дм3 раствора гидроокиси натрия или гидроокиси калия, израсходованный на титрование, см3;
K - коэффициент пересчета на соответствующую кислоту:
для яблочной кислоты - 0,0067 г/см3;
для лимонной кислоты (с одной молекулой воды) - 0,0070 г/см3;
для молочной кислоты - 0,0090 г/см3;
для винной кислоты - 0,0075 г/см3;
V0 - объем вытяжки, приготовленный из навески, см3;
V1 - объем фильтрата, отобранный для титрования, см3;
m - масса навески испытуемого концентрата, г.
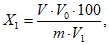
Кислотность X1 в миллиэквивалентах, т.е. в см3 0,1 моль/дм3 раствора гидроокиси натрия или гидроокиси калия в пересчете на 100 г продукта, вычисляют по формуле
где V - объем точно 0,1 моль/дм3 раствора гидроокиси натрия или гидроокиси калия, израсходованный на титрование, см3;
V0 - объем вытяжки, приготовленный из навески, см3;
V - объем фильтрата, отобранный для титрования, см3;
m - масса навески испытуемого концентрата, г.
За окончательный результат испытания принимают среднее арифметическое результатов двух параллельных определений, допускаемые расхождения между которыми не должны превышать 0,05% или 0,5 миллиэквивалента.
Вычисления проводят с погрешностью не более +/- 0,01% или 0,1 миллиэквивалента.
3. ОПРЕДЕЛЕНИЕ ОБЩЕЙ КИСЛОТНОСТИ В СУХИХ ПРОДУКТАХ
ДЕТСКОГО И ДИЕТИЧЕСКОГО ПИТАНИЯ
3.1. Аппаратура, реактивы и материалы - по п. 2.2.
3.2. Сущность метода
Метод основан на титровании гидроокисью натрия или гидроокисью калия всех кислот, находящихся в испытуемом продукте.
3.3. Проведение испытания
Из пробы отвешивают 5 г сухого отвара или молочной смеси с погрешностью не более +/- 0,01 г в стакан вместимостью 150 - 200 см3, добавляют небольшими порциями 40 см3 горячей (65 °C) дистиллированной воды и тщательно растирают смесь до однородной массы.
К охлажденному раствору добавляют еще 80 см3 холодной дистиллированной воды, пять капель 1%-ного спиртового раствора фенолфталеина, перемешивают и титруют 0,1 моль/дм3 раствором гидроокиси натрия или гидроокиси калия до образования розового окрашивания, не исчезающего в течение 30 с.
3.4. Обработка результатов
Кислотность X2 в градусах, т.е. в см3 1 моль/дм3 раствора гидроокиси натрия или гидроокиси калия в пересчете на 100 г продукта, вычисляют по формуле
где V - объем точно 0,1 моль/дм3 раствора гидроокиси натрия или гидроокиси калия, израсходованный на титрование, см3;
m - масса навески испытуемого концентрата, г.
За окончательный результат испытания принимают среднее арифметическое результатов двух параллельных определений, допускаемые расхождения между которыми не должны превышать 0,5%.
Вычисления проводят с погрешностью не более +/- 0,01%.
4. ПОТЕНЦИОМЕТРИЧЕСКИЙ МЕТОД ОПРЕДЕЛЕНИЯ ОБЩЕЙ КИСЛОТНОСТИ
4.1. Сущность метода
Метод основан на титровании исследуемого раствора 0,1 моль/дм3 раствором гидроокиси натрия или гидроокиси калия до pH = 8,1 в присутствии двух электродов (индикаторного и электрода сравнения).
4.2. Аппаратура, реактивы и материалы
Прибор для определения концентрации водородных ионов - pH-метр, модели ЛПУ-01, 340 и других аналогичных систем.
Мешалка электромагнитная модели ММ-2.
Бюретка по ГОСТ 29251-91, вместимостью 10 - 25 см3.
Пипетка по ГОСТ 29227-91, вместимостью 10 - 25 см3.
Стаканы стеклянные лабораторные по ГОСТ 25336-82, вместимостью 50 - 100 см3.
Гидроокись натрия по ГОСТ 4328-77 или гидроокись калия по ГОСТ 24363-80.
Растворы буферные для проверки pH-метра.
Бумага фильтровальная лабораторная по ГОСТ 12026-76.
Весы лабораторные общего назначения по ГОСТ 24104-88.
Воронки стеклянные по ГОСТ 25336-82, диаметром 9 - 15 см.
Колбы мерные по ГОСТ 1770-74, вместимостью 250 см3.
Вода дистиллированная по ГОСТ 6709-72.
(Измененная редакция, Изм. N 1).
4.3. Проведение испытаний
Вначале проверяют правильность показаний pH-метра на соответствующих буферных растворах. После этого берут пипеткой 3 - 5 см3 исследуемого фильтрата, приготовленного по п. 2.3, и титруют при непрерывном помешивании мешалкой 0,1 моль/дм3 раствором гидроокиси натрия или гидроокиси калия до pH = 6,0. Далее постепенно доводят раствор до pH = 7,0. Затем, приливая по четыре капли раствора гидроокиси натрия или гидроокиси калия и отмечая каждый раз объем израсходованного на титрование раствора, доводят исследуемый раствор до pH = 8,1.
Титрование заканчивают добавлением еще четырех капель щелочи.
Объем раствора гидроокиси натрия или гидроокиси калия, доведенный точно до pH = 8,1, находят интерполяцией данных титрования. Значения pH, применяемые для интерполяции, должны находиться в границах 8,1 +/- 0,2. На титрование должно расходоваться не менее 10 см3 0,1 моль/дм3 раствора гидроокиси натрия или гидроокиси калия.
4.4. Обработка результатов
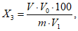
Кислотность X3 в миллиэквивалентах, т.е. в см3 0,1 моль/дм3 раствора гидроокиси натрия или гидроокиси калия в пересчете на 100 г продукта вычисляют по формуле
где V - объем точно 0,1 моль/дм3 раствора щелочи, израсходованный на титрование, см3;
V0 - объем вытяжки, приготовленный из навески, см3;
V1 - объем фильтрата, отобранный для титрования, см3;
m - масса навески испытуемого концентрата, г.
Общую кислотность в процентах соответствующей кислоты вычисляют по п. 2.5.
За окончательный результат испытания принимают среднее арифметическое результатов двух параллельных определений, допускаемые расхождения между которыми не должны превышать 0,05% или 0,5 миллиэквивалента.
Вычисления проводят с погрешностью не более +/- 0,01% или 0,1 миллиэквивалента.